Главная // Актуальные документы // МетодикаСПРАВКА
Источник публикации
М.: Стандартинформ, 2015
Примечание к документу
Документ
введен в действие с 1 января 2015 года.
Название документа
"Р 50.2.085-2013. Рекомендации по метрологии. Государственная система обеспечения единства измерений. Средства измерений динамических характеристик излучения в волоконно-оптических системах передачи. Методика поверки"
(утв. и введены в действие Приказом Росстандарта от 06.09.2013 N 1010-ст)
"Р 50.2.085-2013. Рекомендации по метрологии. Государственная система обеспечения единства измерений. Средства измерений динамических характеристик излучения в волоконно-оптических системах передачи. Методика поверки"
(утв. и введены в действие Приказом Росстандарта от 06.09.2013 N 1010-ст)
Утверждены и введены в действие
агентства по техническому
регулированию и метрологии
от 6 сентября 2013 г. N 1010-ст
РЕКОМЕНДАЦИИ ПО МЕТРОЛОГИИ
ГОСУДАРСТВЕННАЯ СИСТЕМА ОБЕСПЕЧЕНИЯ ЕДИНСТВА ИЗМЕРЕНИЙ
СРЕДСТВА ИЗМЕРЕНИЙ ДИНАМИЧЕСКИХ ХАРАКТЕРИСТИК ИЗЛУЧЕНИЯ
В ВОЛОКОННО-ОПТИЧЕСКИХ СИСТЕМАХ ПЕРЕДАЧИ
МЕТОДИКА ПОВЕРКИ
State systems for ensuring the uniformity of measurements.
Measuring instruments of dynamic characteristics
of radiation in fibre-optical transmission systems.
Verification procedure
Р 50.2.085-2013
Дата введения
1 января 2015 года
1 РАЗРАБОТАНЫ Федеральным государственным унитарным предприятием "Всероссийский научно-исследовательский институт оптико-физических измерений" (ФГУП "ВНИИОФИ")
2 ВНЕСЕНЫ Техническим комитетом по стандартизации ТК 206 "Эталоны и поверочные схемы", подкомитетом ПК 10 "Оптические и оптико-физические измерения"
3 УТВЕРЖДЕНЫ И ВВЕДЕНЫ В ДЕЙСТВИЕ
Приказом Федерального агентства по техническому регулированию и метрологии от 6 сентября 2013 г. N 1010-ст
4 ВВЕДЕНЫ ВПЕРВЫЕ
Информация об изменениях к настоящим рекомендациям публикуется в ежегодном указателе "Национальные стандарты", а текст изменений и поправок - в ежемесячном информационном указателе "Национальные стандарты". В случае пересмотра (замены) или отмены настоящих рекомендаций соответствующее уведомление будет опубликовано в ежемесячном информационном указателе "Национальные стандарты". Соответствующая информация, уведомление и тексты размещаются также в информационной системе общего пользования - на официальном сайте Федерального агентства по техническому регулированию и метрологии в сети Интернет
Настоящая методика распространяется на рабочие средства измерений динамических характеристик излучения (анализаторы протоколов, тестеры оптических сетей и другие средства измерений динамических характеристик излучения) в волоконно-оптических системах передачи с синхронной цифровой иерархией (далее - РСИ-ДХ) и устанавливает методы и средства их первичной и периодической поверок. Методика применяется к конкретным типам РСИ-ДХ в той части, которая соответствует их перечню метрологических характеристик.
Настоящие рекомендации разработаны на основе ГОСТ 8.198. Межповерочный интервал - в соответствии с описанием типа поверяемого РСИ-ДХ. Рекомендуемый межповерочный интервал - не более одного года.
В настоящих рекомендациях использованы нормативные ссылки на следующие стандарты:
ГОСТ 12.1.040-83 Система стандартов безопасности труда. Лазерная безопасность. Общие положения
ГОСТ 8.198-85 ГСИ. Государственный специальный эталон и государственная поверочная схема для средств измерений мощности и динамических параметров приемников импульсного лазерного излучения в диапазоне длин волн от 0,4 до 10,6 мкм
ГОСТ 8.585-2005 Государственная система обеспечения единства измерений. Государственная поверочная схема для средств измерений длины и времени распространения сигнала в световоде, средней мощности, ослабления и длины волны для волоконно-оптических систем
Примечание - При пользовании настоящими рекомендациями целесообразно проверить действие ссылочных стандартов в информационной системе общего пользования - на официальном сайте Федерального агентства по техническому регулированию и метрологии в сети Интернет или по ежегодному информационному указателю "Национальные стандарты", который опубликован по состоянию на 1 января текущего года, и по выпускам ежемесячного информационного указателя "Национальные стандарты" за текущий год. Если заменен ссылочный стандарт, на который дана недатированная ссылка, то рекомендуется использовать действующую версию этого стандарта с учетом всех внесенных в данную версию изменений. Если заменен ссылочный стандарт, на который дана датированная ссылка, то рекомендуется использовать версию этого стандарта с указанным выше годом утверждения (принятия). Если после утверждения настоящих рекомендаций в ссылочный стандарт, на который дана датированная ссылка, внесено изменение, затрагивающее положение, на которое дана ссылка, то это положение рекомендуется применять без учета данного изменения. Если ссылочный стандарт отменен без замены, то положение, в котором дана ссылка на него, рекомендуется применять в части, не затрагивающей эту ссылку.
3.1 При проведении первичной и периодической поверок выполняют операции из числа указанных в таблице 1; для конкретных РСИ-ДХ выполняются только операции для нормированных метрологических характеристик, указанных в их описании типа.
Таблица 1
Наименование операции | Номер пункта настоящих рекомендаций |
Внешний осмотр | |
Опробование | |
Определение метрологических характеристик | |
Определение диапазона измерения средней мощности оптического излучения | |
Определение средней мощности оптического излучения на выходе поверяемого РСИ-ДХ | |
Определение основной погрешности измерений средней мощности оптического излучения | |
Определение значений средней длительности импульсов в последовательности на выходе поверяемого РСИ-ДХ | |
Определение значений средней длительности переднего и заднего фронта импульсов в последовательности на выходе поверяемого РСИ-ДХ | |
Определение основной относительной погрешности воспроизведения длительности импульсов оптического излучения в диапазоне измерений | |
Определение диапазона измерений длительности импульсов оптического излучения | |
Определение диапазона измерений средней длительности переднего и заднего фронта импульсов в последовательности поверяемого РСИ-ДХ | |
Определение основной относительной погрешности измерений длительности импульсов оптического излучения | |
Определение основной относительной погрешности измерений средней длительности переднего и заднего фронта импульсов в последовательности поверяемого РСИ-ДХ | |
Определение основной погрешности измерений номинальной скорости (номинальных скоростей) передачи информации с помощью РСИ-ДХ | |
Определение диапазона смещения скорости передачи информации относительно номинального значения | |
При получении отрицательных результатов операции хотя бы для одной нормированной метрологической характеристики поверка прекращается.
4.1 При проведении первичной и периодической поверки применяют средства, указанные в таблице 2.
Таблица 2
Номер пункта настоящих рекомендаций | Наименование и тип средств поверки | Основные технические характеристики |
| Рабочий эталон единицы средней мощности в волоконно-оптических системах передачи по ГОСТ 8.585 (далее - РЭСМ) | Диапазон мощности 10-10 - 10-2 Вт. Длины волн излучения источников (градуировки), нм: 850 +/- 5; 1310 +/- 10; 1490 +/- 5; 1550 +/- 10; 1625 +/- 5. Основная относительная погрешность на длинах волн градуировки не более 3% |
| Рабочий эталон единиц максимальной мощности импульсного оптического излучения и динамических параметров оптического импульса для высокоскоростных волоконно-оптических систем передачи информации по ГОСТ 8.198 (далее - РЭДП-ВС) "РЭДП-ВС" | Среднее значение максимальной мощности импульса, фиксированное значение в диапазоне, Вт, 10-3 - 10-2; Значение средней мощности амплитудно-модулированного оптического излучения в режиме псевдослучайной последовательности, фиксированное значение в диапазоне, Вт, 10-3 - 10-2. Средняя длительность импульса излучения, по уровню 0,5 от амплитуды импульсно-модулированного излучения, с, 2 10-9. Средняя длительность импульса излучения, по уровню 0,5 от амплитуды импульсно-модулированного излучения, для оптического стыка STM-1 синхронной цифровой иерархии (далее - СЦИ), с, 6,43·10-9; то же для оптического стыка STM-4 СЦИ, с, 1,61·10-9; то же для оптического стыка STM-16 СЦИ, с, 402·10-12; то же для оптического стыка STM-64 СЦИ, с, 100,5·10-12; то же для оптического стыка STM-256 СЦИ, с, 25,1·10-12. Длительность переднего фронта импульса излучения, с, не более 0,3 от средней длительности импульса для каждого из оптических стыков СЦИ. Длительность заднего фронта импульса излучения, с, не более 0,3 от средней длительности импульса для каждого из оптических стыков СЦИ. Погрешность воспроизведения длины волны излучения, нм, не более +/- 5. Погрешность воспроизведения среднего значения мощности, %, +/- 5. Погрешность воспроизведения среднего значения длительности импульса, пс,  (здесь  определяется оптическим стыком СЦИ и свойствами измерительного генератора РЭДП-ВС. Однако оно не должно превышать 50 пс при стыках STM-1 и STM-4, 30 пс для STM-16, 20 пс для STM-64 и 8 пс для STM-256). Погрешность воспроизведения среднего значения длительности переднего и заднего фронта импульса, пс,  (здесь  определяется оптическим стыком СЦИ и свойствами измерительного генератора РЭДП-ВС. Однако оно не должно превышать 30 пс при стыках STM-1 и STM-4, 20 пс для STM-16, 15 пс для STM-64 и 5 пс для STM-256) |
Все пункты методики | Комплект волоконно-оптических измерительных аттенюаторов, соединительных волоконно-оптических и радиочастотных кабелей, радиочастотные и волоконно-оптические переходы | Технические характеристики аттенюаторов и кабелей должны определяться с учетом типов радиочастотных и волоконно-оптических разъемов, а также при различии диапазонов работы РЭДП-ВС и поверяемого РСИ-ДХ по уровню мощности. Волоконно-оптические элементы не должны вносить обратных отражений, способных повлиять на стабильность работы генераторов оптических сигналов. Аттенюаторы должны быть прокалиброваны в соответствии с ГОСТ 8.585. |
Примечание - Допускается применение других средств поверки, обеспечивающих определение необходимых метрологических характеристик поверяемых средств измерений с требуемой точностью. Средства поверки должны быть исправны и иметь действующее свидетельство о поверке.
5 Требования к квалификации поверителей и требования безопасности
5.1 К проведению поверки допускают лиц, аттестованных в качестве поверителей оптических приборов в соответствии с
правилами по метрологии
[1], изучивших настоящую методику и руководства по эксплуатации РЭСМ и РЭДП-ВС, имеющих квалификационную группу не ниже III в соответствии с
правилами по охране труда
[2] и опыт работы с высокоточными средствами измерений в области волоконно-оптических систем передачи информации.
6.1 При проведении поверки соблюдают следующие условия:
температура окружающей среды ......................... (20 +/- 5) °C;
относительная влажность воздуха ...................... (65 +/- 15)%;
атмосферное давление ................................. (100 +/- 4) кПа;
напряжение питающей сети ............................. (220 +/- 22) В;
частота питающей сети ................................ (50 +/- 0,5) Гц.
7.1 Перед проведением поверки изучают руководство по эксплуатации на поверяемое РСИ-ДХ и применяемые при поверке приборы и установки.
7.2 Устанавливают на рабочем месте поверяемое РСИ-ДХ, аппаратуру, входящую в состав РЭСМ, РЭДП-ВС, необходимые вспомогательные устройства и приспособления.
7.3 Протирают специальным тампоном, смоченным изопропиловым спиртом, и продувают очищенным сжатым воздухом оптические разъемы аппаратуры, входящей в состав РЭСМ и РЭДП-ВС. Протирают специальной салфеткой, смоченной изопропиловым спиртом, и продувают очищенным сжатым воздухом торцы волоконно-оптических кабелей, используемых при проведении поверки.
7.4 Включают в электрическую сеть поверяемое РСИ-ДХ, аппаратуру, входящую в состав РЭСМ, РЭДП-ВС. Включают все блоки используемой в процессе поверки аппаратуры нажатием соответствующих кнопок включения и тумблеров.
7.5 Проводят прогрев поверяемого РСИ-ДХ в течение времени, указанного в его инструкции по эксплуатации. Проводят прогрев аппаратуры РЭСМ и РЭДП-ВС в течение 1 ч.
7.6 Устанавливают нулевые показания измерителя мощности РЭСМ. Убеждаются в наличии нулевых показаний на дисплее измерителя.
7.7 Руководствуясь инструкцией по эксплуатации РЭДП-ВС, убеждаются в наличии на выходе измерительного генератора импульсно-модулированного излучения в режиме псевдослучайной последовательности с параметрами, соответствующими используемому оптическому стыку СЦИ.
8.1.1 Проверяют комплектность поверяемого РСИ-ДХ.
8.1.2 При внешнем осмотре необходимо убедиться:
- в отсутствии видимых механических повреждений;
- в целостности кабелей и разъемов;
- в исправности органов управления.
При осмотре состояния волоконно-оптических разъемов, с учетом микронных размеров сердцевины оптического волокна, целесообразно воспользоваться подходящими средствами осмотра, выполняющими функцию микроскопа.
8.1.3 В случае обнаружения сколов и других видимых повреждений оптического волокна в волоконно-оптических разъемах, механических повреждений или неисправности кабелей, разъемов и органов управления поверяемое РСИ-ДХ к дальнейшим операциям поверки не допускается.
8.2.1 Проверяют правильность работы органов управления и переключения режимов поверяемого РСИ-ДХ в соответствии с его руководством по эксплуатации.
8.2.2 Если в эксплуатационной документации поверяемого РСИ-ДХ указаны идентификационные данные программного обеспечения: наименование программного обеспечения, идентификационное наименование программного обеспечения, номер версии (идентификационный номер) программного обеспечения, цифровой идентификатор программного обеспечения, алгоритм вычисления цифрового идентификатора программного обеспечения - проверяют их соответствие эксплуатационной документации.
8.2.3 В случае обнаружения некорректности работы органов управления и переключения режимов поверяемого РСИ-ДХ или несоответствия идентификационных данных программного обеспечения эксплуатационной документации, поверяемое РСИ-ДХ к дальнейшим операциям поверки не допускается.
8.3 Определение метрологических характеристик
8.3.1 Определение диапазона измерения средней мощности оптического излучения с помощью рабочего эталона средней мощности РЭСМ-ВС
8.3.1.1 Собирают установку согласно схеме, приведенной на рисунке 1.
1 - источник излучения стабилизированный из состава РЭСМ
на 0,85; 1,31; 1,49; 1,55; 1,625 мкм; 2 - аттенюатор
оптический; 3 - ваттметр из состава РЭСМ; 4 - канал
измерения средней мощности поверяемого РСИ-ДХ;
5 - волоконно-оптический кабель; 6 - РЭСМ
Рисунок 1 - Блок-схема установки для сличения
ваттметра с РЭСМ
8.3.1.2 Устанавливают для канала измерения средней мощности поверяемого РСИ-ДХ длину волны излучения, возможно близкую к длине волны источника РЭСМ.
8.3.1.3 Выход оптического аттенюатора 2 подключают к входу ваттметра 3 и регулировкой аттенюатора устанавливают на его выходе мощность, равную максимально измеряемой каналом измерения средней мощности поверяемого РСИ-ДХ.
8.3.1.4 Проводят
N (N = 5) измерений мощности последовательно ваттметром РЭСМ 3 и каналом измерения средней мощности поверяемого РСИ-ДХ 4.
8.3.1.5 Повторяют операции по
8.3.1.3,
8.3.1.4, последовательно уменьшая мощность (с шагом от 3 до 5 дБ), дойдя до минимально измеряемой каналом измерения средней мощности поверяемого РСИ-ДХ мощности.
8.3.1.6 Определяют среднее значение разницы показаний ваттметра РЭСМ 3 и канала измерения средней мощности поверяемого РСИ-ДХ 4 по формуле

(1)
где

;
- разница в показаниях ваттметра РЭСМ 3 и канала измерения средней мощности поверяемого РСИ-ДХ 4;
P0ij; Pij - показания ваттметра РЭСМ 3 и канала измерения средней мощности поверяемого РСИ-ДХ 4 при i-ом измерении в точке j, дБм.
При
P0ij;
Pij, выраженных в Вт,

, вычисляют по формуле

(2)
8.3.1.7 Повторяют операции по
8.3.1.1 -
8.3.1.6 на всех длинах волн градуировки канала измерения средней мощности поверяемого РСИ-ДХ, которые имеются в составе РЭСМ.
8.3.2 Определение средней мощности оптического излучения на выходе поверяемого РСИ-ДХ с помощью рабочего эталона средней мощности РЭСМ-ВС
8.3.2.1 Подают оптическое излучение с выхода передающего канала поверяемого РСИ-ДХ с помощью волоконного кабеля на оптический вход ваттметра РЭСМ и измеряют оптическую мощность на выходе волоконного кабеля, регистрируя значение
P1 (в Вт).
8.3.2.2 Проводят операцию по
8.3.2.1 еще девять раз, каждый раз предварительно вынув и вставив оптический разъем.
8.3.2.3 Определяют значение мощности
Pиз на выходе оптического кабеля по формуле

(3)
где i - номер измерения.
8.3.2.4 Операции по
8.3.2.1 -
8.3.2.3 проводят для всех длин волн излучения источника.
8.3.2.5 Полученные значения мощности на выходе оптического кабеля для всех длин волн должны находиться в пределах, установленных в технической документации на поверяемый прибор.
8.3.3 Определение основной погрешности измерений средней мощности оптического излучения
8.3.3.1 Для канала измерения средней мощности поверяемых РСИ-ДХ основная погрешность может нормироваться на длинах волн градуировки, а также может нормироваться погрешность измерений относительных уровней мощности и основная погрешность в рабочем спектральном диапазоне. Допускается нормировать погрешность в спектральном диапазоне как дополнительную погрешность от неравномерности чувствительности в рабочем спектральном диапазоне.
8.3.3.2 Фактическое значение основной относительной погрешности

на длине волны градуировки по результатам поверки вычисляют по формуле

(4)
где

,

выражено в %;

- основная погрешность РЭСМ на длине волны градуировки, %;

(5)
где

;

выражены в %.
8.3.3.3 Фактическое значение основной относительной погрешности измерений

относительных уровней мощности по результатам поверки определяют по формуле

(6)
где

- погрешность измерений относительных уровней мощности РЭСМ, выраженная в %;
8.3.3.4 Фактическое значение основной относительной погрешности измерений мощности в рабочем спектральном диапазоне

определяют по формуле:
- если для канала измерения средней мощности поверяемого РСИ-ДХ не предусмотрена предварительная установка длины волны излучения,

(7)
где

- основная погрешность установки для измерения спектральных характеристик;
- если для канала измерения средней мощности поверяемого РСИ-ДХ предусмотрена предварительная установка длины волны излучения,

(8)
где
- неравномерность спектральных характеристик в данном диапазоне (если их несколько), полученная по
8.3.2.2.
Если погрешность в спектральном диапазоне нормируется как дополнительная погрешность от неравномерности чувствительности в рабочем спектральном диапазоне, то ее определяют по формуле

(9)
8.3.3.5 Расчет погрешности по
8.3.3.2 - 8.3.3.5 проводят на каждой рабочей длине волны (или в каждом спектральном диапазоне) отдельно.
8.3.3.6 Для канала измерения средней мощности поверяемых РСИ-ДХ, у которых не предусмотрена предварительная установка длины волны излучения, вводится спектральный поправочный коэффициент
. Измеренную каналом измерения средней мощности поверяемого РСИ-ДХ мощность излучения с длиной волны

, отличной от длины волны градуировки, определяют по формуле

(10)
8.3.3.7 Спектральный поправочный коэффициент определяют по формуле

(11)
где

,
Sk - значения относительных спектральных характеристик на двух длинах волн градуировки

и
k, выраженные в %.
8.3.3.8 Полученные значения основной относительной погрешности измерений мощности на длине волны градуировки, основной относительной погрешности измерений относительных уровней мощности и основной относительной погрешности измерений мощности в рабочем спектральном диапазоне (или дополнительной погрешности от неравномерности чувствительности в рабочем спектральном диапазоне) для всех длин волн не должны превышать пределы, установленные в технической документации на поверяемый прибор.
8.3.4 Определение значений средней длительности импульсов в последовательности на выходе поверяемого РСИ-ДХ
8.3.4.1 Присоединить выход передающего тракта поверяемого РСИ-ДХ с помощью волоконно-оптического кабеля ко входу приемного тракта РЭДП-ВС, имеющего функцию стробоскопических осциллографических измерений динамических параметров импульсного оптического излучения. Допускается использование стробоскопического осциллографа с необходимым быстродействием, имеющим волоконно-оптический вход, необходимое программное обеспечение для работы с требуемыми стыками синхронной цифровой иерархии (СЦИ). При отсутствии волоконно-оптического входа допускается использовать дополнительный быстродействующий приемник излучения с волоконно-оптическим входом, преобразующий оптический сигнал в пропорциональный ему электрический сигнал. Осциллограф должен быть включен в Государственный реестр средств измерений.
8.3.4.2 Включить оборудование и подготовить его к работе, руководствуясь эксплуатационной документацией.
8.3.4.3 Установить режим работы поверяемого РСИ-ДХ и обеспечить на его выходе импульсно-модулированное лазерное излучение с характеристиками, соответствующими одному из рабочих стыков синхронной цифровой иерархии для поверяемого РСИ-ДХ. Операция производится в режиме генерации псевдослучайной последовательности.
8.3.4.4 С помощью осциллографической подсистемы РЭДП-ВС добиться отображения на экране глазковой диаграммы для контролируемого рабочего стыка СЦИ.
8.3.4.5 Используя программное обеспечение осциллографической подсистемы, произвести измерение длительности импульса излучения

для контролируемого рабочего стыка СЦИ. Длительность измеряется на уровне 0,5 от амплитудного значения импульса, если иное не оговорено в описании типа поверяемого РСИ-ДХ.
8.3.4.6 Повторить измерения по
8.3.4.5 еще девять раз. Вычислить среднее значение результатов измерений длительности импульса излучения

по формуле

(12)
где n - количество измерений.
8.3.4.7 Повторить операции по
8.3.4.1 -
8.3.4.6 для всех рабочих стыков СЦИ для поверяемого РСИ-ДХ.
8.3.4.8 Полученные средние значения длительности импульса должны соответствовать значениям, приведенным в описании типа РСИ-ДХ для всех рабочих стыков СЦИ. В случае отклонения средних значений от требований, изложенных в описании типа, хотя бы для одного рабочего стыка СЦИ, дальнейшие операции поверки не проводятся. Поверяемое РСИ-ДХ считается не прошедшим поверку.
8.3.5 Определение значений средней длительности переднего и заднего фронтов импульсов в последовательности на выходе поверяемого РСИ-ДХ
8.3.5.2 Используя программное обеспечение осциллографической подсистемы, произвести измерение длительности переднего

и заднего

фронтов импульса излучения для контролируемого рабочего стыка СЦИ. Длительность переднего

и заднего

фронтов измеряется между уровнями 0,2 и 0,8 от амплитудного значения импульса или между уровнями 0,1 и 0,9 от амплитудного значения импульса, если иное не оговорено в описании типа поверяемого РСИ-ДХ.
8.3.5.3 Повторить измерения по
8.3.5.1 еще девять раз. Вычислить средние значения результатов измерений длительности переднего

и заднего

фронтов

по формулам

(13)

(14)
где n = 10 - количество измерений.
8.3.5.4 Повторить операции по
8.3.5.1 -
8.3.5.3 для всех рабочих стыков СЦИ для поверяемого РСИ-ДХ.
8.3.5.5 Полученные средние значения длительности переднего

и заднего

фронтов должны соответствовать значениям, приведенным в описании типа РСИ-ДХ для всех рабочих стыков СЦИ. В случае отклонения средних значений от требований, изложенных в описании типа, хотя бы для одного рабочего стыка СЦИ, дальнейшие операции поверки не проводятся. Поверяемое РСИ-ДХ считается не прошедшим поверку.
8.3.6 Определение основной относительной погрешности воспроизведения длительности импульсов оптического излучения в диапазоне измерений
8.3.6.1 Присоединить выход передающего тракта поверяемого РСИ-ДХ с помощью волоконно-оптического кабеля ко входу приемного тракта РЭДП-ВС, имеющего функцию стробоскопических осциллографических измерений динамических параметров импульсного оптического излучения. Допускается использование стробоскопического осциллографа с необходимым быстродействием, имеющим волоконно-оптический вход и необходимое программное обеспечение для работы с требуемыми стыками синхронной цифровой иерархии (СЦИ). При отсутствии волоконно-оптического входа допускается использовать дополнительный быстродействующий приемник излучения с волоконно-оптическим входом, преобразующий оптический сигнал в пропорциональный ему электрический сигнал. Осциллограф должен быть включен в Государственный реестр средств измерений.
8.3.6.2 Включить оборудование и подготовить его к работе, руководствуясь эксплуатационной документацией.
8.3.6.3 Установить режим работы поверяемого РСИ-ДХ и обеспечить на его выходе импульсно-модулированное лазерное излучение с характеристиками, соответствующими одному из рабочих стыков синхронной цифровой иерархии для поверяемого РСИ-ДХ. Операция производится в режиме генерации псевдослучайной последовательности.
8.3.6.4 С помощью осциллографической подсистемы РЭДП-ВС или стробоскопического осциллографа добиться отображения на экране глазковой диаграммы для контролируемого рабочего стыка СЦИ.
8.3.6.5 Произвести измерение длительности импульса излучения

, используя программное обеспечение осциллографической подсистемы РЭДП-ВС или стробоскопического осциллографа при включении различных рабочих стыков STM синхронной цифровой иерархии, указанных в руководстве по эксплуатации поверяемого РСИ-ДХ на всех рабочих длинах волн. Измерения длительности импульса

проводятся десять раз
(i = 1 ...
n,
n = 10) при включении каждого доступного рабочего стыка STM синхронной цифровой иерархии.
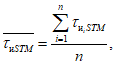
8.3.6.6 Вычислить среднее значение результатов измерений длительности импульса при включении каждого доступного рабочего стыка STM синхронной цифровой иерархии по формуле

(15)
где n - количество измерений.
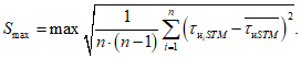
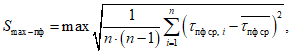
8.3.6.7 Вычислить максимальное значение СКО результатов измерений длительности импульса при включении каждого доступного рабочего стыка STM синхронной цифровой иерархии по формуле

(16)
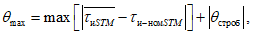
8.3.6.8 Определить максимальную НСП результатов измерений длительности импульса при включении каждого доступного рабочего стыка STM синхронной цифровой иерархии по формуле

(17)
где

- номинальное значение длительности импульса на выходе поверяемого РСИ-ДХ с одним из доступных рабочих стыков STM синхронной цифровой иерархии, указанное в руководстве по эксплуатации РСИ-ДХ или его паспорте;

- среднее измеренное значение длительности импульса в соответствии с
8.3.6.6;

- основная погрешность РЭДП-ВС, имеющего функцию стробоскопических осциллографических измерений динамических параметров импульсного оптического излучения или стробоскопического осциллографа.
8.3.6.9 Определяют значение основной относительной погрешности воспроизведения длительности импульсов оптического излучения в диапазоне измерений

по формуле

(18)
8.3.6.10 Полученные результаты для основной относительной погрешности воспроизведения длительности импульсов оптического излучения в диапазоне измерений должны соответствовать данным описания типа поверяемого РСИ-ДХ.
8.3.7 Определение диапазона измерений длительности импульсов оптического излучения
8.3.7.1 Присоединить вход приемного тракта поверяемого РСИ-ДХ с помощью волоконно-оптического кабеля к выходу передающего тракта РЭДП-ВС.
8.3.7.2 Включить оборудование и подготовить его к работе, руководствуясь эксплуатационной документацией.
8.3.7.3 Установить режим работы поверяемого РСИ-ДХ и обеспечить на выходе РЭДП-ВС импульсно-модулированное лазерное излучение с характеристиками, соответствующими одному из рабочих стыков синхронной цифровой иерархии для поверяемого РСИ-ДХ. Операция производится в режиме генерации псевдослучайной последовательности.
8.3.7.4 С помощью РСИ-ДХ, используя его программное обеспечение, произвести измерение длительности импульса излучения

для контролируемого рабочего стыка СЦИ. Длительность измеряется на уровне 0,5 от амплитудного значения импульса, если иное не оговорено в описании типа поверяемого РСИ-ДХ.
8.3.7.5 Повторить измерения по
8.3.7.4 еще девять раз. Вычислить среднее значение результатов измерений длительности импульса излучения

по формуле

(19)
где n - количество измерений.
8.3.7.6 Повторить операции по
8.3.7.1 -
8.3.7.5 для всех рабочих стыков СЦИ для поверяемого РСИ-ДХ.
8.3.7.7 Полученные средние значения длительности импульса должны соответствовать значениям, приведенным в описании типа РСИ-ДХ для всех рабочих стыков СЦИ. В случае отклонения средних значений от требований, изложенных в описании типа, хотя бы для одного рабочего стыка СЦИ, дальнейшие операции поверки не проводятся. Поверяемое РСИ-ДХ считается не прошедшим поверку.
8.3.8 Определение диапазона измерений средней длительности переднего и заднего фронтов импульсов в последовательности поверяемого РСИ-ДХ
8.3.8.2 С помощью РСИ-ДХ, используя его программное обеспечение, произвести измерение длительности переднего

, заднего

фронтов импульса излучения для контролируемого рабочего стыка СЦИ. Длительность переднего

и заднего

фронтов измеряется между уровнями 0,2 и 0,8 от амплитудного значения импульса или между уровнями 0,1 и 0,9 от амплитудного значения импульса, если иное не оговорено в описании типа поверяемого РСИ-ДХ.
8.3.8.3 Повторить измерения по
8.3.8.2 еще девять раз. Вычислить средние значения результатов измерений длительности переднего

и заднего

фронтов

по формулам

(20)

(21)
где n = 10 - количество измерений.
8.3.8.4 Повторить операции по
8.3.8.2 -
8.3.8.3 для всех рабочих стыков СЦИ для поверяемого РСИ-ДХ.
8.3.8.5 Полученные средние значения длительности переднего

и заднего

фронтов должны соответствовать значениям для всех контролируемых рабочих стыков, приведенным в паспорте РЭДП-ВС для всех рабочих стыков СЦИ. В случае отклонения средних значений от требований, изложенных в описании типа, хотя бы для одного рабочего стыка СЦИ, дальнейшие операции поверки не проводятся. Поверяемое РСИ-ДХ считается не прошедшим поверку.
8.3.9 Определение основной относительной погрешности измерений длительности импульсов оптического излучения
8.3.9.1 Присоединить вход приемного тракта поверяемого РСИ-ДХ с помощью волоконно-оптического кабеля к выходу передающего тракта РЭДП-ВС.
8.3.9.2 Включить оборудование и подготовить его к работе, руководствуясь эксплуатационной документацией.
8.3.9.3 Установить режим работы поверяемого РСИ-ДХ и обеспечить на выходе РЭДП-ВС импульсно-модулированное лазерное излучение с характеристиками, соответствующими одному из рабочих стыков синхронной цифровой иерархии для поверяемого РСИ-ДХ. Операция производится в режиме генерации псевдослучайной последовательности.
8.3.9.4 С помощью РСИ-ДХ, используя его программное обеспечение, произвести измерение длительности импульса излучения

при включении на РЭДП-ВС различных рабочих стыков STM синхронной цифровой иерархии, указанных в руководстве по эксплуатации поверяемого РСИ-ДХ на всех рабочих длинах волн. Измерения длительности импульса

проводятся десять раз (
i = 1 ...
n,
n = 10) при включении каждого доступного рабочего стыка STM синхронной цифровой иерархии. Длительность измеряется на уровне 0,5 от амплитудного значения импульса, если иное не оговорено в описании типа поверяемого РСИ-ДХ.
8.3.9.5 Вычислить среднее значение результатов измерений длительности импульса при включении каждого доступного рабочего стыка STM синхронной цифровой иерархии по формуле

(22)
где n - количество измерений.
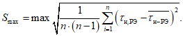
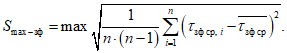
8.3.9.6 Вычислить максимальное значение СКО результатов измерений длительности импульса при включении каждого доступного рабочего стыка STM синхронной цифровой иерархии по формуле

(23)
8.3.9.7 Определить максимальную НСП результатов измерений длительности импульса при включении каждого доступного рабочего стыка STM синхронной цифровой иерархии по формуле

(24)
где

- номинальное значение длительности импульса на выходе поверяемого РСИ-ДХ с одним из доступных рабочих стыков STM синхронной цифровой иерархии, указанное в руководстве по эксплуатации РСИ-ДХ или его паспорте;

- среднее измеренное значение длительности импульса в соответствии с
8.3.9.5;

- основная погрешность воспроизведения длительности импульса РЭДП-ВС в соответствии с его инструкцией по эксплуатации.
8.3.9.8 Определяют значение основной относительной погрешности измерений длительности импульсов оптического излучения в диапазоне измерений

по формуле

(25)
8.3.9.9 Полученные результаты для основной относительной погрешности измерений длительности импульсов оптического излучения в диапазоне измерений должны соответствовать данным описания типа поверяемого РСИ-ДХ. В противном случае поверяемое РСИ-ДХ считается не прошедшим поверку и не допускается к дальнейшей эксплуатации.
8.3.10 Определение основной относительной погрешности измерений средней длительности переднего и заднего фронтов импульсов в последовательности поверяемого РСИ-ДХ
8.3.10.1 Присоединить вход приемного тракта поверяемого РСИ-ДХ с помощью волоконно-оптического кабеля к выходу передающего тракта РЭДП-ВС.
8.3.10.2 Включить оборудование и подготовить его к работе, руководствуясь эксплуатационной документацией.
8.3.10.3 Установить режим работы поверяемого РСИ-ДХ и обеспечить на выходе РЭДП-ВС импульсно-модулированное лазерное излучение с характеристиками, соответствующими одному из рабочих стыков синхронной цифровой иерархии для поверяемого РСИ-ДХ. Операция производится в режиме генерации псевдослучайной последовательности.
8.3.10.4 С помощью РСИ-ДХ, используя его программное обеспечение, произвести измерение длительности переднего

и заднего

фронтов импульса излучения для контролируемого рабочего стыка СЦИ. Длительность переднего

и заднего

фронтов измеряется между уровнями 0,2 и 0,8 или между уровнями 0,1 и 0,9 от амплитуды импульсно-модулированного оптического излучения, если иное не оговорено в описании типа поверяемого РСИ-ДХ.
8.3.10.5 Повторить измерения по
8.3.8.2 еще девять раз. Вычислить средние значения результатов измерений длительности переднего

и заднего

фронтов

по формулам

(26)

(27)
где n = 10 - количество измерений.
8.3.10.6 Повторить операции по
8.3.8.2 -
8.3.8.3 для всех рабочих стыков СЦИ для поверяемого РСИ-ДХ.
8.3.10.7 Вычислить максимальное значение СКО результатов измерений длительности переднего

и заднего

фронтов

при включении каждого доступного рабочего стыка STM синхронной цифровой иерархии по формулам

(28)

(29)
| | ИС МЕГАНОРМ: примечание. Текст дан в соответствии с официальным текстом документа. | |
8.3.10.8 Определить максимальную НСП результатов измерений длительности переднего

и заднего

фронтов при включении каждого доступного рабочего стыка STM синхронной цифровой иерархии по формулам

(30)

(31)
где

и

- номинальные значения переднего

и заднего

фронтов при включении каждого доступного рабочего стыка STM синхронной цифровой иерархии на выходе РЭДП-ВС, указанное в его руководстве по эксплуатации или паспорте;

и

- средние измеренные значения длительности импульса в соответствие с
8.3.9.5;

и

- основные погрешности воспроизведения переднего

и заднего

фронтов импульса РЭДП-ВС в соответствии с его инструкцией по эксплуатации или паспортом.
8.3.10.9 Определяют значения основной относительной погрешности измерений длительности переднего

и заднего

фронтов импульсно-модулированного оптического излучения в диапазоне измерений

и

по формулам

(32)

(33)
8.3.10.10 Полученные результаты для основной относительной погрешности измерений длительности переднего

и заднего

фронтов импульсно-модулированного оптического излучения в диапазоне измерений должны соответствовать данным описания типа поверяемого РСИ-ДХ. В противном случае поверяемое РСИ-ДХ считается не прошедшим поверку и не допускается к дальнейшей эксплуатации.
8.3.11 Определение основной погрешности измерений номинальной скорости (номинальных скоростей) передачи информации с помощью РСИ-ДХ
8.3.11.1 Присоединить вход приемного тракта поверяемого РСИ-ДХ с помощью волоконно-оптического кабеля к выходу передающего тракта РЭДП-ВС.
8.3.11.2 Включить оборудование и подготовить его к работе, руководствуясь эксплуатационной документацией.
8.3.11.3 Установить режим работы поверяемого РСИ-ДХ и обеспечить на выходе РЭДП-ВС импульсно-модулированное лазерное излучение с характеристиками, соответствующими одному из рабочих стыков синхронной цифровой иерархии для поверяемого РСИ-ДХ. Операция производится в режиме генерации псевдослучайной последовательности.
Номинальные значение для всех основных оптических рабочих стыков синхронной цифровой иерархии показаны в таблице:
Скорость передачи информации | Рабочий оптический стык (оптический интерфейс) |
155,520 | STM-1 |
622,080 | STM-4 |
2488,320 | STM-16 |
9953,280 | STM-64 |
39813,120 | STM-256 |
8.3.11.4 С помощью РСИ-ДХ, используя его программное обеспечение, произвести измерение номинального значения скорости передачи информации
Vинф для контролируемого рабочего стыка СЦИ.
8.3.11.5 Повторить измерения по
8.3.11.4 еще девять раз. Вычислить среднее значение по формуле

(34)
где n = 10 - количество измерений.
8.3.11.6 Повторить операции по
8.3.11.3 -
8.3.11.5 для всех рабочих стыков СЦИ для поверяемого РСИ-ДХ.
8.3.11.7 Вычислить максимальное значение СКО результатов измерений скорости передачи информации Vинф при включении каждого доступного рабочего стыка STM синхронной цифровой иерархии по формуле

(35)
8.3.11.8 Определить максимальную НСП результатов измерений скорости передачи информации Vинф при включении каждого доступного рабочего стыка STM синхронной цифровой иерархии по формуле

(36)
где Vинф-РЭ - номинальные значения скорости передачи информации, воспроизводимые РЭДП-ВС для всех доступных в поверяемом РСИ-ДХ рабочих оптических стыков синхронной цифровой иерархии, указанные в его руководстве по эксплуатации или паспорте;

- среднее измеренное значение скорости передачи информации в соответствии с
8.3.11.5.
8.3.11.9 Определяют значения основной относительной погрешности измерений скорости передачи информации РСИ-ДХ импульсно-модулированного оптического излучения при всех доступных для поверяемого РСИ-ДХ рабочих оптических стыках синхронной цифровой иерархии

по формуле

(37)
где

- неисключенная систематическая погрешность воспроизведения скорости передачи информации РЭДП-ВС;

- СКО воспроизведения скорости передачи информации РЭДП-ВС.
8.3.11.10 Полученные результаты для основной относительной погрешности измерений скорости передачи информации РСИ-ДХ импульсно-модулированного оптического излучения при всех доступных для поверяемого РСИ-ДХ рабочих оптических стыках синхронной цифровой иерархии

должны соответствовать данным описания типа поверяемого РСИ-ДХ. В противном случае поверяемое РСИ-ДХ считается не прошедшим поверку и не допускается к дальнейшей эксплуатации.
8.3.12 Определение диапазона смещения скорости передачи информации относительно номинального значения
8.3.12.2 Изменяя установленное значение скорости передачи информации на выходе РЭДП-ВС с шагом +/- 1·10
-5 в пределах допустимого диапазона смещения скорости передачи информации относительно номинального значения поверяемого РСИ-ДХ повторить операцию
8.3.11.4. Измеренное значение скорости передачи во всем диапазоне доступных для поверяемого РСИ-ДХ рабочих оптических стыков синхронной цифровой иерархии может отличаться от значения скорости передачи, установленного на РЭДП-ВС, на величину не более предела, установленного в технической документации на РСИ-ДХ с учетом погрешности РЭДП-ВС (например - не более 0,0003%). В случае, если измеренное значение скорости передачи в диапазоне смещения превысит установленный предел, РСИ-ДХ считается не прошедшим поверку и к дальнейшей эксплуатации не допускается.
9 Оформление результатов поверки
9.1 По результатам поверки оформляется протокол поверки в соответствии с
Приложением А.
| | ИС МЕГАНОРМ: примечание. В официальном тексте документа, видимо, допущена опечатка: имеется в виду порядок проведения поверки средств измерений [4], а не правила по метрологии [4]. | |
9.2 При положительных результатах поверки оформляют свидетельство о поверке в соответствии с
правилами по метрологии
[4], и (или) наносят оттиск поверительного клейма в соответствии с
правилами по метрологии
[5].
9.3 При отрицательных результатах поверки свидетельство о предыдущей поверке аннулируют, оттиск поверительного клейма гасят и выписывают "Извещение о непригодности" с указанием причин в соответствии с требованиями
правил по метрологии
[4].
(обязательное)
ПРОТОКОЛ от "_____" ________ 20__ г. N _________
поверки средства измерений
1 Общие данные о поверяемом средстве измерений
Наименование: Рабочее средство измерений динамических характеристик
оптического излучения - например, анализатор протоколов
волоконно-оптических систем передачи информации с синхронной
цифровой иерархией.
Заводской номер: ______________________________________________________
Дата изготовления: ____________________________________________________
Владелец: _____________________________ ИНН ___________________________
2 Результаты поверки
Метрологическая характеристика | Требования технической документации | Полученные значения | Результат (соответствие) |
| | | |
| | | |
| | | |
3 Условия поверки:
- температура окружающей среды ________________________________________
- относительная влажность воздуха _____________________________________
- атмосферное давление ________________________________________________
По результатам поверки средство измерения признано пригодным/непригодным
к применению в качестве рабочего средства измерений в соответствии
с ГОСТ 8.198.
Срок очередной поверки: "____" ______________ 20__ г.
Поверку проводил ______________________________________________________
Выдано свидетельство о поверке N ______ от "_____" ____________ 20__ г.
Выдал _________________________________________________________________
| | Государственная система обеспечения единства измерений. Порядок аттестации поверителей средств измерений |
| РД 153-34.0-03.150-00 | Межотраслевые правила по охране труда (правила безопасности) при эксплуатации электроустановок |
| | Санитарные нормы и правила устройства и эксплуатации лазеров |
| | Государственная система обеспечения единства измерений. Порядок проведения поверки средств измерений |
| | Государственная система обеспечения единства измерений. Поверительные клейма |