Главная // Актуальные документы // МетодикаСПРАВКА
Источник публикации
М.: Стандартинформ, 2011
Примечание к документу
Документ
введен в действие с 01.01.2011.
Название документа
"Р 50.2.069-2009. Рекомендации по метрологии. Государственная система обеспечения единства измерений. Спектроанализаторы оптические в волоконно-оптических системах передачи информации. Методика поверки"
(утв. и введены в действие Приказом Ростехрегулирования от 15.12.2009 N 1117-ст)
"Р 50.2.069-2009. Рекомендации по метрологии. Государственная система обеспечения единства измерений. Спектроанализаторы оптические в волоконно-оптических системах передачи информации. Методика поверки"
(утв. и введены в действие Приказом Ростехрегулирования от 15.12.2009 N 1117-ст)
Утверждены и введены в действие
по техническому регулированию
и метрологии
от 15 декабря 2009 г. N 1117-ст
РЕКОМЕНДАЦИИ ПО МЕТРОЛОГИИ
ГОСУДАРСТВЕННАЯ СИСТЕМА ОБЕСПЕЧЕНИЯ ЕДИНСТВА ИЗМЕРЕНИЙ
СПЕКТРОАНАЛИЗАТОРЫ ОПТИЧЕСКИЕ В ВОЛОКОННО-ОПТИЧЕСКИХ
СИСТЕМАХ ПЕРЕДАЧИ ИНФОРМАЦИИ
МЕТОДИКА ПОВЕРКИ
State system for ensuring the uniformity of measurements.
Optical spectrum analyzers in fibre optical information
transmission systems. Verification procedure
Р 50.2.069-2009
Группа Т88.10
Дата введения
1 января 2011 года
Цели и принципы стандартизации в Российской Федерации установлены Федеральным
законом от 27 декабря 2002 г. N 184-ФЗ "О техническом регулировании", а правила применения национальных стандартов Российской Федерации -
ГОСТ Р 1.0-2004 "Стандартизация в Российской Федерации. Основные положения"
1 РАЗРАБОТАНЫ Федеральным государственным унитарным предприятием "Всероссийский научно-исследовательский институт оптико-физических измерений" (ФГУП ВНИИОФИ)
2 ВНЕСЕНЫ Управлением метрологии Федерального агентства по техническому регулированию и метрологии
3 УТВЕРЖДЕНЫ И ВВЕДЕНЫ В ДЕЙСТВИЕ
Приказом Федерального агентства по техническому регулированию и метрологии от 15 декабря 2009 г. N 1117-ст
4 ВВЕДЕНЫ ВПЕРВЫЕ
Информация об изменениях к настоящим рекомендациям публикуется в ежегодно издаваемом информационном указателе "Национальные стандарты", а текст изменений и поправок - в ежемесячно издаваемых информационных указателях "Национальные стандарты". В случае пересмотра (замены) или отмены настоящих рекомендаций соответствующее уведомление будет опубликовано в ежемесячно издаваемом информационном указателе "Национальные стандарты". Соответствующая информация, уведомление и тексты размещаются также в информационной системе общего пользования - на официальном сайте Федерального агентства по техническому регулированию и метрологии в сети Интернет
Настоящие рекомендации распространяются на оптические спектроанализаторы в волоконно-оптических системах передачи информации (далее - анализаторы спектра), предназначенные для измерения длины волны и проведения анализа оптического спектра, и устанавливают методику их первичной и периодической поверок.
Межповерочный интервал - не более одного года.
В настоящих рекомендациях использованы нормативные ссылки на следующие стандарты:
ГОСТ 8.585-2005 Государственная система обеспечения единства измерений. Государственная поверочная схема для средств измерений длины и времени распространения сигнала в световоде, средней мощности, ослабления и длины волны для волоконно-оптических систем связи и передачи информации
ГОСТ 12.1.040-83 Система стандартов безопасности труда. Лазерная безопасность. Общие положения
Примечание - При пользовании настоящими рекомендациями целесообразно проверить действие ссылочных стандартов в информационной системе общего пользования - на официальном сайте Федерального агентства по техническому регулированию и метрологии в сети Интернет или по ежегодно издаваемому информационному указателю "Национальные стандарты", который опубликован по состоянию на 1 января текущего года, и по соответствующим ежемесячно издаваемым информационным указателям, опубликованным в текущем году. Если ссылочный стандарт заменен (изменен), то при пользовании настоящими рекомендациями следует руководствоваться заменяющим (измененным) стандартом. Если ссылочный стандарт отменен без замены, то положение, в котором дана ссылка на него, применяется в части, не затрагивающей эту ссылку.
При проведении первичной и периодической поверок выполняют операции, указанные в
таблице 1.
Наименование операции | Номер подраздела, пункта настоящих рекомендаций | Обязательность проведения операции |
при первичной поверке | при периодической поверке |
Внешний осмотр и проверка комплектности | | Да | Да |
Опробование | | Да | Да |
Определение метрологических характеристик | | | |
Определение диапазона измерения длин волн и основной абсолютной погрешности измерения длин волн | | Да | Да |
Определение динамического диапазона и основной абсолютной погрешности измерения средней мощности излучения | | Да | Да |
Определение разрешения по шкале длин волн | | Да | Нет |
4.1 При проведении поверки применяют средства поверки, указанные в
таблице 2.
Номер пункта настоящих рекомендаций | Наименование и тип средства поверки | Основные технические и метрологические характеристики |
| Рабочий эталон единицы длины волны оптического излучения для волоконно-оптических систем связи и передачи информации (РЭ ДВ) | Длины волн лазерных источников излучений, нм: 1310 +/- 10; 1550 +/- 10; 1625 +/- 10. Ширина спектра по уровню 0,5 (для 1550 нм) не более 1 пм. Средняя мощность оптического излучения не менее 1 мВт. Характеристики источника излучения на основе суперлюминесцентного диода и газонаполненной кюветы с ацетиленом (входят в состав рабочего эталона): - средняя мощность оптического излучения не менее 50 мкВт; - рабочий спектральный диапазон линий поглощения 1510 - 1540 нм. Относительная погрешность определения длин волн не более 5·10-6 отн. ед. |
| Рабочий эталон единицы средней мощности для волоконно-оптических систем связи и передачи информации (РЭСМ-В) | Диапазон измеряемых значений средней мощности оптического излучения 10-10 - 10-2 Вт. Диапазоны длин волн измеряемого излучения, нм: 800 - 900; 1250 - 1350; 1500 - 1700. Предел допускаемого значения основной относительной погрешности измерения 2,5% - 5% |
4.2 Допускается применение других средств поверки, по техническим и метрологическим характеристикам не уступающих указанным в
4.1.
5 Требования безопасности и требования к квалификации поверителей
5.1 При проведении поверки соблюдают требования, установленные правилами
[1],
[2],
[3]. При работе с лазерами соблюдают требования
ГОСТ 12.1.040 и
правил [4].
Средства поверки, подключенные к электрической сети питания, заземляют.
5.2 К проведению поверки допускают лиц не моложе 18 лет, аттестованных в качестве поверителей согласно
правилам [5], прошедших инструктаж по охране труда, обучение и аттестацию относительно работы с лазерами и аттестацию на право работы с электроустановками напряжением до 1000 В, имеющих квалификационную группу по электробезопасности не ниже 3-й и изучивших настоящие рекомендации и эксплуатационную документацию на анализаторы спектра и средства их поверки.
При проведении поверки соблюдают следующие условия:
- температура окружающей среды ............... | (20 +/- 5) °C; |
- относительная влажность воздуха ............. | (65 +/- 15)%; |
- атмосферное давление ................................. | (100 +/- 4) кПа; |
- напряжение и частота питающей сети ...... | (220 +/- 22) В; (50 +/- 0,5) Гц. |
7.1 Перед проведением поверки протирают волоконно-оптический разъем и другие оптические детали анализатора спектра и средства поверки безворсовой хлопчатобумажной салфеткой, смоченной изопропанолом, а оптические разъемы продувают потоком сжатого воздуха.
7.2 Подготавливают к работе поверяемый анализатор спектра и средства поверки согласно разделу "Подготовка к работе" их руководств по эксплуатации.
8 Проведение поверки и обработка результатов измерений
8.1.1 Устанавливают комплектность поверяемого анализатора спектра в соответствии с разделом "Комплектация" его руководства по эксплуатации.
8.1.2 При внешнем осмотре анализатора спектра проверяют:
- отсутствие видимых механических повреждений;
- исправность оптических разъемов;
- исправность органов управления.
8.2.1 Включают анализатор спектра и проверяют наличие изображения экранного меню на дисплее анализатора в соответствии с руководством по эксплуатации.
8.3 Определение метрологических характеристик
8.3.1 Определение диапазона измерения длин волн и основной абсолютной погрешности измерения длин волн
8.3.1.1 Определение диапазона измерения длин волн и основной абсолютной погрешности измерения длин волн проводят методом прямых измерений, используя набор полупроводниковых лазеров и блок суперлюминесцентного диода с газонаполненной кюветой (далее - блок СЛД), входящие в состав РЭ ДВ.
Примечание - Допускается применение модификации РЭ ДВ с набором газонаполненных кювет, обеспечивающих перекрытие рабочего спектрального диапазона.
Соединяют оптическим кабелем выходной разъем блока СЛД и вход поверяемого анализатора спектра. Переводят переключатель на лицевой панели блока СЛД в положение "СЛД" и устанавливают диапазон сканирования поверяемого анализатора спектра 1510 - 1540 нм.
8.3.1.2 Нормируют шкалы анализатора спектра по максимуму сигнала и проводят серию
i измерений, где
i >= 10 значений длин волн линий поглощения ацетилена
12C
2H
2, наполняющего кювету, с помощью поверяемого анализатора спектра. Приведенные данные для
12C
2H
2 таблицы 3 соответствуют типовым значениям пиков поглощения ацетилена. Конкретные значения длин волн пиков поглощения ацетилена приводят в руководстве по эксплуатации РЭ ДВ. Результаты измерений вносят в
таблицу 3.
Значение длины волны линий поглощения ацетилена 12C2H2 | Показание анализатора спектра | Значение длины волны линий поглощения ацетилена 12C2H2 | Показание анализатора спектра |
i = 1 | i... | i = 10 | i = 1 | i... | i = 10 |
1512,453 | | | | 1523,086 | | | |
1515,593 | | | | 1528,014 | | | |
1517,315 | | | | 1535,393 | | | |
1520,086 | | | | 1539,430 | | | |
Для
n измеренных значений длин волн определяют среднее значение

:

, (1)
где

-
i-е значение длины волны.
8.3.1.3 Определение параметров по 8.3.1 для длин волн на краях и в середине спектрального диапазона проводят с помощью трех лазеров, работающих на длинах волн вблизи 1310, 1550 и 1625 нм.
Соединяют оптическим кабелем выходной разъем канала одного из лазеров и вход поверяемого анализатора спектра.
8.3.1.4 Переводят переключатель на лицевой панели РЭ ДВ в положение "Лазеры". Проводят измерения значений длин волн по лазерным линиям излучения. Результаты измерений вносят в
таблицу 4. Приведенные в
таблице 4 значения длины волны лазера соответствуют типовым значениям длин волн источников. Конкретные значения приведены в руководстве по эксплуатации РЭ ДВ.
Значение длины волны лазера, нм | Показание анализатора спектра | Значение длины волны лазера, нм | Показание анализатора спектра |
1310 | | 1625 | |
1550 | |
Измерения проводят
n >= 10 раз для каждого значения длины волны излучения полупроводниковых лазеров, определяют средние значения по
формуле (1).
Примечание - При наличии нижней границы спектрального диапазона анализатора спектра на более коротких длинах волн (до 0,6 мкм) допускается применение дополнительного отдельного He-Ne лазера.
8.3.1.5 Для полученных по
8.3.1.2 и
8.3.1.4 результатов измерений определяют среднее квадратичное отклонение (СКО) результата измерений
S по формуле

, (2)
где

- длина волны, регистрируемая на поверяемом анализаторе спектра для
i-го измерения.
Абсолютную погрешность

при измерении длины волны вычисляют по формуле

(3)
где

- значение длины волны, воспроизводимое РЭ ДВ,

- абсолютное значение погрешности РЭ ДВ соответственно (значения из руководства по эксплуатации РЭ ДВ).
8.3.1.6 Результаты поверки считают положительными, если анализатор спектра позволяет выполнять измерения крайних значений длин волн, а максимальное значение абсолютной погрешности измерения длин волн (как для значений пиков поглощения ацетилена, так и для лазерных излучателей) не превышает допустимых пределов, указанных в руководстве по эксплуатации анализатора спектра.
8.3.2 Определение динамического диапазона и основной абсолютной погрешности измерения средней мощности излучения
8.3.2.1 Определение динамического диапазона проводят на длинах волн 1310 и 1550 нм, излучаемых одночастотными полупроводниковыми лазерами РЭ ДВ.
1 - полупроводниковый лазер (длина волны излучения 1310
или 1550 нм); 2 - оптический кабель; 3 - аттенюатор;
4 - оптический разветвитель; 5 - поверяемый оптический
анализатор спектра; 6 - РЭСМ-В
Рисунок 1 - Блок-схема установки для определения
динамического диапазона и погрешности измерения средней
мощности излучения
Регулируя ослабление посредством аттенюатора
3 с шагом 3 - 5 дБ так, чтобы измеряемое значение средней мощности излучения полупроводникового лазера
1 (в максимуме распределения интенсивности) лежало в диапазоне от максимального до минимального значения, измеряемого анализатором спектра, проводят измерение длины волны с помощью поверяемого анализатора спектра в соответствии с
8.3.1.3 -
8.3.1.5. Значение ослабления одновременно регистрируется РЭСМ-В. За динамический диапазон принимают полученное максимальное значение изменения мощности, при котором полученное отклонение значения длины волны от значения длины волны, воспроизводимого на РЭ ДВ, не превышает значения погрешности измерения длины волны, указанного в руководстве по эксплуатации анализатора спектра.
8.3.2.2 Для определения основной абсолютной погрешности измерения средней мощности излучения проводят измерение средней мощности для излучателей с длинами волн 1310 и 1550 нм при уровне мощности, указанном в спецификации руководства по эксплуатации анализатора спектра. Одновременно измерение мощности проводят с помощью ваттметра из состава РЭСМ-В. Определяют среднее значение мощности

по показаниям поверяемого анализатора спектра и РЭСМ-В по формулам

(4)
где PАС,i - значение мощности, полученное в результате i-го измерения с помощью поверяемого анализатора спектра;
PРЭ,i - значение мощности, полученное в результате i-го измерения с помощью РЭСМ-В.
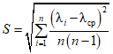
Рассчитывают среднее квадратичное отклонение результата измерений S по формуле

(5)
где

- среднее значение мощности, измеренное с помощью поверяемого анализатора спектра.
Определяют основную абсолютную погрешность

при измерении мощности излучения при доверительной вероятности
P = 0,95 по формуле

, (6)

- неисключенная систематическая погрешность, определяемая по формуле

, (7)
где

- среднее значение мощности, измеренное с помощью РЭСМ-В;

- коэффициент деления ответвителем мощности излучения, среднее значение по результатам
n измерений

(8)

, (9)
где Ki - i-е значение коэффициента деления.
8.3.2.3 Результаты поверки считают положительными, если полученные значения динамического диапазона и погрешности измерения мощности соответствуют значениям, указанным в руководстве по эксплуатации.
8.3.3 Определение разрешения по шкале длин волн
8.3.3.1 Включают переключатель на лицевой панели РЭ ДВ в положение "Лазеры".
8.3.3.2 Соединяют оптическим кабелем FC/PC-FC/APC выходной разъем FC/PC канала лазера с длиной волны 1550 нм и вход поверяемого анализатора спектра.
8.3.3.3 Устанавливают на поверяемом приборе максимальное разрешение.
8.3.3.4 Измеряют ширину линии по уровню 0,5 (или -3 дБ). Измеренная ширина и есть искомое разрешение.
8.3.3.5 Результаты поверки считают положительными, если измеренная ширина линии соответствует значениям, указанным в спецификации руководства по эксплуатации поверяемого анализатора спектра.
9 Оформление результатов поверки
9.1 При положительных результатах поверки оформляют свидетельство о поверке в соответствии с
правилами [6] и (или) наносят на анализатор спектра оттиск поверительного клейма в соответствии с
правилами [7].
9.2 При отрицательных результатах поверки анализатор спектра к эксплуатации не допускают, свидетельство о поверке аннулируют, оттиск поверительного клейма гасят и выдают извещение о непригодности с указанием причин в соответствии с
правилами [6].
| ПЭУ | Правила устройства электроустановок. Утверждены Приказом Минэнерго РФ от 08.07.2002 г. N 204 |
| | Правила технической эксплуатации электроустановок потребителей. Утверждены Приказом Минэнерго РФ от 13.01.2003 г. N 6 |
| | Межотраслевые правила по охране труда (правила безопасности) при эксплуатации электроустановок |
| | Санитарные нормы и правила устройства и эксплуатации лазеров |
| | Государственная система обеспечения единства измерений. Порядок аттестации поверителей средств измерений |
| | Государственная система обеспечения единства измерений. Порядок проведения поверки средств измерений |
| | Государственная система обеспечения единства измерений. Поверительные клейма |
УДК 621.372:006.354 | | Т88.10 |
Ключевые слова: анализатор спектра, волоконно-оптические системы передачи информации, ослабление и длина волны |