Главная // Актуальные документы // МетодикаСПРАВКА
Источник публикации
Ростов-на-Дону: Росгидромет, ФГБУ "ГХИ", 2020
Примечание к документу
Документ
введен в действие с 01.11.2020.
Название документа
"РД 52.24.468-2019. Руководящий документ. Массовая концентрация взвешенных веществ и сухого остатка в водах. Методика измерений гравиметрическим методом"
(введен в действие Приказом Росгидромета от 05.02.2020 N 47)
"РД 52.24.468-2019. Руководящий документ. Массовая концентрация взвешенных веществ и сухого остатка в водах. Методика измерений гравиметрическим методом"
(введен в действие Приказом Росгидромета от 05.02.2020 N 47)
Руководителем Росгидромета
30 декабря 2019 года
Введен в действие
от 5 февраля 2020 г. N 47
РУКОВОДЯЩИЙ ДОКУМЕНТ
МАССОВАЯ КОНЦЕНТРАЦИЯ ВЗВЕШЕННЫХ ВЕЩЕСТВ
И СУХОГО ОСТАТКА В ВОДАХ
МЕТОДИКА ИЗМЕРЕНИЙ ГРАВИМЕТРИЧЕСКИМ МЕТОДОМ
РД 52.24.468-2019
Дата введения
1 ноября 2020 года
1 РАЗРАБОТАН Федеральным государственным бюджетным учреждением "Гидрохимический институт" (ФГБУ "ГХИ")
2 РАЗРАБОТЧИКИ Ю.А. Андреев, канд. хим. наук (руководитель разработки), Н.С. Тамбиева (ответственный исполнитель), В.Е. Котова, А.А. Назарова, канд. хим. наук.
3 СОГЛАСОВАН:
- с Федеральным государственным бюджетным учреждением "Научно-производственное объединение "Тайфун" (ФГБУ "НПО "Тайфун") 25.12.2019;
- с Управлением мониторинга состояния и загрязнения окружающей среды (УМСЗ) Росгидромета 27.12.2019
4 УТВЕРЖДЕН Руководителем Росгидромета 30.12.2019.
ВВЕДЕН В ДЕЙСТВИЕ
приказом Росгидромета от 05.02.2020 N 47
5 АТТЕСТОВАНА ФГБУ "ГХИ".
Свидетельство об аттестации методики измерений N 468.RA.RU.311345-2019 от 30.12.2019
6 ЗАРЕГИСТРИРОВАН головной организацией по стандартизации ФГБУ "НПО "Тайфун" 20.01.2020.
ОБОЗНАЧЕНИЕ РУКОВОДЯЩЕГО ДОКУМЕНТА РД 52.24.468-2019
7 ВЗАМЕН
РД 52.24.468-2005 "Взвешенные вещества и общее содержание примесей в водах. Методика выполнения измерений гравиметрическим методом"
8 СРОК ПЕРВОЙ ПРОВЕРКИ 2030 год.
ПЕРИОДИЧНОСТЬ ПРОВЕРКИ 10 лет
Все содержащиеся в воде вещества можно условно разделить на растворенные и взвешенные.
В соответствии с
ГОСТ 30813 взвешенные вещества в воде - это вещества, выделенные из воды путем фильтрования и (или) центрифугирования. В зависимости от применяемого способа выделения результат определения содержания будет различным.
Взвешенные вещества в воде - это частицы разного происхождения размером от долей микрометров до нескольких миллиметров, находящиеся в водном объекте во взвешенном состоянии. Согласно общему понятию о растворенных формах соединений отнесение к взвешенным веществам следует проводить на основе следующего подхода. Взвешенные вещества - это частицы минерального и органического происхождения, остающиеся при пропускании воды на фильтре с диаметром пор 0,45 мкм.
К таким веществам относятся продукты размыва почв, горных пород, обломочный материал вулканических извержений, планктон, продукты жизнедеятельности организмов и т.д.
Взвешенные вещества относятся к показателям загрязненности водоемов и они существенно влияют на физические свойства (прозрачность, цвет, акустика и др.) и химический состав воды.
Они обладают высокой поверхностной активностью и избирательно сорбируют многие загрязняющие вещества, осаждаются на естественных барьерах в водоеме, и при определенных условиях (взмучивание, изменение pH, минерализации) аккумулированные вещества могут переходить в водную среду, вызывая ее вторичное загрязнение.
Взвешенные вещества являются основным исходным материалом для образования донных осадков.
При большом количестве поступающих со сточными водами взвешенных веществ замедляется процесс самоочищения водного объекта: попадая на дно, они могут образовывать осадки большой мощности, в которых развиваются бактериальные анаэробные процессы, длительное время поддерживающие поступление в воду продуктов анаэробного распада.
Концентрация взвешенных веществ связана с сезонными, антропогенными факторами, режимом стока и т.д. и может существенно различаться и колебаться в водных объектах от единиц до тысяч миллиграммов в кубическом дециметре.
Для водных объектов (в том числе рыбохозяйственного значения), содержащих в межень более 30 мг/дм3 природных взвешенных веществ, допускается увеличение их содержания в воде в пределах 5%.
Масса сухого остатка, получаемого при выпаривании профильтрованной пробы воды при температуре 105 °C, характеризует общее содержание растворенных в воде нелетучих минеральных и частично органических соединений, не разлагающихся при данной температуре.
Основными ионами, определяющими содержание растворенных твердых веществ, являются карбонаты, гидрокарбонаты, хлориды, сульфаты, нитраты, натрий, калий, кальций и магний. Наличие этих веществ в водах обуславливается как природными процессами вымывания осадочных пород, слагающих русло рек, так и антропогенными факторами: ливневые городские стоки, сбросы промышленных сточных вод и др.
Массовая концентрация сухого осадка может изменяться в диапазоне от единиц до тысяч миллиграммов в кубическом дециметре, в засушливых условиях в небольших реках - до 15 г/дм3, в засоленных водах - до 35 г/дм3.
Сухой остаток взаимосвязан с содержанием в анализируемой воде минеральных веществ, но прямо пропорциональная зависимость с минерализацией не всегда однозначна. При высоких концентрациях ионов, способных образовывать соли в виде кристаллогидратов, массовая концентрация сухого остатка часто может превышать минерализацию, но за счет разложения гидрокарбонатов может наблюдаться и обратное (минерализация может превышать сухой остаток), поэтому прямое отождествление сухого остатка и минерализации нельзя считать правомерным.
Нормативы качества воды для сухого остатка не установлены. Согласно гигиеническим требованиям к охране поверхностных вод минерализация воды не должна превышать 1000 мг/дм3.
Настоящий руководящий документ устанавливает методику измерений (далее - методика) массовой концентрации взвешенных веществ в диапазоне от 2,5 до 5000 мг/дм3 и сухого остатка в диапазоне от 5,0 до 10000 мг/дм3 в пробах природных и очищенных сточных вод гравиметрическим методом.
Настоящий руководящий документ предназначен для использования в лабораториях, осуществляющих анализ природных и очищенных сточных вод.
В настоящем руководящем документе использованы нормативные ссылки на следующие нормативные документы:
ГОСТ 12.1.005-88 Система стандартов безопасности труда. Общие санитарно-гигиенические требования к воздуху рабочей зоны
ГОСТ 12.1.007-76 Система стандартов безопасности труда. Вредные вещества. Классификация и общие требования безопасности
ГОСТ 17.1.5.04-81 Охрана природы. Гидросфера. Приборы и устройства для отбора, первичной обработки и хранения проб природных вод. Общие технические условия
ГОСТ 17.1.5.05-85 Охрана природы. Гидросфера. Общие требования к отбору проб поверхностных и морских вод, льда и атмосферных осадков
ГОСТ 1770-74 Посуда мерная лабораторная стеклянная. Цилиндры, мензурки, колбы, пробирки. Общие технические условия
ГОСТ 4166-76 Реактивы. Натрий сернокислый. Технические условия
ГОСТ 9147-80 Посуда и оборудование лабораторные фарфоровые. Технические условия
ГОСТ 14919-83 Электроплиты, электроплитки и жарочные электрошкафы бытовые. Общие технические условия
ГОСТ 25336-82 Посуда и оборудование лабораторные стеклянные. Типы, основные параметры и размеры
ГОСТ 29169-91 Посуда лабораторная стеклянная. Пипетки с одной отметкой
ГОСТ OIML R 76-1-2011 Государственная система обеспечения единства измерений. Весы неавтоматического действия. Часть 1. Метрологические и технические требования. Испытания
ГОСТ Р 53228-2008 Весы неавтоматического действия. Часть 1. Метрологические и технические требования. Испытания
ГОСТ Р ИСО 5725-6-2002 Точность (правильность и прецизионность) методов и результатов измерений. Часть 6. Использование значений точности на практике
МИ 2881-2004 Государственная система обеспечения единства измерений. Методики количественного химического анализа. Процедуры проверки приемлемости результатов анализа
Примечание - При пользовании настоящим руководящим документом целесообразно проверять действие ссылочных нормативных документов:
- стандартов - в информационной системе общего пользования - на официальном сайте федерального органа исполнительной власти в сфере стандартизации в сети Интернет или по ежегодно издаваемому информационному указателю "Национальные стандарты", который опубликован по состоянию на 1 января текущего года, и по выпускам ежемесячно издаваемого информационного указателя "Национальные стандарты" за текущий год;
- нормативных документов по метрологии - по ежегодно издаваемому "Перечню нормативных документов в области метрологии", опубликованному по состоянию на 1 января текущего года.
Если ссылочный нормативный документ заменен (изменен), то при пользовании настоящим руководящим документом следует руководствоваться замененным (измененным) нормативным документом. Если ссылочный нормативный документ отменен без замены, то положение, в котором дана ссылка на него, применяется в части, не затрагивающей эту ссылку.
3 Требования к показателям точности измерений
3.1 При соблюдении всех регламентируемых методикой условий проведения измерений характеристики погрешности результата измерения с вероятностью 0,95 не должны превышать значений, приведенных в
таблицах 1,
2.
Таблица 1
Диапазон измерений массовой концентрации взвешенных веществ,
показатели повторяемости, воспроизводимости, правильности
и точности при принятой вероятности P = 0,95
Диапазон измерений массовой концентрации взвешенных веществ | Показатель повторяемости (среднеквадратическое отклонение повторяемости) | Показатель воспроизводимости (среднеквадратическое отклонение воспроизводимости) | Показатель правильности (границы систематической погрешности) | Показатель точности (границы абсолютной погрешности) |
Xв, мг/дм3 |  , мг/дм 3 |  , мг/дм 3 |  , мг/дм 3 |  , мг/дм 3 |
|
От 2,5 до 100 включ. | 1 + 0,07·X | 1 + 0,07·X | 0,5 + 0,05·X | 1 + 0,15·X |
Св. 100 до 5000 включ. | 0,056·X | 0,056·X | 0,06·X | 0,13·X |
|
От 2,5 до 100 включ. | 0,3 + 0,27·X | 0,3 + 0,27·X | 0,9 + 0,07·X | 1 + 0,32·X |
Св. 100 до 5000 включ. | 0,23·X | 0,23·X | 0,075·X | 0,30·X |
Таблица 2
Диапазон измерений массовой концентрации сухого остатка,
показатели повторяемости, воспроизводимости, правильности
и точности при принятой вероятности P = 0,95
Диапазон измерений массовой концентрации сухого остатка | Показатель повторяемости (среднеквадратическое отклонение повторяемости) | Показатель воспроизводимости (среднеквадратическое отклонение воспроизводимости) | Показатель правильности (границы систематической погрешности) | Показатель точности (границы абсолютной погрешности) |
Xс, мг/дм3 |  , мг/дм 3 |  , мг/дм 3 |  , мг/дм 3 |  , мг/дм 3 |
От 5,0 до 100 включ. | 0,2 + 0,024·X | 0,5 + 0,03·X | 0,2 + 0,01·X | 1 + 0,05·X |
Св. 100 до 10000 включ. | 0,02·X | 0,9 + 0,005·X | 3,8 + 0,0062·X | 2,3 + 0,011·X |
Предел обнаружения по настоящему руководящему документу составляет:
2 мг/дм3 для сухого остатка.
3.2 Значения показателя точности методики используют при:
- оформлении результатов измерений, выдаваемых лабораторией;
- оценке деятельности лабораторий на качество проведения измерений;
- оценке возможности использования результатов измерений при реализации методики в конкретной лаборатории.
4 Требования к средствам измерений, вспомогательным устройствам, реактивам, материалам
4.1 Средства измерений, вспомогательные устройства
4.1.2 Государственный стандартный образец общей минерализации воды ГСО 9283-2008 или аналогичный с относительной погрешностью аттестованного значения не более 1,0%.
4.1.3 Цилиндры мерные 2-го класса точности, исполнения 1 или 3 по
ГОСТ 1770-74, вместимостью: 25 см
3 - 4 шт., 50 см
3 - 4 шт., 100 см
3 - 4 шт., 250 см
3 - 4 шт., 500 см
3 - 4 шт.; 1000 см
3 - 2 шт.
4.1.4 Колбы конические типа Кн исполнения 2 или колбы плоскодонные типа П исполнения 2 по
ГОСТ 25336-82, вместимостью: 500 см
3 - 10 шт.; 1000 см
3 - 10 шт.
4.1.5 Пипетки с одной отметкой 2-го класса точности, исполнения 2 по
ГОСТ 29169-91, вместимостью: 5 см
3 - 1 шт.; 10 см
3 - 1 шт.; 50 см
3 - 1 шт.; 100 см
3 - 1 шт.
4.1.6 Стаканы типа Н исполнения 1 из стекла группы ТХС по
ГОСТ 25336-82, вместимостью: 150 см
3 - 1 шт.; 250 см
3 - 10 шт.; 400 см
3 - 10 шт.; 1000 см
3 - 1 шт.
4.1.7 Стаканчики для взвешивания (далее - бюксы) по
ГОСТ 25336-82, типа: СН-45/13 - 10 шт.; СН-60/14 - 10 шт.
4.1.8 Воронка лабораторная типа В по
ГОСТ 25336-82, диаметром 75 мм - 10 шт.; 100 мм - 10 шт.
4.1.9 Устройство для фильтрования проб соответствующего диаметра (по
4.2.1) любого типа, например, фирмы NALGENE кат. номер 9046062 или аналог.
При выполнении измерений по
варианту 1 вместо устройства для фильтрования проб допускается использовать фильтродержатель любого типа и колбу с тубусом исполнения 1 или 2 по
ГОСТ 25336-82, вместимостью 500 см
3 или 1000 см
3 и вакуумный насос любого типа или водоструйный насос по
ГОСТ 25336-82.
4.1.10 Шкаф сушильный общелабораторного назначения любого типа, обеспечивающий температуру (105 +/- 2) °C.
4.1.11 Электропечь лабораторная SNOL 8,2/1100 или высокотемпературная (муфельная) печь любого типа, обеспечивающая температуру (400 +/- 20) °C.
4.1.12 Электроплитка с закрытой спиралью и потребляемой мощностью по
ГОСТ 14919-83.
4.1.13 Чашки типа ЧБН исполнения 1 или 2 (чашки Петри) по
ГОСТ 25336-82, диаметром 100 или 150 мм - 2 шт.
4.1.14 Чашки выпарительные по
ГОСТ 9147-80: номер 2 - 10 шт.; номер 3 - 10 шт.
4.1.15 Эксикаторы исполнения 2 с диаметром корпуса 190 мм по
ГОСТ 25336-82 - 2 шт.
4.1.16 Посуда стеклянная (в том числе из темного стекла) для отбора проб и хранения растворов вместимостью 0,5 и 1,0 дм3.
4.1.17 Посуда полиэтиленовая (полипропиленовая) для отбора проб и хранения растворов вместимостью 0,5 и 1,0 дм3.
4.1.18 Промывалка.
4.1.19 Шпатель пластмассовый.
Примечание - Допускается использование других типов средств измерений, посуды и вспомогательного оборудования, в том числе импортных, с характеристиками не хуже, чем у приведенных в 4.1.
4.2.1 Мембрана "Владипор" типа МФАС-ОС-2, 0,45 мкм, диаметр диска 47 мм по ТУ 2265-011-43153636
[1], или "Владипор" типа МФАС-ВА, 0,45 мкм, диаметр диска 47 мм по ТУ 6-55-221-1597
[2] (далее - мембранные фильтры), или другого типа с равноценными характеристиками.
4.2.2 Фильтры бумажные обеззоленные "синяя лента" по ТУ 6-09-1678
[3] диаметром 90 или 110 мм.
4.2.5 Кальций хлорид (кальций хлористый) обезвоженный по ТУ 6-09-4711
[4], ч. или силикагель КСКГ по
ГОСТ 3956-76 (для эксикатора).
4.2.6 Натрий сернокислый, безводный (натрия сульфат) по
ГОСТ 4166-76, ч.д.а.
Примечание - Допускается использование реактивов, изготовленных по другой нормативно-технической документации, в том числе импортных, с квалификацией не ниже указанной в 4.2.
Гравиметрический метод измерения массовой концентрации взвешенных веществ основан на измерении массы осадка, полученного при фильтровании пробы воды через мембранный фильтр (далее -
вариант 1) или бумажный фильтр (далее -
вариант 2) и высушенного до постоянной массы при температуре 105 °C.
Гравиметрический метод определения массовой концентрации сухого остатка основан на измерении массы осадка, полученного при выпаривании известного объема профильтрованной анализируемой воды, и высушенного до постоянной массы при температуре 105 °C.
6 Требования безопасности, охраны окружающей среды
6.1 При выполнении измерений массовой концентрации взвешенных веществ и сухого остатка в пробах природных и очищенных сточных вод соблюдают требования безопасности, установленные в национальных стандартах и соответствующих нормативных документах.
6.2 По степени воздействия на организм вредные вещества, используемые при выполнении измерений, относятся ко 2, 3 и 4-му классам опасности по
ГОСТ 12.1.007.
6.3 Содержание используемых вредных веществ в воздухе рабочей зоны не должно превышать установленных предельно допустимых концентраций в соответствии с
ГОСТ 12.1.005.
6.4 Вредные вещества подлежат сбору и утилизации в соответствии с установленными правилами.
6.5 Особых требований по экологической безопасности не предъявляется.
7 Требования к квалификации операторов
К выполнению измерений и обработке их результатов допускают лиц с высшим или средним профессиональным образованием, имеющих стаж работы в лаборатории не менее 6 мес и освоивших методику.
8 Требования к условиям измерений
При выполнении измерений соблюдают следующие условия:
- температура окружающего воздуха, °C ............................... | 22 +/- 5; |
- атмосферное давление, кПа (мм рт. ст.) ............................. | от 84,0 до 106,7 (от 630 до 800); |
- влажность воздуха при температуре 25 °C, %, не более ... | 80; |
- напряжение в сети, В ............................................................ | 220 +/- 22; |
- частота переменного тока в сети питания, Гц ................... | 50 +/- 1. |
9 Подготовка к выполнению измерений
9.1 Отбор и хранение проб
Отбор проб для определения взвешенных веществ и сухого остатка производится в соответствии с
ГОСТ 17.1.5.05 и
ГОСТ 31861. Оборудование для отбора проб должно соответствовать
ГОСТ 17.1.5.04 и
ГОСТ 31861. Пробы помещают в стеклянную или пластиковую посуду с плотно закрывающейся пробкой. Перед отбором посуду ополаскивают анализируемой водой.
При отборе следует избегать попадания в пробу воды нефтяных пленок, масел, жиров. Если в пробе, доставленной в лабораторию, на поверхности присутствует пленка, ее удаляют с помощью шпателя или фильтровальной бумаги. Избегают также попадания в отбираемые пробы воды единичных включений остатков растительного происхождения.
Объем отбираемой пробы должен быть не менее 1000 см3. Если пробу воды отбирают батометром небольшой вместимости, весь объем пробы воды сразу же сливают в транспортную емкость. Если отбор проб осуществляется другим устройством, то отбирают объем воды около 1000 см3, тщательно перемешивают и полностью переносят в транспортную емкость. Пробы не консервируют. Определение взвешенных веществ и сухого остатка проводят в течение 24 ч после отбора пробы. При невозможности выполнения данного условия пробы хранят в холодильнике не более 7 сут.
9.2.1 Посуда для отбора проб
Посуду, используемую для отбора проб воды при определении сухого остатка и взвешенных веществ, обрабатывают 6%-ным раствором соляной кислоты, после чего тщательно промывают проточной водой и ополаскивают дистиллированной водой.
Использовать посуду для определения других показателей состава природных вод не рекомендуется.
9.2.2 Эксикатор
Эксикатор заполняют силикагелем или хлоридом кальция. Используют до тех пор, пока силикагель не обесцветится или гранулы хлорида кальция не станут рыхлыми. Хлорид кальция заменяют. Силикагель регенерируют прокаливанием в сушильном шкафу при 160 °C не менее 4 ч.
Фарфоровые чашки для определения сухого остатка нумеруют с помощью маркера, обрабатывают 6%-ным раствором соляной кислоты, тщательно промывают только дистиллированной водой. В случае если на дне чашки присутствует осадок, его удаляют механически, далее обрабатывают кислотой и промывают, как описано выше. Затем чашки просушивают на воздухе и помещают в сушильный шкаф при температуре (105 +/- 2) °C на 2 ч. Далее горячие чашки переносят при помощи металлического пинцета или щипцов в эксикатор и охлаждают не менее 2 ч в помещении, где установлены весы. Если чашки располагают в эксикаторе в один ряд, для их охлаждения достаточно 2 ч, при расположении чашек одна в одну в несколько рядов - время охлаждения может составлять от 4 до 6 ч.
Примечание - Допускается время охлаждения при подготовке фарфоровых чашек, как и чашек с сухим остатком по
10.3, подбирать самостоятельно в зависимости от температурных условий в лаборатории. Критерием полного охлаждения фарфоровых чашек служит не изменяющееся в течение 30 с значение массы на весах.
Чашки взвешивают, значения массы записывают в рабочий журнал. Затем снова помещают чашки в сушильный шкаф и высушивают при указанной температуре в течение 1 ч, далее охлаждают и взвешивают, как описано выше. Процедуру высушивания и охлаждения в эксикаторе повторяют до тех пор, пока разница между двумя последовательными результатами взвешивания не будет превышать 0,5 мг. Последний результат взвешивания используют для дальнейших расчетов.
Доведенные до постоянной массы чашки хранят в плотно закрытом эксикаторе не более 7 сут.
9.2.4 Бюксы
Перед первым использованием бюксы подготавливают по процедуре, описанной в
9.2.1.
При визуальном загрязнении и (или) попадании взвешенных частиц с фильтров бюксы очищают механически и промывают дистиллированной водой.
Мембранные фильтры визуально проверяют на отсутствие надрывов, трещин и механических повреждений, в случае их наличия такие фильтры не применяют.
Подготовку мембранных фильтров типа МФАС-ОС-2 проводят следующим образом. В термостойкий стакан вместимостью 150 см3 наливают 50 см3 дистиллированной воды и помещают на электроплитку. При использовании мембранных фильтров с другим диаметром диска используют стакан другой вместимости и с диаметром, незначительно превышающим диаметр фильтра.
Нагревают воду до начала кипения и уменьшают нагрев. Во избежание слипания фильтры помещают на поверхность воды по одному после опускания на дно предыдущего. Допускается одновременно проводить подготовку до 10 штук в одном стакане. Затем нагрев плитки увеличивают, воду с фильтрами доводят до кипения и кипятят от 5 до 10 мин. Воду аккуратно сливают и добавляют в стакан 50 см3 дистиллированной воды. С помощью пинцета фильтры по одному переносят в чашки Петри и размещают таким образом, чтобы фильтры не касались друг друга. Допускается использование часовых стекол для просушивания мембранных фильтров. Фильтры подсушивают на воздухе и затем в сушильном шкафу при температуре 60 °C в течение 1 ч. Подготовленные фильтры хранят в закрытых чашках Петри не более 3 мес.
Перед использованием фильтр маркируют мягким карандашом, с помощью пинцета помещают в маркированный бюкс и высушивают в открытом бюксе в сушильном шкафу при температуре (105 +/- 2) °C в течение 1 ч (крышку бюкса также помещают в сушильный шкаф). Затем горячие бюксы с фильтрами закрывают крышками, переносят и располагают в эксикаторе в один ряд. Охлаждают фильтры в течение 2 ч в помещении, где установлены весы. Взвешивают бюксы с фильтрами, массы записывают в рабочий журнал. Повторяют процедуру высушивания, выдерживая фильтры в сушильном шкафу в течение 0,5 ч, до тех пор, пока разница между двумя последовательными результатами взвешивания не будет превышать 0,5 мг. Последний результат взвешивания используют для дальнейших расчетов.
Для получения более воспроизводимых результатов рекомендуется время охлаждения в эксикаторе подготовленных фильтров и фильтров со взвешенными веществами по
10.1 сохранять одинаковым.
Подготовку мембранных фильтров типа МФАС-ВА проводят без процедуры кипячения только посредством высушивания, как описано выше.
Бумажные фильтры "синяя лента" маркируют мягким карандашом, складывают конусом по форме воронки и помещают в нее. Воронку с фильтром устанавливают в колбу вместимостью 500 см3 и промывают не менее 250 см3 дистиллированной воды. Допускается при промывании фильтров применять другую посуду. Фильтр высушивают на воздухе досуха, вынимают из воронки, помещают в маркированный бюкс. Если промытый фильтр после выдерживания на воздухе остается слегка влажным, то на его высушивание до постоянной массы в сушильном шкафу потребуется не менее 5 ч.
Фильтр высушивают в сушильном шкафу в открытом бюксе (крышку бюкса также помещают в сушильный шкаф) при температуре (105 +/- 2) °C в течение 3 ч. Затем горячие бюксы с фильтрами закрывают крышками, переносят в эксикатор, где их располагают в один ряд. Охлаждают фильтры в течение 2 ч в помещении, где установлены весы. Взвешивают бюксы с фильтрами, массы записывают в рабочий журнал. Повторяют процедуру высушивания, выдерживая фильтры в сушильном шкафу в течение 1 ч, до тех пор, пока разница между двумя последовательными результатами взвешивания не будет превышать 0,5 мг. Последний результат взвешивания используют для дальнейших расчетов.
Для получения более воспроизводимых результатов рекомендуется время охлаждения в эксикаторе подготовленных фильтров и фильтров с взвешенными веществами по
10.2 сохранять одинаковым.
Доведенные до постоянной массы бумажные фильтры хранят в закрытых бюксах в эксикаторе не более 7 сут.
9.4 Подготовка установки для фильтрования проб
Подготовку установки для фильтрования проб осуществляют в соответствии с инструкцией по ее эксплуатации.
9.5 Приготовление растворов
9.5.1 Раствор соляной кислоты, 6%-ный
В термостойкий стакан вместимостью 1000 см3, содержащий 850 см3 дистиллированной воды, приливают 150 см3 соляной кислоты. Срок хранения в плотно закрытой посуде не ограничен.
10 Порядок выполнения измерений
10.1 Измерение массовой концентрации взвешенных веществ с использованием мембранных фильтров (вариант 1)
10.1.1 Подготовленный и взвешенный по
9.3.1 мембранный фильтр пинцетом извлекают из бюкса, смачивают дистиллированной водой, аккуратно укладывают и закрепляют в установке для фильтрования. В зависимости от применяемого оборудования допускается проводить фильтрование под вакуумом (при разрежении), а также под давлением (при нагнетании воздуха). При любом виде фильтрования следует избегать чрезмерно избыточного значения вакуума или давления для ускорения фильтрования во избежание разрыва мембраны фильтра.
10.1.2 Анализируемую воду тщательно встряхивают в транспортной таре и затем наливают в цилиндр порциями (тщательно встряхивая перед каждой наливаемой порцией). Требуемый объем отбираемой аликвоты пробы воды зависит от массы взвешенных веществ, получаемых на фильтре. Оптимальная масса осадка взвешенных веществ на фильтре должна быть не менее 2 мг и не более 200 мг.
Выбор отбираемого для фильтрования объема воды проводят по визуальной оценке наличия взвешенных веществ. Если проба отстоялась, обращают внимание на осадок на дне транспортной тары, затем пробу взбалтывают. При едва заметном осадке и практически прозрачной пробе воды при взбалтывании следует фильтровать 1000 см3. При наличии незначительного количества осадка и появлении мутности при взбалтывании фильтруют 500 см3. При явно выраженном осадке фильтруют 250 см3 и менее воды.
Рекомендуемые объемы пробы воды для фильтрования в зависимости от массовой концентрации взвешенных веществ приведены в
таблице 3.
Таблица 3
Объем аликвоты воды, отбираемый для фильтрования
при измерении массовой концентрации взвешенных веществ
Диапазон массовой концентрации взвешенных веществ, мг/дм3 | Отбираемый для фильтрования объем аликвоты воды, см3 |
От 2,5 до 5 включ. | 1000 |
Св. 5 до 50 включ. | 500 |
Св. 50 до 250 включ. | 250 |
Св. 250 до 1000 включ. | 100 |
Св. 1000 до 5000 включ. | 50 |
10.1.3 Выбранный объем для фильтрования измеряют с помощью цилиндра. Если для фильтрования используют весь объем отобранной пробы воды, то пробу переносят в воронку с фильтром непосредственно из транспортной тары. При этом проводят измерение объема пробы профильтрованной воды.
Сначала через фильтр пропускают порцию воды объемом не более 20 см3, полученным фильтратом обмывают приемный сосуд, фильтрат отбрасывают, после чего продолжают фильтрование аликвоты пробы воды.
Для менее продолжительного фильтрования допускается сначала через фильтр пропускать осветленную часть отмеренной аликвоты пробы воды после отстаивания, а взмученный осадок переносить на фильтр в последнюю очередь.
При необходимости определения сухого остатка полученный фильтрат используют по
10.3 или переносят в склянку из темного стекла и хранят в соответствии с
9.1.
После пропускания всего объема пробы воды через фильтр для удаления осадка со стенок ополаскивают дважды порциями около 10 см3 дистиллированной воды цилиндр и фильтровальный стакан устройства для фильтрования. Промывную жидкость фильтруют, стараясь максимально перенести осадок на фильтр.
Примечание - Если фильтрование проходит очень медленно, допустимо использовать несколько сменных предварительно подготовленных и взвешенных фильтров. Смену фильтра можно проводить только после полного фильтрования порции пробы, находящейся в фильтровальном стакане. При расчете результатов необходимо использовать сумму масс осадков со всех использованных для фильтрования пробы фильтров.
10.1.4 Аккуратно снимают фильтровальный стакан устройства. Фильтр с осадком извлекают с помощью скальпеля и переносят в тот же бюкс, в котором фильтр высушивали и взвешивали до фильтрования, подсушивают на воздухе в течение 20 мин в открытом бюксе. Далее фильтр с осадком высушивают в сушильном шкафу в открытом бюксе (крышку бюкса также помещают в сушильный шкаф) при температуре (105 +/- 2) °C в течение 1 ч. Затем горячие бюксы с фильтрами закрывают крышками, переносят в эксикатор и располагают в один ряд. Охлаждают фильтры в течение 2 ч в помещении, где установлены весы. Взвешивают бюксы с фильтрами, массы записывают в рабочий журнал. Повторяют процедуру высушивания, выдерживая фильтры в сушильном шкафу в течение 0,5 ч до тех пор, пока разница между двумя последовательными результатами взвешивания не будет превышать 0,5 мг при массе осадка менее 50 мг и 1 мг при массе осадка более 50 мг. Последний результат взвешивания используют для дальнейших расчетов.
10.2 Измерение массовой концентрации взвешенных веществ с использованием бумажных фильтров (вариант 2)
10.2.1 Использование бумажных фильтров допускается в случае отсутствия или поломки устройства для фильтрования. Бумажные фильтры "синяя лента" имеют гораздо больший диаметр пор (от 3 до 5 мкм), поэтому наиболее мелкие фракции взвешенных веществ могут проходить через них с водой. Также бумажные фильтры весьма гигроскопичны и обладают высокой сорбционной способностью, их подготовка очень длительна: требует значительного объема дистиллированной воды для промывания и долгого высушивания. Рекомендуется хранить бумажные фильтры в комнате, не содержащей реактивы. В случае применения этих фильтров в рабочем журнале указывается, что результат получен с использованием бумажного фильтра.
Подготовленный по
9.3.2 бумажный фильтр вынимают из бюкса, помещают в воронку, смачивают небольшим количеством дистиллированной воды для хорошего прилипания. Воронку с фильтром устанавливают в колбу вместимостью 500 см
3.
10.2.2 Объем отбираемой аликвоты пробы воды и ее фильтрование выполняют аналогично процедурам, описанным в
10.1.2 и
10.1.3.
10.2.3 После фильтрования всего объема пробы фильтр с осадком дважды промывают дистиллированной водой порциями не более 10 см3. Фильтр подсушивают на воздухе досуха, вынимают из воронки и помещают в тот же бюкс, в котором фильтр взвешивали до фильтрования. Далее фильтр с осадком высушивают в сушильном шкафу в открытом бюксе (крышку бюкса также помещают в сушильный шкаф) при температуре (105 +/- 2) °C в течение 3 ч. Затем горячие бюксы с фильтрами закрывают крышками, переносят в эксикатор и располагают в один ряд. Охлаждают фильтры в течение 2 ч в помещении, где установлены весы. Взвешивают закрытые бюксы с фильтрами, массы записывают в рабочий журнал. Повторяют процедуру высушивания, выдерживая фильтры в сушильном шкафу в течение 1 ч, до тех пор, пока разница между двумя последовательными результатами взвешивания не будет превышать 0,5 мг при массе осадка менее 50 мг и 1 мг при массе осадка более 50 мг. Последний результат взвешивания используют для дальнейших расчетов.
10.3 Измерение массовой концентрации сухого остатка
10.3.1 Подготовленные по
9.2.3 фарфоровые чашки помещают на водяную баню, заполненную дистиллированной водой. Для более эффективного выпаривания рекомендуется использование стаканов, установленных на электроплитку и заполненных на 3/4 вместимости дистиллированной водой. Для чашек номер 3 применяют стаканы вместимостью 400 см
3, для чашек номер 2 - стаканы вместимостью 250 см
3.
Фильтрованную пробу воды, полученную по
10.1 или
10.2, наливают в цилиндр. Объем отбираемой аликвоты пробы воды зависит от массовой концентрации сухого остатка. Масса осадка в фарфоровой чашке должна быть не менее 2 мг и не более 200 мг.
Выбор отбираемого для выпаривания объема пробы воды возможно проводить экспериментально. Мерным цилиндром вместимостью 500 см3 отбирают 500 см3 пробы. В фарфоровую чашку отливают 50 см3 анализируемой воды и выпаривают досуха. Если полученный осадок хорошо различим, то для анализа достаточно 50 см3 и менее. Если после выпаривания 50 см3 солевой осадок не наблюдается, в чашку из цилиндра добавляют еще 50 см3 анализируемой воды. Добавление воды проводят до тех пор, пока на дне чашки не останется различимый осадок после выпаривания.
Рекомендуемые объемы пробы воды для выпаривания в зависимости от предполагаемой массовой концентрации сухого остатка приведены в
таблице 4.
Таблица 4
Объем аликвоты воды, отбираемый для выпаривания
при измерении массовой концентрации сухого остатка
Диапазон массовой концентрации сухого осадка, мг/дм3 | Отбираемый для выпаривания объем аликвоты воды, см3 |
От 5 до 50 включ. | 500 |
Св. 50 до 250 включ. | 250 |
Св. 250 до 1000 включ. | 100 |
Св. 1000 до 3000 включ. | 50 |
Св. 3000 до 7000 включ. | 10 |
Св. 7000 до 10000 включ. | 5 |
10.3.2 Аликвоту пробы воды в диапазоне от 5 до 100 см3, отбирают пипеткой с одной отметкой, свыше 100 см3 - цилиндром. Всю аликвоту пробы воды объемом от 5 до 50 см3 помещают в фарфоровую чашку номер 2, объемом 100 см3 - в чашку номер 3. Если объем для выпаривания превышает 100 см3, воду добавляют порциями в чашку номер 3 таким образом, чтобы высота уровня пробы воды в ней была на 0,5 см ниже края чашки. Пробу воды выпаривают досуха.
После выпаривания внешнюю поверхность чашки вытирают фильтровальной бумагой. Чашку с осадком помещают в сушильный шкаф и высушивают при температуре (105 +/- 2) °C в течение 2 ч. Далее горячие чашки переносят при помощи металлического пинцета или щипцов в эксикатор и охлаждают не менее 2 ч в помещении, где установлены весы. Если чашки располагают в эксикаторе в один ряд, для их охлаждения достаточно 2 ч, при расположении чашек одна в одну в несколько рядов - от 4 до 6 ч. Чашки с осадком взвешивают, массы записывают в рабочий журнал. Затем высушивают чашки в сушильном шкафу при указанной температуре в течение 1 ч и далее охлаждают и взвешивают, как описано выше. Процедуру высушивания повторяют до тех пор, пока разница между двумя последовательными результатами взвешивания не будет превышать 0,5 мг. Последний результат взвешивания используют для дальнейших расчетов.
11 Обработка результатов измерений
11.1 Массовую концентрацию взвешенных веществ в анализируемой пробе воды Xв, мг/дм3, рассчитывают по формуле

, (1)
где m1 - масса бюкса с фильтром с осадком взвешенных веществ, г;
m2 - масса бюкса с фильтром без осадка, г;
1000 - коэффициент пересчета;
V - аликвота профильтрованной пробы воды, дм3.
11.2 1 Массовую концентрацию сухого остатка в анализируемой пробе воды Xс, мг/дм3, рассчитывают по формуле

, (2)
где m3 - масса фарфоровой чашки с высушенным осадком, г;
m4 - масса пустой фарфоровой чашки, г;
V1 - аликвота анализируемой пробы воды, дм3.
12 Оформление результатов измерений
12.1 Результаты измерения массовой концентрации взвешенных веществ в документах, предусматривающих их использование, представляют в виде

, мг/дм
3 (
P = 0,95), (3)
где

- границы абсолютной погрешности результатов измерений для данной массовой концентрации взвешенных веществ в соответствии с
таблицей 1, мг/дм
3.
12.2 Результаты измерения массовой концентрации сухого остатка в документах, предусматривающих их использование, представляют в виде

(
P = 0,95), (4)
где

- границы абсолютной погрешности результатов измерений для данной массовой концентрации сухого остатка в соответствии с
таблицей 2, мг/дм
3.
Абсолютные погрешности результатов измерений представляют числом, содержащим не более двух значащих цифр. Наименьшие разряды числовых значений результатов измерений принимают такими же, как и наименьшие разряды числовых значений абсолютных погрешностей результатов измерений.
12.3 Допустимо представлять результат в виде

(5)
где

и

- границы абсолютной погрешности результатов измерений, установленные при реализации методики в лаборатории и обеспечиваемые контролем стабильности результатов измерений, мг/дм
3.
Примечание - Допустимо характеристику погрешности результатов измерений при внедрении методики в лаборатории устанавливать на основе выражения

с последующим уточнением по мере накопления информации в процессе контроля стабильности результатов измерений.
12.4 Результаты измерения оформляют протоколом или записью в журнале по формам, приведенным в Руководстве по качеству лаборатории.
13 Контроль качества результатов измерений при реализации методики в лаборатории
13.1.1 Контроль качества результатов измерений при реализации методики в лаборатории предусматривает:
- оперативный контроль исполнителем процедуры выполнения измерений на основе оценки погрешности при реализации отдельно взятой контрольной процедуры;
- контроль стабильности результатов измерений на основе контроля стабильности повторяемости и погрешности.
13.1.2 Периодичность оперативного контроля исполнителем процедуры выполнения измерений, а также реализуемые процедуры контроля стабильности результатов выполняемых измерений регламентируются в Руководстве по качеству лаборатории.
13.2 Алгоритм оперативного контроля повторяемости
13.2.1 Контрольную процедуру при контроле повторяемости осуществляют с использованием рабочей пробы. Для этого отобранную пробу воды разливают в две одинаковые бутыли следующим образом: заполняют каждую бутыль на 1/3, затем энергично перемешивают оставшуюся часть пробы и поочередно равными порциями переливают ее в каждую бутыль. Переливание пробы должно проводиться быстро, препятствуя осаждению взвешенных веществ. Одну из проб маркируют как контрольную. Выполняют процедуру измерений в соответствии с
10.1 или
10.2 для взвешенных веществ и
10.3 - для сухого остатка.
13.2.2 Результат контрольной процедуры для взвешенных веществ rк, мг/дм3, и сухого остатка r'к, мг/дм3, рассчитывают по формуле
| | ИС МЕГАНОРМ: примечание. Нумерация формул дана в соответствии с официальным текстом документа. | |
rк = |Xв - X'в|, r'к = |Xс - X'с|, (7)
где Xв, X'в (Xс, X'с) - результаты контрольных измерений массовой концентрации определяемого показателя, мг/дм3.
13.2.3 Предел повторяемости rn, мг/дм3, рассчитывают по формуле

, (8)
где

- показатель повторяемости для массовой концентрации взвешенных веществ или сухого остатка, равной (
Xв +
X'в)/2 или (
Xс +
X'с)/2, мг/дм
3, в соответствии с
таблицами 1,
2).
13.2.4 Результат контрольной процедуры должен удовлетворять условию
rк <= rn, r'к <= rn. (9)
13.2.5 При несоблюдении
условия (10) выполняют еще два измерения и сравнивают разницу между максимальным и минимальным результатами с нормативом контроля, равным

. В случае превышения предела повторяемости поступают в соответствии с ГОСТ Р ИСО 5725-6
(раздел 5).
13.3 Алгоритм оперативного контроля погрешности с применением образцов для контроля для сухого остатка
13.3.1 Оперативный контроль точности результатов измерений рекомендуется проводить с каждой серией проб, если измерение по методике выполняют эпизодически, а также при получении сомнительного результата измерений.
В качестве образцов для контроля используют растворы, приготовленные из ГСО в соответствии с паспортом. При отсутствии ГСО допускается применять аттестованный раствор,
методика приготовления которого приведена в приложении А. Для выполнения оперативного контроля следует готовить методом разбавления образцы для контроля, в которых массовая концентрация сухого остатка наиболее близка к его концентрации в анализируемых пробах.
13.3.2 Оперативный контроль исполнителем процедуры выполнения измерений проводят путем сравнения результатов отдельно взятой контрольной процедуры Кк с нормативом контроля К.
13.3.3 Результат контрольной процедуры Кк, мг/дм3, рассчитывают по формуле
где Xс - результат контрольного измерения массовой концентрации сухого остатка, мг/дм3;
C - значение аттестованной характеристики образца для контроля, мг/дм3.
13.3.4 Норматив контроля К, мг/дм3, рассчитывают по формуле

, (11)
где

- характеристика погрешности результатов измерений, соответствующая значению аттестованной характеристики образца для контроля, мг/дм
3.
Примечание - Допустимо для расчета норматива контроля использовать значения характеристик погрешности, полученные расчетным путем по формуле

.
13.3.5 Результат контрольной процедуры сравнивают с нормативом контроля. Если результат контрольной процедуры удовлетворяет условию
процедуру анализа признают удовлетворительной.
При невыполнении
условия (12) контрольную процедуру повторяют. При повторном невыполнении
условия (12) выясняют причины, приводящие к неудовлетворительным результатам, и принимают меры по их устранению.
14 Проверка приемлемости результатов, полученных в условиях воспроизводимости
14.1 Расхождение между результатами измерений, полученными в двух лабораториях, не должно превышать предела воспроизводимости R. При выполнении этого условия приемлемы оба результата измерений и в качестве окончательного может быть использовано их общее среднее значение. Значение предела воспроизводимости рассчитывают по формуле

, (13)
где

- показатель воспроизводимости в соответствии с
таблицами 1 и
2, мг/дм
3.
14.2 При превышении предела воспроизводимости могут быть использованы методы оценки приемлемости результатов измерений согласно ГОСТ Р ИСО 5725-6
(раздел 5) или
МИ 2881.
14.3 Проверка приемлемости проводится при необходимости сравнения результатов измерений, полученных двумя лабораториями.
(рекомендуемое)
МЕТОДИКА ПРИГОТОВЛЕНИЯ АТТЕСТОВАННОГО РАСТВОРА ДЛЯ КОНТРОЛЯ
ТОЧНОСТИ ИЗМЕРЕНИЙ МАССОВОЙ КОНЦЕНТРАЦИИ СУХОГО ОСТАТКА
ГРАВИМЕТРИЧЕСКИМ МЕТОДОМ
А.1 Назначение и область применения
Методика предназначена для руководства при приготовлении аттестованных растворов, используемых для контроля точности измерений массовой концентрации сухого остатка в природных и очищенных сточных водах гравиметрическим методом.
А.2 Метрологические характеристики
А.2.1 Аттестованное значение массовой концентрации сухого остатка в основном аттестованном растворе составляет 50000 мг/дм3.
А.2.2 Границы абсолютной погрешности аттестованного значения массовой концентрации сухого остатка в основном аттестованном растворе составляют +/- 271 мг/дм3 (P = 0,95).
А.3 Средства измерений, вспомогательные устройства
А.3.2 Колба мерная 2-го класса точности, исполнения 2 или 2а по
ГОСТ 1770-74, вместимостью 100 см
3.
| | ИС МЕГАНОРМ: примечание. Нумерация пунктов дана в соответствии с официальным текстом документа. | |
А.3.5 Стаканчик для взвешивания (бюкс) СВ-24/10 по
ГОСТ 25336-82.
| | ИС МЕГАНОРМ: примечание. В официальном тексте документа, видимо, допущена опечатка: стандарт имеет номер ГОСТ 25336-82, а не ГОСТ 25336-86. | |
А.3.6 Воронка лабораторная типа В по
ГОСТ 25336-86, диаметром 56 мм.
А.3.7 Шпатель пластмассовый.
А.3.8 Промывалка.
А.3.9 Эксикатор исполнения 2 с диаметром корпуса 190 мм по
ГОСТ 25336-82.
А.3.10 Кальций хлорид (кальций хлористый) обезвоженный по ТУ 6-09-4711
[4], ч. или силикагель КСКГ по
ГОСТ 3956-76 (для эксикатора).
А.3.11 Электропечь лабораторная SNOL 8,2/1100 или высокотемпературная (муфельная) печь любого типа, обеспечивающая температуру (400 +/- 20) °C.
А.4 Исходные компоненты аттестованных растворов
А.4.1 Натрий сернокислый, безводный (сульфат натрия) по
ГОСТ 4166-76, ч.д.а. Массовая доля основного вещества не менее 99,5%.
А.5 Процедура приготовления основного аттестованного раствора сухого остатка
Взвешивают 5,0000 г сульфата натрия, предварительно прокаленного в муфельном шкафу при температуре (400 +/- 20) °C в течение 4 ч, на весах специального класса точности, переносят в мерную колбу вместимостью 100 см3, растворяют в дистиллированной воде, доводят объем раствора до метки на колбе дистиллированной водой и тщательно перемешивают.
Массовая концентрация сухого остатка в полученном растворе 50000 мг/дм3.
А.6 Расчет метрологических характеристик основного аттестованного раствора сухого остатка
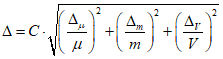
Аттестованное значение массовой концентрации сухого остатка C, мг/дм3, рассчитывают по формуле

, (А.1)
где m - масса навески сульфата натрия, г;
1000 - коэффициент пересчета;
V - вместимость мерной колбы, см3.
Расчет пределов возможных значений погрешности установления массовой концентрации сухого остатка в основном аттестованном растворе

, мг/дм
3, выполняют по формуле

, (А.2)
где

- предельное значение возможного отклонения массовой доли основного вещества в реактиве от приписанного значения

, %;

- массовая доля основного вещества в реактиве, приписанная реактиву квалификации "ч.д.а.", %;

- предельная возможная погрешность взвешивания, г;

- предельное значение возможного отклонения вместимости мерной колбы от номинального значения, см
3.
Погрешность установления массовой концентрации сухого остатка в основном аттестованном растворе равна

.
А.7 Требования безопасности
Необходимо соблюдать общие требования техники безопасности при работе в химических лабораториях.
А.8 Требования к квалификации исполнителей
Аттестованные растворы, образцы для оценивания может готовить инженер или лаборант со средним профессиональным образованием, прошедший специальную подготовку и имеющий стаж работы в химической лаборатории не менее 6 мес.
А.9 Требования к маркировке
На склянки с аттестованными растворами и образцами для оценивания должны быть наклеены этикетки с указанием условного обозначения аттестованного раствора, значения массовой концентрации сухого остатка, погрешности ее установления и даты приготовления.
А.10 Условия хранения
Основной аттестованный раствор сухого остатка хранят не более 6 мес.
| Технические условия ТУ 2265-011-43153636-2015 | Мембраны "Владипор" типа МФАС-ОС |
| Технические условия ТУ 6-55-221-1597-2009 | Мембраны "Владипор" типа МФАС-ВА |
| Технические условия ТУ 6-09-1678-95 | Фильтры обеззоленные (белая, красная, синяя ленты) |
| Технические условия ТУ 6-09-4711-81 | Кальций хлористый обезвоженный (кальций хлорид) |
Ключевые слова: взвешенные вещества, сухой остаток, общее содержание примесей, природная вода, массовая концентрация, методика измерений, гравиметрический метод |