Главная // Актуальные документы // МетодикаСПРАВКА
Источник публикации
М., 2017
Примечание к документу
Текст документа приведен в соответствии с публикацией на сайте http://rosavtodor.ru по состоянию на 28.03.2019.
Документ рекомендован к применению с 15.05.2017
Распоряжением Росавтодора от 15.05.2017 N 967-р.
Название документа
"ОДМ 218.4.036-2017. Отраслевой дорожный методический документ. Методические рекомендации по приготовлению асфальтобетонных смесей, их укладке, а также приемке выполненных работ, основанные на методологии "Superpave"
(издан на основании Распоряжения Росавтодора от 15.05.2017 N 967-р)
"ОДМ 218.4.036-2017. Отраслевой дорожный методический документ. Методические рекомендации по приготовлению асфальтобетонных смесей, их укладке, а также приемке выполненных работ, основанные на методологии "Superpave"
(издан на основании Распоряжения Росавтодора от 15.05.2017 N 967-р)
дорожного агентства
от 15 мая 2017 г. N 967-р
ОТРАСЛЕВОЙ ДОРОЖНЫЙ МЕТОДИЧЕСКИЙ ДОКУМЕНТ
МЕТОДИЧЕСКИЕ РЕКОМЕНДАЦИИ
ПО ПРИГОТОВЛЕНИЮ АСФАЛЬТОБЕТОННЫХ СМЕСЕЙ,
ИХ УКЛАДКЕ, А ТАКЖЕ ПРИЕМКЕ ВЫПОЛНЕННЫХ РАБОТ,
ОСНОВАННЫЕ НА МЕТОДОЛОГИИ "SUPERPAVE"
ОДМ 218.4.036-2017
1 РАЗРАБОТАН Автономной некоммерческой организацией "Научно-исследовательский институт транспортно-строительного комплекса" (АНО "НИИ ТСК").
2 ВНЕСЕН Управлением научно-технических исследований и информационного обеспечения Федерального дорожного агентства.
3 ИЗДАН на основании
распоряжения Федерального дорожного агентства от _____________ N ______.
4 ИМЕЕТ РЕКОМЕНДАТЕЛЬНЫЙ ХАРАКТЕР.
5 ВВЕДЕН ВПЕРВЫЕ.
Настоящий отраслевой дорожный методический документ (далее - ОДМ) распространяется на асфальтобетонные смеси, запроектированные по методологии "Superpave" и асфальтобетон, применяемые для устройства конструктивных слоев дорожных одежд, и устанавливает процедуры приготовления, укладки и приемки выполненных работ.
В настоящем ОДМ использованы нормативные ссылки на следующие документы:
ГОСТ 32703-2014 "Дороги автомобильные общего пользования. Щебень и гравий из горных пород. Технические требования"
ГОСТ 33137-2014 "Дороги автомобильные общего пользования. Битумы нефтяные дорожные вязкие. Метод определения динамической вязкости ротационным вискозиметром"
ПНСТ 71-2015 "Дороги автомобильные общего пользования. Материалы минеральные мелкозернистые для приготовления асфальтобетонных смесей. Метод определения плотности и абсорбции"
ПНСТ 72-2015 "Дороги автомобильные общего пользования. Материалы минеральные для приготовления асфальтобетонных смесей. Метод определения влажности"
ПНСТ 73-2015 "Дороги автомобильные общего пользования. Материалы минеральные мелкозернистые для приготовления асфальтобетонных смесей. Метод определения объема пустот"
ПНСТ 74-2015 "Дороги автомобильные общего пользования. Материалы минеральные крупнозернистые для приготовления асфальтобетонных смесей. Метод определения содержания дробленых зерен"
ПНСТ 75-2015 "Дороги автомобильные общего пользования. Материалы минеральные для приготовления асфальтобетонных смесей. Метод определения зернового состава"
ПНСТ 76-2015 "Дороги автомобильные общего пользования. Материалы минеральные для приготовления асфальтобетонных смесей. Метод определения содержания пылеватых частиц при промывке"
ПНСТ 78-2015 "Дороги автомобильные общего пользования. Материалы минеральные крупнозернистые для приготовления асфальтобетонных смесей. Метод определения плотности и абсорбции"
ПНСТ 85-2016 "Дороги автомобильные общего пользования. Материалы вяжущие нефтяные битумные. Технические требования с учетом температурного диапазона эксплуатации"
ПНСТ 86-2016 "Дороги автомобильные общего пользования. Материалы вяжущие нефтяные битумные. Порядок определения марки с учетом температурного диапазона эксплуатации"
ПНСТ 91-2016 "Дороги автомобильные общего пользования. Смеси асфальтобетонные дорожные и асфальтобетон. Метод сокращения пробы"
ПНСТ 90-2016 "Дороги автомобильные общего пользования. Смеси асфальтобетонные дорожные и асфальтобетон. Метод отбора проб"
ПНСТ 92-2016 "Дороги автомобильные общего пользования. Смеси асфальтобетонные дорожные и асфальтобетон. Метод определения максимальной плотности"
ПНСТ 93-2016 "Дороги автомобильные общего пользования. Смеси асфальтобетонные дорожные и асфальтобетон. Определение содержания битумного вяжущего методом выжигания"
ПНСТ 94-2016 "Дороги автомобильные общего пользования. Смеси асфальтобетонные дорожные и асфальтобетон. Определение количества битумного вяжущего методом экстрагирования"
ПНСТ 95-2016 "Дороги автомобильные общего пользования. Смеси асфальтобетонные дорожные и асфальтобетон. Метод определения степени обволакивания зерен заполнителя битумным вяжущим"
ПНСТ 106-2016 "Дороги автомобильные общего пользования. Смеси асфальтобетонные дорожные и асфальтобетон. Метод определения объемной плотности"
ПНСТ 108-2016 "Дороги автомобильные общего пользования. Смеси асфальтобетонные дорожные и асфальтобетон. Метод определения содержания воздушных пустот"
ПНСТ 111-2016 "Дороги автомобильные общего пользования. Смеси асфальтобетонные дорожные и асфальтобетон. Метод проведения термостатирования"
ПНСТ 112-2016 "Дороги автомобильные общего пользования. Смеси асфальтобетонные дорожные и асфальтобетон. Метод приготовления образцов вращательным уплотнителем (Гиратором)"
ПНСТ 113-2016 "Дороги автомобильные общего пользования. Смеси асфальтобетонные дорожные и асфальтобетон. Метод определения водостойкости и адгезионных свойств"
ПНСТ 114-2016 "Дороги автомобильные общего пользования. Смеси асфальтобетонные дорожные и асфальтобетон. Технические требования для метода объемного проектирования по методологии "Superpave"
ПНСТ 115-2016 "Дороги автомобильные общего пользования. Смеси асфальтобетонные дорожные и асфальтобетон. Метод объемного проектирования по методологии "Superpave"
ПНСТ 131-2016 "Дороги автомобильные общего пользования. Смеси асфальтобетонные дорожные и асфальтобетон. Метод определения плотности на месте укладки с помощью гамма-плотномера"
ОДМ 218.3.017-2011 "Методические рекомендации по определению колееобразования дорожных покрытий прокатыванием нагруженного колеса"
СП 34.13330.2012 "Автомобильные дороги. Актуализированная редакция СНиП 2.05.02-85*"
В настоящем ОДМ применяются следующие термины с соответствующими определениями:
3.1 расчетные температуры (максимальная и минимальная) слоя дорожного покрытия (determined temperatures of pavement coat): Температуры слоя дорожного покрытия на заданной глубине, рассчитанные по специализированным методикам с использованием значений температур воздуха.
Примечание - Допускается определение расчетных температур слоя дорожного покрытия по методикам в соответствии с
ПНСТ 86, а также использование специализированных программ и документов, позволяющих определять данные температуры.
3.2
обозначение марки битумного вяжущего PG X
Y (performance graded (PG) bitumen binder): Обозначение марки битумного вяжущего, установленное в соответствии с температурным диапазоном эксплуатации дорожного покрытия, определяемого с учетом расчетных температур.
Примечание - В обозначении используется знак "минус", если значение Y менее нуля и знак "плюс" - в остальных случаях.
3.3 верхнее значение марки битумного вяжущего X (high temperature grade of the bitumen binder): Значение марки битумного вяжущего равное числовому значению расчетной максимальной температуры дорожного покрытия.
3.4 нижнее значение марки битумного вяжущего Y (low temperature grade of the bitumen binder): Значение марки битумного вяжущего равное числовому значению расчетной минимальной температуры дорожного покрытия.
3.5 эквивалентная одноосная нагрузка: ЭООН (design ESALs): Нагрузка, равная 80 кН, передаваемая на дорожное покрытие от одной оси транспортного средства.
3.6 кривая максимальной плотности: это кривая, рассчитанная в степени 0,45, которая характеризует максимально возможную упаковку зерен минерального заполнителя для данного номинального максимального размера смеси.
3.7 воздушные пустоты Va, % (air voids): Общее количество пустот в уплотненной асфальтобетонной смеси, выраженное в процентах от объема смеси.
3.8 пустоты в минеральном заполнителе: ПМЗ (voids in the mineral aggregate; VMA): Общее количество пустот между зернами минерального заполнителя в уплотненной асфальтобетонной смеси, выраженное в процентах от объема смеси, которое включает в себя количество воздушных пустот и оптимально эффективное содержание вяжущего.
3.9 объем абсорбированного вяжущего Vba, см3 (absorbed binder volume): Объем вяжущего, абсорбированного в минеральный заполнитель.
3.10 эффективный объем вяжущего Vbe, см3 (effective binder volume): Объем вяжущего, который не абсорбировался в минеральный заполнитель.
3.11 пустоты, наполненные битумом: ПНБ (voids filled with asphalt; VFA): Общее количество пустот, заполненных вяжущим, выраженное в процентах от объема ПМЗ.
3.12 отношение пыль-вяжущее (dust-to-binder ratio): Коэффициент, выраженный как отношение между количеством наполнителя, прошедшим через сито с размером ячеек 0,075 мм, и оптимальным содержанием вяжущего вещества.
3.13 номинальный максимальный размер минерального заполнителя (nominal maximum aggregate size): Размер минерального заполнителя, соответствующий размеру ячейки сита, которое на один размер больше первого сита, остаток минерального заполнителя на котором составляет более 10%.
3.14 максимальный размер минерального заполнителя (maximum aggregate size): Размер минерального заполнителя, который на один размер больше, чем номинальный максимальный размер минерального заполнителя.
3.15 зона пластичности (area of plasticity): Зона, которая расположена на кривой максимальной плотности, попадание в которую делает асфальтобетоны более подверженными пластическим деформациям.
3.16 водостойкость (moisture resistance): Отношение предела прочности при непрямом растяжении серии образцов, подверженных водонасыщению и циклу "замораживание-оттаивание", к пределу прочности при непрямом растяжении серии образцов, выдержанных при комнатных условиях.
4 Хранение исходных материалов
4.1 Хранение минеральных материалов
Для выпуска асфальтобетонных смесей, запроектированных по методологии "Superpave", подрядной организации рекомендуется заключить контракт с производителем (поставщиком) минеральных материалов, гарантирующий поставку материалов заданного качества в полном объеме и в установленные сроки, обеспечивающие бесперебойную работу на объекте.
Минеральные материалы для производства смесей запроектированных по методологии "Superpave" рекомендуется заготавливать заранее. Каждая фракция минерального заполнителя должна иметь стабильный гранулометрический состав, плотность и относится к определенной горной породе.
Примечание - Если в процессе строительства заготовленный материал выработался, а новый минеральный материал заготавливается из другой горной породы и имеет отличия по плотностям и гранулометрическому составу, то проектирование асфальтобетонной смеси рекомендуется провести заново.
Для минимизации отклонений по гранулометрическому составу минеральной части асфальтобетонной смеси в процессе укладки от проектного состава, необходимо применять не менее двух фракций крупнозернистого заполнителя и не менее одной фракции мелкозернистого.
Многие проблемы, связанные с отклонением от проектных составов связаны с неправильным обращением с минеральными заполнителями при устройстве штабелей. Применение широких фракций минерального заполнителя, зачастую ведет к сегрегации такого материала при устройстве штабелей, так как более крупные частицы имеют склонность осыпаться дальше к основанию штабеля, чем мелкие. По возможности штабели следует конструировать горизонтально или с небольшим уклоном слоев, чтобы не допускать их осыпания.
Не допускается загрязнение минерального материала, а также смешивание штабелей различных фракций минерального заполнителя при хранении.
При хранении минеральных материалов необходимо принимать меры по минимизации содержания в них влаги. Для этого крупнозернистый заполнитель рекомендуется складировать на ровной цементобетонной или асфальтобетонной поверхности с уклоном от места складирования или наличием дренажа.
Мелкозернистый заполнитель рекомендуется складировать в местах, оборудованных крышей или навесом, так как высокое содержание влаги в нем увеличивает производственные затраты и снижает производительность АБЗ.
Контроль влажности минеральных материалов должен осуществляться не реже одного раза в день, а также каждый раз после изменений условий влажности (после дождя) в каждом штабеле. Для производства асфальтобетонных смесей рекомендуется применять минеральные заполнители влажностью не более чем 3%.
Минеральный порошок должен храниться в специальных силосах с возможностью подачи в смеситель с требуемой точностью.
4.2 Хранение битумного вяжущего
Битумное вяжущее следует хранить в специально оборудованных цистернах-хранилищах при постоянной температуре, рекомендованной заводом-изготовителем и способной обеспечить необходимую вязкость вяжущего для возможности подачи его через трубопроводы. В основном для хранения применяют цистерны с масляным или электрическим обогревом.
Следует хранить отдельно друг от друга разные марки битумного вяжущего во избежание смешивания.
5 Проектирование горячих асфальтобетонных смесей на основе методологии "Superpave"
5.1 Расчет требуемой марки вяжущего
При проектировании асфальтобетонных смесей по методологии "Superpave" отдельное внимание необходимо уделять выбору битумного вяжущего. Характеристики битумного вяжущего должны соответствовать требованиям
ПНСТ 85.
Чтобы произвести правильный выбор марки битумного вяжущего при проектировании асфальтобетонной смеси необходимо знать географическое расположение района строительства автодороги с ее применением, а также статистические данные за максимально возможный период по максимальным и минимальным суточным температурам воздуха в данном районе (рекомендуется использовать данные за двадцатилетний период наблюдений).
Используя статистические климатические данные, необходимо определить расчетные температуры (максимальную и минимальную) слоя дорожного покрытия, для устройства которого будет применяться проектируемая асфальтобетонная смесь. Расчетные температуры слоя дорожного покрытия - это соответствующие температуры покрытия на заданной глубине, рассчитанные по специализированным методикам с использованием значений температур воздуха.
По полученным значениям расчетных температур определяются допустимые верхние значения марки битумного вяжущего (X) и допустимые нижние значения марки битумного вяжущего (Y). Допустимые верхние значения марки битумного вяжущего - это такие значения, которые выше расчетной максимальной температуры дорожного покрытия. Допустимые нижние значения марки битумного вяжущего - это такие значения, которые ниже расчетной минимальной температуры дорожного покрытия.
Таким образом, допустимыми для применения являются все марки битумных вяжущих, верхние значения которых выше расчетной максимальной температуры дорожного покрытия и одновременно, нижние значения которых ниже расчетной минимальной температуры дорожного покрытия.
В проект рекомендуется закладывать марку битумного вяжущего из допустимых, рассчитанных с 98% надежностью, с минимальным верхним значением и максимальным нижним значением. По согласованию с Заказчиком допускается закладывать марку битумного вяжущего, из допустимых рассчитанных с 50% надежностью, с минимальным верхним значением и максимальным нижним значением.
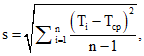
Для определения максимальной расчетной температуры слоя покрытия необходимо определить максимальные средние семидневные температуры воздуха для каждого года наблюдений. Чтобы определить среднюю максимальную годовую семидневную температуру (далее семидневная температура (Ti)), необходимо для каждого дня в году вычислить среднее значение максимальных температур воздуха за семь дней, включающие в себя этот день, трое предыдущих и трое последующих дней. Далее необходимо выбрать большее из полученных значений. Используя массив средних максимальных годовых семидневных температур за максимально возможный срок наблюдений вычисляется среднее значение данных температур (далее - средняя температура (Tср)) и стандартное отклонение.
Вычисление значения стандартного отклонения семидневных температур (s) проводится по формуле 1:

(1)
где: n - количество лет наблюдений;
Tср - средняя температура;
Ti - семидневная температура в (i-тый) год наблюдения.
Для обеспечения 98% вероятности того, что за время эксплуатации покрытия температура воздуха не превысит выбранного значения, эта температура должна быть не менее (Tср + 2*s) °C, причем при выборе температуры равной (Tср) °C данная вероятность равна 50%.
Максимальная расчетная температура слоя покрытия принимается равной температуре в точке расчета слоя, которая находится на глубине 20 мм от его поверхности.
Расчет максимальной расчетной температуры слоя покрытия (T) выполняется по формуле 2:
T = 54,32 + 0,78*Tср - 0,0025(Lat)2 -
- 15,14log10(H + 25) + Z*(9 + 0,61·s2)0,5, (2)
где: T - максимальная расчетная температура покрытия (°C);
Tср - средняя температура воздуха (°C);
Lat - географическая широта в градусах;
H - глубина от поверхности дороги до точки расчета (мм);
Z - табличное значение стандартного нормального распределения (Z = 2,055 для вероятности 98%);
s - стандартное отклонение семидневных температур.
Для верхних слоев покрытий максимальная расчетная температура покрытия рассчитывается на глубине 20 мм (H = 20).
Для определения минимальной расчетной температуры покрытия необходимо фиксировать в каждом году самую низкую температуру воздуха (Tн). Используя массив значений самых низких температур за каждый год наблюдений, необходимо вычислить среднее значение минимальных температур воздуха за все время наблюдений (далее - средняя минимальная температура (Tmin)).
Также необходимо вычислить значение стандартного отклонения самых низких температур воздуха (s). Для этого может быть использована формула 3.

(3)
где: n - количество лет наблюдений;
Tmin - средняя минимальная температура;
Ti - самая низкая температура в (i-тый) год наблюдения.
Для обеспечения 98% вероятности того, что за время эксплуатации покрытия температура воздуха не будет ниже выбранного значения, эта температура должна быть не более (Tmin - 2*s) °C, причем при выборе температуры, равной (Tmin) °C, данная вероятность будет равна 50%.
За минимальную расчетную температуру слоя покрытия принимается температура на его поверхности.
Расчет минимальной расчетной температуры покрытия выполняется по формуле 4.
Tm = -1,56 + 0,72·Tmin - 0,004(Lat)2 +
+ 6,26log10(H + 25) - Z*(4,4 + 0,52·s2)0,5, (4)
где: Tm - минимальная расчетная температура покрытия (°C);
Tmin - средняя минимальная температура (°C);
Lat - географическая широта в градусах;
H - глубина от поверхности дороги до поверхности слоя (мм);
Z - табличное значение стандартного нормального распределения (Z = 2,055 для вероятности 98%);
s - стандартное отклонение минимальных температур.
Для верхних слоев покрытий минимальная расчетная температура покрытия рассчитывается на поверхности дороги (H = 0).
На основании полученных температур выбирается марка PG с надежностью 98%.
Значение марки битума при проектировании может быть скорректировано с учетом предполагаемой нагрузки и скорости движения, а также величины прогнозируемого трафика (автотранспортного потока) при будущей эксплуатации объекта дорожного строительства (или его участков).
5.2 Требования к битумному вяжущему
Характеристики битумного вяжущего должны соответствовать требованиям
ПНСТ 85. При выборе марки вяжущего, в зависимости от количества приложений ЭООН и характера движения транспорта в месте проведения работ, верхнее значение марки вяжущего (полученное с учетом максимальной расчетной температуры покрытия), следует увеличить с шагом 6 °C, на количество шагов указанное в таблице 1.
Приложения ЭООН <1>, миллион | Количество шагов для увеличения верхнего значения марки вяжущего |
Характер движения |
| | |
< 0,3 | | - | - |
От 0,3 до < 3 | 2 | 1 | - |
От 3 до < 10 | 2 | 1 | - |
От 10 до < 30 | 2 | 1 | |
 30 | 2 | 1 | 1 |
Примечания: 1 Количество приложений ЭООН рассчитывается на 20 лет срока службы автомобильной дороги. 2 Средняя скорость движения транспорта меньше 20 км/ч. 3 Средняя скорость движения транспорта находится в диапазоне от 20 до 70 км/ч. 4 Средняя скорость движения транспорта более 70 км/ч. 5 Увеличение марки вяжущего происходит по согласованию с Заказчиком. |
5.3 Требования к исходным минеральным материалам
Для проектирования горячей плотной асфальтобетонной смеси по методологии "Superpave" применяются следующие исходные материалы:
- крупнозернистый заполнитель;
- мелкозернистый заполнитель;
- минеральный порошок (в случае необходимости);
- битумное вяжущее.
Крупнозернистый заполнитель по методологии "Superpave" - это каменный материал с крупностью зерен более 4,75 мм. В соответствии с отечественной терминологией данный заполнитель является щебнем различных фракций.
Мелкозернистый заполнитель по методологии "Superpave" - это каменный материал с крупностью зерен менее 4,75 мм. В соответствии с отечественной терминологией данный заполнитель является песком, в том числе и из отсева дробления.
5.3.1 Требования к крупнозернистому и мелкозернистому минеральному заполнителю
Применяемые исходные минеральные материалы должны соответствовать требованиям
ПНСТ 114 и требованиям таблицы 2. Требования к исходным материалам меняются в зависимости от количества приложения эквивалентных одноосных нагрузок (ЭООН). Количество приложений ЭООН рассчитывается в соответствии с
приложением А ПНСТ 114.
Таблица 2
Приложения ЭООН, миллион | Количество дробленых зерен в крупнозернистом заполнителе, %, не менее | Количество пустот в мелкозернистом заполнителе, %, не менее | Эквивалент песка, %, не менее | Количество плоских и удлиненных зерен в крупнозернистом заполнителе, %, не более |
Глубина от поверхности, мм | Глубина от поверхности, мм |
 100 | > 100 |  100 | > 100 |
< 0,3 | 55/- | -/- | - | - | 40 | - |
От 0,3 до < 3 | 75/- | 50/- | 40 | 40 | 40 | 10 |
От 3 до < 10 | 85/80 | 60/- | 45 | 40 | 45 | 10 |
От 10 до < 30 | 95/90 | 80/75 | 45 | 40 | 45 | 10 |
 30 | 100/100 | 100/100 | 45 | 45 | 50 | 10 |
Примечания: 1 Количество приложений ЭООН рассчитывается на 20 лет срока службы автомобильной дороги. 2 Значение 85/80 означает, что 85% для крупнозернистого заполнителя имеет минимум одну поверхность излома, а 80% - имеют не менее двух поверхностей излома. 3 Для дорог с уровнями приложения ЭООН < 0,3 миллионов и для смесей с номинальным максимальным размером заполнителя 4,75 мм содержание воздушных пустот в мелкозернистом заполнителе должно быть не менее 40%. 4 Для дорог с уровнями приложения ЭООН  0,3 миллионов и для смесей с номинальным максимальным размером заполнителя 4,75 мм содержание воздушных пустот в мелкозернистом заполнителе должно быть не менее 45%. 5 Для слоя покрытия автомобильных дорог с уровнями приложения ЭООН  30 миллионов рекомендованная марка щебня по показателю "Сопротивление дроблению и износу" по ГОСТ 32703 не ниже чем И2, для дорог с уровнями приложения ЭООН  10 миллионов рекомендованная марка не ниже чем И4, для дорог с уровнями приложения ЭООН < 10 миллионов рекомендованная марка не ниже чем И5. 6 Для слоя покрытия автомобильных дорог с уровнями приложения ЭООН > 30 миллионов рекомендованная марка щебня по показателю "Дробимость" по ГОСТ 32703 не ниже М1000, для дорог с уровнями приложения ЭООН от 30 до 0,3 миллионов рекомендованная марка не ниже чем М800, для дорог с уровнями приложения ЭООН < 0,3 миллионов рекомендованная марка не ниже чем М600. |
5.3.2 Требования к минеральному порошку
Минеральный порошок должен быть произведен из карбонатных горных пород. Количество зерен в составе минерального порошка размером менее 0,075 мм должно находиться в диапазоне от 70% до 80% по массе. Количество зерен размером менее 0,3 мм должно быть не менее 90% по массе, а зерен размером менее 1,18 мм - не менее 100%.
Влажность минерального порошка не должна превышать 1%.
При соответствующем технико-экономическом обосновании допускается применять минеральный материал из системы пылеулавливания смесительной установки.
5.4 Проектирование горячей плотной асфальтобетонной смеси
5.4.1 Классификация асфальтобетонных смесей по методологии "Superpave".
В зависимости от номинального максимального размера применяемого минерального заполнителя асфальтобетонные смеси делятся на следующие виды:
- SP-4 - асфальтобетонная смесь с номинальным максимальным размером применяемого минерального заполнителя, равным 4,75 мм;
- SP-9 - асфальтобетонная смесь с номинальным максимальным размером применяемого минерального заполнителя, равным 9,5 мм;
- SP-12 - асфальтобетонная смесь с номинальным максимальным размером применяемого минерального заполнителя, равным 12,5 мм;
- SP-19 - асфальтобетонная смесь с номинальным максимальным размером применяемого минерального заполнителя, равным 19,0 мм;
- SP-25 - асфальтобетонная смесь с номинальным максимальным размером применяемого минерального заполнителя, равным 25,0 мм;
- SP-37 - асфальтобетонная смесь с номинальным максимальным размером применяемого минерального заполнителя, равным 37,5 мм.
Для слоев основания применяют смеси SP-37 и SP-25. Для слоев покрытия применяют смеси SP-25, SP-19, SP-12, SP-9. Для ненагруженных автомобилями участков, а также на пешеходных зонах и площадях применяют смеси SP-9 и SP-4.
В зависимости от значения прохода на первичном контрольном сите асфальтобетонные смеси классифицируют как:
- мелкозернистые - смеси, у которых значение прохода на первичном контрольном сите превышает значение, указанное в таблице 3;
- крупнозернистые - смеси, у которых значение прохода на первичном контрольном сите не превышает значение, указанное в таблице 3.
Таблица 3
Номинальный максимальный размер заполнителя, мм | 37,5 | 25,0 | 19,0 | 12,5 | 9,5 |
Первичное контрольное сито с размером ячеек, мм | 9,5 | 4,75 | 4,75 | 2,36 | 2,36 |
Значение прохода на первичном контрольном сите, % | 47 | 40 | 47 | 39 | 47 |
5.4.2 Подбор гранулометрического состава
Каждую фракцию крупнозернистого заполнителя и мелкозернистого заполнителя промывают в соответствии с
ПНСТ 76 и определяют зерновой состав заполнителя в соответствии с
ПНСТ 75.
Определяют содержание дробленых зерен в крупнозернистом заполнителе по
ПНСТ 74 и количество пустот в неуплотненном мелкозернистом заполнителе по
ПНСТ 73.
Затем определяют объемную плотность и максимальную плотность каждой фракции крупнозернистого и мелкозернистого заполнителя в соответствии с
ПНСТ 78 и
ПНСТ 71, а также максимальную плотность минерального порошка в соответствии с
ПНСТ 77.
По результатам испытаний исходных материалов в зависимости от требуемого номинального максимального размера заполнителя проектируется зерновой состав минеральной части асфальтобетонной смеси, который должен соответствовать требованиям
ПНСТ 114 и данным, приведенным в таблице 4.
Таблица 4
Размер ячеек, мм | Номинальный максимальный размер заполнителя, проходы, % |
37,5 мм | 25,0 мм | 19,0 мм | 12,5 мм | 9,5 мм | 4,75 мм |
Min | Max | Min | Max | Min | Max | Min | Max | Min | Max | Min | Max |
50,0 | 100 | - | - | - | - | - | - | - | - | - | - | - |
37,5 | 90 | 100 | 100 | - | - | - | - | - | - | - | - | - |
25,0 | - | 90 | 90 | 100 | 100 | - | - | - | - | - | - | - |
19,0 | - | - | - | 90 | 90 | 100 | 100 | - | - | - | - | - |
12,5 | - | - | - | - | - | 90 | 90 | 100 | 100 | - | 100 | - |
9,5 | - | - | - | - | - | - | - | 90 | 90 | 100 | 95 | 100 |
4,75 | - | - | - | - | - | - | - | - | - | 90 | 90 | 100 |
2,36 | 15 | 41 | 19 | 45 | 23 | 49 | 28 | 58 | 32 | 67 | - | - |
1,18 | - | - | - | - | - | - | - | - | - | - | 30 | 55 |
0,075 | 0 | 6 | 1 | 7 | 2 | 8 | 2 | 10 | 2 | 10 | 6 | 13 |
При подборе пробных составов асфальтобетонных смесей необходимо в соответствии с
ПНСТ 115 запроектировать три различных гранулометрических состава таким образом, чтобы один состав прошел около верхней границы требований, второй около нижней границы требований, а третий состав должен проходить между ними.
При подборе составов рекомендуется огибать зону пластичности. Расположение зоны пластичности зависит от номинального максимального размера заполнителя в проектируемой асфальтобетонной смеси. Координаты зоны пластичности для различных видов смесей указаны в таблице 5.
Таблица 5
Размер ячеек, мм | Номинальный максимальный размер заполнителя, проходы, % |
37,5 мм | 25,0 мм | 19,0 мм | 12,5 мм | 9,5 мм |
мин. | макс. | мин. | макс. | мин. | макс. | мин. | макс. | мин. | макс. |
4,75 | 34,7 | 39,5 | - | - | - |
2,36 | 23,3 | 27,3 | 26,8 | 30,8 | 34,6 | 39,1 | 47,2 |
1,18 | 15,5 | 21,5 | 18,1 | 24,1 | 22,3 | 28,3 | 25,6 | 31,6 | 31,6 | 37,6 |
0,6 | 11,7 | 15,7 | 13,6 | 17,6 | 16,7 | 20,7 | 19,1 | 23,1 | 23,5 | 27,5 |
0,3 | 10,0 | 11,4 | 13,7 | 15,5 | 18,7 |
Пример запроектированных пробных составов смеси SP-19 с учетом зоны пластичности приведен на рисунке 1.
Рисунок 1 - Варианты зерновых составов смеси с номинальным
максимальным размером 19 мм, огибающих зону пластичности
Примечание - В случае проектирования крупнозернистых смесей рекомендуется огибать зону пластичности понизу.
5.4.3 Расчет пробного количества вяжущего.
Далее в соответствии с
ПНСТ 115 рассчитывают пробное количество вяжущего для каждой из трех смесей отдельно, которое учитывает количество исходных каменных материалов в составе смеси, их плотности и номинальный максимальный размер заполнителя.
Сначала рассчитывают общую объемную Gsb, г/см3, и максимальную Gsa, г/см3, плотность минерального материала, входящего в состав асфальтобетонной смеси, для каждого варианта проектируемой смеси по формулам 5 и 6:

(5)

(6)
где: P1, P2, ... Pn - количество в асфальтобетонной смеси каждого отдельного минерального материала, %;
G1, G2, ... Gn - объемные плотности каждого отдельного минерального заполнителя, входящего в состав асфальтобетонной смеси, г/см3;
Примечание - Значение объемной плотности минерального порошка приравнивается к значению его максимальной плотности, определенной по
ПНСТ 77.
Ga1, Ga2, ... Gan - максимальные плотности каждого отдельного минерального материала, входящего в состав асфальтобетонной смеси, г/см3.
Затем вычисляют плотность заполнителя асфальтобетонной смеси Gsea, г/см3, с учетом абсорбированного вяжущего по формуле 7:
Gsea = Gsb + 0,8·(Gsa - Gsb), (7)
где: 0,8 - коэффициент, учитывающий абсорбцию минерального заполнителя.
Примечание - коэффициент 0,8 применим для минеральных заполнителей с абсорбцией до 1,5%, в случае применения минеральных заполнителей с абсорбцией более 1,5% следует уменьшить данный коэффициент, но не более чем до 0,5.
После рассчитывают объем вяжущего, абсорбированного в минеральный заполнитель, Vba, см3, по формуле 8:

(8)
где: Ws - масса общего минерального материала в 1 см3 смеси, г, вычисленная по формуле 9:

(9)
где: Pb - количество вяжущего, в долях, принимаемое равным 0,05;
Ps - количество минерального заполнителя в смеси, в долях, принимаемое равным 0,95;
Gb - плотность вяжущего, г/см3;

- объем воздушных пустот, принимаемый равным 0,04 см
3 в 1 см
3 асфальтобетонной смеси.
По формуле 10 вычисляют эффективный (расчетный) объем вяжущего Vbe, см3,
Vbe = 0,176 - 0,0675·log(Sn), (10)
где: Sn - номинальный максимальный размер заполнителя в проектируемой смеси.
В итоге рассчитывают пробное содержание вяжущего в асфальтобетонной смеси Pbi, %, для приготовления проектируемых асфальтобетонных смесей по формуле 11:

(11)
5.4.4 Приготовление проб асфальтобетонной смеси
Подобранные минеральные составы асфальтобетонных смесей смешивают с рассчитанным количеством битумного вяжущего с целью оценки объемных свойств полученных вариантов смесей.
Смешивание асфальтобетонной смеси проводится при температуре, при которой вязкость применяемого вяжущего составляет 0,17 Па*сек. Порядок определения диапазона температур смешивания приведен в
приложении Б.
Необходимо готовить асфальтобетонную смесь для каждого образца отдельно из расчета 5500 г на образец. Количество образцов должно быть не менее трех для каждого запроектированного варианта. Допускается приготовление асфальтобетонной смеси массой, достаточной для уплотнения необходимого количества образцов, при условии, что после смешивания проба будет разделена на порции, для каждого образца отдельно в соответствии с
ПНСТ 91.
Приготовленные составы асфальтобетонных смесей выдерживают в сушильном шкафу при температуре уплотнения в течение (120 +/- 5) минут, в соответствии
ПНСТ 111. Данное термостатирование имитирует время выдерживания смеси в накопительном бункере АБЗ, время транспортировки и выгрузки смеси в бункер асфальтоукладчика или перегружателя.
5.4.5 Уплотнение проб асфальтобетонных смесей
Уплотнение асфальтобетонной смеси проводится при температуре, при которой вязкость применяемого вяжущего составляет 0,28 Па*сек. Порядок определения диапазона температур уплотнения приведен в
приложении Б.
Определяют максимальную плотность всех трех вариантов асфальтобетонных смесей в соответствии с
ПНСТ 92 и на основании полученных результатов рассчитывают требуемую массу для получения образцов диаметром 150 мм и высотой от 110 до 120 мм с содержанием воздушных пустот, равным 4%.
В соответствии с
ПНСТ 112 уплотняют не менее двух образцов из каждого пробного варианта асфальтобетонной смеси. Количество оборотов гиратора должно быть равным N
пр.
При уплотнении необходимо определять высоту образца с точностью 0,1 мм и фиксировать (записывать) ее значение в контрольных точках - Nнач, Nпр и Nмакс. Схема вращательного уплотнителя приведена на рисунке 2.
Рисунок 2 - Принцип работы вращательного уплотнителя
(гиратора)
Количество оборотов выбирают в зависимости от количества приложений ЭООН на месте строительства и в соответствии с данными, указанными в таблице 6.
Приложения ЭООН, миллион | Количество оборотов гиратора |
Nнач. | Nпр. | Nмакс. |
< 0,3 | 6 | 50 | 75 |
От 0,3 до < 3 | 7 | 75 | 115 |
От 3 до < 30 | 8 | 100 | 160 |
 30 | 9 | 125 | 205 |
После уплотнения испытуемых образцов определяют объемную плотность в соответствии с
ПНСТ 106 и содержание воздушных пустот по
ПНСТ 108.
5.4.6 Определение объемных свойств асфальтобетона
Для определения объемных свойств сначала вычисляют содержание воздушных пустот (Va, %) и количество пустот в минеральном заполнителе (ПМЗ, %) у образцов, уплотненных в гираторе с количеством оборотов равным Nпр по формулам 12 и 13 соответственно

(12)

(13)
где: Gmb - объемная плотность уплотненного образца, г/см3;
Gmm - максимальная плотность асфальтобетонной смеси, г/см3;
Ps - количество минерального заполнителя в асфальтобетонной смеси, доли единиц;
G
sb - общая объемная плотность минерального заполнителя, входящего в состав асфальтобетонной смеси, г/см
3, рассчитанная по
формуле 5.
Затем рассчитывают объемные свойства для каждого уплотненного образца с корректировкой на то, что образец будет содержать 4% воздушных пустот.
Для этого вычисляют отклонение среднего содержания воздушных пустот

в каждой подобранной смеси от проектируемого значения воздушных пустот, равного 4%, по формуле 15:
| | ИС МЕГАНОРМ: примечание. Нумерация формул дана в соответствии с официальным текстом документа. | |

(15)
где: Va - среднеарифметическое значение из двух (или более) образцов содержания воздушных пустот в проектируемом асфальтобетоне при количестве вращений гиратора, равном Nпр, %.
Затем рассчитывают изменение количества вяжущего

, необходимое для получения содержания воздушных пустот в асфальтобетоне, равное 4%, по формуле 16:

(16)
Далее рассчитывают изменение количества пустот в минеральном заполнителе

, вызванное изменением содержания воздушных пустот, для каждого проектируемого состава асфальтобетонной смеси по формулам 17 или 18:

при V
a > 4,0, (17)

при V
a < 4,0. (18)
Для каждого варианта проектируемой смеси вычисляют проектное количество пустот в минеральном заполнителе (ПМЗпр, %), которое должно получиться в образцах при количестве вращений гиратора, равном Nпр, и 4% воздушных пустот по формуле 19

(19)
По формуле (20) вычисляют относительную плотность каждого образца от максимальной плотности смеси (Gmmнач, %) при количестве вращений гиратора, равным Nнач с учетом изменения количества воздушных пустот.

(20)
где: hd - высота образца после количества вращений гиратора, равного Nпр, мм;
hi - высота образца после количества вращений гиратора, равного Nнач, мм.
В заключении вычисляют расчетную плотность минерального заполнителя (Gse, г/см3), предполагаемое необходимое количество вяжущего Pbeрасч, %) и расчетное значение отношения "пыль-вяжущее" (H) для каждой запроектированной смеси по формулам (21), (22) и (23) соответственно:

(21)

(22)

(23)
где: Pbi - первоначальное содержание вяжущего в асфальтобетонной смеси, %;
Gb - плотность применяемого вяжущего, г/см3;
Ps - количество минерального заполнителя в асфальтобетонной смеси, %;
G
sb - общая объемная плотность минерального заполнителя, входящего в состав асфальтобетонной смеси, г/см
3, рассчитанная по
формуле 5;
P0,075 - количество минеральных зерен в асфальтобетонной смеси мельче 0,075 мм, %.
Затем сравнивают полученные данные всех проектируемых смесей с требованиями
ПНСТ 114, которые приведены в таблице 7, и выбирают тот состав, который максимально удовлетворяет этим требованиям.
Примечание - В случае, если ни один из пробных составов не удовлетворяет требованиям
ПНСТ 114, то необходимо запроектировать дополнительные три пробных состава, или заменить исходные минеральные материалы.
Таблица 7
Приложения ЭООН, млн | Относительная плотность, % от максимальной плотности смеси | | | Отношение Пыль-вяжущее <6> |
Nнач | | Nмакс. | Номинальный максимальный размер заполнителя, мм |
37,5 | 25,0 | 19,0 | 12,5 | 9,5 | 4,75 |
< 0,3 |  91,5 | (96,0 +/- 0,3) |  98,0 | 11,0 | 12,0 | 13,0 | 14,0 | 15,0 | 16,0 | | |
От 0,3 до < 3 |  90,5 |  98,0 | |
От 3 до < 10 |  89,0 |  98,0 | |
От 10 до < 30 |  89,0 |  98,0 |
 30 |  89,0 |  98,0 |
<1> Не рекомендуется проектировать смеси, количество ПМЗ в которых превышает 2% от указанных в таблице значений. <2> Для смесей с номинальным максимальным размером 37,5 мм нижний предел ПНБ должен быть равен 64% для проектов всех уровней приложения ЭООН. <3> Для дорог с уровнем приложения ЭООН < 0,3 млн и для смесей с номинальным максимальным размером 25,0 мм, нижний предел ПНБ должен быть равен 67%, а для смесей с номинальным максимальным размером 4,75 мм значения ПНБ должны быть в пределах от 67% до 79%. <4> Для дорог с уровнями приложения ЭООН  3 млн и для смесей с номинальным максимальным размером 9,5 мм значения ПНБ должны быть в пределах от 73% до 76%. <5> Для дорог с уровнями приложения ЭООН  0,3 млн и для смесей с номинальным максимальным размером 4,75 мм значения ПНБ должны быть в пределах от 66% до 77%. <6> Для дорог с уровнями приложения ЭООН < 3 млн и для смесей с номинальным максимальным размером 4,75 мм значение отношения пыль-вяжущее должно быть в пределах от 1,0 до 2,0, а для дорог с уровнями приложения ЭООН  3 млн - от 1,5 до 2,0. <7> В случае, если кривая запроектированного состава проходит ниже точки первичного контрольного сита, допускается увеличить отношения пыль-вяжущее до 0,8 - 1,6 по согласованию с заказчиком. <8> Для смесей с номинальным максимальным размером заполнителя 4,75 мм относительная плотность при N пр количестве оборотов гиратора должна быть от 94,0% до 96,0%. Примечание - Допускается применение переработанного асфальтобетона (РАП) в соответствии с действующими нормативными документами. |
5.4.7 Подбор оптимального количества вяжущего.
После подбора минеральной части асфальтобетонной смеси необходимо подобрать оптимальное количество вяжущего для достижения требуемого содержания воздушных пустот. Для этого, на основе выбранного состава минеральной части готовятся смеси с различным количеством вяжущего равного:
- предполагаемому необходимому количество вяжущего Pbeрасч;
- на 0,5% меньше Pbeрасч;
- на 0,5% больше Pbeрасч;
- на 1,0% больше Pbeрасч.
Все приготовленные смеси с различным количеством вяжущего термостатируются, уплотняются и испытываются таким же образом, как и при подборе минеральной части асфальтобетонных смесей.
По полученным результатам испытаний строятся графические модели объемных свойств (рисунок 3) и определяется количество вяжущего, при котором асфальтобетонная смесь будет удовлетворять требованиям, приведенным в
таблице 6, а количество воздушных пустот в асфальтобетоне будет равным 4%.
Рисунок 3 - Примеры зависимостей объемных свойств
Для подтверждения полученных результатов готовят контрольную пробу асфальтобетонной смеси с оптимальным количеством вяжущего. Определяют его максимальную плотность и формуют не менее двух образцов на вращательном уплотнителе с целью определения окончательных показателей объемных свойств.
Так же дополнительно формуют и испытывают не менее двух образцов при количестве оборотов гиратора равном Nмакс.
Окончательные объемные свойства рассчитываются по формулам:
- Относительная плотность от максимальной, %, при Nнач оборотов вращательного уплотнителя рассчитывается по формуле 24:

(24)
где: hd - высота образца после количества вращений гиратора, равного Nпр, мм;
hi - высота образца после количества вращений гиратора, равного Nнач, мм;
- Относительная плотность от максимальной, %, при Nпр оборотов вращательного уплотнителя рассчитывается по формуле 25:
Gmmпр = 100 - Va, (25)
где: Va - содержание воздушных пустот, %, после Nпр количества оборотов гиратора;
Относительная плотность от максимальной, %, при Nмакс оборотов вращательного уплотнителя рассчитывается по формуле:

(26)
где: Gmb - объемная плотность уплотненной смеси после Nмакс оборотов гиратора, г/см3;
- Пустоты в минеральном заполнителе (ПМЗ, %) рассчитываются по формуле:

(27)
где: Ps - количество минерального заполнителя в асфальтобетонной смеси, доли единиц;
Gmb - объемная плотность уплотненной смеси, г/см3;
Gsb - объемная плотность минеральной части смеси, г/см3;
- Пустоты наполненные вяжущим (ПНВ, %) рассчитываются по формуле:

(28)
5.4.8 Определение водостойкости и адгезионных свойств
Водостойкость асфальтобетона определяется в соответствии с
ПНСТ 113. Сущность метода заключается в определении степени воздействия воды на адгезионные свойства вяжущего с каменным материалом. Для этого на гираторе формуют две серии образцов высотой (95 +/- 5) мм:
- первая - для испытания в сухом состоянии;
- вторая - для испытания после цикла "замораживание-оттаивание".
Основные этапы подготовки и проведения испытания по определению водостойкости представлены на
рисунке 4.
Рисунок 4 - Схема этапов проведения работы
по определению водостойкости асфальтобетона
В соответствии с требованиями
ПНСТ 114 водостойкость образцов должна быть не менее 0,80.
Дополнительно по поверхностям разлома визуально оценивается адгезия вяжущего с минеральным заполнителем и выставляется оценка по пятибалльной шкале.
5.4.9 Определение стойкости к колееобразованию
После подбора состава асфальтобетонной смеси и определения водостойкости рекомендовано провести испытание на определение стойкости к колееобразованию методом прокатывания нагруженного колеса по
ОДМ 218.3.017. Испытание необходимо провести при температуре 60 °C, количество циклов нагружения должно быть не менее 10000.
Рекомендованная глубина колеи для асфальтобетонов, предназначенных для верхних слоев дорожной одежды составляет не более 4 мм.
5.5 Корректировка объемных свойств и водостойкости
В случае несоответствия значений ПМЗ, указанным в
таблице 6, возможны следующие корректировки:
- изменение гранулометрического состава;
- уменьшение содержания частиц менее 0,075 мм;
- изменение формы зерен одной или более фракций минерального заполнителя, например, использовать заполнитель с меньшим содержанием плоских и удлиненных частиц.
В случае несоответствия значений ПНВ, указанным в
таблице 6, возможны следующие корректировки:
- изменение гранулометрического состава таким образом, чтобы проектная кривая расположилась ближе к кривой максимальной плотности;
- увеличение количества частиц менее 0,075 мм, если это позволяют допуски контрольных точек;
- изменение формы зерен минерального заполнителя, например, использовать заполнитель с меньшим содержанием плоских и удлиненных частиц.
В случае несоответствия водостойкости требуемому значению возможно его повысить за счет:
- введения в вяжущее адгезионных добавок;
- добавление гашеной извести в смесь.
6 Приготовление горячих асфальтобетонных смесей на АБЗ
Горячие плотные асфальтобетонные смеси "Superpave" приготавливаются на асфальтобетонных заводах аналогично традиционным асфальтобетонным смесям. Для приготовления смесей применяются заводы как циклического типа, так и непрерывного.
Для повышения однородности гранулометрического состава приготавливаемой смеси минеральный заполнитель рекомендуется разделить на следующие фракции: от 0,00 до 4,75 мм; от 4,75 до 9,5 мм; от 9,5 до 12,5 мм; от 12,5 до 19,0 мм. При приготовлении смеси требуется предварительная дозировка минеральных материалов из штабелей в бункера пропорционально подобранному составу.
При перемещении минерального заполнителя в приемные бункеры необходимо следить за его однородностью. В случае обнаружения неоднородности материала в штабеле визуально или инструментально, необходимо его перемешать или окучить с помощью экскаватора или погрузчика.
Машинист фронтального погрузчика должен своевременно наполнять приемные бункера, не допуская их опустошения. В процессе заполнения машинисту погрузчика рекомендуется использовать материал с солнечной стороны штабеля или визуально со стороны с меньшим содержанием влаги.
В случае применения минеральных заполнителей с сильно различающейся влажностью необходимо учитывать возможные температурные скачки готовой смеси.
Рекомендуется оснащать приемные бункера перегородками, для предотвращения пересыпания материала из одного бункера в другой.
Перед началом производства смесей необходимо в соответствии с
ПНСТ 95 определить оптимальное время смешивания для данного типа смеси в соответствии с подобранной рецептурой.
Вяжущее нагревают до температуры смешивания. Температура в процессе смешивания должна быть равной температуре смешивания для данного типа вяжущего с отклонением не более 5 °C. Пример определения диапазона температуры смешивания приведен в
приложении Б.
Смешивание компонентов происходит в смесительной установке таким образом, чтобы на выходе получилась смесь с требуемыми параметрами, такими как:
- температура смеси;
- однородность и степень обволакивания частиц.
При приготовлении смесей в первую очередь необходимо убедиться в правильности соблюдения рецептуры. Для этого при согласовании рецепта проводят пробные приготовления проб асфальтобетонных смесей на АБЗ с последующей оценкой состава смеси и объемных свойств. Отклонения от запроектированного в лабораторных условиях состава не должны превышать требований к предельно допустимым отклонениям, указанным в таблице 8.
Затем устанавливают соответствие асфальтобетонной смеси требованиям
ПНСТ 114 по показателям:
- пустоты в минеральном заполнителе (ПМЗ);
- пустоты наполненные вяжущим (ПНВ);
- отношение "пыль-вяжущее".
Показатели | Предельно допустимые значения для верхнего слоя покрытия | Предельно допустимые значения для нижнего слоя покрытия или слоев основания |
Количество вяжущего, %, по массе | +/- 0,3 | +/- 0,4 |
Содержание воздушных пустот, % | +/- 0,5 | +/- 1,0 |
Проход через сито 19 мм и более, %, по массе | +/- 5,0 | +/- 5,0 |
Проход через сито 12,5 мм, %, по массе | +/- 4,0 | +/- 4,0 |
Проход через сито 9,5 мм, %, по массе | +/- 3,5 | +/- 4,0 |
Проход через сито 4,75 мм, %, по массе | +/- 3,5 | +/- 3,5 |
Проход через сито 2,36 мм, %, по массе | +/- 2,5 | +/- 3,0 |
Проход через сито 0,075 мм, %, по массе | +/- 2,0 | +/- 2,5 |
Примечание - Не допускается сравнение результатов составов смеси в случае замены хотя бы одного вида минерального заполнителя. |
В случае соответствия асфальтобетонной смеси, приготовленной на АБЗ всем требуемым показателям, ее состав официально утверждается.
В случае несоответствия состава и свойств асфальтобетонной смеси, приготовленной на АБЗ, требованиям
ПНСТ 114 и
таблице 8, необходимо провести следующие корректировки:
- проверить исправность дозирующих устройств;
- сделать дополнительные рассевы минеральных заполнителей, прошедших через пылеулавливающую установку и скорректировать дозировку минеральных материалов;
- изменить дозирование фракции минерального заполнителя, влияющего на несоответствие на конкретном сите;
- скорректировать количество вяжущего;
- применить адгезионные добавки.
Наличие накопительного бункера на АБЗ увеличивает вероятность смешивания между собой разных замесов и способствует повышению однородности смеси при отгрузке.
Отгрузку асфальтобетонной смеси рекомендуется начинать после накопления не менее четверти от объема накопительных бункеров. При этом будут усреднены возможные отклонения в смеси, которые могут быть связаны с недостаточным прогревом узлов АБЗ, наладкой технологического процесса или иной другой причиной.
7 Транспортировка и укладка горячих асфальтобетонных смесей
7.1 Транспортировка асфальтобетонных смесей
Для обеспечения должного качества перевозимой асфальтобетонной смеси кузова автосамосвалов должны быть чистыми и гладкими. Рекомендуется обработка кузовов антиадгезионным средством, не оказывающим негативного влияния на асфальтобетонную смесь (например, мыльный раствор).
Для снижения температурных потерь во время транспортировки, кузова автосамосвалов должны быть оборудованы подогревом и накидкой из водоотталкивающего материала без отверстий и разрывов.
Для минимизации сегрегации автосамосвалы должны быть загружены в соответствии с рисунком 6. Загрузка осуществляется сначала ближе к кабине кузова, затем на противоположной стороне и последним нагружается центр кузова.
| | ИС МЕГАНОРМ: примечание. Нумерация рисунков дана в соответствии с официальным текстом документа. | |
Рисунок 6 - Последовательность загрузки автосамосвала
В случае, если время до выгрузки составляет более двух часов, рекомендуется использовать автосамосвалы вместимостью более 25 т. Схема загрузки автосамосвалов вместимостью более 25 тонн приведена на рисунке 7.
Рисунок 7 - Последовательность загрузки автосамосвала
вместимостью более 25 т
7.2 Укладка и уплотнение асфальтобетонных смесей
7.2.1 Перед укладкой асфальтобетонной смеси поверхность основания должна быть подготовлена следующим образом:
- трещины загерметизированы;
- неровности сглажены выравнивающим слоем.
Для обеспечения необходимого сцепления между основанием и устраиваемым слоем, основание должно быть подгрунтовано битумной эмульсией с нормой расхода от 0,18 до 0,27 л/м2. Работы по подгрунтованию рекомендуется проводить за 2 - 3 часа до начала укладки.
Перед подгрунтовкой поверхность основания обязательно должна быть очищена от грязи и всевозможного мусора при помощи механизированных щеток.
7.2.2 Работы по укладке асфальтобетонной смеси должны быть организованны таким образом, чтобы асфальтоукладчик на протяжении всей смены работал непрерывно с поддержанием должной скорости укладки. Скорость укладки напрямую зависит от непрерывной подачи материала к асфальтоукладчику.
Количество смеси, переносимой в камере шнека, должно быть постоянным, при этом уровень смеси должен составлять не менее 2/3 от диаметра шнека, как показано на рисунке 8.
Рисунок 8 - Правильный уровень смеси, переносимой
в камере шнека асфальтоукладчика
Систему подачи смеси необходимо отрегулировать таким образом, чтобы шнек асфальтоукладчика вращался непрерывно и с постоянной скоростью. Скорость вращения шнеков должна обеспечивать равномерное распределение асфальтобетонной смеси по всей ширине укладываемой полосы. При наличии у асфальтоукладчика системы автоматического отслеживания наполнения шнековых камер условие о непрерывном вращении шнека допускается не соблюдать.
В начале укладки рекомендуется установить шнек на высоту от 50 до 75 мм над поверхностью укладываемого слоя. Окончательная регулировка высоты установки шнека зависит от состава смеси и реальной толщины укладываемого слоя.
Рекомендуемые толщины укладываемых слоев в зависимости от номинального максимального размера смеси приведены в таблице 9.
Таблица 9
Вид смеси | Минимальная толщина слоя, м | Максимальная толщина слоя, м |
SP-37 | 0,093 | 0,148 |
SP-25 | 0,064 | 0,100 |
SP-19 | 0,044 | 0,075 |
SP-12 | 0,035 | 0,064 |
SP-9 | 0,028 | 0,038 |
SP-4 | 0,011 | 0,021 |
Для предотвращения возникновения сегрегации асфальтобетонной смеси, в том числе и температурной, рекомендуется применять перегружатели смеси с накопительным бункером, позволяющие дополнительно перемешивать асфальтобетонную смесь.
7.2.3 Для уплотнения горячих плотных асфальтобетонных смесей возможно применение как гладковальцевых катков с вибрацией и без, так и катков на пневмошинах.
Для гладковальцевых катков и катков на пневмошинах при укатке скорость не должна превышать 4 км/ч.
Для катка с вибрацией допустимая скорость не должна превышать 6 км/ч, при этом частота вибраций должна быть в пределах от 30 до 40 колебаний на один метр. Типичная схема движения катка приведена на рисунке 9.
Рисунок 9 - Схема движения катка
Временной разрыв между выравниванием слоя плитой асфальтоукладчика и началом уплотнения катками должен быть минимальным. Если катки не успевают за асфальтоукладчиком, то необходимо, либо увеличить количество катков, либо замедлить скорость асфальтоукладчика.
Важно строго соблюдать особенности уплотнения, определенные при пробной укатке такие как:
- состав отряда уплотняющей техники;
- скоростные и функциональные режимы работы;
- количество проходов по каждому следу.
7.2.4 Для достижения наилучших характеристик уплотнения в процессе пробной укатки, после каждого прохода каждого катка рекомендуется контролировать степень уплотнения неразрушающими методами контроля в соответствии с
ПНСТ 131, для выявления оптимального количества проходов катков.
При использовании прибора неразрушающего контроля, его заранее нужно откалибровать и настроить для работы с конкретным видом асфальтобетона. Для этого необходимо в соответствии с инструкцией применяемого прибора установить коэффициент корреляции между плотностью измеряемой прибором и плотностью кернов, выбуренных из покрытия при проведении пробного уплотнения.
При уплотнении асфальтобетонной смеси рекомендуется контролировать ее температуру при помощи тепловизора для выявления возможной температурной сегрегации. Температура смеси в процессе уплотнения должна быть не выше температуры уплотнения для данного типа вяжущего и не ниже 120 °C.
8.1 Приемка горячих плотных асфальтобетонных смесей и асфальтобетона
Приемку смесей производят партиями. Партией считают количество смеси одного типа и состава, выпускаемое на одной смесительной установке в течение смены, но не более 2000 т.
Отбор проб асфальтобетонной смеси производят в соответствии с
ПНСТ 90.
Для проверки соответствия качества асфальтобетонной смеси и асфальтобетона проводят операционный контроль, приемо-сдаточные и периодические испытания.
| | ИС МЕГАНОРМ: примечание. Нумерация пунктов дана в соответствии с официальным текстом документа. | |
8.2.1 Операционный контроль проводится ежедневно и включает определение:
- температуры отгружаемой смеси, которая должна быть не менее температуры уплотнения;
- гранулометрического состава минеральной части смеси;
- содержания вяжущего;
- максимальной плотности асфальтобетонной смеси.
Предельно допустимые отклонения фактических значений от указанных в утвержденном рецепте представлены в таблице 10.
Таблица 10
Показатели | Предельно допустимые значения для верхнего слоя покрытия | Предельно допустимые значения для нижнего слоя покрытия или слоев основания |
Количество вяжущего, %, по массе | +/- 0,3 | +/- 0,4 |
Проход через сито 19 мм и более, %, по массе | +/- 5,0 | +/- 5,0 |
Проход через сито 12,5 мм, %, по массе | +/- 4,0 | +/- 4,0 |
Проход через сито 9,5 мм, %, по массе | +/- 3,5 | +/- 4,0 |
Проход через сито 4,75 мм, %, по массе | +/- 3,5 | +/- 3,5 |
Проход через сито 2,36 мм, %, по массе | +/- 2,5 | +/- 3,0 |
Проход через сито 0,075 мм, %, по массе | +/- 2,0 | +/- 2,5 |
8.2.2 Периодические испытания
При периодических испытаниях асфальтобетонных смесей не реже чем раз в 10 суток, а также при смене исходных минеральных материалов или марки вяжущего проводят испытания на определение:
- содержания вяжущего;
- гранулометрического состава минеральной части смеси;
- содержания воздушных пустот.
Так же устанавливают соответствие требованиям
ПНСТ 114 по показателям:
- пустоты в минеральном заполнителе (ПМЗ);
- пустоты наполненные вяжущим (ПНВ);
- водостойкость.
Предельно допустимые отклонения фактических значений, от указанных в проекте представлены в таблице 11.
Таблица 11
Показатели | Предельно допустимые значения для верхнего слоя покрытия | Предельно допустимые значения для нижнего слоя покрытия или слоев основания |
Количество вяжущего, %, по массе | +/- 0,3 | +/- 0,4 |
Содержание воздушных пустот, % | +/- 1,5 | +/- 2,0 |
Проход через сито 19 мм и более, %, по массе | +/- 5,0 | +/- 5,0 |
Проход через сито 12,5 мм, %, по массе | +/- 4,0 | +/- 4,0 |
Проход через сито 9,5 мм, %, по массе | +/- 3,5 | +/- 4,0 |
Проход через сито 4,75 мм, %, по массе | +/- 3,5 | +/- 3,5 |
Проход через сито 2,36 мм, %, по массе | +/- 2,5 | +/- 3,0 |
Проход через сито 0,075 мм, %, по массе | +/- 2,0 | +/- 2,5 |
Дополнительно рекомендуется проводить испытание на стойкость к колееобразованию методом прокатывания нагруженного колеса. Глубина колеи после 10000 циклов не должна превышать проектное значение более чем на 20%.
В случае несоответствия смеси и асфальтобетона требованиям более чем по двум показателям партию бракуют. При несоответствии смеси и асфальтобетона по одному или двум показателям подрядчик дополнительно из текущей партии материала подготавливает пять лабораторных проб и проверяет их на соответствие нормативным документам. В случае несоответствия двух или более проб партию бракуют.
8.2.3 Приемо-сдаточные испытания
При приемо-сдаточных испытаниях уложенного слоя асфальтобетона дополнительно к требуемым характеристикам в соответствии с
СП 34.13330.2012, определяют:
- содержание воздушных пустот в слое;
- водостойкость (при необходимости).
В связи с тем, что параметр водостойкости асфальтобетонной смеси определялся при подборе и являлся одним из основных критериев контроля качества, при приемо-сдаточных мероприятиях определяется только при условиях, указанных в
таблице 12.
Вырубки (керны) следует отбирать из слоя асфальтобетона не ранее чем через сутки после его уплотнения. Вырубки (керны) отбираются не менее чем в трех точках на 10000 м2. В каждой точке отбирается не менее двух вырубок (кернов). Точки отбора кернов рекомендуется выбирать на основании значений плотности, измеренных гамма-плотномером (например, точки в которых гамма-плотномер показал самые высокие и самые низкие значения плотности). Для этого проводят замеры плотности не менее чем через каждые 100 м готового покрытия и на основании полученных данных принимают решение в каких точках следует провести отбор вырубок (кернов).
Содержание воздушных пустот в вырубках (кернах) определяют по
ПНСТ 108 с учетом результатов определения максимальной плотности, полученных при проведении операционного и приемо-сдаточного контроля.
Требования к показателям при приемо-сдаточных испытаниях, представлены в таблице 12.
Показатели | Для верхнего слоя покрытия | Для нижнего слоя покрытия или слоев основания |
Содержание воздушных пустот, % | от 3,7 до 7,5 | от 3,7 до 10 |
Водостойкость <*>, не менее | 0,80 |
Отклонение толщины уложенного слоя, %, не более | 10 | 15 |
<*> Водостойкость определяется только в том случае, если параметр содержания воздушных пустот покрытия находится в диапазонах: - для верхнего слоя покрытия от 3,7 до 4% или от 7 до 7,5%; - для нижнего слоя покрытия от 3,7 до 4% или от 9 до 10%. |
ПРИМЕР ПРОЕКТИРОВАНИЯ ГОРЯЧЕЙ АСФАЛЬТОБЕТОННОЙ СМЕСИ
SP-19 ПО МЕТОДОЛОГИИ "SUPERPAVE"
А.1 Исходные данные
В данном примере рассмотрено проектирование асфальтобетонной смеси по методологии "Superpave". Проектирование выполнено для верхнего слоя покрытия участка автомобильной дороги, расположенного в n-ой области с географической широтой 55°, средней прогнозируемой скоростью равной более 70 км/ч, и суммарным расчетным количеством приложений одноосных нагрузок равным 20 млн.
А.2 Расчет количества приложений ЭООН
Расчет суммарного количества приложений одноосных нагрузок, эквивалентных 80 кН проводится следующим образом:
Суммарное расчетное количество приложений одноосных нагрузок

рассчитывается согласно действующим нормативно-техническим документам в области проектирования. За расчетную нагрузку принимается статическая нагрузка на ось (100 кН, 115 кН и т.д.). За срок службы дорожной одежды принимается 20 лет (в данном примере расчетная нагрузка 100 кН, а

).
Приведение суммарного расчетного количества приложений одноосных нагрузок

к 80 кН осуществлялось в соответствии с
приложением А ПНСТ 114.
В первую очередь рассчитывался переводной коэффициент К:

;
где: Qi - расчетная одноосная нагрузка для данной автомобильной дороги, принимаемая за 100, кН;
Затем рассчитывалось суммарное количество приложений одноосных нагрузок

, эквивалентных 80 кН:

;

- суммарное количество приложений расчетных одноосных нагрузок для данной автомобильной дороги;
K - переводной коэффициент.
Следовательно, суммарное количество приложений одноосных нагрузок, эквивалентных 80 кН принимается как более 30 млн.
А.3 Расчет требуемой марки битумного вяжущего
А.3.1 Определение расчетных температур
Для определения расчетных температур используют данные по максимальным и минимальным суточным температурам воздуха и данные географического расположения района строительства.
А.3.1.1 Используя массив данных по максимальным суточным температурам воздуха определяют ежегодные семидневные температуры (Ti). Для этого для каждого дня в i-ом году вычисляют среднее арифметическое максимальных температур воздуха за 7 дней, включающие в себя этот день, трое предыдущих и трое последующих дней. Семидневной температурой (Ti) для i-го года будет являться наибольшее из полученных значений.
Данные для примера по семидневным температурам воздуха представлены в таблице А.1.
Год | Годовая семидневная температура (Ti), °C |
1 | 28,5 |
2 | 29,1 |
3 | 28,4 |
4 | 30,2 |
5 | 26,8 |
6 | 24,1 |
7 | 30,3 |
8 | 27,6 |
9 | 26,4 |
10 | 33,8 |
11 | 29,1 |
12 | 28,4 |
13 | 30,2 |
14 | 26,8 |
15 | 24,1 |
16 | 30,3 |
17 | 27,6 |
18 | 26,4 |
19 | 32,0 |
20 | 31,4 |
Используя семидневные температуры
(таблица А.1), находят среднее значение семидневных температур (T
i) за n лет и стандартное отклонение семидневных температур (S). В примере использованы данные за 20 лет, поэтому n = 20.
По представленным в
таблице А.1 данным среднее значение семидневных температур (T
ср) за 20 лет составляет 28,37 °C.
Вычисляют значение стандартного отклонения семидневных температур S:
где: n - количество лет наблюдений;
Tср - среднее значение семидневных температур за 20 лет;
T
i - годовая семидневная температура в i-тый год наблюдения (из
таблицы А.1).
Максимальная расчетная температура слоя покрытия принимается равной температуре в расчетной точке слоя, которая находится на глубине 20 мм от его поверхности.
В примере выполнен расчет для верхнего слоя покрытия, поэтому в данном случае расчетная точка находится на глубине 20 мм от поверхности дороги.
Вычисляют максимальную расчетную температуру для верхнего слоя покрытия T:
T = 54,32 + 0,78*Tср - 0,0025(Lat)2 - 15,14log10(H + 25) + Z*(9 + 0,61·s2)0,5 = 54,32 + 0,78*28,37 - 0,0025(55)2 - 15,14log10(20 + 25) + 2,055*(9 + 0,61·2,53)0,5 = 51,24 °C,
где: T - максимальная расчетная температура покрытия;
Tср - средняя семидневная температура воздуха;
Lat - географическая широта в градусах, в качестве примера выбрана равной 55;
H - глубина от поверхности дороги до точки расчета, в данном случае равно 20 (мм);
Z = 2,055 - табличное значение стандартного нормального распределения, (Z = 2,055 для вероятности 98%).
А.3.1.2 Используя массив данных по самым низким суточным температурам воздуха, выбирают ежегодные минимальные суточные температуры воздуха (Tн).
Данные для примера по ежегодным самым низким температурам воздуха представлены в таблице А.2.
Год | Минимальные суточные температуры воздуха в году (Tн), °C |
1 | -22,0 |
2 | -18,1 |
3 | -17,8 |
4 | -23,9 |
5 | -24,2 |
6 | -19,0 |
7 | -21,3 |
8 | -18,2 |
9 | -20,5 |
10 | -20,8 |
11 | -17,3 |
12 | -28,8 |
13 | -24,3 |
14 | -21,9 |
15 | -27,0 |
16 | -19,9 |
17 | -22,4 |
18 | -26,4 |
19 | -18,6 |
20 | -19,3 |
| | ИС МЕГАНОРМ: примечание. В официальном тексте документа, видимо, допущена опечатка: имеется в виду таблица А.2, а не таблица 2. | |
Используя минимальные суточные температуры воздуха в году (далее минимальные температуры воздуха)
(таблица 2), находят среднее значение минимальных температур воздуха за n лет и стандартное отклонение минимальных температур воздуха. В нашем примере использованы данные за 20 лет, поэтому n = 20.
По представленным в
таблице А.2 данным среднее значение минимальных температур (T
min) за 20 лет составляет минус 21,5 °C.
Вычисляют значение стандартного отклонения ежегодных минимальных температур воздуха S:
где: n - количество лет наблюдений;
Tmin - средняя минимальная температура воздуха;
T
i - минимальная температура воздуха в (i-тый) год наблюдения (из
таблицы А.2).
За минимальную расчетную температуру слоя покрытия, принимается температура на его поверхности.
В примере выполнен расчет для верхнего слоя покрытия, поэтому в данном случае рассчитывают температуру поверхности дороги.
Вычисляют минимальную расчетную температуру покрытия Tm:
Tm = -1,56 + 0,72·Tmin - 0,004(Lat)2 + 6,26log10(H + 25) - Z*(4,4 + 0,52·s2)0,5 = -1,56 + 0,72·(-21,55) - 0,004(55)2 + 6,26log10(0 + 25) - 2,055*(4,4 + 0,52·3,142)0,5 = (-26,77) °C,
где: Tm - минимальная расчетная температура покрытия;
Tmin - средняя минимальная температура воздуха;
Lat - географическая широта в градусах, в качестве примера выбрана равной 55;
H - глубина от поверхности дороги до точки расчета, в данном случае равно нулю (мм);
Z = 2,055 - табличное значение стандартного нормального распределения (Z = 2,055 для вероятности 98%).
Из приведенных расчетов получаем, что максимальная расчетная температура равна 51,24 °C, а минимальная расчетная температура равна минус 26,77 °C.
А.3.2 Выбор и корректировка марки битумного вяжущего
В соответствии с
ПНСТ 85. Наиболее целесообразно выбрать марку, удовлетворяющую полученным максимальной и минимальной расчетным температурам. Учитывая, что максимальная расчетная температура равна 51,24 °C, а минимальная расчетная температура равна минус 26,77 °C выбираем марку PG 52-28. Выбранная марка PG 52-28 определена с обеспеченной надежностью не менее 98%.
С учетом того, что в примере выбрана прогнозируемая средняя скорость движения транспорта более 70 км/ч, а расчетное количество приложений ЭООН составляет более 30 миллионов, то выбранную марку PG 52-28 следует скорректировать с учетом данных, указанных в
таблице 1. Следовательно, необходимо увеличить верхнее значение выбранной марки на один шаг, т.е. на 6 °C.
Таким образом расчетная марка с учетом корректировки составила PG 58-28.
А.4 Подбор состава асфальтобетонной смеси SP-19
А.4.1 Испытание исходных материалов
А.4.1.1 Испытание вяжущего
Битумное вяжущее было испытано как битумное вяжущее неизвестной марки и классифицировано в соответствии с
ПНСТ 86 и
ПНСТ 85.
Результаты испытания вяжущего для определения марки PG представлены в таблице А.3
Таблица А.3
Наименование показателя | Требования ПНСТ | Фактическое значение |
Динамическая вязкость, Па*с | При 135 °C | Не более 3 Па*с | 0,32 |
Динамическая вязкость, Па*с | При 145 °C | Не нормируется | 0,21 |
Сдвиговая устойчивость,  , при 10 рад/с, кПа | При 64 °C | | 0,79 |
При 58 °C | | 2,05 |
Изменение массы после старения по методу RTFOT, % | Не более 1% | 0,2 |
Температура вспышки, °C | Не менее 230 | 295 |
Сдвиговая устойчивость после старения по методу RTFOT,  , при 10 рад/с, кПа | При 64 °C | | 2,25 |
При 70 °C | | 1,07 |
Усталостная устойчивость после старения по методу PAV,  , при 10 рад/с, кПа | При 16 °C | | 4478 |
При 13 °C | | 5957 |
Низкотемпературная устойчивость: Жесткость, S (60) Ползучесть, m | При -2 °C | S(60), не более 300, МПа | 22 |
m, не менее 0,3 | 0,433 |
При -12 °C | S(60), не более 300, МПа | 51 |
m, не менее 0,3 | 0,362 |
Диапазон температуры смешивания, °C | - | 148 - 154 |
Диапазон температуры уплотнения, °C | - | 136 - 141 |
| | ИС МЕГАНОРМ: примечание. Текст дан в соответствии с официальным текстом документа. | |
По результатам проведенных испытаний в было установлено, что марка битумного вяжущего PG 58-28 с надежностью 98%, что удовлетворяет требованиям по марке битумного вяжущего рассчитанной в
п. А.3.2.
А.4.1.2 Испытание минеральных материалов
В соответствии с
ПНСТ 115 применяемые крупнозернистые и мелкозернистые минеральные заполнители были промыты через сито с размером ячеек 0,075 мм и рассеяны на стандартном наборе сит. Результаты определения зерновых составов исходных минеральных материалов приведены в таблице А.4.
Размер ячейки сита | Частные остатки в % |
Крупнозернистый заполнитель N 1 | Крупнозернистый заполнитель N 2 | Крупнозернистый заполнитель N 3 | Мелкозернистый заполнитель | Минеральный порошок |
25,0 | 0,0 | 0,0 | 0,0 | 0,0 | 0,0 |
19,0 | 0,0 | 0,4 | 0,0 | 0,0 | 0,0 |
12,5 | 0,3 | 5,8 | 84,9 | 0,7 | 0,0 |
9,5 | 0,9 | 59,6 | 13,7 | 0,1 | 0,0 |
4,75 | 76,7 | 32,7 | 1,0 | 3,3 | 0,0 |
2,36 | 18,7 | 0,4 | 0,1 | 29,4 | 0,0 |
1,18 | 1,3 | 0,0 | 0,0 | 21,2 | 0,0 |
0,60 | 0,1 | 0,0 | 0,0 | 13,5 | 0,0 |
0,30 | 0,1 | 0,0 | 0,0 | 9,4 | 0,5 |
0,15 | 0,1 | 0,0 | 0,0 | 6,1 | 5,6 |
0,075 | 0,2 | 0,1 | 0,1 | 4,7 | 18,2 |
< 0,075 | 1,6 | 1,0 | 0,2 | 11,6 | 75,7 |
Примечание - Так как в крупнозернистом заполнителе N 1 проход на сите с размером ячеек 4,75 мм составил более 15%, то минеральный материал менее 4,75 мм высеивался и испытывался отдельно как мелкозернистый заполнитель. За результат испытания принималось средневзвешенное значение.
Далее определялись объемные свойства исходных материалов для оценки их соответствия требованиям
ПНСТ 114. Результаты испытаний приведены в таблице А.5.
Таблица А.5
Показатели | Крупнозернистый заполнитель N 1 (более 4,75) | Крупнозернистый заполнитель N 1 (менее 4,75) | Крупнозернистый заполнитель N 2 | Крупнозернистый заполнитель N 3 | Мелкозернистый заполнитель | Минеральный порошок |
Максимальная плотность, г/см3 | 3,037 | 2,907 | 3,030 | 3,034 | 3,005 | 2,700 |
Объемная плотность, г/см3 | 3,013 | 2,821 | 2,995 | 3,011 | 2,846 | - |
Плотность в осушенном состоянии, г/см3 | 3,017 | 2,853 | 3,006 | 3,020 | 2,899 | - |
Абсорбция, % | 0,2 | 1,4 | 0,4 | 0,3 | 1,8 | - |
Количество дробленых зерен, % | 100 | | 100 | 100 | - | - |
Количество плоских и удлиненных зерен, % | 0,1 | 0,0 | 0,4 | - | - |
Пустотность песка, % | - | - | | 45,2 | - |
Эквивалент песка, % | - | - | | 65,3 | - |
Результаты определения свойств исходных материалов показывают, что все материалы пригодны для применения их в составе асфальтобетонных смесей по методологии "Superpave".
А.4.2 Подбор гранулометрического состава
После испытания минеральных материалов проектируют пробные варианты гранулометрических составов. В соответствии с
ПНСТ 115 были подобраны три состава, которые по зерновому составу удовлетворяют требованиям
ПНСТ 114. Три варианта составов минеральной части смесей представлены в таблице А.6.
Вид заполнителя | Содержание заполнителя в смеси, % |
Вариант 1 | Вариант 2 | Вариант 3 |
Крупнозернистый заполнитель N 1 | 25 | 22 | 20 |
Крупнозернистый заполнитель N 2 | 13 | 19 | 18 |
Крупнозернистый заполнитель N 3 | 14 | 16 | 23 |
Мелкозернистый заполнитель | 48 | 43 | 39 |
Минеральный порошок | - | - | - |
В связи с тем, что для подбора смесей в данном конкретном случае применялся достаточно пыльный отсев дробления, принято решение не использовать минеральный порошок, чтобы в дальнейшем не превысить допуск по отношению содержания пыли к вяжущему.
Рассевы составов трех вариантов смесей на стандартном наборе сит представлены в таблице А.7 и
рисунке А.1.
Таблица А.7
Размер ячейки сита | Полные проходы в % |
Вариант 1 | Вариант 2 | Вариант 3 |
25,0 | 100 | 100 | 100 |
19,0 | 99,9 | 99,9 | 99,9 |
12,5 | 86,9 | 84,9 | 79,0 |
9,5 | 77,0 | 71,1 | 64,9 |
4,75 | 51,8 | 46,4 | 42,2 |
2,36 | 33,0 | 29,6 | 26,9 |
1,18 | 22,5 | 20,2 | 18,4 |
0,60 | 15,9 | 14,4 | 13,1 |
0,30 | 11,4 | 10,3 | 9,4 |
0,15 | 8,5 | 7,7 | 7,0 |
0,075 | 6,1 | 5,6 | 4,9 |
Рисунок А.1 - Варианты гранулометрических составов
смеси SP-19, с учетом зоны пластичности
А.4.2.1 Расчет пробного количества битумного вяжущего
Рассчитывают пробное количество битумного вяжущего для варианта смеси 1
Gsea = Gsb + 0,8*(Gsa - Gsb) = 2,905 + 0,8*(3,005 - 2,905) = 2,985 г/см3;
Vbe = 0,176 - 0,0675·log(Sn) = 0,176 - 0,0675·log(19,0) = 0,090 см3;
Аналогично рассчитывается количество вяжущего и для других двух вариантов.
Результаты расчетов пробного количества, вяжущего для всех трех вариантов смесей приведены в таблице А.8.
Таблица А.8
Общая объемная плотность минерального заполнителя, г/см3 | Вариант 1 | Вариант 2 | Вариант 3 |
2,905 | 2,915 | 2,923 |
Количество вяжущего в 100% смеси, % | 4,3 | 4,3 | 4,1 |
А.4.2.2 Приготовление асфальтобетонных смесей
В соответствии с данными
таблицы А.6 рассчитывают количество каждого вида минерального заполнителя в смеси (m), для приготовления каждого образца отдельно из расчета примерно 5500 г на образец по формуле А.1

(А.1)
C - требуемая общая масса минеральной части состава асфальтобетонной смеси, в данном случае 5500 г.
Таблица А.9
Вид заполнителя | Содержание заполнителя в смеси, % |
Вариант 1 | Вариант 2 | Вариант 3 |
Крупнозернистый заполнитель N 1, г | 1375 | 1210 | 1100 |
Крупнозернистый заполнитель N 2, г | 715 | 1045 | 990 |
Крупнозернистый заполнитель N 2, г | 770 | 880 | 1265 |
Мелкозернистый заполнитель, г | 2640 | 2365 | 2145 |
Битумное вяжущее, % сверх 100% смеси | 248 | 248 | 237 |
Суммарная масса, г | 5748 | 5748 | 5737 |
В соответствии с рассчитанными массами готовят по три пробы асфальтобетонной смеси для каждого варианта смеси. Для этого разогревают вяжущее до температуры смешивания, а минеральные заполнители до температуры на (20 +/- 5) °C выше температуры смешивания.
Далее приготовленные пробы термостатируются в сушильном шкафу при температуре уплотнения в течение (120 +/- 5) минут.
| | ИС МЕГАНОРМ: примечание. В официальном тексте документа, видимо, допущена опечатка: рисунок А.2 отсутствует. | |
По завершении термостатирования одну из трех проб каждого варианта делят на две равных части и испытывают на определение максимальной плотности по
ПНСТ 92 (рисунок А.2).
Результаты полученных значений приведены в таблице А.10.
Таблица А.10
Максимальная плотность, г/см3 | Вариант 1 | Вариант 2 | Вариант 3 |
2,729 | 2,710 | 2,725 |
А.4.2.3 Уплотнение образцов на вращательном уплотнителе
На основе требуемых размеров образца (диаметр 150 и высота от 110 до 120 мм) и максимальной плотности асфальтобетона рассчитывают навеску необходимую для уплотнения образца с Nпр количеством оборотов гиратора, с учетом 4% воздушных пустот.
Затем уплотняют оставшиеся 2 пробы рассчитанной массы фиксируя высоту после Nнач и Nпр. Результаты определения высот приведены в таблице А.11.
Таблица А.11
N образца | hi после Nнач (9) | hd после Nпр (125) |
1 | 137,5 | 114,6 |
2 | 138,1 | 115,2 |
А.4.2.4 Определение объемных свойств
Уплотненные образцы испытывают на определение объемной плотности по
ПНСТ 106 не ранее чем через 12 часов.
Затем рассчитывают объемные свойства асфальтобетона варианта 1
| | ИС МЕГАНОРМ: примечание. Формула дана в соответствии с официальным текстом документа. | |
Примечание - В данном случае Pbeрасч принимается сверх 100% минеральной части смеси.
Аналогично уплотняют, испытывают и рассчитывают объемные свойства для вариантов 2 и 3.
Полученные результаты определения объемных свойств вносят в сводную таблицу по примеру таблицы А.12.
Таблица А.12
Показатель | | Фактические данные |
Вариант 1 | Вариант 2 | Вариант 3 |
Максимальная плотность, г/см3 | Не нормируется | 2,712 | 2,718 | 2,725 |
Объемная плотность, г/см3 | Не нормируется | 2,642 | 2,635 | 2,625 |
Относительная плотность при Nнач (9 оборотов), % | не более 89 | 79,8 | 81,8 | 80,8 |
Относительная плотность при Nпр (125 оборотов), % | 96,0 +/- 0,3 | 97,4 | 96,9 | 96,3 |
Пустоты минерального заполнителя (ПМЗ), % | не менее 13 | 12,8 | 13,5 | 13,7 |
Отношение: пыль/вяжущее | от 0,6 до 1,2 | 1,6 | 1,4 | 1,2 |
Ориентировочное количество вяжущего Pbeрасч, % | Не нормируется | 3,7 | 3,9 | 3,8 |
По результатам проведенных испытаний можно сделать вывод, что наиболее оптимальным по совокупности всех факторов является вариант 3, который и принимается для дальнейшего подбора.
А.4.3 Определение оптимального количества вяжущего
Для подбора оптимального количества вяжущего необходимо приготовить пробы асфальтобетонной смеси выбранного варианта смеси (в данном случае варианта 1) с различным количеством вяжущего, равным:
- Pbeрасч (3,8%);
- на 0,5% менее Pbeрасч (3,3%);
- на 0,5% более Pbeрасч (4,3%);
- на 1,0% более Pbeрасч (4,8%).
Приготовление и испытание смесей с различным количеством вяжущего проводится в соответствии с
пунктами А.4.2.2 и
А.4.2.3.
Далее определяют объемные свойства образцов с различным количеством вяжущего в соответствии с
А.4.2.4. Результаты испытаний приведены в таблице А.13.
Таблица А.13
Показатель | | Фактические данные |
3,3% | 3,8% | 4,3% | 4,8% |
Максимальная плотность, г/см3 | Не нормируется | 2,745 | 2,733 | 2,722 | 2,710 |
Объемная плотность, г/см3 | Не нормируется | 2,595 | 2,618 | 2,635 | 2,662 |
Содержание воздушных пустот, % | 4,0 +/- 0,3 | 5,5 | 4,2 | 3,2 | 1,8 |
Пустоты минерального заполнителя (ПМЗ), % | Не менее 13 | 14,2 | 13,8 | 13,7 | 13,3 |
Пустоты наполненные вяжущим (ПНВ), % | От 65 до 75 | 61,3 | 69,5 | 76,6 | 86,5 |
По полученным данным строим графики зависимостей объемных свойств, представленные на рисунке А.4,
А.5,
А.6 и
А.7.
| | ИС МЕГАНОРМ: примечание. Нумерация рисунков дана в соответствии с официальным текстом документа. | |
Рисунок А.4 - График зависимости содержания воздушных
пустот от количества вяжущего
По графику определяем, что оптимальное содержание вяжущего для данного состава составит 3,9%.
Рисунок А.5 - График зависимости объемной плотности
от количества вяжущего
По графику определяем, что объемная плотность при содержании вяжущего равном 3,9% должна составить 2,622 г/см3.
Рисунок А.6 - График зависимости ПМЗ от количества вяжущего
По графику определяем, что ПМЗ при содержании вяжущего равном 3,9% составит 13,77%.
Рисунок А.7 - График зависимости ПНВ от количества вяжущего
По графику определяем, что ПНВ при содержании вяжущего равном 3,9% составит 72%.
А.4.4 Приготовление контрольной пробы асфальтобетонной смеси
| | ИС МЕГАНОРМ: примечание. В официальном тексте документа, видимо, допущена опечатка: пункты А.1.5 и А.1.6 отсутствуют. | |
После определения оптимального количества вяжущего приготавливают, уплотняют и испытывают контрольную пробу асфальтобетонной смеси выбранного состава с оптимальным количеством вяжущего в соответствии с А.1.5 и А.1.6.
Дополнительно формуют два образца при Nмакс количестве оборотов гиратора.
| | ИС МЕГАНОРМ: примечание. В официальном тексте документа, видимо, допущена опечатка: пункт А.1.7 отсутствует. | |
Далее определяют объемные свойства образцов с оптимальным количеством вяжущего в соответствии с А.1.7.
Результаты определения объемных свойств подобранного состава приведены в таблице А.14
Таблица А.14
Показатель | | Вариант 1 4,7% вяжущего |
Максимальная плотность, г/см3 | Не нормируется | 2,731 |
Объемная плотность, г/см3 | Не нормируется | 2,625 |
Относительная плотность при Nнач (9 оборотов), % | не более 89 | 80,5 |
Относительная плотность при Nпр (125 оборотов), % | 96,0 +/- 0,3 | 96,1 |
Относительная плотность при Nмакс (205 оборотов), % | Не более 98 | 97,5 |
Пустоты минерального заполнителя (ПМЗ), % | не менее 13 | 13,7 |
Пустоты, наполненные битумом (ПНБ), % | от 65 до 75 | 71,5 |
Отношение: Пыль/вяжущее | от 0,6 до 1,2 | 1,2 |
А.4.5 Определение водостойкости и адгезионных свойств
В соответствии с
ПНСТ 113 для проведения испытания были приготовлены и уплотнены 6 образцов высотой (95 +/- 5) мм и содержанием воздушных пустот равным (7,0 +/- 0,5)%. Результаты проведенных испытаний приведены в таблице А.15.
Таблица А.15
Показатель | Первая серия образцов | Вторая серия образцов |
N образца | 1 | 2 | 3 | Среднее значение | 1' | 2' | 3' | Среднее значение' |
Диаметр, мм | 150 | 150 | 150 | - | 150 | 150 | 150 | - |
Высота, мм | 96 | 96 | 97 | - | 95 | 97 | 97 | - |
Содержание воздушных пустот, % | 6,9 | 6,5 | 6,5 | 6,6 | 6,5 | 6,6 | 7,0 | 6,7 |
Разрушающая нагрузка, Н | 15653 | 15802 | 15930 | - | 15205 | 15155 | 15190 | - |
Предел прочности, кПа | 692,4 | 698,9 | 697,3 | 695,7 | 679,6 | 663,4 | 664,9 | 669,3 |
Коэффициент водостойкости | 669,3/695,7 = 0,96 |
Коэффициент водостойкости запроектированного состава асфальтобетонной смеси SP-19 составил 0,96, что удовлетворяет требованиям
ПНСТ 114.
Так же подобранному составу смеси SP-19 была выставлена высшая оценка по повреждениям, образованным от воздействия влаги на поверхности разлома образцов. Фотография поверхности разлома приведена на рисунке А.8.
Рисунок А.8 - Поверхность разлома асфальтобетонного
образца на оценку 5
По рисунку видно, что минеральный заполнитель полностью покрыт вяжущим, следовательно, адгезия вяжущего с минеральным заполнителем оценивается на 5 баллов.
На рисунке А.9 представлен образец из запроектированной смеси SP-19 в разрезе.
Рисунок А.9 - Поверхность разреза
асфальтобетонного образца SP-19
На основании полученных результатов можно сделать вывод, что подобранный состав смеси SP-19 удовлетворяет всем объемным требованиям по методологии "Superpave", а также требованию по водостойкости.
А.5 Оформление документации подбора асфальтобетонной смеси по методологии "Superpave"
В документацию подбора асфальтобетонной смеси включают:
- рецепт подобранной асфальтобетонной смеси;
- протоколы по проведению испытаний исходных материалов.
В рецепт подобранной асфальтобетонной смеси рекомендуется включать следующую информацию:
- название организации проводящей подбор и укладку асфальтобетонной смеси;
- полное название объекта, на котором будет применяться подобранная смесь;
- зерновые составы и объемные плотности каждой фракции минерального материала;
- состав подобранной смеси;
- объемные свойства подобранной смеси;
- отношение "пыль-вяжущее" и водостойкость;
- рекомендации по температурам смешивания и уплотнения;
- графическое изображение кривой зернового состава (при необходимости).
Рецепт должен быть утвержден уполномоченным должностным лицом.
ОПРЕДЕЛЕНИЯ ТЕМПЕРАТУРНЫХ ИНТЕРВАЛОВ СМЕШИВАНИЯ
И УПЛОТНЕНИЯ С ИСПОЛЬЗОВАНИЕМ ЗНАЧЕНИЙ ДИНАМИЧЕСКОЙ ВЯЗКОСТИ
Данная методика распространяется на битумные вяжущие, применяемые в асфальтобетонных смесях и предназначена для определения температурных интервалов смешивания и уплотнения с использованием значений динамической вязкости при температурах испытаний выше 100 °C.
Б.1. Требования к средствам измерений, вспомогательным устройствам, материалам и реактивам.
Требования к средствам измерений, вспомогательным устройствам, материалам и реактивам в соответствии с
ГОСТ 33137.
Б.2. Подготовка к выполнению испытаний
Подготовка к выполнению испытаний в соответствии с
ГОСТ 33137.
Б.3. Порядок выполнения испытаний и обработка результатов.
Для определения температурного интервала смешивания необходимо найти температурный интервал, при котором динамическая вязкость находится в пределах (0,17 +/- 0,02) Па*с. Для определения температурного интервала уплотнения необходимо найти температурный интервал, при котором динамическая вязкость находится в пределах (0,28 +/- 0,03) Па*с.
Определение температурных интервалов смешивания и уплотнения выполняется путем вычисления температурных интервалов, соответствующих указанным интервалам динамической вязкости. Для выполнения указанных вычислений напрямую требуется специальная вычислительная техника и программное обеспечение. При отсутствии возможности определить указанные диапазоны аналитическим путем допускается использование процедуры, описанной ниже.
Для определения температурных интервалов смешивания и уплотнения необходимо определить значения динамической вязкости при двух или более значениях температур в соответствии с
ГОСТ 33137. Все выбранные температуры испытания должны находиться в интервале (100 - 165) °C, при этом разница между двумя из выбранных температур не должна превышать 10 °C.
После выполняют построение графика зависимости динамической вязкости от температуры в логарифмических координатах в виде прямой линии. Для этого на области построения отмечают точки, соответствующие значениям динамической вязкости при выбранных температурах, через них проводят прямую линию. Определяют отрезки графика, проекции которых на ось ординат соответствуют динамической вязкости (0,17 +/- 0,02) Па*с и (0,28 +/- 0,03) Па*с. Температурные интервалы смешивания и уплотнения будут соответствовать проекциям данных отрезков на ось абсцисс.
Рекомендуемые температуры определения динамической вязкости 135 °C и 165 °C.
Б.4. Пример нахождения температурных интервалов смешивания и уплотнения, используя значения динамической вязкости, определенные при температурах 135 °C и 165 °C представлен на рисунке Б.1.
Рисунок Б.1 - Пример определения диапазонов
смешивания и уплотнения
По графику определяем, что температура смешивания составляет от 153 до 158 °C, а температура уплотнения от 142 до 147 °C.
Руководитель разработки
Генеральный директор
АНО "НИИ ТСК"
СИМЧУК Е.Н.
Разработчик ОДМ
КАДЫРОВ Г.Ф.