Главная // Актуальные документы // МетодикаСПРАВКА
Источник публикации
В данном виде документ опубликован не был.
Первоначальный текст документа опубликован в издании
М., 2016.
Информацию о публикации документов, создающих данную редакцию, см. в справке к этим документам.
Примечание к документу
Документ включен в
Перечень документов в области стандартизации, в результате применения которых на добровольной основе обеспечивается соблюдение требований Федерального
закона от 30.12.2009 N 384-ФЗ "Технический регламент о безопасности зданий и сооружений" (
Приказ Росстандарта от 02.04.2020 N 687).
Название документа
"СП 93.13330.2016. Свод правил. Защитные сооружения гражданской обороны в подземных горных выработках. Актуализированная редакция СНиП 2.01.54-84"
(утв. Приказом Минстроя России от 16.12.2016 N 971/пр)
(ред. от 18.12.2023)
"СП 93.13330.2016. Свод правил. Защитные сооружения гражданской обороны в подземных горных выработках. Актуализированная редакция СНиП 2.01.54-84"
(утв. Приказом Минстроя России от 16.12.2016 N 971/пр)
(ред. от 18.12.2023)
и жилищно-коммунального хозяйства
Российской Федерации
от 16 декабря 2016 г. N 971/пр
СВОД ПРАВИЛ
ЗАЩИТНЫЕ СООРУЖЕНИЯ ГРАЖДАНСКОЙ ОБОРОНЫ
В ПОДЗЕМНЫХ ГОРНЫХ ВЫРАБОТКАХ
АКТУАЛИЗИРОВАННАЯ РЕДАКЦИЯ
СНиП 2.01.54-84
Protective structures of civil defense
in underground mine workings
СП 93.13330.2016
| | Список изменяющих документов Минстроя России от 18.12.2023 N 933/пр) | |
Дата введения
17 июня 2017 года
Сведения о своде правил
1 ИСПОЛНИТЕЛИ - АО ЦНИИПромзданий, ФГБУ ВНИИ ГОЧС (ФЦ), АО ВНИМИ
2 ВНЕСЕН Техническим комитетом по стандартизации ТК 465 "Строительство"
3 ПОДГОТОВЛЕН к утверждению Департаментом градостроительной деятельности и архитектуры Министерства строительства и жилищно-коммунального хозяйства Российской Федерации (Минстрой России)
4 УТВЕРЖДЕН
приказом Министерства строительства и жилищно-коммунального хозяйства Российской Федерации от 16 декабря 2016 г. N 971/пр и введен в действие с 17 июня 2017 г.
5. ЗАРЕГИСТРИРОВАН Федеральным агентством по техническому регулированию и метрологии (Росстандарт). Пересмотр СП 93.13330.2011 "СНиП 2.01.54-84 Защитные сооружения гражданской обороны в подземных горных выработках"
В случае пересмотра (замены) или отмены настоящего свода правил соответствующее уведомление будет опубликовано в установленном порядке. Соответствующая информация, уведомление и тексты размещаются также в информационной системе общего пользования - на официальном сайте разработчика (Минстрой России) в сети Интернет
Настоящий нормативный документ является актуализированной редакцией СНиП 2.01.54-84 "Защитные сооружения гражданской обороны в подземных горных выработках". Основанием для разработки нормативного документа является Федеральный
закон от 30 декабря 2009 г. N 384-ФЗ "Технический регламент о безопасности зданий и сооружений", Федеральный
закон от 22 июля 2008 г. N 123-ФЗ "Технический регламент о требованиях пожарной безопасности".
Актуализация выполнена авторским коллективом: АО "ЦНИИПромзданий" (д-р техн. наук, проф. В.В. Гранев; инж. К.В. Авдеев; инж. Н.М. Баева, инж. Д.В. Капко); ФГБУ ВНИИ ГОЧС (ФЦ) (д-р техн. наук, проф. Г.П. Тонких, канд. техн. наук И.В. Сосунов, канд. техн. наук О.А. Симаков, Н.Н. Посохов); АО ВНИМИ (д-р техн. наук, проф. М.А. Розенбаум, канд. техн. наук В.П. Кругликов, инж. Д.Н. Демехин).
Изменение N 1 к СП 93.13330.2016 разработано авторским коллективом АО "ЦНИИПромзданий" (канд. техн. наук Н.Г. Келасьев, К.В. Авдеев, Н.М. Баева)"; ФГБУ ВНИИ ГОЧС (ФЦ) (д-р техн. наук Г.П. Тонких, канд. техн. наук И.В. Сосунов, канд. техн. наук В.М. Чесноков, Н.Н. Посохов).
(абзац введен
Изменением N 1, утв. Приказом Минстроя России от 18.12.2023 N 933/пр)
Настоящий свод правил распространяется на проектирование вновь строящихся и реконструируемых защитных сооружений гражданской обороны, размещаемых в подземных горных выработках, включая зоны многолетнемерзлых грунтов.
(в ред.
Изменения N 1, утв. Приказом Минстроя России от 18.12.2023 N 933/пр)
(раздел 2 в ред.
Изменения N 1, утв. Приказом Минстроя России от 18.12.2023 N 933/пр)
В настоящем своде правил использованы нормативные ссылки на следующие документы:
ГОСТ Р 42.4.03-2022 Гражданская оборона. Защитные сооружения гражданской обороны. Классификация. Общие технические требования
ГОСТ 27751-2014 Надежность строительных конструкций и оснований. Основные положения
СП 165.1325800.2014 "СНиП 2.01.51-90 Инженерно-технические мероприятия по гражданской обороне" (с изменениями N 1, N 2, N 3)
СП 263.1325800.2016 Приспособление метрополитенов под защитные сооружения гражданской обороны. Общие правила проектирования
СанПиН 2.1.3684-21 Санитарно-эпидемиологические требования к содержанию территорий городских и сельских поселений, к водным объектам, питьевой воде и питьевому водоснабжению, атмосферному воздуху, почвам, жилым помещениям, эксплуатации производственных, общественных помещений, организации и проведению санитарно-противоэпидемических (профилактических) мероприятий.
(в ред.
Изменения N 1, утв. Приказом Минстроя России от 18.12.2023 N 933/пр)
3.1 Исключен с 19.01.2024. -
Изменение N 1, утв. Приказом Минстроя России от 18.12.2023 N 933/пр.
3.2 выработка околоствольного двора: Совокупность выработок, служащих для соединения шахтного(ых) ствола(ов) со всеми остальными выработками шахты и размещения некоторых общешахтных производственных служб.
3.3 галерея: Сооружение или конструкция, предназначенные для эксплуатации транспортных цепочек и используемые в добывающей, металлургической промышленности и в различных других областях.
3.4 глухая перемычка: Вентиляционное сооружение, предназначенное для полного прекращения движения воздуха, людей и транспорта по выработкам.
3.5 гражданская оборона: Система мероприятий по подготовке к защите и по защите населения, материальных и культурных ценностей на территории Российской Федерации от опасностей, возникающих при военных конфликтах или вследствие этих конфликтов, а также при чрезвычайных ситуациях природного и техногенного характера.
3.6 защитное сооружение гражданской обороны; ЗС ГО: Специальное сооружение, предназначенное для защиты населения, личного состава сил гражданской обороны, а также техники и имущества гражданской обороны от воздействия средств нападения противника.
(в ред.
Изменения N 1, утв. Приказом Минстроя России от 18.12.2023 N 933/пр)
3.7 Исключен с 19.01.2024. -
Изменение N 1, утв. Приказом Минстроя России от 18.12.2023 N 933/пр.
3.8 камера: Горная выработка, имеющая при сравнительно больших поперечных размерах небольшую длину и предназначенная для размещения оборудования (насосная камера, вентиляторная, лебедочная, трансформаторная и т.д.).
3.9 квершлаг: Горизонтальная или наклонная (реже) подземная горная выработка, не имеющая непосредственного выхода на поверхность, проведенная по вмещающим породам вкрест простирания месторождения и используемая для транспорта, вентиляции, передвижения людей, водоотлива, прокладки электрических кабелей и линий связи.
3.10 междукамерный целик: Часть пласта полезного ископаемого, не извлеченного или временно не извлекаемого в процессе разработки месторождения и предназначенного для обеспечения устойчивости пород кровли в очистном пространстве камер.
3.11 наклонный шахтный ствол: Подземная капитальная горная выработка, имеющая непосредственный выход на земную поверхность, пройденная наклонно.
3.12 околоствольный двор: Совокупность выработок, служащих для соединения шахтного(ых) ствола(ов) со всеми остальными выработками шахты и размещения некоторых общешахтных производственных служб (водоотлива, электроподстанции, электровозного гаража, склада противопожарного инвентаря и т.д.).
3.13 перемычка: Поперечная сплошная стена, изолирующая часть выработки от проникания в нее воздуха, газов, огня или воды в случае аварии, пожара и т.п.
3.14 подходная выработка: Выработки, подходящие к защитным сооружениям, в том числе и штольня.
(в ред.
Изменения N 1, утв. Приказом Минстроя России от 18.12.2023 N 933/пр)
3.15 потолочина: Верхняя часть пласта или залежи полезного ископаемого, не вынимаемая в процессе очистных работ.
3.16 ствол: Вертикальная капитальная горная выработка, имеющая непосредственный выход на земную поверхность и предназначенная для обслуживания подземных горных работ.
3.17 тампонаж: Процесс искусственного заполнения трещин, пустот и пор в горных породах тампонажным раствором (цементным, химическим и др.) с целью повышения их прочности, устойчивости и уменьшения водо- и газопроницаемости.
3.18 Исключен с 19.01.2024. -
Изменение N 1, утв. Приказом Минстроя России от 18.12.2023 N 933/пр.
3.19 шахтные (рудничные, карьерные) воды: Подземные воды, поступающие из пор и трещин горных пород или из дренажных устройств в выработки и оказывающие то или иное влияние на процесс вскрытия и эксплуатации месторождения.
Примечание - К шахтным водам относятся и поверхностные воды, проникающие в выработки через трещины, воронки и каналы в породах, а также через устья горных выработок.
3.20 штрек: Горизонтальная подземная горная выработка, проведенная по простиранию наклонно залегающего месторождения или в любом направлении при горизонтальном его залегании.
3.21 штольня: Горная выработка, проведенная к месторождению с поверхности горизонтально или со значительным подъемом, имеющая непосредственный выход на поверхность, предназначенная для обслуживания подземных горных работ.
3.22 шурф (столб): Вертикальная, реже наклонная, горная выработка небольшого сечения, проведенная с поверхности.
4.1 При проектировании защитных сооружений гражданской обороны в подземных горных выработках, в том числе на вновь строящихся и реконструируемых объектах, обязательными исходными данными для проектирования являются: "Акт замеров параметров естественной тяги и газового состава воздуха в выработках в летнее и зимнее время года" и "Материалы предварительного технического обследования приспособляемых выработок и выходов на поверхность".
Примечание - Защитные сооружения гражданской обороны в дальнейшем именуются "защитные сооружения", подземные горные выработки - "выработки".
(абзац введен
Изменением N 1, утв. Приказом Минстроя России от 18.12.2023 N 933/пр)
4.2 Защитные сооружения (убежища, противорадиационные укрытия и укрытия) в выработках предназначены для защиты в военное время и при чрезвычайных ситуациях мирного времени наибольшей работающей смены организации по добыче полезных ископаемых и населения (далее - укрываемых)
[1],
[3],
[6].
(в ред.
Изменения N 1, утв. Приказом Минстроя России от 18.12.2023 N 933/пр)
Численность укрываемых определяется заданием на проектирование.
(в ред.
Изменения N 1, утв. Приказом Минстроя России от 18.12.2023 N 933/пр)
Защитные сооружения не должны нарушать производственную деятельность объекта в мирное время.
Виды воздействий на защитные сооружения приведены в
СП 88.13330.
4.2.1 Помещения выработок должны приспосабливаться для защиты населения (далее - помещения выработок для защиты населения), располагаемого на прилегающих территориях, в том числе отнесенных к группам по гражданской обороне.
Требования по помещениям выработок для защиты населения указаны в
разделе 5.
(п. 4.2.1 введен
Изменением N 1, утв. Приказом Минстроя России от 18.12.2023 N 933/пр)
4.3 Необходимое количество защитных сооружений в системе выработок объекта следует предусматривать с учетом горно-технических условий выработок и пребывания расчетного количества укрываемых.
4.4 Защитные сооружения следует размещать в протяженных выработках (квершлагах, штреках, штольнях, наклонных стволах, выработках околоствольных дворов).
На предприятиях по добыче строительных материалов, каменной и калийной солей под защитные сооружения допускается использовать также устойчивые камеры. Высота приспосабливаемых для этой цели камер с незакрепленными потолочинами должна быть не более 6 м.
Минимальные размеры выработок, используемых для размещения укрываемых, должны быть по высоте 1,8 м и по ширине - 2 м, угол наклона - не более 18°.
4.5 Под защитные сооружения следует приспосабливать выработки, которые в условиях естественной вентиляции проветриваются свежим воздухом при неизменном направлении естественной тяги в течение года.
(в ред.
Изменения N 1, утв. Приказом Минстроя России от 18.12.2023 N 933/пр)
Для размещения укрываемых необходимо использовать выработки с температурой воздуха внутри при нормальной (промышленной) вентиляции не выше 27 °C.
4.6 Защитные сооружения, размещаемые в выработках, и пути эвакуации укрываемых на поверхность не должны подвергаться затоплению шахтными и поверхностными водами и загазованностью вредными газами, не пригодными для дыхания, в концентрациях близких или выше предельно допустимых норм в течение установленного срока использования этих выработок (вредные газы перечислены в
приложении И).
(п. 4.6 в ред.
Изменения N 1, утв. Приказом Минстроя России от 18.12.2023 N 933/пр)
4.7 Защитные сооружения должны быть связаны подходными выработками не менее чем с двумя выходами на поверхность.
При проектировании убежищ с учетом расположения выходов на поверхность, один из выходов должен быть оборудован как аварийный.
(в ред.
Изменения N 1, утв. Приказом Минстроя России от 18.12.2023 N 933/пр)
Противорадиационные укрытия и укрытия допускается размещать в выработках с одним выходом на поверхность при условии обеспечения защитного сооружения вентиляцией с механическим побуждением.
4.8 Состав помещений и расчетная численность укрываемых для защитных сооружений определяются в задании на проектирование в соответствии с требованиями
СП 88.13330, с учетом условий сбора укрываемых.
Радиус сбора укрываемых в защитных сооружениях следует принимать по
СП 88.13330.
(п. 4.8 в ред.
Изменения N 1, утв. Приказом Минстроя России от 18.12.2023 N 933/пр)
4.9 В число укрываемых в защитных сооружениях должны включаться рабочие и служащие, работающие на поверхности, при наличии штолен и стволов с углом наклона не более 30°.
С учетом условий сбора укрываемых, работающих на поверхности, в подходных к убежищам штольнях и наклонных стволах необходимо предусматривать устройство тамбур-шлюзов в соответствии с
СП 88.13330.
(п. 4.9 в ред.
Изменения N 1, утв. Приказом Минстроя России от 18.12.2023 N 933/пр)
4.10 Для спуска укрываемых с поверхности в защитные сооружения, размещаемые в выработках, должны быть использованы оборудованные лестничным отделением стволы (шурфы) с углом наклона более 30° при их глубине (длине спуска) не более 100 м.
(в ред.
Изменения N 1, утв. Приказом Минстроя России от 18.12.2023 N 933/пр)
В проектной документации на убежища в этом случае необходимо предусматривать строительство на поверхности - накопителя укрываемых в соответствии с требованиями
5.11.
(в ред.
Изменения N 1, утв. Приказом Минстроя России от 18.12.2023 N 933/пр)
Необходимость проектирования убежища с накопителем для защиты рабочих и служащих подземной смены и работающих на поверхности надлежит определять в результате соответствующего сравнения этого варианта с вариантом, предусматривающим строительство убежищ в выработках и на поверхности для защиты тех же рабочих и служащих.
(в ред.
Изменения N 1, утв. Приказом Минстроя России от 18.12.2023 N 933/пр)
4.11 Исключен с 19.01.2024. -
Изменение N 1, утв. Приказом Минстроя России от 18.12.2023 N 933/пр.
4.12 Для защитных сооружений, размещаемых в выработках, пропускную способность подходных выработок на 1 м ширины оборудованного для передвижения людей прохода следует принимать равной: 80 чел./мин для выработок с уклоном до 7°, 60 чел./мин - свыше 7° до 15° и 40 чел./мин для выработок с уклоном свыше 15° до 30°.
Использование механизированного подъема допускается только в противорадиационных укрытиях (ПРУ) на объектах с устойчивым электроснабжением в военное время.
(п. 4.12 в ред.
Изменения N 1, утв. Приказом Минстроя России от 18.12.2023 N 933/пр)
4.13 Сроки приспособления помещений выработок, в которых размещены защитные сооружения, на режим защитного сооружения и расчетную продолжительность пребывания укрываемых в защитных сооружениях необходимо принимать в соответствии с требованиями
СП 88.13330.
(п. 4.13 в ред.
Изменения N 1, утв. Приказом Минстроя России от 18.12.2023 N 933/пр)
5 Объемно-планировочные и конструктивные решения
5.1 В защитных сооружениях, размещаемых в выработках, состав и размеры помещений основного и вспомогательного назначения необходимо принимать согласно
СП 88.13330.
(п. 5.1 в ред.
Изменения N 1, утв. Приказом Минстроя России от 18.12.2023 N 933/пр)
5.2 В зонах многолетнемерзлых грунтов места для размещения укрываемых должны отстоять от стенок выработок не менее чем на 0,7 м (при соответствующей паро- и теплоизоляции стенок выработок).
В убежищах нормы размещения укрываемых требуется проверять по тепловым условиям согласно таблице 5.1.
(п. 5.2 в ред.
Изменения N 1, утв. Приказом Минстроя России от 18.12.2023 N 933/пр)
Таблица 5.1
Температура воздуха в приспосабливаемой выработке в летнее время года при нормальной (промышленной) вентиляции tв, °C | Минимальная площадь внутренней поверхности выработки в расчете на одного укрываемого, м2 |
Не более 21 | 1,5 |
Св. 21 до 25 | 2,0 |
Св. 25 до 27 | 2,5 |
Примечание - Температура воздуха tв в пройденных выработках замеряется в натурных условиях, в проектируемых определяется расчетом. |
5.3 В убежищах на объектах, подверженных опасному воздействию аварийно химически опасных веществ (АХОВ), а также загазованности окисью углерода и углекислым газом при пожарах на поверхности, внутренний объем приспосабливаемых выработок следует принимать из расчета до 5 м3 на одного укрываемого. В этом случае внутренний объем каждой примыкающей к убежищу выработки (м3), в которую воздух под действием естественной тяги вытекает из убежища, до ближайшего узла вентиляционной сети должен быть равным не менее
(в ред.
Изменения N 1, утв. Приказом Минстроя России от 18.12.2023 N 933/пр)

(5.1)
где mп, mв - число примыкающих к убежищу выработок, соответственно с поступающей в убежище и вытекающей из него струей воздуха при естественной вентиляции.
Для обеспечения безопасности укрываемых в защитных сооружениях в районе воздухоподающих стволов и штолен следует контролировать состав наружного и внутреннего воздуха, а также параметры микроклимата в соответствии с требованиями
СП 88.13330.
(в ред.
Изменения N 1, утв. Приказом Минстроя России от 18.12.2023 N 933/пр)
5.4 Выработки, предназначаемые для передвижения укрываемых пешком, должны быть оборудованы: при углах наклона от 7° до 15° - перилами, свыше 15° до 30° - сходнями со ступеньками и перилами, свыше 30° до 45° - лестницами с перилами, свыше 45° - лестничными отделениями.
5.5 - 5.8 Исключены с 19.01.2024. -
Изменение N 1, утв. Приказом Минстроя России от 18.12.2023 N 933/пр.
5.9 Вентиляционное оборудование следует размещать вблизи входов (тамбуров) на свободных от технологического оборудования площадях выработок. При необходимости для этой цели допускается предусматривать расширение выработок или сооружение специальных выработок (камер).
5.10 Автономные источники электроснабжения (дизельные электростанции, аккумуляторные батареи) следует размещать вблизи защитного сооружения в выработках, проветриваемых исходящей из него или обособленной струей воздуха, или в пределах защитного сооружения на исходящей воздушной струе вне помещений для укрываемых.
Допускается использовать автономные источники электроснабжения, устанавливаемые в убежищах на поверхности земли, как защитные сооружения.
(в ред.
Изменения N 1, утв. Приказом Минстроя России от 18.12.2023 N 933/пр)
5.10.1 Защищенные входы и выходы убежищ, размещаемых в выработках, должны соответствовать требованиям
СП 88.13330.
(п. 5.10.1 введен
Изменением N 1, утв. Приказом Минстроя России от 18.12.2023 N 933/пр)
5.11 Накопитель укрываемых, расположенный на поверхности, должен соединяться с используемым для спуска в убежище стволом галереи длиной 2 - 3 м и сечением 1,2 x 2 м.
(в ред.
Изменения N 1, утв. Приказом Минстроя России от 18.12.2023 N 933/пр)
Площадь накопителя, включая галерею, следует принимать из расчета кратковременного размещения укрываемых работающей на поверхности смены по норме 0,15 м2 на человека.
Вход в накопитель следует оборудовать тамбуром-шлюзом в соответствии с требованиями
СП 88.13330.
(в ред.
Изменения N 1, утв. Приказом Минстроя России от 18.12.2023 N 933/пр)
Для спуска укрываемых должны быть использованы технологические галереи небольшого сечения (не более 7 м2) или специально пробуренные шурфы диаметром не менее 1,2 м.
(в ред.
Изменения N 1, утв. Приказом Минстроя России от 18.12.2023 N 933/пр)
Накопитель и галерея должны обеспечивать необходимую защиту от проникающей радиации и исключать возможность прямого попадания излучения в защищенные помещения в соответствии с требованиями
СП 88.13330.
(в ред.
Изменения N 1, утв. Приказом Минстроя России от 18.12.2023 N 933/пр)
5.12 Места для хранения зараженной одежды требуется предусматривать перед входами в защитные сооружения (убежище и противорадиационное укрытие).
5.13 Количество входов в убежище, их расположение и конструктивные решения необходимо определять в проектах с учетом схемы используемых выработок, численности и размещения укрываемых параметров ударной волны затекания и действия естественной тяги воздуха в выработках. При размещении убежищ в протяженных выработках следует предусматривать два входа с противоположных сторон используемой выработки.
(в ред.
Изменения N 1, утв. Приказом Минстроя России от 18.12.2023 N 933/пр)
Пропуск укрываемых в убежище в условиях зараженной атмосферы надлежит предусматривать из выработок с исходящей из убежища струей воздуха.
(в ред.
Изменения N 1, утв. Приказом Минстроя России от 18.12.2023 N 933/пр)
5.14 Входы, размещаемые в выработках с исходящей из убежища струей воздуха, следует оборудовать однокамерным тамбуром-шлюзом при давлении во фронте ударной волны затекания более 0,01 МПа (0,1 кгс/см2) и одной герметической перемычкой с дверью при давлении во фронте ударной волны затекания, равном и менее 0,01 МПа (0,1 кгс/см2).
5.15 Входы, размещаемые в выработках, из которых в условиях естественной вентиляции по данным замеров воздух поступает в убежище, необходимо оборудовать однокамерным тамбуром-шлюзом независимо от величины давления во фронте ударной волны затекания, а при использовании этих выработок для пропуска укрываемых в убежище в условиях зараженной атмосферы в них следует оборудовать входы с двойным шлюзованием, состоящим из последовательно расположенных тамбура-шлюза и шлюзовой камеры.
(в ред.
Изменения N 1, утв. Приказом Минстроя России от 18.12.2023 N 933/пр)
Во входах с двойным шлюзованием в случае их размещения в выработке, из которой осуществляется забор воздуха фильтровентиляционным агрегатом, тамбур-шлюз должен быть вентилируемым.
Схемы устройства входов с двойным шлюзованием приведены в
приложении А.
5.16 В примыкающих к убежищам неподходных выработках, имеющих связь с поверхностью, необходимо предусматривать устройство тамбура или одной перемычки.
Устройство тамбура следует предусматривать в выработках, из которых воздух под действием естественной тяги поступает в убежище, устройство одной перемычки - в выработках, куда воздух под действием естественной тяги вытекает из убежища.
При устройстве тамбура из глухих перемычек внутренняя перемычка должна быть оборудована герметическим ставнем размером 0,7 x 0,7 м.
5.17 Площадь вентилируемого тамбура-шлюза и площадь примыкающей к нему шлюзовой камеры необходимо принимать из расчета 1 м2 на каждые 25 человек, пропускаемых в убежище в условиях зараженной атмосферы.
Ширина всех тамбуров-шлюзов, шлюзовых камер и тамбуров должна быть не менее чем на 0,6 м больше ширины дверного полотна.
5.18 Ширину дверей во входах, устраиваемых в штольнях и наклонных стволах и используемых для пропуска укрываемых с поверхности, требуется определять в зависимости от численности укрываемых, приходящихся на вход, в соответствии с требованиями
СП 88.13330.
Ширина дверей во входах в убежище должна быть не менее 0,8 м.
5.19 При давлении во фронте ударной волны затекания свыше 0,01 МПа (0,1 кгс/см2) обе перемычки в тамбурах-шлюзах, наружные перемычки в тамбурах, одиночные перемычки и двери должны быть защитно-герметическими, остальные перемычки и двери - герметическими.
При давлении во фронте ударной волны затекания, равном и менее 0,01 МПа (0,1 кгс/см2), все перемычки и двери должны быть герметическими.
5.20 В отделенных от убежищ защищенных входах, размещаемых в наклонных стволах и штольнях, следует предусматривать установку защитных перемычек и дверей, допускающих проскок ударной волны величиной не более 0,01 МПа (0,1 кгс/см2).
Возможные схемы устройства отделенных от убежищ защищенных входов приведены в
приложении Б.
5.21 Входы, устраиваемые в штольнях и наклонных стволах, необходимо размещать на участке скальных или полускальных пород с таким условием, чтобы толщина пород над перекрытием входа была равной не менее чем двум пролетам выработки.
(в ред.
Изменения N 1, утв. Приказом Минстроя России от 18.12.2023 N 933/пр)
5.22 Выработки, приспосабливаемые под размещение убежища, а также аварийные выходы на поверхность должны быть устойчивыми при совместном воздействии на них сейсмовзрывных волн и статических нагрузок от горного давления. При необходимости следует предусматривать дополнительное крепление выработок.
(в ред.
Изменения N 1, утв. Приказом Минстроя России от 18.12.2023 N 933/пр)
Не допускается использовать под убежища незакрепленные выработки, пройденные в породах с четко выраженной слоистостью, а также незакрепленные выработки, пройденные буровзрывным способом.
Выработки, приспосабливаемые под размещение ПРУ и укрытий, должны быть устойчивыми к воздействию горного давления.
(в ред.
Изменения N 1, утв. Приказом Минстроя России от 18.12.2023 N 933/пр)
5.23 Конструкции лестничных отделений располагаются в шурфах (стволах), которые предусматривается использовать в качестве аварийных выходов из защитных сооружений на поверхность, требуется проверять на устойчивость от воздействия ударной волны затекания и по результатам расчета усиливать.
(в ред.
Изменения N 1, утв. Приказом Минстроя России от 18.12.2023 N 933/пр)
В случае расположения лестничных отделений вблизи (не более 5 м) стен капитальных надшахтных зданий лестницы и полки должны быть защищены от разрушения обломками стеновых ограждений путем установки защитных перекрытий-балок, рассчитанных также на воздействие ударной волны затекания.
Абзац исключен с 19.01.2024. -
Изменение N 1, утв. Приказом Минстроя России от 18.12.2023 N 933/пр.
5.24 Конструкции перемычек и дверей, устанавливаемых при входах в убежища и в примыкающих к ним выработках должны обеспечивать аэродинамическое сопротивление не менее 1000 даПа·с2/м6 (1000 киломюргов).
5.25 Строительство наружных перемычек в тамбурах-шлюзах и тамбурах, где требуется поддерживать подпор воздуха, следует предусматривать с применением тампонажа закрепного пространства, а в трещиноватых породах, кроме того, - тампонажа вмещающих пород в плоскости перемычек на глубину 2 м в слаботрещиноватых и до 4 м в сильнотрещиноватых породах.
Разделку врубов для перемычек надлежит предусматривать механическим способом. При необходимости буровзрывных работ следует максимально ограничивать мощность зарядов.
(в ред.
Изменения N 1, утв. Приказом Минстроя России от 18.12.2023 N 933/пр)
5.26 При размещении убежищ в выработках, пройденных в породах с постоянным деформированием, необходимо предусматривать мероприятия по охране перемычек и дверей от влияния горного давления (увеличение несущей способности перемычек, сооружение перемычек, опирающихся на тюбинговую крепь, устройство обратного свода, податливых элементов и другие мероприятия с учетом конкретных условий).
5.27 В монолитных крепях тамбуров-шлюзов и тамбуров, где требуется поддерживать подпор воздуха, следует предусматривать разрывы шириной 0,5 м по контуру выработки для обеспечения поддержания подпора воздуха в закрепном пространстве. При необходимости на участках разрыва в монолитных крепях требуется устанавливать рамные металлические или железобетонные крепи.
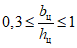
5.28 В ПРУ размещение укрываемых необходимо предусматривать на удалении от входов с поверхности, равном не менее

, м (
S - площадь поперечного сечения выходящей на поверхность выработки, м
2).
(в ред.
Изменения N 1, утв. Приказом Минстроя России от 18.12.2023 N 933/пр)
Требования по проектированию защиты укрываемых в ПРУ, размещаемых в выработках, приведены в
СП 88.13330.
(в ред.
Изменения N 1, утв. Приказом Минстроя России от 18.12.2023 N 933/пр)
Помимо требований
СП 88.13330 должно соблюдаться следующее:
- проемы и отверстия в ограждающих конструкциях (защитные толщи) должны быть подготовлены для заделки их при переводе помещений выработки на режим укрытия;
- приточный воздух при естественной вентиляции выработок, в которых размещаются укрытия малой вместимости, а также при механической вентиляции независимо от вместимости, следует очищать от пыли;
- для выработок, пол которых расположен ниже уровня грунтовых вод, должна быть обеспечена надежная гидроизоляция;
- через помещения укрытий, размещаемых в выработках, не допускается прокладка транзитных газовых сетей, паропроводов, трубопроводов с перегретой водой и сжатым воздухом без дополнительных конструктивных решений, обеспечивающих защиту укрываемых.
(абзац введен
Изменением N 1, утв. Приказом Минстроя России от 18.12.2023 N 933/пр)
Требования к помещениям выработок для защиты населения
(подраздел введен
Изменением N 1, утв. Приказом Минстроя России от 18.12.2023 N 933/пр)
5.29 Помещения выработок для защиты населения согласно
СП 88.13330 следует проектировать двойного назначения (в составе проекта на новое строительство для новых объектов или отдельных проектах для существующих выработок) для защиты укрываемых от фугасного и осколочного действия обычных средств поражения.
5.30 К помещениям выработок для защиты населения предъявляют следующие требования:
- наружные ограждающие конструкции (защитные толщи) должны обеспечивать необходимую защиту от фугасного и осколочного действия обычных средств поражения;
- проемы и отверстия в ограждающих конструкциях (защитных толщах) должны быть подготовлены для заделки их при переводе помещения на режим защиты населения;
- приточный воздух следует очищать от пыли.
5.31 Полы помещений выработок для защиты населения должны быть бетонными.
5.32 Прокладка транзитных и связанных с системой объекта газовых сетей, паропроводов, трубопроводов с перегретой водой и сжатым воздухом через помещения выработки для защиты населения не допускается без дополнительных конструктивных решений, обеспечивающих защиту укрываемых согласно с
СП 88.13330.
Объемно-планировочные решения
5.33 В составе помещений выработок для защиты населения следует предусматривать помещения для размещения укрываемых (основные), санитарного поста (пунктов), санитарного узла или помещения для выносной тары (вспомогательные).
5.34 Нормативное значение площади пола помещений выработок для защиты населения на одного укрываемого следует принимать не менее 1,0 м2. Высота помещений должна быть не менее 1,9 м от отметки пола до низа перекрытия (покрытия).
Внутренний объем помещений выработок для защиты населения принимают не менее 1,5 м3 на одного укрываемого, при этом учитываются объемы всех помещений выработки для защиты населения.
5.35 При проектировании помещений выработок для защиты населения следует предусматривать:
- помещение (место) для размещения санитарного поста (пункта) площадью не менее 8 м2. Санитарные посты предусматривают в виде выгороженного пространства ширмами или быстровозводимыми перегородками вблизи входов в помещение;
- помещение (место) для размещения выносной тары. Помещения для выносной тары предусматривают в виде выгороженного пространства ширмами или быстровозводимыми перегородками.
Требования к санитарным узлам следует принимать по
СП 88.13330.
5.36 Количество входов в помещения выработок для защиты населения следует принимать с учетом возможной экстренной эвакуации укрываемых из помещений, но не менее двух.
5.37 Помещения выработок для защиты населения должны быть защищены от возможного затопления дождевыми водами, а также другими жидкостями при разрушении емкостей, расположенных на вышележащих уровнях сооружения.
5.38 Отделку основных и вспомогательных помещений выработок для защиты населения следует предусматривать в зависимости от назначения помещений в мирное время.
5.39 Наружные ограждающие конструкции (защитные толщи) помещений выработок для защиты населения должны обеспечивать защиту укрываемых от фугасного и осколочного воздействия обычных средств поражения.
5.40 Проемы в наружных ограждающих конструкциях (защитных толщах) помещений выработок для защиты населения, не применяемые для входа, выхода из помещения или вентиляции, должны быть заделаны во время приведения их в готовность к приему укрываемых с учетом требований равной защиты.
5.41 Во входах в помещения выработок для защиты населения следует устанавливать обычные деревянные двери или обитые листовым металлом.
6 Расчет защитных конструкций и конструктивных элементов выработок
Основные расчетные положения
6.1 Защитные конструкции (перемычки, двери, ставни, расширительные камеры) следует рассчитывать на нагрузки от воздействия ударной волны затекания. Перемычки, кроме того, должны быть рассчитаны на нагрузки от горного давления.
6.2 Расчет защитных конструкций необходимо проводить по предельному состоянию первой группы.
Конструкции защитных перемычек следует рассчитывать с учетом упругопластических деформаций; защитно-герметические и герметические перемычки и двери, а также ставни и расширительные камеры необходимо рассчитывать в упругой стадии.
Коэффициент перегрузки к эквивалентным статическим нагрузкам следует принимать равным единице, а к остальным нагрузкам - в соответствии с требованиями
СП 91.13330.
6.3 Внутренние усилия в элементах защитных конструкций (изгибающие моменты, продольные и поперечные силы) требуется определять по правилам строительной механики.
6.4 Расчет устойчивости незакрепленных выработок, приспосабливаемых под защитные сооружения, следует выполнять по предельному состоянию первой группы.
В этих выработках расчету на устойчивость подлежат следующие конструктивные элементы:
породы на контуре протяженных выработок;
потолочины в камерных выработках;
междукамерные целики.
Закрепленные выработки в убежищах на первом этапе следует рассчитывать как незакрепленные. В тех случаях, когда породы на контуре этих выработок оказываются неустойчивыми, проводят расчеты устойчивости крепи на нагрузки от действия вывала породы. Крепи, плотно связанные с породой (прибетонированные), необходимо рассчитывать, кроме того, на нагрузки от действия сейсмовзрывных волн.
В противорадиационных укрытиях устойчивость выработок, закрепленных монолитными, рамными и анкерными крепями, надлежит устанавливать путем их обследования и проверки сохранности крепи.
6.5 Статические нагрузки и усилия в крепи от горного давления следует определять в соответствии с требованиями
СП 91.13330. Методика определения внутренних усилий в крепи от действия сейсмовзрывных волн приведена в
приложении Е.
6.6 Расчетные динамические сопротивления материалов при расчете защитных конструкций и крепи необходимо принимать в соответствии с требованиями
СП 88.13330.
Нагрузки от ударной волны затекания
6.7 Давление во фронте ударной волны, затекающей в выработки с поверхности, а также за местными сопротивлениями выработок (изменение конфигурации выработки в виде поворота, пересечения, расширения или сужения, частичного заполнения сечения оборудованием и т.п.)

, МПа (кгс/см
2), следует вычислять по формуле

(6.1)
где
Kзат - коэффициент затекания, принимаемый по
приложению В;

- давление во фронте проходящей ударной волны перед местным сопротивлением, МПа (кгс/см
2).
6.8 Давление во фронте ударной волны в конце прямолинейного участка выработки длиной
x, равной или больше 10
d, и диаметром, равным или меньше 8 м,

, МПа (кгс/см
2), следует вычислять по формуле

(6.2)
где

- коэффициент, учитывающий одномерное расширение ударной волны, принимаемый по
СП 88.13330;
e - основание натуральных логарифмов;
Kз - коэффициент затухания, принимаемый по таблице 6.1;
x - длина участка выработки, м;
Rг - гидравлический радиус выработки, равный отношению площади поперечного сечения к периметру выработки, м;
d - эквивалентный диаметр выработки, равный отношению учетверенной площади поперечного сечения к периметру выработки, м.
Таблица 6.1
Коэффициент аэродинамического сопротивления выработки  , даПа·с2/м2 (кг·с2/м4) | Kз |
От  до  | 0,0005 |
Св.  "  | 0,001 |
"  "  | 0,002 |
"  "  | 0,003 |
"  "  | 0,004 |
6.9 Динамическую нагрузку на преграду (перемычку) следует принимать равной:
- давлению во фронте проходящей ударной волны при расположении преграды параллельно направлению распространения ударной волны;
- давлению отражения ударной волны при расположении преграды перпендикулярно к направлению распространения ударной волны.
Давление отражения ударной волны

вычисляется по формулам

(6.3)

(6.3а)
где

- давление во фронте проходящей ударной волны затекания в месте установки преграды, МПа (кгс/см
2).
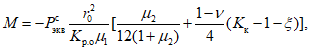
6.10 Эквивалентную статическую нагрузку Pэкв, МПа (кгс/см2), от ударной волны затекания на элементы защитных конструкций следует вычислять по формуле

(6.4)
где

- максимальное давление ударной волны (динамическая нагрузка) на рассчитываемый элемент, МПа (кгс/см
2), определяемое согласно
6.7 -
6.9;
Kд - коэффициент динамичности, принимаемый равным: 1,3 - при расчете конструкций в стадии упругопластических деформаций; 1,8 - при расчете конструкций в упругой стадии.
6.11 Максимальную смещающую силу Pсм от действия ударной волны затекания на конструктивные элементы лестничных отделений и армировки в стволах следует вычислять по формулам:

(6.5)

(6.5а)
где
Cx - коэффициент бокового сопротивления элемента, принимаемый по
приложению К;
Sм - наибольшая площадь сечения элемента плоскостью, перпендикулярной к направлению распространения ударной волны затекания (миделево сечение), м2;

- скоростной напор, вычисляемый по формулам:

(6.6)

(6.6а)
Расчет устойчивости пород на контуре протяженных выработок
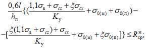
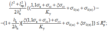
6.12 Устойчивость пород на контуре протяженных выработок, приспосабливаемых под убежища, следует определять из выражений:

(6.7)

(6.8)
где

- давление, определяемое по
СП 88.13330, МПа (кгс/см
2);

,

- давления, МПа (кгс/см
2), определяемые по формулам:

(6.9)

(6.10)
где
A - акустическое сопротивление пород, определяемое по
таблице 6.2, МПа·с/м (кгс·с/см
3);
Ucz,
Ucx - соответственно вертикальная и горизонтальная составляющие массовой скорости, принимаемые по
СП 88.13330;

- угол наклона выработки к горизонту, град;

- коэффициент бокового давления пород, вычисляемый по формуле

(6.11)
где

- коэффициент Пуассона, определяемый по данным экспериментальных измерений;
Kp,
Kq - коэффициенты концентрации тангенциальных напряжений на контуре выработок соответственно от вертикальных и горизонтальных нагрузок, принимаемые по
приложению Г;
Kу - коэффициент динамического упрочнения пород, принимаемый равным: 1,0 - для соляных пород, гипсов и пильных известняков; 1,3 и 1,5 - для других пород в условиях действия соответственно сжимающих и растягивающих напряжений;

- вертикальное давление толщи пород, вычисляемое по формулам:

(6.12)

(6.12а)
где

- средняя величина удельного веса толщи пород над выработкой, кН/м
3 (кгс/м
3);
Hр - расчетная глубина расположения выработки, м, принимаемая в соответствии с требованиями
СП 91.13330;

- расчетное сопротивление породы сжатию или растяжению, МПа (кгс/см
2), определяемое по
6.13. Положительный знак левой части
формул (6.7) и
(6.8) указывает на наличие сжимающих напряжений, отрицательный - на наличие растягивающих напряжений.
Горные породы | Расчетное сопротивление пород (массива) сжатию  | Акустическое сопротивление пород A |
МПа | кгс/см2 | МПа·с/м | кгс·с/см3 |
Гипсы и соляные породы | 10 | 100 | 8 | 0,8 |
40 | 400 | 12 | 1,2 |
Пильные известняки (ракушечники) | 2 | 20 | 3 | 0,3 |
5 | 50 | 5 | 0,5 |
10 | 100 | 7 | 0,7 |
Песчано-алевролито-аргиллитовые | 10 | 100 | 6 | 0,6 |
30 | 300 | 8 | 0,8 |
50 | 500 | 10 | 1,0 |
100 | 1000 | 14 | 1,4 |
150 | 1500 | 16 | 1,6 |
Изверженные и метаморфические | 20 | 200 | 10 | 1,0 |
50 | 500 | 12 | 1,2 |
100 | 1000 | 15 | 1,5 |
200 | 2000 | 20 | 2,0 |
6.13 Расчетное сопротивление пород (массива) сжатию

необходимо определять в соответствии с требованиями
СП 91.13330, растяжению

при отсутствии конкретных данных -
приложения Д.
В зонах вечной мерзлоты показатели

и

необходимо определять по данным специализированных организаций с учетом возможного повышения температуры в приспосабливаемой выработке на 15 °C.
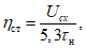
6.14 Устойчивость пород на контуре протяженных выработок, приспосабливаемых под противорадиационные укрытия, следует определять из выражения

(6.13)
Расчет эквивалентной статической нагрузки на крепь протяженных выработок от действия вывала породы
6.15 Эквивалентную статическую нагрузку на крепь выработок, приспосабливаемых под убежища, от действия вывала породы

, МПа (кгс/см
2), следует вычислять по формулам:
в кровле выработки

(6.14)
в стенах выработки

(6.15)
где qвыв - давление от веса вывала породы, вычисляемое по формулам:

(6.16)

(6.16а)
где
hвыв - высота вывала породы, м, определяемая по
6.16;
qк - давление от веса крепи, МПа (кгс/см2);

,

- безразмерные коэффициенты перегрузки соответственно со стороны кровли и стенок выработки, вычисляемые по формулам:

(6.17)

(6.18)
6.16 Высоту (толщину) вывала породы в выработке
hвыв, м, следует определять по формуле

(6.19)
где B - пролет выработки, м;

- максимальное напряжение, МПа (кгс/см
2), равное наибольшему значению из величин левой части
выражений (6.7) и
(6.8).
Для выработок, пройденных буровзрывным способом, hвыв необходимо увеличивать на 0,2B.
6.17 Усилия в крепи выработок от действия вывала породы определяют по правилам строительной механики.
Расчет устойчивости потолочины и междукамерных целиков в камерных выработках
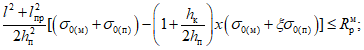
6.18 В камерных выработках, приспосабливаемых под убежища, устойчивость потолочины, если ее толщина меньше или равна удвоенной величине пролета камеры (hп <= 2l), следует определять на срез, растяжение и сжатие из выражений:
на срез

(6.20)
на растяжение

(6.21)
на сжатие

(6.22)
| | ИС МЕГАНОРМ: примечание. Условные обозначения даны в соответствии с официальным текстом документа. | |
где l - пролет камеры, м;
hк - высота камеры, м;
hп - толщина потолочины, м;
f - стрела подъема свода, м;

- расчетное сопротивление пород (массива) срезу, МПа (кгс/см
2), принимаемое при отсутствии конкретных данных по
приложению Д;

,

- вертикальные давления соответственно слоя мягких грунтов и пород потолочины, вычисляемые по формулам:

(6.23)

(6.23а)

(6.24)

(6.24а)
где

,

- средний удельный вес соответственно слоя мягких грунтов и пород потолочины, кН/м
3 (кгс/м
3);
hм - толщина слоя мягких грунтов, м;
lпр - ширина просечки (сбойки), м.
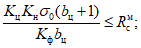
6.19 В камерных выработках, приспосабливаемых под убежища, устойчивость потолочины, если ее толщина больше удвоенной величины пролета камеры (hп > 2l), следует определять на изгиб из выражений:
в случае qзак < 0,1Rс

(6.25)
в случае 0,1Rс < qзак < 0,8Rс

(6.26)
где qзак - закрепляющая нагрузка, МПа (кгс/см2), вычисляемая по формуле

(6.27)
где Sкр - площадь кровли, приходящаяся на один целик, м2;
Fц - площадь поперечного сечения целика, м2;
Rс - среднее значение сопротивления пород в образце одноосному сжатию, устанавливаемое по результатам экспериментальных измерений, МПа (кгс/см2);
Kкр - коэффициент несущей способности потолочины, принимаемый при отсутствии конкретных данных по
приложению Ж;
(в ред.
Изменения N 1, утв. Приказом Минстроя России от 18.12.2023 N 933/пр)
Kп - коэффициент пригрузки, принимаемый равным:
0,5 - для пород с четко выраженной слоистостью;
0,35 - для среднеслоистых пород;
0,2 - "малослоистых";
Kп = 0 - для монолитных пород;
Pп - приведенное вертикальное давление пород нижнего несущего слоя потолочины, определяемое по формулам:

(6.28)

(6.28а)
где

- средний удельный вес пород нижнего несущего слоя, кН/м
3 (кгс/м
3);
hн.с - толщина пород нижнего несущего слоя, м;

- расчетное сопротивление пород (массива) изгибу, принимаемое при отсутствии конкретных данных равным

[

- расчетное сопротивление пород (массива) сжатию, определяемое по
6.13].
При qзак >= 0,8Rс расчет потолочины на устойчивость не проводят. Потолочина в этом случае считается неустойчивой от действия статических нагрузок.
6.20 Устойчивость междукамерных целиков в убежищах определяется из выражений:
ленточных

(6.29)
столбчатых

(6.30)
где
Kц - коэффициент несущей способности целика; принимаемый при отсутствии экспериментальных данных по
приложению Ж;
Kн - коэффициент, принимаемый равным:
0,5 при L < H - для целиков с прослойками слабых пород;
0,7 " L < H - для однородных целиков;
1,0 " L >= H - для всех целиков (L, H - соответственно ширина
и глубина расположения отработанного пространства шахтного поля, м);
bц, lц - соответственно ширина и длина целика, м;
Kф - коэффициент, принимаемый равным:
для средне- и сильнотрещиноватых пород:

при

;

при

;
для слаботрещиноватых пород
для сланцевых пород
(hц - высота целика, м);
| | ИС МЕГАНОРМ: примечание. Условные обозначения даны в соответствии с официальным текстом документа. | |

,

- коэффициенты взаимодействия с целиками волны сжатия и эпицентральных сейсмических волн, принимаемые для ленточных целиков по таблицам 6.3 и
6.4; для столбчатых целиков коэффициенты

и

принимаются равными 0,85 от этих же коэффициентов для ленточных целиков.
Таблица 6.3
| | ИС МЕГАНОРМ: примечание. Условные обозначения даны в соответствии с официальным текстом документа. | |
Отношение высоты целика к пролету камеры (hц/l) | Значения коэффициента  при числе ленточных целиков |
2 | 5 | 10 | >= 15 |
0,3 | 2,7 | 3,2 | 3,7 | 4,0 |
0,5 | 2,4 | 2,9 | 3,4 | 3,7 |
0,7 | 2,2 | 2,7 | 3,1 | 3,4 |
1,0 | 2,1 | 2,5 | 2,9 | 3,1 |
2,0 и более | 2,0 | 2,4 | 2,7 | 2,9 |
| | ИС МЕГАНОРМ: примечание. Условные обозначения даны в соответствии с официальным текстом документа. | |
Отношение высоты целика к пролету камеры (hц/l) | Значения коэффициента  при коэффициенте Пуассона горных пород |
0,10 | 0,15 | 0,20 | 0,25 | 0,30 | 0,35 |
0,3 | 0,4 | 0,6 | 0,8 | 1,0 | 1,2 | 1,4 |
0,5 | 0,3 | 0,5 | 0,7 | 0,9 | 1,1 | 1,3 |
0,7 | 0,2 | 0,4 | 0,6 | 0,8 | 1,0 | 1,2 |
1,0 | 0,1 | 0,3 | 0,5 | 0,7 | 0,9 | 1,1 |
2,0 и более | 0,1 | 0,2 | 0,4 | 0,6 | 0,8 | 1,0 |
6.21 В камерных выработках, приспосабливаемых под противорадиационные укрытия, устойчивость потолочины при условии hп <= 2l следует определять из выражений:
на срез

(6.31)
на растяжение

(6.32)
на сжатие

(6.33)
6.22 В камерных выработках, приспосабливаемых под противорадиационные укрытия, устойчивость потолочины при условии hп > 2l следует определять из выражений:
в случае qзак < 0,1Rс

(6.34)
в случае 0,1Rс < qзак < 0,8Rс

(6.35)
При qзак >= 0,8Rс расчет потолочины на устойчивость не проводят. Потолочина камеры в этом случае считается неустойчивой.
6.23 Устойчивость междукамерных целиков в противорадиационных укрытиях определяется из выражений:
ленточных

(6.36)
столбчатых

(6.37)
7 Инженерно-техническое оборудование
7.1 В защитных сооружениях необходимо предусматривать инженерно-техническое оборудование, обеспечивающее необходимые условия пребывания в них укрываемых.
7.2 Вид, продолжительность режимов вентиляции, а также параметры микроклимата и газового состава воздушной среды следует принимать в соответствии с требованиями
СП 88.13330.
(в ред.
Изменения N 1, утв. Приказом Минстроя России от 18.12.2023 N 933/пр)
7.3 В системах санитарно-технических устройств надлежит применять стандартное оборудование, а также разрешено использовать оборудование, установленное по условиям производственной деятельности объекта.
(в ред.
Изменения N 1, утв. Приказом Минстроя России от 18.12.2023 N 933/пр)
Проходы и зазоры между элементами оборудования, а также между оборудованием и конструктивными элементами выработок требуется принимать в соответствии с требованиями
СП 88.13330,
[2],
[7].
7.4 Систему вентиляции убежищ следует проектировать на два режима - чистой вентиляции и фильтровентиляции.
Принципиальная схема вентиляции убежища приведена на
рисунке 7.1.
Условные обозначения:
 вентилятор |  защитное устройство |
 фильтр-поглотитель |  клапан избыточного давления |
 клапан герметический |  направление движения воздуха |
 воздуховод |  направление действия естественной тяги воздуха |
 защитно-герметическая дверь |  герметическая дверь (ставень) |
1 - вентилируемый тамбур-шлюз; 2 - шлюзовая камера;
3 - тамбур-шлюз; 4 - тамбур; 5 - расширительная камера
с герметическим ставнем; 6 - санитарный узел
Рисунок 7.1 - Принципиальная схема вентиляции убежища
7.5 Чистая вентиляция предусматривается для обеспечения требуемого состава воздуха и удаления теплоизбытков. В тех случаях, когда воздухозаборы располагаются на расстоянии не более 50 м от выхода на поверхность, подаваемый в убежище воздух в режиме чистой вентиляции должен быть очищен от пыли.
Фильтровентиляция предусматривается для очистки подаваемого воздуха от газообразных и аэрозольных средств массового поражения и поддержания в убежище допустимых параметров воздушной среды.
7.6 Количество наружного воздуха на одного укрываемого при чистой вентиляции необходимо принимать по таблице 7.1.
Температура воздуха в приспосабливаемой выработке в летнее время года при нормальной (промышленной) вентиляции tв, °C | Количество подаваемого наружного воздуха при чистой вентиляции, м3/(ч·чел.) |
До 10 | 2 |
Св. 10 до 15 | 3 |
" 15 " 20 | 5 |
" 20 " 23 | 7 |
" 23 " 27 | 10 |
7.7 Количество воздуха, которое необходимо подавать в убежище при режиме фильтровентиляции для поддержания допустимых параметров воздушной среды, следует принимать из расчета 1 м3/(ч·чел.).
(в ред.
Изменения N 1, утв. Приказом Минстроя России от 18.12.2023 N 933/пр)
7.8 Количество воздуха, подаваемого в убежище в режиме фильтровентиляции, Lф.в, м3/ч, необходимо проверять по условию поддержания подпора воздуха в тамбурах-шлюзах (тамбурах) величиной 20 Па и расхода воздуха в вентилируемом тамбуре-шлюзе, определяемого по формуле
Lф.в >= 200nт + Lт, (7.1)
где nт - число тамбуров-шлюзов (тамбуров), в которых предусматривается одновременное поддержание подпора воздуха (вход с двойным шлюзованием принимается за один тамбур-шлюз);
Lт - расход воздуха в вентилируемом тамбуре-шлюзе, принимаемый равным 25-кратному объему тамбура-шлюза, м3/ч.
7.9 Расчетное количество воздуха Lп, м3/ч, которое необходимо подавать в однокамерный тамбур-шлюз (тамбур, шлюзовую камеру) для поддержания подпора, вычисляют по формуле
Lп = 200 + 150(2 + 0,1he)0,5, (7.2)
где hе - максимальное давление (депрессия) естественной тяги воздуха на горизонте убежища, Па.
7.10 Подпор в тамбурах-шлюзах (тамбурах) и продувку вентилируемых тамбуров-шлюзов надлежит предусматривать воздухом, забираемым из убежища. При выборе вентиляторов для этой цели необходимо учитывать величину давления и направление действия естественной тяги воздуха.
7.11 Чистую вентиляцию убежищ необходимо предусматривать за счет действия естественной вентиляции (естественной тяги) или с помощью вентиляторов.
7.12 Естественную вентиляцию следует предусматривать в тех случаях, когда в любое время года (при необходимости - с помощью открывания вентиляционных дверей) в приспосабливаемые для размещения убежищ выработки поступает необходимое количество воздуха с параметрами, соответствующими требованиям
СП 88.13330.
(в ред.
Изменения N 1, утв. Приказом Минстроя России от 18.12.2023 N 933/пр)
Указания по проведению замеров параметров естественной тяги воздуха в выработках изложены в
приложении И.
7.13 В системах принудительной вентиляции требуется предусматривать вентиляторы с электроручным приводом при отсутствии в убежище автономного источника электроснабжения и вентиляторы с электрическим приводом в убежище с автономным источником электроснабжения.
7.14 Если при применении естественной вентиляции не обеспечивается удаление нормируемого расхода воздуха, необходимо предусматривать устройство вытяжных вентиляторов.
7.15 На воздухозаборах и воздуховыбросах в убежищах при давлении во фронте ударной волны затекания более 0,01 МПа (0,1 кгс/см2) следует предусматривать установку противовзрывных устройств и расширительных камер.
(в ред.
Изменения N 1, утв. Приказом Минстроя России от 18.12.2023 N 933/пр)
Вентиляция противорадиационных укрытий
7.16 Вентиляцию ПРУ, размещаемых в выработках действующих объектов с устойчивым электроснабжением в военное время, следует предусматривать с использованием вентиляторов, установленных по условиям промышленной вентиляции.
(в ред.
Изменения N 1, утв. Приказом Минстроя России от 18.12.2023 N 933/пр)
7.17 При отсутствии промышленной вентиляции, а также на объектах с неустойчивым электроснабжением в военное время вентиляцию противорадиационных укрытий необходимо предусматривать за счет действия естественной тяги согласно
7.12 или путем установки вентиляторов, приводимых в действие вручную или от аккумуляторных батарей.
7.18 Количество воздуха для вентиляции ПРУ необходимо принимать по
таблице 7.1.
(п. 7.18 в ред.
Изменения N 1, утв. Приказом Минстроя России от 18.12.2023 N 933/пр)
7.19 Воздухозаборные устройства вентиляционных систем с механическим побуждением при их размещении в устьях штольневых выработок и наклонных стволов следует располагать на высоте не менее 1 м от уровня земли (почвы выработки) и оборудовать козырьками для предотвращения попадания в них радиоактивных осадков.
Водоснабжение и ассенизация
7.20 В защитных сооружениях необходимо предусматривать запас питьевой воды из расчета 2 л в сутки на одного укрываемого.
Требования по качеству воды на хозяйственно-питьевые нужды приведены в
СанПиН 2.1.3684.
(в ред.
Изменения N 1, утв. Приказом Минстроя России от 18.12.2023 N 933/пр)
7.21 Для хранения питьевой воды следует использовать шахтные вагонетки, баки, резервуары, покрытые изнутри материалами, имеющими соответствующие разрешения и сертификаты для применения в хозяйственно-питьевом водоснабжении
[4].
Емкости с питьевой водой должны быть оборудованы крышками и водоуказателями.
7.22 Для распределения питьевой воды требуется предусматривать устройство водоразборных кранов - один кран на 300 человек или переносные бачки.
7.23 Санитарные узлы должны быть оборудованы ассенизационными вагонетками или резервуарами из расчета приема 2 л фекалий на одного укрываемого в сутки.
Ассенизационные вагонетки должны быть установлены таким образом, чтобы расстояние от верха вагонетки до кровли выработки составляло не менее 1,3 м.
7.24 Для сбора сухих отбросов в защитных сооружениях следует предусматривать закрытые емкости - ящики, бумажные мешки, пакеты из расчета 1 л на одного укрываемого в сутки.
Электроснабжение, освещение и связь
7.25 Электроснабжение защитных сооружений необходимо предусматривать от внешней сети.
В защитных сооружениях следует устанавливать автономные источники электроснабжения - аккумуляторные батареи или дизельные электростанции (ДЭС).
(в ред.
Изменения N 1, утв. Приказом Минстроя России от 18.12.2023 N 933/пр)
7.26 При производительности фильтровентиляционного агрегата более 1200 м3/ч в убежищах надлежит предусматривать установку ДЭС.
На объектах, где для технологических целей применяют аккумуляторные батареи, их использование в защитных сооружениях в качестве автономных источников электроснабжения не ограничивается.
7.27 Электрооборудование, силовые и осветительные установки должны отвечать требованиям правил безопасности для горных выработок
[9].
7.28 ДЭС требуется проектировать в соответствии с требованиями
СП 88.13330.
В шахтах (рудниках), опасных по газу, ДЭС должны иметь рудничное взрывобезопасное исполнение. При использовании ДЭС в нормальном (нерудничном) исполнении следует размещать их на свежей вентиляционной струе и устанавливать аппаратуру непрерывного контроля концентрации метана в помещении ДЭС.
7.29 При размещении ДЭС за пределами убежища ее необходимо проектировать защищенной в соответствии с требованиями
СП 88.13330 и
СП 165.1325800 к заглубленным и возвышающимся защитным сооружениям. Защиту обслуживающего персонала в этом случае следует предусматривать применением индивидуальных средств с обеспечением возможности перехода в убежище для отдыха.
7.30 Крепи подземных камер ДЭС и прилегающих к ним выработок на протяжении 5 м от входа в камеры ДЭС должны быть выполнены из негорючих (НГ) материалов.
Склад горюче-смазочных материалов должен быть расположен в отдельной секции, отделенной от помещения ДЭС перегородкой из негорючего (НГ) материала толщиной не менее 200 мм, с пределом огнестойкости EI 45.
7.31 Стационарную сеть электроосвещения требуется оборудовать в защитных сооружениях с автономным источником электроснабжения, а также на объектах с устойчивым электроснабжением в военное время.
7.32 Нормы освещенности выработок, используемых под защитные сооружения, надлежит принимать по
таблице 7.2.
7.33 В защитных сооружениях, оборудованных стационарным освещением, для обеспечения эвакуации укрываемых следует предусматривать резервное освещение переносными светильниками индивидуального пользования из расчета один светильник на 10 укрываемых.
7.34 В защитных сооружениях, где не предусмотрено стационарное освещение, необходимо использовать переносные светильники индивидуального пользования. Освещенность в этом случае не нормируется.
7.35 В защитных сооружениях требуется предусматривать средства оповещения и связи, входящие в общую систему оповещения и связи объекта.
7.36 Защитные сооружения должны иметь телефонную связь с пунктом управления объекта.
В убежищах следует предусматривать также внутреннюю автономную телефонную связь с фильтровентиляционной камерой, защищенными входами, помещениями автономного источника электроснабжения и медицинским пунктом.
Освещаемые участки выработок и помещения | Минимальная освещенность, лк | Поверхности, к которым относятся нормы освещенности |
Выработки для размещения укрываемых, входы в убежища, санитарные узлы | 2 | На почве |
Фильтровентиляционные камеры и помещения автономных источников электроснабжения | 5 | На уровне 0,8 м от почвы |
Медицинские пункты | 50 | То же |
Санитарные посты | 30 | " |
Пункты управления объектов | 20 | " |
Примечание - При питании от аккумуляторных батарей освещенность выработок для размещения укрываемых, входов в убежище, санитарных узлов допускается принимать 0,3 лк. |
Противопожарные требования
7.37 При проектировании защитных сооружений в горных выработках в части требований по пожарной безопасности необходимо выполнять положения
[5] и нормативных документов по пожарной безопасности в зависимости от назначения помещений в мирное время, а также требования настоящего свода правил.
7.38 Участки выработок, приспосабливаемые под защитные сооружения, должны быть оборудованы первичными средствами пожаротушения в соответствии с
[8].
7.39 В помещениях ДЭС следует предусматривать средства пожаротушения в соответствии с требованиями нормативных документов по пожарной безопасности и
СП 88.13330.
Места размещения аккумуляторных батарей должны быть оборудованы первичными средствами пожаротушения в соответствии с
[8].
(справочное)
СХЕМЫ УСТРОЙСТВА ВХОДОВ С ДВОЙНЫМ ШЛЮЗОВАНИЕМ
Условные обозначения:

направление действия естественной тяги воздуха;

защитно-герметическая дверь;

герметическая дверь
1 - тамбур-шлюз; 2 - шлюзовая камера; 3 - тамбур
для пропуска транспортных средств в мирное время
Рисунок А.1 - Схемы устройства входов с двойным шлюзованием
(справочное)
СХЕМЫ УСТРОЙСТВА ОТДЕЛЕННЫХ ОТ УБЕЖИЩ ЗАЩИЩЕННЫХ ВХОДОВ
1 - ворота для пропуска основной группы укрываемых
и транспортных средств в мирное время; 2 - малые
двери (0,8 x 1,8 м) для шлюзования укрываемых
после закрытия ворот
Рисунок Б.1 - Схемы устройства отделенных
от убежищ защищенных входов
(обязательное)
КОЭФФИЦИЕНТЫ ЗАТЕКАНИЯ
Kзат И ОТРАЖЕНИЯ
Kотр УДАРНОЙ ВОЛНЫ
ПРИ МЕСТНЫХ ИЗМЕНЕНИЯХ КОНФИГУРАЦИИ И СЕЧЕНИЯ ВЫРАБОТОК
Таблица В.1
Номер позиции | Условие затекания | Характеристика местных сопротивлений | Kзат при  или Kотр |
1,67 | 1,00 | 0,67 | 0,33 | 0,17 | 0,03 |
1 | | W | 1,0 | - | 0,49 | 0,57 | 0,68 | 0,78 | 0,96 |
0,8 | - | 0,45 | 0,55 | 0,67 | 0,76 | 0,95 |
0,6 | - | 0,36 | 0,45 | 0,63 | 0,75 | 0,94 |
0,4 | - | 0,25 | 0,32 | 0,47 | 0,71 | 0,93 |
0,2 | - | 0,14 | 0,18 | 0,26 | 0,41 | 0,86 |
W - отношение свободной от оборудования площади к полной площади сечения выработки |
| |  , град | 15 | - | 0,91 | 0,93 | 0,94 | 0,96 | 0,99 |
45 | - | 0,75 | 0,78 | 0,84 | 0,89 | 0,98 |
90 | - | 0,49 | 0,57 | 0,68 | 0,78 | 0,96 |
135 | - | 0,40 | 0,48 | 0,60 | 0,70 | 0,94 |
175 | - | 0,32 | 0,40 | 0,50 | 0,60 | 0,91 |
3 | |  , град | 0 | - | 1,47 | 1,53 | 1,66 | 1,75 | 1,95 |
90 | - | 0,49 | 0,57 | 0,68 | 0,78 | 0,96 |
 - угол между направлением распространения ударной волны и продольной осью штольни |
4 | | | 1,0 | 0,20 | 0,20 | 0,23 | 0,27 | 0,30 | 0,37 |
0,8 | 0,20 | 0,24 | 0,27 | 0,32 | 0,36 | 0,46 |
0,6 | 0,23 | 0,28 | 0,31 | 0,37 | 0,41 | 0,55 |
0,4 | 0,30 | 0,34 | 0,38 | 0,45 | 0,52 | 0,67 |
0,2 | 0,37 | 0,43 | 0,47 | 0,56 | 0,67 | 0,80 |
 - отношение площади поперечного сечения выработки, в которую затекает ударная волна, к площади поперечного сечения выработки, из которой затекает ударная волна |
5 | | Kзат определяют по таблице |
| | 1,0 | 0,8 | 0,6 | 0,4 | 0,2 | |
Kзат | 0,60 | 0,68 | 0,76 | 0,83 | 0,92 |
|
6 | | | 0,2 | 1,18 | 1,18 | 1,23 | 1,34 | 1,39 | 1,54 |
0,4 | 0,90 | 0,90 | 0,94 | 1,00 | 1,08 | 1,20 |
0,6 | 0,78 | 0,79 | 0,81 | 0,85 | 0,90 | 0,98 |
0,8 | 0,65 | 0,65 | 0,67 | 0,69 | 0,73 | 0,77 |
1,0 | 0,51 | 0,51 | 0,53 | 0,54 | 0,56 | 0,60 |
1,25 | 0,48 | 0,48 | 0,48 | 0,49 | 0,51 | 0,58 |
1,67 | 0,39 | 0,39 | 0,39 | 0,40 | 0,44 | 0,53 |
2,5 | 0,30 | 0,30 | 0,30 | 0,30 | 0,31 | 0,40 |
5,0 | 0,16 | 0,16 | 0,16 | 0,16 | 0,19 | 0,24 |
7 | | | 0,2 | 1,20 | 1,24 | 1,30 | 1,42 | 1,51 | 1,69 |
0,4 | 1,15 | 1,17 | 1,22 | 1,30 | 1,37 | 1,47 |
0,6 | 1,10 | 1,12 | 1,14 | 1,18 | 1,22 | 1,30 |
0,8 | 1,06 | 1,06 | 1,07 | 1,08 | 1,10 | 1,14 |
1,0 | 1,00 | 1,00 | 1,00 | 1,00 | 1,00 | 1,00 |
8 | | | 1,0 | 1,00 | 1,00 | 1,00 | 1,00 | 1,00 | 1,00 |
1,25 | 0,88 | 0,88 | 0,88 | 0,88 | 0,91 | 0,96 |
1,67 | 0,70 | 0,70 | 0,70 | 0,71 | 0,79 | 0,88 |
2,5 | 0,52 | 0,52 | 0,52 | 0,52 | 0,60 | 0,70 |
5,0 | 0,30 | 0,30 | 0,30 | 0,30 | 0,37 | 0,48 |
9 | | | 0,2 | 1,25 | 1,33 | 1,40 | 1,50 | 1,55 | 1,69 |
0,4 | 1,15 | 1,18 | 1,23 | 1,34 | 1,39 | 1,50 |
0,6 | 1,00 | 1,03 | 1,10 | 1,17 | 1,20 | 1,30 |
0,8 | 0,86 | 0,90 | 0,94 | 1,00 | 1,08 | 1,18 |
1,0 | 0,75 | 3,80 | 0,85 | 0,90 | 0,97 | 1,04 |
1,25 | 0,68 | 0,70 | 0,72 | 0,75 | 0,80 | 0,85 |
1,67 | 0,57 | 0,57 | 0,58 | 0,60 | 0,62 | 0,69 |
2,5 | 0,48 | 0,48 | 0,48 | 0,49 | 0,51 | 0,58 |
5,0 | 0,30 | 0,30 | 0,30 | 0,30 | 0,37 | 0,43 |
10 | | Давление  определяют по формуле где  - принимают по Pзат в поз. 2 в зависимости от  ; где Kзат принимают по таблице |
 , град | Kзат при  |
1,67 | 1,00 | 0,67 | 0,33 | 0,17 | 0,03 |
45 | 0,35 | 0,40 | 0,42 | 0,45 | 0,46 | 0,47 |
90 | 0,25 | 0,30 | 0,35 | 0,40 | 0,44 | 0,47 |
135 | 0,22 | 0,25 | 0,30 | 0,37 | 0,42 | 0,46 |
175 | 0,19 | 0,22 | 0,27 | 0,34 | 0,40 | 0,46 |
Давление  определяют по формуле Коэффициент  принимают по таблице |
 , град | 45 | 90 | 135 | 175 |
| | ИС МЕГАНОРМ: примечание. Условные обозначения даны в соответствии с официальным текстом документа. | |
|
| | y | 1 | 0,68 | 0,55 | 0,40 |
|
11 | | W | Kзат при  |
1,67 | 1,00 | 0,67 | 0,33 | 0,17 | 0,03 |
1,0 | 1,0 | 1,0 | 1,0 | 1,0 | 1,0 | 1,0 |
0,8 | 0,92 | 0,92 | 0,92 | 0,95 | 0,98 | 1,0 |
0,6 | 0,69 | 0,79 | 0,79 | 0,88 | 0,95 | 0,99 |
0,4 | 0,60 | 0,60 | 0,60 | 0,70 | 0,85 | 0,98 |
0,2 | 0,35 | 0,35 | 0,35 | 0,42 | 0,53 | 0,76 |
|
W | Kзат при  |
1,67 | 1,00 | 0,67 | 0,33 | 0,17 | 0,03 |
1,0 | 1,0 | 1,0 | 1,0 | 1,0 | 1,0 | 1,0 |
0,8 | 2,10 | 1,70 | 1,58 | 1,35 | 1,25 | 1,14 |
0,6 | 2,80 | 2,30 | 2,00 | 1,70 | 1,50 | 1,34 |
0,4 | 3,40 | 2,50 | 2,40 | 2,00 | 1,80 | 1,62 |
0,2 | 4,00 | 3,30 | 2,90 | 2,40 | 2,10 | 1,75 |
 - давление ударной волны, равное степени защиты убежищ класса II |
(обязательное)
КОЭФФИЦИЕНТЫ КОНЦЕНТРАЦИИ ТАНГЕНЦИАЛЬНЫХ
И СДВИГОВЫХ НАПРЯЖЕНИЙ НА КОНТУРЕ ВЫРАБОТОК
РАЗЛИЧНОГО ОЧЕРТАНИЯ
Таблица Г.1
Форма сечения выработки | | Номер точки | Коэффициенты концентрации тангенциальных и сдвиговых напряжений |
Kp | Kq | Kpq |
Круглая | 10 | 1 | -1,0 | +3,0 | 0 |
2 | 0 | +2,0 | +3,5 |
3 | +2,0 | 0 | +3,5 |
4 | +5,0 | -1,0 | 0 |
Прямоугольная | 1,0 | 1 | -0,9 | +1,7 | 0 |
2 | +1,7 | -0,9 | 0 |
2,0 | 1 | -0,9 | +1,4 | 0 |
2 | +2,1 | -0,9 | 0 |
3,0 | 1 | -0,9 | +1,3 | 0 |
2 | +2,4 | -0,9 | 0 |
Прямоугольно-сводчатая с трехцентровым (коробовым) сводом | 1,0 | 1 | -1,0 | +2,8 | 0 |
2 | -0,3 | +2,2 | +2,8 |
3 | +2,5 | -0,7 | +2,0 |
1,4 | 1 | -1,0 | +2,5 | 0 |
2 | -0,3 | +2,0 | +2,7 |
3 | +2,7 | -0,9 | +1,4 |
Прямоугольно-сводчатая с одноцентровым (коробовым) сводом | 1,0 | 1 | -0,9 | +3,1 | 0 |
2 | +1,0 | +1,1 | +4,3 |
3 | +2,2 | -0,9 | +1,0 |
1,4 | 1 | -0,9 | +2,8 | 0 |
2 | +0,8 | +1,2 | +4,0 |
3 | +2,6 | -1,0 | +0,4 |
(справочное)
ЗНАЧЕНИЯ РАСЧЕТНЫХ СОПРОТИВЛЕНИЙ ПОРОД РАСТЯЖЕНИЮ И СРЕЗУ
В ЗАВИСИМОСТИ ОТ ИХ РАСЧЕТНОГО СОПРОТИВЛЕНИЯ СЖАТИЮ
Таблица Д.1
Горные породы | Расчетное сопротивление сжатию  , МПа | Расчетное сопротивление, МПа |
растяжению  | срезу  |
Изверженные и метаморфические породы | 20 - 200 | 0,8 - 8,0 | 4,0 - 40,0 |
Аргиллиты: | | | |
при наличии зеркал скольжения | 10 - 30 | 0,5 - 1,0 | 0,6 - 3,6 |
с углистыми прослоями | 10 - 30 | 1,4 - 3,0 | 1,8 - 10,8 |
Алевролиты: | | | |
при наличии зеркал скольжения и углистых прослоев | 15 - 50 | 0,3 - 1,0 | 1,0 - 6,0 |
с растительными остатками на плоскостях ослабления | 20 - 50 | 2,0 - 3,5 | 3,5 - 17,0 |
с мелким растительным детритом на плоскостях ослабления | 20 - 50 | 4,0 - 6,0 | 5,5 - 27,0 |
Песчаники: | | | |
при наличии угольных прослоев | 40 - 100 | 1,8 - 3,0 | 1,6 - 10,0 |
80 - 200 | 2,4 - 20,0 | 2,4 - 16,0 |
растительными остатками на плоскостях ослабления | 50 - 120 | 4,0 | 4,0 - 20,0 |
100 - 200 | 4,0 | 6,0 - 30,0 |
с мелким растительным детритом на плоскостях ослабления | 50 - 120 | 6,0 - 7,2 | 5,0 - 32,4 |
100 - 200 | 6,0 | 10,0 - 50,0 |
Гипсы | 10 - 40 | 1,5 - 4,0 | 2,0 - 8,0 |
Ангидрит | 30 - 60 | 1,8 - 3,6 | 4,0 - 15,5 |
Соляные породы | 10 - 40 | 0,8 - 3,2 | 1,5 - 12,0 |
Каменная соль | 20 - 40 | 0,8 - 1,6 | 3,0 - 12,0 |
Пильные известняки | 2 - 8 | 0,3 - 1,2 | 0,5 - 4,0 |
Примечание - Для промежуточных значений  величины  и  определяются по интерполяции. |
(справочное)
МЕТОДИКА РАСЧЕТА УСИЛИЙ В КРЕПИ ВЫРАБОТОК
ОТ ВОЗДЕЙСТВИЯ СЕЙСМОВЗРЫВНЫХ ВОЛН
Е.1 Изгибающий момент M, МПа·см3 (кгс·см), в монолитной бетонной и железобетонной крепи сводчатого очертания поперечного сечения в выработках, пройденных в скальных и полускальных породах, определяется по формуле

(Е.1)
где

- эквивалентная статическая нагрузка, МПа (кгс/см
2), определяемая по формулам:

(Е.2)

(Е.3)
r0 - приведенный радиус выработки, равный 0,16 периметра поперечного сечения выработки, см;
Kр.о - коэффициент, учитывающий влияние реактивного отпора крепи на перемещение контура выработки, принимаемый по
таблице Е.1;
(в ред.
Изменения N 1, утв. Приказом Минстроя России от 18.12.2023 N 933/пр)

,

- коэффициенты, учитывающие жесткость крепи соответственно при изгибе и сжатии;
Kк - суммарный коэффициент концентрации напряжений на контуре выработки, определяемый по формулам:

(Е.4)

(Е.5)
где

- угол, град, учитывающий направление действия нагрузок, равный:

(Е.6)
Kpq - коэффициент концентрации сдвиговых напряжений, определяемый по
приложению Г.
Eп/Eб | 0,5 | 1,0 | 1,5 | 2 и более |
Kр.о | 1,6 | 1,3 | 1,2 | 1,0 |
Eп, Eб - модули упругости соответственно породы и бетона, МПа (кгс/см2).
Коэффициенты

и

вычисляют по формулам:

(Е.7)

(Е.8)
где
Kдф - коэффициент, учитывающий нелинейные деформативные свойства бетона, принимаемый по
таблице Е.2;
dк - толщина крепи, см;
rв - радиус круга, равновеликого по площади поперечному сечению выработки, см;

,

- коэффициенты, учитывающие влияние арматуры на жесткость крепи, вычисляемые по формулам:

(Е.9)

(Е.10)
где Eа - модуль упругости арматуры, принимаемый по справочным данным, МПа (кгс/см2);
l0 - расстояние от нейтральной оси крепи до центра тяжести продольной арматуры, см;
Fа - площадь поперечного сечения арматуры, см2.
| 1 | 3 | 5 | 7 и более |
Kдф | 0,9 | 0,8 | 0,7 | 0,5 |
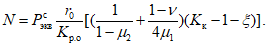
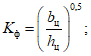
Е.2 Продольную силу N, МПа·см2 (кгс), в своде монолитной бетонной и железобетонной крепи в выработках, пройденных в скальных и полускальных породах, вычисляют по формуле

(Е.11)
Продольную силу в стенке необходимо принимать равной продольной силе в своде, умноженной на

(

- угол наклона сечения пяты свода относительно вертикальной оси выработки, град).
Е.3 Крепь выработок, расположенных в мягких грунтах, надлежит проверять на действие нагрузок - статической и от волны сжатия. Вертикальную эквивалентную статическую нагрузку от волны сжатия

, МПа (кгс/см
2), следует вычислять по формуле

(Е.12)
где K0 - коэффициент, учитывающий увеличение давления за счет отражения на границе мягких грунтов и крепи, принимаемый по таблице Е.3.
Таблица Е.3
| 0,1 | 0,4 | 0,6 | 0,8 | 1,0 |
K0 | 1,8 | 1,4 | 1,25 | 1,1 | 1,0 |
В таблице Е.3 Aгр и Aкр - акустическое сопротивление соответственно мягкого грунта и крепи, принимаются по справочным данным.
Усилия в крепи выработок, расположенных в мягких грунтах, определяют по правилам строительной механики.
(справочное)
ЗНАЧЕНИЯ КОЭФФИЦИЕНТОВ НЕСУЩЕЙ СПОСОБНОСТИ
ПОТОЛОЧИНЫ КАМЕР И МЕЖДУКАМЕРНЫХ ЦЕЛИКОВ
Таблица Ж.1
Горные породы | Kкр | Kц |
Изверженные и метаморфические: | | |
средненарушенные при расстоянии между трещинами от 0,5 до 1 м | 2,0 | 2,1 |
слабонарушенные при расстоянии между трещинами св. 1 м | 1,6 | 2,3 |
Гипсы | 1,4 | 2,3 |
Кристаллические известняки | 1,0 | 1,4 |
Угольных месторождений | 2,8 | 1,8 |
Многолетнемерзлые | 1,0 | 1,0 |
Горючие сланцы | 1,8 | 1,4 |
Соляные | 1,4 | 1,6 |
Каменная соль | 4,0 | 3,0 |
Пильные известняки (ракушечники) | 1,0 | 3,0 |
(справочное)
УКАЗАНИЯ ПО ПРОВЕДЕНИЮ ЗАМЕРОВ ПАРАМЕТРОВ
ЕСТЕСТВЕННОЙ ТЯГИ ВОЗДУХА В ВЫРАБОТКАХ
И.1 Для определения количества и устойчивости направления движения воздуха за счет естественной тяги замеры необходимо выполнять не реже двух раз в год: летом - в наиболее жаркий месяц и зимой - в наиболее холодный месяц.
И.2 Проведение замеров следует выполнять в течение одной смены. Режим работы вентиляторов главного проветривания до их остановки в нормальном режиме проветривания должен составлять не менее 1 ч. Замеры следует выполнять при остановленных вентиляторах после устойчиво установившегося движения вентиляционной струи.
Положение подземных вентиляционных сооружений должно быть таким же, как и при нормальном проветривании рудника (шахты). Герметизирующие устройства в устьях выработок, у которых расположены поверхностные вентиляторы, должны быть открыты.
Калориферные устройства должны не отключаться, но воздух, поступающий в рудник (шахту) под действием естественной тяги, не должен подогреваться до температуры свыше 2 °C.
(в ред.
Изменения N 1, утв. Приказом Минстроя России от 18.12.2023 N 933/пр)
И.3 Число замерных пунктов необходимо определять из условий фактической вентиляционной сети рудника (шахты): в основных воздухоподающих и воздуховыдающих выработках, в поступающих и исходящих на выемочные участки вентиляционных струях.
Замеры требуется проводить во всех выработках, выходящих на поверхность, в выработках околоствольных дворов, главных квершлагах и штреках, капитальных и панельных бремсбергах (уклонах), ходках и в других выработках, которые должны быть использованы под защитные сооружения.
(в ред.
Изменения N 1, утв. Приказом Минстроя России от 18.12.2023 N 933/пр)
В параллельных наклонных выработках, выходящих на поверхность и сбитых между собой, замеры следует производить в начале и конце выработок, а также после каждой из сбоек.
Места проведения замеров следует выбирать на прямолинейных, выдержанных по сечению и не загроможденных оборудованием и материалами участках выработок, на расстоянии 15 - 20 м от мест поступления (выхода), а также от мест разветвления (слияния) вентиляционных струй.
И.4 Замеры во всех выработках следует выполнять по возможности одновременно.
Для регистрации возможных изменений количества воздуха, в одной из выработок, выходящих на поверхность, следует проводить контрольные замеры через 15 - 30 мин в течение всего периода наблюдений. В остальных пунктах проводят один-два замера.
Контрольные замеры необходимо проводить в выработке, где предполагается наибольший расход воздуха. При невозможности измерения количества воздуха в выработке, выходящей на поверхность, контрольные замеры следует выполнять в одной из прилегающих к ней выработок.
И.5 В каждом замерном пункте требуется определять направление и скорость движения воздуха, площадь поперечного сечения выработки, температуру воздуха. В начале и конце замеров следует также определять температуру воздуха на поверхности (измеряется в тени).
В тот же период наблюдений необходимо осуществлять проверку состава воздуха методами экспресс-анализа на содержание метана, кислорода и углекислого газа, а для шахт (рудников), разрабатывающих залежи угля (руды), склонных к самовозгоранию, дополнительно на содержание оксида углерода и водорода. Допускается использование при определении вышеуказанных газов переносных приборов (газоанализаторы) эпизодического действия. Кроме того, в период наблюдений следует определять при помощи специализированных лабораторий содержание:
в зарядных камерах - водорода;
при отработке залежей угля (руды), склонных к самовозгоранию - оксида углерода и водорода;
в рудниках (шахтах) с выделением серосодержащих газов - сернистого ангидрида и сероводорода;
в рудниках (шахтах), опасных по нефтепроявлениям - газов группы тяжелых углеводородов;
в рудниках (шахтах) с выделением газов альдегидной и (или) акролеиновой групп - формальдегида и акролеина;
других вредных газов (веществ), для определения которых требуется специальное оборудование.
При определении перечисленных газов также определяется содержание метана, кислорода и углекислого газа.
И.6 Наблюдения необходимо проводить по программе, предусматривающей мероприятия по безопасному проведению работ. Запрещается совмещение проведения работ производственной программы в период выполнения наблюдений и замеров параметров естественной тяги воздуха.
И.7 Результаты наблюдений необходимо оформлять актом с выводами о возможности использования выработок для размещения защитного сооружения.
И.8 Во время проведения замеров в шахтах, опасных по газу, все электрические машины и аппараты должны быть отключены.
Допускается наличие электроэнергии для работы водоотливных установок в камерах водоотлива и в других выработках, в которых находятся под напряжением электрооборудование и кабели, при условии отключения электроэнергии стационарной автоматической аппаратурой контроля при содержании метана 1%.
И.9 Полученные данные о количестве и направлении движения воздуха, концентрации метана, углекислого газа, других вредных газов (веществ) содержащихся в выработках надлежит нанести на вентиляционный план и схему вентиляции рудника (шахты) к плану ликвидации аварий.
Примечание - При изменении схемы проветривания (объединение с другими шахтами, проведение новых или ликвидация действующих выработок, выходящих на поверхность, установка новых вентиляторов), а также при переходе работ на новый горизонт следует выполнять повторные замеры.
(справочное)
КОЭФФИЦИЕНТ БОКОВОГО СОПРОТИВЛЕНИЯ
Cx
Таблица К.1
Условие обтекания преграды гидравлическим потоком | Отношение b/c | Значение Cx |
| 1 | 2 |
| 2 | 2,2 - 2,3 |
| 2 | 1,8 - 2 |
| 0,5 | 1,1 - 1,2 |
| 1 | 2,2 |
| 1 | 1,3 - 1,4 |
| 1 | 1,4 |
[1] Федеральный
закон от 21 декабря 1994 г. N 68-ФЗ "О защите населения и территорий от чрезвычайных ситуаций природного и техногенного характера"
[2] Федеральный
закон от 21 июля 1997 г. N 116-ФЗ "О промышленной безопасности опасных производственных объектов"
[3] Федеральный
закон от 12 февраля 1998 г. N 28-ФЗ "О гражданской обороне"
[4] Федеральный
закон от 30 марта 1999 г. N 52-ФЗ "О санитарно-эпидемиологическом благополучии населения"
[5] Федеральный
закон от 22 июля 2008 г. N 123-ФЗ "Технический регламент о требованиях пожарной безопасности"
[6]
Постановление Правительства Российской Федерации от 29 ноября 1999 г. N 1309 "О Порядке создания убежищ и иных объектов гражданской обороны"
[7]
Приказ Федеральной службы по экологическому, технологическому и атомному надзору от 8 декабря 2020 г. N 507 "Об утверждении Федеральных норм и правил в области промышленной безопасности "Правила безопасности в угольных шахтах"
(в ред.
Изменения N 1, утв. Приказом Минстроя России от 18.12.2023 N 933/пр)
[8]
Постановление Правительства Российской Федерации от 16 сентября 2020 г. N 1479 "Об утверждении Правил противопожарного режима в Российской Федерации"
(в ред.
Изменения N 1, утв. Приказом Минстроя России от 18.12.2023 N 933/пр)
[9] ПУЭ Правила устройства электроустановок (7-е изд.)