- | нормативная нагрузка или нагрузка на опору расчетного воздушного судна; | |
nк | - | число колес на главной опоре; |
Pк | - | нагрузка на колесо; |
- | расчетная нагрузка на колесо; | |
Pэ | - | условная одноколесная нагрузка, эквивалентная воздействию опоры воздушного судна; |
q | - | давление в пневматиках; |
R | - | радиус круга, равновеликого площади отпечатка пневматика колеса; |
Rэ | - | радиус круга, равновеликого площади отпечатка пневматика колеса для одноколесной эквивалентной нагрузки; |
- | эквивалентное число приложений нагрузки i-го воздушного судна, приведенное к расчетному; | |
Н | - | число приложений расчетной нагрузки за весь срок службы; |
МI | - | изгибающий момент от действия колеса, центр отпечатка которого совпадает с расчетным сечением; |
- | изгибающий момент, создаваемый действием i-го колеса, расположенного за пределами расчетного сечения; | |
- | максимальный изгибающий момент от нагрузки при центральном загружении плиты; | |
Мр | - | расчетный изгибающий момент; |
Wц | - | прогиб в центре плиты; |
- | расчетный относительный прогиб от нагрузки; | |
- | предельный относительный прогиб от нагрузки; | |
- | сжимающие напряжения в бетоне в стадии предварительного обжатия; | |
- | наибольшее растягивающее напряжение при изгибе в слое нежесткого покрытия; | |
Ду | - | условный диаметр круга передачи нагрузки от покрытия на основание. |
np | - | коэффициент перегрузки; |
Кд | - | коэффициент динамичности; |
Кн | - | коэффициент, учитывающий увеличение изгибающего момента в плите вследствие неравномерного накопления остаточных деформаций в грунтовом и искусственном неупрочненных основаниях; |
Ки | - | коэффициент, учитывающий число приложений колесных нагрузок воздушных судов на жесткие покрытия; |
К | - | коэффициент, учитывающий увеличение изгибающих моментов в краевых зонах плит; |
К' | - | коэффициент, учитывающий увеличение изгибающих моментов в краевых зонах плит для двухслойных покрытий и конструкций усиления; |
Кx(y) | - | коэффициент, учитывающий перераспределение внутренних усилий в ортотропных плитах в зависимости от соотношения жесткостей в продольном и поперечном сечениях; |
Кm | - | поправочный множитель к коэффициенту условий работы, определяемый в зависимости от толщины верхнего слоя; |
m | - | коэффициент условий работы; |
- | коэффициент, учитывающий работу растянутого бетона между трещинами; | |
- | коэффициент, учитывающий неравномерность распределения деформаций крайнего волокна сжатой зоны сечения на участке между трещинами. |
Rри, Rти | - | расчетные сопротивления бетона растяжению при изгибе при расчете соответственно на прочность и по образованию трещин; |
Rа | - | расчетное сопротивление арматуры растяжению; |
- | расчетное сопротивление арматуры растяжению для предельных состояний второй группы; | |
- | величина предварительного напряжения в напрягаемой арматуре; | |
- | величина потерь предварительного напряжения в бетоне от трения; | |
- | суммарная величина потерь предварительного напряжения в напрягаемой арматуре; | |
Ro | - | передаточная прочность бетона; |
- | величины установившихся предварительных напряжений в напрягаемой арматуре, расположенной соответственно в растянутой и сжатой зонах сечения; | |
No | - | равнодействующая усилий в верхней и нижней напрягаемой арматуре относительно оси, проходящей через ядровую точку; |
Мя | - | момент равнодействующей No усилий в нижней и верхней напрягаемой арматуре относительно оси, проходящей через ядровую точку, наиболее удаленную от зоны сечения, трещинообразование которой проверяется; |
Мпр | - | предельный изгибающий момент расчетного сечения; |
aт | - | ширина раскрытия трещин; |
[aт] | - | предельно допустимая ширина раскрытия трещин; |
l | - | упругая характеристика плиты; |
C | - | расчетный коэффициент постели грунтового основания; |
Cэ | - | эквивалентный коэффициент постели многослойного основания; |
Eб | - | модуль упругости бетона; |
Eа | - | модуль упругости арматурной стали; |
Ei | - | модуль упругости материала i-го слоя; |
Eo | - | модуль упругости грунтового основания; |
Eэ | - | эквивалентный модуль упругости нежесткой конструкции; |
- | коэффициент Пуассона; | |
B | - | жесткость сечения плиты покрытия. |
b | - | расчетная ширина сечения плиты; |
h | - | толщина плиты; |
hi | - | толщина i-го слоя; |
ho | - | рабочая высота сечения; |
Wo | - | момент сопротивления бетонного сечения плиты; |
Fа, F'а | - | площади сечений ненапрягаемой арматуры, расположенной соответственно в растянутой и сжатой зонах сечения; |
Fн, F'н | - | площади сечений напрягаемой арматуры, расположенной соответственно в растянутой и сжатой зонах сечения; |
x | - | высота сжатой зоны бетонного сечения; |
d | - | диаметр арматурных стержней; |
a | - | расстояние от равнодействующей усилий в арматуре до ближайшей грани сечения; |
eон | - | эксцентриситет продольной силы N относительно центра тяжести бетонного сечения. |
1.1 (4.1). Основным условием при проектировании грунтовых оснований аэродромных покрытий является обеспечение устойчивости конструкций искусственных покрытий независимо от погодных условий и времени года, а также грунтовых и гидрогеологических условий участка строительства, в первую очередь путем определения соответствующего высотного положения проектной поверхности покрытий. Примечание. Требования настоящего раздела, изложенные для аэродромов, распространяются также на проектирование вертодромов. 1.2 (4.2). Грунтовые основания следует проектировать с учетом: деления территории Союза ССР на дорожно-климатические зоны в соответствии с данными рис. 1 и табл. 1; видов и свойств грунтов в районе строительства аэродрома. |

Номера зон | Примерные географические границы и краткая характеристика дорожно-климатических зон |
1 | 2 |
I | Севернее линии, соединяющей Мончегорск, Поной, Несь Ошкурья, Сухую Тунгуску, Канск, госграницу СССР и Биробиджан. Зона включает тундру, лесотундру и северо-восточную часть лесной зоны с распространением вечномерзлых грунтов |
II | К югу от границы I зоны до линии, соединяющей Львов, Житомир, Тулу, Горький, Ижевск, Кыштым, Томск, Канск, Биробиджан, Де-Кастри, границу с Китайской Народной Республикой. Зона включает географическую зону лесов с избыточным увлажнением грунтов, о. Сахалин и южную часть Камчатки |
III | К югу от границы II зоны до линии, соединяющей Кишинев, Кировоград, Белгород, Куйбышев, Магнитогорск, Омск, Бийск, Туран. Зона включает лесостепную географическую зону со значительным увлажнением грунтов в отдельные годы |
IV | К югу от границы III зоны до линии, соединяющей Джульфу, Степанакерт, Буйнакск, Кизляр, Волгоград, далее проходит южнее на 200 км линии, соединяющей Уральск, Актюбинск, Караганду и до северного побережья озера Балхаш. Зона включает географическую степную зону с недостаточным увлажнением грунтов |
V | Зона расположена к юго-западу и к югу от границы IV зоны и включает пустынную и пустынно-степную географические зоны с засушливым климатом и распространением засоленных грунтов |
Тип местности | Показатели увлажнения | |
1 - сухие места | Поверхностный сток обеспечен, грунтовые воды не оказывают существенного влияния на увлажнение верхней толщи грунтов естественного основания | |
2 - сырые места | Поверхностный сток не обеспечен, грунтовые воды залегают ниже глубины промерзания грунтов, почвы с признаками поверхностного заболачивания; весной и осенью появляется застой воды на поверхности | |
3 - мокрые места | Грунтовые воды или длительно стоящие (более 20 суток) поверхностные воды залегают выше глубины промерзания грунтов; почвы торфяные, оглеенные с признаками заболачивания | |
Примечания: 1. Для I дорожно-климатической зоны тип местности в каждом конкретном случае должен определяться при проведении изысканий с учетом места расположения элементов аэродрома (террасы рек и озер, тундра, лесотундра и т.д.), наличия торфомохового покрова, сплошности его распространения и толщины, наличия подземного льда, надмерзлотных вод и др. 2. Грунтовые воды не оказывают существенного влияния на увлажнение верхней толщи грунтов, если уровень грунтовых вод в предморозный период залегает ниже расчетной глубины промерзания: на 2 м и более - в глинах, суглинках пылеватых; на 1,5 м и более - в суглинках, супесях пылеватых; на 1 м и более - в супесях, песках пылеватых. | ||
1.3 (4.3). Минимальное возвышение дна корыта (поверхности грунтового основания) над уровнем грунтовых вод или верховодки для участков аэродрома, за исключением сложенных грунтами с особыми свойствами (вечномерзлыми, пучинистыми, просадочными, набухающими, засоленными, торфяными и слабыми глинистыми), следует принимать в соответствии с табл. 3 (16). Таблица 3 (16) | |||||
Виды грунтов основания (насыпи) | Минимальное возвышение дна корыта (поверхности грунтового основания или насыпи) над уровнем грунтовых вод или верховодки (в м) для аэродромов, располагаемых в пределах дорожно-климатических зон | ||||
II | III | IV | V | ||
Песок средней крупности | 0,8 | 0,7 | 0,6 | 0,5 | |
Песок мелкий, супесь | 1,3 | 0,9 | 0,9 | 0,8 | |
Песок, супесь, суглинок пылеватые | 2 | 1,6 | 1,5 | 1,4 | |
Глина, суглинок | 2 | 1,5 | 1,2 | 1,1 | |
Примечание. За расчетный уровень грунтовых вод следует принимать осенний уровень, а при отсутствии необходимых данных - наивысший возможный уровень, определяемый по верхней линии оглеения грунтов. 1.4 (4.6). Номенклатура грунтов, используемых для естественного основания, должна устанавливаться в соответствии с главой СНиП по проектированию оснований зданий и сооружений, а также главой СНиП по проектированию оснований и фундаментов на вечномерзлых грунтах. При этом глинистые грунты следует дополнительно подразделять на пылеватые разновидности (супесь пылеватая, суглинок пылеватый, глина пылеватая), в которых содержание пылеватых частиц размером 0,05 - 0,005 мм больше, чем песчаных в процентах от массы грунта. | |||||
Виды грунтов | Размер частиц, мм | Содержание частиц в процентах от общего веса сухого грунта |
1 | 2 | 3 |
Крупнообломочные: | ||
глыбовый (при преобладании окатанных камней - валунный) | Крупнее 200 | Более 50 |
щебенистый (при преобладании окатанных частиц - галечниковый) | Крупнее 10 | Более 50 |
дресвяной (при преобладании окатанных частиц - гравийный) | Крупнее 2 | Более 50 |
Песчаные: | ||
песок гравелистый | Крупнее 2 | Более 25 |
песок крупный | Крупнее 0,5 | Более 50 |
песок средней крупности | Крупнее 0,25 | Более 50 |
песок мелкий | Крупнее 0,1 | Более 75 |
песок пылеватый | Крупнее 0,1 | Более 75 |
Виды грунтов | Содержание песчаных частиц размером от 2 до 0,05 мм в процентах по массе | Число пластичности Wn |
Супесь | Более 50 | 1 < Wn <= 7 |
Супесь пылеватая | 20 - 50 | 1 < Wn <= 7 |
Суглинок | Более 40 | 7 < Wn <= 17 |
Суглинок пылеватый | Менее 40 | 7 < Wn <= 17 |
Глина | - | 17 < Wn <= 27 |
1.5 (4.7). Расчетные характеристики грунтов - коэффициент постели (для жестких покрытий) и модуль упругости (для нежестких покрытий) следует устанавливать для однородных грунтов по табл. 6 (17) и уточнять по данным полевых испытаний, для многослойных грунтовых оснований - по приложению 3 (1). |
Таблица 6 (17) | |||||||||||
Грунты естественного основания | Расчетные коэффициенты постели C (в кгс/см3) для дорожно-климатических зон | Модули упругости E (в кгс/см2) для дорожно-климатических зон | |||||||||
I | II | III | IV | V | I | II | III | IV | V | ||
Песок: | |||||||||||
гравелистый крупный | 16 | 16 | 16 | 17 | 18 | 1300 | 1300 | 1300 | 1300 | 1300 | |
средней крупности | 12 --- 11 | 13 --- 12 | 14 --- 13 | 15 --- 14 | 16 --- 15 | 1000 | 1200 | 1200 | 1200 | 1200 | |
мелкий | 7 ----- 6/5/ | 8 ----- 7/6/ | 8 ----- 7/6/ | 9 ----- 8/7/ | 10 ----- 9/8/ | 600 | 1000 | 1000 | 1000 | 1000 | |
пылеватый | 4 ----- 3/2/ | 6 ----- 5/4/ | 8 ----- 6/5/ | 10 ----- 7/6/ | 11 ----- 8/7/ | 300 | 500 | 500 | 500 | 500 | |
Супесь | 4 ----- 3/2/ | 6 ----- 5/4/ | 8 ----- 6/5/ | 10 ----- 7/6/ | 11 ----- 8/7/ | 300 | 390 ----------- 370 (350) | 420 ----------- 390 (390) | 450 ----------- 420 (420) | 450 ----------- 450 (420) | |
Глина, суглинок | 4 ----- 3/2/ | 5 ----- 4/3/ | 7 ----- 5/4/ | 8 ----- 6/5/ | 9 ----- 8/7/ | 200 | 280 -------------- 240* (210)* | 340 ------------- 280* (280) | 420 ----------- 340 (340) | 600 ----------- 420 (340) | |
Супесь и суглинок пылеватые | 3 ----- 2/1/ | 4 ----- 3/3/ | 5 ----- 4/3/ | 7 ----- 5/4/ | 8 ----- 6/5/ | 180 | 240* -------------- 210* (200)* | 280 -------------- 240* (240)* | 340 ----------- 280 (280) | 420 ----------- 340 (340) | |
Примечания: 1. Над чертой указаны значения коэффициентов постели и модулей упругости грунтов для местности 1 типа, под чертой - 2 типа, в скобках - 3 типа, приведенного ко 2 типу путем осушения, понижения уровня грунтовых вод и других инженерных мероприятий. 2. Приведенные значения коэффициентов постели связных грунтов соответствуют естественной плотности их сложения при коэффициенте пористости значения коэффициентов постели следует понижать на 35%.3. Если прогибы центра плиты превышают 2 мм, значения коэффициентов постели следует понижать на 30%. 4. Значения коэффициентов постели и модулей упругости грунтов для районов, расположенных восточнее линии, проходящей по рекам Волга и Северная Двина, за исключением районов V дорожно-климатической зоны, следует повышать на 20%. | |||||||||||
2.1 (5.1). Аэродромная конструкция, воспринимающая нагрузки и воздействия от воздушных судов, эксплуатационных и природных факторов, должна включать в себя: покрытие - верхний несущий слой, непосредственно воспринимающий нагрузки от колес воздушных судов, воздействия природных факторов (переменного температурно-влажностного режима, пучения или набухания подстилающих грунтов, многократного замораживания и оттаивания, влияния солнечной радиации, ветровой эрозии и др.), тепловые и механические воздействия газовых струй реактивных двигателей; искусственное основание - несущая часть аэродромной конструкции, обеспечивающая совместно с покрытием передачу нагрузок и воздействий на грунтовое основание и состоящая из отдельных конструктивных слоев, которые выполняют также дренирующие, противозаиливающие, морозотеплозащитные, гидроизолирующие, капилляропрерывающие и другие функции; грунтовое основание - спланированные и уплотненные местные или привозные грунты, воспринимающие распределенные нагрузки через вышележащую многослойную конструкцию покрытия и искусственного основания. 2.2 (5.2). Аэродромные покрытия следует подразделять: по характеру сопротивления действию нагрузок - на жесткие (бетонные, армобетонные, монолитные и сборные железобетонные) и нежесткие (асфальтобетонные; из прочных каменных материалов подобранного состава, обработанных органическими вяжущими; грунтощебеночные и грунтогравийные; грунтовые, обработанные минеральными или органическими вяжущими материалами); по сроку службы и степени совершенства - на капитальные (жесткие и асфальтобетонные покрытия), облегченные (из прочных щебеночных материалов подобранного состава, обработанных органическими вяжущими материалами) и переходные (из щебеночных и гравийных материалов, грунтов и местных материалов, обработанное органическими и минеральными вяжущими материалами). |
2.4 (5.3). Для жестких аэродромных покрытий следует предусматривать тяжелый бетон, отвечающий требованиям ГОСТ 8424-72 "Бетон дорожный" и настоящего Руководства. Проектные марки бетона должны соответствовать: по прочности на растяжение при изгибе - Ри 35, Ри 40, Ри 45, Ри 50, Ри 55, Ри 60, Ри 65, Ри 70, Ри 75, Ри 80; |
по морозостойкости - Мрз 50, Мрз 75, Мрз 100, Мрз 150, Мрз 200. При соответствующем технико-экономическом обосновании допускается применять мелкозернистый (песчаный) бетон. |
2.5 (5.4). Проектные марки бетона по прочности необходимо принимать не ниже указанных в табл. 7 (20). Таблица 7 (20) | |||
Элементы аэродромных покрытий | Минимальные проектные марки бетона по прочности | ||
на растяжение при изгибе | на сжатие | ||
1 | 2 | 3 | |
Однослойное покрытие: | |||
монолитное и сборное железобетонное предварительно напряженное, армированное проволочной арматурой или арматурными канатами; монолитное железобетонное предварительно напряженное, армированное стержневой арматурой; бетонное, армобетонное и железобетонное с ненапрягаемой арматурой | Ри 50 | М400 | |
сборное железобетонное предварительно напряженное, армированное стержневой арматурой | Ри 45 | М300 | |
Верхний слой двухслойного покрытия | Ри 50 | М400 | |
Нижний слой двухслойного покрытия и подшовные плиты | Ри 35 | М250 | |
Примечания: 1. Для железобетонных покрытий с ненапрягаемой арматурой проектную марку бетона следует предусматривать только по прочности на сжатие и принимать не ниже М400. 2. Для покрытий, рассчитанных под V и VI категории нормативных нагрузок, допускается принимать проектные марки бетона не ниже Ри 40 и М300. 3. Для анкеров монолитных предварительно напряженных железобетонных покрытий следует предусматривать бетон марки не ниже М300. Морозостойкость бетона должна быть при расчетной среднемесячной температуре наружного воздуха наиболее холодного месяца: для однослойного покрытия и верхнего слоя двухслойного покрытия от 0 °C до -5 °C не менее Мрз 100, от -5 °C до -15 °C " Мрз 150, от - 15 °C " Мрз 200; для нижнего слоя двухслойного покрытия от 0 °C до -5 °C не менее Мрз 50, от -5 °C до -15 °C " Мрз 75, ниже -15 °C " Мрз 100. Примечание. Расчетная среднемесячная температура наружного воздуха принимается в соответствии с главой СНиП по строительной климатологии и геофизике. | |||
Характеристики бетона | Значения характеристик бетона (в кгс/см2) при проектной марке по прочности на растяжение при изгибе | ||||||||||
Ри 35 | Ри 40 | Ри 45 | Ри 50 | Ри 55 | Ри 60 | Ри 65 | Ри 70 | Ри 75 | Ри 80 | ||
Нормативное сопротивление растяжению при изгибе | 35 | 40 | 45 | 50 | 55 | 60 | 65 | 70 | 75 | 80 | |
Расчетное сопротивление растяжению при изгибе при расчете: | |||||||||||
по прочности Rри | 23 | 28 | 31 | 35 | 38 | 42 | 45 | 49 | 52 | 56 | |
по образованию трещин Rти | - | - | 38 | 42 | 45 | 50 | 54 | 58 | 62 | 66 | |
Начальный модуль упругости Eб: | |||||||||||
тяжелого бетона | 265000 | 290000 | 310000 | 330000 | 360000 | 360000 | 380000 | 380000 | 390000 | 390000 | |
мелкозернистого (песчаного) бетона | 220000 | 235000 | 250000 | 265000 | - | - | - | - | - | - | |
2.9 (5.6). Вид и класс арматуры следует устанавливать в зависимости от типа покрытия и назначения арматуры. В качестве напрягаемой арматуры следует преимущественно применять: термически упрочненную арматурную сталь классов Ат-IV, Ат-V и Ат-VI, горячекатаную арматурную сталь классов А-V и А-IV - для плит сборных покрытий; высокопрочную арматурную проволоку классов В-II и Вр-II, арматурные канаты класса К-7 - для монолитных покрытий. В качестве ненапрягаемой арматуры следует применять обыкновенную арматурную проволоку классов Вр-I и В-I (в сварных сетках и каркасах), горячекатаную арматурную сталь периодического профиля класса А-II и А-III. В качестве монтажной, распределительной и конструктивной арматуры, а также для элементов стыковых соединений следует применять горячекатаную арматурную гладкую сталь класса А-I и обыкновенную арматурную гладкую проволоку класса Вр-I. |
Вид и класс арматуры | Нормативные | Расчетные сопротивления арматуры для предельных состояний первой группы Rа, кгс/см2 | Модуль упругости арматуры Eа, кгс/см2 |
1 | 2 | 3 | 4 |
Стержневая | |||
А-I | 2400 | 2300 | 2100000 |
А-II | 3000 | 2850 | 2100000 |
А-III диаметром, мм | |||
6 - 8 | 4000 | 3600 | 2000000 |
10 - 40 | 4000 | 3750 | 2000000 |
А-IV | 6000 | 5200 | 2000000 |
Ат-IVс | 6000 | 5200 | 1900000 |
А-V и Ат-V | 8000 | 6950 | 1900000 |
В-II диаметром, мм | |||
3 | 15200 | 12650 | 2000000 |
4 | 14400 | 12000 | 2000000 |
5 | 13600 | 11300 | 2000000 |
6 | 12800 | 10600 | 2000000 |
7 | 12000 | 10000 | 2000000 |
8 | 11200 | 9300 | 2000000 |
Вр-I диаметром, мм | |||
3 | 4200 | 3850 | 1700000 |
4 | 4150 | 3750 | 1700000 |
5 | 4050 | 3700 | 1700000 |
Вр-II диаметром, мм | |||
3 | 14400 | 12400 | 2000000 |
4 | 13600 | 11700 | 2000000 |
5 | 12800 | 10700 | 2000000 |
6 | 12000 | 10000 | 2000000 |
7 | 11200 | 9300 | 2000000 |
8 | 10400 | 8700 | 2000000 |
2.11 (5.7). Якорные фундаменты следует предусматривать из бетона марок М200 и М250. Для изготовления металлического анкера, заделываемого в бетон, и якорного кольца следует применять горячекатаную арматурную сталь класса А-I марки ВСт3сп2, а также класса А-II марки 10ГТ, класса А-III марки 25Г2С и класса А-IV марки 20ХГ2Ц. При расчетной температуре наружного воздуха наиболее холодной пятидневки ниже -40 °C применять арматуру класса А-I не допускается. 2.12 (5.8). В качестве материалов для заполнения деформационных швов жестких покрытий должны применяться полимерные герметики, укладываемые в холодном состоянии, резинобитумные вяжущие, битумно-полимерные мастики, укладываемые в горячем состоянии, или готовые эластичные прокладки, удовлетворяющие требованиям, предъявляемым к материалам для герметизации швов жестких покрытий. 2.13 (5.9). Асфальтобетонные покрытия необходимо предусматривать из асфальтобетонных смесей, отвечающих требованиям ГОСТ "Смеси асфальтобетонные дорожные, аэродромные и асфальтобетон. Технические требования" и удовлетворяющих прочностным характеристикам, приведенным в табл. 10 (22). Таблица 10 (22) | |||||||
Асфальтобетонные смеси для нежестких покрытий | Модуль упругости Eа (в кгс/см2) при температуре асфальтобетона, °C | Сопротивление растяжению при изгибе Rри (в кгс/см2) при расчетной температуре асфальтобетона, °C | |||||
+10 | +20 | +30 | +10 | +20 | +30 | ||
Плотные: | |||||||
горячие и теплые марок: | |||||||
I | 15000 | 10000 | 7000 | 28/24 | 25/21 | 21/18 | |
II | 12000 | 8000 | 5000 | 22/19 | 20/17 | 17/14,5 | |
III | 9000 | 6000 | 4000 | 21/18 | 19/16 | 16/13,5 | |
IV | 6000 | 4000 | 3000 | 13/11 | 12/10 | 10/8,5 | |
холодные марок: | |||||||
I | 7000 | 4500 | 3000 | 15/13 | 13,5/11,5 | 11/9,5 | |
II | 5500 | 3500 | 2500 | 12/10 | 11/9,5 | 9/7,5 | |
Пористые: | |||||||
горячие и теплые | 9000 | 6000 | 4000 | 17/14,5 | 15/13 | 13/11 | |
холодные | 4500 | 3000 | 2000 | 10,5/9 | 9,5/8 | 8/7 | |
Примечания: 1. В числителе указаны значения сопротивления асфальтобетона растяжению при изгибе при среднесуточном числе приложений колесных нагрузок главных опор по одному следу до 50, в знаменателе - свыше 50. 2. Под расчетной температурой асфальтобетона следует понимать максимальную температуру покрытия в период года, когда несущая способность грунтового основания наименьшая. При отсутствии данных непосредственных наблюдений за температурой покрытия в указанный период расчетную температуру асфальтобетона допускается принимать во II дорожно-климатической зоне +10 °C, в III зоне +15 °C, в IV зоне +20 °C, в V зоне +30 °C. |
2.14 (5.38). Верхние слои асфальтобетонного покрытия следует предусматривать из плотных асфальтобетонных смесей, нижние слои - из плотных или пористых асфальтобетонных смесей. Вид, марку и тип асфальтобетонных смесей для верхних слоев покрытия, а также соответствующую марку битума следует принимать по ГОСТ 9128-76 в зависимости от категории нормативной нагрузки, элементов аэродрома (вертодрома) и дорожно-климатической зоны по табл. 11. |
Категории нормативной нагрузки | Дорожно-климатические зоны | Вид смесей | Марки и типы асфальтобетонных смесей для верхнего слоя покрытия | |
ВПП, магистральные РД | Остальные участки | |||
1 | 2 | 3 | 4 | 5 |
I - II | I | горячие | I А, Б | I, II А, Б, Г |
теплые | I А, Б | I, II А, Б, Г | ||
II - V | горячие | I А, Б | I, II А, Б, Г | |
III | I | горячие | I А, Б, Г | I, II А, Б, В, Г |
теплые | I А, Б, Г | I, II А, Б, В, Г | ||
II - V | горячие | I А, Б, Г | I, II А, Б, В, Г | |
IV | I | горячие | I, II А, Б, В, Г | II А, Б, В, Г |
теплые | I, II А, Б, В, Г | III Б, В | ||
II - III | горячие | I, II А, Б, В, Г | II А, Б, В, Г, III Б, В | |
теплые | не применяют | II А, Б, В, Г | ||
IV - V | горячие | I А, Б, В, Г, II А, Б, Г | II А, Б, В, Г, III Б, В | |
теплые | не применяют | II А, Б, В, Г | ||
V | I | горячие | II А, Б, В, Г, III Б, В | III Б, В, Д |
теплые | III А, Б, В, Г | III Б, В | ||
II - III | горячие | II А, Б, В, Г, III Б, В | III Б, В, Д | |
теплые | II А, Б, В, Г | II Б, В | ||
холодные | не применяют | I Бх, Вх, Дх | ||
IV - V | горячие | II А, Б, В, Г, III Б, В | III Б, В | |
теплые | II А, Б, В, Г | II В, III Б, В | ||
холодные | не применяют | I Бх, Вх, Дх | ||
VI | I | горячие | III Б, В | IV Б, В, Д |
теплые | III Б, В | IV Б, В, Д | ||
II - III | горячие | III Б, В | IV Б, В, Д | |
теплые | III Б, В | IV Б, В, Д | ||
холодные | не применяют | I, II Бх, Вх, Дх | ||
IV - V | горячие | III Б, В | IV Б, В, Д | |
теплые | II Б, III Б, В | IV Б, В, Д | ||
холодные | не применяют | I, II Бх, Вх, Дх | ||
ИС МЕГАНОРМ: примечание. Текст дан в соответствии с официальным текстом документа. |
Категории нормативной нагрузки | Дорожно-климатические зоны | Марки асфальтобетона для нижнего слоя покрытия | |
ВПП, магистральные РД | Остальные участки покрытия | ||
I - II | I | I, II | I, II, III, IV |
II - III | II, III | II, III, IV | |
IV - V | II, III | III, IV | |
III - IV | I | II, III | III, IV |
II - III | II, III | III, IV | |
IV - V | III, IV | III, IV | |
V - VI | I | III, IV | III, IV |
II - III | III, IV | III, IV | |
IV - V | IV | IV | |
2.16 (5.10). Для искусственных оснований жестких монолитных и сборных покрытий и термоизоляционных слоев следует применять мелкозернистый (песчаный) бетон, керамзитобетон и шлакобетон (с заполнителем из металлургического шлака), а также щебень, гравий, песчано-гравийные, грунтогравийные и грунтощебеночные смеси и другие местные материалы и грунты, обработанные и не обработанные вяжущими материалами. |
2.17 (5.10). Для верхних слоев искусственных оснований под асфальтобетонные покрытия должны применяться щебеночные и гравийные материалы, обработанные и не обработанные вяжущими материалами, а для нижних слоев - грунты и малопрочные каменные материалы, обработанные вяжущими. |
2.19 (5.10). Нормативные и расчетные значения прочностных характеристик материалов, применяемых для устройства искусственных оснований жестких и нежестких покрытий, следует принимать по табл. 13 - 16 (23 - 26). Морозостойкость искусственных оснований из бетона должна быть при расчетной среднемесячной температуре наружного воздуха наиболее холодного месяца: от -5 °C не менее Мрз 25, ниже -5 °C не менее Мрз 50. |
Бетон конструктивных слоев искусственных оснований для жестких покрытий | Проектная марка бетона по прочности на растяжение при изгибе | Расчетное сопротивление растяжению при изгибе Rри, кгс/см2 | Начальный модуль упругости Eб, кгс/см2 | |
Керамзитобетон | Ри 20 | 12 | 120000 | |
Ри 25 | 15 | 130000 | ||
Ри 30 | 18 | 140000 | ||
Ри 35 | 21 | 150000 | ||
Мелкозернистый (песчаный) бетон | Ри 20 | 12 | 140000 | |
Ри 25 | 15 | 170000 | ||
Ри 30 | 18 | 200000 | ||
Шлакобетон | Ри 20 | 12 | 95000 |
Таблица 14 (24) | ||||
Материал конструктивных слоев искусственных оснований для жестких покрытий | Прочностные характеристики пескоцемента и грунтоцементов (кгс/см2) при содержании цемента марки 400, % от массы песка (грунта) оптимальной влажности | |||
10 | 12 | 16 | ||
Модуль упругости E | ||||
Пескоцемент | 29000 | 40000 | 60000 | |
Грунтоцемент, приготовленный с использованием: | ||||
оптимальных грунтовых смесей | 29000 | 40000 | 60000 | |
супесчаных и суглинистых грунтов | 15000 | 22000 | 37000 | |
пылеватых супесей и суглинков | 9000 | 14000 | 19000 | |
Расчетное сопротивление растяжению при изгибе Rри | ||||
Пескоцемент | 6 | 8 | 10 | |
Грунтоцемент | 5 | 6 | 8 | |
Примечания: 1. Значения модулей упругости и расчетных сопротивлений растяжению при изгибе приведены для материалов, получаемых способом перемешивания на месте. Для материалов, получаемых путем смешения в установке, приведенные значения E и Rри следует повышать на 30%; при укреплении грунта цементом марки 300 расчетные значения E и Rри следует понижать на 25%. 2. Для искусственных оснований нежестких покрытий значения модуля упругости следует умножать для грунтоцемента, изготовленного из оптимальных грунтовых смесей и пескоцемента, на коэффициент 0,16, для остальных грунтоцементов - на 0,24. 3. При расчете нежестких покрытий модули упругости грунтов, обработанных известью, золами уноса, битумными эмульсиями и другими вяжущими материалами, должны приниматься в соответствии с "Инструкцией по применению грунтов, укрепленных вяжущими материалами, для устройства оснований и покрытий автомобильных дорог и аэродромов". | ||||
Таблица 15 (25) | |||
Материал конструктивных слоев искусственных оснований для жестких и нежестких покрытий | Модуль упругости E, кгс/см2 | ||
1 | 2 | ||
Щебень из природного камня, уложенный по принципу расклинцовки, с пределом прочности при сжатии исходного скального грунта (кгс/см2) не менее: | |||
1000 | 4500 | ||
800 | 3500 | ||
600 | 3000 | ||
Нефракционированный щебень и гравий с пределом прочности при сжатии не ниже 600 кгс/см2, содержащие частицы, %: | |||
крупнее 2 мм | мельче 0,05 мм | ||
более 85 | до 3 | 2600 - 2900 | |
" 70 | " 7 | 2000 - 2300 | |
" 60 | " 10 | 1700 - 2000 | |
" 50 | " 12 | 1500 - 1700 | |
Щебень, обработанный вязким битумом или дегтем смешением в установке, с пределом прочности при сжатии, кгс/см2: | |||
800 - 1000 | 6000 - 9000 | ||
600 - 800 | 5000 - 6000 | ||
300 - 600 | 3000 - 5000 | ||
Щебень, обработанный вязким битумом способом пропитки на толщину 6,5 - 8 см | 5000 - 6000 | ||
Песок: | |||
гравелистый | 1400 - 1500 | ||
крупный | 1300 | ||
средней крупности | 1200 | ||
Кислые металлургические шлаки, уложенные по принципу расклинцовки | 4000 - 4500 | ||
Основные металлургические шлаки гранулометрического состава: | |||
подобранного | 3500 - 4000 | ||
неподобранного | 2500 - 3000 | ||
Дресва: | |||
из изверженных горных пород | 1300 - 1500 | ||
из осадочных известняков и мелкий ракушечник | 800 - 1000 | ||
Малопрочные песчаники | 1100 - 1200 | ||
Примечание. Меньшие значения модуля упругости материалов указаны для II дорожно-климатической зоны, - для IV и V зон. Для III дорожно-климатической зоны следует принимать промежуточные значения модуля упругости. | |||
Таблица 16 (26) | |||||||
Гранулометрический состав материалов конструктивных слоев искусственных оснований для жестких и нежестких покрытий | Модуль упругости E, кгс/см2 | ||||||
Грунтогравийные смеси для дорожно-климатических зон | Грунтощебеночные смеси для дорожно-климатических зон | ||||||
II | III | IV, V | II | III | IV, V | ||
1 | 2 | 3 | 4 | 5 | 6 | 7 | |
Крупнозернистые (масса частиц крупнее 10 мм составляет более 50%) | 2800 ------- 7500 | 2800 ------- 7500 | 3000 ------- 7500 | 3000 ------- 8000 | 3000 ------- 8000 | 3500 ------- 8000 | |
Среднезернистые (масса частиц крупнее 2 мм составляет более 50%) | 2100 ------- 6500 | 2500 ------- 6500 | 2800 ------- 6500 | 2500 ------- 7500 | 2800 ------- 7500 | 3000 ------- 7500 | |
Мелкозернистые (масса частиц крупнее 2 мм составляет 25 - 50%) | 1500 ------- 4500 | 1800 ------- 5000 | 2100 ------- 5500 | 1800 ------- 5000 | 2100 ------- 5500 | 2500 ------- 6000 | |
Примечание. Над чертой приведены значения модулей упругости необработанных материалов, под чертой - материалов, обработанных битумом. | |||||||
N п/п | Материал конструктивного слоя нежесткого покрытия, обработанного органическими вяжущими | Модуль упругости E, кгс/см2 | Предельное сопротивление растяжению при изгибе Rри, кгс/см2 | Примечание |
1 | 2 | 3 | 4 | 5 |
1 | Подобранные смеси из щебеночных материалов, обработанных вязким битумом или дегтем по способу пропитки для щебня с пределом прочности не менее, кгс/см2 | значения модулей соответствуют битуму марки БНД 90/130 или каменноугольному дегтю Д-7, ДС-7 | ||
800 | 5000 - 6000 | 10,5 - 12 | ||
600 | 4000 - 5000 | 9 - 10,5 | ||
Щебеночные или гравийные смеси, обработанные жидким битумом, дегтем или битумной эмульсией: смешением на месте | 2500 - 3000 | - | значения принимаются при обработке гравийных смесей | |
3 | То же, в установке | 3000 - 5000 | ||
4 | Малопрочные местные каменные материалы, в том числе отходы камнедробления в смеси с песком или супесью, обработанные битумом или дегтем | 2000 - 3500 | 3 - 5 | значения при смешении в установке |
5 | Малопрочные местные каменные материалы, в том числе отходы камнедробления, в смеси с песком или супесью, укрепленные портландцементом | 3000 - 4500 | 4 - 5 | |
6 | Грунты оптимального зернового состава, обработанные жидкими органическими вяжущими в количестве, % | При смешении в установке модули упругости могут быть повышены на 20% | ||
6 | 1800 | - | То же | |
8 | 2500 | - | " | |
Супесчаные непылеватые грунты, обработанные органическими вяжущими в количестве, % | ||||
8 | 1800 | - | " | |
10 | 2200 | - | " | |
8 | Суглинистые грунты, обработанные органическими вяжущими в количестве, %: | При смешении в установке модули упругости могут быть повышены на 20% | ||
10 | 1500 | - | ||
12 | 1800 | - |
Материал конструктивного слоя нежесткого покрытия, обработанного неорганическими вяжущими | Модуль упругости E, кгс/см2 | Предельное сопротивление растяжению при изгибе Rри, кгс/см2 |
1 | 2 | 3 |
Подобранные щебеночные и гравийные материалы оптимального состава с пределом прочности не менее 600 кгс/см2, укрепленные портландцементом, в количестве, %: | ||
4 | 4000 | 3 |
6 | 6000 | 4,5 |
8 | 8000 | 5,5 |
Гравийно-песчаные смеси либо дресва изверженных горных пород, укрепленные портландцементом, в количестве, %: | ||
4 | 1800 | 1,6 |
6 | 3000 | 3,0 |
8 | 4000 | 3,5 |
10 | 5000 | 4,5 |
Грунты, укрепленные портландцементом, в количестве, %: | ||
суглинки, супеси пылеватые: | ||
8 | 2000 | 2,0 |
легкие супеси, пески мелкие (кроме одномерных) и пылеватые: | ||
6 | 1800 | 1,6 |
8 | 2800 | 3,0 |
пески гравелистые, крупные и среднезернистые: | ||
6 | 3000 | 3,0 |
8 | 4000 | 3,5 |
Грунты оптимального зернового состава, укрепленные портландцементом в количестве, %: | ||
6 | 2000 | 1,6 |
8 | 3000 | 3,0 |
Категории нормативной нагрузки для аэродромов | Величина нормативной нагрузки | Внутреннее давление воздуха в пневматиках колес q, кгс/см2 | Тип основной опоры | |
В/к | 85 | 10 | Четырехколесная | |
I | 70 | 10 | ||
II | 55 | 10 | ||
III | 40 | 10 | ||
IV | 30 | 10 | ||
V | 8 | 6 | Одноколесная | |
VI | 5 | 4 | ||
Примечания: 1. Расстояния между пневматиками условной четырехколесной опоры приняты равными между смежными колесами 70 см и рядами колес 130 см. 2. Нормативные нагрузки III и VI категорий допускается устанавливать одноколесными, равными соответственно 17 и 12 тс, а давление в пневматиках для V и VI категорий нагрузки - равным 8 кгс/см2. | ||||
Таблица 20 (38) | |||
Весовые категории вертолетов | Величина нормативной нагрузки | Внутреннее давление воздуха в пневматиках колес q, кгс/см2 | |
Тяжелые | 17 | 7 | |
Средние | 6 | 6 | |
Легкие | 2 | 4 | |
Примечание. Основная опора относится к одноколесному типу. | |||
3.2 (5.11). Типы аэродромных покрытий в зависимости от категории нормативной нагрузки (для аэродромов) или весовой категории вертолетов (для вертодромов) следует выбирать в соответствии с табл. 21 (27). Таблица 21 (27) | |||||||||||
Типы аэродромных покрытий | Область применения покрытий различных типов | ||||||||||
для аэродромов в зависимости от категорий нормативных нагрузок | для вертодромов в зависимости от весовой категории вертолетов | ||||||||||
В/к | I | II | III | IV | V | VI | тяжелые | средние | легкие | ||
Монолитные железобетонные предварительно-напряженные и с ненапрягаемой арматурой; двухслойные с верхним слоем из бетона или армобетона | + | + | + | - | - | - | - | - | - | - | |
Армобетонные однослойные | + | + | + | + | - | - | - | + | - | - | |
Бетонные однослойные | + | + | + | + | + | - | - | + | + | - | |
Сборные из предварительно-напряженных железобетонных плит | - | - | + | + | + | - | - | + | + | - | |
Асфальтобетонные | - | - | + | + | + | + | + | + | + | + | |
Облегченные и переходные | - | - | - | - | + | + | + | - | + | + | |
Примечания: 1. Знак "плюс" означает целесообразность, а знак "минус" - нецелесообразность применения конструкции покрытия данного типа. 2. Сборные покрытия из железобетонных предварительно-напряженных плит следует преимущественно применять: на участках, подверженных неравномерному пучению или просадкам; при реконструкции аэродромов; при необходимости строительства покрытий в сжатые сроки; на участках, где не могут быть эффективно использованы бетоноукладочные машины; при строительстве покрытий при отрицательных температурах наружного воздуха. | |||||||||||
Сборные покрытия из предварительно-напряженных железобетонных дорожных плит типа ПДГ-2-6с и ПДГ-1,5-6с толщиной 14 см допускается применять при соответствующем технико-экономическом обосновании на участках группы Г взлетно-посадочных полос аэродромов под IV категорию нормативной нагрузки. | |||||||||||
3. При соответствующем технико-экономическом обосновании допускается применять монолитные железобетонные покрытия - для III категории нормативной нагрузки на участках с пучинистыми и просадочными грунтами; монолитные бетонные однослойные покрытия - для V и VI категорий нормативных нагрузок; асфальтобетонные покрытия - для I категории нормативной нагрузки. | |||||||||||
3.3 (5.12). Аэродромные покрытия следует проектировать для аэродромов (вертодромов), располагаемых на участках местности 1 и 2 типов всех дорожно-климатических зон. При необходимости строительства аэродромных покрытий на участках местности 3 типа следует предусматривать соответствующие инженерные мероприятия (осушение, понижение уровня грунтовых вод, возведение насыпей и др.) для приведения имеющихся гидрогеологических условий к условиям местности 2 типа. |

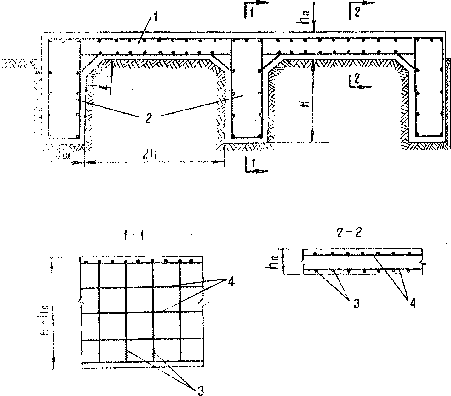
3.5 (5.14). Требуемые толщины конструктивных слоев жестких покрытий следует определять путем расчета в соответствии с установленной категорией нормативной нагрузки и принимать не менее для конструктивных слоев из предварительно-напряженного железобетона - 14 см; из предварительно-напряженного железобетона с двухосным обжатием при укладке поперечной арматуры в каналах 18 - см; из железобетона с ненапрягаемой арматурой, армобетона и бетона - 16 см. Примечание. Для двухслойных покрытий и при усилении покрытий бетоном или армобетоном минимальную толщину слоя следует принимать не менее 20 см. 3.6 (5.15). Максимальную толщину однослойных жестких покрытий следует назначать, исходя из технической возможности бетоноукладочных комплектов и принятой технологии строительства. В случаях, когда по расчету требуется толщина покрытия больше допустимой, следует проектировать двухслойные покрытия. Двухслойные покрытия, кроме того, следует предусматривать при наличии местных строительных материалов, не пригодных для верхнего, но допускаемых для нижнего слоя покрытия. 3.7 (5.16). Для двухслойных жестких покрытий необходимо предусматривать разделительную прослойку между слоями, в качестве которой следует использовать пергамин и другие рулонные материалы, а также пленки из полимерных материалов, уложенные в два слоя. 3.8 (5.17). Для монолитных предварительно-напряженных железобетонных покрытий следует предусматривать обжатие бетона в продольном направлении (одноосное обжатие) или в продольном и поперечном направлениях (двухосное обжатие). 3.9 (5.18). Площадь напрягаемой арматуры в сечении плиты необходимо определять путем расчета; при этом величина предварительного напряжения в бетоне должна быть не менее 20 кгс/см2 в продольном направлении и не менее 10 кгс/см2 - в поперечном. 3.10 (5.19). Продольную напрягаемую арматуру следует размещать в один или два ряда; при этом расстояние в плане между группами проволок или арматурными канатами должно быть не менее 8 см. 3.11 (5.20). Поперечную напрягаемую арматуру следует размещать в один ряд. Поперечную ненапрягаемую арматуру в покрытиях с одноосным обжатием следует располагать в два ряда при шаге не более 30 см. 3.12 (5.21). Для временного восприятия усилий от продольной арматуры, напрягаемой до бетонирования покрытия и набора бетоном необходимой прочности, в конце и начале каждой захватки (через 500 - 700 м) следует устанавливать анкеры. Размеры технологических разрывов в местах расположения анкеров необходимо назначать с учетом размеров анкерных упоров и габаритов оборудования, применяемого для натяжения арматуры. В пределах технологических разрывов следует предусматривать устройство армобетонного или железобетонного покрытия расчетной толщины. 3.13 (5.22). Толщина защитного слоя в монолитных железобетонных покрытиях должна быть не менее 40 мм для верхней арматуры и 30 мм - для нижней. 3.14 (5.23). Армобетонные покрытия при толщине плит до 30 см следует армировать сетками из стержневой арматуры диаметром 10 - 14 мм, а при толщине плиты более 30 см - из арматуры диаметром 14 - 18 мм. Сетки следует располагать на расстоянии от поверхности, равном 1/3 - 1/2 толщины плиты. Продольное армирование плит (степень насыщения бетона арматурой) следует принимать в пределах 0,10 - 0,15%, а шаг стержней - в пределах 15 - 40 см. |
3.15 (5.24). Для армирования железобетонных покрытий с ненапрягаемой арматурой надлежит применять арматуру диаметром 12 - 18 мм в виде сварных каркасов. Необходимую площадь сечения арматуры следует определять расчетом; при этом процент армирования должен быть не менее 0,25. Арматуру необходимо размещать в продольном и поперечном направлениях в верхней и нижней зонах сечения плиты в соответствии с эпюрой изгибающих моментов. Расстояние между стержнями в зависимости от требуемой площади арматуры и принятого диаметра стержней следует принимать в пределах 10 - 30 см. |
3.16 (5.25). Участки обочин, примыкающие к покрытиям ИВПП, РД, МС и перронов и подвергающиеся воздействию газовых и воздушных струй от двигателей воздушных судов, а также возможным нагрузкам от аэродромных, транспортных и эксплуатационных средств, следует укреплять покрытиями, виды и область применения которых приведены в табл. 22 (28). 3.17 (5.26). Толщину покрытий для укрепления обочин следует принимать равной минимально допускаемой для материала данного конструктивного слоя. При необходимости обеспечения систематического проезда по укрепленным участкам обочин аэродромных, транспортных и эксплуатационных средств толщину покрытия обочин следует определять путем расчета. |
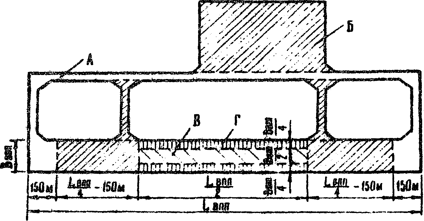
Толщину покрытий укрепляемых участков, примыкающих к торцам ИВПП, необходимо рассчитывать как для участков группы Г (см. рис. 2). |
Покрытие | Область применения покрытий для участков, примыкающих к торцам ИВПП при категориях нормативной нагрузки | Область применения покрытий для укрепляемых обочин РД, МС и перронов, а также отмосток ИВПП при категориях нормативной нагрузки | |||||||||||
В/к | I | II | III | IV | V | В/к | I | II | III | IV | V | ||
Монолитное бетонное, сборное из железобетонных плит | + | + | + | - | - | - | - | - | - | - | - | - | |
Асфальтобетонное из среднезернистых смесей | + | + | + | + | + | - | + | + | + | + | - | - | |
Из каменных материалов, обработанных вяжущими | - | - | - | + | + | + | - | - | - | + | + | + | |
Из местных грунтов, обработанных вяжущими | - | - | - | + | + | + | - | - | - | - | + | + | |
Примечания: 1. Знак "плюс" означает целесообразность, а знак "минус" - нецелесообразность применения конструкции покрытия данного типа. 2. При соответствующем технико-экономическом обосновании для укрепления обочин РД при В/к, I и II категориях нормативных нагрузок, допускается применение монолитных бетонных покрытий. 3.18 (5.27). Между плитами и искусственным основанием жестких монолитных покрытий следует предусматривать разделительные прослойки из битуминизированной бумаги, пергамина, пленочных полимерных материалов. При устройстве, сборных покрытий из предварительно-напряженных железобетонных плит, укладываемых на основания всех типов, кроме песчаных, следует предусматривать выравнивающую прослойку из сухой пескоцементной смеси толщиной 2 - 4 см. Разделительная прослойка в этом случае не предусматривается. | |||||||||||||
3.21 (5.28). При проектировании искусственных оснований из крупнозернистых материалов, укладываемых непосредственно на глинистый, суглинистый и пылеватый грунт, должна быть предусмотрена противозаиливающая изолирующая прослойка из песка, шлака, обработанного вяжущими естественного грунта и других материалов, не переходящих в пластическое состояние при увлажнении, которая исключала бы возможность проникания грунта основания при его увлажнении в слой крупнопористого материала. Толщина изолирующей прослойки должна быть не менее размера наиболее крупных частиц используемого материала, но не менее 5 см. 3.22 (5.29). Для местности 2 типа, когда грунтами естественного основания являются глины, суглинки, суглинки и супеси пылеватые, в конструкциях искусственных оснований следует предусматривать дренирующие слои из песков крупной и средней крупности с коэффициентом фильтрации не менее 7 м/сут. и толщиной в соответствии с табл. 23 (29). Таблица 23 (29) | ||||
Грунты естественного основания | Минимальная толщина (в см) дренирующего слоя для дорожно-климатических зон | |||
II | III | IV | ||
Глина, суглинок | 25 ---- 35 | 25 ---- 30 | 15 ---- 15 | |
Суглинок и супесь пылеватые | 35 ---- 50 | 30 ---- 40 | 15 ---- 20 | |
3.23 (5.30). Жесткие аэродромные покрытия следует расчленять на отдельные плиты деформационными швами. Размеры плит должны устанавливаться в зависимости от местных климатических условий и в соответствии с намечаемой технологией производства строительных работ. 3.24 (5.31). Расстояния между поперечными деформационными швами не должны превышать для покрытий: |
бетонных толщиной менее 30 см ................. 5 м; |
то же, толщиной 30 см и более ................. 7,5 м; |
железобетонных монолитных ..................... 20 м; |
армобетонных при годовой амплитуде среднесуточных температур: |
45 - 65 °C .................................... 10 м; |
менее 45 °C ................................... 15 м; |
сборных из железобетонных предварительно-напряженных плит при годовой амплитуде среднемесячных температур: |
более 45 до 65 °C ............................. 12 м; |
30 - 45 °C .................................... 18 м; |
менее 30 °C ................................... 24 м. |
Совмещение поперечных швов в смежных полосах покрытия следует предусматривать вне зависимости от длины плит. |
Примечание. Годовую амплитуду среднесуточных температур следует вычислять как разницу средних температур воздуха наиболее жаркого и наиболее холодного месяцев года, определяемых в соответствии с главой СНиП по строительной климатологии и геофизике. 3.25 (5.32). Длина плит нижнего бетонного слоя двухслойных жестких покрытий должна быть не более 10 м. |
3.26 (5.33). Продольные деформационные швы монолитных покрытий всех типов, кроме бетонных, следует совмещать с технологическими швами. В бетонных покрытиях толщиной менее 30 см расстояние между продольными деформационными швами должно быть 3,5 - 5 м. Продольные деформационные швы в сборных покрытиях предусматривать не следует. Примечание. К технологическим швам относятся швы, устройство которых обусловливается шириной захвата бетоноукладочных машин и возможными перерывами в строительном процессе. |
Таблица 24 (30) | |||||||||
Толщина плит жесткого покрытия, см | Диаметр штырей, мм | Длина штырей, см | Расстояние в сквозных швах между штырями (шаг), см | Расстояние в ложных швах между штырями (шаг), см | |||||
прямых | изогнутых | прямых | изогнутых | прямыми | изогнутыми | прямыми | изогнутыми | ||
20 и менее | 22 | 12 | 40 | 42 | 30 | 50 | 45 | 50 | |
22 - 30 | 22 | 14 | 50 | 46 | 25 | 50 | 35 | 50 | |
32 - 40 | 22 | 16 | 60 | 50 | 20 | 50 | 30 | 50 | |
Вместо устройства стыковых соединений допускается предусматривать усиление краевых участков плит армированием или утолщением. Армирование краевых участков бетонных и армобетонных плит покрытий следует производить согласно табл. 25 (31). Необходимую площадь арматуры для краевых участков железобетонных плит с ненапрягаемой арматурой следует определять путем расчета в соответствии с величинами изгибающих моментов. Ширину зоны усиления краевых участков плит следует принимать равной 0,8l, где l - упругая характеристика плиты, определяемая согласно п. 3.51 (5.53). Примечания: 1. Продольные швы в монолитных железобетонных предварительно-напряженных покрытиях с двухосным обжатием устраиваются без стыковых соединений и усиления краевых участков. | |||||||||

Толщина плит жесткого покрытия, см | Количество стержней арматуры класса А-II в верхней и нижней зонах сечения плит в швах | ||
сквозных | ложных | ||
16 - 22 | |||
24 - 26 | |||
28 - 30 | |||
32 - 40 | |||
3.28 (5.35). Конструктивные решения и условия применения деформационных швов монолитных жестких покрытий следует принимать в соответствии с данными, представленными в табл. 26 (32) и на рис. 3. Таблица 26 (32) | ||||
Типы швов | Конструкции деформационных швов | Условия применения деформационных швов | ||
продольных | поперечных | |||
1 | 2 | 3 | 4 | |
Iа, Iб | Ложные со штыревыми соединениями | Для бетонных покрытий | Для всех жестких покрытий, кроме железобетонных предварительно-напряженных | |
II | Шпунтовые | Для всех покрытий при толщине плиты более 24 см | - | |
III | С изогнутыми штырями | - | Для всех жестких покрытий, кроме железобетонных предварительно-напряженных | |
IV | Сквозные с подшовными плитами | - | Для железобетонных предварительно-напряженных покрытий | |
Vа, Vб | Сквозные с прокладками и армированием краев плит (по типу швов расширения) | Для бетонных (тип Vа) и армобетонных (тип Vб) покрытий в местах примыканий к различным сооружениям или другим покрытиям | Для всех жестких покрытий, кроме железобетонных предварительно-напряженных, в местах пересечений и примыканий к различным сооружениям | |
VIа, VIб | Ложные с армированием краев плит | Для бетонных покрытий | Для армобетонных покрытий (тип VIб) | |
VIIа, VIIб | Сквозные (технологические) с армированием краев плит | Для бетонных и армобетонных покрытий | Для бетонных и армобетонных покрытий | |
VIII | Заанкеренные | - | Для армобетонных покрытий с длиной плит не более 7 м | |
3.29 (5.36). Нежесткие аэродромные покрытия совместно с искусственными основаниями следует проектировать многослойными, обеспечивая, как правило, плавный переход от менее деформативных верхних слоев к более деформативным нижним. 3.30 (5.37). Общие минимально допустимые толщины конструктивных слоев нежестких покрытий и искусственных оснований следует принимать согласно табл. 27 (33). Таблица 27 (33) | ||
Материал конструктивного слоя нежесткого покрытия и искусственного основания | Общая толщина слоя (слоев) не менее, см | |
1 | 2 | |
Асфальтобетон при внутреннем давлении воздуха в пневматиках колес, кгс/см2: | ||
менее 6 | 5 | |
6 - 7 | 7 | |
более 7 до 10 | 9 | |
более 10 | 12 | |
Щебень, гравий или грунты, обработанные органическими вяжущими материалами в установке | 8 | |
Щебень, обработанный органическими вяжущими материалами по способам: | ||
пропитки | 8 | |
полупропитки | 4 | |
Щебень или гравий, обработанные органическими вяжущими материалами смешением на месте | 8 | |
Щебень или гравий, укрепленные цементом | 8 | |
Грунты и малопрочные каменные материалы, обработанные вяжущими: | ||
органическими | 10 | |
минеральными | 15 | |
Щебень или гравий, не обработанные вяжущими материалами и укладываемые на песчаном основании | 15 | |
Щебень, не обработанный вяжущими материалами и укладываемый на прочном (каменном или укрепленном вяжущими материалами грунтовом) основании | 8 | |
3.31 (5.39). Армирование асфальтобетонного покрытия сетками (металлическими или из полимерных материалов), располагаемыми под верхним слоем асфальтобетона, необходимо предусматривать для аэродромов классов А, Б и В: в местах систематического запуска и опробования двигателей воздушных судов; на участках примыкания РД к ИВПП; в местах предварительного запуска двигателей по всей ширине магистральной РД с длиной армированного участка, равной двукратной длине расчетного самолета; по всей ширине концевых участков ИВПП длиной 150 м; по всей длине групповых МС вдоль линии размещения основных опор и двигателей воздушных судов шириной 10 м по 5 м в каждую сторону от линии установки основных стоек шасси. |
3.33 (5.40). Необходимость и методы усиления существующих покрытий при реконструкции аэродромов следует определять с учетом устанавливаемого класса аэродрома и категории нормативной нагрузки, а также в зависимости от состояния существующего покрытия, естественного и искусственного оснований и дренажно-водосточной сети, местных гидрогеологических условий, характеристики материалов существующего покрытия и основания, высотного положения поверхности покрытия. 3.34 (5.41). Категорию разрушения существующих жестких покрытий следует устанавливать в соответствии с табл. 28 (34). Таблица 28 (34) | |||||
Категория разрушения плит существующих жестких покрытий | Количество плит (в %), имеющих разрушения | ||||
шелушение глубокое (более 1 см) | отколы кромок в местах швов | сквозные (продольные или поперечные) трещины | силовые разрушения (отколы углов, паутинообразные сквозные трещины) | ||
I | Менее 10 | - | - | - | |
II | 10 - 30 | Менее 30 | Менее 20 | - | |
III | Более 30 | 30 и более | 20 - 30 | Менее 20 | |
IV | Не нормируется | Не нормируется | Более 30 | 20 и более | |
Примечания: 1. Сквозные трещины учитываются, если среднее расстояние между ними менее 5 м и они не допускаются расчетным предельным состоянием. 2. При определении процентного содержания разрушенных плит следует принимать: для ИВПП - среднюю полосу шириной, равной половине ширины ИВПП по всей ее длине; для РД - ряд плит, подвергающихся воздействию нагрузок от основных опор воздушного судна. | |||||
3. Для нежестких покрытий учет состояния покрытий производится в соответствии с табл. 34. | |||||
3.36 (5.42). Проектом усиления покрытия следует предусматривать предварительное исправление основания и восстановление разрушенного покрытия, а также восстановление и развитие водосточно-дренажной сети, а при отсутствии сети решить вопрос о целесообразности ее устройства. 3.37 (5.43). Жесткие аэродромные покрытия (кроме железобетонных) следует усиливать монолитным бетоном, армобетоном, железобетонными предварительно напряженными плитами, а также асфальтобетоном. Железобетонные покрытия следует усиливать, как правило, слоем железобетона или асфальтобетона. При усилении (реконструкции) жестких покрытий аэродромов, построенных в неблагоприятных гидрогеологических условиях, для жестких слоев усиления необходимо использовать плиты минимальных размеров в соответствии с п. 3.24 (5.31). 3.38 (5.44). Усиливать жесткие покрытия слоем бетона, армобетона и железобетона следует методом наращивания по разделительной прослойке, устраиваемой в соответствии с п. 3.7 (5.16). Если существующие покрытия имеют неровности высотой более 2 см, помимо разделительной прослойки следует предусматривать выравнивающий слой из песчаного асфальтобетона, пескоцементной смеси, мелкозернистого или песчаного бетона. |
Таблица 29 (35) | |||||||
Климатические условия | Общая минимальная толщина слоев асфальтобетона (в см) при усилении жестких покрытий | ||||||
ИВПП и магистральная РД | Остальные участки | ||||||
Категории нормативных нагрузок | |||||||
В/к, I, II | III, IV | V, IV | В/к, I, II | III, IV | V, IV | ||
Среднемесячная температура наружного воздуха наиболее холодного месяца года, °C: | |||||||
выше -5 | 9 | 7 | 7 | 9 | 7 | 6 | |
от -5 до -15 | 12 | 9 | 7 | 9 | 7 | 6 | |
ниже -15, или число переходов температуры через 0 более 50 раз в году | 16 | 13 | 7 | 12 | 9 | 7 | |
Для усиления жестких покрытий должны применяться плотные смеси асфальтобетона. 3.40 (5.46). Проектом реконструкции (усиления) существующих аэродромных покрытий необходимо предусматривать мероприятия (армирование, нарезка швов и др.) по снижению вероятности образования отраженных трещин в асфальтобетонных слоях усиления в местах расположения деформационных швов. | |||||||
размеры принимают для I - III, меньшие для IV - V дорожно-климатических зон.3.42 (5.47). Усиление нежестких покрытий можно производить нежесткими и жесткими покрытиями всех типов. При этом усиление нежестких покрытий жесткими следует производить по разделительной прослойке, предусматриваемой в соответствии с п. 3.7 (5.16) и по выравнивающему слою в соответствии с п. 3.38 (5.44). |
3.45 (5.48). Аэродромные покрытия следует рассчитывать по методу предельных состояний на воздействие вертикальных нагрузок от воздушных судов как конструкции, лежащие на упругом основании. Расчетными предельными состояниями аэродромных покрытий являются: для сечений с напрягаемой арматурой - предельное состояние по образованию трещин; для сечений с ненапрягаемой арматурой - предельные состояния по прочности и раскрытию трещин; для бетонных и армобетонных сечений - предельное состояние по прочности; для нежестких покрытий - предельное состояние по допускаемым деформациям конструкции и прочности отдельных конструктивных слоев. Расчетные схемы различных типов аэродромных покрытий и оснований даны в приложении 1. 3.46 (5.49). Аэродромные покрытия следует рассчитывать на категории нормативных нагрузок, характеристики которых приведены в табл. 19 (37). В соответствии с заданием на проектирование допускается производить расчет аэродромных покрытий на воздействие вертикальных нагрузок от воздушного судна конкретного типа. Расчетные нагрузки для некоторых типов воздушных судов представлены в табл. 1 приложения 6. |
3.47 (5.50). Расчет на прочность покрытий вертодромов следует выполнять в соответствии с требованиями, приведенными в настоящем разделе как для участков группы А (см. рис. 2). 3.48 (5.51). Конструкции основания надводных взлетно-посадочных платформ для вертолетов (фермы, балки, прогоны, сваи и т.д.) следует рассчитывать на сосредоточенную нагрузку от максимального взлетного веса вертолета с коэффициентом перегрузки 1,5. |
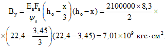
3.50 (5.52). При расчете жестких аэродромных покрытий по прочности плит и образованию трещин должно удовлетворяться условие где Мр - расчетный изгибающий момент в сечении плиты покрытия от расчетной нагрузки; Мпр - предельный изгибающий момент в расчетном сечении плиты покрытия. При расчете железобетонных покрытий с ненапрягаемой арматурой по раскрытию трещин требуется выполнить условие aт <= [aт], (2) где aт - ширина раскрытия трещин в расчетном сечении плиты; [aт] - предельно допускаемая ширина раскрытия трещины, равная 0,3 мм. 3.51 (5.53). Расчетные значения изгибающих моментов Мр в плитах однослойных жестких покрытий всех типов следует определять по формулам (3) (4) (5) (6) (для опоры с равнонагруженными колесами); (7) (8) (9) (10)где |

К - переходный коэффициент, принимается равным 1,2 для бетонных и армобетонных покрытий, а также монолитных железобетонных предварительно-напряженных покрытий с двухосным обжатием при определении расчетного момента в продольном направлении для расчета поперечных сечений плиты; для монолитных и сборных железобетонных предварительно напряженных покрытий с одноосным обжатием бетона, а также с двухосным обжатием бетона при определении расчетного момента в поперечном направлении для продольного сечения плиты К = 1; для железобетонных покрытий с ненапрягаемой арматурой К принимается по рис. 5 и 6; |


КN - коэффициент, учитывающий увеличение изгибающего момента в плите вследствие неравномерного накопления остаточных прогибов в основании и принимаемый по графику на рис. 7 в зависимости от приведенной интенсивности движения воздушных судов uo и вида грунта. Для оснований из материалов, обработанных вяжущими, коэффициент КN следует принимать равным 1. При отсутствии данных об интенсивности движения коэффициент КN рекомендуется принимать по табл. 2 приложения 6; |

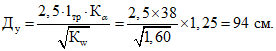
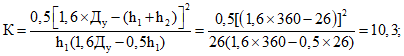
Кx(y) - коэффициент, учитывающий перераспределение внутренних усилий в ортотропных плитах (принимается для покрытий с различной жесткостью Bx и By в продольном и поперечном направлениях по графику рис. 8. Для типовых аэродромных плит заводского изготовления Кx(y) следует принимать по табл. 1 приложения 4. Для бетонных, армобетонных, железобетонных с ненапрягаемой арматурой и предварительно напряженных покрытий с одинаковым двухосным обжатием бетона Кx(y) = 1; |

М1 - изгибающий момент от действия колеса, центр отпечатка которого совпадает с расчетным сечением (см. рис. 4); nk - число колес на опоре; Pк - нагрузка на колесо; - функция, значения которой приведены в табл. 7 приложения 6;R - радиус круга, равновеликого площади отпечатка пневматика колеса; l - упругая характеристика плиты; q - внутреннее давление воздуха в пневматиках колес, принимаемое по табл. 19 (37) и 20 (38) для категорий нормативных нагрузок и табл. 1 приложения 6 для конкретных типов воздушных судов; b - расчетная ширина поперечного сечения плиты, принимается равной 100 см; c - расчетный коэффициент постели однородного грунтового основания, определяется по табл. 6 (17); для многослойного грунтового основания в расчет вводится значение эквивалентного коэффициента постели Cэ, определяемое по приложению 3; , где xi и yi - координаты приложения силы Pк, считая за начало координат рассматриваемое сечение; |
Группа участков аэродромных покрытий | Коэффициент перегрузки nр | Коэффициент динамичности Кд при внутреннем давлении воздуха в пневматиках колес, кгс/см2 | |||
10 и менее | от 10 до 15 | более 15 | |||
А | 1 | 1,2 | 1,25 | 1,3 | |
Б | 1 | 1,1 | 1,15 | 1,2 | |
В | 0,85 | 1,1 | 1,1 | 1,1 | |
Г | 0,85 | 1,1 | 1,1 | 1,1 | |
Примечания: 1. При использовании отдельных участков ИВПП, МС или перронов для систематического руления воздушных судов значения коэффициентов перегрузки и динамичности для этих участков следует принимать как для участков группы А. 2. Для аэродромов классов Г, Д и Е, где руление самолетов предусматривается осуществлять по ИВПП без устройства магистральной РД, прочность покрытия всей ИВПП должна рассчитываться как для участков группы А. | |||||
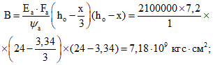
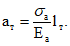
3.52 (5.54). Жесткость сечений плит покрытий В следует определять по формулам: для сечений бетонных, армобетонных и предварительно-напряженных железобетонных плит В = 0,085Eб bh3; (11) для сечений железобетонных плит с ненапрягаемой арматурой (12) (13) (14) (15) (16)где Eа - модуль упругости арматуры; Fа - площадь сечения растянутой арматуры; ho - рабочая высота сечения (расстояние от сжатой грани сечения до центра тяжести растянутой продольной или поперечной арматуры). В расчете учитывается наименьшее значение ho; h - толщина плиты; x - высота сжатой зоны бетона в сечении; d - номинальный диаметр арматурных стержней; | ||||||
0,5 | 0,75 | 1 | 1,25 | 1,5 и более | ||
0,79 | 0,67 | 0,59 | 0,53 | 0,48 | ||
Для сечений с ненапрягаемой арматурой в предварительно-напряженных плитах коэффициент b - расчетная ширина поперечного сечения плиты, принимаемая равной 100 см. 3.53 (5.55). Предельный изгибающий момент Мпр следует определять по формулам для покрытий: бетонных и армобетонных железобетонных с ненапрягаемой арматурой (18)железобетонных предварительно-напряженных | ||||||
Rа - расчетное сопротивление арматуры растяжению (см. табл. 9); |
Мя - момент равнодействующей No усилий в нижней и верхней напрягаемой арматуре относительно оси, проходящей через ядровую точку, наиболее удаленную от зоны сечения, трещинообразование которой должно быть проверено. Значение Мя определяется по формуле (21)где mт - коэффициент точности натяжения арматуры, принимаемый согласно п. 1.28 главы СНиП II-21-75; Fн, F'н - площадь сечения напрягаемой арматуры, расположенной соответственно в растянутой и сжатой зонах сечения; rя - расстояние от центра тяжести сечения до ядровой точки, наиболее удаленной от растянутой зоны, трещиностойкость которой проверяется (для прямоугольных сечений rя = h/6); |
(22)
Для центрально растянутых (сжатых) сечений eон = 0. Значения (23)где для стержневой арматуры (24)для арматурной проволоки и канатов (25)где При этом потери от усадки и ползучести бетона марок Ри 50 и ниже принимаются как для бетона М400 и ниже, марок Ри 55 и Ри 60 - как для бетона М500, марок Ри 65 и выше - как для бетона М600 и выше. Таблица 31 (39) | |||||
Аэродромные покрытия | Коэффициент m условий работы жестких покрытий для групп участков | ||||
А | Б | В | Г | ||
Бетонные | 0,8 | 0,9 | 0,9 | 1,1 | |
Армобетонные | 0,9 | 1 | 1 | 1,2 | |
Железобетонные с ненапрягаемой арматурой | 1 | 1,1 | 1,1 | 1,3 | |
Железобетонные предварительно напряженные армированные: | |||||
проволочной арматурой и арматурными канатами | 0,9 | 1 | 1 | 1,2 | |
стержневой арматурой | 1,1 | 1,5 | 1,2 | 1,3 | |
Примечания: 1. При использовании отдельных участков ИВПП, МС или перронов для систематического руления воздушных судов значения коэффициентов m для этих участков следует принимать как для участков группы А. 2. При расчете сборных покрытий из железобетонных предварительно напряженных плит коэффициент m следует увеличивать на 10%. 3. Приведенные в таблице коэффициенты m даны для аэродромов, расположенных севернее 50° северной широты; при расположении аэродрома южнее этой границы коэффициенты m следует устанавливать с учетом поправочных коэффициентов, принимаемых равными: для монолитных покрытий аэродромов, расположенных между 43 и 50° северной широты - 0,95; для расположенных южнее 43° северной широты - 0,9; для сборных покрытий во всех случаях - 1. | |||||
ИС МЕГАНОРМ: примечание. Обозначения даны в соответствии с официальным текстом документа. |
3.54 (5.56). Расчетное число приложений нагрузки на покрытие u и грунтовое основание Uo следует определять по формулам (26) (27) (28)где ui - число приложений нагрузки от опоры i-го воздушного судна на покрытие; nос - число осей на основной опоре i-го воздушного судна; Ni - расчетная интенсивность движения i-го воздушного судна; |




ИС МЕГАНОРМ: примечание. Формула (29) дана в соответствии с официальным текстом документа. |
(29) и приведенного расстояния ;КW - коэффициент, учитывающий перераспределение внутренних усилий в ортотропных плитах, определяется по графику на рис. 13 или по табл. 1 приложения 4 для типовых плит заводского изготовления. Примечания: 1. За расчетное следует принимать воздушное судно, которое вызывает в покрытии наибольший изгибающий момент. 2. Суммировать числа приложений нагрузки следует только для воздушных судов, колеи шасси которых отличаются от колеи шасси расчетного судна не более чем на 3l. 3. Если среди воздушных судов имеются суда, не вошедшие в суммирование (см. п. 2 настоящих примечаний), то одно из них принимается за расчетное и для него также производится расчет покрытия. |
3.55 (5.57). Ширина раскрытия трещин aт в расчетном сечении плиты, армированной ненапрягаемой арматурой, определяется по формулам (30) (31) (32) (33)где lт - расстояние между трещинами; Sa - периметр сечения арматуры; |
3.56 (5.58). Расчет толщины искусственных оснований следует производить в соответствии с приложением 4. |
(34)Расчетный изгибающий момент Момент B = B1 + B2, (36) где B1 - жесткость плиты толщиной верхнего слоя hв; B2 - жесткость плиты толщиной нижнего слоя hн; К' - переходный коэффициент, принимаемый по табл. 32 (40) в зависимости от наличия и вида стыковых соединений; при устройстве в плитах со сквозными швами краевого армирования коэффициент К' следует принимать как для варианта со стыковым соединением; Мн - предельный изгибающий момент для нижнего слоя плиты, определяемый по формулам (19), (20) как для однослойных покрытий с введением к коэффициенту условий работы m поправочного коэффициента Кm, принимаемого по графику на рис. 14 в зависимости от толщины верхнего слоя hв. |

Наличие стыкового соединения в верхнем и нижнем слоях двухслойного аэродромного покрытия | Переходной коэффициент К' при расчете верхнего слоя покрытия для деформационных швов | ||
совмещенных | несовмещенных | ||
Без стыковых соединений в верхнем и нижнем слоях | 1,5 | 1,3 | |
Стыковые соединения: | |||
в нижнем слое | 1,4 | 1,2 | |
в верхнем слое | 1,3 | 1,1 | |
в верхнем и нижнем слоях | 1,2 | 1,05 | |
Нежесткие аэродромные покрытия капитального типа под категории нормативных нагрузок следует рассчитывать по двум критериям - растяжению при изгибе слоев из материалов, обработанных вяжущими, и предельному относительному прогибу осей конструкции. |
Нежесткие конструкции аэродромных покрытий облегченного и переходного типов следует рассчитывать только по одному критерию - предельному относительному прогибу покрытия. |

3.59 (5.61). При расчете прочности нежесткого покрытия воздействие нагрузок от различных воздушных судов следует приводить к эквивалентному воздействию расчетной или нормативной нагрузки через приведенную интенсивность движения воздушных судов Nпр. При этом следует учитывать только те воздушные суда, у которых нагрузки на главную опору i-го воздушного судна более или равны половине нагрузки на главную опору расчетного воздушного судна. 3.60 (5.62). Приведенная интенсивность движения Nпр воздушных судов определяется по формуле (37)где Кпр - коэффициент приведения нагрузок, определяемый по номограммам на рис. 16 в зависимости от отношений Ri/R и qi/q; |

ИС МЕГАНОРМ: примечание. В официальном тексте документа, видимо, допущена опечатка: таблицы 45 и 46 в приложении 6 отсутствуют. |
Ni - среднесуточная интенсивность движения i-го воздушного судна; nос - число осей в главной опоре; в расчете прочности по предельному относительному прогибу принимают nос = 1, если общая толщина конструкции превышает половину минимального расстояния между ближайшими колесами в опоре; Ri, R - радиус круга, равновеликого площади отпечатка колеса соответственно i-го и расчетного воздушных судов (для расчета прочности материалов, обработанных вяжущими) или эквивалентной одноколесной нагрузки (для расчета прочности конструкции по предельному относительному прогибу). Величины радиусов для категорий нормативных нагрузок и некоторых типов воздушных судов принимаются по табл. 45 и 46 приложения 6; qi, q - внутреннее давление воздуха в пневматиках соответственно i-го и расчетного воздушных судов. Расчетную интенсивность движения воздушных судов следует определять на десятый год эксплуатации для асфальтобетонных покрытий, на пятый год - для облегченных и на третий - для покрытий переходного типа. Если данные по суточной интенсивности движения отсутствуют, рекомендуется пользоваться сведениями, приведенными в табл. 4 приложения 6 для различных категорий нормативных нагрузок. 3.61 (5.63). Прочность нежесткой конструкции аэродромного покрытия по предельному относительному прогибу должна удовлетворять условию (38)где |

m - коэффициент условий работы, принимаемый для групп участков аэродромных покрытий: А - 1, Б и В - 1,1, Г - 1,2; Eэ - эквивалентный модуль упругости двухслойной конструкции покрытия с учетом грунтового основания. Таблица 33 (41) | |||||
Параметр q·Rэ расчетного воздушного судна, кгс/см | Предельный относительный прогиб | ||||
глинистых, суглинистых, супесчаных и гравелистых | песчаных непылеватых | ||||
для регулярной эксплуатации | не более пяти взлетно-посадочных операций в сутки | для регулярной эксплуатации | не более пяти взлетно-посадочных операций в сутки | ||
100 | 0,0035 | 0,0052 | 0,0020 | 0,0035 | |
150 | 0,0040 | 0,0058 | 0,0025 | 0,0038 | |
200 | 0,0045 | 0,0063 | 0,0030 | 0,0042 | |
250 | 0,0050 | 0,0067 | 0,0033 | 0,0044 | |
300 | 0,0055 | 0,0071 | 0,0035 | 0,0045 | |
350 | 0,0058 | 0,0073 | 0,0038 | 0,0047 | |
400 | 0,0060 | 0,0076 | 0,0040 | 0,0048 | |
Величина Rэ - радиус отпечатка пневматика колеса, одноколесной эквивалентной нагрузки. | |||||
Многослойная конструкция приводится к двухслойной системе, у которой толщина верхнего слоя равна суммарной толщине конструктивных слоев, а средний модуль упругости этого слоя вычисляется по формуле где E1, E2, ... - расчетные модули упругости отдельных конструктивных слоев, толщина которых равна h1, h2, ... Определяются отношения H/Дэ и Eо/Eср, где H - общая толщина покрытия. где Pэ - одноколесная эквивалентная нагрузка, определяемая по рис. 15 или по методике приложения 2. |
.3.62 (5.64). Прочность слоев нежесткой конструкции аэродромного покрытия из материалов, обработанных органическими и минеральными вяжущими, обладающих сопротивлением изгибу, должна удовлетворять условию где - наибольшее растягивающее напряжение при изгибе в рассматриваемом слое от расчетной нагрузки;Rри - расчетное сопротивление растяжению при изгибе материала слоя с учетом повторности приложения нагрузки; |



, то обеспечивается нормальная работа рассчитываемого слоя. Если
, конструкцию следует усилить или устроить монолитный слой из более прочного материала. Усилить конструкцию можно путем утолщения или повышения жесткости конструктивных слоев, в том числе и самого рассчитываемого слоя.3.64 (5.65). Определение расчетного изгибающего момента при расчете необходимой толщины жесткого слоя усиления жестких аэродромных покрытий следует производить согласно п. 3.57. При этом расчетную толщину существующего покрытия , при II - , при III - .Существующие жесткие покрытия IV категории разрушения допускается использовать в качестве искусственного основания с модулем упругости E = 6000 кгс/см2. |
3.65 (5.66). Толщина слоя асфальтобетона hаб, необходимого для усиления существующего жесткого покрытия, определяется по формуле где hтр - требуемая для заданной расчетной нагрузки толщина однослойного бетонного покрытия, определяемая по формуле (1); ; для армобетонных покрытий ; для железобетонных покрытий с ненапрягаемой арматурой: с процентом армирования 0,25, с процентом армирования 0,3, с процентом армирования 0,35, с процентом армирования 0,4;для монолитных и сборных предварительно-напряженных покрытий ; |
При определении толщины однослойного бетонного покрытия, эквивалентного по несущей способности существующему, следует: характеристики материалов, типы швов и стыковых соединений принимать как для существующего покрытия; значение коэффициента динамичности Kд уменьшать на 15% по сравнению с данными, приведенными в табл. 30 (36), но принимать не менее 1; коэффициент условий работ m устанавливать с учетом поправочного коэффициента Кm, определяемого по графику (см. рис. 14); радиус площади передачи нагрузки на жесткое покрытие через слой асфальтобетона Rаб определять по формуле Rаб = R + 0,78hаб. (44) 3.66 (5.68). Расчет усиления нежестких покрытий следует производить как для вновь проектируемых покрытий, учитывая конструктивные слои существующих покрытий и оснований и их состояние. |
(45)Материалы слоя | Виды и объемы разрушений в зоне колеи главных опор расчетного воздушного судна | Значения понижающих коэффициентов Кi |
1 | 2 | 3 |
Обработанные вяжущими | Материал слоя однородный, прочный, разрушений и износа не имеется | 1,00 |
На покрытии редкие трещины (поперечные, продольные, косые), в том числе температурные, отраженные со средним расстоянием между соседними трещинами 4 - 10 м | 0,90 | |
На покрытии деформации в виде частых трещин, иногда связанных между собой (продольных, поперечных, косых) со средним расстоянием между соседними трещинами 1 - 4 м | 0,80 | |
На покрытии значительные деформации в виде сетки трещин размером 0,5 - 0,6 м в поперечнике | 0,60 | |
То же, в виде густой сетки трещин со сторонами менее 0,15 - 0,2 м в поперечнике и просадками в месте трещин | 0,50 | |
Каменные, не обработанные вяжущими | Качество щебеночного (гравийного) материала не отличается от первоначального или срок службы менее двух лет | 1,00 |
В щебеночном (гравийном) слое имеются отдельные раздавленные щебенки (5 - 10%), наблюдается внутренний износ либо в слое щебня содержится до 10% мелочи размером менее 2 мм | 0,90 | |
Содержание раздавленных щебенок в слое 15 - 20% либо наличие в слое мелочи менее 2 мм в количестве 15 - 20% | 0,70 | |
То же, в количестве 25 - 30% | 0,50 | |
Песчаные | Песок чистый, коэффициент фильтрации соответствует первоначальному | 1,00 |
Песок слегка загрязнен, коэффициент фильтрации ниже первоначального на 20 - 25% | 0,80 | |
Песок сильно заилен, частично перемешан с грунтом | 0,50 |
При усилении существующих нежестких покрытий жестким слоем существующее покрытие следует рассматривать как искусственное основание с эквивалентным коэффициентом постели Cэ, который определяется в соответствии с приложением 3. |
(46)

N п/п | Расчетные схемы | Конструкции покрытий | Предельные состояния |
1 | 2 | 3 | 4 |
![]() | Однослойные цементобетонные и армобетонные покрытия | По прочности Мр <= Мпр | |
![]() | Железобетонные покрытия | По прочности Мр <= Мпр По ширине раскрытия трещин aт <= [aт] | |
3 | ![]() | Предварительно-напряженные железобетонные монолитные и сборные покрытия: для сечений, армированных напрягаемой арматурой | По образованию трещин Мр <= Мт |
для сечений, армированных ненапрягаемой арматурой | см. п. 2 | ||
![]() | Двухслойные жесткие покрытия | По прочности ![]() | |
![]() | Конструкции усиления жестких покрытий: жестким слоем | см. п. 4 | |
асфальтобетонным слоем | По прочности Мр <= Мпр при hаб >= hаб.мин | ||
6 | ![]() | Нежесткие покрытия: | |
капитального типа и конструкции усиления асфальтобетоном | По деформации (относительному прогибу конструкции) ![]() По прочности на растяжение при изгибе материалов, обработанных вяжущими, ![]() | ||
![]() | облегченного и переходного типов | По деформации (относительному прогибу конструкции) ![]() | |
7 | ![]() | Жесткие покрытия на упрочненных основаниях: | |
бетонные и армобетонные на основаниях из материалов, обработанных цементом | По прочности верхнего слоя покрытия Мр <= Мпр | ||
![]() | железобетонные, предварительно-напряженные и сборные на основаниях из материалов, обработанных вяжущими | По прочности верхнего слоя покрытия Мр <= Мпр | |
![]() | жесткие на многослойных основаниях из материалов, обработанных органическими вяжущими и из необработанных материалов | По прочности покрытия на основании с эквивалентным коэффициентом постели Cэ Мр <= Мпр |



Эквивалентный коэффициент постели слоистого основания (см. рисунок) определяется по формулам (2) (3)где h1, h2 - толщины соответственно первого и второго слоев основания; Cэ - эквивалентный коэффициент постели всех слоев основания; C1, C2, C3 - расчетные значения коэффициентов постели материалов первого, второго и третьего слоев основания; Ду - условный диаметр круга передачи нагрузки от покрытия на основание, принимаемый по таблице. В основаниях из двух слоев принимают h2 = 0 и K2 = 0. |

Класс аэродрома | Значение Ду, см <*> |
А | 360 |
Б | 320 |
В | 290 |
Г | 240 |
Д, Е | 220 |
При наличии в основании более трех слоев конструкция приводится к расчетной трехслойной путем объединения смежных слоев. При этом в расчете эквивалентного коэффициента постели используются показатели объединенного (приведенного) слоя, определяемые по формулам (6) (7)где hi и Ci - соответственно толщина и расчетный коэффициент постели каждого из объединяемых слоев оснований. |

(1) |

N п/п | Расчетные характеристики плит | Типы плит | ||||||
ПАГ-14 | ПАГ-14т-1 | ПАГ-14Т-2 | ПАГ-18 | ПАГ-18Т | ПДГ-2-6с | ПДГ-1,5-6с | ||
1 | 2 | 3 | 4 | 5 | 6 | 7 | 8 | 9 |
1 | Размер в плане, м | 2 x 6 | 2 x 6 | 2 x 6 | 2 x 6 | 2 x 6 | 2 x 6 | 1,5 x 6 |
2 | Толщина, см | 14 | 14 | 14 | 18 | 18 | 14 | 14 |
3 | Масса, т | 4,2 | 4,2 | 4,2 | 5,4 | 5,4 | 4,2 | 3,15 |
4 | Объем бетона, м3 | 1,68 | 1,68 | 1,68 | 2,16 | 2,16 | 1,68 | 1,26 |
5 | Марка бетона: | |||||||
на растяжение при изгибе и на сжатие | 45/300 | 45/300 | 45/300 | 45/300 | 45/300 | 45/300 | 45/300 | |
6 | Напрягаемая арматура: | |||||||
марка стали | А-IV | Ат-V | Ат-V | А-IV | Ат-V | А-IV | А-IV | |
диаметр стержней, мм | 14 | 14 | 12 | 14 | 14 | 12 | 12 | |
количество стержней, шт. | 10 | 10 | 12 | 12 | 12 | 9 | 7 | |
7 | Расход арматуры, кг : | |||||||
напрягаемой | 72,6 ------ 6,05 | 72,6 ------ 6,05 | 64,0 ------ 5,33 | 87,1 ------ 7,25 | 87,1 ------ 7,25 | 50,4 ------ 4,2 | 39,2 ------ 4,35 | |
ненапрягаемой | 72,1 ------ 6,0 | 72,1 ------ 6,0 | 72,4 ------ 6,0 | 91,8 ------ 7,65 | 91,8 ------ 7,65 | 66,9 ------ 5,6 | 53,7 ------ 5,95 | |
общий | 144,7 ------- 12,0 | 144,7 ------- 12,0 | 136,4 ------- 11,3 | 178,9 ------- 14,9 | 178,9 ------- 14,9 | 117,3 ------- 9,8 | 92,3 ------ 10,3 | |
8 | Жесткость сечения, : | |||||||
поперечного Bx | 724 | 724 | 724 | 1540 | 1540 | 724 | 724 | |
продольного By | 167 | 167 | 167 | 326 | 326 | 97 | 97 | |
9 | Коэффициенты перераспределения усилий: | |||||||
Кx | 1,38 | 1,38 | 1,38 | 1,38 | 1,38 | 1,5 | 1,8 | |
Кy | 0,50 | 0,50 | 0,50 | 0,50 | 0,50 | 0,40 | 0,40 | |
Кw | 1,47 | 1,47 | 1,47 | 1,47 | 1,47 | 1,6 | 1,6 | |
10 | Предельный изгибающий момент Мт, без учета коэффициента условий работы при Ки, равном: | |||||||
1,0 | 1,82 | 1,95 | 1,90 | 3,06 | 3,20 | 1,70 | 1,73 | |
1,05 | 1,88 | 2,01 | 1,96 | 3,16 | 3,31 | 1,76 | 1,79 | |
1,10 | 1,94 | 2,07 | 2,02 | 3,26 | 3,41 | 1,82 | 1,85 | |
1,15 | 2,01 | 2,13 | 2,08 | 3,37 | 3,51 | 1,88 | 1,91 | |
1,20 | 2,07 | 2,20 | 2,15 | 3,47 | 3,61 | 1,95 | 1,98 | |
1,25 | 2,13 | 2,26 | 2,21 | 3,57 | 3,70 | 2,01 | 2,04 | |
1,30 | 2,19 | 2,32 | 2,27 | 3,68 | 3,81 | 2,08 | 2,11 | |
определяется требуемая толщина основания по формуле (3)где ;C и l - значения соответственно расчетного коэффициента постели грунтового основания и упругой характеристики плиты, лежащей на грунте; Cтр - значение требуемого коэффициента постели основания, при котором соблюдается условие прочности (1). | |||||||||||
![]() | 0,1 | 0,2 | 0,3 | 0,4 | 0,5 | 0,6 | 0,7 | 0,8 | 0,9 | 1,0 | |
1,04 | 1,10 | 1,14 | 1,19 | 1,24 | 1,30 | 1,36 | 1,43 | 1,50 | 1,58 | ||
При проектировании оснований, состоящих из двух и более слоев, слои из материалов, укрепленных вяжущими, приводятся к материалу верхнего слоя по формуле (4)где Eн и Eв - модули упругости соответственно нижнего и верхнего слоев укрепленного основания. Для слоев из материалов, не обработанных вяжущими, определяется эквивалентный коэффициент постели системы, состоящей из необработанного основания и грунта по формуле (1) приложения 3. При этом условный диаметр передачи нагрузки определяется по формуле (2) настоящего приложения. | |||||||||||



Глубина заложения шпоры, м | Количество рабочей арматуры в зависимости от вида грунта | |||||
песчаного | суглинистого | глинистого | ||||
шпора | плита | шпора | плита | шпора | плита | |
1,5 | ||||||
2,0 | ||||||
2,5 | - | - | ||||
Типы самолетов и вертолетов | Максимальная взлетная масса, т | Давление в пневматиках, кгс/см2 | Взлетная масса, приходящаяся на главную опору/колесо, т | Колея главных опор, м | Схема главной опоры (размеры даны по осям колес, см) |
1 | 2 | 3 | 4 | 5 | 6 |
Самолеты: Ил-62М | 165 | 11 | 78,4 ------ 19,6 | 6,8 | ![]() |
Ил-86 | 206 | 8,5 | 63,2 ------ 15,8 | 11,15 | ![]() |
245 | 9,5 | 75,13 ------- 18,18 | |||
Ил-76 | 170 | 6,5 | 38,24 -------- 9,6 | 8,16 | ![]() |
190 | 6,5 | 44,65 -------- 11,16 | 8,16 | ||
210 | 7,0 | 49,35 -------- 12,33 | 8,16 | ||
ТУ-154Б | 100 | 9,0 | 47,52 -------- 7,92 | 11,5 | ![]() |
Ил-18Д | 64 | 8 | 30,4 ------ 7,60 | 9,0 | ![]() |
Ту-134А | 47 | 8,5 | 22,32 ------- 5,6 | 9,50 | ![]() |
Ан-24 | 22 | 4,5 | 9,9 ------ 4,95 | 7,90 | |
Як-42 | 53,5 | 9,5 | 24,1 ------ 6 | 5,63 | ![]() |
Як-40 | 16,1 | 5,5 | 7,24 ------ 7,24 | 4,52 | |
Ан-2 | 5,5 | 3,0 | 2,75 ------ 2,75 | 3,36 | |
Вертолеты: Ми-6 | 42,5 | 7 | 16,3 | 7,50 | |
Ми-10К | 38,0 | 6 | 15,40 ------- 7,7 | 5,00 | |
Ми-8 | 12,0 | 5,5 | 4,38 | 4,50 | |
Ми-4 | 7,5 | 4 | 3,12 | 3,82 | |
Ми-2 | 3,55 | 4 | 1,32 | 3,05 | |
Ми-1 | 2,55 | 4 | 1,065 | 3,32 | |
Ка-26 | 3,25 | 2,5 | 1,3 | 2,42 |
Классы аэродромов | Категории нормативной нагрузки | Расчетные коэффициенты Kи и KN | |||||
Перспектива 1985 - 1990 гг. | Перспектива 1991 - 2000 гг. | ||||||
Kи | KN для грунтов | Kи | KN для грунтов | ||||
глины, суглинки, супеси пылеватые | пески и супеси непылеватые | глины, суглинки, супеси пылеватые | пески и супеси непылеватые | ||||
А | В/к | 1,14 | 1,13 | 1,06 | 1,12 | 1,15 | 1,08 |
А | I | 1,04 | 1,13 | 1,08 | 1,0 | 1,16 | 1,09 |
Б | II | 1,25 | 1,13 | 1,06 | 1,0 | 1,2 | 1,1 |
В | III | 1,07 | 1,11 | 1,05 | 1,0 | 1,16 | 1,08 |
Г | IV | 1,0 | 1,06 | 1,03 | 1,0 | 1,19 | 1,09 |
Д | V | 1,28 | 1,04 | 1,02 | 1,20 | 1,04 | 1,03 |
Е | VI | 1,0 | 1,0 | 1,0 | 1,0 | 1,0 | 1,0 |
Группа участков | Категории нагрузок | ||||||
В/к | I | II | III | IV | V | VI | |
А | 28,5 | 25,8 | 23 | 20 | 17 | 22,6 | 21,8 |
Б | 27,2 | 24,8 | 22 | 18,7 | 16,2 | 21,6 | 20,9 |
В, Г | 25,2 | 22,8 | 20,5 | 17,3 | 15 | 19,9 | 19,3 |

Классы аэродромов | Категории нормативной нагрузки | Число приложений расчетной нагрузки на 10-й год эксплуатации, проходы | |||
Перспектива 1985 - 1990 гг. | Перспектива 1991 - 2000 гг. | ||||
Расчет по упругому прогибу покрытия | Расчет асфальтобетона на растяжение при изгибе | Расчет по упругому прогибу покрытия | Расчет асфальтобетона на растяжение при изгибе | ||
А | I | 40 | 80 | 60 | 120 |
Б | II | 60 | 70 | 70 | 80 |
В | III | 20 | 30 | 30 | 50 |
Г | IV | 15 | 20 | 20 | 25 |
Д | V | 10 | 10 | 15 | 15 |
Показатель для групп участков покрытий | Значения R и Rэ для категорий нормативных нагрузок, см | ||||||
В/к | I | II | III | IV | V | VI | |
1 | 2 | 3 | 4 | 5 | 6 | 7 | 8 |
Участки А и Б R, см | 26,0 | 23,6 | 21,0 | 17,8 | 15,5 | 20,6 | 20,0 |
Rэ при толщине конструкции, см: | |||||||
25 | 30,1 | 26,5 | 22,7 | 18,9 | 16,0 | 20,6 | 20,0 |
30 | 31,3 | 27,6 | 23,5 | 19,9 | 16,7 | 20,6 | 20,0 |
35 | 32,4 | 28,4 | 24,8 | 20,6 | 17,5 | 20,6 | 20,0 |
40 | 33,3 | 29,3 | 25,5 | 21,2 | 18,0 | 20,6 | 20,0 |
50 | 35,0 | 30,9 | 27,0 | 22,4 | 19,1 | 20,6 | 20,0 |
60 | 36,6 | 32,0 | 28,0 | 23,6 | 20,0 | 20,6 | 20,0 |
70 | 37,8 | 33,2 | 29,2 | 24,6 | 20,9 | 20,6 | 20,0 |
80 | 39,1 | 34,7 | 30,2 | 25,2 | 21,6 | 20,6 | 20,0 |
90 | 39,8 | 35,6 | 30,9 | 26,2 | 22,4 | 20,6 | 20,0 |
100 | 41,0 | 36,3 | 32,0 | 26,9 | 23,0 | 20,6 | 20,0 |
120 | 42,6 | 38,0 | - | - | - | - | - |
140 | 44,0 | 39,5 | - | - | - | - | - |
160 | 45,5 | - | - | - | - | - | - |
Участки В и Г R, см | 24,0 | 21,7 | 19,3 | 16,5 | 14,25 | 19,0 | 18,4 |
Rэ при толщине конструкции, см: | |||||||
25 | 27,0 | 24,1 | 20,5 | 17,2 | 14,5 | 19,0 | 18,4 |
30 | 28,2 | 25,1 | 21,5 | 18,1 | 15,2 | 19,0 | 18,4 |
35 | 29,4 | 26,0 | 22,2 | 18,7 | 15,9 | 19,0 | 18,4 |
40 | 30,2 | 26,9 | 22,9 | 19,4 | 16,5 | 19,0 | 18,4 |
50 | 32,0 | 28,3 | 24,3 | 20,7 | 17,5 | 19,0 | 18,4 |
60 | 33,1 | 29,6 | 25,4 | 21,6 | 18,4 | 19,0 | 18,4 |
70 | 34,3 | 30,6 | 26,4 | 22,4 | 19,2 | 19,0 | 18,4 |
80 | 35,5 | 31,6 | 27,2 | 23,3 | 19,9 | 19,0 | 18,4 |
90 | 36,5 | 32,7 | 28,0 | 24,1 | 20,5 | 19,0 | 18,4 |
100 | 37,4 | 33,3 | 28,8 | 24,0 | 21,1 | 19,0 | 18,4 |
120 | 39,1 | 34,8 | - | - | - | - | - |
140 | 40,3 | 36,0 | - | - | - | - | - |
160 | 41,6 | - | - | - | - | - | - |
Расчетные показатели воздушных судов | Значения R и Rэ для типов воздушных судов, см | ||||||||||||
Ил-62М | Ил-86 | Ил-76Т | Ту-154Б | Ил-18Д | Ту-134А | Як-42 | Ан-24 | Як-40 | Ми-10К | ||||
1 | 2 | 3 | 4 | 5 | 6 | 7 | 8 | 9 | 10 | 11 | 12 | 13 | 14 |
Максимальная взлетная масса, т | 165 | 206 | 245 | 170 | 190 | 210 | 100 | 64 | 47 | 53,5 | 22 | 16,1 | 38 |
Давление в пневматиках, кгс/см2 | 11,0 | 8,5 | 9,5 | 6,5 | 6,5 | 7,0 | 9,0 | 8,0 | 8,5 | 9,5 | 5,0 | 5,5 | 6,0 |
Участки групп А и Б | |||||||||||||
Радиус отпечатка колеса главной опоры R, см | 23,8 | 24,1 | 24,8 | 21,6 | 22,9 | 23,1 | 16,7 | 17,35 | 14,4 | 14,2 | 17,70 | 20,4 | 20,2 |
Величина Rэ при толщине конструкции, см: | |||||||||||||
25 | 25,26 | 24,1 | 24,8 | 24,71 | 26,7 | 26,9 | 19,0 | 18,9 | 16,46 | 15,3 | 20,16 | 20,4 | 22,8 |
30 | 26,4 | 24,1 | 24,8 | 25,73 | 27,56 | 28,2 | 20,2 | 19,9 | 17,24 | 16,2 | 20,80 | 20,4 | 23,30 |
35 | 27,15 | 24,1 | 24,8 | 26,66 | 28,5 | 29,0 | 21,2 | 21,0 | 18,00 | 16,8 | 21,40 | 20,4 | 23,90 |
40 | 27,9 | 24,1 | 24,8 | 27,56 | 29,5 | 30,12 | 22,4 | 21,6 | 18,61 | 17,4 | 21,68 | 20,4 | 24,4 |
50 | 29,4 | 25,3 | 26,52 | 28,9 | 30,9 | 31,6 | 24,0 | 22,9 | 19,79 | 18,5 | 22,54 | 20,4 | 25,2 |
60 | 30,9 | 26,9 | 28,05 | 30,11 | 32,1 | 32,9 | 25,6 | 24,0 | 20,80 | 19,2 | 23,10 | 20,4 | 25,8 |
70 | 32,25 | 28,1 | 29,3 | 31,3 | 33,6 | 34,02 | 27,0 | 25,2 | 21,70 | 20,2 | 23,64 | 20,4 | 26,6 |
80 | 33,13 | 29,43 | 30,6 | 32,1 | 34,3 | 35,00 | 28,3 | 26,0 | 22,54 | 21,3 | 24,17 | 20,4 | 27,21 |
90 | 34,0 | 30,67 | 31,7 | 33,14 | 35,4 | 35,8 | 29,4 | 27,0 | 23,12 | 21,7 | 24,70 | 20,4 | 27,6 |
100 | 35,05 | 31,58 | 32,74 | 33,94 | 36,4 | 36,9 | 30,6 | 27,7 | 23,76 | 22,4 | 25,07 | 20,4 | 28,2 |
120 | 36,5 | 33,6 | 34,72 | 35,36 | 37,7 | 38,10 | - | - | - | - | - | - | 28,5 |
140 | 38,01 | 35,25 | 36,14 | 36,64 | 39,00 | 39,60 | - | - | - | - | - | - | - |
Участки групп В и Г | |||||||||||||
Радиус отпечатка колеса главной опоры R, см | 21,9 | 22,2 | 22,8 | 19,90 | 21,1 | 21,3 | 15,4 | 16,0 | 13,3 | 13,1 | 16,30 | 18,80 | 18,65 |
Величина Rэ при толщине конструкции см: | |||||||||||||
25 | 23,3 | 22,2 | 22,8 | 22,8 | 24,6 | 24,8 | 17,2 | 17,2 | 15,15 | 14,1 | 18,55 | 18,80 | 21,0 |
30 | 24,3 | 22,2 | 22,8 | 23,7 | 25,4 | 26,0 | 18,45 | 18,1 | 15,90 | 14,9 | 19,2 | 18,8 | 21,5 |
35 | 25,0 | 22,2 | 22,8 | 24,6 | 26,3 | 26,7 | 19,45 | 18,94 | 16,6 | 15,4 | 19,70 | 18,8 | 22,0 |
40 | 25,7 | 22,2 | 22,8 | 25,4 | 27,2 | 27,8 | 20,3 | 19,6 | 17,15 | 16,0 | 20,0 | 18,8 | 22,5 |
50 | 27,1 | 23,3 | 24,4 | 26,6 | 28,5 | 29,1 | 22,0 | 20,8 | 18,25 | 17,1 | 20,8 | 18,8 | 23,2 |
60 | 28,4 | 24,8 | 25,8 | 27,7 | 29,6 | 30,3 | 23,5 | 21,9 | 19,20 | 17,7 | 21,3 | 18,8 | 23,8 |
70 | 28,8 | 25,9 | 27,0 | 28,8 | 31,0 | 31,4 | 24,8 | 23,0 | 20,0 | 18,6 | 21,8 | 18,8 | 24,5 |
80 | 30,5 | 27,1 | 28,2 | 29,6 | 31,6 | 32,2 | 25,9 | 23,8 | 20,8 | 19,6 | 22,3 | 18,8 | 25,1 |
90 | 31,3 | 28,3 | 29,2 | 30,5 | 32,6 | 33,0 | 27,0 | 24,6 | 21,3 | 19,97 | 22,8 | 18,8 | 25,4 |
100 | 32,2 | 29,1 | 30,2 | 31,3 | 33,5 | 34,0 | 27,8 | 25,3 | 21,9 | 20,6 | 23,1 | 18,8 | 26,0 |
120 | 33,6 | 31,0 | 32,0 | 32,6 | 34,7 | 35,1 | - | - | - | - | - | - | 26,3 |
140 | 35,0 | 32,5 | 33,3 | 33,8 | 36 | 36,5 | - | - | - | - | - | - | - |
1 | 2 | 3 | 4 |
0,0 | 0,0 | 0,72 | 0,0922 |
0,02 | 0,4209 | 0,74 | 0,0899 |
0,04 | 0,3565 | 0,76 | 0,0877 |
0,06 | 0,3188 | 0,78 | 0,0855 |
0,08 | 0,2921 | 0,80 | 0,0834 |
0,10 | 0,2714 | 0,82 | 0,0814 |
0,12 | 0,2545 | 0,84 | 0,0794 |
0,14 | 0,2402 | 0,86 | 0,0775 |
0,16 | 0,2278 | 0,88 | 0,0756 |
0,18 | 0,2169 | 0,90 | 0,0738 |
0,20 | 0,2072 | 0,92 | 0,0721 |
0,22 | 0,1984 | 0,94 | 0,0704 |
0,24 | 0,1904 | 0,96 | 0,0687 |
0,26 | 0,1881 | 0,98 | 0,0671 |
0,28 | 0,1763 | 1,00 | 0,0655 |
0,30 | 0,1700 | 1,10 | 0,0582 |
0,32 | 0,1641 | 1,20 | 0,0518 |
0,34 | 0,1586 | 1,30 | 0,0462 |
0,36 | 0,1534 | 1,40 | 0,0411 |
0,38 | 0,1485 | 1,50 | 0,0366 |
0,40 | 0,1438 | 1,60 | 0,0326 |
0,42 | 0,1395 | 1,70 | 0,0291 |
0,44 | 0,1353 | 1,80 | 0,0259 |
0,46 | 0,1313 | 1,90 | 0,0230 |
0,48 | 0,1275 | 2,00 | 0,0204 |
0,50 | 0,1239 | 2,20 | 0,0161 |
0,52 | 0,1204 | 2,40 | 0,0126 |
0,54 | 0,1171 | 2,60 | 0,0097 |
0,56 | 0,1139 | 2,80 | 0,0075 |
0,58 | 0,1108 | 3,00 | 0,0057 |
0,60 | 0,1079 | 3,20 | 0,0043 |
0,62 | 0,1050 | 3,40 | 0,0032 |
0,64 | 0,1023 | 3,60 | 0,0023 |
0,66 | 0,0997 | 3,80 | 0,0016 |
0,68 | 0,0971 | 4,00 | 0,0011 |
0,70 | 0,0946 | - | - |
\ \ \ | 0 | 0,05 | 0,1 | 0,2 | 0,3 | 0,4 | 0,5 | 0,6 | 0,7 | 0,8 | 0,9 | 1,0 | 1,1 | 1,2 | 1,3 | 1,4 |
1 | 2 | 3 | 4 | 5 | 6 | 7 | 8 | 9 | 10 | 11 | 12 | 13 | 14 | 15 | 16 | 17 |
0 | - | 0,2587 | 0,1918 | 0,1241 | 0,0919 | 0,0667 | 0,0482 | 0,0338 | 0,0219 | 0,0126 | 0,0054 | 0,0011 | -0,0058 | -0,0098 | -0,0132 | -0,0155 |
0,05 | 0,3202 | 0,2578 | 0,2015 | 0,1283 | 0,0950 | 0,0697 | 0,0493 | 0,0345 | 0,0228 | 0,0128 | 0,0054 | 0,0011 | -0,0058 | -0,0098 | -0,0132 | -0,0155 |
0,1 | 0,2578 | 0,2410 | 0,1937 | 0,1323 | 0,1000 | 0,0745 | 0,0526 | 0,0365 | 0,0235 | 0,0138 | 0,0054 | 0,0011 | -0,0058 | -0,0098 | -0,0132 | -0,0155 |
0,2 | 0,1936 | 0,1754 | 0,1723 | 0,1330 | 0,0945 | 0,0725 | 0,0529 | 0,0398 | 0,0252 | 0,0148 | 0,0067 | 0,0013 | -0,0048 | -0,0098 | -0,0128 | -0,0150 |
0,3 | 0,1565 | 0,1489 | 0,1365 | 0,1192 | 0,0925 | 0,0707 | 0,0524 | 0,0467 | 0,0254 | 0,0156 | 0,0084 | 0,0015 | -0,0037 | -0,0083 | -0,0114 | -0,0144 |
0,4 | 0,1307 | 0,1297 | 0,1247 | 0,1119 | 0,0883 | 0,0692 | 0,0523 | 0,0424 | 0,0285 | 0,0173 | 0,0093 | 0,0028 | -0,0022 | -0,0070 | -0,0105 | -0,0132 |
0,5 | 0,1108 | 0,1012 | 0,1007 | 0,0975 | 0,0824 | 0,0659 | 0,0512 | 0,0386 | 0,0275 | 0,0184 | 0,0105 | 0,0041 | -0,0013 | -0,0060 | -0,0094 | -0,0123 |
0,6 | 0,0949 | 0,0877 | 0,0858 | 0,0850 | 0,0722 | 0,0606 | 0,0492 | 0,0379 | 0,0274 | 0,0189 | 0,0111 | 0,0055 | -0,0003 | -0,0046 | -0,0081 | -0,0110 |
0,7 | 0,0824 | 0,0821 | 0,0818 | 0,0765 | 0,0666 | 0,0578 | 0,0462 | 0,0366 | 0,0272 | 0,0192 | 0,0121 | 0,0061 | 0,0010 | -0,0032 | -0,0059 | -0,0098 |
0,8 | 0,0715 | 0,0710 | 0,0700 | 0,0660 | 0,0601 | 0,0516 | 0,0434 | 0,0344 | 0,0264 | 0,0195 | 0,0124 | 0,0069 | 0,0019 | -0,0027 | -0,0050 | -0,0087 |
0,9 | 0,0620 | 0,0619 | 0,0610 | 0,0579 | 0,0530 | 0,0469 | 0,0389 | 0,0323 | 0,0250 | 0,0188 | 0,0127 | 0,0075 | 0,0026 | -0,0014 | -0,0048 | -0,0076 |
1,00 | 0,0543 | 0,0542 | 0,0540 | 0,0504 | 0,0472 | 0,0425 | 0,0366 | 0,0300 | 0,0235 | 0,0175 | 0,0126 | 0,0076 | 0,0032 | -0,0006 | -0,0038 | -0,0056 |
1,1 | 0,0476 | 0,0476 | 0,0474 | 0,0456 | 0,0408 | 0,0372 | 0,0330 | 0,0272 | 0,0220 | 0,0167 | 0,0121 | 0,0077 | 0,0036 | 0 | -0,0030 | -0,0047 |
1,2 | 0,0412 | 0,0412 | 0,0389 | 0,0380 | 0,0372 | 0,0332 | 0,0288 | 0,0245 | 0,0205 | 0,0158 | 0,0112 | 0,0074 | 0,0036 | 0,0006 | -0,0023 | -0,0044 |
1,3 | 0,0360 | 0,0360 | 0,0360 | 0,0340 | 0,0325 | 0,0290 | 0,0259 | 0,0221 | 0,0190 | 0,0146 | 0,0106 | 0,0069 | 0,0038 | 0,0010 | -0,0018 | -0,0042 |
1,4 | 0,0314 | 0,0313 | 0,0311 | 0,0303 | 0,0283 | 0,0260 | 0,0228 | 0,0199 | 0,0165 | 0,0131 | 0,0099 | 0,0067 | 0,0036 | 0,0010 | -0,0012 | -0,0037 |
1,5 | 0,0273 | 0,0272 | 0,0272 | 0,0264 | 0,0247 | 0,0225 | 0,0203 | 0,0175 | 0,0148 | 0,0118 | 0,0092 | 0,0062 | 0,0035 | 0,0020 | -0,0006 | -0,0029 |
1,6 | 0,0240 | 0,0239 | 0,0239 | 0,0230 | 0,0221 | 0,0201 | 0,0181 | 0,0159 | 0,0133 | 0,0107 | 0,0082 | 0,0057 | 0,0032 | 0,0018 | -0,0003 | -0,0025 |
1,7 | 0,0208 | 0,0208 | 0,0208 | 0,0193 | 0,0192 | 0,0177 | 0,0162 | 0,0137 | 0,0118 | 0,0096 | 0,0072 | 0,0056 | 0,0030 | 0,0018 | -0,0002 | -0,0024 |
1,8 | 0,0180 | 0,0179 | 0,0178 | 0,0172 | 0,0166 | 0,0153 | 0,0150 | 0,0121 | 0,0104 | 0,0087 | 0,0067 | 0,0050 | 0,0028 | 0,0017 | -0,0004 | -0,0017 |
1,9 | 0,0156 | 0,0156 | 0,0156 | 0,0150 | 0,0143 | 0,0132 | 0,0130 | 0,0115 | 0,0095 | 0,0082 | 0,0062 | 0,0048 | 0,0027 | 0,0012 | -0,0004 | -0,0016 |
2,0 | 0,0135 | 0,0135 | 0,0134 | 0,0132 | 0,0130 | 0,0126 | 0,0121 | 0,0106 | 0,0081 | 0,0074 | 0,0059 | 0,0040 | 0,0027 | 0,0009 | 0 | -0,0015 |
2,1 | 0,0116 | 0,0116 | 0,0116 | 0,0114 | 0,0112 | 0,0108 | 0,0104 | 0,0101 | 0,0069 | 0,0063 | 0,0054 | 0,0032 | 0,0024 | 0,0005 | 0 | -0,0014 |
2,2 | 0,0096 | 0,0096 | 0,0096 | 0,0095 | 0,0095 | 0,0092 | 0,0088 | 0,0084 | 0,0059 | 0,0053 | 0,0046 | 0,0025 | 0,0019 | 0,0003 | -0,0004 | -0,0004 |
2,4 | 0,0072 | 0,0072 | 0,0072 | 0,0070 | 0,0069 | 0,0062 | 0,0060 | 0,0059 | 0,0041 | 0,0037 | 0,0031 | 0,0017 | 0,0011 | 0 | -0,0007 | -0,0007 |
2,6 | 0,0051 | 0,0051 | 0,0051 | 0,0050 | 0,0049 | 0,0047 | 0,0044 | 0,0042 | 0,0038 | 0,0024 | 0,0020 | 0,0007 | 0,0003 | 0 | -0,0009 | -0,0015 |
2,8 | 0,0034 | 0,0034 | 0,0034 | 0,0033 | 0,0032 | 0,0030 | 0,0028 | 0,0026 | 0,0020 | 0,0014 | 0,0011 | 0,0005 | 0 | -0,0004 | -0,0008 | -0,0013 |
3,0 | 0,0022 | 0,0022 | 0,0022 | 0,0022 | 0,0021 | 0,0020 | 0,0019 | 0,0017 | 0,0015 | 0,0008 | 0,0006 | 0 | 0 | -0,0006 | -0,0009 | -0,0013 |
3,2 | 0,0014 | 0,0014 | 0,0014 | 0,0013 | 0,0013 | 0,0012 | 0,0011 | 0,0010 | 0,0008 | 0,0005 | 0 | 0 | -0,0004 | -0,0006 | -0,0009 | -0,0012 |
3,4 | 0,0008 | 0,0008 | 0,0008 | 0,0007 | 0,0007 | 0,0006 | 0,0005 | 0,0004 | 0,0003 | 0 | 0 | 0 | -0,0005 | -0,0008 | -0,0009 | -0,0011 |
3,6 | 0,0003 | 0,0003 | 0,0003 | 0,0003 | 0 | 0 | 0 | 0 | 0 | 0 | 0 | -0,0005 | -0,0006 | -0,0007 | -0,0009 | -0,0009 |
3,8 | 0 | 0 | 0 | 0 | 0 | 0 | 0 | 0 | 0 | 0 | 0 | -0,0005 | -0,0006 | -0,0007 | -0,0008 | -0,0009 |
4,0 | 0 | 0 | 0 | 0 | 0 | 0 | 0 | 0 | 0 | 0 | 0 | -0,0005 | -0,0006 | -0,0007 | -0,0007 | -0,0008 |
1,5 | 1,6 | 1,7 | 1,8 | 1,9 | 2,0 | 2,1 | 2,2 | 2,4 | 2,6 | 2,8 | 3,0 | 3,2 | 3,4 | 3,6 | 3,8 | 4,0 |
18 | 19 | 20 | 21 | 22 | 23 | 24 | 25 | 26 | 27 | 28 | 29 | 30 | 31 | 32 | 33 | 34 |
-0,0174 | -0,0191 | -0,0201 | -0,0208 | -0,0210 | -0,0212 | -0,0208 | -0,0207 | -0,0195 | -0,0181 | -0,0170 | -0,0146 | -0,0129 | -0,0111 | -0,0094 | -0,0076 | -0,0066 |
-0,0174 | -0,0191 | -0,0201 | -0,0207 | -0,0210 | -0,0212 | -0,0208 | -0,0207 | -0,0195 | -0,0181 | -0,0170 | -0,0146 | -0,0129 | -0,0111 | -0,0094 | -0,0076 | -0,0066 |
-0,0174 | -0,0190 | -0,0200 | -0,0206 | -0,0210 | -0,0212 | -0,0208 | -0,0207 | -0,0195 | -0,0181 | -0,0170 | -0,0146 | -0,0129 | -0,0111 | -0,0094 | -0,0076 | -0,0066 |
-0,0170 | -0,0186 | -0,0196 | -0,0203 | -0,0207 | -0,0210 | -0,0208 | -0,0206 | -0,0195 | -0,0180 | -0,0170 | -0,0146 | -0,0129 | -0,0106 | -0,0094 | -0,0076 | -0,0066 |
-0,0165 | -0,0181 | -0,0191 | -0,0199 | -0,0204 | -0,0209 | -0,0206 | -0,0205 | -0,0194 | -0,0180 | -0,0171 | -0,0146 | -0,0129 | -0,0104 | -0,0094 | -0,0076 | -0,0066 |
-0,0152 | -0,0170 | -0,0184 | -0,0192 | -0,0197 | -0,0206 | -0,0204 | -0,0204 | -0,0194 | -0,0180 | -0,0171 | -0,0146 | -0,0129 | -0,0104 | -0,0094 | -0,0076 | -0,0066 |
-0,0145 | -0,0162 | -0,0175 | -0,0184 | -0,0189 | -0,0204 | -0,0202 | -0,0202 | -0,0194 | -0,0179 | -0,0170 | -0,0146 | -0,0128 | -0,0104 | -0,0094 | -0,0076 | -0,0066 |
-0,0134 | -0,0152 | -0,0164 | -0,0176 | -0,0180 | -0,0200 | -0,0200 | -0,0200 | -0,0192 | -0,0178 | -0,0170 | -0,0145 | -0,0124 | -0,0102 | -0,0090 | -0,0070 | -0,0064 |
-0,0121 | -0,0141 | -0,0155 | -0,0165 | -0,0174 | -0,0175 | -0,0178 | -0,0176 | -0,0178 | -0,0168 | -0,0156 | -0,0136 | -0,0120 | -0,0102 | -0,0090 | -0,0070 | -0,0064 |
-0,0110 | -0,0128 | -0,0143 | -0,0154 | -0,0169 | -0,0171 | -0,0176 | -0,0174 | -0,0167 | -0,0160 | -0,0146 | -0,0128 | -0,0112 | -0,0097 | -0,0081 | -0,0070 | -0,0064 |
-0,0099 | -0,0118 | -0,0130 | -0,0144 | -0,0149 | -0,0167 | -0,0172 | -0,0171 | -0,0165 | -0,0159 | -0,0145 | -0,0128 | -0,0112 | -0,0097 | -0,0081 | -0,0070 | -0,0060 |
-0,0090 | -0,0107 | -0,0122 | -0,0138 | -0,0145 | -0,0151 | -0,0152 | -0,0153 | -0,0147 | -0,0144 | -0,0135 | -0,0122 | -0,0110 | -0,0090 | -0,0079 | -0,0067 | -0,0060 |
-0,0072 | -0,0097 | -0,0112 | -0,0121 | -0,0139 | -0,0145 | -0,0148 | -0,0150 | -0,0145 | -0,0143 | -0,0130 | -0,0118 | -0,0110 | -0,0090 | -0,0079 | -0,0065 | -0,0059 |
-0,0063 | -0,0087 | -0,0104 | -0,0115 | -0,0125 | -0,0139 | -0,0132 | -0,0132 | -0,0140 | -0,0138 | -0,0126 | -0,0110 | -0,0091 | -0,0084 | -0,0069 | -0,0059 | -0,0056 |
-0,0057 | -0,0079 | -0,0092 | -0,0104 | -0,0111 | -0,0125 | -0,0130 | -0,0129 | -0,0128 | -0,0123 | -0,0124 | -0,0110 | -0,0091 | -0,0084 | -0,0069 | -0,0059 | -0,0053 |
-0,0053 | -0,0070 | -0,0084 | -0,0099 | -0,0106 | -0,0110 | -0,0113 | -0,0115 | -0,0126 | -0,0106 | -0,0104 | -0,0097 | -0,0086 | -0,0080 | -0,0067 | -0,0057 | -0,0048 |
-0,0047 | -0,0062 | -0,0078 | -0,0087 | -0,0096 | -0,0099 | -0,0110 | -0,0112 | -0,0117 | -0,0105 | -0,0104 | -0,0097 | -0,0085 | -0,0073 | -0,0060 | -0,0057 | -0,0048 |
-0,0039 | -0,0057 | -0,0069 | -0,0079 | -0,0092 | -0,0096 | -0,0099 | -0,0102 | -0,0115 | -0,0104 | -0,0095 | -0,0085 | -0,0080 | -0,0070 | -0,0060 | -0,0055 | -0,0045 |
-0,0037 | -0,0051 | -0,0064 | -0,0075 | -0,0080 | -0,0085 | -0,0089 | -0,0100 | -0,0099 | -0,0092 | -0,0090 | -0,0079 | -0,0074 | -0,0062 | -0,0060 | -0,0052 | -0,0042 |
-0,0034 | -0,0047 | -0,0058 | -0,0066 | -0,0072 | -0,0082 | -0,0087 | -0,0092 | -0,0086 | -0,0081 | -0,0080 | -0,0074 | -0,0070 | -0,0060 | -0,0053 | -0,0048 | -0,0040 |
-0,0032 | -0,0042 | -0,0052 | -0,0060 | -0,0069 | -0,0076 | -0,0081 | -0,0080 | -0,0078 | -0,0076 | -0,0068 | -0,0066 | -0,0064 | -0,0058 | -0,0053 | -0,0044 | -0,0036 |
-0,0029 | -0,0037 | -0,0047 | -0,0056 | -0,0064 | -0,0070 | -0,0070 | -0,0069 | -0,0075 | -0,0071 | -0,0068 | -0,0065 | -0,0055 | -0,0054 | -0,0046 | -0,0044 | -0,0030 |
-0,0025 | -0,0035 | -0,0044 | -0,0053 | -0,0060 | -0,0061 | -0,0069 | -0,0068 | -0,0067 | -0,0067 | -0,0064 | -0,0060 | -0,0054 | -0,0048 | -0,0046 | -0,0038 | -0,0030 |
-0,0024 | -0,0034 | -0,0042 | -0,0050 | -0,0052 | -0,0058 | -0,0060 | -0,0060 | -0,0058 | -0,0056 | -0,0056 | -0,0050 | -0,0048 | -0,0046 | -0,0040 | -0,0038 | -0,0026 |
-0,0024 | -0,0031 | -0,0036 | -0,0038 | -0,0045 | -0,0047 | -0,0048 | -0,0053 | -0,0048 | -0,0046 | -0,0046 | -0,0044 | -0,0042 | -0,0036 | -0,0034 | -0,0028 | -0,0026 |
-0,0020 | -0,0025 | -0,0029 | -0,0033 | -0,0036 | -0,0039 | -0,0042 | -0,0044 | -0,0044 | -0,0044 | -0,0040 | -0,0040 | -0,0036 | -0,0034 | -0,0029 | -0,0024 | -0,0022 |
-0,0018 | -0,0022 | -0,0026 | -0,0027 | -0,0028 | -0,0031 | -0,0034 | -0,0037 | -0,0038 | -0,0036 | -0,0033 | -0,0032 | -0,0028 | -0,0026 | -0,0022 | -0,0020 | -0,0018 |
-0,0015 | -0,0018 | -0,0020 | -0,0023 | -0,0026 | -0,0026 | -0,0030 | -0,0030 | -0,0030 | -0,0032 | -0,0029 | -0,0029 | -0,0023 | -0,0023 | -0,0019 | -0,0016 | -0,0013 |
-0,0014 | -0,0016 | -0,0018 | -0,0020 | -0,0021 | -0,0021 | -0,0023 | -0,0023 | -0,0024 | -0,0025 | -0,0025 | -0,0022 | -0,0020 | -0,0017 | -0,0016 | -0,0014 | -0,0011 |
-0,0012 | -0,0014 | -0,0015 | -0,0017 | -0,0018 | -0,0019 | -0,0019 | -0,0019 | -0,0019 | -0,0019 | -0,0019 | -0,0019 | -0,0015 | -0,0014 | -0,0013 | -0,0010 | - |
-0,0011 | -0,0012 | -0,0014 | -0,0014 | -0,0015 | -0,0016 | -0,0016 | -0,0016 | -0,0017 | -0,0017 | -0,0014 | -0,0013 | -0,0013 | -0,0012 | -0,0010 | - | - |
-0,0011 | -0,0007 | -0,0012 | -0,0012 | -0,0013 | -0,0013 | -0,0014 | -0,0014 | -0,0013 | -0,0013 | -0,0013 | -0,0012 | -0,0010 | - | - | - | - |
-0,0009 | -0,0005 | -0,0010 | -0,0010 | -0,0011 | -0,0011 | -0,0011 | -0,0010 | -0,0010 | -0,0010 | -0,0010 | -0,0009 | -0,0008 | - | - | - | - |
0,0 | 0,5000 | |
0,02 | 0,0007 | 0,4997 |
0,04 | 0,0011 | 0,4989 |
0,06 | 0,0019 | 0,4977 |
0,08 | 0,0031 | 0,4963 |
0,10 | 0,0044 | 0,4946 |
0,12 | 0,0061 | 0,4926 |
0,14 | 0,0081 | 0,4904 |
0,16 | 0,0104 | 0,4880 |
0,18 | 0,0130 | 0,4854 |
0,20 | 0,0159 | 0,4926 |
0,22 | 0,0191 | 0,4797 |
0,24 | 0,0225 | 0,4767 |
0,26 | 0,0263 | 0,4735 |
0,28 | 0,0303 | 0,4701 |
0,30 | 0,0345 | 0,4667 |
0,32 | 0,0391 | 0,4632 |
0,34 | 0,0438 | 0,4595 |
0,36 | 0,0489 | 0,4558 |
0,38 | 0,0541 | 0,4520 |
0,40 | 0,0596 | 0,4480 |
0,42 | 0,0654 | 0,4441 |
0,44 | 0,0714 | 0,4400 |
0,46 | 0,0775 | 0,4359 |
0,48 | 0,0839 | 0,4318 |
0,50 | 0,0906 | 0,4275 |
0,52 | 0,0974 | 0,4233 |
0,54 | 0,1044 | 0,4190 |
0,56 | 0,1116 | 0,4146 |
0,58 | 0,1190 | 0,4102 |
0,60 | 0,1265 | 0,4058 |
0,62 | 0,1342 | 0,4014 |
0,64 | 0,1421 | 0,3969 |
0,66 | 0,1402 | 0,3924 |
0,68 | 0,1584 | 0,3879 |
0,70 | 0,1668 | 0,3834 |
0,72 | 0,1752 | 0,3788 |
0,74 | 0,1839 | 0,3743 |
0,76 | 0,1926 | 0,3697 |
0,78 | 0,2015 | 0,3651 |
0,80 | 0,2105 | 0,3606 |
0,82 | 0,2196 | 0,3560 |
0,84 | 0,2289 | 0,3514 |
0,86 | 0,2382 | 0,3468 |
0,88 | 0,2476 | 0,3423 |
0,90 | 0,2571 | 0,3377 |
0,92 | 0,2667 | 0,3332 |
0,94 | 0,2763 | 0,3286 |
0,96 | 0,2861 | 0,3241 |
0,98 | 0,2959 | 0,3196 |
1,00 | 0,3057 | 0,3151 |
1,10 | 0,3558 | 0,2929 |
1,20 | 0,4067 | 0,2713 |
1,30 | 0,4579 | 0,2504 |
1,40 | 0,5087 | 0,2302 |
1,50 | 0,5589 | 0,2110 |
1,60 | 0,6081 | 0,1926 |
1,70 | 0,6557 | 0,1752 |
1,80 | 0,7016 | 0,1588 |
1,90 | 0,7453 | 0,1433 |
2,00 | 0,7868 | 0,1289 |
2,20 | 0,8629 | 0,1026 |
2,40 | 0,9288 | 0,0804 |
2,60 | 0,9841 | 0,0614 |
2,80 | 1,0290 | 0,0415 |
3,00 | 1,0645 | 0,0326 |
3,20 | 1,0904 | 0,0220 |
3,40 | 1,1089 | 0,0137 |
3,60 | 1,1204 | 0,0071 |
3,80 | 1,1253 | 0,0021 |
4,00 | 1,1258 | -0,0014 |
Марка бетона на сжатие | Модуль упругости бетона, кгс/см2 | Жесткость сечений (в тыс. тс·м2) при толщине плиты, см | ||||||||||||||
14 | 16 | 18 | 20 | 22 | 24 | 26 | 28 | 30 | 32 | 36 | 40 | 44 | 48 | 50 | ||
250 | 2,65 x 105 | 0,62 | 0,92 | 1,32 | 1,8 | 2,39 | 3,12 | 3,97 | 4,94 | 6,1 | 7,4 | 10,5 | 14,4 | 19,2 | 25,0 | 28,2 |
350 | 3,1 x 105 | 0,72 | 1,08 | 1,53 | 2,1 | 2,8 | 3,63 | 4,62 | 5,77 | 7,1 | 8,65 | 12,3 | 16,9 | 22,5 | 29,3 | 33,0 |
400 | 3,3 x 105 | 0,77 | 1,15 | 1,64 | 2,24 | 2,95 | 3,88 | 4,93 | 6,16 | 7,56 | 9,2 | 13,1 | 18,0 | 23,9 | 31,2 | 35,0 |
500 | 3,6 x 105 | 0,84 | 1,25 | 1,79 | 2,45 | 3,26 | 4,24 | 5,38 | 6,73 | 8,25 | 10,1 | 14,3 | 19,6 | 26,1 | 34,0 | 38,3 |
600 | 3,8 x 105 | 0,89 | 1,32 | 1,88 | 2,58 | 3,44 | 4,46 | 5,67 | 7,10 | 8,72 | 10,4 | 15,2 | 20,8 | 27,6 | 36,0 | 40,5 |
Категория нормативной нагрузки | Группы участков | Значения моментов (в тс·м) при упругой характеристике плиты, см | ||||||
50 | 70 | 90 | 110 | 130 | 150 | 170 | ||
1 | 2 | 3 | 4 | 5 | 6 | 7 | 8 | 9 |
Внеклассная | А | 3,666 | 5,013 | 6,092 | 7,099 | 8,402 | 9,531 | 10,28 |
Б | 3,450 | 4,687 | 5,678 | 6,602 | 7,798 | 8,828 | 9,32 | |
В, Г | 3,075 | 4,131 | 4,973 | 5,760 | 6,777 | 7,655 | 8,07 | |
I | А | 3,198 | 4,314 | 5,204 | 6,034 | 7,108 | 8,037 | 9,059 |
Б | 3,006 | 4,030 | 4,847 | 5,608 | 6,594 | 7,444 | 8,324 | |
В, Г | 2,674 | 3,546 | 4,242 | 4,890 | 5,728 | 6,452 | 7,233 | |
II | А | 2,690 | 3,570 | 4,271 | 4,925 | 5,769 | 6,500 | 7,300 |
Б | 2,525 | 3,332 | 3,975 | 4,574 | 5,350 | 6,019 | 6,710 | |
В, Г | 2,240 | 2,928 | 3,475 | 3,985 | 4,644 | 5,214 | 5,816 | |
III | А | 2,128 | 2,770 | 3,281 | 3,758 | 4,374 | 4,906 | 5,477 |
Б | 1,994 | 2,584 | 3,053 | 3,489 | 4,053 | 4,540 | 5,086 | |
В, Г | 1,764 | 2,266 | 2,665 | 3,036 | 3,517 | 3,930 | 4,389 | |
IV | А | 1,714 | 2,196 | 2,581 | 2,939 | 3,401 | 3,799 | 4,225 |
Б | 1,604 | 2,047 | 2,398 | 2,728 | 3,151 | 3,517 | 3,914 | |
В, Г | 1,415 | 1,792 | 2,092 | 2,371 | 2,731 | 3,039 | 3,363 | |
V | А | 1,277 | 1,569 | 1,788 | 1,966 | 2,115 | 2,244 | 2,355 |
Б | 1,206 | 1,474 | 1,675 | 1,839 | 1,975 | 2,092 | 2,195 | |
В, Г | 1,079 | 1,309 | 1,481 | 1,619 | 1,736 | 1,836 | 1,922 | |
VI | А | 0,817 | 1,000 | 1,138 | 1,249 | 1,342 | 1,422 | 1,492 |
Б | 0,770 | 0,938 | 1,065 | 1,166 | 1,251 | 1,324 | 1,389 | |
В, Г | 0,688 | 0,831 | 0,939 | 1,026 | 1,099 | 1,161 | 1,216 | |
.Группа участков | Упругая характеристика l, см | Значения моментов (в тс·м) для типов воздушных судов | |||||||||||
Ил-62М | Ил-86 | Ил-76Т | Ту-154Б | Ил-18Д | Ту-134А | Як-42 | Ан-24 | Як-40 | |||||
G = 206 т | G = 245 т | G = 170 т | G = 190 т | G = 210 т | |||||||||
1 | 2 | 3 | 4 | 5 | 6 | 7 | 8 | 9 | 10 | 11 | 12 | 13 | 14 |
А | 30 | - | - | - | 1,169 | 1,253 | 1,369 | 1,127 | 1,047 | 0,907 | 0,96 | 0,698 | 0,773 |
50 | 3,534 | 2,324 | 2,802 | 2,284 | 2,491 | 2,731 | 1,813 | 1,701 | 1,416 | 1,484 | 1,164 | 1,161 | |
70 | 4,780 | 3,110 | 3,683 | 3,298 | 3,621 | 3,981 | 2,545 | 2,199 | 1,792 | 1,841 | 1,503 | 1,425 | |
90 | 5,788 | 3,785 | 4,553 | 4,171 | 4,60 | 5,060 | 3,476 | 2,689 | 2,240 | 2,247 | 1,763 | 1,625 | |
110 | 6,637 | 4,370 | 5,247 | 4,941 | 5,454 | 6,011 | 4,322 | 3,242 | 2,661 | 2,669 | 1,979 | 1,785 | |
130 | 7,346 | 4,879 | 5,876 | 5,592 | 6,183 | 6,813 | 5,059 | 3,737 | 3,032 | 3,09 | 1,92 | ||
150 | 8,379 | 5,559 | 6,681 | 6,173 | 6,835 | 7,533 | 5,750 | 4,169 | 3,364 | 3,434 | 2,316 | 2,036 | |
Б | 30 | - | - | - | 1,115 | 1,193 | 1,304 | 1,066 | 0,991 | 0,8547 | 0,905 | 0,658 | 0,738 |
50 | 3,335 | 2,196 | 2,641 | 2,136 | 2,328 | 2,555 | 1,697 | 1,593 | 1,323 | 1,386 | 1,088 | 1,095 | |
70 | 4,482 | 2,918 | 3,461 | 3,067 | 3,367 | 3,707 | 2,368 | 2,049 | 1,666 | 1,749 | 1,399 | 1,337 | |
90 | 5,411 | 3,536 | 4,225 | 3,866 | 4,26 | 4,682 | 3,222 | 2,498 | 2,078 | 2,092 | 1,638 | 1,521 | |
110 | 5,194 | 4,075 | 4,893 | 4,575 | 5,054 | 5,564 | 3,996 | 3,006 | 2,463 | 2,460 | 1,835 | 1,668 | |
130 | 6,848 | 4,541 | 5,467 | 5,169 | 5,719 | 6,307 | 4,674 | 3,458 | 2,805 | 2,851 | 2,002 | 1,792 | |
150 | 7,796 | 5,165 | 6,199 | 5,704 | 6,314 | 6,956 | 5,306 | 3,854 | 3,106 | 3,168 | 2,145 | 1,897 | |
В, Г | 30 | - | - | - | 1,013 | 1,085 | 1,186 | 0,9597 | 0,893 | 0,765 | 0,81 | 0,593 | 0,675 |
50 | 2,880 | 1,971 | 2,369 | 1,884 | 2,056 | 2,256 | 1,497 | 1,406 | 1,163 | 1,211 | 0,959 | 0,974 | |
70 | 3,817 | 2,587 | 3,072 | 2,675 | 2,939 | 3,231 | 2,068 | 1,794 | 1,455 | 1,526 | 1,224 | 1,187 | |
90 | 4,573 | 3,114 | 3,720 | 3,355 | 3,699 | 4,071 | 2,793 | 2,177 | 1,806 | 1,817 | 1,427 | 1,343 | |
110 | 5,210 | 3,572 | 4,289 | 3,958 | 4,372 | 4,819 | 3,454 | 2,608 | 2,134 | 2,16 | 1,595 | 1,468 | |
130 | 5,743 | 3,976 | 4,780 | 4,464 | 4,938 | 5,444 | 4,028 | 2,994 | 2,425 | 2,468 | 1,736 | 1,574 | |
150 | 6,515 | 4,499 | 5,406 | 4,918 | 5,440 | 6,001 | 4,567 | 3,331 | 2,682 | 2,73 | 1,957 | 1,665 | |
Категории нормативной нагрузки | Группа участков | Толщина асфальтобетона, см | Значения моментов (в тс·м) при упругой характеристике плиты, см | |||||
70 | 90 | 110 | 130 | 150 | 170 | |||
1 | 2 | 3 | 4 | 5 | 6 | 7 | 8 | 9 |
В/к | А, Б | 10 | 4,62 | 5,64 | 6,70 | 7,96 | 9,30 | 10,35 |
20 | 4,16 | 5,16 | 6,22 | 7,48 | 8,82 | 9,86 | ||
30 | 3,78 | 4,77 | 5,83 | 7,08 | 8,44 | 9,47 | ||
В, Г | 10 | 4,05 | 4,92 | 5,82 | 6,88 | 8,04 | 8,93 | |
20 | 3,63 | 4,48 | 5,38 | 6,45 | 7,59 | 8,49 | ||
30 | 3,29 | 4,13 | 5,03 | 6,09 | 7,24 | 8,13 | ||
I | А, Б | 10 | 3,94 | 4,80 | 5,65 | 6,70 | 7,78 | 8,62 |
20 | 3,52 | 4,36 | 5,25 | 6,28 | 7,35 | 8,22 | ||
30 | 3,20 | 4,00 | 4,90 | 5,89 | 7,05 | 7,90 | ||
В, Г | 10 | 2,96 | 3,67 | 4,44 | 5,30 | 6,23 | 6,98 | |
20 | 2,71 | 3,39 | 4,13 | 5,02 | 5,96 | 6,70 | ||
30 | 2,46 | 3,14 | 3,90 | 4,75 | 5,72 | 6,46 | ||
II | А, Б | 10 | 3,22 | 3,90 | 4,58 | 5,40 | 6,25 | 6,96 |
20 | 2,88 | 3,52 | 4,25 | 5,03 | 5,90 | 6,60 | ||
30 | 2,60 | 3,24 | 3,93 | 4,75 | 5,64 | 6,30 | ||
В, Г | 10 | 2,80 | 3,39 | 3,97 | 4,66 | 5,39 | 5,97 | |
20 | 2,50 | 3,06 | 3,64 | 4,33 | 5,07 | 5,65 | ||
30 | 2,24 | 2,81 | 3,38 | 4,08 | 4,80 | 5,39 | ||
III | А, Б | 10 | 2,48 | 2,96 | 3,46 | 4,05 | 4,68 | 5,17 |
20 | 2,20 | 2,66 | 3,16 | 3,77 | 4,38 | 4,87 | ||
30 | 1,96 | 2,44 | 2,94 | 3,54 | 4,17 | 4,68 | ||
В, Г | 10 | 2,17 | 2,57 | 3,00 | 3,49 | 4,02 | 4,47 | |
20 | 1,90 | 2,31 | 2,74 | 3,25 | 3,78 | 4,20 | ||
30 | 1,70 | 2,11 | 2,54 | 3,04 | 3,57 | 4,00 | ||
IV | А, Б | 6 | 2,06 | 2,42 | 2,79 | 3,25 | 3,71 | 4,13 |
10 | 1,95 | 2,30 | 2,67 | 3,11 | 3,60 | 3,98 | ||
20 | 1,69 | 2,07 | 2,44 | 2,88 | 3,35 | 3,72 | ||
В, Г | 6 | 1,79 | 2,11 | 2,43 | 2,81 | 3,22 | 3,55 | |
10 | 1,70 | 2,01 | 2,31 | 2,70 | 3,11 | 3,42 | ||
20 | 1,48 | 1,79 | 2,10 | 2,48 | 2,89 | 3,21 | ||
V | А, Б | 6 | 1,99 | 2,37 | 2,77 | 3,24 | 3,76 | 4,16 |
10 | 1,88 | 2,28 | 2,68 | 3,16 | 3,66 | 4,06 | ||
В, Г | 6 | 1,75 | 2,06 | 2,41 | 2,81 | 3,24 | 3,60 | |
10 | 1,64 | 1,99 | 2,33 | 2,73 | 3,16 | 3,50 | ||

Марка бетона | Киm | Мпр (в тс·м) при толщине плиты, см | ||||||||
14 | 16 | 18 | 20 | 22 | 24 | 26 | 28 | 30 | ||
1 | 2 | 3 | 4 | 5 | 6 | 7 | 8 | 9 | 10 | 11 |
М 250 | 0,8 | 0,6 | 0,785 | 0,994 | 1,227 | 1,484 | 1,766 | 2,073 | 2,404 | 2,760 |
0,9 | 0,676 | 0,883 | 1,118 | 1,380 | 1,669 | 1,987 | 2,332 | 2,705 | 3,105 | |
1,0 | 0,751 | 0,981 | 1,242 | 1,533 | 1,855 | 2,208 | 2,591 | 3,005 | 3,450 | |
1,1 | 6,826 | 1,08 | 1,366 | 1,366 | 2,041 | 2,429 | 2,850 | 3,306 | 3,795 | |
1,2 | 0,902 | 1,178 | 1,490 | 1,840 | 2,226 | 2,649 | 3,109 | 3,606 | 4,140 | |
М 300 | 0,8 | 0,732 | 0,956 | 1,209 | 1,493 | 1,807 | 2,150 | 2,524 | 2,927 | 3,360 |
0,9 | 0,823 | 1,075 | 1,361 | 1,680 | 2,033 | 2,419 | 2,839 | 3,293 | 3,780 | |
1,0 | 0,915 | 1,195 | 1,512 | 1,867 | 2,259 | 2,688 | 3,155 | 3,659 | 4,200 | |
1,1 | 1,006 | 1,314 | 1,663 | 2,053 | 2,484 | 2,956 | 3,470 | 4,024 | 4,620 | |
1,2 | 1,098 | 1,434 | 1,814 | 2,240 | 2,71 | 3,226 | 3,786 | 4,390 | 5,040 | |
М 350 | 0,8 | 0,810 | 1,058 | 1,339 | 1,653 | 2,00 | 2,380 | 2,794 | 3,240 | 3,72 |
0,9 | 0,911 | 1,19 | 1,507 | 1,86 | 2,25 | 2,678 | 3,143 | 3,646 | 4,185 | |
1,0 | 1,013 | 1,323 | 1,674 | 2,067 | 2,500 | 2,976 | 3,493 | 4,051 | 4,65 | |
1,1 | 1,114 | 1,455 | 1,841 | 2,273 | 2,751 | 3,274 | 3,842 | 4,456 | 5,115 | |
1,2 | 1,21 | 1,587 | 2,009 | 2,48 | 3,0 | 3,571 | 4,191 | 4,861 | 5,580 | |
М 400 | 0,8 | 0,915 | 1,195 | 1,512 | 1,867 | 2,259 | 2,688 | 3,155 | 3,659 | 4,20 |
0,9 | 1,029 | 1,344 | 1,701 | 2,100 | 2,541 | 3,024 | 3,549 | 4,116 | 4,725 | |
1,0 | 1,143 | 1,493 | 1,890 | 2,333 | 2,823 | 3,360 | 3,943 | 4,573 | 5,25 | |
1,1 | 1,258 | 1,643 | 2,079 | 2,567 | 3,106 | 3,696 | 4,338 | 5,031 | 5,775 | |
1,2 | 1,372 | 1,792 | 2,268 | 2,800 | 3,388 | 4,032 | 4,732 | 5,488 | 6,300 | |
(принято b = 100 см).Типы воздушных судов | Коэффициенты постели основания C, кгс/см2 | Прогибы в центре плиты (в мм) при следующих упругих характеристиках плиты, см | ||||
50 | 70 | 90 | 110 | 130 | ||
1 | 2 | 3 | 4 | 5 | 6 | 7 |
Самолеты: | ||||||
Ил-62 | 3 | 5,46 | 3,77 | 2,78 | 2,13 | 1,67 |
5 | 3,26 | 2,26 | 1,67 | 1,28 | 1,00 | |
8 | 2,06 | 1,40 | 1,04 | 0,80 | 0,63 | |
10 | 1,63 | 1,13 | 0,84 | 0,64 | 0,50 | |
Ил-86 206 т | 3 | 3,550 | 2,559 | 1,975 | 1,548 | 1,239 |
5 | 2,130 | 1,535 | 1,185 | 0,928 | 0,743 | |
8 | 1,332 | 0,960 | 0,740 | 0,580 | 0,464 | |
10 | 1,065 | 0,768 | 0,592 | 0,465 | 0,372 | |
Ил-86 245 т | 3 | 4,208 | 3,041 | 2,344 | 1,841 | 1,471 |
5 | 2,525 | 1,824 | 1,406 | 1,105 | 0,882 | |
8 | 1,579 | 1,14 | 0,879 | 0,691 | 0,551 | |
10 | 1,262 | 0,912 | 0,703 | 0,553 | 0,441 | |
Ил-76 170 т | 3 | 3,770 | 2,489 | 1,736 | 1,269 | 0,964 |
5 | 2,262 | 1,493 | 1,042 | 0,7609 | 0,579 | |
8 | 1,414 | 0,933 | 0,6906 | 0,475 | 0,3617 | |
10 | 1,131 | 0,746 | 0,520 | 0,380 | 0,2887 | |
Ил-76 190 т | 3 | 4,199 | 2,780 | 1,934 | 1,417 | 1,078 |
5 | 2,519 | 1,668 | 1,159 | 0,851 | 0,646 | |
8 | 1,574 | 1,042 | 0,725 | 0,531 | 0,406 | |
10 | 1,260 | 0,834 | 0,580 | 0,425 | 0,323 | |
Ил-76 210 т | 3 | 4,637 | 3,070 | 2,138 | 1,565 | 1,188 |
5 | 2,782 | 1,843 | 1,282 | 0,939 | 0,713 | |
8 | 1,740 | 1,151 | 0,802 | 0,586 | 0,446 | |
10 | 1,392 | 0,921 | 0,641 | 0,470 | 0,357 | |
Ан-24 | 3 | 1,62 | 0,91 | 0,58 | 0,40 | 0,29 |
5 | 0,97 | 0,55 | 0,35 | 0,24 | 0,18 | |
8 | 0,61 | 0,34 | 0,22 | 0,15 | 0,12 | |
10 | 0,49 | 0,28 | 0,17 | 0,11 | 0,09 | |
Ту-154Б | 3 | 3,689 | 2,648 | 1,923 | 1,440 | 1,107 |
5 | 2,214 | 1,589 | 1,154 | 0,863 | 0,664 | |
8 | 1,383 | 0,992 | 0,722 | 0,539 | 0,415 | |
10 | 1,106 | 0,794 | 0,577 | 0,431 | 0,332 | |
Як-42 | 3 | 2,33 | 1,53 | 1,09 | 0,78 | 0,59 |
5 | 1,40 | 0,92 | 0,65 | 0,47 | 0,36 | |
8 | 0,87 | 0,57 | 0,41 | 0,29 | 0,22 | |
10 | 0,69 | 0,46 | 0,33 | 0,23 | 0,18 | |
Ил-18 | 3 | 2,90 | 1,91 | 1,33 | 0,98 | 0,74 |
5 | 1,74 | 1,15 | 0,80 | 0,59 | 0,44 | |
8 | 1,09 | 0,72 | 0,50 | 0,37 | 0,28 | |
10 | 0,87 | 0,57 | 0,40 | 0,29 | 0,22 | |
Ту-134 | 3 | 2,17 | 1,54 | 0,96 | 0,68 | 0,53 |
5 | 1,30 | 0,92 | 0,58 | 0,41 | 0,32 | |
8 | 0,81 | 0,58 | 0,36 | 0,26 | 0,20 | |
10 | 0,65 | 0,46 | 0,29 | 0,20 | 0,16 | |
Ан-2 | 3 | 0,53 | 0,28 | 0,17 | - | - |
5 | 0,32 | 0,17 | 0,10 | - | - | |
8 | 0,20 | 0,10 | 0,06 | - | - | |
10 | 0,16 | 0,08 | 0,05 | - | - | |
Вертолеты: | ||||||
I класса, тяжелые | 3 | 3,02 | 1,62 | 1,01 | 0,69 | 0,50 |
5 | 1,81 | 0,97 | 0,61 | 0,41 | 0,30 | |
8 | 1,13 | 0,61 | 0,38 | 0,26 | 0,19 | |
10 | 0,91 | 0,49 | 0,30 | 0,21 | 0,15 | |
II класса, средние | 3 | 1,14 | 0,60 | 0,37 | 0,25 | 0,19 |
5 | 0,68 | 0,36 | 0,22 | 0,15 | 0,11 | |
8 | 0,43 | 0,23 | 0,14 | 0,09 | 0,07 | |
10 | 0,34 | 0,20 | 0,11 | 0,08 | 0,06 | |
III класса, легкие | 3 | 0,39 | 0,21 | 0,13 | 0,09 | 0,07 |
5 | 0,24 | 0,12 | 0,08 | 0,05 | 0,04 | |
8 | 0,15 | 0,08 | 0,05 | 0,03 | 0,02 | |
10 | 0,12 | 0,06 | 0,04 | 0,03 | 0,02 | |
Ми-6 | 3 | 2,92 | 1,54 | 0,97 | 0,67 | 0,48 |
5 | 1,75 | 0,92 | 0,58 | 0,40 | 0,29 | |
8 | 1,09 | 0,58 | 0,36 | 0,25 | 0,18 | |
10 | 0,88 | 0,46 | 0,29 | 0,20 | 0,14 | |
Ми-10К | 3 | 2,31 | 1,33 | 0,85 | 0,59 | 0,54 |
5 | 1,39 | 0,80 | 0,51 | 0,35 | 0,32 | |
8 | 0,87 | 0,50 | 0,32 | 0,22 | 0,20 | |
10 | 0,69 | 0,40 | 0,26 | 0,18 | 0,16 | |
Ми-8 | 3 | 0,84 | 0,44 | 0,27 | 0,19 | 0,14 |
5 | 0,50 | 0,27 | 0,16 | 0,11 | 0,08 | |
8 | 0,31 | 0,17 | 0,10 | 0,07 | 0,05 | |
10 | 0,25 | 0,13 | 0,08 | 0,06 | 0,04 | |
Ми-4 | 3 | 0,60 | 0,31 | 0,19 | 0,13 | - |
5 | 0,36 | 0,19 | 0,12 | 0,08 | - | |
8 | 0,22 | 0,12 | 0,07 | 0,05 | - | |
10 | 0,18 | 0,09 | 0,06 | 0,04 | - | |
Ми-2 | 3 | 0,26 | 0,14 | 0,09 | - | - |
5 | 0,16 | 0,08 | 0,05 | - | - | |
8 | 0,10 | 0,05 | 0,03 | - | - | |
10 | 0,08 | 0,04 | 0,03 | - | - | |
Ми-1 | 3 | 0,22 | 0,11 | 0,07 | - | - |
5 | 0,13 | 0,07 | 0,04 | - | - | |
8 | 0,08 | 0,04 | 0,03 | - | - | |
10 | 0,06 | 0,03 | 0,02 | - | - | |
Ка-26 | 3 | 0,26 | 0,13 | 0,08 | - | - |
5 | 0,15 | 0,8 | 0,05 | - | - | |
8 | 0,10 | 0,05 | 0,03 | - | - | |
10 | 0,08 | 0,04 | 0,03 | - | - | |
, при Кw = 1.


при К = 1,2 (для однослойных цементобетонных и армобетонных покрытий). На рис. 10 - 12 представлены графики расчетных изгибающих моментов в центре плиты
при К = 1,15 (для железобетонных покрытий). На рис. 14 - 16 представлены графики центральных изгибающих моментов для двухслойных жестких покрытий
. На рис. 10 - 12 - графики предельных изгибающих моментов Мпр. На рис. 14 - 16 - графики предельных изгибающих моментов
, где
,
.

.

.
.
.
.
.
.



, определяется жесткость сечения плиты В;
и Мпр. Если окончательное расхождение между ними менее 5%, расчет толщины заканчивается и принимаются те значения h и 
;
, dа = 1,4 см;
определяется по III квадранту:
; то же при
.

.
.
.
.
.





, далее последовательно в квадрантах II и III по значениям параметра
, q = 6,9 кгс/см2.












;
(при
); hосн = 17,5 x 1,26 = 22 см.
(при
);



Номера участков армирования | Участки армирования плит | Рекомендуемое армирование участков плит | |
при наличии стыков в плитах | при отсутствии стыков в плитах | ||
Нижняя зона плиты | |||
1 | в продольном и поперечном направлениях | ||
2 | в продольном направлении | ![]() | ![]() |
в поперечном направлении | |||
3 | в продольном направлении | ![]() | ![]() |
в поперечном направлении | ![]() | ![]() | |
4 | в продольном направлении | ||
в поперечном направлении | ![]() | ![]() | |
Верхняя зона плиты | |||
5 | в продольном направлении | ![]() | ![]() |
в поперечном направлении | ![]() | ||
6 | в продольном направлении | ![]() | ![]() |
в поперечном направлении | ![]() | ||
7 | в продольном направлении | ![]() | |
в поперечном направлении | ![]() | ||
8 | в продольном направлении | ![]() | |
в поперечном направлении | ![]() | ||
9 | в продольном направлении | ![]() | |
в поперечном направлении | ![]() | ||
10 | в продольном и поперечном направлениях | ![]() | |
Процент армирования | Шаг армирования (в см) при толщине плиты, см | ||||||||||||
16 | 18 | 20 | 22 | 24 | 26 | 28 | 30 | 32 | 34 | 36 | 38 | 40 | |
1 | 2 | 3 | 4 | 5 | 6 | 7 | 8 | 9 | 10 | 11 | 12 | 13 | 14 |
d = 10 мм: | |||||||||||||
0,15 | - | - | 26 | 31 | 27,5 | 25 | 23 | 21 | - | - | - | - | - |
0,20 | - | 30 | 26 | 23 | 21 | 19 | 17 | 15,5 | - | - | - | - | - |
0,25 | 29 | 24 | 21 | 13,5 | 16,5 | 15 | 13,5 | 12,5 | - | - | - | - | - |
d = 12 мм: | |||||||||||||
0,15 | - | - | - | - | - | - | - | 30 | 27 | 26 | 24,4 | 23 | 21,5 |
0,20 | - | - | - | - | 30 | 27 | 25 | 23 | 21 | 19,5 | 18,2 | 17 | 16,2 |
0,25 | - | - | 30 | 27 | 24 | 21,5 | 19,5 | 18 | 17 | 15,6 | 14,6 | 13,7 | 12,9 |
0,30 | - | 29 | 25 | 22 | 20 | 18 | 16,5 | 15 | 14 | 13 | 12,2 | 11,5 | 10,8 |
0,35 | 29 | 25 | 21,5 | 19 | 17 | 15,5 | 14 | 13 | 11 | 11,1 | 10,4 | 10 | 9,3 |
0,40 | 26 | 21,5 | 19 | 16,5 | 15 | 13,5 | 12,5 | 11,5 | 10,5 | 9,7 | - | - | - |
0,45 | 23 | 19 | 17 | 15 | 13 | 12 | 11 | 10 | - | - | - | - | - |
0,50 | 20,5 | 17,5 | 15 | 13 | 12 | 11,5 | 10 | - | - | - | - | - | - |
0,55 | 18,5 | 16 | 13,5 | 12 | 11 | 10 | - | - | - | - | - | - | - |
0,60 | 17 | 14,5 | 12,5 | 11 | 10 | - | - | - | - | - | - | - | - |
0,65 | 16 | 13,5 | 11,5 | 10 | - | - | - | - | - | - | - | - | - |
0,70 | 15 | 12,5 | 11 | - | - | - | - | - | - | - | - | - | - |
0,75 | 13,5 | 11,5 | 10 | - | - | - | - | - | - | - | - | - | - |
0,80 | 13 | 10,5 | - | - | - | - | - | - | - | - | - | - | - |
0,85 | 12 | 10 | - | - | - | - | - | - | - | - | - | - | - |
0,90 | 11,5 | - | - | - | - | - | - | - | - | - | - | - | - |
d = 14 мм: | |||||||||||||
0,25 | - | - | - | - | - | 29,5 | 27 | 24,5 | 22,8 | 21,3 | 20 | 18,7 | 17,6 |
0,30 | - | - | - | 30 | 27 | 24,5 | 22,5 | 20,5 | 19,0 | 17,7 | 16,6 | 15,5 | 14,7 |
0,35 | - | - | 29,5 | 26 | 23 | 21 | 19 | 17,5 | 16,3 | 15,2 | 14,2 | 13,3 | 12,6 |
0,40 | - | 29,5 | 25,5 | 23 | 20 | 18,5 | 16,5 | 15,5 | 14,3 | 13,3 | 12,4 | 11,7 | 11,0 |
0,45 | - | 26 | 23 | 20 | 18 | 16 | 15 | 13,5 | 12,3 | 11,8 | 11,0 | 10,4 | 9,7 |
0,50 | 28 | 24 | 20,5 | 18 | 16 | 14,5 | 13,5 | 12,5 | 11,4 | 10,6 | 9,9 | 9,4 | - |
0,55 | 25,5 | 21,5 | 18,5 | 16,5 | 14,5 | 13,5 | 12 | 11 | 10,4 | - | - | - | - |
0,60 | 23,5 | 20 | 17 | 15 | 13,5 | 12 | 11 | 10 | 9,5 | - | - | - | - |
0,65 | 21,5 | 18 | 16 | 14 | 12,5 | 10 | 10 | - | - | - | - | - | - |
0,70 | 20 | 17 | 14,5 | 13 | 11,5 | 10 | - | - | - | - | - | - | - |
0,75 | 18,5 | 16 | 13,5 | 12 | 11 | 10 | - | - | - | - | - | - | - |
0,80 | 17,5 | 15 | 13 | 11,5 | 10 | - | - | - | - | - | - | - | - |
0,85 | 16,5 | 14 | 12 | 10,5 | - | - | - | - | - | - | - | - | - |
0,90 | 15,5 | 13 | 11,5 | 10 | - | - | - | - | - | - | - | - | - |
0,95 | 14,5 | 12,5 | 11 | - | - | - | - | - | - | - | - | - | - |
1,00 | 14 | 12 | 10 | - | - | - | - | - | - | - | - | - | - |
d = 16 мм: | |||||||||||||
0,30 | - | - | - | - | - | - | 29 | 27 | 25 | 23 | 21,7 | 20,4 | 19,2 |
0,35 | - | - | - | - | 30 | 27,5 | 25 | 23 | 21,3 | 19,8 | 18,5 | 17,4 | 16,4 |
0,40 | - | - | - | 30 | 26,5 | 24 | 22 | 20 | 18,6 | 17,4 | 16,2 | 15,3 | 14,4 |
0,45 | - | - | 30 | 26 | 23,5 | 21 | 19,5 | 18 | 16,5 | 15,4 | 14,4 | 13,5 | 12,8 |
0,50 | - | - | 27 | 24 | 21 | 19 | 17,5 | 16 | 14,9 | 13,9 | 13,0 | 12,2 | 11,5 |
0,55 | - | 28 | 24,5 | 21,5 | 19 | 17,5 | 16 | 14,5 | 13,5 | 12,6 | 11,8 | 11,1 | 10,4 |
0,60 | 30 | 26 | 22,5 | 19,5 | 17,5 | 16 | 14,5 | 13,5 | 12,4 | 11,6 | 10,8 | 10,2 | 9,6 |
0,65 | 28 | 24 | 20,5 | 18 | 16,5 | 14,5 | 13,5 | 12,5 | 11,4 | 10,7 | 9,9 | - | - |
0,70 | 26 | 22 | 19 | 17 | 15 | 13,5 | 12,5 | 11,5 | 10,6 | 9,9 | - | - | - |
0,75 | 24,5 | 20,5 | 18 | 16 | 14 | 12,5 | 11,5 | 10,5 | 10 | - | - | - | - |
0,80 | 23 | 19 | 17 | 15 | 13 | 12 | 11 | 10 | - | - | - | - | - |
0,85 | 21,5 | 18 | 16 | 14 | 12,5 | 11 | 10,5 | - | - | - | - | - | - |
0,90 | 20 | 17 | 15 | 13 | 12 | 10,5 | 10 | - | - | - | - | - | - |
0,95 | 19 | 16 | 14 | 12,5 | 11 | 10 | - | - | - | - | - | - | - |
1,00 | 18,5 | 15,5 | 13,5 | 12 | 10,5 | - | - | - | - | - | - | - | - |

ИС МЕГАНОРМ: примечание. Единицы измерения даны в соответствии с официальным текстом документа. |
Средняя температура воздуха, наиболее холодных суток, °C | Средняя максимальная скорость охлаждения воздуха, ч | Рекомендуемая марка битума БНД | Рекомендуемый тип асфальтобетона и толщина покрытия в см с верхним слоем из смеси | ||
среднезернистой | мелкозернистой | песчаной | |||
1 | 2 | 3 | 4 | 5 | 6 |
Ниже -35 | До 4 | 130/200 | А,Б-5/5 | А,Б-4/5 | Г-4/6 |
4 | 130/200 | А,Б-5/5 | А-4/5, Б-4/6 | Г-4/6 | |
5 | 130/200 | А-5/6, Б-5/7 | А-4/6, Б-4/7 | Г-4/7 | |
От -31 до -35 | До 2 | 60/90 | А,Б-5/5 | А,Б-4/5 | Г-4/5 |
2 | 60/90 | А,Б-5/6 | А,Б-4/6 | Г-6/6 | |
3 | 60/90 | А-5/7, Б-6/7 | А-4/7, Б-7/7 | Г-8/8 | |
4 | 90/130 | А-5/5, Б-5/6 | А-4/5, Б-4/6 | Г-6/7 | |
5 | 90/130 | А-5/6, Б-5/7 | А-4/6, Б-4/7 | Г-7/7 | |
От -21 до -30 | До 3 | 60/90 | А,Б-5/5 | А,Б-4/5 | Г-4/5 |
3 | 60/90 | А,Б-5/5 | А,Б-4/5 | Г-6/5 | |
4 | 60/90 | А-5/7, Б-6/6 | А-4/7, Б-6/7 | Г-9/6 | |
5 | 60/90 | А-5/8, Б-7/8 | А-4/8, Б-8/8 | Г-12/8 | |
6 | 60/90 | А-6/10, Б-10/9 | А-7/10, Б-11/9 | Г-13/9 | |
7 | 60/90 | А-6/14, Б-12/11 | А-10/12, Б-13/10 | Г-14/10 | |
Выше -20 | До 3 | 40/60 | А,Б-5/5 | А,Б-4/6 | Г-4/6 |
3 | 40/60 | А,Б-5/6 | А,Б-4/6 | Г-5/6 | |
4 | 40/60 | А-5/10, Б-6/10 | А-6/10, Б-7/10 | Г-7/10 | |
Средняя температура воздуха, наиболее холодных суток, °C | Средняя максимальная скорость охлаждения воздуха, град/ч | Рекомендуемая марка битума нефтяного дорожного (БНД) | Рекомендуемый тип асфальтобетона и толщина покрытия в см с верхним слоем из смеси | ||
среднезернистой | мелкозернистой | песчаной | |||
1 | 2 | 3 | 4 | 5 | 6 |
Ниже -35 | До 5 | 130/200 | А,Б-5/0 | А,Б-4/0 | Г-4/0 |
От -31 до -35 | До 3 | 60/90 | А,Б-5/5 | А,Б-4/5 | Г-7/5 |
3 | 60/90 | А-5/5, Б-7/5 | А-4/5, Б-8/5 | Г-9/5 | |
4; 5 | 90/130 | А,Б-5/5 | А,Б-4/5 | Г-4/5 | |
От -21 до -30 | До 3 | 60/90 | А,Б-5/5 | А,Б-4/5 | Г-5/5 |
4 | 60/90 | А-5/5, Б-6/5 | А-4/5, Б-6/5 | Г-9/5 | |
5 | 60/90 | А-5/5, Б-7/5 | А-4/5, Б-8/5 | Г-12/5 | |
6 | 60/90 | А-6/5, Б-10/5 | А-7/5, Б-11/5 | Г-13/5 | |
7 | 60/90 | А-7/5, Б-12/5 | А-10/5, Б-13/5 | Г-14/5 | |
От -20 и выше | До 3 | 40/60 | А,Б-5/5 | А-5/5, Б-4/5 | Г-5/5 |
4 | 40/60 | А-5/5, Б-6/5 | А-5/5, Б-7/5 | Г-8/5 | |
толщина асфальтобетонного слоя.
толщина).






Грунты | Характеристики грунтов | Расчетные характеристики грунтов при относительной влажности Wт (доли границы текучести) | ||||||
0,6 | 0,65 | 0,7 | 0,75 | 0,8 | 0,85 | 0,9 | ||
Песок крупный и гравелистый | 43 | 43 | 43 | 43 | 43 | 43 | 43 | |
Песок средней крупности | 40 | 40 | 40 | 40 | 40 | 40 | 40 | |
Песок мелкий | 38 | 38 | 38 | 38 | 38 | 38 | 38 | |
Песок пылеватый | 36 | 36 | 36 | 36 | 36 | 36 | 36 | |
С, кгс/см2 | 0,09 | 0,09 | 0,09 | 0,09 | 0,09 | 0,09 | 0,09 | |
Супесь | 35 | 35 | 34 | 34 | 33 | - | - | |
С, кгс/см2 | 0,12 | 0,11 | 0,10 | 0,09 | 0,08 | - | - | |
Супесь пылеватая, суглинки, глины | 24 | 21 | 18 | 15 | 13 | 11 | 10 | |
С, кгс/см2 | 0,32 | 0,26 | 0,19 | 0,15 | 0,10 | 0,07 | 0,05 | |
Группы участков покрытий | Среднесуточная приведенная повторность приложения расчетной нагрузки Nсут., прох./сут. | Комплексный коэффициент К при расчете грунтового основания на сдвиг | |
при совместном смещении слоев на контакте | при свободном смещении слоев на контакте | ||
1 | 2 | 3 | 4 |
А | 10 | 1,63 | 0,96 |
15 | 1,45 | 0,84 | |
20 | 1,33 | 0,76 | |
25 | 1,22 | 0,70 | |
30 | 1,15 | 0,65 | |
35 | 1,08 | 0,62 | |
40 | 1,02 | 0,58 | |
45 | 0,97 | 0,55 | |
50 | 0,92 | 0,52 | |
Б, В | 10 | 1,80 | 1,05 |
15 | 1,60 | 0,93 | |
20 | 1,46 | 0,83 | |
25 | 1,34 | 0,77 | |
30 | 1,25 | 0,71 | |
35 | 1,18 | 0,67 | |
40 | 1,11 | 0,63 | |
45 | 1,06 | 0,60 | |
50 | 1,00 | 0,57 | |
Г | 10 | 1,98 | 1,12 |
15 | 1,76 | 1,00 | |
20 | 1,60 | 0,91 | |
25 | 1,48 | 0,84 | |
30 | 1,38 | 0,77 | |
35 | 1,30 | 0,72 | |
40 | 1,22 | 0,68 | |
45 | 1,15 | 0,65 | |
50 | 1,10 | 0,62 | |
Дорожно-климатические зоны | Тип местности по условиям увлажнения | Расчетные влажности (в долях от границы текучести Wт) при толщине конструкции 50 см | ||
супеси | суглинки непылеватые, глины | супеси пылеватые, суглинки пылеватые | ||
1 | 2 | 3 | 4 | 5 |
II | 1 | 0,70 | 0,75 | 0,80* |
2 | 0,75* | 0,80* | 0,85* | |
3 | 0,80* | 0,85* | 0,90* | |
III | 1 | 0,65 | 0,70 | 0,75 |
2 | 0,70 | 0,75 | 0,80* | |
3 | 0,70 | 0,75 | 0,80* | |
IV | 1 | 0,60 | 0,65 | 0,70 |
2 | 0,65 | 0,70 | 0,75 | |
3 | 0,65 | 0,70 | 0,75 | |
V | 1 | 0,60 | 0,60 | 0,65 |
2 | 0,60 | 0,65 | 0,70 | |
3 | 0,65 | 0,70 | 0,70 | |
Толщина конструкции, см | Относительная влажность (в долях границы текучести Wт) | ||
50 | 0,80 | 0,85 | 0,90 |
100 | 0,78 | 0,80 | 0,84 |
150 | 0,76 | 0,78 | 0,80 |
200 | 0,755 | 0,765 | 0,775 |
250 | 0,75 | 0,755 | 0,76 |






(колесо N 3);
(колесо N 4).![]() | ![]() | |
![]() | ![]() | |
![]() | ![]() | |
![]() | ![]() |










N п/п | Расчетные параметры | Показатель для типов воздушных судов | Показатели для III категории нормативной нагрузки | ||
Ту-154 | Ту-134 | Як-40 | |||
1 | 2 | 3 | 4 | 5 | 6 |
1 | Годовая интенсивность движения Ni, операций/год | 7000 | 4000 | 5000 | - |
2 | Число осей в главной опоре n | 3 | 2 | 1 | - |
3 | Ni·n | 21000 | 8000 | 5000 | - |
4 | Число приложений нагрузки за 20 лет Ni·n·20 | 420000 | 160000 | 100000 | - |
5 | Максимальный момент в центральной части плиты от нагрузки при l = 100 см | 2,889 | 1,873 | 1,294 | 2,83 |
6 | Отношение ![]() | 1,02 | 0,665 | 0,456 | 1 |
7 | Эквивалентное число приложений расчетной нагрузки, | 500000 | 40 | - | - |
8 | Расчетное число приложений III категории нормативной нагрузки | - | - | - | 500040 |
9 | Коэффициент Ки | - | - | - | 1,05 |
10 | Максимальный прогиб в центре плиты от нагрузки Wi, см (C = 8 кгс/см3, l = 100 см) | 0,0407 | 0,0229 | 0,0091 | 0,0427 |
11 | Отношение | 0,955 | 0,54 | 0,213 | 1 |
12 | Коэффициент | 0,75 | 0,017 | 0 | 1 |
13 | Эквивалентное число приложений расчетной нагрузки на основание в сутки ![]() | 14,4 | 0,186 | 0 | - |
14 | Расчетное число приложений III категории нормативной нагрузки на основание Uо, проходы/сутки | - | - | - | 14,6 |
15 | Расчетный коэффициент КN | - | - | - | 1,07 |



(колесо N 3);
(колесо N 4).![]() | ![]() | |
![]() | ![]() | |
![]() | ![]() | |
![]() | ![]() |






.
.








![]() | ![]() | |
![]() | ![]() | |
![]() | ![]() | |
![]() | ![]() |






![]() | ![]() | |
![]() | ![]() | |
![]() | ![]() | |
![]() | ![]() |



.








(колесо N 3);
(колесо N 4);![]() | ![]() | |
![]() | ![]() | |
![]() | ![]() | |
![]() | ![]() |










.Номера участков | Направление армирования | Шаг армирования арматурой диаметром 12 мм, см | |
1 | 2 | 3 | 4 |
Нижняя зона плиты | |||
1 | продольное | 0,30 | 16,5 |
поперечное | 0,30 | 16,5 | |
2 | продольное | 0,46 | 11 |
поперечное | 0,30 | 16,5 | |
3 | продольное | 0,46 | 11 |
поперечное | 0,46 | 11 | |
4 | продольное | 0,30 | 16,5 |
поперечное | 0,46 | 11 | |
Верхняя зона плиты | |||
5 | продольное | 0,12 | 30 |
поперечное | 0,23 | 22 | |
6 | продольное | 0,20 | 25 |
поперечное | 0,23 | 22 | |
7 | продольное | 0,35 | 14 |
поперечное | 0,23 | 22 | |
8 | продольное | 0,35 | 14 |
поперечное | 0,35 | 14 | |
9 | продольное | 0,23 | 22 |
поперечное | 0,35 | 14 | |
10 | продольное | 0,23 | 22 |
поперечное | 0,23 | 22 |







![]() | ![]() | |
![]() | ![]() | |
![]() | ![]() | |
![]() | ![]() |







![]() | ![]() | |
![]() | ![]() | |
![]() | ![]() | |
![]() | ![]() |






, отсюда К = 1,60 (по графику рис. 13);

Ки = 1,04 | см. табл. 2 приложения 6. | |
КN = 1,08 |








; l = 500 м;

при
,




при
;
К = 1,0;







, тогда
,








![]() | ![]() |
![]() | ![]() |
![]() | ![]() |
![]() | ![]() |





на 10 м длины напрягаемого участка: длина участка принята равной 50 м,
;
- величина установившихся предварительных напряжений соответственно в нижней и верхней арматуре;
- расстояние от ядровой точки до центра тяжести сечения;

, значит, прочность в поперечном сечении обеспечена.




Кy = 0,44;







; основание из щебня с модулем упругости E1 = 3000 кгс/см2 толщиной 26 см.










![]() | ![]() | |
![]() | ![]() | |
![]() | ![]() | |
![]() | ![]() |





























Ки = 1,25 | табл. 2 приложения 6; | |
КN = 1,13 |









![]() | ![]() | |
![]() | ![]() | |
![]() | ![]() | |
![]() | ![]() |






;
;перегрузки nр = 1,0 | ||
динамичности Кд = 1,1 | ||
условий работы m = 1,1, см. п. 3.61. | ||
; hмин = 9 см, см. табл. 2 приложения 8, в том числе h1 мин = 4 см, h2 мин = 5 см.
















(табл. 1 приложения 9).Тип воздушного судна | Нагрузка на главную опору, тс | Rэ, см | qi, | nос | Коэффициент приведения Кпр (по рис. 16) | Приведенная повторность, проходы | ||
Ил-86 | 63,2 | 31,5 | 1 | 8,5 | 1 | 1 | 1 | 12 |
Ту-154Б | 47,5 | 30,51 | 0,97 | 9,0 | 1,06 | 1 | 1,1 | 22 |
ТУ-134А | 22,3 <*> | |||||||
Ан-24 | 9,9 <*> | |||||||
Тип воздушного судна | qi, | nос | Коэффициент приведения Кпр (по рис. 16) | Приведенная повторность, проходы, Nпр | |||
Ил-86 | 24,1 | 1 | 8,5 | 1 | 2 | 1 | 24 |
Ту-154Б | 16,7 | 0,69 | 9,0 | 1,06 | 3 | 0,07 | 4 |
Ту-134А <*> | |||||||
Ан-24 <*> | |||||||



больше, чем 0,0051, следовательно, прочность по прогибу обеспечена.




, что допустимо. Прочность грунтового основания по сдвигу обеспечена.





(см. рис. 22).Величина | Единица измерения | Соотношение единиц | ||||
подлежащая изъятию | по системе СИ | |||||
наименование | обозначение | наименование | обозначение | |||
1 | 2 | 3 | 4 | 5 | 6 | |
Сила, нагрузка, вес | Килограмм-сила | кгс | Ньютон | Н | 1 кгс ~= 9,8 Н ~= 10 Н | |
тонна-сила | тс | 1 тс ~= 9,8·103 Н ~= 10 кН | ||||
грамм-сила | гс | 1 гс ~= 9,8·10-3 Н ~= 10 мН | ||||
Линейная нагрузка | Килограмм-сила на метр | кгс/м | Ньютон на метр | Н/м | 1 кгс/м ~= 10 Н/м | |
Поверхностная нагрузка | Килограмм-сила на квадратный метр | кгс/м2 | Ньютон на квадратный метр | Н/м2 | 1 кгс/м2 ~= 10 Н/м2 | |
Давление | Килограмм-сила на квадратный сантиметр | кгс/см2 | Паскаль | Па | 1 кгс/см2 ~= 9,8·104 Па ~= 105 Па ~= 0,1 МПа | |
Механическое напряжение | Килограмм-сила на квадратный сантиметр | кгс/см2 | Паскаль | Па | 1 кгс/см2 ~= 9,8·104 Па ~= 105 Па ~= 0,1 МПа | |
Модуль упругости | Килограмм-сила на квадратный сантиметр | кгс/см2 | Паскаль | Па | 1 кгс/см2 ~= 9,8·104 Па ~= 105 Па ~= 0,1 МПа | |
Коэффициент постели | Килограмм-сила на кубический сантиметр | кгс/см3 | Ньютон на кубический метр | Н/м3 | 1 кгс/см3 ~= 9,8·106 Н/м3 ~= 9,8 МН/м3 | |
Момент силы | Килограмм-сила-метр | кгс·м | Ньютон-метр | Н·м | 1 кгс·м ~= 9,8 Н·м ~= 10 Н·м | |
Теплопроводность | Калория в секунду на сантиметр-градус Цельсия | кал/(с x см x °C) | Ватт на метр-Кельвин | Вт/(м·К) | 1 кал (с x см x °C) ~= 420 Вт (м·К) | |
Килокалория в час на метр-градус Цельсия | ккал/(ч x м x °C) | Вт/(м·К) | 1 ккал (ч x м x °C) ~= 1,16 Вт/(м·К) | |||
Коэффициент теплообмена (теплоотдачи), коэффициент теплопередачи | Калория в секунду на квадратный сантиметр-градус Цельсия | кал/(с x см2 x °C) | Ватт на квадратный метр-Кельвин | Вт/(м2·К) | 1 кал (с x см2 x °C) ~= 42 кВт (м2·К) | |
Килокалория в час на квадратный метр-градус Цельсия | ккал/(ч x м2 x °C) | Вт/(м2·К) | 1 ккал (ч x м2 x °C) ~= 1,16 кВт/(м2·К) | |||
Термодинамическая температура | Градус Цельсия | °C | Градус Кельвина | °К | 0 °C ~= 273,15 К | |
Жесткость при изгибе | Килограмм-сила-квадратный сантиметр | кгс·см2 | Паскаль-метр в четвертой степени | Па·м4 | ~= 9,8·104 Па·м4 | |