Главная // Актуальные документы // МетодикаСПРАВКА
Источник публикации
М.: НИИЖБ Госстроя СССР, 1988
Примечание к документу
Название документа
"Рекомендации по проектированию бетонных и железобетонных конструкций для жаркого климата"
(утв. НИИЖБ Госстроя СССР 05.03.1987)
"Рекомендации по проектированию бетонных и железобетонных конструкций для жаркого климата"
(утв. НИИЖБ Госстроя СССР 05.03.1987)
директором НИИЖБ
Госстроя СССР
5 марта 1987 года
РЕКОМЕНДАЦИИ
ПО ПРОЕКТИРОВАНИЮ БЕТОННЫХ И ЖЕЛЕЗОБЕТОННЫХ
КОНСТРУКЦИЙ ДЛЯ ЖАРКОГО КЛИМАТА
Печатаются по решению секции теории бетона и железобетона НТС НИИЖБ Госстроя СССР от 15 марта 1987 г.
Содержат новые положения расчета бетонных и железобетонных конструкций по прочности, деформациям и усилиям, а также по образованию и раскрытию трещин с учетом температурных и влажностных воздействий жаркого климата. Даны примеры расчета.
Предназначены для инженерно-технических работников проектных организаций.
Настоящие Рекомендации содержат положения по учету влияния особенностей жаркого климата на физико-механические характеристики тяжелого и легкого бетонов, а также на прочность, жесткость и трещиностойкость бетонных и железобетонных, в том числе преднапряженных конструкций.
Рекомендации составлены с учетом отечественного и зарубежного опыта по изучению физико-механических и реологических свойств бетона и арматуры, а также с учетом результатов исследований изгибаемых, сжатых и внецентренно растянутых железобетонных элементов в условиях жаркого климата.
Рекомендации разработаны НИИЖБ (д-р техн. наук, проф. А.Ф. Милованов, кандидаты техн. наук В.Н. Самойленко и В.М. Милонов) при участии кандидатов техн. наук В.Т. Беловешкина и А.С. Дмитриева, а также инженеров Т.Н. Малкиной и И.А. Белышева (ЦНИИСК). При составлении Рекомендаций использованы материалы Ташкентского (кандидаты техн. наук Б.А. Аскаров, М.М. Селимов, Ш.Р. Низамов, Х.У. Камбаров, инженеры М.А. Алимов, С.С. Хасанов) и Ферганского (кандидаты техн. наук А.А. Ахмедов, А.А. Хамралиев, инж. Б.А. Сулайманов) политехнических институтов, Наманганского филиала ТашПИ (инженеры С.А. Махсудов и Б.Ш. Ризаев) и Самаркандского государственного архитектурно-строительного института (кандидаты техн. наук С.Р. Раззаков и Р.А. Мельник) Минвуза УзбССР, ЦНИИС Минтрансстроя СССР (канд. техн. наук Е.Н. Щербаков), Макеевского ИСИ Минвуза УССР (д-р техн. наук, проф. А.П. Кричевский), а также материалы Ростовского (кандидаты техн. наук С.И. Аржановский, Д.Р. Майлян, инж. И.И. Смирнов) и Харьковского (канд. техн. наук С.Л. Фомин) ПромстройНИИпроекта Госстроя СССР и ТашЗНИИЭП Госгражданстроя СССР (кандидаты техн. наук У.Ф. Фазылов и Р.Р. Юсупов).
При внедрении новых разработок НИИЖБ оказывает научно-техническую помощь на основе хозяйственных договоров и консультативную - с оплатой работ по гарантийным письмам.
Адрес института: 109389, Москва, 2-я Институтская ул., д. 6.
Дирекция НИИЖБ
1.1. Настоящие Рекомендации распространяются на проектирование бетонных и железобетонных конструкций для IV климатического района (
СНиП 2.01.01-82 "Строительная климатология и геофизика") со средней максимальной температурой наиболее жаркого месяца 33 °C и выше.
1.2. Среднемесячную относительную влажность наружного воздуха W, %, определяемую в 13 ч дня наиболее жаркого месяца, следует принимать по
СНиП 2.01.01-82.
1.3. Для конструкций, не защищенных от солнечной радиации, необходимо по
СНиП 2.01.07-85 и в соответствии с
4.1 -
4.3 настоящих Рекомендаций учитывать повышение температуры бетона от воздействия суммарной (прямой и рассеянной) солнечной радиации на вертикальную и горизонтальную поверхность конструкции.
| | ИС МЕГАНОРМ: примечание. В официальном тексте документа, видимо, допущена опечатка: СНиП III-15-76 имеет название "Бетонные и железобетонные конструкции монолитные", а не "Правила производства и приемки работ". | |
1.4. Высокие эксплуатационные качества конструкций, предназначенных для IV климатического района, могут быть обеспечены только при соблюдении требований
СНиП III-15-76 "Правила производства и приемки работ", а также положений "Руководства по производству работ в условиях сухого жаркого климата" (М.: Стройиздат, 1977) и настоящих Рекомендаций.
| | ИС МЕГАНОРМ: примечание. Взамен ГОСТ 26633-85 Постановлением Госстроя СССР от 16.05.1991 N 21 с 1 января 1992 года введен в действие ГОСТ 26633-91. | |
| | ИС МЕГАНОРМ: примечание. В официальном тексте документа, видимо, допущена опечатка: стандарт имеет номер ГОСТ 25820-83, а не ГОСТ 28820-83. | |
| | ИС МЕГАНОРМ: примечание. Взамен ГОСТ 25820-83 Постановлением Госстроя России от 04.06.2001 N 57 с 1 сентября 2001 года введен в действие ГОСТ 25820-2000. | |
2.1. Для изготовления бетонных и железобетонных конструкций, предназначенных для эксплуатации в условиях жаркого климата, рекомендуется применять конструкционные - тяжелый (ГОСТ 26633-85) и легкий (ГОСТ 28820-83) - бетоны классов по прочности на сжатие не ниже В15
(СНиП 2.03.01-84).
2.2. Цемент в зависимости от условий эксплуатации применяют по ГОСТ 23464-79.
| | ИС МЕГАНОРМ: примечание. Взамен ГОСТ 22266-76 Постановлением Минстроя России от 03.05.1995 N 18-40 с 1 января 1996 года введен в действие ГОСТ 22266-94. | |
Для бетона надземных конструкций, подвергающихся воздействию солнечной радиации, рекомендуется применять цементы, в состав которых входит трехкальциевый алюминат

в количестве не более 8% и которые удовлетворяют требованиям
ГОСТ 10178-85. Кроме того, цементы (за исключением пуццоланового) должны удовлетворять требованиям
ГОСТ 22266-76.
Примечание. Не допускается применение шлакопортландцемента марки 300 и глиноземистого цемента.
2.3. Заполнители (см. табл. 1) должны отвечать требованиям:
для легкого бетона:
| | ИС МЕГАНОРМ: примечание. Взамен ГОСТ 9757-83 Постановлением Госстроя СССР от 30.08.1990 N 75 с 1 января 1991 года введен в действие ГОСТ 9757-90. | |
пористые - ГОСТ 9757-83;
из керамзита - ГОСТ 9759-83;
из аглопорита - ГОСТ 11991-83.
───────────────────┬────────────────────────────────┬──────────────────────
Средняя плотность │ Заполнитель │Коэффициент линейного
бетона
<*> │ │температурного
ро , кг/м3 │ │расширения бетона
<**>
m │ │ -6 -1
│ │альфа x 10 , °C
│ │ bt
───────────────────┼────────────────────────────────┼──────────────────────
│Крупный (кварц, кварциты, │ 12,0
│сланцы) │
│Мелкий (плотный песок) │
(2200/2050) и более│Крупный (песчаник, известняк) │ 11,0
│Мелкий (плотный песок) │
│Крупный (гранит, диорит, сиенит)│ 10,0
│Мелкий (плотный песок) │
(2100/1950) и более│Крупный (базальт) │ 9,0
│Мелкий (плотный песок) │
(2000/1850) │Крупный (керамзит, аглопорит) │ 9,5
(1800/1650) │Мелкий (плотный кварцевый песок)│ 8,5
(1600/1450) │Крупный (керамзит, аглопорит) │ 8,0
(1400/1250) │Мелкий (пористый керамзитовый │ 7,5
(1200/1050) │или аглопоритовый песок) │ 7,0
--------------------------------
<*> Перед чертой - для бетона естественной влажности, после черты - в сухом состоянии.
<**> Для бетона естественной влажности.
2.4. Коэффициент линейного температурного расширения бетона

следует принимать (по
табл. 1) в зависимости от вида заполнителя.
2.5. С целью снижения деформаций от усадки и повышения трещиностойкости бетона рекомендуется применять пластифицирующие и воздухововлекающие добавки, а также добавки - замедлители схватывания в соответствии с "
Руководством по применению химических добавок в бетоне" (М.: НИИЖБ, 1981).
2.6. Арматуру в железобетонных конструкциях, предназначенных для жаркого климата, следует применять по
СНиП 2.03.01-84 "Бетонные и железобетонные конструкции".
2.7. Коэффициент линейного температурного расширения арматуры

,

, принимается равным:

- для арматуры классов А-I, А-II, Вр-I, В-II, К-7, К-19 марок ВСт3кп2, ВСт3Гпс5, ВСт3пс6;

- для арматуры классов А-III, А-IIIв, А-IV, А-V, А-VI, Ат-IV, Ат-V, Ат-VI.
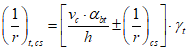
2.8. Коэффициент температурного расширения арматуры в бетоне

принимается:
при отсутствии трещин в бетоне - равным коэффициенту температурной деформации бетона

;
при наличии трещин в бетоне растянутой зоны по
формуле (49) СНиП 2.03.04-84 "Бетонные и железобетонные конструкции, предназначенные для работы в условиях воздействия повышенных и высоких температур".
3.1. Расчет бетонных и железобетонных конструкций для жаркого климата производится по
СНиП 2.03.01-84 и
СНиП 2.03.04-84 с учетом положений настоящих Рекомендаций, касающихся изменения прочности (см.
п. 3.11), модуля упругости (см.
п. 3.12), упруго-пластических и усадочно-температурных (см.
пп. 3.13 -
3.15) деформаций бетона в зависимости от относительной влажности воздуха и размеров элемента, а также с учетом всех возможных неблагоприятных сочетаний нагрузок и воздействий, указанных в
СНиП 2.01.07-85 "Нагрузки и воздействия", для двух основных стадий работы:
первая стадия - нагревание до расчетной летней температуры наружного воздуха;
вторая стадия - длительное попеременное нагревание до расчетной летней и охлаждение до расчетной зимней температуры наружного воздуха.
3.2. Расчет статически определимых железобетонных конструкций производится (см.
п. 3.1):
а) по предельным состояниям первой группы - на длительное попеременное нагревание и охлаждение (вторая стадия работы) с учетом изменения прочности бетона под воздействием жаркого климата;
б) по предельным состояниям второй группы на нагревание (первая стадия работы) и на длительное попеременное нагревание и охлаждение (вторая стадия работы) с учетом изменения физико-механических свойств и усадочно-температурных деформаций бетона под воздействием жаркого климата. Температурные деформации можно не учитывать, если на первой стадии работы конструкции за счет их развития происходит уменьшение деформаций от нагрузки.
Для второй стадии работы конструкции расчет рекомендуется производить, исходя из наиболее неблагоприятного сочетания деформаций и усилий, обусловленных изменением температуры и нагрузки.
3.3. Расчет статически неопределимых железобетонных конструкций для районов с жарким климатом по предельным состояниям первой и второй группы производится:
а) на нагревание (первая стадия работы) - см.
п. 3.1 настоящих Рекомендаций, когда возникают наибольшие усилия от воздействия температуры. При этом усилия от одновременного воздействия температуры, нагрузки и собственного веса конструкции определяются с учетом изменения физико-механических свойств и усадочно-температурных деформаций бетона, а жесткость элемента - из условия кратковременного воздействия нагрузки и температуры;
б) на длительное попеременное нагревание и охлаждение (вторая стадия работы), когда происходит снижение жесткости элемента и развитие усадочных деформаций в бетоне. При этом жесткость элемента определяется из условия длительного воздействия нагрузки и температуры.
Примечание. Наибольшие усилия от одновременного воздействия температуры и нагрузки чаще всего наблюдаются при охлаждении конструкции в холодное время года.
3.4. Деформации и усилия, возникающие в конструкции при воздействии жаркого климата, допускается не учитывать, если перепад температуры по сечению элемента составляет меньше 10 °C.
Если замыкание статически неопределимой конструкции или ее части в законченную систему будет проводиться в теплое время года, то для первой стадии работы расчет допускается не производить, а для второй стадии - его можно производить без учета усилий и деформаций, обусловленных изменением температуры внешней среды в теплое время года.
3.5. Нагрузки и воздействия, коэффициенты надежности по нагрузке и коэффициенты сочетаний, а также подразделение нагрузок на постоянные и временные следует принимать по
СНиП 2.01.07-85 и
СНиП 2.03.01-84. Деформации, возникающие под воздействием температуры и влажности, умножают на коэффициент надежности по температуре, принимаемый равным:
при расчете по предельным состояниям первой группы -

;
при расчете по предельным состояниям второй группы -

.
3.6. Предварительно напряженные железобетонные конструкции для жаркого климата следует проектировать, руководствуясь
СНиП 2.03.04-84 с учетом положений, перечисленных в пп. 3.7 -
3.10.
3.7. Сжимающие напряжения в бетоне в стадии предварительного обжатия в долях от передаточной прочности бетона

в зависимости от относительной влажности воздуха W принимают:
при W >= 60% - по
табл. 7 СНиП 2.03.01-84;
при W = 40% - табличное значение уменьшают на 0,05;
при W = 20% - то же, на 0,10.
3.8. Потери предварительного напряжения арматуры (кроме потерь от усадки, ползучести и релаксации напряжений - см. соответственно пп. 3.9 и
3.10 настоящих Рекомендаций) следует определять по
табл. 5 СНиП 2.03.01-84.
3.9. Потери предварительного напряжения арматуры в результате развития деформаций от усадки и ползучести бетона рекомендуется определять по табл. 2, а в случае, когда срок нагружения конструкции известен заранее, их следует согласно
СНиП 2.03.01-84 умножить на коэффициент

.
────────────────┬──────────────────────────────────────────────────────────
Влажность │ Потери предварительного напряжения арматуры, МПа,
воздуха наиболее│ в бетоне естественного твердения
жаркого месяца ├─────────────────────────────┬────────────────────────────
W, % │ тяжелом и легком на плотном │ легком на пористом мелком
│ мелком заполнителе от │ заполнителе от
├──────────────┬──────────────┼──────────────┬─────────────
│ усадки │ ползучести │ усадки │ ползучести
────────────────┼──────────────┼──────────────┼──────────────┼─────────────
20 и ниже │ 70/65 │ 180/170 │ 90/85 │ 205/195
40 │ 65/50 │ 175/165 │ 85/80 │ 200/190
60 │ 60/55 │ 170/160 │ 80/75 │ 195/185
75 и выше │ 55/50 │ 160/150 │ 75/70 │ 190/180
Примечания. 1. Перед чертой - для конструкций, не защищенных от солнечной радиации, после черты - для защищенных.
2. Потери от усадки даны для тяжелого бетона класса В40.
Для тяжелого бетона класса В35 и ниже их следует уменьшить на 10 МПа, класса В45 и выше - увеличить на 10 МПа.
Для бетонов, прошедших тепловую обработку, - тяжелого классов В35 и ниже и легкого на плотном мелком заполнителе - потери от усадки уменьшают на 5 МПа, для других бетонов - на 10 МПа.
3. При определении потерь от ползучести табличное значение следует умножить на отношение

(при условии, что оно не превышает 0,75). Сжимающие напряжения в бетоне

определяют на уровне центров тяжести продольной арматуры S и S' с учетом первых потерь.
4. Потери от ползучести для бетонов, прошедших тепловую обработку при атмосферном давлении, следует умножить на 0,85.
5. Для конструкций, изготовляемых в холодное время года, потери от усадки и ползучести следует принимать как для конструкций, защищенных от солнечной радиации.
3.10. Потери предварительного напряжения арматуры от релаксации напряжений, МПа, рекомендуется принимать:
для проволочной арматуры -

; (1)
для стержневой арматуры -

, (2)
где

- разность между температурой арматуры при ее натяжении и при изменении средней температуры

по сечению элемента в теплое время года, принимаемой согласно
п. 4.3;

- предварительное напряжение в арматуре, МПа, без учета потерь.
3.11. Нормативное и расчетное сопротивление тяжелого и легкого бетонов следует принимать по
СНиП 2.03.01-84 в зависимости от класса бетона по прочности на сжатие. При этом расчетное сопротивление бетона сжатию

и растяжению

необходимо умножить на коэффициент условий работы бетона соответственно

и

(см.
примеч. 3 к табл. 3), учитывающие снижение прочности бетона под воздействием солнечной радиации, длительности нагревания, влажности наружного воздуха и массивности конструкции.
────────────────┬─────────────┬────────────────────────────────────────────
Влажность │Стадия работы│ Коэффициент условий работы бетона гамма
воздуха наиболее│ конструкции │ b7
жаркого месяца │(см.
п. 3.1) │ на сжатие при h , см
W, % │ │ red
│ ├─────────────────────┬──────────────────────
│ │ <= 10 │ > 10
────────────────┼─────────────┼─────────────────────┼──────────────────────
20 и ниже │Первая │ 0,75/0,85 │ 0,80/0,90
│Вторая │ 0,70/0,80 │ 0,75/0,85
────────────────┼─────────────┼─────────────────────┼──────────────────────
40 │Первая │ 0,80/0,90 │ 0,85/0,95
│Вторая │ 0,75/0,85 │ 0,80/0,90
────────────────┼─────────────┼─────────────────────┼──────────────────────
60 │Первая │ 0,85/0,95 │ 0,90/1,00
│Вторая │ 0,80/0,90 │ 0,85/0,95
────────────────┼─────────────┼─────────────────────┼──────────────────────
75 и выше │Первая │ 0,90/1,00 │ 0,95/1,00
│Вторая │ 0,85/0,95 │ 0,90/1,00
Примечания. 1.

- приведенная высота сечения элемента, характеризующая массивность конструкции и равная площади сечения, деленной на 1/2 его периметра, соприкасающегося с воздухом.
2. Перед чертой - для конструкций, не защищенных от солнечной радиации, после черты - защищенных.
3. Коэффициенты

и

принимаются на 0,05 меньше, чем коэффициент

.
4. Для конструкций, изготовляемых в холодное время года, коэффициент

принимают как для конструкций, защищенных от солнечной радиации.
3.12. Начальный модуль упругости бетона

при сжатии и растяжении следует принимать по
СНиП 2.03.01-84 с умножением на коэффициент условий работы бетона

, принимаемый по примеч. 3 к табл. 3.
3.13. Коэффициент

, характеризующий упруго-пластическое состояние сжатого бетона при определении приведенного сечения бетона и жесткости сечения элемента без трещин, и коэффициент

, характеризующий упруго-пластическое состояние бетона сжатой зоны железобетонного элемента с трещинами при расчете по деформациям, рекомендуется принимать по табл. 4.
─────────────┬─────────────────────┬───────────────────────────────────────
Стадия работы│ Влажность воздуха │ Коэффициенты, характеризующие
конструкции │ наиболее жаркого │ упруго-пластическое состояние бетона
(см.
п. 3.1) │ месяца W, % ├──────────────────────┬────────────────
│ │ __ │
│ │ сжатого ню │ сжатой зоны ню
─────────────┼─────────────────────┼──────────────────────┼────────────────
Первая │20 и ниже │ 0,75 │ 0,40
├─────────────────────┼──────────────────────┤
│40 │ 0,80 │
├─────────────────────┼──────────────────────┼────────────────
│60 и выше │ 0,85 │ 0,45
─────────────┼─────────────────────┼──────────────────────┼────────────────
Вторая │20 и ниже │ 0,25 │ 0,10
├─────────────────────┼──────────────────────┤
│40 │ 0,30 │
├─────────────────────┼──────────────────────┼────────────────
│60 и выше │ 0,35 │ 0,15
Примечания. 1. При 60% > W > 20% значение коэффициентов

и

определяют по интерполяции.
2. При расчете для второй стадии работы применительно к условиям попеременного водонасыщения и высыхания значения коэффициентов

и

следует разделить на 1,2.
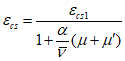
3.14. Предельные деформации от влажностной усадки бетона

при расчете бетонных и железобетонных конструкций рекомендуется принимать по табл. 5.
────────────────┬──────────────────────────────────────────────────────────
│ -6
Влажность │ Предельные деформации усадки эпсилон x 10 тяжелого
воздуха наиболее│ cs1
жаркого месяца │ бетона (ОК = 1 - 2 см) для конструкций, не защищенных от
W, % │ солнечной радиации, при расчете для второй стадии работы
│ при h , см
│ red
├───────┬───────┬───────┬──────┬───────┬───────┬───────────
│ 3,5 │ 5 │ 10 │ 20 │ 30 │ 50 │100 и более
────────────────┼───────┼───────┼───────┼──────┼───────┼───────┼───────────
0 │ 800 │ 720 │ 630 │ 585 │ 570 │ 560 │ 550
20 │ 710 │ 630 │ 540 │ 490 │ 475 │ 460 │ 445
40 │ 615 │ 540 │ 450 │ 400 │ 380 │ 365 │ 340
60 │ 530 │ 450 │ 360 │ 310 │ 290 │ 270 │ 240
75 │ 460 │ 380 │ 290 │ 240 │ 220 │ 200 │ 160
90 │ 390 │ 310 │ 220 │ 170 │ 160 │ 155 │ 150
2. Деформации усадки следует умножить на:
0,85 - для конструкций из бетона класса ниже В25;
0,85 - для конструкций, защищенных от солнечной радиации;
1,2 - для конструкций из легких бетонов;
1,1 - при ОК = 5 - 6 см;
1,2 - при ОК = 10 - 14 см;
1,4 - при ОК = 16 - 24 см.
3. Для промежуточных значений W деформации усадки определяют по интерполяции.
4. Расчет деформаций усадки бетона за заданный период времени может быть произведен по методике
Прил. 1.
5. Для первой расчетной стадии работы деформации бетона от усадки допускается принимать равными 0,5 предельной величины, определенной по
Прил. 1.
3.15. Для монолитных бетонных и железобетонных конструкций рекомендуется учитывать пластическую усадку бетона

в начальный период его твердения, значения которой при условии строгого соблюдения правил производства работ (см.
п. 1.4 настоящих Рекомендаций) следует принимать по табл. 6.
Таблица 6
────────────────────────────────────┬──────────────────────────────────────
Влажность воздуха наиболее жаркого │Деформации пластической усадки бетона
месяца W, % │ -6
│ эпсилон x 10 при h , см
│ sp red
├──────────────────┬───────────────────
│ <= 10 │ > 10
────────────────────────────────────┼──────────────────┼───────────────────
20 и ниже │ 350/200 │ 250/150
40 │ 250/150 │ 150/50
60 и выше │ 150/- │ -
Примечания. 1. Перед чертой - для конструкций, не защищенных от солнечной радиации, после черты - для защищенных.
2. При бетонировании в осенне-зимний период деформации пластической усадки не учитываются.
3. При бетонировании в весенне-летний период с 17 ч вечера до 9 ч утра деформации пластической усадки принимают как для конструкций, защищенных от воздействия солнечной радиации.
4. ОПРЕДЕЛЕНИЕ ИЗМЕНЕНИЙ ТЕМПЕРАТУРЫ В ЭЛЕМЕНТАХ КОНСТРУКЦИИ
4.1. Распределение температуры по толщине бетонного или железобетонного элемента в результате воздействий жаркого климата при нестационарных условиях теплопередачи и с учетом переменной влажности бетона определяют исходя из теории тепло- и массопереноса либо на основе экспериментальных данных.
4.2. Начальную температуру, соответствующую замыканию статически неопределимой конструкции или ее части в законченную систему, рекомендуется определять:
в теплое время года - по формуле

; (3)
в холодное время года - по формуле

. (4)
Примечание. При наличии дополнительных сведений (о календарных сроках замыкания конструкции, о порядке производства работ и др.) начальную температуру допускается определять в соответствии с этими данными.
За начальную температуру для статически определимых конструкций рекомендуется принимать температуру их изготовления:
в теплое время года ..................................

в холодное время года ................................

4.3. Нормативное изменение во времени средней по сечению элемента температуры и перепада температур соответственно в теплое (

и

) и холодное (

и

) время года для однослойных конструкций следует определять по
СНиП 2.01.07-85 "Нагрузки и воздействия" или по формулам (5) -
(15), принимая характер распределения температуры по сечению линейным (см.
Прил. 2):
а) для конструкций, не защищенных от солнечной радиации:
в открытых сооружениях и неотапливаемых зданиях (без технологических источников тепла) - по формулам:

; (5)

; (6)

;

; (7)
в зданиях с искусственным климатом или с постоянными источниками тепла - по формулам:

; (8)

; (9)

; (10)

; (11)
в отапливаемых зданиях:
б) для конструкций, защищенных от солнечной радиации (

и

):
в неотапливаемых зданиях без технологических источников тепла - по формулам:

; (12)

; (13)
в зданиях с искусственным климатом или с постоянными источниками тепла - по формулам:

; (14)

; (15)
в отапливаемых зданиях:

,

- начальная температура конструкции соответственно в теплое и холодное время года - см.
формулы (3) и
(4);
| | ИС МЕГАНОРМ: примечание. Взамен ГОСТ 12.1.005-76 Постановлением Госстандарта СССР от 29.09.1988 N 3388 с 1 января 1989 года введен в действие ГОСТ 12.1.005-88. | |

,

- температура воздуха в помещении соответственно в теплое и холодное время года, принимаемая по ГОСТ 12.1.005-76 или в соответствии со строительным заданием на основе технологических решений;

и

- приращение средней по сечению элемента температуры под влиянием суточных колебаний температуры наружного воздуха соответственно для неотапливаемых зданий и зданий с искусственным климатом, принимаемые по
табл. 8;

- приращение температурного перепада под влиянием суточных колебаний температуры наружного воздуха для зданий с искусственным климатом;

,

- приращение соответственно средней по сечению элемента температуры и перепада температур под влиянием солнечной радиации, определяемое по формулам:

; (16)

, (17)
где

- максимальная суммарная (прямая и рассеянная) солнечная радиация. Принимается по
СНиП 2.01.01-82 в зависимости от положения и ориентации поверхности элемента;
k и

- коэффициенты, принимаемые соответственно по табл. 7 и
8.
Таблица 7
─────────────────────────────────────┬─────────────────────────────────────
Вид и ориентация поверхности │ Коэффициент k
─────────────────────────────────────┼─────────────────────────────────────
Горизонтальная │ 1,0
Вертикальная с ориентацией на: │
юг │ 1,0
запад │ 0,9
восток │ 0,7
──────────────────────────┬────────────────────────────────┬───────────────
Толщина элемента, см │ Приращения, °C │Коэффициент k
├──────────┬──────────┬──────────┤ 1
│ тета │ тета │ тета │
│ 1 │ 2 │ 3 │
──────────────────────────┼──────────┼──────────┼──────────┼───────────────
До 15 │ 8 │ 6 │ 4 │ 0,6
15 - 40 │ 6 │ 4 │ 6 │ 0,4
Более 40 │ 2 │ 2 │ 4 │ 0,3
5. РАСЧЕТ ЭЛЕМЕНТОВ БЕТОННЫХ И ЖЕЛЕЗОБЕТОННЫХ КОНСТРУКЦИЙ
5.1. Применительно к условиям жаркого климата расчет рекомендуется производить:
а) для бетонных и железобетонных элементов - по предельным состояниям первой группы (см.
п. 5.2 настоящих Рекомендаций);
б) для железобетонных элементов - по предельным состояниям второй группы (см.
пп. 5.3 -
5.9 настоящих Рекомендаций).
5.2. Расчет бетонных и железобетонных элементов по прочности производится по
СНиП 2.03.01-84 и
СНиП 2.03.04-84 с учетом влияния условий жаркого климата путем умножения:
| | ИС МЕГАНОРМ: примечание. В официальном тексте документа, видимо, допущена опечатка: приложение 3 отсутствует. | |
расчетного сопротивления бетона сжатию

и растяжению

на соответствующий коэффициент условий работы конструкции

и

, принимаемый по
табл. 3 с учетом прил. 3;
модуля упругости бетона

- на коэффициент

, определяемый согласно
п. 3.12 настоящих Рекомендаций.
Расчет по образованию трещин
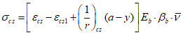
5.3. Расчет железобетонного элемента по образованию трещин, нормальных к его продольной оси, от одновременного воздействия нагрузки, температуры и усадки бетона в условиях жаркого климата производят по
СНиП 2.03.01-84, принимая усилие

и момент

, воспринимаемые нормальным сечением, соответственно равными:

; (18)

. (19)
В формулах (18) и (19):

;

- напряжения от усадки бетона на уровне растянутой арматуры, равные

, (20)
где y - расстояние от центра тяжести приведенного сечения до растянутой грани элемента. Для прямоугольного сечения допускается определять по формуле

; (21)

- момент сопротивления крайнего растянутого волокна приведенного сечения с учетом неупругих деформаций бетона. Допускается определять по
п. 4.7 СНиП 2.03.01-84 при

, а также при

, принимаемом по
примеч. 3 к табл. 3;

- укорочение оси элемента от усадки бетона, принимаемые по
п. 5.7 настоящих Рекомендаций;

- деформации от усадки, определяемые согласно
табл. 5;
В статически неопределимых конструкциях момент от действия внешних сил

суммируется с моментом, возникающим при одновременном воздействии температуры и усадки бетона и определяемым в соответствии со строительной механикой и с учетом
п. 3.1 настоящих Рекомендаций.
5.4. Расчет железобетонных элементов по образованию трещин от действия только температуры жаркого климата и усадки бетона производится:
а) для статически определимых конструкций - из условия

, (22)
где

- растягивающие напряжения в бетоне по высоте сечения в i-ой части элемента на расстоянии

от центра тяжести приведенного сечения, определяемые по формуле

, (23)

; (24)
в формулах (23) и (24):

- расстояние от центра тяжести i-й части сечения до растянутой грани элемента;

- коэффициент упругости бетона, принимаемый по
табл. 4;

,

,

- см.
п. 5.7 настоящих Рекомендаций.
Для статически определимых конструкций высотой до 30 см и шириной 15 см проверку на наличие усадочных трещин в бетоне допускается производить по
табл. 9 без расчета;
б) для статически неопределимых железобетонных элементов, закрепленных от продольного перемещения, - при условии, что

, (25)
где

- напряжения в бетоне, в центре тяжести сечения от температуры и усадки в наиболее холодное время года, равные

, (26)
где

- укорочение продольной оси элемента в холодное время года, определяемое по
формуле (32).
────────────┬───────────────────────┬──────────────────────────────────────
Класс бетона│ Вид бетона │Предельные деформации бетона от усадки
по прочности│ │ -6
на сжатие │ │ эпсилон x 10 , вызывающие
│ │ cs1
│ │ образование трещин в железобетонных
│ │ элементах при мю, %
│ ├────────────┬────────────┬────────────
│ │ 0,7 │ 1,0 │ 2,0
────────────┼───────────────────────┼────────────┼────────────┼────────────
В15 │Тяжелый │ 590/320 │ 460/230 │ 310/140
│Легкий (D = 1800 кг/м3)│ 670/350 │ 540/270 │ 390/170
────────────┼───────────────────────┼────────────┼────────────┼────────────
В25 │Тяжелый │ 760/420 │ 580/320 │ 380/190
│Легкий (D = 1800 кг/м3)│ -/470 │ 690/360 │ 490/220
────────────┼───────────────────────┼────────────┼────────────┼────────────
В40 │Тяжелый │ -/550 │ 730/410 │ 460/230
│Легкий (D = 1800 кг/м3)│ -/600 │ -/460 │ 600/280
2. Перед чертой - при симметричном армировании сечения, после черты - при одностороннем.
Расчет по раскрытию трещин
5.5. Ширину раскрытия трещин, нормальных к продольной оси железобетонного элемента в условиях жаркого климата, определяют по формуле

, (27)
где

- см.
п. 3.15 настоящих Рекомендаций;

- деформации, которые при расчете для первой стадии работы не учитываются, при расчете для второй стадии принимаются по
табл. 5;

- см.
п. 4.3 настоящих Рекомендаций;

- коэффициент, принимаемый по
табл. 1.
Остальные обозначения см. в СНиП 2.03.01-84
(п. 4.14).
Примечание. В
формуле (27) температурные деформации

учитываются только для статически неопределимых конструкций, закрепленных от продольного перемещения.
В расчете по раскрытию трещин статически неопределимых конструкций при определении напряжений в арматуре

для первой стадии работы необходимо учитывать момент от воздействия только температуры, для второй стадии - момент от одновременного воздействия температуры и усадки.
5.6. При расчете железобетонных конструкций для первой стадии (см.
п. 3.1 настоящих Рекомендаций) удлинение оси элемента

и ее кривизну

под воздействием температуры определяют как для бетонного элемента соответственно по формулам:

; (28)

. (29)
При расчете железобетонных конструкций для второй стадии работы (см.
п. 3.1 настоящих Рекомендаций) изменение длины оси элемента

и ее кривизну

под воздействием температуры и усадки бетона определяют:
в теплое время года - соответственно по формулам:

; (30)

; (31)
в холодное время года - соответственно по формулам:

; (32)

. (33)

,

,

и

- см.
п. 4.3 настоящих Рекомендаций. Для плит, уложенных на грунт

и

умножают на 0,5;

- см.
п. 3.5 настоящих Рекомендаций;
В
формулах (30) и
(33):

и

- для железобетонных элементов определяют согласно п. 5.7 настоящих Рекомендаций, для бетонных принимают равными:

;

.
5.7. В статически определимых железобетонных элементах прямоугольного сечения при равномерном распределении деформаций усадки бетона по высоте сечения укорочение оси элемента

и ее кривизну

определяют соответственно по формулам:

; (34)

. (35)
В формулах (34) и (35):

- принимают по
табл. 5;
Расчет кривизны элемента от нагрузки
5.8. Кривизну железобетонных элементов определяют:
а) на участках, на которых трещины, нормальные к его продольной оси, не образуются - по
формулам (156) и
(157) СНиП 2.03.01-84, учитывая при этом влияние кратковременной и длительной ползучести с помощью коэффициентов соответственно

и

, принимаемых по табл. 10.
─────────────┬─────────────────────────────────────────────────────────────
Влажность │ Коэффициенты, учитывающие ползучесть
воздуха ├─────────────────────────────────────┬───────────────────────
наиболее │ кратковременную фи │длительную фи (вторая
жаркого │ b1 │ b2
месяца W, % │ (первая стадия работы) для │ стадия работы) для
├──────────────────┬──────────────────┼───────────────────────
│тяжелого и легкого│ легкого бетона │ тяжелого и легкого
│бетона на плотном │на мелком пористом│ бетонов
│мелком заполнителе│ заполнителе │
─────────────┼──────────────────┼──────────────────┼───────────────────────
20 и ниже │ 0,75/0,80 │ 0,50/0,65 │ 3,5/3,0
40 │ 0,80/0,85 │ 0,65/0,70 │ 2,5/2,0
60 и выше │ 0,85/0,85 │ 0,70/0,70 │ 2,0/2,0
Примечания. 1. Перед чертой - для конструкций, не защищенных от солнечной радиации, после черты - для защищенных.
2. При расчете для второй стадии работы конструкций, эксплуатирующихся в условиях попеременного водонасыщения и высушивания, коэффициент

следует умножить на 1,2.
б) на участках, где в растянутой зоне образуются трещины, нормальные к продольной оси элемента, - по
формуле (160) СНиП 2.03.01-84. При этом:

и

- умножают на коэффициенты соответственно

и

, принимаемые по
табл. 3;

- определяют согласно
п. 5.3 настоящих Рекомендаций.
5.9. Полный прогиб элемента равен сумме прогибов, обусловленных:
а) деформациями от изгиба

, вычисленного по
формуле (171) СНиП 2.03.01-84, принимая кривизну от нагрузки с учетом
п. 5.8;
б) деформациями сдвига

от нагрузки и под воздействием температуры, определяемого по
формуле (172) СНиП 2.03.01-84, в которой параметры

и

принимают по
п. 5.8 настоящих Рекомендаций;
в) деформациями от воздействия температуры и усадки

, равными

, (37)
где

- кривизна оси элемента от одновременного воздействия температуры и усадки бетона, принимаемая:
при расчете для первой стадии работы в теплое время года - по
формуле (29);
при расчете для второй стадии работы:
l - длина пролета элемента;

- коэффициент, принимаемый равным: для свободно опертых балок

, для консольных

.
Пример 1. Определить изменение средней по сечению температуры в теплое

и холодное

время года и соответственно температурные перепады

,

в стене толщиной 25 см здания, ориентированной на запад.
Исходные данные:
многолетние среднемесячные температуры наружного воздуха в январе и июле - соответственно:

;

;
максимальное значение суммарной солнечной радиации

;
температура воздуха внутри помещения -

.
Приращения: средней по сечению элемента температуры под влиянием суточных колебаний температуры наружного воздуха соответственно в неотапливаемом здании и в здании с искусственным климатом принимаем по
табл. 8:

;

;
температурного перепада под влиянием суточных колебаний температуры наружного воздуха для зданий с искусственным климатом

(по
табл. 8).
Приращения средней температуры по сечению стены

- по
формуле (16) и температурного перепада

- по
формуле (17) от солнечной радиации:

;

;
начальная температура соответственно в теплое

и холодное

время года:

;

.
1. Определяем нормативное изменение средней температуры по сечению стены в теплое

и холодное

время года

;

;

;

;
в) в здании с искусственным климатом: соответственно по
формулам (8) и
(9):

;

.
2. Определяем температурные перепады

,

по сечению стены
а) в неотапливаемом здании:

,

;
нормативное

;
б) в отапливаемом в зимнее время здании

;
нормативное

;
нормативное

;
нормативное

;
нормативное

.
Пример 2. Расчет по прочности, деформациям, образованию и раскрытию трещин плиты покрытия здания, эксплуатируемого в условиях жаркого климата (г. Ташкент).
Исходные данные: железобетонная статически определимая не защищенная от воздействия солнечной радиации плита длиной 3 м

, шириной 1 м, высотой 0,2 м, установленная в покрытии отапливаемого здания (

;

;

).
Плита изготовлена в построечных условиях из тяжелого бетона класса В25 (

;

;

;

), твердевшего в течение 28 сут в нормальных влажностных условиях (ОК = 5 - 6 см).
Армирование: в растянутой зоне - из стержней периодического профиля (

;

;

), в сжатой зоне - в виде сеток 200/250/4/3 (

,

). Модуль упругости арматуры

. В плите создается постоянно действующий момент, равный

, к ее трещиностойкости предъявляются требования 3-й категории. Начало эксплуатации - 3 месяца после набора проектной прочности бетона.
В соответствии с
п. 3.1 производим расчет плиты по прочности (на длительное попеременное нагревание и охлаждение) и по деформациям, образованию и раскрытию трещин (нагревание до расчетной летней температуры наружного воздуха от первого воздействия температуры жаркого климата и длительное попеременное нагревание и охлаждение).
Расчет по прочности
При

и

по
табл. 3 находим коэффициент

.
Определяем высоту сжатой зоны

,
и проверяем условие, характеризующее соотношение между относительной высотой сжатой зоны
и ее граничным значением

,
где соответственно

; a = 2,5 см; a' = 2,5 см;

.
Данное условие соблюдается

.
Тогда момент M, воспринимаемый плитой, определяем по формуле
Поскольку

.
Условие прочности соблюдается.
Расчет по образованию и раскрытию трещин и по деформациям
А. Первая стадия работы
Образование трещин
При

и

по
табл. 3 находим значение коэффициентов

и

, а по
табл. 4 и
10 - соответственно коэффициентов

,

и

.
Производим проверку условия образования трещин в следующей последовательности:

;
определяем момент образования трещин, воспринимаемый нормальным сечением

,
где момент сопротивления крайнего растянутого волокна бетона

,
принимая для прямоугольного сечения:

;

;

;

;
подставив численные значения, получаем

.
Деформацию усадки на третий месяц эксплуатации находим по формуле

,
где предельная деформация усадки бетона, определенная по
табл. 5, равна

.

.
Напряжения в бетоне на уровне растянутой арматуры от деформаций усадки равны

,
где

.
Кривизна оси от деформаций усадки
где

.
Находим

, которое меньше

; следовательно, условие образования трещин не соблюдается и возникает необходимость в определении ширины раскрытия трещин. Однако, прежде чем приступить к расчету ширины раскрытия трещин, необходимо определить коэффициенты:

;

;

;

;

;

;

;
тогда

;
а напряжения в арматуре

.
Ширина раскрытия трещин
(находится в допустимых пределах).
Деформации:
кривизна плиты под воздействием момента

-
кривизна плиты от неравномерной усадки бетона -

.
Тогда:
прогиб плиты от нагрузки будет равен

,
а прогиб от усадки -

.
Следовательно, полный прогиб плиты
f = 0,4 + 0,02 = 0,42 см, т.е. меньше допустимого.
Б. Вторая стадия работы
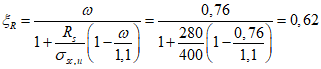
Образование трещин
При

и

находим:
Проверяем условие образования трещин. Расчет ведем в следующей последовательности:
а) находим

;

;
б) по
формуле (21) определяем расстояние от центра тяжести приведенного сечения до наименее нагретой грани

;

;

;
д) по
формуле (20) - напряжения в бетоне на уровне растянутой арматуры от деформаций усадки

;

.
Поскольку

, следовательно, условие трещиностойкости не обеспечивается.
Для определения ширины раскрытия трещин предварительно находим:

;

;

;

;

;

;

;
а затем напряжения в арматуре

.
Для определения ширины раскрытия трещин от длительного момента

и условий жаркого климата предварительно находим значение коэффициента

.
Тогда

,
т.е. находится в допустимых пределах.
Для определения прогиба плиты необходимо предварительно определить ее кривизну под воздействием момента M
В результате прогиб плиты от нагрузки

,
а ее кривизна от неравномерной усадки бетона -

.
Поскольку в летний период перепад температур по сечению элемента вызывает уменьшение кривизны, а, следовательно, и прогиба, в расчете температурную кривизну можно не учитывать.
Для определения кривизны элемента в зимнее время года необходимо предварительно по
формуле (11) определить температурный перепад

.
Тогда кривизна будет равна

.
Следовательно, под влиянием климатических воздействий прогиб плиты составит

,
а ее полный прогиб f = 1,11 + 0,2 = 1,31 см < 1,5 см, т.е. меньше допустимого.
РАСЧЕТ ДЕФОРМАЦИЙ УСАДКИ БЕТОНА ЗА ЗАДАННЫЙ ПЕРИОД ВРЕМЕНИ
Деформации усадки бетона за время

, сут, определяют по формуле

, (1)
где

- предельные деформации усадки бетона, определяемые по
табл. 5 или по формуле (2);

- приведенная высота сечения, определяемая по
табл. 3.
При выполнении расчетов на ЭВМ

определяют по формуле

, (2)
где W - расчетное изменение относительной влажности бетона элемента, определяемое по формуле

, (3)
в которой

- относительная критическая влажность бетона, равная

; (4)

- средняя относительная влажность бетона, равная

, (5)
где

- относительная влажность воздуха наиболее жаркого месяца, %;

- коэффициент усадки бетона, принимаемый равным:
0,03 - для тяжелого бетона естественного твердения;
0,025 - для тяжелого бетона, прошедшего тепловую обработку;
0,035 - для легких бетонов;

- коэффициент, учитывающий осадку конуса a, см, бетонной смеси, равный

. (6)
РАСЧЕТА ИЗМЕНЕНИЯ ТЕМПЕРАТУРЫ В ЭЛЕМЕНТАХ КОНСТРУКЦИИ
Основными климатическими факторами, оказывающими влияние на изменение температуры конструкций, являются температура наружного воздуха и солнечная радиация. Можно выделить два периодических изменения: годовое ("зима-лето") и суточное ("день-ночь"). Под влиянием изменения температуры воздуха и интенсивности солнечной радиации температурное поле конструкций непрерывно изменяется во времени. При этом распределение температуры по сечению элемента в любой момент времени носит нелинейный характер. В статических расчетах температурное поле конструкции рассматривается, исходя из наиболее неблагоприятных моментов. При этом нестационарное температурное поле сводится к эквивалентному стационарному. Считается, что в пределах любого сечения распределение температуры происходит по линейному закону и только в одном направлении. В перпендикулярном направлении оно может рассматриваться независимо.
Линейную температурную эпюру можно разбить на две части, одна из которых будет иметь вид прямоугольника (вызывает удлинение или укорочение элемента), а другая - вид треугольника (вызывает искривление оси без изменения ее длины).
Конструкции, напряженно-деформированное состояние которых от температурных климатических воздействий определяется, главным образом, осевыми температурными деформациями (например, конструкций каркаса здания), следует рассчитывать исходя из изменения температуры во времени между начальной (

,

) и средней по сечению элемента (

,

) температурой соответственно в теплое и холодное время года, т.е.:

;

.
Для учета неравномерности распределения температуры по сечению элемента, например, в ограждающих конструкциях здания, их следует рассчитывать, исходя из наибольшей разности между температурой наружной и температурой внутренней поверхности элемента (температурный перепад) для теплого

и холодного

времени года. При этом распределение температуры по сечению допускается принимать линейным.
Изменение во времени средней температуры

,

и перепада температур

,

соответственно в теплое
и холодное время года по сечению вертикальной стены
из легкого бетона толщиной b = 25 см
в неотапливаемом (а), отапливаемом (б) здании
и в здании с искусственным климатом (в)
Изменение средней по сечению элемента температуры соответственно в теплое

и холодное

время года для климатического района IV приведены в табл. 11.
Таблица 11
───────────────┬─────────────┬─────────────────────────────────────────────
Тип здания │Климатический│ Дельта t , Дельта t в зависимости
│район по СНиП│ w c
│
2.01.01-82 │ от толщины элемента, см, при его положении
│ ├──────────────────────┬──────────────────────
│ │ горизонтальном │ вертикальном
│ ├───────┬───────┬──────┼──────┬───────┬───────
│ │ 15 │15 - 40│ 40 │ 15 │15 - 40│ 40
───────────────┼─────────────┼───────┼───────┼──────┼──────┼───────┼───────
Неотапливаемое │ IVА │ 60 │ 50 │ 45 │ 55 │ 50 │ 40
│ │ --- │ --- │ --- │ --- │ --- │ ---
│ │ -40 │ -40 │ -35 │ -40 │ -40 │ -35
│ │ │ │ │ │ │
│ IVБ │ 50 │ 40 │ 30 │ 45 │ 35 │ 30
│ │ --- │ --- │ --- │ --- │ --- │ ---
│ │ -25 │ -20 │ -20 │ -25 │ -20 │ -20
│ │ │ │ │ │ │
│ IVВ │ 55 │ 40 │ 35 │ 50 │ 40 │ 35
│ │ --- │ --- │ --- │ --- │ --- │ ---
│ │ -25 │ -25 │ -25 │ -25 │ -25 │ -25
│ │ │ │ │ │ │
│ IVГ │ 60 │ 50 │ 45 │ 55 │ 45 │ 40
│ │ --- │ --- │ --- │ --- │ --- │ ---
│ │ -45 │ -45 │ -45 │ -45 │ -45 │ -45
───────────────┼─────────────┼───────┼───────┼──────┼──────┼───────┼───────
Отапливаемое │ IVА │ 60 │ 50 │ 45 │ 55 │ 50 │ 40
│ │ --- │ --- │ --- │ --- │ --- │ ---
│ │ -25 │ -25 │ -25 │ -25 │ -25 │ -25
│ │ │ │ │ │ │
│ IVБ │ 50 │ 40 │ 40 │ 45 │ 35 │ 30
│ │ --- │ --- │ --- │ --- │ --- │ ---
│ │ -15 │ -10 │ -10 │ -15 │ -10 │ -10
│ │ │ │ │ │ │
│ IVВ │ 55 │ 40 │ 35 │ 50 │ 40 │ 35
│ │ --- │ --- │ --- │ --- │ --- │ ---
│ │ -15 │ -15 │ -15 │ -15 │ -15 │ -15
│ │ │ │ │ │ │
│ IVГ │ 60 │ 50 │ 45 │ 55 │ 50 │ 40
│ │ --- │ --- │ --- │ --- │ --- │ ---
│ │ -25 │ -25 │ -25 │ -25 │ -25 │ -25
───────────────┼─────────────┼───────┼───────┼──────┼──────┼───────┼───────
С искусственным│ IVА │ 55 │ 45 │ 40 │ 45 │ 40 │ 40
климатом │ │ --- │ --- │ --- │ --- │ --- │ ---
│ │ -25 │ -25 │ -25 │ -25 │ -25 │ -25
│ │ │ │ │ │ │
│ IVБ │ 45 │ 35 │ 30 │ 35 │ 30 │ 30
│ │ --- │ --- │ --- │ --- │ --- │ ---
│ │ -15 │ -10 │ -10 │ -15 │ -10 │ -10
│ │ │ │ │ │ │
│ IVВ │ 45 │ 35 │ 35 │ 40 │ 35 │ 35
│ │ --- │ --- │ --- │ --- │ --- │ ---
│ │ -15 │ -15 │ -15 │ -15 │ -15 │ -15
│ │ │ │ │ │ │
│ IVГ │ 55 │ 45 │ 40 │ 50 │ 45 │ 40
│ │ --- │ --- │ --- │ --- │ --- │ ---
│ │ -25 │ -25 │ -25 │ -25 │ -25 │ -25
│ │ │ │ │ │ │
Примечания. 1. Расчеты выполнены по методике
СНиП 2.01.07-85: над чертой

, под чертой

.
2. Для отапливаемых зданий и зданий с искусственным климатом температура воздуха в помещении

. При значительных отклонениях

и

от 20 °C параметры

,

следует определять в соответствии с
пп. 4.1 -
4.3 настоящих Рекомендаций.