Главная // Актуальные документы // МетодикаСПРАВКА
Источник публикации
М.: НИИЖБ Госстроя СССР, 1985
Примечание к документу
Название документа
"Рекомендации по первичной защите бетона сооружений биологической очистки сточных вод"
(утв. НИИЖБ Госстроя СССР 17.08.1985)
"Рекомендации по первичной защите бетона сооружений биологической очистки сточных вод"
(утв. НИИЖБ Госстроя СССР 17.08.1985)
директором НИИЖБ
17 августа 1985 года
ОРДЕНА ТРУДОВОГО КРАСНОГО ЗНАМЕНИ
НАУЧНО-ИССЛЕДОВАТЕЛЬСКИЙ ИНСТИТУТ
БЕТОНА И ЖЕЛЕЗОБЕТОНА ГОССТРОЯ СССР
(НИИЖБ)
МАКЕЕВСКИЙ ИНЖЕНЕРНО-СТРОИТЕЛЬНЫЙ ИНСТИТУТ
МИНВУЗА УССР
РЕКОМЕНДАЦИИ
ПО ПЕРВИЧНОЙ ЗАЩИТЕ БЕТОНА СООРУЖЕНИЙ
БИОЛОГИЧЕСКОЙ ОЧИСТКИ СТОЧНЫХ ВОД
Печатаются по решению секции коррозии и спецбетонов НТС НИИЖБ от 4 апреля 1985 г.
Приведены характеристика и источники микробиологического фактора коррозии бетона, способы повышения долговечности сооружений биологической очистки сточных вод в условиях первичной защиты, а также требования к материалам и методика подбора рационального состава бетона.
Рекомендации предназначены для инженерно-технических работников проектных, строительных и монтажных организаций.
Табл. 4.
Настоящие Рекомендации разработаны в дополнение к "Руководству по проектированию защиты от коррозии железобетонных резервуаров очистных сооружений" (ЦБНТИ Минмонтажспецстроя СССР, М., 1981) и в развитие главы
СНиП 2.03.11-85 "Защита строительных конструкций от коррозии. Нормы проектирования". В основу Рекомендаций положены результаты обследования эксплуатируемых комплексов сооружений для биологической очистки хозяйственно-бытовых и производственных сточных вод, данные экспериментальных исследований, проведенных в лабораторных и натурных условиях.
Применение Рекомендаций позволит повысить долговечность бетона сооружений биологической очистки сточных вод от агрессивных воздействий, включая действие микробиологического фактора коррозии.
Рекомендации разработаны Макеевским инженерно-строительным институтом Минвуза УССР (канд. техн. наук В.А. Матвиенко, инженеры Г.Я. Дрозд, В.Н. Губарь) и НИИЖБ Госстроя СССР (д-р техн. наук, проф. Ф.М. Иванов).
Все предложения и замечания по содержанию Рекомендаций просим направлять по адресу: 339023, Макеевка-23, пос. Дзержинского, Макеевский ИСИ или 109389, Москва, 2-я Институтская ул., д. 6, НИИЖБ.
Дирекция НИИЖБ
1.1. Настоящие Рекомендации распространяются на железобетонные конструкции сооружений биологической очистки хозяйственно-бытовых и производственных сточных вод и могут быть использованы при проектировании аэротенков, метантенков и вспомогательных сооружений.
1.2. Рекомендации предусматривают выполнение требований "Руководства по проектированию защиты от коррозии железобетонных резервуаров очистных сооружений", а также дополнительные мероприятия по первичной защите бетона от микробиологического фактора коррозии.
1.3. Микробиологическим фактором коррозии именуются агрессивные по отношению к бетону железобетонных конструкций продукты жизнедеятельности микроорганизмов, развивающихся в резервуарах (отстойниках, аэротенках, метантенках) в процессе очистки сточных вод от органической составляющей и в порах бетона.
1.4. В целях первичной защиты бетона сооружений биологической очистки сточных вод предусматривается выполнение следующих мероприятий:
выбор коррозионностойких материалов для бетона;
оптимизация поровой структуры бетона;
применение добавок: биоцидных или "провоцирующих" развитие отдельных видов микроорганизмов, а также нейтрализующих агрессивное воздействие продуктов жизнедеятельности микроорганизмов.
2. ХАРАКТЕРИСТИКА МИКРОБИОЛОГИЧЕСКОГО ФАКТОРА
2.1. Степень агрессивности микробиологического фактора может быть оценена по данным о составе сточных вод в резервуарах в процессе микробиологической очистки и по составу конечных продуктов метаболизма биоорганизмов сточных вод.
2.2. Примерный состав хозяйственно-бытовых сточных вод на различных этапах микробиологической очистки и степень агрессивного воздействия на бетон приведены в табл. 1.
Таблица 1
Степень агрессивности сточных вод на различных этапах
биологической очистки
──────────┬──────────────────────────────────┬─────────────────────────────────────────────────────
Сооружение│Оценка сульфатной агрессивности по│ Агрессивность, определяемая микробиологическим
├─────────────────┬────────────────┼─────────┬────────────────────────┬──────────────────
│показатель, мг/л │ степень │pH среды │ содержание, мг/л │ степень
├─────┬───────────┤ агрессивности │ ├─────────┬─────┬────────┤ агрессивности
│SO ,│ HCO │ │ │свободный│ NH ,│биомасса│
│ 4 │ 3 │ │ │ CO , не │ 4 │ │
│менее│ │ │ │ 2 │ не │ │
│ │ │ │ │ более │более│ │
──────────┼─────┼───────────┼────────────────┼─────────┼─────────┼─────┼────────┼──────────────────
Песколовка│1000 │ 450 - 500 │Слабоагрессивная│ 8 - 8,5 │ 5 │ 50 │ 100 │Не агрессивная
Отстойник │1000 │ 450 - 500 │Слабоагрессивная│7,5 - 8,5│ 30 │ 40 │ 500 │Не агрессивная
Аэротенк │ 900 │ 450 - 500 │Слабоагрессивная│ 7 - 7,5 │ 50 │ 40 │ 2000 │Слабоагрессивная
Метантенк │ 100 │1500 - 2000│Не агрессивная │6,7 - 7,3│ 850 │ 250 │до 3000 │Среднеагрессивная
--------------------------------
<*> По отношению к бетону с маркой по водонепроницаемости W 4 на обычном портландцементе.
<**> С учетом наличия большого количества биомассы как источника

при микробиологическом разложении органической составляющей.
2.3. Конечные продукты разложения органических составляющих сточных вод, образующиеся в результате жизнедеятельности микроорганизмов, приведены в табл. 2.
Таблица 2
Конечные продукты разложения некоторых веществ
органической составляющей сточных вод
─────────────────────────────────────────┬────────────────────────
Вещество │ Конечные продукты
─────────────────────────────────────────┼────────────────────────
│ + -
Белки │CO , NH , HCO , H S, CH
│ 2 4 3 2 4
│
│ + +
Углеводы │CO , NH , CH , H
│ 2 4 4
│
│ +
Жиры, спирты, ПАВ, фенолы │CO , H
│ 2
│ - +
Ацетаты, пропионаты, лактаты, пируваты, │CO , HCO , H
бензоаты │ 2 3
│
│ -
Цианиды │CO , NO
│ 2 3
│
Производные бензола │CO
│ 2
3.1. Материалы для бетонов конструкций очистных сооружений выбирают в соответствии с требованиями главы
СНиП 2.03.11-85 и рекомендациями табл. 3, учитывающими наличие микробиологического фактора коррозии.
Таблица 3
Рекомендуемые виды заполнителей и цементов для бетонов
конструкций очистных сооружений
| | ИС МЕГАНОРМ: примечание. Взамен ГОСТ 10178-76 Постановлением Госстроя СССР от 10.07.1985 N 116 | |
───────────────┬───────────────────────────────────────────────────────────
Наименование │ Вид материала для бетонов сооружений
материала ├──────────────────┬───────────────────┬─────────┬──────────
│ песколовка, лотки│ отстойники │аэротенки│метантенки
───────────────┼──────────────────┴───────────────────┴─────────┴──────────
Цементы (по │ Портландцемент с содержанием C A менее 8%
ГОСТ 10178-76*)│ 3
│Шлакопортланд- │Шлакопортландцемент│ - │ -
│цемент │ │ │
Порода │Гранит │Гранит │Известняк│Известняк
крупного │Известняк │Известняк │Гранит │Гранит
заполнителя │ │ │ │
Примечание. Материалы указаны в порядке предпочтительного применения.
3.2. Рекомендуется применение добавок поверхностно-активных веществ и ускорителей твердения, уменьшающих размер пор и общую пористость бетонов - повышающих плотность бетона. Вид добавок и область их применения устанавливаются согласно "
Руководству по применению химических добавок в бетоне" (М., Стройиздат, 1981).
3.3. Биоцидные добавки допускается применять при условии исключения вымывания их из бетона в очищаемые стоки.
3.4. Для повышения долговечности бетона при воздействии на него углекислого газа, основного конечного продукта разложения органического вещества микроорганизмами, рекомендуется введение в бетонную смесь тонкомолотого известняка в количестве 10 - 15% массы цемента.
3.5. Для пропариваемых изделий целесообразно введение в бетонную смесь комплексной добавки, состоящей из СДБ и сернокислой меди в количестве 0,1...0,5% и 0,1...0,15% массы цемента соответственно, в расчете на безводное вещество добавок. Добавки следует применять в соответствии с "
Руководством по применению химических добавок в бетоне".
4.1. Характеристики бетонов для конструкций сооружений микробиологической очистки рекомендуется назначать в зависимости от этапа очистки, условий их эксплуатации в соответствии с данными табл. 4.
Таблица 4
Рекомендуемые показатели плотности проницаемости бетона
──────────────┬────────────┬───────────────────────────────────────────────
Наименование │ Вид бетона │ Показатели плотности проницаемости бетона
сооружений и │ ├──────────┬──────────────┬────────────────┬────
условия │ │марка │ коэффициент │водопоглощение, │В/Ц
эксплуатации │ │водонепро-│ фильтрации │ % по массе, не │
конструкций │ │ницаемости│см/с, не более│ более │
──────────────┼────────────┼──────────┼──────────────┼────────────────┼────
│ │ │ -9 │ │
Аэротенки - │Бетон │ W 6 │ 2,10 │ 4,7 │0,48
надводная │повышенной │ │ │ │
часть │плотности │ │ │ │
│ │ │ -9 │ │
Песколовки и │То же │ W 6 │ 2,10 │ 4,7 │0,48
первичные │ │ │ │ │
отстойники │ │ │ │ │
│ │ │ -9 │ │
Аэротенки - │ " │ W 6 │ 2,10 │ 4,7 │0,48
подводная │ │ │ │ │
часть │ │ │ │ │
│ │ │ -10 │ │
Метантенки и │Особоплотный│ W 8 │ 6,10 │ 4,2 │0,42
вторичные │бетон │ │ │ │
отстойники - │ │ │ │ │
все │ │ │ │ │
конструкции │ │ │ │ │
4.2. Расход цемента в бетоне рекомендуется в пределах 300...450 кг/м3.
4.3. Подвижность бетонной смеси определяется видом конструкции и средствами уплотнения и должна обеспечивать плотность и однородность бетона. Для обеспечения предельного водоцементного отношения и заданной подвижности рекомендуется использование суперпластификаторов.
4.4. Подбор состава бетона следует производить по прилагаемой
методике (см. Приложение).
4.5. Режимы уплотнения и твердения бетонной смеси должны обеспечивать получение бездефектной поверхности - без раковин и микротрещин.
4.6. Торкретбетон и бетон для омоноличивания стыков сборных железобетонных конструкций должны иметь достаточную адгезию к бетону конструкций и удовлетворять требованиям
табл. 4.
ПОДБОРА СОСТАВА БЕТОНА ОПТИМАЛЬНО ПЛОТНОЙ СТРУКТУРЫ
1. Определяем оптимальное соотношение между мелким и крупным заполнителем.
Оптимальным считается такое соотношение между песком и щебнем, которое обеспечивает максимальную объемную массу смеси (минимальную пустотность).
Максимальную объемную массу смеси заполнителей подбирают экспериментально путем варьирования соотношения между песком и щебнем.
Расчет пустотности смеси заполнителей производят по формуле

, (1)
где

- объем пустот, л/м3;

- объемная масса смеси заполнителя, кг/л;

,

- объемная масса зерен щебня, песка, кг/л;
Щ, П - содержание щебня, песка, % массы смеси заполнителей.
2. Варьируем два параметра бетонной смеси по плану ПФЭ


- избыток цементного теста, обозначается

и принимается в пределах 1,05...1,15.

.
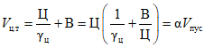
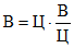
Расчет количества компонентов производят по следующим формулам:

, (2)

, (3)

, (4)

, (5)

, (6)

, (7)

. (8)
3. Данные расчетов сводим в таблицу.
─────────┬────────────────────────────────────┬──────────────────┬─────────
N │ Величина факторов │Расход материалов,│SUM комп.
состава │ относительная/абсолютная │ кг/м3 │
─────────┼─────────────────┬──────────────────┼───┬────┬───┬─────┼─────────
│ X /альфа │ X /В/Ц │ Ц │ В │ П │ Щ │
│ 1 │ 2 │ │ │ │ │
─────────┼─────────────────┼──────────────────┼───┼────┼───┼─────┼─────────
1 │ +/1,15 │ -/0,4 │ │ │ │ │
2 │ -/1,05 │ +/0,48 │ │ │ │ │
3 │ +/1,15 │ +/0,48 │ │ │ │ │
4 │ -/1,05 │ -/0,4 │ │ │ │ │
5 │ 0/1,10 │ 0/0,44 │ │ │ │ │
4. Для каждого состава определяем следующие характеристики:
а) жесткость бетонной смеси;
б) прочность бетона на сжатие;
в) водонепроницаемость;
г) коэффициент фильтрации;
д) водопоглощение бетона.
5. В координатах

строим изолинии характеристик ("а"..."д"). Выбор состава проводят путем последовательного выделения зоны факторного пространства, удовлетворяющего требованиям настоящих Рекомендаций.
а) определяют зону

требуемого;
б) в зоне по
п. "а" выделяют зону с допустимой жесткостью (например, 10 с <= Ж <= 30 с);
в) в зоне по
п. "б" определяют точки с минимальным водопоглощением при минимальном расходе цемента.