Главная // Актуальные документы // МетодикаСПРАВКА
Источник публикации
М.: Стройиздат, 1989
Примечание к документу
Название документа
"Пособие по расчету и проектированию теплозвукоизоляции ограждающих конструкций объемно-блочных зданий (к СНиП II-12-77 и СНиП II-3-79**)"
(утв. Приказом НИИСФ Госстроя СССР от 03.04.1986)
"Пособие по расчету и проектированию теплозвукоизоляции ограждающих конструкций объемно-блочных зданий (к СНиП II-12-77 и СНиП II-3-79**)"
(утв. Приказом НИИСФ Госстроя СССР от 03.04.1986)
Приказом НИИСФ Госстроя СССР
от 3 апреля 1986 года
ПОСОБИЕ
ПО РАСЧЕТУ И ПРОЕКТИРОВАНИЮ ТЕПЛОЗВУКОИЗОЛЯЦИИ
ОГРАЖДАЮЩИХ КОНСТРУКЦИЙ ОБЪЕМНО-БЛОЧНЫХ ЗДАНИЙ
Утверждено Приказом НИИСФ Госстроя СССР от 3 апреля 1986 г.
Разработано НИИСФ Госстроя СССР (кандидаты техн. наук В.Л. Анджелов, И.Н. Бутовский, Е.В. Веселовацкая, инженеры Б.Д. Некрасов, А.А. Чернявский) при участии ЦНИИЭП жилища Госкомархитектуры (инж. В.Г. Бердичевский).
Рекомендованы к изданию решением секции строительной акустики научно-технического совета НИИСФ Госстроя СССР.
Приведен метод расчета звукоизоляции внутренних ограждений объемно-блочных зданий.
Изложены требования к звукоизоляции ограждающих конструкций, снижению шума санитарно-технического и инженерного оборудования зданий, а также требования к производству и приемке работ на строительной площадке. Дан пример теплотехнического расчета наружных ограждений зданий из объемных блоков.
Для инженерно-технических работников проектных, научно-исследовательских и производственных организаций.
ЗВУКОИЗОЛЯЦИЯ ОГРАЖДАЮЩИХ КОНСТРУКЦИЙ
1. ТРЕБОВАНИЯ К ЗВУКОИЗОЛЯЦИИ ОГРАЖДАЮЩИХ КОНСТРУКЦИЙ
1.1. Звукоизоляционные качества ограждающих конструкций объемно-блочных зданий должны иметь нижеследующие индексы изоляции ограждений (табл. 1).
Таблица 1
────┬─────────────────────────────────────────┬────────────────────────────
N │ Ограждающие конструкции жилых зданий │ Индекс
п.п.│ ├───────────┬────────────────
│ │ изоляции │ приведенного
│ │воздушного │уровня ударного
│ │шума R', дБ│ шума L' , дБ
│ │ w │ nw
────┴─────────────────────────────────────────┴───────────┴────────────────
1. Перекрытия между помещениями квартир 52 60
2. Перекрытия между помещениями квартир и 49 -
неиспользуемыми чердачными помещениями
3. Перекрытия между помещениями квартиры 52 60
и подвалами, холлами и используемыми
чердачными помещениями
4. Перекрытия между помещениями квартир 57 60
и расположенными внизу магазинами
5. Перекрытия между помещениями квартиры 62 43
и расположенными внизу ресторанами,
спортивными залами, кафе и другими
подобными помещениями
6. Перекрытия между комнатами в двухэтажной 43 68
квартире
7. Перекрытия, отделяющие помещения 47 68
культурно-бытового обслуживания
общежитий друг от друга и от помещений
общего пользования (холлов, вестибюлей,
коридоров)
8. Стены и перегородки между квартирами; 52 -
помещениями квартиры и лестничными
клетками, холлами, коридорами,
вестибюлями
9. Стены между помещениями квартиры 57 -
и магазинами
10. Перегородки без дверей между комнатами; 43 -
кухней и комнатой в квартире
11. Перегородки между комнатами и санитарным 47 -
узлом одной квартиры
12. Входные двери квартир, выходящие на 27 -
лестничные клетки, в холлы, вестибюли
и коридоры
13. Стены и перегородки, отделяющие 47 -
помещения культурно-бытового
обслуживания общежитий друг от друга и
от помещений общего пользования (холлов,
вестибюлей, лестничных клеток)
2. РАСЧЕТ ЗВУКОИЗОЛЯЦИИ ОГРАЖДАЮЩИХ КОНСТРУКЦИЙ <*>
--------------------------------
2.1. Расчет звукоизоляции проводится при проектировании ограждающих конструкций. Окончательная оценка звукоизоляции ограждающих конструкций зданий, выстроенных по новым типовым проектам, должна производиться на основе натурных испытаний ограждающих конструкций экспериментальных зданий.
2.2. Индекс изоляции воздушного шума ограждающей конструкцией следует определять первоначально по формулам:
для вертикальных ограждений

; (1)
для горизонтальных ограждений

, (2)
где m - поверхностная плотность одной стенки блока, кг/м2;
d - толщина воздушной прослойки, см.
Примечание. Если стенки смежных блоков имеют неодинаковую толщину, то при различии поверхностных плотностей не более чем на 20% за расчетную величину поверхностной плотности принимают их среднеарифметическое значение. При большем различии поверхностных плотностей
выражения (1) и (2) применяться не могут.
2.3. После ориентировочного выбора толщины стенки блока и воздушной прослойки строится частотная характеристика изоляции воздушного шума, и по ней окончательно определяется индекс изоляции воздушного шума.
Расчет индексов изоляции выполняется в соответствии с
Прил. 1 и
2.
2.4. Частотную характеристику изоляции воздушного шума стенами без дверей (с воздушной прослойкой в пределах 4 - 10 см) следует определять графическим способом, изображая ее в виде ломаной линии, аналогичной ABCDEFK на
рис. 1. Координаты точки

частотной характеристики определяют по формулам:

, (3)
где h - толщина стенки блока, см;

- объемная плотность бетона, кг/м3;
E - модуль упругости бетона, кгс/см2;

. (4)
Рис. 1. Частотная характеристика изоляции воздушного шума
ограждением объемно-блочного здания
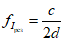
Частота резонанса воздушной прослойки

определяется по формуле:

, (5)
где c - скорость звука в воздухе 340 м/с;
d - толщина воздушной прослойки, м.
Полученная частота округляется до ближайшей среднегеометрической частоты третьоктавной полосы (табл. 2). Горизонтальный участок линии EF строится от частоты резонанса до предшествующей третьоктавной полосы.
Таблица 2
───────────────────────────────────┬──────────────────────────────
Среднегеометрическая частота, Гц │ Границы, Гц
───────────────────────────────────┴──────────────────────────────
50 45 - 56
63 57 - 70
80 71 - 88
100 89 - 111
125 112 - 140
160 141 - 176
200 177 - 222
250 223 - 280
320 281 - 353
400 354 - 445
500 446 - 561
630 562 - 707
800 708 - 890
1000 891 - 1122
1250 1123 - 1414
1600 1415 - 1782
2000 1783 - 2244
2500 2245 - 2828
3200 2829 - 3563
4000 3564 - 4489
5000 4490 - 5657
После определения координат точки B дальнейшее построение видно на
рис. 1.
Частоты

.
2.5. Частотная характеристика изоляции воздушного шума перекрытиями строится аналогично
п. 2.4, только прямые DE и FK строятся с наклоном 6 дБ/октава.
2.6. При выполнении блоков из тяжелого бетона, керамзитобетона и аглопоритобетона при построении частотной характеристики изоляции воздушного шума координаты точки B можно определять по табл. 3 и
4 в зависимости от модуля упругости, плотности и толщины стенки одного блока.
────────────┬─────────────────────────────────────────────────────
-3 │
E x 10 , │ Значения R при ро, кг/м3
МПа │ b
├────────┬────────┬────────┬────────┬────────┬────────
│ 1500 │ 1700 │ 1900 │ 2100 │ 2300 │ 2500
────────────┴────────┴────────┴────────┴────────┴────────┴────────
1,2 40 41 - - - -
1,4 39 41 42 - - -
1,7 38 40 42 43 - -
1,8 - 39 41 42 43 -
2 - - 40 42 43 44
2,2 - - 40 41 42 43
2,4 - - - 41 42 43
2,6 - - - - 42 43
──────────────────┬──────────────────┬────────────────────────────
Материал │ ро, кг/м3 │ f , Гц
│ │ B
──────────────────┴──────────────────┴────────────────────────────
Тяжелый бетон 2500 и менее 15000
-----
h
Аглопоритобетон 1800 и более 14500
-----
h
Керамзитобетон 1600 и более 16000
-----
h
" Менее 1600 17500
-----
h
Примечание. h - толщина ограждения (без учета ребер), мм.
Пример. Определить изоляцию воздушного шума межквартирным ограждением в здании из объемных блоков, выполненных из тяжелого бетона плотностью 2500 кг/м3, модулем упругости -

при толщине стенки блока 0,05 м и воздушном промежутке между стенками 0,05 м.
Построение начинаем с определения координаты точки B. Для плотности 2500 кг/м3 и модуля упругости

величина

составит 44 дБ (см.
табл. 3), а

для тяжелого бетона толщиной 5 см составит 15000/h = 15000: 50 = 300 Гц

320 Гц (см.
табл. 4).
Затем определяем координаты точек C и D, которые в соответствии с
рис. 1 составят:

.
Вправо от точки D проводим прямую с подъемом 8 дБ/октава, а в пределах частот 2500 - 3200 Гц горизонтальный участок EF, так как частота резонанса

составит 340 (2 x 0,05) = 3400 Гц

3200 Гц.
Ордината точки E получается путем пересечения горизонтального участка и прямой DE, имеющей подъем 8 дБ/октава. Затем из точки F вновь проводим прямую с подъемом 8 дБ/октава.
Из точки B влево проводим прямую со спадом 6 дБ/октава. Построение приведено на
рис. 2. Ориентировочно определим индекс изоляции воздушного шума по формуле

.
Рис. 2. Расчетная частотная характеристика
2.7. Для некоторых бетонов, из которых изготавливаются блоки, приведены толщины стенок и плит пола, отвечающие нормативным требованиям, предъявляемым к межквартирным ограждениям (табл. 5).
────────────────┬─────────┬──────────┬────────────────────────────
Материал │Объемная │ Модуль │ Толщина, см
│плотность│упругости ├──────────┬─────────┬───────
│ бетона, │ бетона │воздушной │ стенок │ плит
│ кг/м3 │ -8 │прослойки │ блока │пола и
│ │ 10 МПа │ │ │потолка
────────────────┴─────────┴──────────┴──────────┴─────────┴───────
Тяжелый бетон 2500 2 5 5 5,5
То же 2500 2 12 4,5 5
Керамзитобетон 1600 1,4 5 7 8
" 1400 1,1 5 8 9
Аглопоритобетон 200 1,5 6 5,5 6
2.8. Индекс приведенного уровня ударного шума

под перекрытием с теплозвукоизоляционным линолеумом определяют в зависимости от величины индекса приведенного уровня ударного шума перекрытия и индекса снижения приведенного уровня ударного шума линолеума, дБ, по формуле

, (6)
где

- индекс приведенного уровня ударного шума, дБ, определяемый по табл. 6;

- индекс снижения приведенного уровня ударного шума, дБ, принимаемый в зависимости от типа линолеума по его паспортным данным.
Таблица 6
─────────────────────────┬─────────────────────┬──────────────────
Суммарная поверхностная │ Способ опирания │Значения L' , дБ
плотность плит пола │ блоков │ now
и потолка, кг/м2 │ │
─────────────────────────┴─────────────────────┴──────────────────
150 По четырем углам 87
150 " двум сторонам 88
150 " периметру 89
200 " четырем углам 84
200 " двум сторонам 85
200 " периметру 86
250 " четырем сторонам 83
250 " двум сторонам 84
250 " периметру 85
300 " четырем углам 80
300 " двум сторонам 81
300 " периметру 82
2.9. Межкомнатные перегородки должны иметь поверхностную плотность не менее 110 кг/м2, независимо от объемной плотности, модуля упругости и толщины воздушной прослойки.
3. МЕРОПРИЯТИЯ ПО ОБЕСПЕЧЕНИЮ ЗВУКОИЗОЛЯЦИИ В ЗДАНИЯХ
3.1. Действующие заводы выпускают блоки, характеристики которых не всегда отвечают требованиям
табл. 5. Поэтому в этих зданиях следует выполнять дополнительные мероприятия, повышающие звукоизоляционные качества ограждений до нормативных требований.
Блоки из керамзитобетона объемной плотностью 1400 кг/м3
3.2. При выполнении плит пола и потолка общей толщиной 140 мм с воздушным промежутком не менее 60 мм следует использовать теплозвукоизоляционный линолеум на цементной стяжке не менее 20 мм.
В воздушный промежуток между плитами пола следует уложить слой кварцевого песка толщиной 40 мм и объемной плотностью 1600 кг/м3 по крафт-бумаге и шлаковате толщиной 80 мм или по крафт-бумаге и полужестким минераловатным плитам толщиной 40 - 60 мм.
Блоки из аглопоритобетона объемной плотностью 1900 кг/м3
3.3. При выполнении плит пола и потолка общей толщиной 100 мм с воздушным промежутком не менее 60 мм следует применять теплозвукоизоляционный линолеум по цементной стяжке толщиной не менее 20 мм.
3.4. При выполнении плит пола и потолка толщиной по 30 мм в воздушный промежуток следует уложить слой кварцевого песка толщиной 40 мм по полужестким минераловатным плитам толщиной 40 мм или только слой кварцевого песка толщиной 60 - 70 мм.
Блоки из тяжелого бетона
3.5. При выполнении плит пола и потолка общей толщиной 90 мм следует устраивать пол из теплозвукоизоляционного линолеума по цементной стяжке толщиной не менее 20 мм.
3.6. При выполнении плит пола и потолка толщиной по 30 мм следует выполнять плавающий пол: чистое покрытие пола по цементной стяжке толщиной 30 мм, уложенной по двум слоям древесно-волокнистых плит толщиной 25 мм, покрытых гидроизоляционным материалом.
3.7. При выполнении плит пола из тяжелого бетона толщиной 50 мм и плит потолка из керамзитобетона толщиной 60 мм и объемной плотностью 1400 кг/м3 в воздушный промежуток следует уложить слой кварцевого песка толщиной 20 мм на полужесткие минераловатные плиты толщиной 40 мм.
| | ИС МЕГАНОРМ: примечание. Текст дан в соответствии с официальным текстом документа. | |
3.8. При плитах перекрытия, выполненных по п. 3.8, возможно устройство в воздушном промежутке звукоизоляционного слоя из двух листов сухой штукатурки общей толщиной 20 мм на шлаковате толщиной 80 мм или полужестких минераловатных плит толщиной 40 мм.
4. КОНСТРУКТИВНЫЕ ТРЕБОВАНИЯ К БЛОКАМ
4.1. Конструктивно-технологическое решение блоков должно исключать появление в них сквозных трещин, а также развитие микротрещин в процессе эксплуатации; методы транспортировки и монтажа - обеспечить целостность блоков.
4.2. Электроосветительную арматуру следует устанавливать на стенах блоков, не являющихся межквартирными перегородками, и смещать относительно аналогичной арматуры в смежных комнатах. В противном случае арматуру необходимо устанавливать на деревянных пробках, без пробивки отверстий в стенах.
В стенах, являющихся межквартирными ограждениями, не следует пробивать сквозных отверстий для установки электроосветительной аппаратуры. В случае необходимости розетки и выключатели следует ставить на деревянных пробках.
4.3. Отверстия для прокладки коммуникаций должны предусматриваться при формовании блоков. Не допускается их пробивка во время монтажа зданий. Электропроводку следует прокладывать до формования блоков.
4.4. В проектах зданий с коридорной системой звукоизоляцию одинарного ограждения между квартирой и коридором следует повысить до нормативной величины путем устройства дополнительной перегородки из гибких плит на относе.
5. СНИЖЕНИЕ ШУМА САНИТАРНО-ТЕХНИЧЕСКОГО
И ИНЖЕНЕРНОГО ОБОРУДОВАНИЯ ЗДАНИЙ
5.1. В зданиях следует устанавливать малошумные лифты с раздвигающимися створками.
С целью полного отделения шахты и машинного помещения от конструкций соседских блоков шахту лифта следует устанавливать в зоне лестничной клетки.
5.2. В случае расположения шахты в непосредственной близости от квартир необходимо опирать ограждение шахты лифта на самостоятельный фундамент. При этом смежно с шахтой лифта необходимо размещать кухни, ванные комнаты, холлы и другие помещения. При расположении жилых комнат рядом с лифтом необходимо в каждом конкретном случае рассчитывать звукоизоляцию ограждения так, чтобы обеспечить требуемый акустический режим в помещениях.
5.3. Машинное отделение лифта следует располагать вверху здания, а его перекрытие должно быть выше уровня потолка верхнего этажа. При этом нужно максимально изолировать ограждения машинного отделения от конструкций здания.
5.4. Механическое и электрическое оборудование, лебедки лифтов необходимо устанавливать на виброизоляторах; магнитную станцию, трансформаторы и другие элементы электрооборудования - на резиновых упругих прокладках.
Площади отверстий для подъемных канатов ограничителя скорости не должны превышать соответствующих технических требований.
5.5. Фундамент шахты лифта должен состоять из слоя гравийной или щебеночной подготовки толщиной 50 мм, бетонного блока толщиной 25 мм, слоя гидроизоляции и опорного блока шахты. Фундамент должен быть полностью отделен от конструкции здания.
5.6. Отверстия для пропуска тросов должны иметь специальные глушители, уменьшающие шум, проникающий из машинного отделения. В противном случае, внутренние поверхности стен должны иметь отделку из звукоизолирующих материалов.
5.7. Санитарно-технические коммуникации следует располагать как можно дальше от жилых комнат, группируя их возле лестничных клеток.
Санитарно-техническая арматура и трубопроводы должны соответствовать стандартам и техническим требованиям. Следует ограничивать применение фасонных и соединительных частей труб; при соединении труб разного диаметра необходимо использовать переходную муфту; перед заборными кранами, производящими шум, должны устанавливаться понижающие вентили.
5.8. В санитарных узлах необходимо применять малошумное оборудование (низко расположенные сливные бачки, гибкие шланги для наполнения ванн). Все оборудование следует крепить к стенам на прокладках из резины.
5.9. Для устранения передачи вибраций и шума по конструкциям здания насосы центрального отопления следует устанавливать на виброизоляторах, между насосом и трубопроводом помещать упругую вставку длиной 80 - 100 см, трубопроводы изолировать от строительных конструкций упругими прокладками.
5.10. Трубопроводы любого назначения должны быть тщательно изолированы при их пропуске через строительные конструкции. В местах пропусков их следует помещать в специальные гильзы из асбокартона или минеральной ваты и тщательно заделывать отверстие гипсовым раствором.
5.11. Мусоропровод следует размещать в отдельной шахте в том случае, если он примыкает к жилым помещениям, а его ствол выполнять из асбестоцементных труб. В местах пропуска через перекрытия ствол следует обертывать изоляционным материалом, например матами из волокнистых материалов.
5.12. Пространство между шахтой и стволом должно быть заполнено звукопоглощающим материалом и засыпано песком на высоту 30 см от перекрытия. При этом шахту следует поэтажно разделить диафрагмами для возможности ремонта без нарушения засыпки шахты.
5.13. Площадка для мусороприемника в приемной камере должна иметь упругое основание и должна быть выполнена в виде массивной плавающей плиты. Для этого достаточно бетонной подготовки толщиной 40 - 50 мм, уложенной по упругой прокладке из изолирующих материалов (древесно-волокнистых, изоляционных плит). Путь, по которому передвигается тележка мусороприемника, следует выполнить в виде бесшовного пола.
5.14. Загрузочные клапаны должны закрываться бесшумно, для чего дверцы снабжаются мягкими резиновыми прокладками.
6. ТРЕБОВАНИЯ К ПРОИЗВОДСТВУ И ПРИЕМКЕ РАБОТ
НА СТРОИТЕЛЬНОЙ ПЛОЩАДКЕ
6.1. Изменение проектных решений в части звукоизоляции (например, замена упругих прокладок, амортизаторов и пр.) должно согласовываться с проектной организацией.
6.2. При производстве работ необходим строгий надзор за качественной и соответствующей проекту заделкой мест прохождения трубопроводов и других коммуникаций.
6.3. Не допускается засорение воздушных промежутков между блоками строительным мусором.
6.4. Возникающие в ходе строительства трещины и отверстия в ограждениях блок-комнат должны заделываться раствором на полную глубину.
6.5. Качество работ, в том числе работ по звукоизоляции, контролируется в процессе их выполнения поэтажно по мере возведения здания. Комиссия, осуществляющая контроль, состоит из представителей авторского и технического надзора застройщика и строящей организации. Комиссия составляет "Акты поэтажной приемки смонтированных конструкций", в которых указываются все скрытые работы, выполняемые для обеспечения звукоизоляции здания, и дается оценка их качества. К скрытым работам в части строительной акустики относятся: заделка мест сопряжения дверных и оконных коробок с ограждениями; заделка отверстий в конструкциях после прокладки труб санитарно-технических систем, укладка упругих прокладок; крепление к строительным конструкциям трубопроводов, воздуховодов, мусоропроводов, вентиляторов, насосов, электродвигателей, устройство звукоизолирующих диафрагм между блоками; устройство горизонтальных перемычек и другие работы (в зависимости от мер по обеспечению звукоизоляции, предусмотренных проектом).
6.6. Надзор за правильным выполнением работ, обеспечивающих требуемую звукоизоляцию, проводится инженерно-техническим персоналом строительной организации и контролируется соответствующими органами.
6.7. Контроль посредством натурных измерений звукоизоляции должен проводиться в одном доме каждой партии жилых домов. Партией считаются дома, строящиеся одной строительной организацией по одному проекту и сдаваемые в эксплуатацию в один год. Перечень домов, входящих в партию, определяется строительной организацией до проведения измерений звукоизоляции.
6.8. Документация, предъявляемая при приемке зданий в эксплуатацию, в части звукоизоляции должна содержать:
поэтажные акты на промежуточные скрытые работы, связанные с обеспечением звукоизоляции;
результаты контрольных измерений звукоизоляции ограждений и уровней шумов санитарно-технического и инженерного оборудования;
перечень отступлений от проекта, допущенных при строительстве, и разрешение проектной организации на эти отступления;
перечень обнаруженных дефектов и недоделок с указанием сроков их устранения и исполнителей.
7. НОРМЫ ПРОЕКТИРОВАНИЯ НАРУЖНЫХ ОГРАЖДЕНИЙ ЗДАНИЙ
ИЗ ОБЪЕМНЫХ БЛОКОВ
7.1. Сопротивление теплопередаче ограждающих конструкций

должно быть не менее требуемого сопротивления теплопередаче

, определяемого по
формуле (7) и экономически целесообразного сопротивления теплопередаче

, определяемого исходя из условия обеспечения наименьших приведенных затрат в соответствии с
п. 7.15 Пособия.
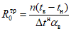
7.2. Требуемое сопротивление теплопередаче

, м2 x °C/Вт, ограждающих конструкций, за исключением заполнений световых проемов (окон, балконных дверей), следует определять по формуле

, (7)
где

- нормативный температурный перепад между температурой внутреннего воздуха и температурой внутренней поверхности ограждающей конструкции, принимаемый по
табл. 7;
n - коэффициент, принимаемый в зависимости от положения наружной поверхности ограждающих конструкций по отношению к наружному воздуху, принимаемый по
табл. 8;

- расчетная температура внутреннего воздуха, °C, принимаемая по СНиП 2.08.01-85 "Жилые здания";

- расчетная зимняя температура наружного воздуха, °C, принимаемая в соответствии с
п. 7.3 настоящего Пособия;

- коэффициент теплоотдачи внутренней поверхности ограждающих конструкций, принимаемый по
табл. 9.
────────────┬─────────────────────────────────────────────────────
│ н
Здания │ Нормативный температурный перепад Дельта t ,
│ °C, для
├────────────────┬─────────────────┬──────────────────
│ наружных стен │ покрытий │ перекрытий
│ │ и чердачных │ над подвалами
│ │ перекрытий │ и подпольями
────────────┴────────────────┴─────────────────┴──────────────────
Жилые 6 4 2
Общественные 7 5,5 2,5
──────────────────────────────────────────────────┬───────────────
Ограждающие конструкции │ Коэффициент n
──────────────────────────────────────────────────┴───────────────
Наружные стены и покрытия, перекрытия чердачные 1
(с кровлей из штучных материалов) и над проездами
Перекрытия над холодными подвалами, сообщающимися 0,9
с наружным воздухом, перекрытия чердачные
(с кровлей из рулонных материалов)
Перекрытия над неотапливаемыми подвалами 0,75
со световыми проемами в стенах
Перекрытия над неотапливаемыми подвалами 0,6
со световыми проемами в стенах, расположенные
выше уровня земли
Перекрытия над неотапливаемыми техническими 0,4
подпольями, расположенными ниже уровня земли
─────────────────────────────────────────────────┬────────────────
Внутренняя поверхность ограждающих конструкций │ Коэффициент
│ теплоотдачи
│ альфа ,
│ в
│ Вт/(м2 x °C)
─────────────────────────────────────────────────┴────────────────
Стен, полов, гладких потолков, потолков с 8,7
выступающими ребрами при отношении высоты h -----
ребер к расстоянию a между гранями соседних (7,5)
ребер h/a <= 0,3
Потолков с выступающими ребрами при отношении 7,6
h/a > 0,3 -----
(6,5)
Требуемое сопротивление теплопередаче

дверей (кроме балконных) и ворот должно быть не менее 0,6

стен зданий, определенных по
формуле (7) при расчетной зимней температуре наружного воздуха, равной средней температуре наиболее холодной пятидневки.
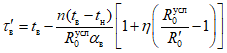
7.3. Расчетную зимнюю температуру наружного воздуха

, °C, следует принимать по
СНиП 2.01.01-82 "Строительная климатология и геофизика" с учетом тепловой инерции D ограждающих конструкций (за исключением заполнений проемов) по табл. 10.
─────────────────────────┬────────────────────────────────────────
Тепловая инерция D │ Расчетная зимняя температура
ограждающих конструкций │ наружного воздуха t , °C
│ н
─────────────────────────┴────────────────────────────────────────
До 1,5 Средняя, наиболее холодных суток,
обеспеченностью 0,98
Св. 1,5 до 4 То же, обеспеченностью 0,92
Св. 4 до 7 Средняя, наиболее холодных трех суток
Св. 7 Средняя, наиболее холодной пятидневки,
обеспеченностью 0,92
Примечание. Среднюю температуру наиболее холодных трех суток следует определять как среднее арифметическое из температур наиболее холодных суток и наиболее холодной пятидневки обеспеченностью 0,92.
7.4. Тепловую инерцию D ограждающей конструкции следует определять по формуле

, (8)
где

- термические сопротивления отдельных слоев ограждающей конструкции, м2 x °C/Вт, определяемые по
формуле (9);

- расчетные коэффициенты теплоусвоения материала отдельных слоев ограждающей конструкции Вт/(м2 x °C), принимаемые по
Прил. 3 СНиП II-3-79** "Строительная теплотехника".
Примечания. 1. Коэффициент теплоусвоения воздушных прослоек принимается равным нулю.
2. Слои конструкции, расположенные между воздушной прослойкой, вентилируемой наружным воздухом, и наружной поверхностью ограждающей конструкции, не учитываются.
7.5. Термическое сопротивление

, м2 x °C/Вт, слоя многослойной ограждающей конструкции, а также однородной (однослойной ограждающей конструкции) следует определять по формуле

, (9)
где

- толщина слоя, м;

- расчетный коэффициент теплопроводности материала слоя, Вт/(м x °C), принимаемый по
Прил. 3 СНиП II-3-79** "Строительная теплотехника".
7.6. Сопротивление теплопередаче

, м2 x °C/Вт, ограждающей конструкции следует определять по формуле

, (10)

- коэффициент теплоотдачи для зимних условий наружной поверхности ограждающей конструкции, Вт/(м2 x °C), принимаемый по табл. 11;

- термическое сопротивление ограждающей конструкции, м2 x °C/Вт, определяемое для: однородной (однослойной) конструкции - по
формуле (9) и многослойной конструкции - в соответствии с
п. 7.7.
Таблица 11
──────────────────────────────────────┬───────────────────────────
Наружная поверхность ограждающих │Коэффициент теплоотдачи для
конструкций │ зимних условий альфа ,
│ н
│ Вт/(м2 x °C)
──────────────────────────────────────┴───────────────────────────
Наружных стен, покрытий, перекрытий 23
над проездами ----
(20)
Перекрытий над холодными подвалами, 17
сообщающимися с наружным воздухом; ----
перекрытий над холодными подпольями (15)
с ограждающими стенами
Перекрытий чердачных над 12
неотапливаемыми подвалами со световыми ----
проемами в стенах (10)
Перекрытий над неотапливаемыми 6
подвалами без световых проемов в ---
стенах, расположенных выше уровня (5)
земли, и над неотапливаемыми
подпольями, расположенными ниже уровня
земли
7.7. Термическое сопротивление

, м2 x °C/Вт, ограждающей конструкции с последовательно расположенными однорядными слоями следует определять как сумму термических сопротивлений отдельных слоев

, (11)
где

- термическое сопротивление замкнутой воздушной прослойки, принимаемое по табл. 12.
Таблица 12
──────────┬───────────────────────────────────────────────────────
Толщина │Термическое сопротивление замкнутой воздушной прослойки
воздушной │ R , м2 x °C/Вт
прослойки │ в.п
дельта, м ├───────────────────────────┬───────────────────────────
│горизонтальной при потоке │ горизонтальной при потоке
│ тепла снизу вверх и │ тепла сверху вниз
│ вертикальной │
├───────────────────────────┴───────────────────────────
│ при температуре воздуха в прослойке
├─────────────┬─────────────┬─────────────┬─────────────
│положительной│отрицательной│положительной│отрицательной
──────────┴─────────────┴─────────────┴─────────────┴─────────────
0,01 0,13 0,15 0,14 0,15
------ ------ ------ ------
(0,15) (0,17) (0,16) (0,18)
0,02 0,14 0,15 0,15 0,19
------ ------ ------ ------
(0,16) (0,18) (0,18) (0,22)
0,03 0,14 0,16 0,16 0,21
------ ------ ------ ------
(0,16) (0,19) (0,19) (0,24)
0,05 0,14 0,17 0,17 0,22
------ ----- ----- ------
(0,16) (0,2) (0,2) (0,26)
0,1 0,15 0,18 0,18 0,23
------ ------ ------ ------
(0,17) (0,21) (0,21) (0,27)
7.8. Приведенное термическое сопротивление

, м2 x °C/Вт, неоднородной ограждающей конструкции определяется следующим образом:
а) плоскостями, параллельными направлению теплового потока, ограждающая конструкция или часть ее условно разделяется на участки, из которых одни могут быть однородными (однослойными), а другие - неоднородными, и термическое сопротивление ограждающей конструкции

, м2 x °C/Вт, определяется по формуле

, (12)
где

- площади отдельных участков конструкции (или части ее), м2;
б) плоскостями, перпендикулярными направлению теплового потока, ограждающая конструкция (или часть ее, принятая для определения

) условно разрезается на слои, из которых одни могут быть однородными, а другие неоднородными. Термическое сопротивление однородных слоев определяется по
формуле (9), неоднородных слоев - по
формуле (12), и термическое сопротивление ограждающей конструкции

- как сумма термических сопротивлений отдельных однородных и неоднородных слоев - по
формуле (11). Приведенное термическое сопротивление ограждающей конструкции

следует определять по формуле

. (13)
Если величина

превышает величину

более чем на 25% или ограждающая конструкция не является плоской, т.е. имеет выступы на поверхности, то приведенное термическое сопротивление

такой конструкции следует определять на основании расчета температурного поля следующим образом:
по результатам расчета температурного поля при

и

определяются средние температуры, °C, внутренней

и наружной

поверхностей ограждающей конструкции и вычисляется величина теплового потока

, Вт/м2, по формуле

, (14)
7.9. Приведенное сопротивление теплопередаче

, м2 x °C/Вт, неоднородной ограждающей конструкции следует определять по формуле

, (15)
Допускается приведенное сопротивление теплопередаче наружных панельных стен жилых зданий

определять по формуле

, (16)
где

- сопротивление теплопередаче панельных стен, условно определяемое по
формулам (10) и
(11) без учета теплопроводных включений, м2 x °C/Вт;
r - коэффициент, учитывающий влияние стыков, обрамляющих ребер и других теплопроводных включений, принимаемый на основании расчета температурного поля или экспериментально.
7.10. Сопротивления теплопередаче наружных стеновых ограждений, изготовленных действующими заводами, а также экономически целесообразное сопротивление теплопередаче этих конструкций приведены в табл. 13.
Таблица 13
─────────┬───────────────────────────┬──────┬─────┬──────┬─────┬───────┬───────┬─────────
Город │ Конструкция наружного │Тепло-│Рас- │Тре- │Рас- │Эконо- │Толщина│Толщина
│ стенового ограждения │вая │чет- │буемое│чет- │мически│утепли-│утепли-
│ │инер- │ная │сопро-│ное │целесо-│теля по│теля,
│ │ция D │зим- │тивле-│со- │образ- │проекту│соот-
│ │ │няя │ние │про- │ное │дельта,│ветст-
│ │ │тем- │тепло-│тив- │сопро- │м │вующая
│ │ │пера-│пере- │ление│тивле- │ │эконо-
│ │ │тура │даче │теп- │ние │ │мически
│ │ │на- │ тр │лопе-│тепло- │ │целесо-
│ │ │руж- │R , │реда-│пере- │ │образному
│ │ │ного │ 0 │че │даче │ │терми-
│ │ │воз- │м2 x │R , │
<*> │ │ческому
│ │ │духа │°C/Вт │ 0 │ эк │ │сопротив-
│ │ │t , │ │м2 x │R , │ │лению
│ │ │ н │ │°C/Вт│ 0 │ │дельта, м
│ │ │°C │ │ │м2 x │ │
│ │ │ │ │ │°C/Вт │ │
─────────┴───────────────────────────┴──────┴─────┴──────┴─────┴───────┴───────┴─────────
Калинин Слой керамзитобетона 3,44 -33 1,08 2,76 3,49 0,14 0,17
[ро = 1700 кг/м3,
дельта = 0,06 м,
лямбда = 0,92 Вт/(м x °C)]
Слой пенопласта
[ро = 40 - 60 кг/м3,
дельта = 0,14 м,
лямбда = 0,053 Вт/(м x °C)]
Слой керамзитобетона
[ро = 1700 кг/м3,
дельта = 0,04 м,
лямбда = 0,92 Вт/(м x °C)]
Хабаровск Слой тяжелого бетона 2,23 -34 1,2 2,23 2,26 0,1 0,1
[ро = 2500 кг/м3,
дельта = 0,07 м,
лямбда = 2,04 Вт/(м x °C)]
объемного блока
Слой пенопласта ПСБ-С-40
[дельта = 0,10 м,
лямбда = 0,05 Вт/(м x °C)]
Слой тяжелого бетона
[дельта = 0,08 м,
лямбда = 2,04 Вт/(м x °C)]
Минск Слой аглопоритобетона 4,62 -27 0,86 1,35 - - -
[ро = 1800 кг/м3,
дельта = 0,07 м,
лямбда = 0,93 Вт/(м x °C)]
объемного блока
Слой цементного фибролита
[ро = 300 кг/м3,
дельта = 0,15 м,
лямбда = 0,14 Вт/(м x °C)]
Слой аглопоритобетона
[ро = 1800 кг/м3,
лямбда = 0,93 Вт/(м x °C),
дельта = 0,04 м]
Вологда Слой керамзитобетона 5,55 -36 0,98 0,98 0,75 0,3 0,3
[ро = 1800 кг/м3,
лямбда = 0,92 Вт/(м x °C),
дельта = 0,08 м]
Приставная однослойная
панель из керамзитобетона
[ро = 1000 кг/м3,
лямбда = 0,41 Вт/(м x °C),
дельта = 0,3 м]
Кременчуг Однослойная керамзито- 4,48 -24 0,8 0,89 0,88 0,3 0,3
бетонная панель
(ро = 1000 кг/м3,
лямбда = 0,41 Вт/(м x °C),
дельта = 0,8 м],
прибетонированная к
объемному блоку
Краснодар Однослойная керамзито- 3,74 -23 0,78 0,78 0,61 0,25 0,25
бетонная панель
[ро = 1000 кг/м3,
лямбда = 0,41 Вт/(м x °C),
приставленная к объемному
блоку, дельта = 0,25 м
--------------------------------
<*> Дополнительные данные для расчета экономически целесообразного термического сопротивления утеплителя по СНиП IV-4-82. Приложение. Сборник средних районных сметных цен на материалы, изделия и конструкции. Ч. III. Материалы и изделия для санитарно-технических работ приводятся в табл. 14.
Таблица 14
──────────┬───────────────┬───────────┬─────────┬─────────────────┬────────
Город │Вид утеплителя │ Стоимость │Стоимость│Продолжительность│t ,
│ │утеплителя │ тепла │ отопительного │ от.пер
│ │С , руб./м│ 9 │периода Z , │ °C
│ │ ут │С x 10 ,│ от.пер │
│ │ │ т │ сут/год │
│ │ │ руб./Дж │ │
──────────┴───────────────┴───────────┴─────────┴─────────────────┴────────
Калинин Вспененный 11 1,1 19 -3,7
пенопласт
Хабаровск Пенопласт 70 2,15 205 -10,1
ПСБ-С-40
Минск Цементный - 2,15 203 -1,2
фибролит -
ро = 300 кг/м3
Вологда Керамзитобетон 69,5 2,63 228 -4,8
ро = 1000 кг/м3
Кременчуг То же 66,33 3,23 185 -1
Краснодар " " 72,56 1,67 152 +1,5
7.11. Температура внутренней поверхности ограждающей конструкции по теплопроводному включению должна быть не ниже температуры точки росы внутреннего воздуха при расчетной зимней температуре наружного воздуха (согласно
п. 7.3).
Примечание. Относительную влажность внутреннего воздуха для определения температуры точки росы в местах теплопроводных включений ограждающих конструкций жилых и общественных зданий следует принимать равной 55%.
7.12. Температуру внутренней поверхности

, °C, ограждающей конструкции (без теплопроводного включения) следует определять по формуле

, (17)
Температуру внутренней поверхности

, °C, ограждающей конструкции по теплопроводному включению следует определять на основании расчета температурного поля конструкции.
Для теплопроводных включений, приведенных в
Прил. 5 СНиП II-3-79**, температуру

, °C, допускается определять по формуле:
для неметаллических теплопроводных включений

; (18)
для металлических теплопроводных включений

,

и

- сопротивление теплопередаче ограждающей конструкции, м2 x °C/Вт, соответственно в местах теплопроводных включений и вне этих мест, определены по
формуле (10);

и

- коэффициенты, принимаемые соответственно
табл. 7 и
8 СНиП II-3-79**.
7.13. Требуемое сопротивление теплопередаче

заполнений световых проемов (окон, балконных дверей и фонарей) следует принимать по табл. 15.
Таблица 15
────────────┬─────────────────────┬───────────────────────────────
Здания │Разность температуры │ Требуемое сопротивление
│внутреннего воздуха │ тр
│ и средней │теплопередаче R , м2 x °C/Вт
│температуры наиболее │ 0
│холодной пятидневки ├─────────────┬─────────────────
│ обеспеченностью │ окон и │ зенитных
│ 0,92, °C │ балконных │ фонарей
│ │ дверей │
────────────┴─────────────────────┴─────────────┴─────────────────
Жилые До 25 0,18 0,15
------ ------
(0,21) (0,18)
Св. 25 до 44 0,29 0,31
------ ------
(0,45) (0,36)
Св. 44 до 49 0,49 0,31
------ ------
(0,49) (0,36)
0,53 0,48
------ ------
(0,61) (0,56)
До 30 0,15 0,15
------ ------
(0,18) (0,18)
Общественные Св. 30 до 49 0,31 0,31
------ ------
(0,36) (0,36)
Св. 49 0,48 0,31
------ ------
(0,56) (0,36)
7.14. Приведенное сопротивление теплопередаче заполнений световых проемов (окон, балконных дверей и фонарей) следует принимать по табл. 16.
───────────────────────────────────────┬──────────────────────────
Заполнение светового проема │Приведенное сопротивление
│ пр
│ теплопередаче R ,
│ 0
│ м2 x °C/Вт
───────────────────────────────────────┴──────────────────────────
Одинарное остекление в деревянных 0,18
переплетах ------
(0,21)
Одинарное остекление в металлических 0,15
переплетах ------
(0,18)
Двойное остекление в деревянных 0,39
спаренных переплетах ------
(0,45)
Двойное остекление в металлических 0,34
раздельных переплетах -----
(0,4)
Двойное остекление в деревянных 0,42
раздельных переплетах ------
(0,49)
Тройное остекление в деревянных 0,55
раздельно-спаренных переплетах ------
(0,64)
Тройное остекление в металлических 0,46
раздельных переплетах окон ----
0,53
Примечание. Значения приведенных сопротивлений теплопередаче заполнений световых проемов в деревянных переплетах даны для случаев, когда отношение площади остекления к площади заполнения светового проема равно 0,75 - 0,85.
При отношении площади остекления к площади заполнения светового проема в деревянных переплетах, равном 0,6 - 0,74, указанные в
таблице значения

следует увеличивать на 10%, а при отношении площадей, равном 0,86 и более, соответственно уменьшать на 5%.
7.15. Экономически целесообразное сопротивление теплопередаче

ограждающей конструкции следует принимать равным сопротивлению теплопередаче

того варианта ограждающей конструкции, при котором обеспечивается наименьшая величина приведенных затрат, П, руб./м2, определяемая по формуле

, (20)
где

- средняя температура наружного воздуха за отопительный период, °C, принимаемая в соответствии с главой СНиП по строительной климатологии и геофизике с учетом требований нормативных документов по проектированию отдельных видов зданий и сооружений;

- продолжительность отопительного периода, ч/год, принимаемая в соответствии с главой СНиП по строительной климатологии и геофизике с учетом требований нормативных документов по проектированию отдельных видов зданий и сооружений;

- стоимость тепловой энергии, руб./Дж, определяемая по действующему прейскуранту;

- единовременные затраты, руб./м3, определяемые по формуле

, (21)
где Ц - оптовая цена конструкции, определяемая по прейскурантам, руб./м2;
Т - стоимость транспортирования конструкций с учетом погрузочно-разгрузочных работ, определяемая по СНиП IV-4-82, руб./м2. Приложение. Сборник сметных цен на перевозки грузов для строительства. Ч. 1. Железнодорожные и автомобильные перевозки;

- стоимость монтажа (возведения) ограждающих конструкций по сборникам единых районных единичных расценок (ЕРЕР) на строительные работы, руб./м2.
В качестве первого варианта

принимается сопротивление теплопередаче ограждающей конструкции, равное или близкое величине (

) с учетом унифицированной толщины конструкции. Величину коэффициента

следует принимать по табл. 17.
Таблица 17
─────────────────────────────────────────────────────┬────────────
Ограждающие конструкции зданий │ r
│ эф
─────────────────────────────────────────────────────┴────────────
Стены
Однослойные из бетонов на пористых заполнителях, 1,1
а также однослойные из штучных материалов
Однослойные из ячеистых бетонов 1,3
Многослойные с утеплителем на основе минеральных 1,8
волокон или вспененных пластмасс
Прочие 1,1
Покрытия и чердачные перекрытия
С утеплителем из легких бетонов 1,3
С утеплителем на основе минеральных волокон или 1,6
вспененных пластмасс
То же, по настилам из листовых материалов 2,2
С насыпным утеплителем 1,3
Прочие 1,3
Примечание. Пример теплотехнического расчета наружных ограждений здания из объемных блоков по приведенным затратам дан в
Прил. 3.
ОПРЕДЕЛЕНИЯ ИЗОЛЯЦИИ ВОЗДУШНОГО ШУМА

ОГРАЖДАЮЩЕЙ КОНСТРУКЦИЕЙ
Для вычисления индекса

, дБ, необходимо на график с нормативной частотной характеристикой изоляции воздушного шума (таблица) нанести частотную характеристику изоляции воздушного шума ограждающей конструкцией и определить среднее неблагоприятное отклонение нанесенной частотной характеристики от нормативной частотной характеристики.
───────────────────────┬──────────────────────────────────────────
Частота, Гц │ Нормативные величины, дБ
───────────────────────┴──────────────────────────────────────────
100 33
125 36
160 39
200 42
250 46
315 48
400 51
500 52
630 53
800 54
1000 55
1250 56
1600 56
2000 56
2500 56
3150 56
Неблагоприятными отклонениями следует считать отклонения вниз от нормативной частотной характеристики. Среднее неблагоприятное отклонение следует принимать равным 1/16 суммы неблагоприятных отклонений. Если среднее неблагоприятное отклонение превышает 2 дБ, то нормативную частотную характеристику смещают вниз (на целое число децибел) так, чтобы среднее неблагоприятное отклонение от смещенной нормативной частотной характеристики приближалось к 2 дБ, но не превышало 2 дБ. В этом случае за величину индекса

, дБ, принимают ординату в полосе на частоте 500 Гц смещенной частотной характеристики.
ОПРЕДЕЛЕНИЯ ИНДЕКСА ПРИВЕДЕННОГО УРОВНЯ
УДАРНОГО ШУМА

ПОД ПЕРЕКРЫТИЕМ
Для вычисления индекса приведенного уровня ударного шума

, дБ, необходимо на график с нормативной частотной характеристикой приведенного уровня ударного шума (таблица) нанести частотную характеристику приведенного уровня ударного шума под перекрытием и определить среднее неблагоприятное отклонение нанесенной частотной характеристики приведенного уровня ударного шума от нормативной частотной характеристики.
───────────────────────┬──────────────────────────────────────────
Частота, Гц │ Нормативные величины, дБ
───────────────────────┴──────────────────────────────────────────
100 62
125 62
160 62
200 62
250 62
315 62
400 61
500 60
630 59
800 58
1000 57
1250 54
1600 51
2000 48
2500 45
3150 42
Неблагоприятными следует считать отклонения вверх от нормативной частотной характеристики. Среднее неблагоприятное отклонение следует принимать равным 1/16 суммы неблагоприятных отклонений. Если среднее неблагоприятное отклонение превышает 2 дБ, то нормативная кривая смещается вверх (на целое число децибел) так, чтобы среднее неблагоприятное отклонение от смещенной нормативной частотной характеристики приближалось, но не превышало 2 дБ. В этом случае за индекс приведенного уровня ударного шума под перекрытием принимается ордината на 500 Гц смещенной нормативной кривой приведенного уровня ударного шума.
ПРИМЕР ТЕПЛОТЕХНИЧЕСКОГО РАСЧЕТА
НАРУЖНЫХ ОГРАЖДЕНИЙ ЗДАНИЯ ИЗ ОБЪЕМНЫХ БЛОКОВ
Исходные данные
1. Ограждающая конструкция - наружная стена жилого здания из многослойных железобетонных панелей с утеплителем из пенополистирола ПСБ-С

, общая толщина панели

(типовой проект серии Э-179).
2. Пункт строительства - г. Хабаровск.
3. Влажностный режим помещения - нормальный.
4. Расчетная температура внутреннего воздуха

.
Порядок расчета
1. Зимнюю температуру наружного воздуха

принимают с учетом тепловой инерции D ограждающей конструкции, определяемой по
формуле (8):
D = 0,15/2,04 x 16,95 + 0,1/0,05 x 0,49 = 2,16.
2. В соответствии с
табл. 10 зимнюю температуру наружного воздуха

принимают равной средней температуре наиболее холодных суток. Для указанного пункта строительства она равна

.
3. Требуемое сопротивление теплопередаче определяют по
формуле (7)

.
4. В качестве первого варианта

принимается сопротивление теплопередаче ограждающей конструкции, равное или близкое величине (

), с учетом унифицированной толщины конструкции

.
5. Принимается для расчета многослойная панель с железобетонными слоями общей толщиной 0,16 м и утеплителем из ПСБ-С толщиной

.
Сопротивление теплопередаче этой панели, определяемое по
формуле (10), будет равно

.
Аналогично определяется сопротивление теплопередаче панели с утеплителем толщиной 10 и 11 см.

,
где 27,5 - оптовая цена конструкции (Прейскурант N 06-08.1982. Оптовые цены на железобетонные изделия. Часть 1);
1,95 руб./м2 - транспортные расходы (СНиП IV-4-82. Приложение. Сборник сметных цен на перевозку грузов для строительства. Ч. 1. Железнодорожные и автомобильные перевозки);
1,44 руб./м2 - стоимость монтажа панелей (СНиП IV-5-82. Приложение.
Сборники ЕРЕР на строительные конструкции и работы. Бетонные и железобетонные конструкции сборные).
Аналогично определяются единовременные затраты для панели с утеплителем толщиной 10 и 11 см.
7. Приведенные затраты П, руб./м2, определяются по
формуле (18)

.
Аналогично определяются приведенные затраты для панели с утеплителем толщиной 10 и 11 см.
8. Итоговые данные экономического расчета приведены в таблице.
────────────────┬────────────────┬─────────────┬──────────────────
дельта , см │ R , м2 x °C/Вт │ С , руб./м2 │ П, руб./м3
ут │ 0 │ д │
────────────────┴────────────────┴─────────────┴──────────────────
9 1,99/(2,32) 39,3 56,9
10 2,18/(2,54) 40,05 56,1
11 2,38/(2,78) 41,3 56,13
На основании итоговых данных экономического расчета принимается стеновая панель с утеплителем из ПСБ-С толщиной 10 см.