Главная // Актуальные документы // МетодикаСПРАВКА
Источник публикации
СПб.: ВНИИГ им. Б.Е. Веденеева, 1992
Примечание к документу
Документ
введен в действие с I квартала 1992 года.
Название документа
"П 54-90/ВНИИГ. Методика составления моделей водопроницаемости скальных массивов в основаниях гидротехнических сооружений (Пособие к СНиП 2.02.02-85)"
(утв. решением ВНИИГ им. Б.Е. Веденеева от 06.11.1990 N 20)
"П 54-90/ВНИИГ. Методика составления моделей водопроницаемости скальных массивов в основаниях гидротехнических сооружений (Пособие к СНиП 2.02.02-85)"
(утв. решением ВНИИГ им. Б.Е. Веденеева от 06.11.1990 N 20)
решением ВНИИГ
им. Б.Е. Веденеева
от 6 ноября 1990 г. N 20
МЕТОДИКА
СОСТАВЛЕНИЯ МОДЕЛЕЙ ВОДОПРОНИЦАЕМОСТИ СКАЛЬНЫХ МАССИВОВ
В ОСНОВАНИЯХ ГИДРОТЕХНИЧЕСКИХ СООРУЖЕНИЙ
(ПОСОБИЕ К СНиП 2.02.02-85)
П 54-90/ВНИИГ
Срок введения
I квартал 1992 года
Внесена Всесоюзным ордена Трудового Красного Знамени научно-исследовательским институтом гидротехники им. Б.Е. Веденеева.
Утверждена ВНИИГ им. Б.Е. Веденеева решением N 20 от 6 ноября 1990 г.
Методика базируется на представлении о трещиноватых скальных массивах, служащих основаниями крупных инженерных сооружений, как о дискретной, неоднородной и анизотропной среде зонально-блочного строения.
Работа включает обоснование и методику анализа данных опытно-фильтрационных полевых работ и их интерпретацию при распространении на пространство скального массива в форме масштабно-понятийных моделей водопроницаемости.
Составлена в лаборатории инженерной геологии и геокриологии ВНИИГ им. Б.Е. Веденеева.
Предназначена для инженеров-геологов, гидрогеологов, проектировщиков, занимающихся обоснованием гидротехнического строительства.
Строительство гидротехнических сооружений в сложных инженерно-геологических условиях повысило требования проектирования к качеству изысканий и исследований оснований. Для обоснования проектов противофильтрационных и дренажных устройств необходимо знать распределение характеристик водопроницаемости (коэффициента фильтрации и удельного водопоглощения) в основании плотины, т.е. создать модель водопроницаемости <1>.
--------------------------------
<1> Ряд авторов именуют ее "фильтрационной моделью", а также "моделью фильтрационных свойств". По-видимому, "фильтрационная модель" должна быть более информативной, т.е. помимо параметров водопроницаемости включать распределение в массиве значений критической скорости движения воды в трещинах, критического градиента напора, упругой и гравитационной водоотдачи и др.
Необходимость в методике ее составления определяется еще до сих пор бытующим, недостаточно системным подходом к интерпретации данных о водопроницаемости оснований плотин без учета структурной неоднородности и анизотропии скальных массивов. При этом фильтрационные разрезы, независимо от структуры основания, представляются слоистыми (с границами приблизительно параллельными дневной поверхности), т.е. учитывают лишь разную степень экзогенного изменения пород. Такое упрощение реальной картины нередко приводит к нежелательным последствиям - изменениям в проектах, ошибкам в определении объемов цементационных работ или осложнениям в эксплуатации гидроузлов.
Во ВНИИГ им. Б.Е. Веденеева, начиная с 1967 г., под руководством А.М. Гуреева разрабатывалась методика обобщения материалов гидрогеологических исследований на геоструктурной основе. Методика апробирована при исследованиях оснований Саяно-Шушенской, Красноярской, Колымской, Могилев-Подольской, Ингурской, Чарвакской ГЭС, Константиновского, Стрыйского гидроузлов и др., в том числе при моделировании методом ЭГДА на плоских разнородно-проницаемых электрических моделях.
Сходный методический подход по данному разделу инженерно-геологического моделирования развивался в Гидропроекте В.В. Каякиным и А.И. Каякиной (Токтогульский, Курпсайский, Чарвакский гидроузлы, плотина Папанского водохранилища)
[29].
Различным вопросам фильтрационного моделирования скальных оснований посвящены работы Г.М. Ломизе, М.В. Раца, С.Н. Чернышева, Л.А. Ароновой, В.Н. Жиленкова, Л.Н. Павловской, А.В. Андрианова, В.З. Чечота, А.К. Мастицкого и др. Однако до настоящего времени отсутствовало методическое пособие по построению моделей водопроницаемости.
В настоящей работе с позиции дискретного (зонально-блочного) строения скальных массивов изложена методика составления моделей водопроницаемости скальных оснований плотин. Показаны способы выявления зон сосредоточенной фильтрации и суффозионного выноса фильтрационным потоком заполнителя трещин и карстовых полостей. Изложены общие предпосылки возникновения и развития суффозии в скальных массивах. Показана возможность использования гидравлических данных, полученных при строительстве противофильтрационных завес, для уточнения модели водопроницаемости.
Методика составлена в лаборатории инженерной геологии и геокриологии ВНИИГа А.М. Гуреевым, М.С. Кравец, О.К. Воронковым.
В подготовке работы к изданию принимал участие И.С. Брюн. В анализе материалов на конкретных объектах участвовали Л.И. Антонова (Саяно-Шушенский, Константиновский, Ингурский гидроузлы), М.П. Леонов, Т.В. Моисеенко, С.М. Румянцева (Чарвакский гидроузел).
Научное редактирование выполнено зав. лабораторией инженерной геологии и геокриологии канд. геол.-мин. наук Н.Ф. Кривоноговой и зав. лабораторией фильтрационных исследований доктором техн. наук В.Н. Жиленковым.
При составлении Методики были учтены замечания и предложения ряда организаций: Гидропроекта им. С.Я. Жука, ЛГТУ, Ленгидропроекта, а также специалистов ВНИИГ им. Б.Е. Веденеева.
При подготовке данной редакции использованы советы и замечания В.Н. Жиленкова, Г.В. Катульского, Н.Н. Кондратьева, Н.Ф. Кривоноговой, В.М. Лебедева, Л.Н. Павловской, И.А. Пирогова, Л.Ф. Фурсова, Н.И. Шевченко.
Замечания и пожелания просьба направлять во ВНИИГ им. Б.Е. Веденеева по адресу 195220, Санкт-Петербург, Гжатская ул., 21, отдел оснований и грунтовых сооружений.
Область применения
1.1. Настоящей Методикой целесообразно руководствоваться при:
- инженерно-геологических изысканиях, гидрогеологических исследованиях;
- анализе и обобщении данных опытно-фильтрационных работ;
- разработке моделей водопроницаемости, необходимых для проектирования подземного контура высоконапорных плотин, расчетов фильтрационных расходов, расчетов местной фильтрационной прочности, обоснования параметров противофильтрационных и дренажных устройств, конструкций, проектирования цементационных завес и определения ожидаемого поглощения цемента.
Методика может использоваться также для построения физических моделей с целью фильтрационных исследований (методом электрогидродинамических аналогий - ЭГДА и др.) при определении основных параметров фильтрационного потока: градиентов напора в теле цементационной завесы, градиентов напора на выходе фильтрационного потока в дренаже и в нижний бьеф, противодавления на подошву плотины, фильтрационных расходов, формы и параметров фильтрационного потока в береговых примыканиях и др.
Примечания: 1. Настоящая Методика может быть использована также при:
изысканиях и исследованиях скальных и полускальных оснований сооружений тепловых и атомных электростанций, транспортных сооружений;
изучении массивов в связи с проведением горных работ;
изучении подземных горных выработок;
проектировании и разработке карьеров и других подобных объектов.
2. При использовании настоящей Методики следует также соблюдать требования СНиП на проектирование оснований гидротехнических сооружений
(2.02.02-85), на инженерные изыскания для строительства
(1.02.07-87), ГОСТ 25100-82 и другие общесоюзные и ведомственные документы, относящиеся к вопросам инженерно-геологических изысканий и исследований.
3. Настоящая Методика не рассматривает вопросы фильтрационных расчетов оснований и экспериментального моделирования методом ЭГДА (см.
СНиП 2.02.02-85 и Пособие к СНиП II-16-76)
[49].
4. Настоящая Методика не рассматривает вопросы фильтрационного моделирования многолетнемерзлых скальных оснований, но применима к таликовым зонам области многолетней мерзлоты.
1.2. Важнейшими характеристиками водопроницаемости, рассматриваемыми в Методике, являются:
удельное водопоглощение породы q (л/мин·м·м) - расход (в литрах за 1 минуту) нагнетаемой в скважину воды, отнесенный к интервалу длиной 1 м и к напору, равному 1 м столба воды; общепринята упрощенная запись размерности q - л/мин;
коэффициент фильтрации Кф (м/с или м/сут) - скорость фильтрации через единицу поперечного сечения грунта при гидравлическом градиенте (H/L), равном единице (H - разность напоров; L - длина пути фильтрации).
Между величинами q и Кф существуют тесные корреляционные связи (r >= 0,95). В практике инженерно-геологических изысканий скальных оснований допустимо принимать примерное равенство численных значений q (л/мин·м2) и Кф (м/сут). По данным В.М. Насберга в различных массивах пород основной диапазон изменения отношения q/Кф = 0,64 - 1,44.
1.3. Массивы скальных пород характеризуются широким диапазоном изменения водопроницаемости: 10
-3 - 10
3 л/мин. Различие величин
q до 5 - 6 порядков встречается в пределах одного массива. Например, монопородный (гранитный) массив участка Колымского гидроузла характеризуется значениями
q = 0,001 - 1270 л/мин. Большой разброс величин
q в одном и том же массиве объясняется наличием редких, но широко раскрытых трещин. При этом длина опытных интервалов (обычно 5 - 10 м) сопоставима с расстояниями между крупными трещинами. Точность единичного определения характеристики водопроницаемости оценивается предельными ошибками порядка 40% (метрологические - 20 - 30%, методические - 10 - 12%)
[23]. Классификация скальных оснований по водопроницаемости приведена в
табл. 1 (СНиП 2.02.02-85).
1.4. В Методике используется следующая терминология.
Водопроводимость - фильтрующая способность отдельных элементов скальных массивов: пластов, зон, отдельных трещин и т.д., выраженная через произведение коэффициента фильтрации этого элемента на его мощность. Для пакетов или пачек пластов, состоящих из пород с различными коэффициентами фильтрации, водопроводимость пакетов или пачек будет равна сумме произведений коэффициентов фильтрации на мощность каждого из пластов, образующих пакет или пачку пород.
Степень водопроницаемости | Коэффициент фильтрации Кф, м/сут | Удельное водопоглощение q, л/мин |
Практически водонепроницаемые | Менее 0,005 | Менее 0,01 |
Слабоводопроницаемые | 0,005 - 0,3 | 0,01 - 0,1 |
Водопроницаемые | 0,3 - 3 | 0,1 - 1 |
Сильноводопроницаемые | 3 - 30 | 1 - 10 |
Очень сильноводопроницаемые | Свыше 30 | Свыше 10 |
Водопроницаемость - свойство грунта, заключающееся в способности среды пропускать сквозь себя воду (основное фильтрационное свойство горных пород в массиве или в образце).
Водоупор - практически водонепроницаемый слой грунта, подстилающий водопроницаемое основание плотины.
Дарси - проницаемость, при которой на длине пути фильтрации 1 см по направлению струи через породу с поперечным сечением 1 см2 и перепаде давления 0,1 МПа в течение 1 с проходит 1 см3 жидкости вязкостью в 1 сантипуаз.
Действительная скорость фильтрации - средняя скорость движения жидкости в открытых порах и трещинах (пустотах) среды, т.е. расход фильтрационного потока, отнесенный к действительной площади только фильтрующего сечения (площади всех пустот).
Ламинарная фильтрация - движение фильтрующей жидкости со скоростью, линейно зависящей от градиента напора.
Механическая суффозия - размыв грунта фильтрационным потоком, проявляющийся в виде отрыва и перемещения отдельных его частиц и агрегатов грунта внутри полостей, пор, каверн и трещин.
Модель - абстрактное (понятийное) или вещественное отображение объектов или процессов, адекватное исследуемым объектам (процессам) в отношении некоторых заданных критериев.
Модель гидрогеологическая скального массива - пространственное распределение гидрогеологических характеристик массива (коэффициентов фильтрации, удельных водопоглощений, скоростей фильтрации, дебитов, напоров, минерализации, химического состава, температуры подземных вод и т.п.), представленное в виде системы вертикальных и горизонтальных сечений скального массива, а также вспомогательных схем, диаграмм и др.
Модель водопроницаемости скального массива - составная часть гидрогеологической модели, характеризующая распределение значений коэффициента фильтрации или удельного водопоглощения.
Модель инженерно-геологическая - комплекс моделей, включающий группы: а - основной модели (геоструктурной - строения и состояния массива); б - вспомогательных моделей (литолого-петрологической, структурно-тектонической, экзогенного изменения пород, геофизической, напряженного состояния массива); в - прикладных или специализированных моделей: свойств, природных процессов, взаимодействия массива с сооружением.
Подземный контур бетонного напорного сооружения - условная линия, ограничивающая снизу водонепроницаемые части сооружения и противофильтрационные конструкции, и отделяющая эти части от водопроницаемого грунта, служащего его основанием.
Пористость общая скальной породы в образце и в массиве - совокупность всех пор и трещин (исключая трещины с минеральным заполнителем типа кварца, кальцита и др.), численно равная объему всех пор и трещин в единице объема породы.
Путь сосредоточенной фильтрации - участок горных пород, проводящий через себя значительный объем фильтрационного расхода воды данного (рассматриваемого) скального массива.
Скорость фильтрации - воображаемая (условная) скорость движения фильтрующейся в грунте жидкости, равная отношению ее расхода в данном живом сечении к полной площади этого сечения.
Сплошная среда - модель, в которой предполагается условно, что жидкость движется не только в порах или трещинах, но и через твердую фазу пористого трещиноватого тела.
Среда анизотропная (изотропная) в отношении водопроницаемости - среда, в любой точке которой коэффициент фильтрации (удельное водопоглощение) зависит (не зависит) от направления фильтрации.
Среда неоднородная (однородная) - среда, в которой коэффициент фильтрации (удельное водопоглощение) зависит (не зависит) от координат области фильтрации.
Среда кусочно-однородная - среда, состоящая из однородных по водопроницаемости участков, на границах которых коэффициент фильтрации изменяется дискретно.
Суффозионный грунт - грунт, внутри которого или на его внешней границе под воздействием фильтрации могут возникать (при определенных критических скоростях фильтрации) опасные фильтрационные деформации, т.е. перемещение частиц грунта, ведущее к опасным деформациям скелета грунта и недопустимому снижению его несущей способности.
Суффозионная устойчивость - сохранение частицами грунта своего первоначального положения при воздействии на них фильтрационного потока.
Турбулентная фильтрация - движение фильтрующей жидкости со скоростью, пропорциональной градиенту напора в степени меньше единицы.
Фильтрационный поток - поток фильтрующейся в грунте жидкости.
Фильтрация - движение жидкости в пористо-трещиноватой среде скальных грунтов или пористой среде нескальных грунтов.
Принятые обозначения
Условные обозначения, единицы измерения
В работе используются следующие обозначения физических величин:
H - напор, Па;
P - давление, Па;
r - радиус выработки и цилиндрического канала, м;

- раскрытие трещины, м;
S - понижение или повышение уровня при откачке или нагнетании, м;
М - мощность водоносного горизонта, м;
R - радиус влияния, м;
h - глубина середины интервала опытного нагнетания (откачки) от поверхности скальных пород, м;
l - длина интервала опробования и расстояние между трещинами, м;
Q - расход воды, м3/с; л/мин; 1 л/мин = 16,67 x 10-6 м3/с;
q - удельное водопоглощение, л/мин·м2;
Кф - коэффициент фильтрации, м/с; 1 м/сут = 1,16 x 10-5 м/с;
Кп - коэффициент проницаемости, м2; 1 дарси = 1,02 x 10-12 м2;
Т = КфМ - водопроводимость пласта, зоны и т.д., м2/с;

- коэффициент пересчета, безразмерный;
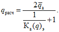
Ka = q"/q' - коэффициент анизотропии, безразмерный;
Кд - коэффициент действительной скорости фильтрации, м/с;

- скорость фильтрации, м/с;

- критическая скорость фильтрации, м/с;
J - градиент напора, безразмерный;
Jкр - критический градиент напора, безразмерный;
Reк - критическое значение числа Рейнольдса, безразмерное;
A, B - гидравлические параметры шероховатости стенок трещины, м;
S* - коэффициент извилистости трещин, безразмерный;

- динамическая вязкость воды, пуаз, Па·с; 1 пуаз = 0,1 Па·с;

- кинематическая вязкость воды, м
2/с; 1 стокс = 1 x 10
-4, м
2/с.
1.5. Под моделью водопроницаемости понимают схематизированное пространственное распределение величин К
ф или
q, значения которых определяются гидрогеологическими или геофизическими методами. Такая модель должна характеризовать неоднородность и анизотропию массива по характеристикам водопроницаемости путем интерпретации значений К
ф или
q (полученных экспериментально, а также по корреляционным связям и расчетам) на геоструктурной основе, т.е. с учетом: нарушений сплошности различных порядков в массиве; литолого-петрологических особенностей; подзон экзогенного изменения (выветривания и разгрузки естественных напряжений) пород. На практике модель водопроницаемости представляют в виде серии масштабных разрезов, срезов на различных отметках, а также специализированных карт (например, рельефа поверхности относительного водоупора с
q < 0,01 л/мин), схем, таблиц и диаграмм. Рассматриваемая модель относится к разряду масштабно-понятийных.
1.6. При построении моделей водопроницаемости можно использовать два разных подхода:
- зональный способ районирования на квазиоднородные (по Кф или q) элементы; при этом приближенно, на основе геоструктурной модели, выделяют контуры элементов, которые затем характеризуются средними (арифметическими или геометрическими) значениями водопроницаемости и их среднеквадратическими отклонениями (либо диапазоном изменений q или Кф при заданной обеспеченности); этот способ рекомендуется использовать при малом объеме опытно-фильтрационных работ, в условиях малых выборок;
- способ изолиний значений Кф или q рекомендуется при большом числе опытов по определению характеристик водопроницаемости; его преимущество состоит в возможности уточнения по конфигурации изолиний контуров квазиоднородных инженерно-геологических элементов и путей сосредоточенной фильтрации.
При выборе способа построения модели необходимо учитывать не только объем исходных данных определения водопроницаемости, но и весь комплекс геологической и геофизической информации о характере изучаемого разреза, что позволило бы судить о наличии в массиве резких границ раздела по показателям свойств, либо о постепенном их изменении с глубиной.
Учитывая реальную неравномерность распределения точек опытно-фильтрационных данных в массиве основания, возможно сочетание обоих способов. В этом случае интерпретацию, где это возможно, выполняют по способу изолиний, а окончательный вид модели водопроницаемости - "зональный". Последний моделирует кусочно-однородную среду - объект фильтрационных расчетов и исследований методом ЭГДА
[58].
1.7. Модели водопроницаемости скальных оснований должны составляться на каждом этапе и стадии проектирования с нарастающей подробностью и обоснованностью в соответствии с рекомендуемым масштабом чертежей:
а) исходная (масштаб 1:25000 - 1:5000); предпроектная документация: схема использования реки;
б) предварительная (1:5000 - 1:1000); предпроектная документация: ТЭО;
в) основная (1:1000); проект;
г) уточненная (1:1000 - 1:500 и крупнее); рабочая документация.
В качестве основы каждой из перечисленных выше моделей водопроницаемости следует принимать соответствующую геоструктурную модель основания, исходя из обусловленности характеристик фильтрационных свойств скальных массивов основными особенностями геологического строения и историей их развития. Таким образом, составленная на каждой стадии изысканий модель водопроницаемости должна учитывать соответствующую этой стадии информацию о структуре массива, результаты обобщения материалов для оснований-аналогов, данные опытно-фильтрационных и геофизических работ, возможных расчетов водопроницаемости по параметрам трещиноватости, режимных наблюдений за фильтрацией в период разработки подземных выработок и котлована.
Строгое нормирование объемов гидрогеологических работ, необходимых для построения моделей водопроницаемости на всех стадиях проектирования, невозможно в силу индивидуальных особенностей состава, строения и состояния каждого массива. В качестве основного принципа при установлении необходимого объема работ должно быть условие обеспечения репрезентативности выборки характеристик водопроницаемости в пределах квазиоднородного элемента модели.
Исходную модель рекомендуется составлять, используя аналоги и результаты геофизических работ. Рекомендуемые ориентировочные объемы опытно-фильтрационных работ по стадиям проектирования показаны в
табл. 2-2 (Приложение 2).
1.8. При составлении моделей водопроницаемости скальных массивов необходимо учитывать их особенности как среды зонально-блочного строения:
а) все естественные скальные массивы представляют собой дискретную
<1>, расчлененную трещинами среду зонально-блочного строения, преимущественно трансверсально-изотропного типа с осесимметричной анизотропией (слоистые, сланцеватые и расслоенно-трещиноватые породы), либо ортотропного типа (интрузивные и глубокометаморфизованные нерасслоенные породы с четко выраженными ортогональными системами трещин);
--------------------------------
<1> Дискретная среда - неоднородная, с резкими изменениями характеристик свойств в соседних структурных элементах, в частности, сложенная из отдельностей, не связанных между собой значительными силами сцепления. Сцепление отдельностей на один-два порядка меньше сцепления той же породы в монолитном образце, а водопроницаемость такой среды - на два и более порядка выше, чем в образце.
Дискретность среды по одной из характеристик свойств не всегда сопровождается дискретностью среды по другим характеристикам.
б) в каждом скальном массиве присутствует пространственная сеть тектонических разрывных нарушений и трещин разных размеров, обычно характеризующихся линейно-плоскостной формой развития. Располагающиеся в ячеях этой сети блоки пород имеют различные размеры, форму и ориентацию. Такое повсеместно проявляющееся в массивах любого генезиса сочетание сети зон ослабления с расположенными в ее ячеях блоками позволяет считать зонально-блочное строение (рис. 1) характерной особенностью скального массива;
Рис. 1. Генетические объемные элементы
геоструктурной модели скального массива (а)
и схема зонально-блочного строения (б)
в) мощность зон местного ослабления пород в массиве зависит от генезиса, размеров и кинематики образования трещин и тектонических разрывных смещений, развивающихся унаследованно по фазам тектогенеза. Первичные литогенетические трещины пород при тектонических деформациях трансформируются по-разному. При изучении и структурном анализе трещиноватости необходимо учитывать доминирующее влияние именно тектонических воздействий, определяющих их порядок (табл. 2);
Таблица 2
Классификация по характеру нарушения сплошности массива
Характер нарушения сплошности массива | Мощность зоны дробления разлома или ширина трещин | Протяженность нарушения |
Разломы I порядка - глубинные, сейсмогенные | Сотни и тысячи метров | Сотни и тысячи километров |
Разломы II порядка - глубинные, частично сейсмогенные | Десятки и сотни метров | Десятки и сотни километров |
Разломы III порядка | Метры и десятки метров | Километры и десятки километров |
Разломы IV порядка | Десятки и сотни сантиметров | Сотни и тысячи метров |
Крупные трещины V порядка | Свыше 20 мм | Свыше 10 м |
Средние трещины VI порядка | 10 - 20 мм | 1 - 10 м |
Мелкие трещины VII порядка | 2 - 10 мм | Менее 1 м |
Тонкие трещины VIII порядка | 1 - 2 мм | Менее 1 м |
Локальные трещины IX порядка - внутри пластов, слоев, породных блоков | Менее 1 мм | Менее 1 м |
Примечания: 1. Мощность зоны влияния нарушения оценивается на порядок больше мощности зоны дробления или ширины трещины; амплитуда смещения разломов - на порядок меньше протяженности нарушения.
2. Классификация носит приближенный (оценочный) характер; конкретный массив может характеризоваться местной системой разрывов, соотношение зоны дробления и протяженности нарушения которого может отличаться от классификационной характеристики.
г) генетические объемные элементы массива
(рис. 2), квазиоднородные по генезису, литолого-петрологическому составу, структуре, текстуре и блочности, именуются структурно-петрологическими элементами (СПБ - структурно-петрологическими блоками, СПЗ - структурно-петрологическими зонами);
д) части СПБ и СПЗ, квазиоднородные и по состоянию, именуются соответственно инженерно-геологическими блоками (ИГБ) и зонами (ИГЗ). Выделение контуров ИГБ и ИГЗ проводится по границам их градаций (А, Б, В и Г) по степени влияния процессов разгрузки и выветривания: подзона А - очень сильного (до элювия), Б - сильного, В - среднего, Г - слабого (практически сохранные породы). Поэтому при составлении модели водопроницаемости массивов систематизация, анализ и интерпретация данных опытно-фильтрационных работ должны производиться с обязательным учетом контуров СПЗ, СПБ, ИГЗ и ИГБ на основе геоструктурной модели [
18,
48].
Рис. 2. Схема зонально-блочного строения
скальных массивов в основаниях сооружений
А, Б, В, Г - подзоны влияния процессов разгрузки
естественных напряжений и выветривания:
А - очень сильного (элювий); Б - сильного;
В - среднего; Г - слабого (сохранные породы).
Все СПБ, СПЗ, ИГБ и ИГЗ скальных массивов состоят
из элементарных породных блоков (ЭПБ), формы,
размеры и укладка которых определяются
пространственной сетью блокообразующих
трещин - элементарных зон ослабления пород (ЭПЗ)
1.9. Движение подземных вод в трещинно-пористой (а также трещинной, либо трещинно-трещинной) среде, какой является любой скальный массив, имеет следующие закономерности, подлежащие учету при составлении модели водопроницаемости:
а) неоднородность и анизотропия скальных массивов как естественно-исторических образований обусловливают, в частности, неоднородность и анизотропию по характеристикам водопроницаемости; фильтрационная неоднородность скальных массивов проявляется в контрастности, в резком повышении водопроницаемости в зонах тектонических разрывных нарушений, ориентация которых может благоприятствовать развитию сосредоточенных путей фильтрации с турбулентным режимом, а не с ламинарным - характерным для остальных частей массива с мелкой и общей трещиноватостью. Выявление и характеристика водопроницаемости таких зон в основаниях плотин является первостепенной задачей изысканий. Необходимо также иметь в виду редкие, но возможные случаи, когда тектонические нарушения являются барражами для подземных вод;
б) направление, скорость и режим фильтрации зависят от элементов залегания пород, ориентации пространственной сети трещин, геометрических параметров трещин, степени выветрелости пород, состава заполнителя трещин и др. в сочетании с положением основной дрены (реки) в рельефе участка гидроузла. При заполнении водохранилища направление, скорость и режим движения подземных вод в зоне фильтрационного контура изменяются;
в) в трещинно-пористой (а также трещинной, либо трещинно-трещинной) среде скальных массивов фильтрация происходит в основном по трещинам, так как сами породы в куске или элементарном породном блоке (ЭПБ) обладают, как правило, низкой межгранулярной пористостью и малой водопроницаемостью. В скальном массиве встречаются разновидности пород разной прочности, разной степени деформированности и трещиноватости, существенно различающиеся и по водопроницаемости.
Системный характер трещиноватости скальных массивов обусловливает следующие три основные схемы фильтрации по трещинам.
Первая схема рассматривает фильтрацию по протяженным трещинам напластования слоистых и расслоенных толщ пород, каждый пласт которых рассечен двумя ортогональными системами трещин отрыва. Частота трещин отрыва примерно обратно пропорциональна мощности пласта. Эта схема характерна для массивов осадочных и метаморфических парапород, а также для крупных по размерам массивов интрузивных и метаморфических ортопород, в которых обычно развиты пологие протяженные трещины пластовой отдельности. Такие массивы обычно анизотропны по характеристикам водопроницаемости.
Вторая схема рассматривает фильтрацию по прерывистым кулисообразным пологим трещинам пластовой отдельности, расчлененным по нормали к ней тремя системами первичных контракционных трещин отрыва, образующих в плане шестиугольник базальтической отдельности. Такая схема характерна для молодых и современных эффузивов, не подвергавшихся постгенетическим тектоническим деформациям. Водопроницаемость таких массивов может быть сильной и очень сильной (в соответствии с классификацией
табл. 1).
Третья схема представляет собой сочетание первой или второй схемы с дополнительными трещинами отрыва и скалывания, образующими примерно симметричную зону приразрывного кливажа вдоль плоскостей сместителя тектонических разрывных нарушений. Тектонические зоны включают: 1) подзону сместителя с глинкой трения, зачастую слабоводопроницаемую; 2) подзоны разлинзования, водопроницаемые; 3) подзоны оперения, обычно сильноводопроницаемые. Мощность этих подзон пропорциональна амплитуде тектонических разрывных смещений в соответствии с их порядками
(табл. 2).
Необходимо учитывать, что в результате избирательного влияния процессов выветривания и разгрузки естественных напряжений каждая из указанных трех схем может усложниться за счет дополнительного раскрытия ранее существовавших трещин, а также образования новых в подзонах А, Б, В на глубину в несколько десятков метров, реже - 100 м и более
(Приложение 1).
Рассмотренные упрощенные три схемы для конкретных условий могут подразделяться на подварианты, учитывающие различные граничные условия, морфологию и размеры трещин, состав и степень заполнения трещин, наличие водоупорных прослойков и контактов и др.
1.10. Для изучения водопроницаемости скальных массивов в основаниях гидротехнических напорных сооружений следует использовать полевые методы гидрогеологических исследований:
а) опытные откачки и нагнетания воды, нагнетания воздуха в одиночные буровые скважины в интервалы стандартной длины равной 5 или 10 метрам; выполнение этих работ регламентируется
ГОСТ 23278-78, а также указаниями и инструкциями, разработанными в Гидропроекте им. С.Я. Жука [
25,
43,
52,
57];
б) наблюдения за режимом подземных вод, позволяющие с большой достоверностью судить об эффективной водопроницаемости массива и его отдельных частей, о наличии в массиве зон повышенной проницаемости; гидрогеологические наблюдения в процессе проходки скважин и штолен, дающие полезную качественную информацию об относительной водопроницаемости различных частей массива, о наличии в нем путей возможной сосредоточенной фильтрации;
в) геофизические исследования в скважинах, между скважинами и на дневной поверхности
(Приложение 2).
1.11. Возможность суффозии нескальных грунтов, заполняющих полости трещин и карстовые полости, оценивается по результатам лабораторных исследований физико-механических свойств материала заполнителей и его фильтрационной прочности в соответствии с Руководством, подготовленным во ВНИИГ им. Б.Е. Веденеева
[56].
На стадии рабочего проектирования при составлении уточненных моделей водопроницаемости основания рекомендуется использовать результаты гидравлического опробования буровых скважин первой очереди, выполняемых Гидроспецстроем или другими организациями при устройстве противофильтрационных завес.
2. СИСТЕМАТИЗАЦИЯ ДАННЫХ ПОЛЕВЫХ
ОПЫТНО-ФИЛЬТРАЦИОННЫХ РАБОТ И ИХ АНАЛИЗ
2.1. Достоверность значений
q и К
ф и соответствие методики проведения опытов требованиям нормативно-методических документов [
25,
43,
52,
57] следует оценивать по материалам первичной документации опытно-фильтрационных работ. Не соответствующие этим требованиям дефектные данные опытов необходимо исключить из дальнейшего рассмотрения. Результаты правильно проведенных опытов, сильно отличающиеся от фоновых значений водопроницаемости (на несколько порядков), должны учитываться, даже если они выходят за интервал "Трех сигм" (трех среднеквадратичных отклонений). Такие экстремальные величины характеристик К
ф или
q обычно находят свое объяснение в структурных особенностях изучаемого массива и отображаются в контурах элементов модели водопроницаемости.
2.2. Основной объем определений водопроницаемости (
q) в массиве выполняется методом нагнетаний (наливов) воды в скважины, а одиночные (контрольные) поинтервальные откачки позволяют находить значения К
ф. Для каждого объекта исследований рекомендуется устанавливать методом парной корреляции связь lg К
ф =
f(lg
q). Для приближенных оценок можно использовать данные рис. 3, либо принимать примерное равенство численных значений
q (л/мин) и К
ф (м/сут). Согласно
СНиП 2.02.02-85 величина отношения К
ф/
q = 0,5 - 3,0. Обобщающие графики (рис. 3, кривые 1 - 3), составленные по данным больших выборок (сотни значений), дают отношение К
ф/
q = 1,0 - 4,5 в диапазоне q = 0,001 - 10 л/мин.
Рис. 3. К оценке коэффициента перехода от удельного
водопоглощения q к коэффициенту фильтрации
Кф (по данным Л.Н. Ткаченко, А.М. Гуреева,
В.В. Каякина, И.А. Пирогова)
1 - диабазы, граниты; 2 - песчано-глинистые отложения;
3 - известняки, доломиты; 4 - граниты (Красноярская ГЭС);
5 - кристаллические сланцы (Саяно-Шушенская ГЭС);
6 - долериты (Братская, Усть-Илимская ГЭС); 7 - известняки
(Чарвакская ГЭС); 8 - известняки (Токтогульская ГЭС);
9 - флиш (Курпсайская, Нурекская ГЭС)
Модель водопроницаемости следует составлять на основе значений Кф либо q. Если модель строится по значениям Кф, то имеющиеся величины q необходимо пересчитать в Кф. И наоборот, Кф следует пересчитать в q, если модель строится по величинам q.
2.3. Необходимым вспомогательным материалом для построения модели водопроницаемости служат графики
q(
h) и
q(
hабс) либо К
ф(
h) и К
ф(
hабс), где
h - глубина от поверхности скальных пород по вертикали до середины интервала опробования;
hабс - абсолютная отметка середины интервала опробования. Указанные графики недостаточно строить "в целом по массиву"; необходима серия графиков раздельно для различных геоморфологических элементов (левый берег, дно долины, правый берег), различных структурно-петрологических элементов (СПЗ, СПБ) и гидродинамической зональности
(п. 2.4).
График
q(
h) позволяет выявить влияние выветривания и разгрузки естественных напряжений на водопроницаемость. Значение
h вертикальных скважин определяется по разности абсолютных отметок поверхности скальных пород и середины интервала опробования. Для скважин, пробуренных наклонно, в том числе пройденных из штолен, значения
h по вертикали следует определять в соответствии с
рис. 4.
Рис. 4. Схема определения глубины зон опытных нагнетаний
в буровые скважины от поверхности скальных
горных пород в зависимости от положения
стволов скважин относительно рельефа
Б.С. (60°) - ствол буровой скважины с наклоном 60°;
вертикальные пунктиры - глубины границ интервалов
опытных зон от кровли скальных пород
График q(hабс) позволяет выявить приуроченность зон повышенной водопроводимости (в частности, путей сосредоточенной фильтрации) к определенным абсолютным отметкам, что характерно для закарстованных оснований, районов молодого и современного вулканизма и др.
Примечание. В условиях каньонообразных или глубоко врезанных речных долин с крутыми бортами следует строить также графики

или
q(
L), где

- глубина по перпендикуляру от поверхности скальных пород;
L - заглубление в массив по горизонтали. В указанных условиях такие графики дадут полезную информацию о влиянии выветривания и разгрузки естественных напряжений на водопроницаемость.
2.4. Водопроницаемость и режим фильтрации в различных частях скального массива зависят также от их приуроченности к одной из гидродинамических зон: а) зоне аэрации; б) зоне сезонного колебания уровня подземных вод; в) зоне полного водонасыщения; г) зоне глубинной циркуляции. При большой ширине русла реки и асимметрии долины возможна более дробная систематизация фактического материала, при условии достаточного для статистической обработки числа опытов в каждой зоне (рис. 5). Рекомендуемое обязательное разделение дренированной и водонасыщенной зон в бортах долины связано и с методическими различиями в проведении опытов в этих зонах (наливы и нагнетания).
Рис. 5. Принципиальная схема расчленения
структурно-петрологических элементов скального
основания на их инженерно-геологические части
(объемные элементы-блоки) в зависимости
от геоморфологических и гидрогеологических условий
I - дренированные борта каньона и их части; II - зона
сезонных колебаний зеркала подземных вод в бортах;
III - обводненная зона бортов и ее части;
IV - обводненная подрусловая зона и ее части:
П - правая; Ц - центральная; Л - левая
В закарстованных массивах целесообразно разделять гидродинамические зоны по схеме Г.А. Максимовича (рис. 6), так как каждая из этих зон характеризуется своим водным режимом, наличием или отсутствием напора, положением относительно эрозионного вреза, преобладающим направлением движения, скоростью фильтрации, т.е. присущим этой зоне направлением гидрогеологического процесса.
Рис. 6. Схема гидродинамических зон карстового массива,
прорезанного рекой (Г.А. Максимович, 1958 г.)
I - зона поверхностной циркуляции; II - зона вертикальной
нисходящей циркуляции; IIа - подзона подвешенных вод
на местных водоупорах; III - зона колебания уровня
карстовых вод или переходная; IV - зона горизонтальной
циркуляции; V - зона сифонной циркуляции напорных вод;
VI - зона поддолинной или подрусловой циркуляции;
VII - зона глубинной циркуляции.
Карстовые источники зон циркуляции: А - вертикальной
нисходящей; Б - подвешенных вод; В, Д - сифонной;
Г - переходной; Е - разгрузка вод зоны
горизонтальной циркуляции в речные отложения
2.5. Фактические данные опытно-фильтрационных работ целесообразно сводить в табличную форму
(табл. 3), в которой помимо общепринятых сведений отмечается отнесение интервала к соответствующему структурно-петрологическому элементу (СПБ, СПЗ), а также категория представительности материала опробования массива в зависимости от принадлежности интервала опробования к одному, двум или трем различным элементам строения массива:
I категория - вся длина интервала опробования находится в пределах одного СПБ или СПЗ;
II категория - длина интервала захватывает два генетических элемента, например, СПБ и СПЗ;
III категория - интервал опробования захватывает три и более генетических элемента, например, СПБ основной породы, СПЗ - тело маломощной жилы и СПЗ - ее контакт с вмещающей породой.
Объект Скважина N . . . . . . . .
Разрез Абс. отм. устья скважины
Геоморфологический элемент Угол наклона . . . . . . .
(правый, левый берег, русло) Азимут наклона . . . . . .
Абс. отм. уровня подз. вод
Интервал опытного нагнетания от устья, м | Длина интервала, м | Водопоглощение q, л/мин | Границы генетических структурно-петрологических элементов в пределах опытного интервала скважины, м | Длина СПЭ в интервале | Индекс СПЗ или СПБ | Категория представительности | Примечание (возможные поправки величины q) |
м | % |
от | до |
14,90 | 19,65 | 4,75 | 0,7 | Жила диабаза 13,75 - 16,40 | 1,50 | 34 | СПЗ 4а | II | |
Парасланцы (контакт) 16,40 - 17,40 | 1,00 | 22 | СПЗ 5б | I - II | |
Парасланцы (вне контакта) 17,40 - 19,65 | 2,25 | 44 | СПБ 1 | III | |
37,85 | 44,20 | 6,35 | 0,03 | Тело жилы диабаза 36,55 - 45,55 | 6,35 | 100 | СПБ 4а | I | |
25,25 | 30,55 | 5,30 | 0,05 | Переходная зона орто-парасланцев 100% | 5,30 | 100 | СПБ 3 | I | |
45,15 | 52,55 | 7,40 | 0,02 | Ортосланцы 100% | 7,40 | 100 | СПБ 2 | I | |
Схема оценки категорий представительности значений q показана на рис. 7.
Рис. 7. Схема оценки категорий (I - III)
представительности данных опытно-фильтрационных работ
2.6. Сгруппированные по СПЗ и СПБ с учетом геоморфологических, гидрогеологических условий и категории представительности значения q (или соответствующие Кф) анализируются путем:
- построения графиков
q(
h) или К
ф(
h) в полулогарифмическом масштабе
(рис. 8);
- построения графиков q(hабс) или Кф(hабс) в таком же масштабе;
- проверки закона распределения водопроницаемости для выделенных элементов массива и в целом по массиву; в общем случае эти распределения могут соответствовать различным законам, из которых, руководствуясь практическим опытом, целесообразно рассматривать два: нормальный и логнормальный. Используя вероятностную бумагу
[35], с достаточной для практических целей точностью легко определить близость к соответствующему типу распределения: а) если распределение
q аппроксимируется на вероятностной бумаге прямой, то оно близко к нормальному; б) если распределение
q не аппроксимируется прямой, а распределение lg
q аппроксимируется прямой, то оно близко к логнормальному
(рис. 9);
- подсчета среднеинтервальных (в диапазоне глубин

, причем с возможным перекрытием, например, в диапазоне 10 - 20 м, 15 - 25 м, 20 - 30 м и т.д.) значений водопроницаемости:
для случаев нормального распределения

;
для случаев логнормального распределения

;
для случаев, когда трудно однозначно судить о характере распределения (в частности, для малых выборок), целесообразно определить как среднее арифметическое qа, так и среднее геометрическое qг. Аналогичные рассуждения справедливы и применительно к Кф;
- последовательного соединения среднеинтервальных значений ломаной линией и ее последующим сглаживанием методом скользящего осреднения ("сглаживание тройками"
[40]). Анализ конфигурации ломаной линии по ряду графиков
q(
h) или
q(
hабс) может оказаться полезным для уточнения геоструктурных построений и установления сосредоточенных путей фильтрации при построении модели водопроницаемости. Скользящее осреднение соседних трех точек с последовательным смещением на один шаг необходимо для суждения о "тренде" (систематической компоненте) изменения водопроницаемости в зависимости от
h (рис. 10) или
hабс.
Рис. 8. Изменение значений удельного водопоглощения
q с глубиной h от поверхности скального массива
в структурно-петрологическом блоке парасланцев
основания Саяно-Шушенской ГЭС
1 - I категория представительности; 2 - II категория
представительности; ломаными линиями соединены
среднеинтервальные значения q; плавными
кривыми - "скользящее" осреднение
среднеинтервальных значений q
Рис. 9. Нормальное (а) и логнормальное (б) распределения
и их представление соответственно на вероятностной
(в) и логарифмически-вероятностной (г) бумаге
Рис. 10. Изменение величин
q карбонатных пород в массиве
основания Ингури ГЭС в зависимости от геоморфологии
долины, заглубления h в массив и типов
его генетических объемных элементов
а - опытное опробование массива на высоких отметках
(H = 415 - 470 м); б - то же на средних отметках
(H = 350 - 415 м); в - то же на низких отметках
(H = 280 - 350 м); г - массив в целом
и с учетом его генетических элементов;
1 - экспериментальные значения q; 2 - среднеарифметические
значения

в интервалах
h; 3 - скользящее осреднение
среднеарифметических значений

; 4 - среднегеометрические
значения

в интервалах
h; 5 - кривая среднеарифметических
значений

в сохранных породах СПБ; 6 - то же
в подзонах смесителей; 7 - то же в подзонах
оперения тектонических смещений
2.7. Графики
q(
hабс) или К
ф(
hабс) позволяют анализировать влияние на современные характеристики водопроницаемости этапов врезания реки в ее ложе, выражающихся в высотном положении речных террас, с чем связано, в частности, развитие карста в карбонатных породах. Например, показанные на
рис. 11 пики резкого увеличения водопроницаемости в известняках района Чарвакской ГЭС соответствовали отметкам развития речных террас в долине р. Чирчик. Полезны такого вида графики в районах, сложенных вулканическими породами, для которых характерна сравнительно высокая водопроницаемость, особенно в краевых зонах, и ее крайне неравномерное распределение в разрезе. В массивах, сложенных другими разновидностями пород, графики
q(
hабс) способствуют выявлению субгоризонтальных и пологонаклонных зон высокой водопроницаемости. Необходимо иметь в виду, что графики
q(
h) и
q(
hабс) не заменяют один другого, а являются необходимым дополнением друг друга.
Рис. 11. Изменение величин удельного водопоглощения
в зависимости от абсолютных отметок средних глубин опытных
интервалов в известняках первой пачки нижнего карбона
(C1) на участке основания Чарвакской ГЭС
1 - интервалы с карстовыми полостями; 2 - интервалы
с тектоническими нарушениями; 3 - интервалы без карстовых
полостей и тектонических нарушений; 4 - осредняющая
для интервалов без карста и тектонических нарушений;
5 - осредняющая для массива в целом; 6 - осредняющая
для интервалов с карстом и тектоническими нарушениями
2.8. Характер кривых
q(
h) позволяет ориентировочно разбить изучаемый разрез на диапазоны глубин
h, где среднее значение
q может быть принято приблизительно постоянным (не зависящим от
h), и, следовательно, в каждом из таких диапазонов
h могут быть определены средние значения водопроницаемости и среднеквадратические отклонения на основе достаточно большого статистического материала. Применительно к
рис. 8 такими диапазонами глубин
h могут быть:
- в породах I категории представительности: 0 - 15 м; 15 - 50 м; 50 - 100 м; ввиду сравнительно небольшого отличия значений q во втором и третьем диапазоне, они могут быть объединены при дальнейшей статистической обработке;
- в породах II категории представительности: 0 - 10 м; 10 - 75 м; 75 - 100 м.
2.9. Для обоснования проектных решений по водоотливу и строительному водопонижению котлованов рекомендуется построение плановых схем водопроницаемости (см. также
п. 4.1;
рис. 3 -
11). Систематизацию данных опытно-фильтрационных работ в этом случае выполняют на геоструктурной основе (плановых схемах-срезах) с использованием основных принципов, изложенных в
пп. 2.1 -
2.5.
3. ЗАКОНОМЕРНОСТИ ИЗМЕНЕНИЯ
ВОДОПРОНИЦАЕМОСТИ В СКАЛЬНЫХ МАССИВАХ
3.1. В пределах глубины разведки скважинами скальных оснований плотин, обычно ограниченной величиной ~ (1 - 1,5)
H (где
H - проектируемый напор), необходимо учитывать следующие закономерности:
1) осредняющие кривые
q(
h) для любых массивов (кроме закарстованных) характеризуются закономерным уменьшением водопроницаемости с глубиной
(рис. 12) и, как правило, имеют две точки перегиба: первую, в интервале глубин 5 - 50 м (для разных массивов), вторую, в интервале 70 - 150 м. Первую следует отождествлять с границей подзон выветривания и разгрузки "Б - В", вторую - "В - Г". Промежуточная часть графика, где средние значения
q = const, либо слабо уменьшается с глубиной, отождествляясь с подзоной "В", служащей, как правило, основанием плотины. Таким образом, в самом упрощенном варианте моделирования подзона "В" может рассматриваться либо как однородный, либо как слабоградиентный по водопроницаемости слой. В подзоне "Г" водопроницаемость зачастую близка к величине 0,01 л/мин, которая обычно рассматривается как условный водоупор. Из опыта рудничной гидрогеологии известно, что в более глубоких горизонтах водопроницаемость может вновь увеличиться, что обусловлено структурными особенностями массива;

Рис. 12. Осредненные связи
q =
f(
h)
в скальных массивах - основаниях плотин
а - граниты; б - гранито-гнейсы, диориты, граниты;
в - кристаллические сланцы; г - известняки;
д - песчаники и аргиллиты
1 - граниты мелкозернистые, массив; 2 - граниты
среднезернистые, массив; 3 - контакты жил; 4 - участок III;
5 - главная тектоническая зона; 6 - участок II; 7 - участок
IV; 8 - участок I (основание Красноярской ГЭС);
9 - гранито-гнейсы крупноблочные; 10 - гранито-гнейсы
среднеблочные; 11 - гранито-гнейсы мелкоблочные;
12 - тектонические зоны VI порядка; 13 - тектонические зоны
V порядка (основание Могилев-Подольской ГЭС); 14 - диориты,
массив; 15 - граниты; массив (основание Константиновского
гидроузла); 16 - ортосланцы, массив; 17 - парасланцы,
массив; 18 - тектонические зоны; 19 - зоны сильной
трещиноватости; 20 - дайки мощностью менее 5 м; 21 - дайки
мощностью более 5 м (основание Саяно-Шушенской ГЭС);
22 - известняки, массив; 23 - подзоны сместителя
тектонических нарушений; 24 - подзоны оперения
тектонических нарушений (основание Ингури ГЭС);
25 - известняки, массив, пачка 5; 26 - тектонические зоны
(основание Чарвакской ГЭС); 27 - известняки, массив;
28 - тектонические зоны (основание Чиркейской ГЭС);
29 - песчаники и аргиллиты, массив; 30 - тектонические
зоны (основание Стрыйской плотины)
2) резкое повышение водопроницаемости в зонах тектонических нарушений и в несколько меньшей степени - в зонах жильных тел интрузивных пород по сравнению с частями массива, находящимися вне их влияния. Повышенные значения водопроницаемости на участках жил получаются в том случае, если массив после внедрения жил вновь подвергался разрывным тектоническим нарушениям, причем возникающие (обновляющиеся) трещины проходили по контактам жильных тел, что наблюдается нередко. В зависимости от размеров тектонических нарушений, водопроницаемость их зон на 1 - 5 порядков больше, чем в слаботрещиноватых породах, причем максимальные величины q связаны с подзоной трещин оперения и в меньшей степени с подзоной разлинзования. Подзона сместителя зачастую маловодопроницаема в связи с наличием в ней глинки трения. Наибольшее различие водопроницаемости тектонических нарушений и незатронутых ими частей массива наблюдается в подзонах "Б" и "В", а в пределах подзоны "Г" величины q сближаются; для некоторых массивов сближение величин q отмечается и в подзоне "Б";
3) возможное существенное различие (приблизительно на один порядок) величин
q, слагающих подрусловую часть долины, по сравнению с ее бортами. Эта закономерность связана с кольматажем трещин в бортах и декольматажем тех же пород под руслом реки дренируемым ею потоком грунтовых вод. Поскольку отмеченное различие наблюдается при сравнении величин
q ниже уровня подземных вод (в берегах и в русле), т.е. выполненных по единой методике, то его нельзя объяснить особенностями гидравлического опробования. В ряде случаев при сравнении водопроницаемости пород в зоне аэрации (берег) и водонасыщенных (русло) указанные различия могут быть связаны с неполной сопоставимостью данных наливов и нагнетаний. Указанная выше третья закономерность не является устойчивой: справедливая для оснований Красноярской ГЭС (граниты), Саяно-Шушенской ГЭС (парасланцы), она не была выявлена на Курпсайской ГЭС (флишевые отложения) и Папанском водохранилище (известняки)
[29].
3.2. В массивах, сложенных массивными интрузивными и метаморфическими породами, могут наблюдаться следующие закономерности, которые необходимо учитывать при анализе данных опытно-фильтрационных работ:
1) при поинтервальном осреднении графиков
q(
h) или
q(
hабс) ломаными линиями средних значений
(рис. 13) "пики" с максимальными

в толще крутопадающих слоев парасланцев соответствуют пологозалегающим трещинам отрыва, секущим эти слои; применительно к
рис. 13 такие трещины были установлены на глубинах около 35, 55 и 75 м;
2) существенное повышение величин
q в гранитах и гранито-гнейсах связано с системой пологозалегающих трещин пластовой отдельности, которые приоткрываются в результате разгрузки естественных напряжений в донной части долины (трещины "донного отпора"), причем особенно это заметно в зонах влияния крутопадающих тектонических нарушений. Иллюстрацией сказанного могут служить характерные изгибы кривых водопроницаемости гранитов основания Красноярской ГЭС, гранито-гнейсов участка Константиновской плотины и Могилев-Подольской ГЭС
(рис. 12);
3) сравнительно малая мощность сильноводопроницаемых пород подзоны "Б" в целом для массива, составляющая 5 - 20 м; увеличение мощности этой подзоны до 35 - 70 м на участках зон тектонических нарушений;
Рис. 13. Сопоставление графиков
q =
f(
h) основных типов
структурно-петрологических элементов
скального основания Саяно-Шушенской ГЭС:
а - первая категория представительности;
б - вторая категория представительности
1 - парасланцы; 2 - ортосланцы; 3 - жилы мощностью более
5 м; 4 - жилы мощностью менее 5 м; 5 - контакты жил
с вмещающими породами; 6 - зоны сильной трещиноватости;
7 - зоны крутопадающих тектонических нарушений
4) в дайках интрузивных пород отмечается сравнительно низкая водопроницаемость маломощных даек и повышенная водопроницаемость контактов даек мощностью более 5 м, характеризующихся "подорванностью" контактов.
3.3. В массивах, сложенных слоистыми толщами осадочных пород, могут наблюдаться следующие закономерности, которые необходимо учитывать при анализе данных опытно-фильтрационных работ:
1) сильно выраженное влияние процесса формирования долины на процессы разгрузки, выветривания, кольматажа трещин и т.д.; вследствие этого, построенные для различных геоморфологических элементов долины, графики
q(
h) могут сильно различаться. Так, график (
рис. 10, в), построенный по данным опытно-фильтрационных работ в скважинах, устья которых находятся в пределах пойменной террасы и низких отметок склона, существенно отличается от графика (
рис. 10, а), относящегося к массиву на высоких отметках. Пилообразные графики
q(
h) отражают изменчивость значений
q в зависимости от мощности пластов, характера контактов между пакетами пластов малой и большой мощности. Такое явление характерно не только для карбонатных, но и для толщ обломочных пород;
2) в ритмических толщах обломочных пород отмечается повышенная водопроницаемость пакетов пластов песчаников, алевролитов и аргиллитов примерно равной, но небольшой мощности по сравнению с водопроницаемостью сравнительно однородных и более мощных пакетов песчаников. Это обусловлено тем, что в первом случае пакеты сложены более неоднородными по прочности породами, поэтому при деформациях это приводит к пластическому течению более слабых пород и растяжению и скалыванию более прочных пластов. Чем больше различие в прочности и мощности отдельных пластов или их пакетов, тем резче проявляется в них указанный характер трещинообразования. Сходная картина наблюдается и в толщах ритмически слоистых известняков;
3) массивным рифовым известнякам свойственны открытые крупные формы карстовых полостей, а в карбонатных слоистых породах наблюдается процесс расширения трещин за счет выщелачивания известняков или доломитов, или за счет доломитизации и раздоломичивания, что приводит к трещинному карсту. Следствием этого является неоднородность массива по водопроницаемости и наличие участков с повышенными значениями q даже на глубине свыше 100 - 200 м.
Например, повышенное водопоглощение в слоистой толще известняков основания Ингури ГЭС наблюдается до глубины 150 м, а мощность подзоны "Б" - до 50 м в массиве вне области влияния тектонических нарушений.
В еще более тектонически деформированных известняках основания Чарвакской ГЭС мощность подзоны "Б" достигает 100 м, средние значения
q = 0,01 - 1,2 л/мин. Вследствие подъема по тектоническим нарушениям глубинных термальных вод, обогащенных кремнеземом и реагирующих с известняками (реакция замещения), образуются кремнеземистые рыхлые или слабосцементированные образования ("каранкулиты"), частично замещающие известняки и кольматирующие полости трещин. Установленные в бортовых частях долины карстовые полости и каверны, обусловливающие высокую водопроницаемость, приурочены к определенным уровням террас р. Чирчик (
рис. 14,
15).
Рис. 14. График распределения повышенных значений
q (q > 0,4 л/мин) по абсолютным отметкам опытных
интервалов (основание Чарвакской ГЭС)
Рис. 15. Сопоставительные графики закарстованности
и водопроницаемости известняков в правом борту
долины р. Чирчик на участке Чарвакской ГЭС
n - количество карстовых полостей на 10 м скважины;
q - удельное водопоглощение, л/мин
Влияние гидротермальных процессов, связанных с кремнистыми глубинными водами, на состояние известняков основания Чиркейской ГЭС оказалось иным: здесь они уплотнили породы и залечили многие трещины. Мощность подзоны "Б" для этого основания варьирует от 0 до 60 м, где значение q = 0,5 - 13 л/мин.
3.4. В скальных массивах любого генезиса зоны повышенной водопроницаемости нередко ассоциируются или перемежаются с приоткрытыми в разной степени полостями трещин или карстовыми полостями, заполненными минеральным материалом, способным к химической или механической суффозии при соответствующих гидравлических условиях. Такие зоны следует рассматривать как пути сосредоточенной фильтрации и возможной суффозии заполнителя. Выявление таких зон - первостепенная задача изысканий и исследований, которую необходимо ставить на самых ранних стадиях проектирования. При ее решении следует учитывать характерные признаки и приуроченность этих зон в ряде случаев к тем или иным структурным элементам массива.
Геоструктурные признаки:
- стыки и пересечения зон тектонических нарушений разных порядков;
- зоны тектонических нарушений разных порядков, ориентированные как согласно с залеганием пород, так и секущие под различными углами;
- основание сложено массивными, жесткими породами;
- основание сложено слоистыми или расслоенными породами с чередованием пластов или пакетов пластов различной прочности;
- основание сложено закарстованными породами;
- мелкие складки волочения и зоны будинажа;
- жильные тела различной мощности и их контакты;
- гидротермальные и гидратогенные жилы, обычно сложенные кальцитом; в процессе разгрузки и выветривания такие жилы нередко выщелачиваются;
- протяженные трещины бортового отпора, отседания и тыловых швов оползней.
Гидрогеологические признаки:
- повышенные и максимальные величины q и Кф, полученные при опытных нагнетаниях воды и воздуха, а также при откачках;
- максимальные значения среднеинтервальных значений q на графиках q(hабс);
- выходы источников и значительный их дебит;
- аномалии в поведении уровней грунтовых или подземных вод в пьезометрах наблюдательной сети;
- аномалии в температуре и химическом составе подземных и грунтовых вод с открытым зеркалом.
Перечисленные выше, а также некоторые особые признаки (например, провалы бурового снаряда, аномальный расход промывочной жидкости при бурении) должны быть учтены при анализе материалов гидрогеологических и геофизических работ, в том числе специально предназначенных для исследования сосредоточенных путей фильтрации (индикаторные методы, метод естественного электрического поля, геофизические исследования между скважинами и др.). Необходимо учитывать, что суффозионная устойчивость заполнителя трещин в основном определяется параметрами фильтрационного потока. Решение вопроса о суффозии заполнителя трещин и тектонических зон возможно лишь на основе специальных полевых и лабораторных исследований (о некоторых из них говорится в
Приложениях 1 и
2). Для предварительного суждения о зонах возможной суффозии можно использовать следующие геологические характеристики:
1) Мощность тектонических зон и полостей трещин, содержащих суффозионно-неустойчивый заполнитель: а) мощность зоны измеряется метрами - очень опасно; б) то же - дециметрами - опасно; в) то же - сантиметрами - слабо опасно; г) то же - миллиметрами - практически не опасно. При этом следует учитывать ориентировку зон по отношению к фильтрационному потоку и сооружению, а также число и частоту развития нарушений сплошности.
2) Содержание суффозионно-неустойчивого материала заполнителя полостей тектонических нарушений и трещин: а) большое количество суффозионно-способного материала: вынос частиц может привести к развитию турбулентного режима фильтрации; б) среднее количество: вынос заполнителя увеличивает водопроницаемость на 1 - 2 порядка величины q; в) малое количество; вынос материала может повысить водопроницаемость в несколько раз. Классификация заполнителя по этому признаку производится по гранулометрическому составу образцов пород, взятых в горных выработках или скважинах.
Признаком закольматированности трещин в зонах выветривания и разгрузки скальных пород могут служить низкие значения q ~= 0,01 - 0,1 л/мин на фоне величин q > 1 л/мин. Геологическими наблюдениями рекомендуется также оценивать степень заполнения полости трещин рыхлым материалом и его плотность.
Полевые методы приближенной оценки проявления суффозии [
22,
27,
42] сводятся к специальной схеме опытных нагнетаний по нарастающей величине напора, а затем по той же системе убывающего напора. По характеру гистерезисных кривых
q(
H) судят о наличии суффозии, признаком которой является повышение водопроницаемости на кривой убывающего напора. Такие исследования на Константиновском гидроузле дали следующие результаты: 23% опытов обнаружили признаки небольшой суффозии. При этом после максимальных напоров до 0,9 МПа значения водопроницаемости увеличились в 2 - 4 раза. Суффозионно-неустойчивые каолины изучаемого основания характеризовались быстрой размокаемостью, большой неоднородностью по гранулометрическому составу (К
н = 15 - 300), числом пластичности от 0,05 до 0,17. Необходимо отметить также, что в пределах одного тектонического нарушения наиболее вероятно начало процесса суффозии в подзоне разлинзования нарушения, являющейся переходным элементом между подзонами сместителя и оперяющих разлом трещин.
Лабораторные и специальные методы исследования суффозии заполнителя трещин подробно освещены в литературе [
20,
22,
26,
32,
33,
42,
56].
Более подробно вопрос о путях сосредоточенной фильтрации и их особенностях в массивах различного литолого-петрологического состава и при разных структурно-тектонических условиях изложен в
Приложении 3.
4. МЕТОДИКА СОСТАВЛЕНИЯ МОДЕЛЕЙ
ВОДОПРОНИЦАЕМОСТИ СКАЛЬНЫХ МАССИВОВ
4.1. В соответствии с
п. 1.5 исходным материалом для составления модели водопроницаемости должна служить геоструктурная модель в виде серии вертикальных разрезов, погоризонтных срезов, а также специализированных карт и схем. Карта фактического материала позволяет оценить распределение по площади скважин, в которых выполнены опытно-фильтрационные работы. Руководствуясь ею, для построения модели водопроницаемости следует выбрать те геоструктурные разрезы, которые максимально обеспечены фактическими данными фильтрационного опробования. Скважины, расположенные по обе стороны от линии соответствующего разреза, могут быть использованы на этом сечении (путем сноса) лишь при необходимом геоструктурном обосновании идентичности разреза скважины и ее проекции на рассматриваемое сечение.
На выбранные сечения следует нанести уровень подземных вод и стволы скважин с интервальными значениями q, а также характеристики водопроницаемости, определенные геофизическими и другими методами. На разрезе желательно отразить также: аномальную изменчивость минерализации и температуры вод; возможные данные о закольматированности трещин (например, по результатам фото-телевизионного каротажа); степени закарстованности карбонатных пород и другую вспомогательную информацию, косвенно связанную с гидрогеологическими особенностями массива.
4.2. Отбор, систематизацию и статистическую обработку данных опытно-фильтрационных работ, а также построение графиков
q(
h),
q(
hабс) следует выполнять, руководствуясь
пп. 2.1 -
2.8 настоящей Методики. При этом исходным материалом должны служить таблицы опытно-фильтрационных работ, в которых каждый интервал опробования отнесен к соответствующему СПБ или СПЗ и указана категория представительности
(п. 2.4); эта "привязка" каждого интервала опробования к тому или иному структурно-петрологическому элементу (СПЭ) осуществляется на основе всестороннего анализа материалов инженерно-геологических изысканий.
На основе такой обработки делают заключение о:
1) характере и законе распределения (нормальном или логнормальном) значений водопроницаемости для массива в целом и для отдельных его инженерно-геологических элементов
(рис. 1), квазиоднородных по литолого-петрологическому составу, строению и состоянию; величинах средних значений

и среднеквадратичных отклонений

;
2) характере графиков q(h) и q(hабс), построенных раздельно для основных геоморфологических элементов долины (например, для левого берега, дна долины и правого берега) и с учетом:
а) различных структурно-петрологических элементов (СПБ и СПЗ, значения q в которых наносят на график разными значками и обрабатывают раздельно);
б) различных гидродинамических зон в массиве
(п. 2.4), для чего на шкале
hабс графиков
q(
hабс) можно показать диапазон отметок уровня подземных вод, зоны сезонного колебания этого уровня и т.д.;
3) характере изменения средних значений

на графиках
q(
h) или
q(
hабс); шаг осреднения чаще всего выбирается 5 м или 10 м (если при шаге осреднения 5 м есть интервалы с числом точек менее 5 - 7, то лучше использовать шаг 10 м пятиметровым перекрытием: 5 - 15 м, 10 - 20 м, 15 - 25 м и т.д.).
4.3. Анализ данных статистической обработки значений водопроницаемости на геоструктурной основе с целью выявить существенно различные по водопроницаемости структурно-петрологические элементы, а также объединить (укрупнить) те элементы разреза, где различие значений
q и

в соседних элементах разреза незначительное. Для таких укрупненных элементов средние значения водопроницаемости и среднеквадратичные отклонения следует определять на общем материале объединяемых выборок, что снижает ошибку среднего значения и абсолютную величину среднеквадратичного отклонения. Возможны различные способы моделирования по водопроницаемости, в частности, зональный и с использованием изолиний значений
q или К
ф. Укрупненные СПБ и СПЗ, наделенные значениями
qа,г и

, являются элементами зонального районирования
(п. 1.6). Примеры фрагментов таких моделей составлены В.В. Каякиным и А.И. Каякиной
[29] на ряде объектов гидростроительства в Средней Азии
(рис. 16). Зональный способ районирования является достаточно простым для исполнения. Другое его преимущество - в практическом удобстве непосредственного использования при расчетах и физическом моделировании. Наряду с этим необходимо отметить, что достоверность модели водопроницаемости и контуров выделенных элементов во многом определяется достоверностью геоструктурной модели. Следовательно, если в силу недоразведанности основания, либо неоднозначности в интерпретации, на геоструктурной модели будут пропущены структурные элементы, обусловливающие высокие значения
q и К
ф, то и модель водопроницаемости будет искажена, либо вместо пути сосредоточенной фильтрации на модели будет укрупненный элемент, характеризующийся малозаметным повышением
q и

.

Рис. 16. Фрагменты моделей водопроницаемости
а - известняков основания Токтогульской ГЭС;
б - флишевых отложений основания Курпсайской ГЭС
(по В.В. Каякину, А.И. Каякиной
[29])
1 - тектонические разрывы; 2 - крупные трещины разгрузки;
3 - уровень подземных вод; 4 - границы квазиоднородных
по водопроницаемости участков: средние значения q (л/мин)
и К
ф (м/сут);

; К
ф = 0,003; 6 - 0,01; 0,01;
7 - 0,04; 0,04; 8 - 0,15; 0,1; 9 - 0,3; 0,2; 10 - 0,02;
0,01; 11 - 0,1; 0,05; 12 - 0,2; 0,15; 13 - 0,6; 0,5;
14 - контур двухрядной цементационной завесы;
15 - контур однорядной цементационной завесы
Другой недостаток зонального способа состоит в замене градиентного характера разреза водопроницаемости (например, в зоне поверхностного выветривания и разгрузки) на квазиоднородный или слоисто-однородный.
Отмеченные недостатки можно в ряде случаев избежать, если помимо зонального способа, в дополнение к нему, использовать способ изолиний. При большом числе фильтрационных опытов в массиве (порядка 500 - 1000 и более), обеспечивающих характеристику водопроницаемости основания в разрезе и в плане для основных генетических элементов, способ изолиний можно рекомендовать как альтернативу зональному.
4.4. В способе изолиний модель водопроницаемости представляется в виде поля линий равных значений
q или К
ф. Для проведения изолиний используются все данные опытно-фильтрационных работ, значения водопроницаемости по результатам геофизических исследований, а в промежутках между скважинами можно привлекать средние и модальные величины
q, во-первых, снятые с графиков
q(
h) и
q(
hабс) для соответствующего структурного элемента, а во-вторых, полученные на основе корреляционных связей или рассчитанные по параметрам трещиноватости. В способе изолиний можно реализовать следующую последовательность операций (в
разделе 6 она иллюстрируется примером основания Ингури ГЭС):
а) проведение изолиний значений
q путем формальной интерполяции данных опытно-фильтрационных работ на упрощенной структурной основе (слоистой модели) с границами подзон А, Б, В, Г без учета других особенностей геологического строения основания ("формализованный вариант I" - см.
рис. 25);
б) проведение изолиний значений
q с учетом лишь повышенной водопроницаемости тектонических нарушений ("формализованный вариант II" - см.
рис. 26), используя в соответствии с геоструктурной моделью контуры этих нарушений;
в) интерпретация, объединяющая "формализованные варианты I и II", и по возможности, с полным учетом особенностей геоструктурной модели (в том числе мелких зон учащенной трещиноватости в контактах ритмов разной мощности и прочности и др.) - вариант III - см.
рис. 27; необходимо отметить, что вариант III должен учесть также все имеющиеся геофизические данные о водопроницаемости массива, а основные контуры модели водопроницаемости не должны противоречить контурам геофизической (сейсмогеологической, геоэлектрической) модели скального основания;
г) схематизация и генерализация контуров модели III варианта с целью упрощения и получения модели водопроницаемости для фильтрационных расчетов и физического моделирования (вариант IV - см.
рис. 28).
При составлении модели водопроницаемости необязательно последовательное и раздельное выполнение перечисленных операций по составлению вариантов I - III. Инженер-геолог или гидрогеолог, имеющий опыт составления модели водопроницаемости, может, минуя варианты I - II, в ходе построения III варианта в комплексе учесть особенности конфигурации изолиний q, связанные с подзонами выветривания и разгрузки, а также с основными и мелкими тектоническими нарушениями.
4.5. На всех методических этапах построения модели водопроницаемости необходимо учитывать закономерности изменения характеристик
q и К
ф, изложенные в
пп. 3.1 -
3.4 настоящей Методики. Особое внимание следует уделять выявлению и отражению в модели водопроницаемости путей сосредоточенной фильтрации и возможной суффозии заполнителя. Рекомендуется яркой раскраской (красный, синий цвета) показывать на разрезах и срезах пути сосредоточенной фильтрации и содержание суффозионно-неустойчивого материала в трещинах (см.
Приложение 3).
4.6. На начальных стадиях изысканий и исследований до проведения опытно-фильтрационных работ (или в условиях единичного числа такого опробования) и гидрогеологических исследований методами геофизики для характеристики ожидаемой водопроницаемости основных элементов исходной и предварительной моделей рекомендуется использовать (в комплексе или раздельно);
а) данные "косвенных" геофизических, в частности, сейсмических методов разведки (см.
Приложение 2);
б) опыт предшествующих исследований оснований-аналогов, геологическое подобие которого с изучаемым объектом устанавливается по ряду факторов (типа породы и ее минерального состава; геологической истории района и структурно-тектонической обстановки; состояния пород; условий залегания пород, в частности ориентировка элементов структуры относительно долины реки; характера современного рельефа и геоморфологических особенностей);
в) расчетный метод определения водопроницаемости по параметрам трещин, получивший развитие в работах Е.С. Ромма, М.В. Раца, С.Н. Чернышева, Н.Б. Ивановой, К. Льюи, В. Витке и др. В настоящее время для целей инженерной геологии скальных массивов рекомендуется метод М.В. Раца, С.Н. Чернышева и Н.Б. Ивановой с реализацией расчетов на ЭВМ. В связи с тем, что этому методу посвящено специальное руководство
[59], в настоящей Методике он не рассматривается. Несмотря на ряд ограничений, проанализированных А.А. Варгой
[7], и приближенность расчетных методов, их несомненное достоинство заключается в возможности оценки К
ф в любом направлении.
4.7. Дальнейшее совершенствование методики составления инженерно-геологической модели водопроницаемости связано с развитием следующих направлений:
1) геоструктурного и геофизического моделирования;
2) методов и методик гидрогеологических и геофизических исследований;
3) аналитических методов оценки водопроницаемости по параметрам трещиноватости;
4) решения обратных задач фильтрации методами математического и физического моделирования с более широким использованием описанных в Методике моделей водопроницаемости;
5) сопоставительного анализа результатов расчетов и физического моделирования и натурных наблюдений за основаниями сооружений в период строительства и эксплуатации.
5. ОЦЕНКА НЕОДНОРОДНОСТИ И АНИЗОТРОПИИ МАССИВА
ПО ХАРАКТЕРИСТИКАМ ВОДОПРОНИЦАЕМОСТИ
(Фильтрационной неоднородности и анизотропии)
5.1. Неоднородной называется среда, свойства которой в различных точках различны; в частности, для неоднородной по водопроницаемости среды значения
q и К
ф являются функциями координат. Фильтрационная неоднородность скальных оснований плотин обусловлена неоднородностью и трещиноватостью слагающих их горных пород. База опытно-фильтрационного опробования (5 - 10 м) соизмерима с конструктивными или технологическими элементами сооружений (секций, блоков бетонирования и т.д.), т.е. значения
q и К
ф могут быть использованы непосредственно для характеристики фильтрационной неоднородности массива как основания плотины в пределах одного масштабного уровня. Фильтрационная неоднородность выражается в широком разбросе значений
q и К
ф (3 - 5 порядков) даже в выборках, характеризующих водопроницаемость объемных частей массива однородных по сумме геологических признаков пород, т.е. отвечающих понятию "инженерно-геологический элемент"
[12]. Существующие классификации фильтрационной неоднородности пород [
32,
41 и др.], использующие в качестве критерия неоднородности среднеквадратичное отклонение логарифма водопроводимости

, либо коэффициент изменчивости (вариации)
VТ,

, оказались малопригодными при оценке неоднородности скальных оснований плотин, поскольку не только большинство оснований, но и их квазиоднородные по строению и состоянию элементы в соответствии с этими классификациями можно отнести лишь к одному классу - крайне неоднородных. Это объясняется тем, что указанные классификации в качестве объекта исследований рассматривали в основном пористые среды (зернистые, связные и сцементированные), где весь классификационный диапазон составил:

;
VТ = 40 - 150%;

.
5.2. Для сравнительной оценки неоднородности по водопроницаемости основания и его элементов рекомендуется использовать величины среднеквадратичных отклонений распределения
q, т.е.

,

, а также коэффициент вариации

(при нормальном распределении величин
q). Характерный диапазон этих величин приведен в
табл. 4. В качестве классификационного критерия неоднородности рекомендуется отношение
(табл. 5). Это отношение функционально связано с дисперсией логнормального распределения
[62]:
| | ИС МЕГАНОРМ: примечание. Нумерация формул дана в соответствии с официальным текстом документа. | |

(3)
Таблица 4
Водопроницаемость и характеристики неоднородности основных
типов генетических объемных элементов скальных массивов
Типы генетических элементов массивов | Нормальное распределение значений q, л/мин | Логнормальное распределение значений q, л/мин |
 , л/мин |  , л/мин |  , % |  , л/мин |  , л/мин |
Инженерно-геологические блоки (ИГБ) | 0,01 - 0,5 | 0,1 - 1,0 | 30 - 200 | 0,01 - 0,1 | 0,01 - 0,5 |
Структурно-петрологические блоки (СПБ) | 0,1 - 15,0 | 0,1 - 50 | 50 - 300 | 0,01 - 1,0 | 0,1 - 10 |
Структурно-петрологические зоны (СПЗ) | 1,0 - 100 | 10 - 100 | 100 - 500 | 0,1 - 50 | 1 - 200 |
Крупные части массивов, состоящие из нескольких элементов | 1 - 50 | 5 - 200 | 150 - 600 | 0,1 - 1,0 | 0,5 - 10 |
Таблица 5
Классификация фильтрационной неоднородности
скальных массивов, их частей и элементов
Характеристика неоднородности водопроницаемости | Критерий неоднородности,  | Рекомендуемый уровень вероятности P (%) для выбора расчетного значения  |
Крайне неоднородная | Более 40 | 50% |
Сильно неоднородная | 20 - 40 | 50 - 55 |
Неоднородная | 10 - 20 | 55 - 65 |
Квазиоднородная | 5 - 10 | 65 - 75 |
Однородная | Менее 5 | 75 - 90 <*> |
--------------------------------
<*> Конкретное значение P выбирается исходя из решаемой задачи и стадии проектирования гидроузла.
К сожалению, использование коэффициента вариации в качестве классификационного критерия невозможно, так как при логнормальном распределении коэффициент вариации

теряет свой смысл, поскольку при

.
5.3. Величины, необходимые для оценки неоднородности основания и его частей, наиболее просто получить с помощью вероятностной бумаги
[35]. Этапы этой обработки следующие:
1) выборку в упорядоченной (ранжированной) форме нарастающего ряда величин
q наносят на вероятностную бумагу
(рис. 17), ордината у которой всегда в логарифмическом масштабе, а абсцисса может быть в нормальном масштабе (для аппроксимации прямой в этом масштабе кумулятивной кривой нормального распределения), либо - в логарифмическом масштабе (для аппроксимации прямой в этом масштабе кумулятивной кривой логнормального распределения); таким образом, с достаточной для практики точностью определяют тип распределения (нормальный или логнормальный);
2) в случаях нормального или логнормального распределения q соответствующие средние значения считываются со шкалы абсцисс от точки пересечения аппроксимирующей прямой с ординатой P = 50%; а среднеквадратичные отклонения определяются соответственно:

(4)

(5)
где q84 и q16 - соответственно 84%-ые и 16%-ые квантили нормального распределения qа, снимаемые с вероятностной бумаги, абсцисса которой имеет нормальный масштаб; (lg q)84 и (lg q)16 - соответственно квантили логнормального распределения qг, снимаемые с вероятностной бумаги, абсцисса которой имеет логарифмический масштаб. Величины параметров, снимаемых с вероятностной бумаги, получаются в потенциированном виде.
Рис. 17. Примеры распределения значений
q на вероятностной
(а) и логарифмически-вероятностной (б) бумаге:
а - известняки основания Ингурской ГЭС (зоны тектонических
нарушений), выборка N 21; б - парасланцы вне зон
тектонических нарушений - основание
Саяно-Шушенской ГЭС, выборка N 1
1 - интервал глубин H = 0 - 15 м; 2 - H = 15 - 35 м;
3 - H = 35 - 75 м; 4 - H = 75 - 100 м;
5 -
H = 0 - 100 м (в целом);
[17]
5.4. Фильтрационную неоднородность инженерно-геологических элементов рекомендуется учитывать путем дифференцированного подхода при определении расчетных характеристик водопроницаемости. Как показывает опыт, для большинства скальных массивов и их элементов характерно логнормальное распределение значений
q и К
ф. Определяемое для такой выборки среднее значение

, отвечающее
P = 50% доверительной вероятности, как правило, значительно ниже величины

для той же выборки. Вместе с тем СНиПы II-16-76 и
2.02.02-85 рекомендуют в качестве расчетных значений водопроницаемости принимать

. Встречающиеся в практике гидростроительства случаи повышенных против прогнозируемых потерь на фильтрацию скальных оснований также свидетельствуют о целесообразности повысить требования к уровню доверительной вероятности расчетных значений водопроницаемости при логнормальном распределении величины
q. Повышение уровня
P в таких случаях целесообразно в пределах 50 - 90%, т.е. в рамках реально определяемых среднеарифметических значений тех же выборок. Рекомендуемый уровень вероятности расчетного значения

приведен в третьей графе
табл. 5.
Практика показывает, что полученные таким образом

для квазиоднородных элементов (
P = 65 - 75%) оказываются близкими к
qа, выбор которых в качестве расчетных рекомендует
СНиП 2.02.02-85.
Необходимо иметь в виду, что к классу "однородных"
(табл. 5), удовлетворяющих требованию

, относятся не только слаботрещиноватые, слабоводопроницаемые структурно-петрологические блоки

, что естественно, но и очень сильноводопроницаемые крупные тектонические нарушения (СПЗ и ИГЗ), расположенные в приповерхностных частях массива

.
Таблица 6
Классификация скальных массивов по

и соответствующим
ему примерные коэффициенты анизотропии водопроницаемости
Характеристика анизотропии  , км/с | | Ка (q, л/мин) при |
q" = 0,01 | q" = 0,1 | q" = 1,0 | q" = 10,0 | q" = 100,0 |
Водонасыщенное состояние массива (ниже уровня воды) |
Изотропный | 1,0 - 1,05 | 1 - 2 | 1 - 1,7 | 1 - 1,5 | 1 - 1,3 | 1 - 1,2 |
Слабо анизотропный | 1,05 - 1,1 | 2 - 3,3 | 1,7 - 3,0 | 1,5 - 2,3 | 1,3 - 1,9 | 1,2 - 1,5 |
Анизотропный | 1,1 - 1,3 | 3,3 - 50,0 | 3,0 - 25,0 | 2,3 - 13,0 | 1,9 - 7,0 | 1,5 - 3,2 |
Сильно анизотропный | 1,3 - 1,5 | 50 - 1000 | 25 - 220 | 13 - 70 | 7,0 - 20,0 | 3,2 - 7,0 |
Крайне анизотропный | Более 1,5 | Более 1000 | Более 220 | Более 70 | Более 20 | Более 7,0 |
Дренированное состояние массива (выше уровня воды) |
Изотропный | 1 - 1,1 | 1 - 2 | 1 - 1,7 | 1 - 1,3 | 1 - 1,05 | |
Слабо анизотропный | 1,1 - 1,2 | 2 - 4 | 1,7 - 2,8 | 1,3 - 1,7 | 1,05 - 1,1 | |
Анизотропный | 1,2 - 1,5 | 4 - 40 | 2,8 - 1,3 | 1,7 - 4,0 | 1,1 - 1,3 | |
Сильно анизотропный | 1,5 - 1,8 | 40 - 350 | 13 - 60 | 4 - 8 | 1,3 - 1,5 | |
Крайне анизотропный | Более 1,8 | Более 350 | Более 60 | Более 8 | Более 1,5 | |
5.5. Анизотропной называется среда, свойства которой неодинаковы для различных направлений. Для большинства скальных массивов характерна осесимметричная анизотропия. Геологической причиной анизотропии массива является упорядоченная (ориентированная) неоднородность его элементов, связанная с преобладающим направлением трещиноватости, со слоистостью и сланцеватостью пород. Анизотропию массива или его частей обычно оценивают величиной коэффициента анизотропии Ка(X) = Xмакс/Xмин, где Xмакс, Xмин - большая и малая полуось эллипса анизотропии соответствующей характеристики свойств <1>.
--------------------------------
<1> Как показали исследования Э.Г. Газиева с соавторами
[9], в случае блочной среды (с постоянным для каждой системы трещин раскрытием) ее анизотропия по водопроницаемости в общем случае имеет вид овалов Кассини ("двухлепестковый цветок"). Однако для практических целей допустимо упрощать эту фигуру до эллипса.
Значения Ка(X) одного и того же элемента массива, вычисленные по разным характеристикам свойств, могут различаться. Кроме того, Ка(X) зависит от размеров области опробования массива.
В настоящее время отсутствует общепринятая методика оценки анизотропии массива по водопроницаемости, хотя имеется ряд предложений по ее реализации как прямыми, так и косвенными методами. Необходимо отметить, что все эти способы являются приближенными и позволяют получить лишь оценочные величины. Достоверность таких оценок можно повысить независимым определением К
а(К
ф) или К
а(
q) двумя и более способами. Ниже, в пп. 5.6 -
5.9 коротко рассмотрены эти способы.
5.6. Методы прямого гидравлического опробования при изучении анизотропии пород по водопроницаемости включают:
а) использование результатов опытно-фильтрационных работ в разноориентированных скважинах с последующей статистической обработкой полученных результатов
[44];
б) кустовые гидравлические откачки; частные решения этой задачи, полученные Н.А. Огильви, В.Д. Бабушкиным, В.М. Шестаковым [
41,
61,
63], применимы в основном к изучению нескальных грунтов либо слоистых нетрещиноватых пород осадочного происхождения. Для изучения плановой фильтрационной анизотропии трещиноватых пород по данным кустовых откачек при неустановившемся режиме фильтрации подземных вод можно рекомендовать методику И.К. Гавич
[8]. В основе этой методики лежит зависимость Тейса, в которой коэффициент фильтрации заменен на

. Максимальные и минимальные значения К
ф определяются по данным измерения уровня воды в наблюдательных скважинах, расположенных не менее чем на трех лучах опытного куста в количестве минимум по две на двух лучах и одной на третьем
[31]. Методы кустового гидравлического опробования по сравнению с прочими способами дают наиболее достоверные результаты. Однако в силу значительной трудоемкости (для изучения основания необходимо опробовать ряд кустов скважин) методы кустовых откачек применяются редко при изучении скальных оснований.
5.7. Косвенным способом оценки анизотропии массива по водопроницаемости является расчетный метод определения К
а(К
ф) по параметрам трещин различных систем, выявленных в массиве. В соответствии с
п. 4.6 Методики, путем такого расчета возможна оценка величины К
ф в любом направлении. Следовательно, возможна и оценка К
а(К
ф) изучаемого массива или его частей. Здесь следует отметить необходимость изучения трещиноватости не только в приповерхностной части массива - в обнажениях, но и в горных выработках - во внутренних точках среды.
5.8. Другой косвенный способ оценки

(где
q" - водопроницаемость вдоль простирания слоистости, сланцеватости;

- то же вкрест простирания тех же элементов) основан на изучении анизотропии массива по скорости распространения упругих волн
[16].
Методы инженерной сейсмики позволяют наиболее полно, быстро и при относительно небольших затратах оценить анизотропию скального массива или его частей по скорости продольных упругих волн, т.е. определить

или для случая осадочных, метаморфических пород и массивов с ориентированной трещиноватостью

.
Связь

с
q" и

следующая
[16]:

(6)
где
a - коэффициент в уравнении

, вообще говоря, индивидуальный для каждого массива. Его средние значения следующие:
а) для магматических водонасыщенных пород a = 3,7 л/мин; для дренированных пород берегов a = 1,1 л/мин;
б) для зоны аэрации туфопесчаников a = 1,5 л/мин;
в) для зоны аэрации закарстованных известняков a = 3,82 л/мин.
Задаваясь значениями

и
q", по
формуле (6) определяют

, а затем

. В приведенных ниже примерах расчета (рис. 18,
табл. 6) приняты значения
a = 3,7 и 1,1 л/мин. Как следует из рис. 18, значения К
а(
q) и

нелинейно связаны между собой. Таким образом, определив по данным сейсморазведки

и зная
q", легко найти К
а(
q).
Рис. 18. Связь коэффициента анизотропии массивов скальных
пород по водопроницаемости Ка(q) с коэффициентом
анизотропии по скорости продольных упругих волн

а - обводненный массив; б - массив в зоне аэрации; параметр
кривых - значение q" вдоль напластования (либо вдоль
преобладающей трещиноватости);

;

Замечание. В практике изучения скальных массивов очень часто имеется информация о среднем значении

и

. Как оценить
q" и

? Примерную оценку можно сделать на основе
рис. 18 или
табл. 6, откуда, полагая, что
q" имеет тот же порядок, что и величина

, находим К
а(
q). Учитывая, что

;

, получим

(7)
5.9. Грубую оценку величины К
а(
q)
э =
qвд.р./
qп.р. (где
qвд.р. - средняя водопроницаемость основания вдоль русла реки;
qп.р. - то же перпендикулярно руслу) можно выполнить "экспертным" способом, основанным на рассмотрении вариантов взаимной ориентации осей бетонных плотин с элементами залегания пород в массиве и учете практического опыта изучения оснований - аналогов. Этот способ предполагает, что крупные структурно-петрологические элементы массивов характеризуются основным диапазоном К
а(
q) = 1 - 10. Это находит подтверждение в имеющихся (пока еще малочисленных) опытных данных, а также следует из того, что при
q" >= 0,1 л/мин и для наиболее характерного для различных объемных элементов водонасыщенных массивов диапазона значений

= 1,0 - 1,25 величина К
а(
q) варьирует от 1 до 10. Согласно данным И.А. Пирогова
[44], верхняя (20-метровая) зона основания Саяно-Шушенской ГЭС характеризуется К
а(
q) = 2,5; для песчаников основания Нурекской ГЭС К
а(
q) = 2,8 по данным работы
[53] <1>.
--------------------------------
<1> Речь идет о массиве в целом или о его крупных структурно-петрологических элементах. Для локальных частей массива (на базах порядка единиц метров) частные значения К
а(К
ф) могут иметь намного большие величины. На это, в частности, указывал С.Н. Чернышев, анализируя полученные расчетом по параметрам трещиноватости значения К
ф в зоне влияния трещин бортового отпора в долеритах Богучанской ГЭС
[64], где К
а(К
ф) достигала величин порядка 100 и более.
Рис. 19 и
20 показывают 10 вариантов (и 5 подвариантов) взаимной ориентации осей плотин с залеганием генетических элементов массива и соответствующие экспертные значения коэффициента анизотропии водопроницаемости К
а(
q)
э. Прототипами вариантов IV - X являются основания следующих гидроузлов: Саяно-Шушенского (варианты VI, VII); Константиновского (VIII); Чарвакского (IX); Ингури (X).
Рис. 19. Схема основных вариантов взаимной ориентации осей
бетонных плотин с элементами залегания скальных пород
в их основаниях и соответствующие диапазоны
Ка(q) на основе экспертной оценки
Рис. 20. Схемы некоторых случаев взаимоориентации осей
плотин с залеганием генетических элементов
(СПБ и СПЗ) в скальных основаниях
1 - схемы ориентации плотин в плане: Б - бетонных,
З - земляных; бьефы: Н - нижний, В - верхний;
2 - ориентация пластов пород, тектонических зон и трещин
в плане; падение: П - пологое, У - под углом, К - крутое;
3 - породы тонкоплитчатые; 4 - породы среднеплитчатые;
5 - породы толстоплитчатые; 6 - породы массивные (граниты);
7 - тектонические зоны в плане и на разрезе: Г - глубинные
разломы, С - средние, М - мелкие; 8 - протяженные
трещины разного генезиса и ориентации;
9 - жилы (дайки) магматических пород
5.10. В соответствии с "Пособием к СНиП 11.16-76" массив анизотропен по водопроницаемости, если Ка(Кф) или Ка(q) более 1,5.
Анизотропию массива по водопроницаемости рекомендуется учитывать следующим образом:
а) путем создания физических моделей (в частности, для исследований методом ЭГДА), удовлетворяющих заданному значению Ка(q), определенному методами инженерной геофизики или с помощью опытно-фильтрационных работ в разноориентированных скважинах и т.д.;
б) повышением расчетного значения
q (или К
ф) с учетом взаимной ориентации оси плотины с залеганием пород и структурно-тектоническими особенностями массива (
рис. 19,
20):

(8)
6. ПРИМЕРЫ СОСТАВЛЕНИЯ МОДЕЛЕЙ ВОДОПРОНИЦАЕМОСТИ
Фрагмент модели водопроницаемости основания Ингури ГЭС
Геоструктурная схема массива
Особенности геологического строения скального основания плотины Ингури ГЭС, отраженные на его геоструктурной схеме в плане и разрезе (
рис. 21,
22), сводятся к следующему.
Рис. 21. Геоструктурная схема участка плотины Ингури ГЭС
1 - геологический индекс; 2 - номер пачки; 3 - граница
между пачками; 4 - номер ритма; 5 - тонкослоистые
карбонатные породы (0,1 - 0,4 м); 6 - среднеслоистые
карбонатные породы (0,4 - 1,0 м); 7 - толстослоистые
карбонатные породы (1,0 - 2,0 м и 2,0 м); 8 - главный
правобережный разлом; 9 - зона дробления пород;
10 - зона трещиноватости в пределах оконтуренного участка;
11 - тектоническая трещина (номерная); 12 - номер трещины;
13 - диаграмма-роза; А - трещиноватости; Б - тектонических
разрывных нарушений; а - угол и направление падения;
б - азимут простирания трещин или тектонических
разрывных нарушений
Рис. 22. Геоструктурный разрез по линии А - В - С
(к схеме зонально-блочного строения основания Ингури ГЭС)
1 - геологический индекс; 2 - граница между пачками;
3 - граница между ритмами; 4 - граница между слоями
разной мощности; 5 - номер пачки; 6 - номер ритма;
7 - главный правобережный разлом; 8 - номерная трещина;
9 - кулисообразное развитие трещин, установленное;
10 - то же, предполагаемое; 11 - аллювиальные отложения
Рассматриваемый участок располагается на южном крыле антиклинальной складки, сложенной известняками и доломитами барремского яруса нижнего мела, залегающими моноклинально при общем падении на юго-восток, вниз по течению реки под углом 55 - 65°. В осевой плоскости антиклинальной структуры отмечается небольшой перегиб ее продольной ундуляции, обусловивший различие в простирании пластов на правом и левом берегах долины на величину до 10 - 15°.
Толща карбонатных пород имеет явно выраженное ритмично-слоистое строение, обусловленное закономерным, но несколько неравномерным чередованием пластов различной мощности от 0,1 до 2 - 5 м. Толща пород участка делится на 6 пачек (I - VI), сменяющих друг друга в нормальной стратиграфической последовательности. Каждая из них состоит из пластов разной мощности, сгруппированных в ритмы, характеризующиеся постепенно нарастающей мощностью чередующихся пластов от минимума до максимума. Мощность ритмов колеблется от 10 - 15 до 40 - 45 м. Границы пачек с мощностью, измеряемой от десятков до 100 м и более, совпадают с границами наиболее характерных ритмов (рис. 23).
Рис. 23. Изменение мощности пластов известняков
по размеру в основании плотины Ингури ГЭС
Выделенные в сводном разрезе карбонатной толщи (мощность 500 м) 42 ритма подразделяются на 6 типов в зависимости от сочетания пластов в разрезе ритмов:
1 тип - преобладают пласты
H < 0,4 м, реже
H = 0,4 - 1,0 м, средний объем блоков

;
2 тип - преобладают пласты
H = 0,4 - 1,0 м, реже
h < 0,4 м,

;
3 тип - равное соотношение пластов
h = 0,4 - 1,0 м и
h = 1 - 2 м,

;
4 тип - преобладают пласты
h = 1 - 2 м,

;
5 тип - преобладают пласты
h > 0,4 м и частично
h = 2 - 3 м;

;
6 тип - преобладают пласты
h = 2 - 3 м, причем пласты
h < 0,4 м отсутствуют,

.
Одним из главных структурных элементов на участке плотины является правобережный взбросо-сдвиг (разлом III порядка), относящийся к оперению регионального Ингиришского разлома (II порядка), расположенного в 1 км западнее данного участка. Правобережный взбросо-сдвиг имеет субширотное простирание с падением на юг под углом 75 - 80°, амплитуда смещения в плане 70 - 80 м и по вертикали порядка 70 - 100 м, длина его превышает 1 км, мощность зоны сместителя 2 - 9 м. Этот разлом делит массив основания плотины на два структурно-тектонических блока: южный блок А (приподнятый) и северный блок Б (опущенный). Менее крупные тектонические нарушения IV - VI порядков: межформационные и межпластовые срывы и сдвиги по напластованию (N 1 - 20), а также пологонаклонные зоны учащенных трещин отрыва, развитые кулисообразно между ритмами пластов. На участке выделены 6 систем трещин:
1 - трещины скола, азимут простирания АП = 25 - 50°, падение на ЮВ, угол падения УП = 55 - 65°;
2 - трещины отрыва, АП = 295 - 35°, падение на СЗ-СВ, УП = 50 - 80°;
3 - трещины отрыва, АП = 290 - 350°, падение на ЮЗ, УП = 20 - 60°;
4 - трещины отрыва, АП = 20 - 90°, падение на С-СЗ, УП = 15 - 50°;
5 - трещины скола, АП = 345 - 360°, падение на СВ, УП = 50 - 65°;
6 - трещины скола, АП = 60 - 80°, падение на ЮВ, УП = 60 - 80°.
В зонах приразрывного кливажа тектонических нарушений трещины всех систем учащены, искажены по своему залеганию и приоткрыты. В этих зонах отмечаются процессы доломитизации в известняках и раздоломичивания в доломитах, следствием чего является присутствие в полостях трещин карбонатной и доломитовой муки, особенно сильно развитой в зоне пластовых смещений и срывов N 17 - 20 в блоке А, вблизи правобережного разлома. Зона дробления последнего достигает мощности 17 м, а зона оперения - до 100 м с каждой стороны. Зона дробления тектонических нарушений IV - VI порядков имеет мощность 0,1 - 2,0 м. Большинство межформационных и межпластовых смещений (62%) отвечает контактам маломощных (менее 0,4 м) и мощных пакетов пластов соседних ритмов.
Все эти особенности геологического строения предопределяют закономерности развития мелких тектонических трещин, определяющих неоднородность и анизотропию массива по водопроницаемости.
Сечение массива моноклинальной структуры на данном разрезе имеет дугообразную форму, поэтому границы пачек пластов на нем имеют падение в сторону бортов долины, вырисовывая ложную антиклиналь несколько асимметричной формы в связи с продольной ундуляцией (перегибом пластов) южного крыла действительной антиклинали.
Последовательность учета особенностей
геологического строения массива при составлении
модели водопроницаемости
При сравнительно ограниченном числе определений интервальных значений водопроницаемости (300 значений) статистическая обработка этих данных с учетом геоморфологических и объемных генетических элементов массива
(рис. 10) показала существенное различие водопроницаемости вблизи правобережного разлома, в зонах тектонических нарушений IV - VI порядков и ритмов разных типов. Это различие достигает двух-трех порядков (рис. 24). При этом обращает на себя внимание заметное снижение водопроницаемости ритмов с мощными пластами известняков по сравнению с ритмами, сложенными тонкими пластами тех же пород, отмечаемое для всех глубин опытных интервалов нагнетаний. Эта особенность указывает на развитие трещиноватости в зонах контактов ритмов, вызванное смещениями по напластованию мощных пластов по пакетам тонких пластов.
Рис. 24. Связь водопроницаемости (q) известняков основания
Ингури ГЭС с характеристиками их структуры
а - связь q с содержанием маломощных пластов известняка
в ритмичной толще (в %); б - связь q со средней мощностью
пластов ритма (0 - 2,0 м); в - связь q с типами (I - VI)
ритмов; г - распределение значений q в %
1 - тектонические нарушения; 2 - мелкие трещины
и тектонические нарушения; 3 - мелкие трещины
в массиве, вне тектонических зон
Последовательность методических этапов интерпретации можно проследить на четырех вариантах одного и того же разреза по дуге арочной плотины Ингури ГЭС. Эти варианты отражают различную степень детальности учета особенностей геологического строения массива и влияния на породы процессов выветривания и разгрузки естественных напряжений.
Вариант I (рис. 25) учитывает при интерпретации только влияние процессов выветривания и разгрузки на водопроницаемость массива. Интерполяция фактических значений
q и снятых с графиков
q(
h) (
рис. 12, "массив в целом") способом изолиний с градацией величины
q в один порядок выявила развитие пологонаклонных зон повышенной водопроницаемости, примерно согласных с рельефом дневной поверхности и частично совпадающих с пологонаклонными зонами трещин отрыва IV системы. Полученный разрез характерен для зонально-слоистых упрощенных моделей водопроницаемости, наиболее часто встречающихся в практике инженерно-геологического обоснования проектов плотин на скальных основаниях.
Рис. 25. Фрагмент модели водопроницаемости скального
массива. Вариант I - интерпретация с учетом влияния
процессов разгрузки и выветривания
1 - литолого-стратиграфические пачки и горизонты нижнего
мела (К), известняки (IV - и) и доломиты (IV - д);
2 - границы пачек; 3 - границы горизонтов доломитов;
4 - контуры доломитизации; 5 - тектонические нарушения
V - VII порядков; 6 - типы ритмов по мощности пластов
пород; 7 - правобережный взбросо-сдвиг III порядка;
8 - тектонические нарушения V - VII порядков;
а - N 8 - межформационный срыв V порядка; б - 1, 2, 5, 6,
9, 10, 11, 12, 15, 16, 17, 18, 19, 20 - сдвиги
по пластованию VI - VII порядков; в - 4, 7, 8а, 13,
14 - пологонаклонные тектонические смещения по трещине
отрыва VII порядка; 9 - интервалы опробования угольных
водопоглощений (л/мин); 10 - изолинии водопроницаемости
(q - 0,01; 0,1; 1,0; 10; 100 л/мин)
Вариант II (рис. 26) учитывает при интерпретации только повышенную водопроницаемость тектонических нарушений и лишь частично влияние процессов выветривания и разгрузки пород. Полученная при соблюдении правил интерполяции схема водопроницаемости явно противоречит варианту I. Ввиду преимущественного развития в данном массиве тектонических смещений по напластованию, связанная с ними повышенная водопроницаемость обрисовала (в виде изолиний значений q) контуры этих зон, а также пологонаклонных зон учащенной трещиноватости III - IV систем.
Рис. 26. Фрагмент модели водопроницаемости скального
массива. Вариант II - интерпретация с учетом выявленных
изысканиями тектонических нарушений N 1 - 20
Вариант III
(рис. 27) обобщает варианты I и II, отражая более сложную картину неоднородности водопроницаемости. Одновременно он свидетельствует о локальных усложнениях рисунка изолиний
q вблизи скважин с данными опытно-фильтрационных работ. Между скважинами рисунок изолиний
q упрощается в связи с тем, что средние значения
q, снятые с графиков
q(
h), естественно, не отражают локальные неоднородности ритмов известняков. В случае учета границ 42 ритмов, выделенных при послойном изучении сводного литолого-стратиграфического разреза, можно детализировать по водопроницаемости пространство между скважинами, опираясь на детальную геоструктурную схему. Однако, как правило, такая детализация оказывается излишней, а для практических задач моделирования и расчетов может быть использован разрез водопроницаемости с укрупненными элементами неоднородности (вариант IV,
рис. 28). При составлении этого варианта обязательно участие, наряду с инженерами-геологами, гидротехников и специалистов, проводящих экспериментальные фильтрационные исследования методом моделирования.

Рис. 27. Фрагмент модели водопроницаемости
скального массива. Вариант III - интерпретация,
объединяющая варианты I и II
Рис. 28. Фрагмент модели водопроницаемости скального
массива. Вариант IV - схематизация для проектирования
и модельных исследований фильтрационного контура плотины
1 - q < 0,01 л/мин; 2 - q = 0,01 - 1,0 л/мин;
3 - q = 1,0 - 100 л/мин; 4 - q > 100 л/мин
Фрагмент модели водопроницаемости
основания плотины Стрыйского гидроузла
Гидроузел проектируется на р. Стрый в зоне развития Карпатского терригенного флиша верхнемелового возраста. Основание гидроузла сложено переслаивающимися песчаниками и аргиллитами, в меньшей степени алевролитами и гравелитами. Для этого района характерно развитие так называемых скибовых структурных форм, обусловленных системой взбросов и надвигов разных порядков и сопряженных с ними сбросов и сдвигов. В разрезе флиша выделяются три типа пачек слагающих их пород:
1) с преобладанием песчаников (средние значение

в интервале глубин от 5 до 100 м снижаются от 0,3 до 0,01 л/мин);
2) с преобладанием аргиллитов (соответствующие

снижаются от 1,8 до 0,02 л/мин);
3) с примерно равномерным чередованием песчаников и аргиллитов (соответствующие

снижаются от 5,0 до 0,023 л/мин).
В зонах тектонических нарушений и мелких складок водопроницаемость тех же пород повышается на 1,0 - 1,5 порядка величин. Исходя из установленных закономерностей изменения водопроницаемости с глубиной и опираясь на сравнительно небольшое число поинтервальных нагнетаний воды в скважины (около 140 опытов), был составлен разрез по оси плотины в показателях водопроницаемости
(рис. 29). При составлении этого разреза использованы также данные сейсморазведки, позволившие расчленить разрез на подзоны различного влияния выветривания и разгрузки пород в массиве.
Рис. 29. Фрагмент модели водопроницаемости массива
основания плотины Стрыйского гидроузла
1 - аллювий; 2 - тело оползня пород флиша;
3 - номера пачек пород флиша; 4 - тектонические нарушения;
5 - зоны сохранности пород флиша по данным сейсморазведки,
значения

, км/с; 6 - интервалы опытных нагнетаний воды
в скважины, значения коэффициента фильтрации Кф и удельного
водопоглощения q; 7 - изолинии q, л/мин; 8 - уровень воды
Фрагмент модели водопроницаемости основания плотины
Красноярской ГЭС
Основание плотины Красноярской ГЭС сложено гранитами Шумихинского интрузивного комплекса, вытянутого в широтном направлении и представленного двумя структурными разновидностями, различающимися по крупности зерна. Мелкозернистые граниты слагают

часть основания в русле и правобережном примыкании, среднезернистые граниты развиты в левой части русла и левобережном примыкании. Граниты прорваны серией магматических жил в основном северо-западного простирания с крутым падением. Они представлены инъекциями сиенитов, вогезитов и порфиритов. Большинство контактов жильных тел с вмещающими их гранитами сорваны тектоническими нарушениями разных порядков типа сбросо-сдвигов, ориентированными примерно параллельно жильным телам. Наиболее крупное тектоническое нарушение IV порядка, пересекающее долину р. Енисей под острым углом к оси плотины, именуется главной тектонической зоной.
В массиве основания выделены следующие структурно-петрологические элементы:
1. СПБ мелкозернистых гранитов вне зон влияния тектонических нарушений.
2. СПБ среднезернистых гранитов вне зон влияния тектонических нарушений.
3. Контакты жил порфирита и сиенита.
4. Участок III - между главной тектонической зоной и группой порфиритовых жил.
5. Главная тектоническая зона - приразрывный кливаж.
6. Участок II между главной тектонической зоной и сиенитовой жилой.
7. Участок IV - юго-западная часть группы порфиритовых жил.
8. Участок I - северо-восточнее сиенитовой жилы.
Статистическая обработка графиков
q(
h) применительно к указанным типам структурно-петрологических элементов (
рис. 12, д) свидетельствует о сильной водопроницаемости главной тектонической зоны и контактов жил порфиритов, вогезитов и особенно сиенитов. Влияние тектонических нарушений и жильных тел сказалось и на повышенной водопроницаемости гранитов обоих видов. Характер кривых
q(
h) (
рис. 12, д) выявил значительную мощность подзоны "Б" - сильного влияния разгрузки и выветривания (порядка 40 - 65 м), с водопроницаемостью в десятки-сотни литров в минуту на участках главной тектонической зоны и сиенитовой жилы. Для остальных частей массива для тех же глубин (40 - 65 м) значения
q = 1 - 10 л/мин; глубже (в интервале 65 - 100 м) -
q = 0,1 - 1 л/мин.
Указанные особенности распределения водопроницаемости потребовали применения уплотняющей цементации основания на глубину до 40 м, а в зоне главного тектонического нарушения и глубже.
Интерпретация результатов опытно-фильтрационных работ выявила наличие приоткрытых трещин пластовой отдельности почти на всю глубину разведки (до 100 м), причем в зоне влияния главного тектонического нарушения на глубине 30 - 40 м значения q = 100 - 200 л/мин. При вскрытии котлована обнаружены пологие трещины пластовой отдельности с шириной раскрытия, измеряемой сантиметрами. В подрусловой части долины такие приоткрытые трещины пластовой отдельности нередко оказывались хорошо промытыми без заполнителя в виде мелкозема, характерного для бортов долины.
Характер фильтрационной неоднородности скального основания Красноярской ГЭС отражен на разрезе по оси плотины (рис. 30). На этом рисунке знаком "вп" отмечены жилы вогезитов и порфиритов, а знаком "с" - жила сиенита. Данный разрез подтверждает глубокое залегание относительного водоупора, условно принимаемого по изолинии q = 0,01 л/мин, который при реализованной глубине разведки порядка 100 м в ряде случаев не достигнут. Это показывает, что противофильтрационная цементационная завеса на глубину порядка 70 м имеет характер висячей, хотя, как показал опыт эксплуатации Красноярской ГЭС, и является достаточно эффективной.
Рис. 30. Фрагмент модели водопроницаемости
скального основания Красноярской ГЭС
1 - тектонические зоны; 2 - пологие трещины; 3 - уровень
подземных вод; 4 - границы распространения зон различной
водопроницаемости; 5 - удельное водопоглощение, л/мин;
6, а - жилы вогезитов и порфиритов; 6, б - жилы сиенита;
7 - 13 - зоны различной водопроницаемости (q, л/мин);
7 - > 200 л/мин; 8 - 200 - 100 л/мин; 9 - 100 - 10 л/мин;
10 - 10 - 1,0 л/мин; 11 - 1,0 - 0,1 л/мин;
12 - 0,1 - 0,01 л/мин; 13 - < 0,01 л/мин
Приведенные выше фрагменты моделей водопроницаемости скальных массивов как оснований плотин иллюстрируют возможность достаточно подробной характеристики их фильтрационной неоднородности. Необходимо отметить, что для исследований на моделях, используемых при проектировании подземного контура плотин, требуется не только составление подобных разрезов (как поперечных, так и продольных по отношению к долине реки), но и погоризонтные срезы на различных отметках. На основе этих материалов возможно построение пространственных физических моделей водопроницаемости, охватывающих в плане не только основание, но и область обходной фильтрации в бортах долины реки.
Помимо приведенных выше разрезов водопроницаемости, примеры различных подходов (САО Гидропроекта и ВНИИГа) к схематизации для одного и того же объекта (Чарвакская ГЭС), разрезы и срезы водопроницаемости скальных оснований (Саяно-Шушенская ГЭС и Константиновский гидроузел) приведены в
Приложении 3, где обсуждаются вопросы о путях сосредоточенной фильтрации и зонах возможной суффозии.
ФИЛЬТРАЦИИ В СКАЛЬНЫХ МАССИВАХ
Движение подземных вод в скальных массивах
Фильтрационными исследованиями скальных массивов установлено [
36,
51,
56 и др.] следующее:
- в большинстве случаев фильтрация в трещиноватых скальных массивах соответствует ламинарному режиму;
- в зависимости от геометрии пространственной сети трещин, шероховатости их стенок и от действующего напорного градиента встречаются случаи турбулентного режима;
- критический напорный градиент, при котором происходит изменение режима потока в скальных породах, определяется
формулой (1.3);
- для оценки влияния шероховатости стенок трещин на гидравлическое сопротивление рекомендуется использовать два параметра (A и B), соответственно для ламинарного и турбулентного режимов фильтрации (табл. 1-1).
Таблица 1-1
Классификация трещин по степени
шероховатости их стенок
[51]
Характеристика шероховатости | Морфологический параметр шероховатости | Гидравлические параметры шероховатости, см |
A | B |
Практически гладкие стенки | 1,004 | 0,02 | 0,03 |
Малая шероховатость | 1,004 - 1,02 | 0,02 - 0,1 | 0,03 - 0,068 |
Пониженная шероховатость | 1,02 - 1,05 | 0,1 - 0,25 | 0,068 - 0,42 |
Средняя шероховатость | 1,05 - 1,1 | 0,25 - 0,5 | 0,42 - 1,7 |
Повышенная шероховатость | 1,1 - 1,2 | 0,5 - 1,0 | 1,7 - 6,8 |
Высокая шероховатость | более 1,2 | более 1,0 | более 6,8 |
Гидравлические сопротивления установившемуся
движению воды в трещинах (по В.Н. Жиленкову)
На основании градиент-скоростных характеристик
(рис. 1-1), полученных при изучении процесса фильтрации воды в трещинах с различным раскрытием

и разной шероховатостью их стенок, установлено, что средние скорости движения воды в трещинах
при ламинарном режиме

(1.1)
при турбулентном режиме

(1.2)
Рис. 1-1. Градиент-скоростные характеристики потока
воды в трещинах с шероховатыми стенками (образец
из бетона на гранитном щебне крупностью 15 - 20 мин),
при A = 1,1 см и B = 8,5 см. Температура воды
20 °C (по В.Н. Жиленкову)
Важнейшей особенностью процесса фильтрации воды в трещинах является то, что при возрастании градиента напора сверх так называемого "критического" его значения ламинарный режим сравнительно быстро сменяется турбулентным. Выражения критических градиента напора и скорости течения воды в трещине следующие:

(1.3)

(1.4)
Из
(1.3) следует, что при увеличении раскрытия очень тонких трещин, для которых параметры A и B много больше

, критический градиент быстро уменьшается, практически обратно пропорционально четвертой степени раскрытия трещины. Соответственно, критическое число Рейнольдса

(1.5)
Характер изменения Reк в зависимости от гидравлического параметра шероховатости A показан на рис. 1-2.
Рис. 1-2. Графики изменения критического числа Рейнольдса
потока воды в трещине в зависимости от гидравлического
параметра шероховатости ее стенок
(при tв = 20 °C) (по В.Н. Жиленкову)
Гидравлические параметры A и B трещины можно определить по двум точкам на градиент-скоростной характеристике:
в области ламинарного режима

(1.6)
в области турбулентного режима

(1.7)
В закарстованных породах турбулентное движение часто развивается при небольших градиентах напора. Для свободных потоков воды и вблизи подошвы зоны аэрации закарстованных пород и для "подвешенных" закарстованных горизонтов характерно турбулентное движение.
В скальных трещиноватых породах с трещинами различного раскрытия и проводимости переход от ламинарного режима к турбулентному постепенный, так как турбулентное движение развивается сначала в трещинах с большим раскрытием.
У пород с одинаковыми параметрами трещин переход от одного режима к другому может быть резким без выраженной промежуточной зависимости. В природе подобные породы встречаются редко. К ним могут быть отнесены некоторые основные эффузивы четвертичного возраста, базальты и закарстованные породы с незаполненными карстовыми каналами.
Условия суффозии рыхлого и связного заполнителя
полостей трещин и карста
Естественный или преобразованный в результате строительства фильтрационный поток, воздействуя на заполнитель трещин или других пустот, может, с одной стороны, размыть, растворить, вынести его на поверхность или перераспределить в трещиноватой среде массива. С другой стороны, незаполненные полости могут быть закольматированы привнесенным извне песчано-глинистым материалом или "залечены" выпавшими из раствора минеральными новообразованиями.
Следствием перечисленных взаимопротивоположных процессов - суффозии и кольматации, растворения и выпадения из растворов осадков, в скальных массивах могут быть существенные изменения условий фильтрации. В этом плане особенно большое значение имеет суффозия рыхлого и связного минерального заполнителя трещин, поскольку этот процесс, в отличие от растворения, может происходить довольно быстро.
Условия возникновения суффозии определяются наличием соответствующих физико-механических, химических и гидравлических факторов. К первым из них относятся физико-механические и химические свойства заполнителей, которые во многом зависят от генезиса материала, заполняющего трещины и другие пустоты.
Фильтрационно-прочностные типы заполнителей и взаимосвязь
их с генезисом и другими природными компонентами
Собственно минеральный заполнитель с точки зрения водоустойчивости и фильтрационной прочности можно разделить на две основные группы.
1. Заполнитель, цементирующий породу настолько, что практически трещина залечивается полностью равнопрочным материалом. Примером такого заполнителя являются жилы магматических пород, пегматитовые, аплитовые и т.п. в любых вмещающих их породах, метасоматические жильные образования, например, кальцитовые жилы в известняках и т.п.
2. Заполнитель, не цементирующий породу в зоне трещин. К таким заполнителям относятся некоторые породы тектонического происхождения, корочки разных минералов-продуктов выветривания типа железистых и марганцевых соединений, привнесенный рыхлый материал аллювиально-делювиального или аллювиального происхождения, который в разной степени закупоривает полости открытых трещин, в той или иной мере препятствуя движению по ним воды.
Распространение отдельных типов заполнителей находится в зависимости от целого ряда геологических, геоморфологических, гидрогеологических и климатических факторов. В табл. 1-2, составленной на генетической основе, заполнители трещин и карстовых полостей классифицированы по их фильтрационной прочности.
Таблица 1-2
Предварительная классификация заполнителей
полостей трещин и карстовых полостей в скальных
основаниях гидротехнических сооружений
Типы заполнителей по фильтрационной прочности | Цементирующие породы | Термонеустойчивые, способные к механической суффозии | Нецементирующие породы рыхлые и связные | Способны к перемещению в зависимости от вязкости |
Нерастворимые в воде | Водорастворимые, способные к химической и механической суффозии | способны к механической суффозии |
слабо | сильно | образованные на месте | привнесенные извне |
Генетические группы заполнителей | Жилы магматические, метасоматические и гидротермальные | Жилы гидротермальные и гидатогенные | Жилы и вкрапления гидатогенные | Жилы и вкрапления криогенные | Тектонические | Элювиальные | Делювиальные | Аллювиальные | Пролювиальные | Ледниковые и флювиогляциальные | Эоловые | Каустобиолиты |
Литологический состав заполнителей | Жильные магматические породы. Рудные и безрудные жилы, кварцевые и из других нерастворимых в воде минералов. Вторичные жилки, заполненные водонерастворимыми минералами: хлоритоидами, эпидотом, палыгорскитом, окислами железа и т.п. | Жилы кальцита, арагонита, доломита и др. карбонатных соединений чистых и в сочетании с хлоритоидами и др. нерастворимыми минералами | Жилы ангидрита, гипса, каменной соли и др. сильно растворимых в воде сульфатных и галоидных солей, щелочей и щелочных земель. Встречаются в виде вкраплений в рыхлых и связных заполнителях | Чистый лед и лед, цементирующий рыхлый заполнитель | Разные фракции брекчий трения смешанных пород разного состава | Дресва и глинистые минералы сапролитов: каолинит, монтмориллонит и др. Мука карбонатных пород. Дресва и др. фракции продуктов выветривания разных пород | Галька, гравий, пески, супеси, суглинки, глины различного минералогического и гранулометрического состава, состоящие из перемещенных продуктов выветривания разных типов - бокситового, латеритового и др., характер которых определяется климатическими условиями. В аридном климате возможны вкрапления сильно водорастворимых солей | Лессы, пески мелких фракций | Озокерит, битумы, нефти (в нефтеносных районах). Каменные угли и гумус в рыхлых и связных грунтах заполнителей |
Степень неоднородности заполнителей | Неоднородны в приконтактовых зонах вмещающих пород | Мономинеральные, однородны; полиминеральные, неоднородны | Жильные образования, чаще однородные. Вкрапления неоднородны | Часто неоднородны | Сильно неоднородны | Неоднородные несортированные | Менее неоднородные, более сортированные | Неоднородные | Сравнительно однородные | Неоднородные |
Взаимосвязь с зонально-блочным строением массива | Влияют на характер зонально-блочного строения скальных массивов | Нецементирующие породу рыхлые и связные заполнители распространены на более значительную глубину в структурно-петрологических зонах (СПЗ), особенно в тектонических, и в меньшей степени в мелких трещинах СПЗ и СПБ | Имеется |
Взаимосвязь с зоной разгрузки и выветривания | Влияют на процессы разгрузки и выветривания | Нецементирующие породу заполнители распространены преимущественно в подзонах А, Б, в меньшей степени в подзоне В и еще меньше в подзоне Г зоны влияния процессов разгрузки и выветривания | Озокерит и битумы в подзонах А - Г. Нефть глубже |
Взаимосвязь с геоморфологией | Влияют на развитие рельефа | В бортах долин рек. В руслах рек талики | Влияют на развитие рельефа | Отчетливые связи с формами рельефа | Явной связи не наблюдается | Не имеется |
В основном в бортах долин | В основном на склонах | Под террасами и руслами рек | В равнинах предгорий | В отриц. формах рельефа |
Взаимосвязь с климатом | Не имеется | С аридным климатом в древности и в настоящее время | С арктическим и субарктическим климатом | Влияет на развитие рельефа | С влажным, умеренным, тропическим и субтропическим климатом | Не имеется | Не имеется | Преимущественно с аридным климатом | С арктическим на континентах и высокогорьях | С аридным климатом | Не имеется |
Взаимосвязь с гидрогеологией | Влияют на гидрогеологические условия | Нецементирующие породу заполнители распространены преимущественно в зоне аэрации, в меньшей степени в зоне колебаний зеркала грунтовых вод и еще меньше в зоне постоянного водонасыщения | Имеется |
Взаимосвязь с водопроницаемостью, деформируемостью и прочностью скальных массивов | Влияют на водопроницаемость, деформируемость скальных пород в массиве и на сопротивление сдвигу по трещинам | Способность к суффозии нецементирующих породу заполнителей усиливается с повышением водопроницаемости и фильтрационной неоднородности массива и самого заполнителя и определяется местными градиентами фильтрации и режимом фильтрационного потока, особенно в местах, где трещины и карст заполнены рыхлым материалом лишь частично. Существенно повышают деформируемость скальных массивов и сильно снижают сопротивление сдвигу по трещинам | Имеется |
С этой точки зрения среди цементирующих заполнителей выделяются сильно- и слабоводорастворимые, водонерастворимые и термонеустойчивые, а нецементирующие рассматриваются как потенциально способные к механической суффозии. Далее наиболее часто встречаемые генетические разности заполнителей группируются в пределах выделенных типов, указываются наиболее распространенные составы пород, степень однородности, отражаются взаимосвязи с зонально-блочным строением массива, зонами выветривания, геоморфологией, климатом и гидрогеологическими условиями. Приводится качественная оценка суффозионной устойчивости.
Для оценки фильтрационной прочности материала практическое значение имеет группа потенциально суффозионных нецементирующих породу заполнителей. Для них характерны следующие взаимосвязи с различными природными условиями и строением скальных массивов.
Взаимосвязи с зонально-блочным строением, выражающимся в преимущественном развитии этих заполнителей в зонах тектонических нарушений и в меньшей степени в мелких трещинах в зависимости от степени раскрытия полостей в подзонах разгрузки естественных напряжений и физико-химического выветривания. Кольматаж трещин имеет место в основном в подзонах А и Б, в меньшей степени - в подзоне В и практически отсутствует в условно сохранных породах подзоны Г. В зонах тектонических нарушений кольматаж подзон сместителя перетертым материалом продолжается и в подзоне Г, так как его развитие ограничивается размерами самого тектонического нарушения.
Взаимосвязи с геоморфологией выражаются в характере распространения различных генетических типов привнесенных извне рыхлых и связных грунтов заполнителей преимущественно к соответствующим элементам рельефа. Так, делювий приурочен к склонам, аллювий - к руслам рек и террасам долин, элювий - к водоразделам, цокольным террасам и пологим склонам, пролювиальные заполнители связаны с конусами выноса горных рек на равнинах предгорий и т.п. Приуроченности эоловых заполнителей к формам рельефа не наблюдается, так как они, рассеиваясь в воздухе, распространяются по существу повсеместно.
Проникновение заполнителей разного генезиса, постепенно вмываемых атмосферными водами по трещинам, отмечается на довольно значительную глубину и нередко встречается и под руслами рек.
Взаимосвязи генезиса заполнителей с древними и современными климатическими поясами выражаются достаточно четко для некоторых из них
(табл. 1-2).
Взаимосвязи с гидрогеологическими условиями очень сложны и выражаются в переносе всех видов цементирующих и нецементирующих породу заполнителей, особенно глинистых частиц, по водопроводящим трещинам подземными водами в виде взвесей и растворов. Нецементирующие породу заполнители распространены преимущественно в зоне аэрации, в меньшей степени - в зоне колебаний зеркала грунтовых вод и еще меньше - в зоне полного водонасыщения.
Взаимосвязи с водопроницаемостью также несомненны и сложны в результате многообразия условий вымыва и выноса материала, которые часто принимают характер неравномерной миграции мелких частиц, переносимых, а местами аккумулируемых фильтрационными потоками разных режимов - турбулентным или ламинарным. Способность к суффозии нецементирующих породу заполнителей в общем усиливается с повышением водопроницаемости скальных пород и степени фильтрационной неоднородности массива и самого заполнителя и определяется местными градиентами и скоростями фильтрации, а также режимом фильтрационного потока, особенно в местах, где полости трещин и карстовые полости заполнены рыхлым материалом лишь частично. В областях развития мощной многолетней мерзлоты, до образования последней, условия распространения нецементирующего породу заполнителя, а также охарактеризованные выше взаимосвязи аналогичны вышеизложенным. Образование и форма выполнения трещин льдом в условиях сезонной или многолетней мерзлоты усложняет или прекращает фильтрацию воды. Однако в случае строительства подпорных гидротехнических сооружений по схеме оттаивания вопросы оценки возможности суффозии минерального нецементирующего породу заполнителя могут и должны рассматриваться по той же системе, что и в районах, свободных от многолетней мерзлоты.
Таким образом, изучение происхождения заполнителей полостей трещин и знание их взаимосвязей с комплексом природных условий дают основу для количественного изучения общих и частных признаков суффозионности заполнителей трещин и других пустот в скальных массивах.
Основные виды механической суффозии и критерии оценки
фильтрационной прочности заполнителей полостей и трещин
Факторы, влияющие на возникновение суффозии, многообразны. Однако ее развитие предусматривает два обязательных неотъемлемых условия: наличие фильтрации и материала, который может подвергаться выносу. Поэтому главными факторами, влияющими на прогресс суффозии, являются: трещиноватость, кавернозность и другая пустотность, а именно частота трещин, ширина и протяженность их полостей, разветвленность, морфология стенок трещин, степень их заполнения и т.п., а также их пространственное расположение по отношению к фильтрационному потоку. Влияние перечисленных особенностей и параметров трещиноватости на развитие суффозии сказывается не непосредственно, а через фильтрационные и гидравлические параметры.
В целом, наиболее опасными в суффозионном отношении считаются протяженные трещины, раскрытые в результате процессов разгрузки и выветривания, ориентированные по течению реки или под острым углом к нему, проходящие в скальном основании из верхнего бьефа плотины в нижний.
Наиболее обоснованной классификацией видов механической суффозии в заполнителях трещин и карстовых пустот скальных массивов является классификация В.Н. Жиленкова [
20,
56]. В зависимости от направления фильтрационного потока по отношению к направлению трещин выделяются 6 видов суффозии
(рис. 1-3).
Рис. 1-3. Схемы проявления шести видов механической
суффозии в скальных массивах (по В.Н. Жиленкову)
Схема I - случай проявления внутренней суффозии в материале дробления, заполняющем тектоническое нарушение в скальном массиве, при направлении фильтрационного потока поперек простирания этого нарушения.
Схема II - то же, но при направлении фильтрационного потока вдоль нарушения.
Схема III - случай внешней суффозии мелкозернистого заполнителя трещины в виде поверхностного его размыва фильтрационным потоком в открытой щели между поверхностью заполнителя и стенкой вмещающей трещины (например, случай размыва заполнителя трещины бортового отпора).
Схема IV - случай бокового размыва мелкозернистого заполнителя или глинистого прослойка в устье оперяющих его открытых трещин (например, случаи размыва глинистых прослоек в трещиноватых известняках, песчаниках и т.д.).
Схема V - случай эрозионного размыва стенок полых трещин в слабосцементированных полускальных породах.
Схема VI - случай выдавливания из крупной трещины заполнителя, находящегося в текучепластичном состоянии.
В свою очередь в зависимости от механического состава заполнителя, его однородности, сортированности и слоистости для I и II видов механической суффозии - внутреннего вымыва частиц заполнителя, выделяется три ее разновидности
(рис. 1-4):
(I - II), а - одновременный вымыв частиц по всему пропластку материала, заполняющего трещину, происходит при наличии разнородного по механическому составу и однородного по компоновке зерен заполнителя;
(I - II), б - вымыв со стороны контакта более мелкозернистого материала с перемещением частиц в пропласток с более крупнозернистым составом, происходит в случае наличия двух контактирующих пропластков заполнителя, разнородных по механическому составу;
(I - III), в - продольный размыв слоисто-неоднородного заполнителя: мелкозернистый пропласток заполнителя размывается в месте его сопряжения с более крупнозернистым пропластком, в котором проходит турбулентный фильтрационный поток.
Рис. 1-4. Схемы трех разновидностей внутренней
суффозии заполнителя (по В.Н. Жиленкову)
(I - II) а - общая внутренняя суффозия в однородной
по компоновке зерен заполнителе трещин; (I - II) б - местная
суффозия внутри однородного пласта заполнителя;
(I - III) в - контактный размыв мелкозернистого
пропластка в слоистом заполнителе
В соответствии с перечисленными видами и разновидностями суффозии при оценке суффозионной устойчивости заполнителей трещин предъявляются определенные требования
[56] к их физико-механическим характеристикам и к гидравлическим параметрам (напорным градиентам и скоростям движения воды).
Необходимым условием внутренней суффозии
(рис. 1-4) является возможность перемещения мелких частиц в поровых каналах материала заполнителя, что может быть выражено неравенством
dв < d0, (1.8)
где
dв - размер выносимых частиц;
d0 - диаметр пор, при значении критического градиента, выраженного неравенством
[56]:

(1.9)
где
g - ускорение свободного падения;

- поправочный коэффициент, учитывающий форму порового канала, равный от 0,35 до 0,95 в зависимости от окатанности материала;

- безразмерный коэффициент, равный:

(1.10)
В результате внутренней суффозии заполнитель считается суффозионно устойчивым, если суммарное содержание в нем частиц с размерами, меньшими d0, составляет по массе не более 5%.
Для разновидности (I - II), б местной суффозии дополнительным критерием устойчивости материала заполнителя является условие
d0 с < d70 м, (1.11)
где d0 с - диаметр пор скелета; d70 м - диаметр мелкозема, составляющего в массе заполнителя 70%.
В этом случае местная суффозия быстро затухает во времени, и поэтому не представляет опасности.
Контактный размыв (I - II) и III имеет характер эрозии и проявляется лишь при турбулизации фильтрационного потока в крупнозернистом пропластке. Поэтому контактный размыв будет отсутствовать, если скорость фильтрации в этом пропластке не превысит критического ее значения, вычисленного по формуле
[56]:

(1.12)
где n - пористость заполнителя.
Как следует из (1.12), значение

увеличивается с уменьшением диаметра пор
d0.
Расчетное значение критического градиента напора в крупнозернистом пропластке принимается равным

(1.13)
IV вид суффозии - боковой размыв мелкозернистого заполнителя в устьях оперяющих разлом открытых трещин, возможен лишь при турбулизации фильтрационного потока в этих трещинах. Критериями этого вида суффозии являются величины критических градиентов и критических скоростей, определяемых по формулам
[56]:

(1.14)

(1.15)
Фильтрационная прочность мелкозернистого заполнителя и глинистых прослоек по отношению к боковому размыву в устьях трещин с раскрытием

обеспечивается при любых значениях градиента напора, если в заполнителе имеются равномерно распределенные по размерам частицы крупнее

, процентное содержание которых в целом должно быть не ниже

оперяющих трещин, выраженного в миллиметрах.
V вид - эрозионный размыв стенок трещин в массиве, характерен для скальных пород с интенсивно выраженной каймой выветривания и для слабосцементированных пород, например, для песчаников на глинистом или известковистом цементе.
Эрозионный размыв стенок не произойдет, если

и
Rсж > 1 МПа,
где

- скорость движения воды в трещине;
Rсж - прочность водонасыщенной вмещающей породы на осевое сжатие.
VI вид суффозии - фильтрационный выпор глинистого заполнителя в устьях вмещающих трещин определяют, сопоставляя прогнозируемые градиенты напора в направлении устья трещины с критическим, при котором произойдет выпор
[56]:

(1.16)

(1.17)
где

- объемная масса выпора;
Rр - долговременная прочность на разрыв заполнителя, МПа;

- коэффициент пористости мелкозема;

- коэффициент пористости мелкозема на границе его текучести.
Из рассмотренных видов суффозии в практике чаще всего встречаются I, II и IV ее виды. Однако следует иметь в виду, что разработанная классификация видов суффозии является упрощенной. Ее назначение призвано дать схематическую основу для оценки фильтрационной прочности заполнителей. Природное же и наложенное техническое многообразие взаимодействия гидравлических схем с характером трещиноватости и различной компоновкой, составом материала заполнителя трещин и других пустот трудно охватить какой-либо схемой.
Кроме того, суффозия представляет собой сложный развивающийся во времени процесс, состоящий из ряда стадий, переходящих одна в другую, часто включающий все перечисленные ее виды. Поэтому в практике, при оценке суффозионной устойчивости заполнителя трещин или карстовых пустот, необходим индивидуальный подход с ориентацией на инженерно-геологические особенности, присущие данному скальному основанию, а также с учетом динамики суффозионного процесса.
МЕТОДЫ ИЗУЧЕНИЯ ВОДОПРОНИЦАЕМОСТИ СКАЛЬНЫХ ОСНОВАНИЙ ПЛОТИН
Существуют косвенные и прямые методы изучения водопроницаемости скальных оснований, последние, в свою очередь, включают в себя полевые и лабораторные методы.
К косвенным методам относятся методы предварительной качественной или количественной
(Приложение 1) оценки водопроницаемости на основании данных о геологическом строении участка, в том числе о параметрах трещиноватости, о режиме бурения и промывки, дешифрирования аэрофотоснимков и анализа существующих взаимосвязей между водопроницаемостью и природными элементами ландшафта, а также метод экстраполяции параметров проницаемости изученных скальных оснований - аналогов.
Косвенные методы применимы на первых стадиях изысканий, а также используются для целенаправленного размещения опытов при дальнейшем изучении фильтрационных свойств скальных оснований на более поздних этапах проектирования.
Прямые методы изучения водопроницаемости скальных пород включают в себя полевые и лабораторные опыты, с помощью которых непосредственно получают фильтрационные параметры скального основания, сложенного той или иной породой.
Наиболее представительными являются полевые методы определения фильтрационных параметров, так как проводятся в естественных условиях сложного природного комплекса, который при лабораторных испытаниях из-за многофакторности создать невозможно.
Перечень основных видов опытно-фильтрационных методов, используемых при изучении фильтрационных свойств скальных оснований, их применение, условия проведения опытов, получаемые параметры приведены в табл. 2-1.
Табл. 2-2 содержит рекомендации по ориентировочным объемам опытных гидрогеологических работ на различных стадиях проектирования.
Таблица 2-1
Основные виды опытно-фильтрационных работ,
применяемых при изучении фильтрационных свойств горных
пород, слагающих скальные основания
(по Е.Е. Керкису с дополнениями М.С. Кравец)
Виды опытных работ | Условия проведения опытов | Примерная продолжительность опытов | Получаемые параметры | Назначение опытных работ |
Водно-фильтрационные методы |
Откачки пробные | Из одиночных скважин или шурфов | 1 - 7 сут | Удельный дебит, водопроводимость, коэффициент фильтрации, критический градиент (при отклонениях от закона Дарси) | При предварительных исследованиях |
Из кустовых скважин | 2 - 10 сут | То же, но более точно, и коэффициент действительной скорости, пустотности для безнапорных вод | Для неглубоких горизонтов в стадии детальных исследований |
Откачки опытные | Из одиночных скважин или шурфов | 6 - 24 сут | Те же параметры | Для глубоких горизонтов |
Из кустовых скважин | до 30 сут | Те же параметры, но более точно, и критический градиент, параметры анизотропии в однородных породах | Для крупного гидротехнического строительства и ирригации, прогноза водопритоков в горные выработки |
Откачки опытно-эксплуатационные | Из одиночных и кустовых скважин | До нескольких месяцев | Те же параметры, что и при опытных откачках | Для выяснения условий длительной работы эксплуатационных водопонизительных и других скважин |
Нагнетания и наливы | Суммарные для одиночных скважин | До 10 сут; 25 - 30 час на 1 зону | Те же параметры, что и при откачках | Для гидростроительства; применяются в комплексе с поинтервальными нагнетаниями, проводятся для предварительной оценки приемистости поглощающих скважин |
Поинтервальные | До 1 - 2 сут | Удельные водопоглощения. Для пород, насыщенных водой, - ориентировочно коэффициент фильтрации | То же; повсеместно применяются в трещиноватых породах |
Длительные нагнетания | До нескольких месяцев | Различные параметры | Для выяснения условий длительной работы поглощающих скважин |
Нагнетания по схеме Люжона | В скважины, при давлении 1 МПа | 10 мин на каждый интервал, по видоизмененной схеме - 2 - 3 час | Водопоглощение | Для выяснения фильтрационной прочности скального основания |
Откачки-нагнетания | Откачка из опытной скважины и закачка всей воды в поглощающую скважину. Желательно наличие наблюдательной скважины | 0,5 - 2 сут | Параметры установившейся фильтрации | Для изучения водопроницаемости при наличии линз, очень неоднородных в плане пород и таликов (естественных и искусственных) в мерзлых породах |
Расходометрия | Измерение расхода воды, движущейся по стволу скважины на различной глубине при откачках или нагнетаниях | 0,3 - 1 сут | Расходы | Для предварительной оценки водопроницаемости слоев и зон при исследовании слоистых и неоднородных по вертикали горных пород, для трещиноватых и закарстованных пород. Устанавливает положение отдельных трещин и трещиноватых зон с высокой проводимостью, а также карстовых каналов. Позволяет наметить интервалы нагнетаний и откачек, дополняет последние |
Наливы и шурфы | Наливы в шурфы, пройденные из горных выработок или с поверхности | 1 - 2 сут | Коэффициент фильтрации | Для изучения водопроницаемости пород в зоне аэрации |
Газо-фильтрационные методы |
Нагнетания воздуха | Измерение расхода и давления воздуха, нагнетаемого в необводненные породы на опытных кустах | 6 - 8 час | Коэффициент фильтрации, коэффициент пьезопроводности и удельное водопоглощение | Для изучения проницаемости пород в зоне аэрации и в толще многолетней мерзлоты |
Измерение понижения давления воздуха, нагнетаемого в шпуры | 2 - 4 час | Удельная воздухопроницаемость ("вот" = 1 ати/мин·м - условная величина или 1,7·10-3 МПа/см) | Для изучения проницаемости в зоне аэрации в трещиноватых породах в комплексе с геофизическими, фильтрационными и геотехническими исследованиями |
Индикаторные методы |
Солевые, с красителями | При откачках, нагнетаниях и естественном режиме из кустовых, реже одиночных скважин | В зависимости от скорости фильтрации | Коэффициент действительной скорости, направление фильтрации, параметры анизотропии | При детальных исследованиях основания, особенно в сильно анизотропных породах (в закарстованных и трещиноватых массивах) при  ; для суждения о суффозионной устойчивости основания |
Радиоактивные методы | В скважинах | | Те же, что и в методе с красителями | То же, что и выше при  |
Геофизические методы |
Резистивиметрия | В обводненных одиночных и кустовых скважинах и при наливах в сухие породы | 0,5 - 10 час 2 - 12 час | Скорость и коэффициент фильтрации | Для расчленения фильтрационного разреза при  |
Метод повторных боковых каротажных зондирований (ПБКЗ) | В необсаженных одиночных скважинах, пробуренных без глинистого раствора или хорошо промытых | | Удельный дебит, коэффициент фильтрации | В основном для опробования скальных пород |
Метод заряженного тела (МЗТ) | В одиночной скважине глубиной до 80 - 100 м, вскрывшей воду небольшой минерализации с незначительным содержанием металлов и коллоидного материала | | Коэффициент действительной скорости и направление фильтрации, параметры анизотропии | Для детализации фильтрационных разрезов в скальных, анизотропных породах и получения данных для расчетов фильтрационной прочности скальных оснований при  |
Температурные методы исследований | В одиночной скважине при самоизливе или откачке | 10 - 30 сут | Погоризонтные дебиты скважин и коэффициенты фильтрации | Для детализации фильтрационных разрезов. В особенности при наличии притока термальных или других разнотемпературных вод |
Таблица 2-2
Ориентировочный объем опытных гидрогеологических работ
для обоснования проектирования плотин высотой более
50 м при различных гидрогеологических условиях
(простых, сложных, очень сложных)
- по Е.Е. Керкису с дополнениями
Показатели объемов работ | Предварительная схема (стадия ТЭО) | Основная модель (проект) | Уточненная модель (рабочая документация) | Примечание |
простые | сложные | очень сложные | простые | сложные | очень сложные | простые | сложные | очень сложные |
Число опытных скважин глубиной порядка 1,5H | 1 - 3 | 3 - 10 | 10 | 3 - 5 | 10 - 20 | 30 | 5 - 10 | 20 - 40 | 50 | 1. Простые условия - изучаемые горизонты представлены однородными или квазиоднородными пористыми или равномерно-трещиноватыми породами, водопроницаемыми или слабоводопроницаемыми; тектонические нарушения отсутствуют. 2. Сложные условия - изучаемые горизонты и комплексы представлены дислоцированными, водопроницаемыми и сильноводопроницаемыми; тектонические нарушения с очень высокой водопроницаемостью отсутствуют. 3. Очень сложные условия - изучаемые толщи представлены разнообразными породами, в том числе закарстованными и трещиноватыми породами; породы могут быть сильнодислоцированными и пересеченными нарушениями с высокой водопроницаемостью; характеризуются крайней или сильной неоднородностью по водопроницаемости. |
Ориентировочное число опытных скважин на 1 км2 исследуемой площади | 0,4 - 5 | 5 - 30 | 30 | 5 - 15 | 20 - 50 | 50 - 100 | 15 - 30 | 50 - 100 | 150 |
Отношение числа опытных скважин к общему числу разведочных скважин, % | 20 - 40 | 40 - 60 | 60 | 30 - 40 | 50 - 60 | 60 | 40 - 50 | 60 - 70 | 70 |
Среднее расстояние между разведочными скважинами, м | 500 - 200 | 200 - 100 | 100 | 200 | 100 | 50 | 100 | 50 | 40 |
Методика проведения традиционных опытно-фильтрационных работ детально изложена в рекомендациях и инструкциях [
24,
25,
43,
52,
57 и др.], поэтому в данной работе не рассматривается. Краткий обзор возможностей геофизических методов при гидрогеологических исследованиях приводится ниже.
Изучение гидрогеологических характеристик
скальных массивов геофизическими методами
Задачи, решаемые методами геофизики
К числу гидрогеологических характеристик массива, определяемых геофизическими методами, относятся: положение уровня подземных вод, водоносных зон в массиве, минерализация вод, скорость и направление движения подземных вод, значения коэффициента фильтрации и удельного водопоглощения.
1. Возможность определения уровня подземных вод методами сейсморазведки или электроразведки по наблюдениям на дневной поверхности зависит от величины изменения скорости распространения упругих колебаний в породах или их электрического сопротивления при переходе породы от состояния естественной влажности (выше уровня подземных вод) к водонасыщенному (ниже уровня подземных вод).
Задача может быть решена сейсморазведкой (метод преломленных волн, метод рефрагированных волн) и электроразведкой (ВЭЗ). При этом:
а) сейсморазведка и электроразведка (при достаточной мощности водоносного слоя) уверенно выделяют уровень подземных вод в рыхлых отложениях и определяют глубину его залегания;
б) скальных породах уровень подземных вод может быть определен геофизическими методами лишь в условиях сильнопористых (известняки, песчаники) или повышенно трещиноватых пород, причем для электроразведки существенную роль играют наличие или отсутствие покрывающих отложений (в случае мощной толщи рыхлых отложений задача не решается электроразведкой), а также минерализация подземных вод (в условиях высокой минерализации дифференциация разреза по сопротивлениям более четкая). Сейсморазведкой задача может быть решена при относительно низких значениях скорости продольных волн, характерных для сухого массива. Ориентировочно можно считать, что при значениях скорости продольных волн в сухом массиве более 3,5 км/с (песчаники и алевролиты) и более 4,5 км/с (изверженные, метаморфические породы, известняки) задача выявления уровня подземных вод в скальных породах сейсморазведкой не решается.
2. Поиски и разведка водоносных зон (трещинных вод) в монолитных скальных породах ведутся чаще всего различными модификациями электропрофилирования, электрозондирования, естественного поля, сейсморазведки. При электропрофилировании и электрозондировании задача сводится к выявлению в опорном горизонте участков пониженного сопротивления. Для сейсморазведки - это задача выделения зон повышенной трещиноватости в поверхности скальных пород, характеризующихся низкими значениями скоростей распространения продольных и поперечных волн и высоким значением эффективного коэффициента Пуассона (как правило, 0,35 и более). Метод естественного электрического поля позволяет установить зоны притока воды к скважинам (зоны повышенной трещиноватости) при откачках.
3. Электрометрические измерения минерализации воды по ее удельному сопротивлению, определяемому при резистивиметрии, частично заменяют проводимые в массовом количестве гидрохимические анализы. Резистивиметрия при этом проводится в водоемах (озера, реки, ручьи), в скважинах, а также при лабораторном анализе проб из источников и скважин. Для расчетов минерализации учитывается температура воды, в которой проводился замер сопротивления. Однако резистивиметрия применяется не как самостоятельный метод, а в комплексе с гидрохимической съемкой. Если неизвестен относительный состав (класс и группа) изучаемой воды, погрешность определения минерализации электрометрическим методом достигает 8 - 19%. Если известен, то 4 - 8%.
4. Скорость и направление движения подземных вод определяются геофизическими методами, использующими маркирование естественного или искусственного характера (физическое или химическое), а именно:
а) модификациями метода заряженного тела (по одной скважине); в скважине, в области значительных водопоглощений создают насыщенный раствор поваренной соли; затем, через равные промежутки времени, снимают на поверхности линии равных потенциалов вокруг устья; по их смещению определяют направление и скорость подземного потока;
б) методом естественного электрического поля; при неглубоком залегании водного потока его направление определяется по замерам потенциала поля на дневной поверхности;
в) с помощью резистивиметра (исследование кустов скважин); в одной из скважин куста подсаливают воду и выполняют резистивиметрию через определенные промежутки времени в остальных скважинах куста; по одиночной скважине резистивиметрией можно определить скорость фильтрации (без направления);
г) методом фотоэлектрометрии; в скважину вводят окрашенную жидкость или красящее вещество, после чего при помощи фотоколориметра снимаются кривые изменения концентрации красителя; определение направления движения подземных вод (в скважине) осуществляется путем фотографирования выноса струи красителя на фоне магнитной стрелки;
д) радиоактивными методами (по одной скважине или при исследовании кустов скважин);
е) термометрическим методом; в скважине осуществляется подогрев воды, а на поверхности ведутся измерения с помощью термочувствительных электродов, отмечающих колебания сопротивления порядка 10-5 - 10-6 Ом. По круговым диаграммам судят о скорости течения подземных вод.
5. Коэффициент фильтрации и удельное водопоглощение горных пород могут быть оценены путем прямого (специальные исследования) или косвенного (по корреляционным связям) определения методами электрокаротажа, сейсмоакустики, радиоактивного каротажа.
Из геофизических методов прямого определения коэффициента фильтрации и водопроводимости наиболее эффективным и простым является метод расходометрии, в частности, предложенный И.И. Гринбаумом метод послойного определения коэффициента фильтрации с помощью резистивиметра при наливах. В засоленную скважину производят равномерный налив воды (до определенного уровня, который в дальнейшем сохраняется неизменным). По мере налива воды в скважину граница пресной и подсоленной воды опускается, что фиксируется кривыми сопротивлений, снимаемыми в процессе налива. Скорость опускания границы пресных и соленых вод зависит от водопроницаемости пластов и используется для определения коэффициента фильтрации.
Возможность использования косвенных способов определения коэффициента фильтрации и удельного водопоглощения горных пород методами геофизики основана на: а) существовании связи фильтрационных свойств пород со степенью и характером общей пористости (пористости и трещиноватости) пород, б) влиянии трещиноватости на геофизические параметры (скорости распространения упругих волн, их затухание, электрическое сопротивление, поглощение радиоактивного излучения и т.д.). На первых стадиях изысканий фильтрационные свойства можно оценить, используя описанные в литературе корреляционные связи, уточняя последние в дальнейшем для пород исследуемого массива. Косвенные способы определения водопоглощения горных пород обсуждаются ниже.
Оценка водопроницаемости массивов по значениям
скорости упругих волн и электрического сопротивления
Сейсмические методы разведки позволяют количественно оценить пористость и трещиноватость массива скальных пород (в пределах квазиоднородных по характеру заполнителя его частей). Также пористость и трещиноватость массива можно определить методом электрокаротажа.
И в той мере, в какой пористость и трещиноватость обусловливают водопроницаемость пород, следует ожидать корреляционную связь показателей фильтрационных свойств с показателями упругих и электрических свойств. В результате обобщения материалов опытно-фильтрационных и геофизических работ в различных районах гидростроительства построены графики
(рис. 2-1) корреляционных взаимосвязей водопоглощения и коэффициента фильтрации со скоростями продольных и поперечных волн.
Рис. 2-1. Связь
q и К
ф скальных пород с

и

Сплошные линии - русло; пунктир и штрихпунктир - береговая
часть массива; 1 - граниты (Колымская ГЭС);
2 - кристаллические сланцы (Саяно-Шушенская ГЭС);
3, 4 - диориты (Зейская ГЭС); 5 - закарстованные известняки
(С. Урал); 6 - граниты (по А.М. Гурееву); 7 - кварцевые
порфиры (по Э.И. Ткачуку); 8 - туфопесчаники (С. Урал);
9 - граниты Франции; 10 - микроклиновые граниты
(Серебрянская ГЭС); 11 - 13 - различные скальные породы
(11, 13 - по О.К. Воронкову и Ю.Е. Акатову;
12 - по А.М. Гурееву)
Исследованиями было установлено, что:
1) связь lg
q с

для различных скальных пород характеризуется коэффициентом корреляции 0,68 - 0,91, она более тесная, чем связь lg
q с относительным электрическим сопротивлением
(рис. 2-2);
Рис. 2-2. Связь
q с обратной величиной
относительного электрического сопротивления

в массиве диоритов основания Зейской ГЭС
2) связь
q с

и

имеет индивидуальный характер для пород различных районов и различного состава; эмпирическая связь lg
q с

и

в первом приближении соответствует уравнению прямой;
3) связь
q с

и

для русловой части массива четко отличается от связи для береговых частей массива, и одним и тем же значениям

(или

) на берегах отвечают более низкие значения
q, что объясняется, главным образом, большей закольматированностью трещин береговой части массива;
4) для предварительного прогнозирования
q по

на первых стадиях исследования скального массива (до проведения опытно-фильтрационных работ) можно воспользоваться следующими соотношениями (

в км/с):
а) русловая часть массива (различные изверженные и метаморфические породы):
б) береговая часть массива (кроме закарстованных известняков):
в) береговая часть массива (закарстованные известняки):
5) надежную для практического использования связь
q с

и

в каждом районе исследований следует установить путем проведения совместных определений
q и

(а также

) в скважинах на характерных участках массива различной степени сохранности, причем обязательно отдельно для русловой (водонасыщенной) и береговой (аэрированной) частей массива;
6) располагая графиком связи
q с

(или

) для пород соответствующего района и определенных условий залегания (берег, русло), можно по измеренным значениям скорости волн охарактеризовать величинами
q различные части массива;
7) для оценки
q в условиях трещиноватого массива можно использовать значения граничной скорости упругих волн

, получаемые при сейсморазведке методом преломленных волн. Значения

наиболее близко характеризуют
q лишь в слое мощностью около 10 м (ниже зоны поверхностного выветривания). В случае трещиноватого анизотропного массива для оценки
q следует использовать лишь значения

, измеренные перпендикулярно преобладающему направлению трещиноватости.
С целью анализа сходимости фильтрационных схем, построенных по данным оценки удельных водопоглощений
qф на основе опытных нагнетаний с фильтрационными схемами, полученными в результате преобразований сейсмогеологических схем в фильтрационные на основе осредненных корреляционных связей

с lg
q, были сопоставлены значения
qф с
qс/р по двум объектам: Зейской ГЭС (осредненная связь

, где

- км/с), Саяно-Шушенской ГЭС (осредненная связь

).
Зейская ГЭС. Основание сложено роговообманковыми диоритами. Пользуясь схемой граничных скоростей и установленной выше связью, была построена схема-срезка распределения значений удельных водопоглощений для интервала глубин 10 - 20 м (точнее, для пород ниже зоны поверхностного выветривания), так как

отвечали именно поверхности невыветрелых коренных пород; глубина залегания этой поверхности, судя по геофизическим данным и бурению, составляет в русле приблизительно 10 м. Таким образом, схема-срезка ориентировочно отвечает условным отметкам 200 - 210 м. На участке, для которого составлена схема-срезка
qс/р (по данным сейсморазведки), пройдено 54 скважины, причем в 37 из них выполнены опытно-фильтрационные работы, т.е. определены
qф. Из сопоставления
qс/р, снятых с карты в местах нахождения скважин, с
qф в слое 10 м ниже зоны выветривания диоритов следует, что значительные расхождения
qс/р и
qф (на порядок и более) наблюдаются в 5 случаях из 37, т.е. примерно с вероятностью 85% сейсморазведка дает тот же порядок величин, что и опытно-фильтрационные работы.
Что же касается точности последних, то, как показывают рассмотрение методики проведения опытов, а также данные работы Л.П. Коняровой, в первом приближении можно считать:
а) при qф > 1 л/мин точность правильно приведенных фильтрационных опытов с исправным оборудованием - порядка 20%;
б) при qф < 1 л/мин можно судить только о порядке величин q (при q ~= 0,01 л/мин и меньше погрешность более 100%).
Саяно-Шушенская ГЭС. Основание сложено метаморфическими сланцами протерозоя. При пересчете сейсмогеологической схемы в фильтрационную использовалась приведенная ниже связь

и
q (для водонасыщенных частей массива). Для береговых частей массива такая связь опытным путем не устанавливается. На основе сопоставления сейсмогеологического разреза Саяно-Шушенской ГЭС с фильтрационным для береговой части (воздушно-сухое состояние) массива в первом приближении можно рекомендовать следующий переход от

к
qф:
при
qф > 0,5 л/мин
при
qф = 0,5 - 0,05 л/мин
при
qф = 0,05 - 0,005 л/мин.
Примеры сейсмогеологической схемы, пересчитанной в фильтрационную, показаны на
рис. 2-3. Для сопоставления их с фильтрационными схемами снимались
qф и
qс/р, расположенные в узлах сетки, которая разбивалась следующим образом:
1. На разрезе проводились вертикальные прямые через каждые 25 м. С полученных прямых снимались значения qф и qс/р через каждые 10 м от дневной поверхности.
2. На срезах разбивалась сетка продольников через каждые 50 м. Значения qф и qс/р снимались через каждые 20 м. Из сопоставления значений qф с qс/р по русловой части разреза следует, что отклонения qс/р от qф более чем на порядок составляют для русловой части разреза ~ 1%, для среза ~ 17%, совпадения qс/р с qф для разреза в срезе составляют ~ 35%.
Рис. 2-3. Схема водопроницаемости основания плотины
Саяно-Шушенской ГЭС, построенная по данным сейсморазведки.
Срез отвечает отметкам массива ниже зоны поверхностного
выветривания и разуплотнения
Таким образом, приведенные сопоставления говорят о возможности оценки порядка величин q (практически без каких-либо дополнительных затрат) по материалам сейсморазведки и сейсмокаротажа (попутно с целым комплексом задач, решаемых этими методами). По-видимому, целесообразно для каждого исследуемого объекта выполнять работы в этом направлении в следующей последовательности:
1) параллельное проведение опытно-фильтрационных и сейсмокаротажных работ на участках массива различной степени сохранности с целью установления корреляции
q с

и

отдельно для береговой и русловой частей данного массива;
2) разрезы и срезы сейсмогеологической модели пересчитываются в разрезы и карты q на основании установленных связей;
3) эти материалы используются для предварительного суждения о фильтрационных свойствах массива и служат основой для правильного планирования дальнейших исследований фильтрационных свойств массива прямыми геологическими и геофизическими методами.
Эмпирические связи К
ф с

апробировались на материалах сейсморазведки в районах Юшкозерской ГЭС (гнейсы, граниты, сланцы) и Подужемской ГЭС (гнейсы, гнейсо-граниты) в Карелии. На первом объекте в 18 случаях из 19, а на втором объекте в 12 из 15 случаев порядок величины
q (по сопоставлению с опытно-фильтрационными работами) был определен правильно.
Подробное изложение возможностей геофизических методов в гидрогеологии и, в частности, при изучении скальных оснований, приводится в [
10,
14,
31,
66] и др.
К оценке водопроницаемости массивов по значениям скорости
упругих волн и электрического сопротивления на начальной
стадии инженерно-геологических изысканий
Рассмотрим важный для практики случай: как оценить значения
q на начальных стадиях изысканий по данным геофизической разведки до начала буровых и опытно-фильтрационных работ? Ограничимся водонасыщенной областью массива (как известно, для такого массива значения
q чаще всего распределяются логнормально, а значения

имеют распределение, близкое к нормальному).
Предлагаемый путь состоит в следующем:
1. По материалам изученных в фильтрационном отношении оснований - аналогов строится распределение lg
q и определяется среднее значение

и среднеквадратичное отклонение

.
2. По результатам сейсморазведки для изучаемого массива путем статистической обработки находят среднее

и среднеквадратичное отклонение

.
3. Из числа уже известных связей

выбирается предполагаемый аналог, возможность применения которого к изучаемому массиву проверяется по следующему критерию: если линия регрессии

аналога попадает в прямоугольник с центром

, lg
q и сторонами

и

, то данную связь можно применять к изучаемому массиву.
4. Если указанная выше связь - "аналог" отсутствует или не удовлетворяет приведенному критерию, то для приближенной оценки lg
q по

можно пользоваться прямой, проведенной через 3 точки с координатами:
1)

,

;
2)

,

;
3)

,

.
Даже такой грубый подход к оценке
q по

позволяет наметить контуры областей массива, квазиоднородных по водопоглощению. Последующие бурение и опытно-фильтрационные работы в этом случае будут направлены на детализацию и уточнение фильтрационных параметров массива.
Сходные рассуждения можно привести и применительно к областям массива зоны аэрации (закон распределения

здесь часто отличается от нормального). Аналогичный подход можно применить и в отношении данных электрометрии (известно, что lg
q обнаруживает в ряде случаев достаточно тесную корреляционную связь с

).
ПУТИ СОСРЕДОТОЧЕННОЙ ФИЛЬТРАЦИИ, ЗОНЫ ВОЗМОЖНОЙ СУФФОЗИИ
И ИХ ОТРАЖЕНИЕ В МОДЕЛЯХ ВОДОПРОНИЦАЕМОСТИ
Геоструктурные и гидрогеологические признаки
путей сосредоточенной фильтрации и зон возможной суффозии
В скальных основаниях плотин встречаются зоны резко повышенной водопроницаемости (на один-два и более порядков превышающие "фоновые" значения), часто ассоциирующиеся или перемежающиеся с приоткрытыми в разной степени полостями трещин или карста, заполненными минеральным материалом, способным к химической или механической суффозии при соответствующих гидравлических условиях. Выявление возможных путей сосредоточенной фильтрации и возможной суффозии заполнителя полостей
(табл. 1-1), а также отражение их в модели водопроницаемости является важной задачей изысканий. При ее решении следует учитывать характерные признаки и приуроченность этих зон к тем или иным геоструктурным элементам массива.
Геоструктурные признаки:
- зоны тектонических нарушений разных порядков
(табл. 2), ориентированные как согласно с залеганием пород, так и секущие под различными углами;
- основание сложено массивными, жесткими породами;
- основание сложено слоистыми или расслоенными породами с чередованием пластов и пакетов пластов различной прочности; такие основания, как правило, анизотропны по водопроницаемости;
- основание сложено закарстованными породами;
- мелкие складки волочения и зоны будинажа (в частности, в равномерно-слоистых толщах различных по прочности пород);
- жильные тела различной мощности и их контакты; маломощные тела и их контакты имеют близкую по величине водопроницаемость, а тела мощных жил характеризуются меньшей по сравнению с их контактами водопроницаемостью;
- гидротермальные и гидатогенные жилы, преимущественно в карбонатных породах, обычно сложенные кальцитом; в процессе разгрузки и выветривания такие жилы нередко выщелачиваются, что способствует развитию карста;
- протяженные трещины бортового отпора, отседания и тыловых швов оползней.
Гидрогеологические признаки:
- повышенные и максимальные величины q и Кф, полученные в ходе опытно-фильтрационных работ и геофизических исследований;
- максимальные значения среднеинтервальных значений q на графиках q(hабс);
- выходы источников и значительный их дебит;
- аномалии в температуре и химическом составе подземных и грунтовых вод с открытым зеркалом.
Перечисленные выше, а также некоторые особые признаки (например, провалы бурового снаряда) должны быть учтены при анализе материалов гидрогеологических и геофизических работ, в том числе специально предназначенных для исследования сосредоточенных путей фильтрации (индикаторные методы, метод естественного электрического поля, геофизические исследования между скважинами и др.).
Характер путей сосредоточенной фильтрации и зон возможной
суффозии в массивах, сложенных слоистыми
осадочными породами
На геоструктурных разрезах тектонические нарушения изображаются прямыми линиями. Это в известной мере условность, так как в действительности плоскости разрывных смещений неровны, имеют выступы и раздутия, заполненные дисперсным материалом. Высота таких неровностей варьирует от нескольких десятков метров до дециметров в зависимости от порядка нарушения
(табл. 2), кинематического типа и ориентации плоскостей смещения относительно простирания пород. Поэтому характеристика водопроницаемости вдоль плоскостей тектонических нарушений может существенно изменяться, в особенности в местах их сопряжения или пересечения друг другом.
Толщи слоистых или расслоенных пород отличаются неоднородностью и анизотропией характеристик водопроницаемости. Вкрест простирания пород водопроницаемость значительно меньше, чем вдоль напластования. Поэтому при выборе варианта створа плотины предпочтение отдается тому участку, где река сечет пласты вкрест простирания пород, а падение последних направлено в сторону верхнего бьефа под углом 30 - 60°. Падение пластов в сторону нижнего бьефа менее желательно в связи со снижением устойчивости откосов в нижнем бьефе в зонах обходной фильтрации, а также большей вероятности развития суффозионных процессов.
Рассмотрим несколько примеров.
Стрыйский гидроузел. Толща терригенного флиша имеет падение в сторону верхнего бьефа под углом 30 - 45°. В этом случае вынос глинистого заполнителя трещин фильтрационным потоком практически исключен. Возможные пути сосредоточенной фильтрации и зоны суффозии можно было предполагать лишь вдоль тектонических нарушений типа сбросов и сбросо-сдвигов, ориентированных нормально или диагонально относительно простирания пород. Однако это предположение маловероятно, так как разрез толщи флиша в зоне самого крупного сбросо-сдвига IV порядка амплитудой более 100 м включает свыше 40% аргиллита. Поэтому даже наклонные скважины, пересекшие его зону, не обнаружили плоскость сместителя, а присутствие зоны подтвердилось лишь повышенной водопроницаемостью до значений порядка 1,0 л/мин, при которых трудно ожидать высоких скоростей фильтрации. Лишь в самой верхней части разреза мощностью до 20 м водопроницаемость местами возрастала до значений 10 - 20 л/мин. Водопроницаемость структурно-петрологических блоков вне зон влияния тектонических нарушений близка к значению 0,01 л/мин. Эти данные позволили сделать вывод о том, что в случае строительства Стрыйской гравитационной бетонной плотины пути повышенной фильтрации возможны лишь в зонах тектонических нарушений, где при напоре порядка 50 м нет оснований опасаться суффозионных явлений, кроме верхней части разреза мощностью до 20 м.
Кассебский гидроузел (Республика Тунис). Основание сложено известняками, разбитыми рядом тектонических нарушений IV - VI порядков, сопрягающихся со взбросом II порядка с амплитудой около 1 км, расположенным в нижнем бьефе гидроузла. Зоны мелких тектонических нарушений залечены гидротермальными кальцитовыми жилами, часть материала которых выщелочена. К этим зонам приурочены пути сосредоточенной фильтрации с водопроницаемостью в десятки л/мин. Часть тектонических нарушений была ориентирована вдоль фильтрационного контура, а зоны послойного будинажа, развитые местами в толще известняков, характеризовались повышенной водопроницаемостью. В этих условиях потребовалось сооружение мощной противофильтрационной цементационной завесы в основании плотины.
Ингури ГЭС. Основание арочно-гравитационной плотины, сложенное ритмично-слоистыми карбонатными породами, охарактеризовано выше
(раздел 6), где
(рис. 28) обращает на себя внимание наличие вероятных сосредоточенных путей фильтрации в зоне сбросо-сдвига III порядка, с которым связаны процессы доломитизации известняков и раздоломичивания доломитов, а также расширения трещин всех порядков в результате выщелачивания и обменных реакций пород с минерализованными водами, химический состав которых, видимо, изменялся во времени. Результатом этих процессов явилось присутствие в некоторых зонах массива карбонатной и доломитовой муки в виде заполнителя расширенных трещин и мелких тектонических нарушений, способного к суффозии в основании плотины с напором более 200 м. Поэтому было принято решение о значительном заглублении котлована плотины, создании бетонных пробок на участках зон тектонических нарушений, усиленной площадной цементации основания, сооружении мощной противофильтрационной цементационной завесы и сложной системы дренажа со стороны нижнего бьефа. Эти мероприятия оказались необходимыми, несмотря на то, что карбонатные породы здесь характеризовались в основном трещинным карстом и почти полным отсутствием кавернозности и крупных карстовых полостей. При выемке котлована плотины и осуществлении площадной цементации основания было обнаружено значительное разуплотнение пакетов плитчатых маломощных пластов известняков по сравнению с пакетами пластов повышенной мощности, что было связано с неодинаковым воздействием взрывного способа проходки котлована на разнопрочные породы.
Характер путей сосредоточенной фильтрации и зон возможной
суффозии в массивах карстующихся карбонатных пород
Чарвакская ГЭС на р. Чирчик. Геологическое строение участка видно из геологической карты
(рис. 3-1) и разреза водопроницаемости по оси плотины, ориентированной вкрест простирания известняков (
рис. 3-2, составленный В.В. Каякиным). Толща слоистых известняков карбона слагает структурно-тектонический блок, ограниченный со стороны нижнего и верхнего бьефов гидроузла тектоническими нарушениями (сбросо-сдвиги) II - IV порядков, имеющими северо-восточные простирания. Толща известняков имеет ритмичное строение в виде чередования преимущественно маломощных пластов (пачки N 2 - 6). Исключением является пачка N 1 толстослоистых известняков. По сбросо-сдвигам II - IV порядков происходит разгрузка в долину реки термальных сульфатных вод с температурой 20 - 34 °C и минерализацией до 1 - 1,5 г/л. В контакте пачек N 1 - 2 вдоль правого берега отмечается зона повышенной трещиноватости, связанная с межформационными срывами по напластованию. Именно в ее полосе, в нижнем бьефе плотины на правом берегу, в штольне N 4 появились выходы термальных вод уже в начальный период заполнения водохранилища. Разгрузка термальных вод, сейчас мало минерализованных, но, возможно, ранее имевших более высокую температуру и минерализацию, привела к существенной гидротермальной метаморфизации некоторых разновидностей карбонатных пород, выразившейся в образовании силикатных образований ("каранкулитов"). В зонах, окружающих глубинные разломы, каранкулиты образуют крупные тела неправильной формы, сохраняющие текстуру известняков. По мере отдаления от этих разломов каранкулитизация распространяется по трещинам всех систем, в частности, напластования, создавая заполнитель, способный к суффозии.

Рис. 3-1. Инженерно-геологическая
карта участка Чарвакской ГЭС
Четвертичные отложения: 1 - галечные отложения
Ходжикентской и Карабулакской террас
Меловые отложения: 2 - пестроцветная толща переслаивающихся
песчаников, конгломератов и глин на карбонатном цементе;
посткарбоновые образования; 3 - каранкулит; отложения
нижнего карбона (

,

); 4 - известняк тонкозернистый,
тонкослоистый, толща сильно каранкулитизирована, местами
кавернозность; 5 - известняк тонкозернистый, среднеслоистого
сложения, каранкулитизация сравнительно слабая, в основном
по слоистости; 6 - известняк тонкозернистый,
среднеслоистый, каранкулитизация очень слабая;
7 - известняк массивный и грубослоистый, закарстованный,
местами кавернозный (пачка 1); 8 - известняк тонкослоистый
с прослоями аргиллита, каранкулитизация по напластованию
(пачка 0); 9 - тектонические нарушения и трещины
IV - VII порядков: (1) - наблюдаемые; (2) - предполагаемые;
10 - ось Чарвакской синклинальной складки; 11 - надвиг;
12 - границы литолого-стратиграфических комплексов пород;
13 - карст; 14 - кавернозность; 15 - контур выемки потерны
плотины; 16 - элементы залегания пород;
17 - дренажные штольни; 18 - водосливы;
19 - наблюдательные пьезометрические скважины
Рис. 3-2. Гидрогеологический разрез основания
Чарвакского гидроузла (по В.В. Каякину)
1 - известняк тонкослоистый, скрытокристаллический;
2 - известняк массивный и грубослоистый; 3 - контакт
массивных и слоистых известняков; 4 - зона повышенной
закарстованности и водопроницаемости, приуроченная
к контакту массивных и слоистых известняков; 5 - контур
фактической цементационной завесы; 6 - рекомендуемый
контур; 7 - граница квазиоднородных по водопроницаемости
участков; 8 - коэффициент фильтрации, м/сут; 9 - удельное
водопоглощение, л/мин; 10 - каранкулиты
Карстовые явления в виде мелкой кавернозности и полостей развиты в толстоплитчатых известняках первой пачки и каранкулитах, а кавернозность - в тонкоплитчатых известняках остальных пачек (рис. 3-3). Концентрация карстовых проявлений явно подчинена также уровням древних (Кызылсуйская, Надхумсанская, Хумсанская) и современных (Ходжикентская и Карабулакская) террас, спускаясь под русло на значительную глубину (до 50 м).
Рис. 3-3. График распределения карстовых проявлений
в опытных интервалах нагнетаний и откачек
по структурно-генетическим элементам
1, 2, 3 и т.д. - номера пачек известняков; 1/2 - контакт
между 1 и 2 пачками; к/к - контакт между каранкулитами
и известняками; Т - зона тектонического нарушения
Водопроницаемость известняков сравнительно невелика, так как карстовые полости в большинстве заполнены суглинисто-песчаным материалом, а полости трещин - каранкулитом. В зонах тектонических нарушений
q = 0,5 - 5 л/мин, а вне их
q = 0,001 - 0,5 л/мин
(рис. 12). Отсутствие в крупных карстовых полостях каранкулитов и преимущественное заполнение их элювиальным материалом указывает на более позднее развитие эрозионного карста, связанного с формированием долины р. Чирчик. Практически незатухающий характер водопроницаемости на глубину почти 200 м, а также наличие термальных вод в известняках позволяют считать эти явления взаимно дополняющими друг друга и рассматривать их как своеобразный процесс глубинного трещинного карста, обусловленный обменными реакциями между термальными растворами изменяющегося во времени химического состава с соответствующими разновидностями известняков и более поздним эрозионным карстом.
Таким образом, наиболее вероятно развитие путей сосредоточенной фильтрации вдоль зон тектонических нарушений и по простиранию пластов, а развитие суффозии - в области распространения заполнителя полостей трещин "каранкулита" и элювиального заполнителя полостей четвертичного карста. Заполнитель мелких сбросов, ориентированных по простиранию пород (по направлению фильтрации в подземном контуре плотины), способен к суффозии. Тот же заполнитель мелких сбросов, ориентированных нормально к простиранию пород, должен играть роль частных водоупоров, за исключением участков их сопряжения с полостями мелких взбросов. Последние, а также зона контакта первой и второй пачек на правом берегу, где отмечается межформационный срыв, выделены на рис. 3-4, как зоны повышенной водопроницаемости. Данный рисунок более дифференцированно (по сравнению с
рис. 3-2) характеризует неоднородность водопроницаемости основания.
Рис. 3-4. Схема фильтрационной неоднородности
пород основания плотины Чарвакской ГЭС
1 - зоны влияния тектонических разрывов IV, VI и VII
порядков; 2 - номера пачек известняков; 3 - каранкулит;
4 - область значений q = 0,005 - 0,05 л/мин;
5 - q = 0,01 - 0,1 л/мин; 6 - q = 0,1 - 1,0 л/мин;
7 - q = 1,0 - 5,0 л/мин; 8 - скважина, в которой выполнены
опытно-фильтрационные работы; 9 - уровень грунтовых вод
в естественных условиях; 10 - контур разведочных
скважин Гидроспецстроя
Появление источников в нижнем бьефе плотины на обоих берегах при начальном заполнении водохранилища, с суммарным дебитом в несколько десятков литров в секунду, привело к усилению противофильтрационных мероприятий и созданию дренажных устройств в виде штолен. По мере включения дренажных штолен отмечалось перераспределение дебитов каптируемых ими источников. Помимо этого, перераспределение дебитов наблюдалось дважды, в 1977 и 1978 гг., после землетрясений интенсивностью около 4 баллов, имевших место в районе строительства. Однако резкого увеличения суммарных дебитов не отмечалось. Характер зависимости суммарного дебита источников, каптированных штольней N 1, от колебаний уровня верхнего бьефа приведен на рис. 3-5.
Рис. 3-5. Изменение расхода дренажной штольни
N 1 при наполнении и сработке Чарвакского
водохранилища в 1978 г.
Можно отметить факт закономерных изменений температуры воды в дренажных устройствах и в пьезометрах. До начала строительства температура воды до +34 °C отмечалась вблизи зон тектонических нарушений. При частичном заполнении водохранилища температура термальных вод понижалась, а при сработке - повышалась. Это указывает на своеобразное динамическое равновесие напорных термальных вод с водами водохранилища, питающегося талыми водами горных ледников. Воды водохранилища как бы отжимают термальные воды на глубину, а в нижнем бьефе выходящие в дренаж воды разбавляются холодной водой водохранилища. Вода в дренажных устройствах чистая, без взвесей минеральных частиц, что указывает на отсутствие признаков суффозионного выноса заполнителя трещин и полостей карста.
Для подтверждения предполагаемых путей сосредоточенной фильтрации были использованы индикаторные методы. Однако появление индикаторов отмечалось лишь в отдельных ближайших к месту запуска пьезометрах. Это свидетельствует об отсутствии сквозных протяженных путей сосредоточенной фильтрации по отдельным крупным трещинам. Вода, собираемая дренажными штольнями, по-видимому, проходит в массиве сложный путь, характеризующийся прерывистостью водопроводящих трещин, и в пределах которого не создается значительных градиентов фильтрации, достаточных для суффозии заполнителя трещин и карстовых полостей.
Возможность использования материалов проектирования
и строительства цементационных противофильтрационных
завес для выявления путей сосредоточенной фильтрации
При строительстве противофильтрационных завес накапливается большой объем данных определений водопроницаемости q* массива по методике Гидроспецстроя, а также определений удельного расхода цемента qц (расход массы цемента на 1 метр скважины). Этот материал ценен прежде всего тем, что он характеризует проницаемость в близко расположенных друг от друга скважинах (от 3 до 12 м), в то время как при инженерно-геологических изысканиях расстояние между скважинами фильтрационного опробования составляет порядка 50 - 100 м.
Необходимо отметить, что методика Гидроспецстроя по определению q* существенно отличается от методики определения q, предложенной Гидропроектом и используемой при изысканиях.
В первом случае скважины опробуются гидравлическим путем при ступени напора, как правило, порядка 1,0 - 2,5 МПа (10 - 25 атм). При этом функция Q(H) условно принимается линейной.
В связи с изложенным интересны два аспекта:
1) определение связи величин q, q* и qц; это важно с точки зрения возможности оценки расхода цемента уже на начальных стадиях проектирования на основе модели водопроницаемости; для уточнения модели водопроницаемости массива на стадии строительства и эксплуатации на основе данных q* и qц;
2) использование данных q* и qц при изучении характера путей сосредоточенной фильтрации в массиве.
Эти вопросы анализировались на примере основания Чарвакской ГЭС. Сделаны следующие выводы:
а) значения
q и
q* существенно отличаются, причем
q ~=
c1·
q*, где коэффициент пропорциональности
c1 > 1; для пород основания Чарвакской ГЭС
c1 ~= 10, что соответствует выводу, ранее сделанному В.В. Каякиным путем сравнения средних величин

и

; можно полагать, что в других структурно-петрологических типах оснований значения коэффициента
c1 могут отличаться от 10 как в меньшую, так и в большую сторону;
б) между величинами
qц и
q* установлены тесные корреляционные связи (
r = 0,87 - 0,90) - см.
рис. 3-6; удельные расходы цемента 500 кг/м и более отвечают значениям
q* > 0,1 л/мин (или
q > 1,0 л/мин);
в) детальный разрез массива по водопроницаемости
q* конфигурацией элементов неоднородности может отличаться от аналогичного, но менее детального разреза в величинах
q, построенного по материалам изысканий и учитывающего геоструктурную модель массива
(рис. 3-7). Сопоставление этих контуров показывает, что водопроницаемость в зонах тектонических нарушений основания Чарвакской ГЭС неоднородна, повышенная проницаемость сменяется низкими значениями
q*, что обусловливает сложный характер путей сосредоточенной фильтрации. Необходимо также отметить, что места пересечения зон тектонических нарушений, как правило, соответствуют элементам разреза с повышенной водопроницаемостью. Поэтому наиболее вероятно, что в данном массиве именно с такими пересечениями связаны пути сосредоточенной фильтрации.
Рис. 3-6. Зависимость поглощения цемента от удельного
водопоглощения скважин при гидравлическом опробовании
1 - первая очередь цементации скважин; 2 - вторая очередь
цементации; 3 - третья очередь цементации; 4 - средняя
величина для первой очереди; 5 - для второй очереди;
6 - для третьей очереди; r - коэффициент корреляции
Рис. 3-7. Фрагменты схемы водопроницаемости
основания Чарвакского гидроузла:
а - по данным удельных водопоглощений при гидравлическом
опробовании цементационных скважин I очереди;
б - то же - трех очередей; в - то же - разведочных скважин
Зоны удельных водопоглощений: 1 - более 0,1 л/мин;
2 - от 0,1 до 0,05 л/мин; 3 - менее 0,05 л/мин; 4 - более
1,0 л/мин; 5 - от 1,0 до 0,1 л/мин; 6 - менее 0,1 л/мин;
7 - тектонические нарушения VI порядка; 8 - то же -
IV порядка; 9 - тектонические нарушения VII порядка;
10 - то же - более мелких порядков; 11 - граница пачек
известняков; 12 - номера пачек известняков;
13 - цементационная секция
Характер путей сосредоточенной фильтрации и зон возможной
суффозии в массивах изверженных и метаморфических пород
В основаниях, сложенных массивными интрузивными и метаморфическими породами, также необходимы выявление путей сосредоточенной фильтрации и оценка суффозионной устойчивости заполнителя трещин. В связи с этим особого внимания заслуживают случаи совпадения фильтрационного потока с ориентацией тектонических зон и протяженных трещин или контактов жильных тел. Рассмотрим ряд примеров.
Константиновский гидроузел на р. Ю. Буг. Находится в периферийной части Украинского кристаллического щита, характеризующегося развитием складчатых структур северо-западного простирания с крутым падением крыльев. В основании плотины залегают граниты верхне-архейского возраста, интрудировавшие породы нижнего архея диоритового и гранодиоритового состава, в результате чего возникли зоны переходных пород - полосчатых мигматитов. На участке прослеживается несколько тектонических нарушений различных порядков, преимущественно северо-западного простирания, т.е. примерно вдоль фильтрационного потока под плотиной.
В результате статистической обработки примерно 400 значений удельного водопоглощения выявлены закономерности изменения водопроницаемости с глубиной в гранитах, диоритах, мигматитах
(рис. 12). Наиболее водопроницаемы граниты, наименее - ксенолиты диоритов, а проницаемость мигматитов занимает промежуточное положение между первыми двумя породами. Водопроницаемость всех трех разновидностей пород в подрусловой части массива приблизительно на один порядок больше, чем в бортах долины. Большой разброс значений
q в интервале глубин 10 - 30 м вызван, по-видимому, кольматажем значительной части трещин в верхней части разреза. При этом в качестве заполнителя трещин выступает каолин, как первичный, развитый в древней коре выветривания, так и вторичный, переотложенный. Наличие в подрусловой части массива полого залегающих зон повышенной трещиноватости связано с протяженными трещинами отрыва, приоткрытыми при разгрузке естественных напряжений. Непосредственные наблюдения в штольнях и анализ графиков
q(
h) свидетельствовали о том, что в зонах тектонических нарушений заполнителем является, как правило, первичный каолин, способный к суффозии. На рис. 3-8 показан продольный (по долине р. Ю. Буг) разрез водопроницаемости пород.

Рис. 3-8. Водопроницаемость скального основания
Константиновского гидроузла. Разрез по долине р. Ю. Буг
1 - q = 1 - 10 л/мин; 2 - q = 0,5 - 1 л/мин;
3 - q = 0,1 - 0,5 л/мин; 4 - q = 0,05 - 0,1 л/мин;
5 - q = 0,01 - 0,05 л/мин; 6 - q < 0,01 л/мин; 7 - граниты;
8 - диориты; 9 - мигматиты, гнейсы; 10 - интервал
опробования нагнетаниями и величины удельного
водопоглощения, л/мин; 11 - расчетное значение коэффициента
фильтрации, м/сут; 12, 13 - границы зон с различными
удельным водопоглощением и коэффициентом фильтрации
(12 - установленные, 13 - предполагаемые)
Саяно-Шушенская ГЭС на р. Енисей. Основание сложено комплексом кристаллических пара- и ортосланцев с переходной зоной переслаивания этих пород, залегающих почти параллельно руслу реки крутонаклонно с падением в сторону правого берега и верхнего бьефа под углом 75 - 80°. Толща кристаллических сланцев рассечена дайками основных пород, залегающих субвертикально. Мощность даек колеблется от 0,5 до 20 метров, их простирание примерно поперек русла, вкрест простирания сланцев. Более молодыми, чем дайки, являются тектонические нарушения типа сбросо-сдвигов VI порядка с малыми амплитудами смещения, имеющие близкие к дайкам элементы залегания. Зоны учащенной трещиноватости и протяженные одиночные трещины с заметным раскрытием, ориентированные разнообразно, пологонаклонные (10 - 30°). Зависимости
q(
h), построенные по данным 1364 опытных нагнетаний воды, свидетельствуют об индивидуальном характере таких связей в различных генетических элементах массива (
рис. 12, в) при общей тенденции уменьшения водопроницаемости с ростом
h. При этом крутопадающие тектонические нарушения и протяженные пологонаклонные трещины имеют характер путей сосредоточенной фильтрации. Дайки и их контакты с вмещающими породами также имеют повышенную водопроницаемость, но в меньшей степени и на меньшую глубину, чем в зонах тектонических нарушений.
На
рис. 3-9 -
3-11 показаны разрезы и срез основания Саяно-Шушенского гидроузла по водопроницаемости. Как следует из
рис. 3-11, сосредоточенные пути фильтрации и возможной суффозии, связанные с крутопадающими нарушениями и дайками, по своей ориентации за редким исключением, для сооружения не опасны. Однако пологонаклонные зоны учащенной трещиноватости и тем более пологие протяженные трещины требуют учета в проекте и реализации необходимых противофильтрационных мероприятий.
Рис. 3-9. Фрагмент уточненной модели водопроницаемости
естественного скального массива. Разрез I - I по хорде
арочно-гравитационной плотины Саяно-Шушенской ГЭС.
Интерпретация с взаимоувязкой данных
опытно-фильтрационных и геофизических исследований
| | ИС МЕГАНОРМ: примечание. Текст дан в соответствии с официальным текстом документа. | |
1 - дайки диабазов; 2 - тектонические нарушения
и их номера; 3 - поинтервальные значения q (л/мин)
Рис. 3-10. Разрез основания Саяно-Шушенской ГЭС
по водопроницаемости (подрусловая часть массива,
разрез по долине р. Енисей)
Рис. 3-11. Погоризонтный срез основания
Саяно-Шушенской ГЭС по водопроницаемости
1 - элементы, характеризующиеся значениями
q = 10 - 100 л/мин; 2 - q = 1 - 10 л/мин;
3 - q = 0,1 - 1 л/мин; 4 - q = 0,01 - 0,1 л/мин;
5 - q < 0,01 л/мин; 6 - дайки диабазов;
7 - тектонические нарушения
1 Аллас Э.Э., Мещеряков А.Н. Укрепление оснований гидротехнических сооружений/Под ред. В.С. Эристова. - М. - Л.: Энергия, 1966
2 Аравин В.И., Нумеров С.Н. Фильтрационные расчеты гидротехнических сооружений. - Л. - М.: Госстройиздат, 1955
3 Аронова Л.А. Исследование фильтрационной неоднородности трещиноватых массивов на участках изысканий под гидроузлы: Автореф. дис. канд. техн. наук, М., 1970
4 Белый Л.Д., Рац М.В., Чернышев С.Н. Статистические методы исследований трещинной водопроницаемости массивов горных пород в основаниях гидротехнических сооружений//Труды коорд. совещ. по гидротехнике/ВНИИГ им. Б.Е. Веденеева, - 1970. - Вып. 48. - С. 26 - 35
5 Биндеман Н.Н. Методы определения водопроницаемости горных пород откачками, наливами и нагнетаниями. - М.: Углетехиздат, 1951
6 Бочков Н.М. Механическая суффозия. - М., ГОНТИ, 1936
7 Варга А.А. К прогнозу фильтрационных свойств скального массива по параметрам трещиноватости//Труды Гидропроекта. - 1981. - Вып. 76. - С. 30 - 36
8 Гавич И.К. Определение параметров анизотропного пласта по данным опытных работ и моделирования в условиях неустановившегося движения//Труды коорд. совещ. по гидротехнике/ВНИИГ им. Б.Е. Веденеева. - 1970. - Вып. 48. - С. 102 - 116
9 Газиев Э.Г., Речицкий В.И., Боровых Т.Н. Исследование фильтрационного потока в блочной среде применительно к проектированию сооружений в скальных массивах/Труды Гидропроекта. - 1980. - Вып. 68. - С. 137 - 147
10 Гринбаум И.И. Геофизические методы определения фильтрационных свойств горных пород. - М.: Недра, 1963
11 Гринбаум И.И. О методике и особенностях расходометрических исследований фильтрационных свойств трещиноватых пород в основаниях высоконапорных сооружений/Труды коорд. совещ. по гидротехнике/ВНИИГ им. Б.Е. Веденеева, - 1970. - Вып. 48. - С. 125 - 134
| | ИС МЕГАНОРМ: примечание. В официальном тексте документа, видимо, допущена опечатка: имеется в виду ГОСТ 20522-75, а не ГОСТ 26522-75. | |
12
ГОСТ 26522-75. Грунты. Метод статистической обработки результатов определений характеристики. - М.: Изд-во стандартов, 1977
13 ГОСТ 25100-82. Грунты. Классификация. - М.: Изд-во стандартов, 1982
14 Гуреев А.М., Воронков О.К., Антонова Л.И. Связи параметров блочности скальных массивов, скоростей упругих волн и характеристик водопроницаемости//Известия ВНИИГ им. Б.Е. Веденеева. - 1977. - Т. 117. - С. 106 - 113
15 Гуреев А.М., Воронков О.К., Моторин Г.А. Методика построения сейсмогеологических моделей скальных массивов по данным сейсмических методов разведки//Труды коорд. совещ. по гидротехнике/ВНИИГ им. Б.Е. Веденеева, - 1972. - Вып. 77. - С. 18 - 22
16 Гуреев А.М., Воронков О.К. Оценка фильтрационной анизотропии скальных оснований плотин//Известия ВНИИГ им. Б.Е. Веденеева: Сборник научных трудов. - 1987, - Т. 203. - С. 20 - 27
17 Гуреев А.М. К оценке фильтрационной неоднородности скальных оснований плотин//Известия ВНИИГ им. Б.Е. Веденеева: Сборник научных трудов. - 1986. - Т. 193. - С. 82 - 92
18 Гуреев А.М. Инженерно-геологическая модель скального массива в основании гидротехнического сооружения//Труды коорд. совещ. по гидротехнике/ВНИИГ им. Б.Е. Веденеева. - 1972. - Вып. 77. - С. 5 - 14
19 Дженкинс Г., Ваттс Д. Спектральный анализ и его приложение/Пер. с англ. - М.: Мир, 1972
20 Жиленков В.Н. Экспериментальные исследования фильтрационной прочности заполнителя тектонических трещин в скальном основании Нурекской плотины//Труды коорд. совещаний по гидротехнике/ВНИИГ им. Б.Е. Веденеева. - 1970. - Вып. 48. - С. 135 - 148
21 Закономерности пространственной изменчивости водопроницаемости трещиноватых оснований гидротехнических сооружений/Л.А. Аронова, Л.Д. Белый, С.П. Раевский, М.В. Рац и др.//Труды коорд. совещ. по гидротехнике/ВНИИГ им. Б.Е. Веденеева. - 1970. - Вып. 48. - С. 16 - 25
22 Ильина О.В. Фильтрационная устойчивость заполнителя трещин в скальных породах, определяемая в полевых условиях и в лаборатории/Труды коорд. совещаний по гидротехнике/ВНИИГ им. Б.Е. Веденеева. - 1970. - Вып. 48. - С. 149 - 156
23 Ильин Н.И., Чернышев С.Н., Дзекцер Е.С. Оценка точности определения водопроницаемости горных пород. - М.: Наука, 1971
24 Инструкция и методические указания по определению водопроницаемости горных пород методом опытных нагнетаний в скважины. И-39-67. - М.: Энергия, 1968
25 Инструкция и методические указания по определению коэффициентов фильтрации водоносных пород методом опытных откачек. И-38-61. - М.: Энергия, 1967
26 Истомина В.С. Фильтрационная устойчивость грунтов. - М.: Госстройиздат, 1957
27 Камбефор А. Инъекция грунтов. - М.: Энергия, 1971.
28 Каякин В.В., Андрианов А.В. Опыт составления математической модели скального основания Токтогульского гидроузла на р. Нарын//Математические методы в инженерной геологии. - М., 1968. - С. 110 - 117
29 Каякин В.В., Каякина А.И. Модели фильтрационных свойств скальных оснований высоких плотин//Труды Гидропроекта. - 1978. - Вып. 65. - С. 90 - 104
30 Каякин В.В. Водопроницаемость известняков в основании высоконапорной плотины Токтогульского гидроузла//Труды коорд. совещ. по гидротехнике/ВНИИГ им. Б.Е. Веденеева. - 1970. - Вып. 48. - С. 163 - 169
31 Керкис Е.Е. Методы изучения фильтрационных свойств горных пород. - Л.: Недра, 1975
32 Керкис Е.Е. О полевых опытных работах для установления условий размыва заполнителей трещин при исследованиях для высоких плотин//Тр. Всесоюзн. проектн. изыскательского и НИИ Гидропроект, N 52. - 1976. - С. 36 - 45
33 Кириченко Н.И. К вопросу о пороге сопротивления мелкозема при вымывании его из трещин в скальных породах//Труды коорд. совещаний по гидротехнике/ВНИИГ им. Б.Е. Веденеева. - 1970. - Вып. 48. - С. 170 - 173
34 Кондауров Г.И., Каякин В.В. Совместная количественная оценка закарстованности и водопроницаемости основания Чарвакского гидроузла//Инженерно-строительные изыскания. - 1977. - N 4/48. - С. 64 - 75
35 Крамбейн У., Грейбилл Ф. Статистические модели в геологии. - М.: Мир, 1969
36 Ломизе А.Г. Фильтрация в трещиноватых породах. - М.: Госэнергоиздат, 1951
37 Максимович Г.А. Основы карстоведения Т. 2. - Пермь: Пермское книжное изд-во, 1969
38 Методика изучения карста. Гидрогеология карста. - Вып. 6. Пермь: госуд. ун-тет, 1963
39 Методика гидрогеологических исследований при инженерно-геологических изысканиях. - М.: ПНИИИС, 1970
40 Миллер Р.Л., Кан Дж.С. Статистический анализ в геологических науках. - М.: Мир, 1965
41 Мироненко В.А., Шестаков В.М. Теория и методы интерпретации опытно-фильтрационных работ. - М.: Недра, 1978
42 Молоков Л.А., Калмыкова Н.И. Чарвакская плотина на р. Чирчик//Геология и плотины. - Госэнергоиздат, 1962, - Т. II - М.: С. 140 - 151
43 Определение водопроницаемости неводоносных горных пород опытными наливами в шурфы. И-41-68. - М.: Энергия
44 Пирогов И.А. Тектонические структуры оснований высоких бетонных плотин. - М.: Энергоатомиздат, 1987
45 Плотников Н.И., Сыроватко М.В., Щеголев Д.И. Подземные воды рудных месторождений. - М.: Металлургиздат, 1957
46 Пособие по инженерным изысканиям для строительства. - М.: Стройиздат, 1974
47 Праведный Г.Х. Практические рекомендации по противофильтрационным устройствам подземного контура бетонных плотин на скальных основаниях с трещинами тектонического происхождения//Труды коорд. совещ. по гидротехнике/ВНИИГ им. Б.Е. Веденеева. - 1970. - Вып. 48. - С. 206 - 213
48 Принципы инженерно-геологического моделирования для целей гидротехнического строительства/А.Г. Лыкошин, Н.Л. Шешеня, Е.С. Карпышев, В.В. Каякин//Гидротехническое строительство. - 1972. - N 3. - С. 7 - 11
49 Проектирование оснований гидротехнических сооружений. Пособие к СНиП II 16-76/II 13-83/ВНИИГ им. Б.Е. Веденеева, 1984
50 Рац М.В. Неоднородность горных пород и их физических свойств. - М.: Наука, 1968
51 Рекомендации по методике лабораторных испытаний грунтов на водопроницаемость и суффозионную устойчивость: П 49-90/ВНИИГ им. Б.Е. Веденеева. - Л., 1991
52
Рекомендации по определению фильтрационных характеристик горных пород в зоне неполного водонасыщения методом нагнетания воздуха в скважины при инженерных изысканиях в строительстве. - М: Стройиздат, 1976
53 Рекомендации по изучению трещиноватости горных пород при инженерно-геологических изысканиях для строительства. - М.: Стройиздат, 1974
54 Рекомендации по методике составления геофизических схем (моделей) скальных массивов в основаниях бетонных плотин: П 96-81/ВНИИГ им. Б.Е. Веденеева. - Л., 1981
55 Ромм Е.С. Фильтрационные свойства трещиноватых горных пород. - М.: Недра, 1966
56 Руководство по методике определения фильтрационно-суффозионных свойств скальных оснований гидротехнических сооружений: П 28-74/ВНИИГ им. Б.Е. Веденеева. - Л., 1975
57 Руководство по определению водопроницаемости скальных пород методом опытных нагнетаний в скважины: П 656-75. - Л.: Энергия, 1978
58 Руководство по расчету и моделированию фильтрации в основании высоких бетонных плотин: П 43-75/ВНИИГ им Б.Е. Веденеева. - Л., 1976
59 Руководство по расчету коэффициента фильтрации трещиноватых скальных массивов по параметрам трещин. - М.: Стройиздат, 1979
60 Семенов М.П., Орадовская А.Е., Ильина О.В. Геология оснований высоких плотин. - М.: Стройиздат, 1962.
61 Справочник гидрогеолога/Под ред. М.Е. Альтовского. - М.: Гос. науч.-техн. изд-во литературы по геологии и охране недр, 1962
62 Справочник по вероятностным расчетам/Г.Г. Абезгауз, А.П. Тронь, Ю.Н. Копейкин, И.А. Коровин - М.: Стройиздат, 1970
63 Справочное руководство гидрогеолога/Под ред. В.М. Максимова. - Л.: Гос. науч.-техн. изд-во нефтяной и горно-топливной литературы, 1959
64 Чернышев С.Н. Движение воды по сетям трещин. - М.: Недра, 1979
65 Чечот В.З., Каякин В.В., Андрианов А.В. Инженерно-геологическая модель скального массива для целей гидротехнического строительства (на примере Токтогульского гидроузла)//Труды ВСЕГИНГЕО. - М., 1976
66 Чураев Н.В., Ильин Н.И. Радиоиндикаторные методы исследований движения подземных вод. - М.: Атомиздат, 1967.