Главная // Актуальные документы // МетодикаСПРАВКА
Источник публикации
М., 2009
Примечание к документу
Рекомендован к применению с 1 сентября 2008 года (
Распоряжение Росавтодора от 10.09.2008 N 383-р).
Название документа
"ОДМ 218.5.006-2008. Методические рекомендации по применению экологически чистых антигололедных материалов и технологий при содержании мостовых сооружений"
(утв. Распоряжением Росавтодора от 10.09.2008 N 383-р)
"ОДМ 218.5.006-2008. Методические рекомендации по применению экологически чистых антигололедных материалов и технологий при содержании мостовых сооружений"
(утв. Распоряжением Росавтодора от 10.09.2008 N 383-р)
от 10 сентября 2008 г. N 383-р
ОТРАСЛЕВОЙ ДОРОЖНЫЙ МЕТОДИЧЕСКИЙ ДОКУМЕНТ
МЕТОДИЧЕСКИЕ РЕКОМЕНДАЦИИ
ПО ПРИМЕНЕНИЮ ЭКОЛОГИЧЕСКИ ЧИСТЫХ АНТИГОЛОЛЕДНЫХ МАТЕРИАЛОВ
И ТЕХНОЛОГИЙ ПРИ СОДЕРЖАНИИ МОСТОВЫХ СООРУЖЕНИЙ
ОДМ 218.5.006-2008
1. Разработаны Федеральным государственным унитарным предприятием "РОСДОРНИИ". Методический документ разработан в соответствии с
пунктом 3 статьи 4 Федерального закона от 27.12.2002 N 184-ФЗ "О техническом регулировании" и является актом рекомендательного характера в дорожном хозяйстве.
2. Внесены Управлением эксплуатации и сохранности автомобильных дорог Федерального дорожного агентства.
3. Изданы на основании
Распоряжения Федерального дорожного агентства от 10 сентября 2008 г. N 383-р.
4. Имеют рекомендательный характер.
Раздел 1. Область применения
Отраслевой дорожный методический документ "Методические рекомендации по применению экологически чистых антигололедных материалов и технологий при содержании мостовых сооружений" является актом рекомендательного характера и разработан в качестве дополнений к "
Руководству по борьбе с зимней скользкостью на автомобильных дорогах" (ОДМ 218.3.023-2003).
Методические рекомендации содержат перечень противогололедных материалов, возможных к применению для борьбы с зимней скользкостью на автодорожных мостах и других искусственных сооружениях, раскрывают особенности эксплуатации автодорожных мостов в зимних условиях, требования к ПГМ и нормы их распределения, а также необходимые мероприятия по коррозионной защите конструктивных элементов мостов и обеспечению антигололедного состояния дорожных покрытий на искусственных сооружениях.
Положения, изложенные в документе, рекомендуется использовать при зимнем содержании и ремонте автодорожных мостов.
Раздел 2. Нормативные ссылки
В настоящем методическом документе использованы ссылки на следующие документы:
а) Руководство по оценке уровня содержания автомобильных дорог. Временное. М., 2003.
в) Руководство по оценке транспортно-эксплуатационного состояния мостовых конструкций. ОДН 218.0.017-2003. М., 2003.
г)
Руководство по защите металлоконструкций от коррозии и ремонту лакокрасочных покрытий металлических пролетных строений эксплуатируемых автодорожных мостов. М., 2003.
д) Методические
рекомендации по содержанию мостовых сооружений на автомобильных дорогах. Росавтодор. М., 1999.
е) Руководство по борьбе с зимней скользкостью на автомобильных дорогах. ОДМ 218.3.023-2003. М., 2003.
з) Методика испытаний противогололедных материалов. ОДМ 218.2.028-2003. М., 2003.
и)
Рекомендации по учету требований по охране окружающей среды при проектировании автомобильных дорог и мостовых переходов. М., 1995.
к) Методические рекомендации по защите водотоков от загрязнений водами поверхностного стока с эксплуатируемых автодорожных мостов. М., 1991.
л)
Рекомендации по обеспечению экологической безопасности в придорожной полосе при зимнем содержании автомобильных дорог. М., 2003.
м) Методические рекомендации по применению наполнителя "Грикол" в составах асфальтобетонных смесей для устройства покрытия с антигололедными свойствами. М., 2002.
н) Показатели и нормы экологической безопасности автомобильной дороги. М., 2003.
Раздел 3. Термины и определения
В настоящем методическом документе применяются следующие термины с соответствующими определениями:
Зимнее содержание - работы и мероприятия по защите дорог и искусственных сооружений на них в зимний период от снежных отложений, заносов и лавин, очистке от снега, предупреждению образования и ликвидации зимней скользкости и борьбе с наледями.
Зимняя скользкость - снежные отложения и ледяные образования на поверхности дорожного покрытия, приводящие к снижению коэффициента сцепления колеса автомобиля с поверхностью покрытия.
Рыхлый снег - образуется на дорожном покрытии при выпадении твердых осадков в безветренную погоду и откладывается в виде ровного по толщине слоя.
Снежный накат - представляет собой слой снега, уплотненного колесами автомобильного транспорта при определенных метеорологических условиях.
Стекловидный лед - появляется на покрытии в виде гладкой стекловидной пленки толщиной 1 - 3 мм при различных погодных условиях.
Противогололедные материалы (ПГМ) - твердые (сыпучие) или жидкие дорожно-эксплуатационные материалы (фрикционные, химические) или их смеси, применяемые для борьбы с зимней скользкостью на автомобильных дорогах.
Экологически чистые - безопасные противогололедные материалы (ЭКПГМ) - твердые и жидкие ПГМ, не вызывающие вредного воздействия на окружающую природную среду (воду, почву, растения и т.п.) и конструктивные элементы автомобильной дороги (мосты, ограждения, покрытия и т.п.).
Фрикционные ПГМ - материалы, повышающие коэффициент сцепления со снежно-ледяными отложениями на покрытии, для обеспечения безопасных условий движения.
Химические ПГМ - реагенты, способные плавить снежно-ледяные отложения на дорожных покрытиях при отрицательных температурах воздуха.
Раздел 4. Общие положения
а) Важнейшими сооружениями на автомобильных дорогах являются искусственные сооружения и в первую очередь автодорожные мосты, основная задача которых - бесперебойный и безопасный пропуск автомобильного транспорта и пешеходов через водные препятствия в различные сезоны года. Особенно неблагоприятные условия для движения автомобилей и пешеходов возникают в зимний период, когда на дорожном полотне образуются снежно-ледяные отложения, способствующие ухудшению транспортно-эксплуатационного состояния и безопасности дорожного движения на мостовом сооружении.
Поэтому к одной из основных задач зимнего содержания относятся мероприятия по предупреждению образования и ликвидации снежно-ледяных отложений на дорожном полотне и тротуарах мостовых сооружений. Решение этой задачи достигается путем проведения различных работ по поддержанию проезжей части в состоянии, удовлетворяющем требованиям
ГОСТ Р 50597-93 "Автомобильные дороги. Требования к эксплуатационному состоянию, допустимому по условиям обеспечения безопасности дорожного движения".
б) Улучшение состояния мостовых сооружений в зимних условиях достигается путем обработки поверхности покрытия химическими или комбинированными противогололедными материалами (ПГМ) с последующей уборкой дорожной шуги с проезжей части автодорожных мостов.
В качестве химических противогололедных материалов для борьбы с зимней скользкостью на мостовых сооружениях в настоящее время все шире начинают использовать реагенты, не оказывающие отрицательного влияния не только на окружающую природную среду, но и на конструктивные элементы автодорожных мостов. К таким реагентам относят противогололедные материалы, выпускаемые на ацетатной

, формиатной (HCOOH), карбамидной (

) и на других бесхлорных основах, а также хлорсодержащие материалы с антикоррозионными и биологическими добавками (экологически безопасные противогололедные материалы - (ЭК ПГМ)), резко уменьшающими отрицательное влияние на бетонные, металлические конструкции мостов и элементы окружающей среды.
Эффективность использования этих материалов для борьбы с зимней скользкостью на автодорожных мостах в первую очередь зависит от возможности учета постоянных метеорологических данных для конкретного объекта и использования современных передвижных и стационарных распределительных установок.
в) Методические рекомендации по применению экологически чистых противогололедных материалов и технологий при содержании мостовых сооружений разработаны впервые на основании отечественного и зарубежного опыта в качестве дополнения к Руководству по борьбе с зимней скользкостью на автомобильных дорогах. ОДМ 218.3.023-2003.
г) Рекомендации регламентируют порядок проведения мероприятий по борьбе с зимней скользкостью, методы испытаний ПГМ, а также работы, которые обеспечивают требуемые условия эксплуатации мостовых сооружений с помощью применения различных ПГМ и технологий.
Раздел 5. Особенности эксплуатации
мостовых сооружений в зимних условиях
а) Эксплуатируемые мостовые сооружения постоянно подвержены воздействию транспортных нагрузок и различных природных явлений. К природным явлениям прежде всего относятся переменные во времени температура и влажность воздуха, атмосферные осадки, воздействия воды.
б) В особо тяжелых условиях находятся искусственные сооружения, эксплуатируемые в районах с частыми переходами через ноль, т.е. от отрицательных температур к положительным и наоборот.
в) Негативное влияние на состояние искусственных сооружений на автомобильных дорогах оказывают динамические нагрузки от транспортных средств, вызывающие усталостные явления в материале сооружения.
г) В большей степени внешним климатическим и транспортным воздействиям подвержено мостовое полотно - покрытие проезжей части, деформационные швы и сопряжения моста с насыпью, тротуары, перила и ограждения безопасности.
д) На железобетонных пролетных строениях сочетание внешних воздействий и нагрузок вызывает сначала на бетоне поверхностные дефекты в виде его шелушения, затем появление скола слабо сцепленных частиц бетона и образование глубоких выколов, отслоение защитного слоя с оголением и коррозией арматурных стержней.
е) В металлических пролетных строениях от воздействия внешней среды наблюдается коррозия металла. При разрушении защитных покрытий на металле образуется налет ржавчины, который постепенно увеличивается в размерах, достигая уровня, понижающего несущую способность главных элементов пролетных строений.
ж) На автодорожных мостах, которые обладают меньшей теплоемкостью, чем дорожная одежда на земляном полотне, и имеют более низкую температуру покрытия в ночное время, чаще возникают условия гололедообразования.
з) Образованию скользкости на мостах способствует более высокая относительная влажность в поймах рек и других водоемов, особенно в переходный период до установления ледового покрова, а также на искусственных сооружениях около крупных ТЭЦ и предприятий. Поэтому эффективность борьбы с зимней скользкостью на таких объектах, особенно на внеклассных мостовых сооружениях, всецело зависит от своевременного использования достоверных метеорологических данных, которые могут быть получены от автоматических дорожных метеостанций, установленных в непосредственной близости от объекта.
и) С мостовых сооружений запрещается сброс снега и льда.
к) Перед началом зимнего сезона необходима тщательная заделка (ремонт) мест разрушения покрытия и всех конструктивных элементов сооружения, особенно с обнаженной металлической арматурой, нарушенными гидроизоляцией, деформационными швами и водоотводом.
Производят работы по очистке от ржавчины и загрязнений и покраску лакокрасочными материалами металлических элементов и конструкций.
л) На конструктивных выступах мостов, эстакад, путепроводов (ригелях, насадках, консолях тротуаров и т.п.) необходимо производить удаление снега, если его толщина превышает 10 см. В первую очередь очищают южную сторону сооружения.
м) Весной после окончания зимних работ на искусственных сооружениях осуществляют тщательную промывку различных элементов (пазух, деформационных швов, опорных частей и т.п.) с применением специальных моющих средств для снижения коррозии, которая усиливается при повышении температуры воздуха.
н) Все виды зимней скользкости на мостах и других искусственных сооружениях подразделяют на рыхлый снег, снежный накат, стекловидный лед.
Раздел 6. Требования к состоянию дорожного покрытия
на искусственных сооружениях в зимний период
а) К работам по уходу за искусственным сооружением относят очистку элементов мостового полотна и несущих конструкций от снега и льда.
б) Проезжую часть и тротуары очищают от снега и льда, при гололеде посыпают песком, топливным шлаком или дробленым щебнем.
в) После снегопада и при оттепелях талый снег и материалы борьбы с гололедом сдвигают к ограждениям с последующей уборкой их с моста. Уборку снега из валов производят шнековыми и шнекороторными дорожными машинами, автогрейдерами, бульдозерами и другими механизмами с погрузкой снега в самосвалы и вывозом за пределы сооружения на снегосвалки.
г) Водоотводные устройства при необходимости в весенний период промывают горячей водой.
д) Периодичность работ по уборке проезжей части определяется местными условиями, но не реже 1 раза в 10 дней, при снегопадах - ежедневно. Директивные сроки по очистке от снега и завершению борьбы с зимней скользкостью, в том числе и уборка валов снежной массы, сдвинутой со средней части мостовых сооружений, соответствуют
(ГОСТ 50597-93):
- при интенсивности > 3000 авт./сут - 4 ч;
- при интенсивности 1000 - 3000 авт./сут - 5 ч;
- при интенсивности < 1000 авт./сут - 6 ч.
е) Рыхлый (уплотненный) снег на тротуарах в населенных пунктах после снегоочистки не должен превышать 5 (3) см. Срок очистки тротуаров в населенных пунктах составляет не более 1 сут.
ж) Не допускаются не посыпанные фрикционным материалом тротуары в населенных пунктах. Нормативное время посыпки после окончания снегопада в местах с интенсивностью движения пешеходов:
- свыше 250 чел./ч не более 1 ч;
- 100 - 250 чел./ч не более 2 ч;
- до 100 чел./ч не более 3 ч.
з) Не допускается наличие противогололедных материалов на ограждениях и перилах.
и) Не допускается засорение лотков водоотводных трубок и окон в тротуарных блоках.
к) Рыхлый (талый) снег на проезжей части допускается толщиной не более 1 (2) см для А1, А2, А3, Б; 2 (4) см - для дорог Б2.
Нормативная ширина очистки 100%.
л) Срок ликвидации зимней скользкости с момента образования (и уборки снега с момента окончания снегопада) до полного устранения не более 3 (4) ч для А1, А2, А3; 4 (5) ч - для В; 8 - 12 ч - для Г1; 10 (16) ч - для Г2.
м) Снежный накат не допускается на А1, А2, А3, Б; и допускается до 4 см для В, Г1; до 6 см для Г2 при интенсивном движении не более 1500 авт./сут.
н) Основные требования к состоянию дорожного покрытия на искусственных сооружениях в зимних условиях приведены в "Руководстве по оценке уровня содержания автомобильных дорог". М., 2003.
Раздел 7. Борьба с зимней скользкостью
на мостовых сооружениях
а) Мероприятия по предотвращению и ликвидации зимней скользкости на мостовых сооружениях включают:
- профилактическую обработку покрытий химическими противогололедными материалами;
- ликвидацию образовавшегося ледяного или снежно-ледяного слоя химическими противогололедными материалами и/или специальной дорожной техникой;
- повышение шероховатости проезжей части путем распределения фрикционных материалов (песка, высевок, щебня, шлака);
- устройство специальных покрытий с антигололедными свойствами.
б) Для повышения эффективности борьбы с зимней скользкостью проводят мероприятия по:
- устройству автоматических систем распределения жидких ПГМ и антигололедных покрытий на особо ответственных искусственных сооружениях;
- повседневному обеспечению метеорологическими данными для своевременной организации борьбы с зимней скользкостью, особенно при профилактической обработке покрытий, на искусственных сооружениях путем создания системы дорожных метеостанций (постов).
в) С целью предупреждения образования снежно-ледяных отложений на покрытии распределение ПГМ производят предварительно (основываясь на метеопрогнозе) или непосредственно с момента начала снегопада (для предупреждения снежного наката).
г) Распределение ПГМ во время снегопадов позволяет сохранить выпадающий снег в рыхлом состоянии.
После прекращения снегопада образовавшуюся на дороге рыхлую снежную массу удаляют с проезжей части последовательными проходами плужно-щеточных снегоочистителей.
д) Химические реагенты для борьбы с зимней скользкостью на мостовых сооружениях используют только экологически безопасные. К экологически безопасным относятся ПГМ, выпускаемые на основе ацетатов, формиатов, карбамидов и других подобных реагентов.
е) После разрыхления наката (вследствие частичного плавления и воздействия колес автомобильного транспорта) обычно в течение 2 - 3 ч рыхлую водоснежную массу (шугу) убирают последовательными проходами плужно-щеточных снегоочистителей.
ж) При образовании на покрытии стекловидного льда (наиболее опасного вида зимней скользкости) работы по его ликвидации состоят в распределении химического ПГМ в интервале (выдержке) до полного таяния льда, в очистке и уборке проезжей части от образовавшегося раствора или шуги.
з) При фрикционном способе борьбы с зимней скользкостью на мостах применяют песок, каменные высевки, щебень и шлак в соответствии с требованиями ОДН 218.2.028-2003.
и) Противогололедные материалы распределяют равномерно по поверхности покрытий в соответствии с необходимыми нормами распределения, указанными в табл. 1.
Таблица 1
Ориентировочные нормы химических
противогололедных материалов
на проезжей части мостовых сооружений (г/м2)
Группа ПГМ | Рыхлый снег или накат при, t °C | Стекловидный лед, t °C |
-2 | -4 | -8 | -12 | -16 | -20 | -2 | -4 | -6 |
Ацетатная | 10 | 15 | 20 | 30 | 40 | 50 | 40 | 80 | 90 |
Формиатная | 10 | 15 | 20 | 30 | 40 | 50 | 40 | 80 | 90 |
Нитратная | 15 | 30 | 50 | 70 | - | - | 50 | 95 | 160 |
Комплексная | 15 | 20 | 30 | 40 | 50 | 60 | 45 | 90 | 120 |
В настоящее время отечественная промышленность выпускает противогололедные материалы в жидком виде на ацетатной основе типа "Нордвэй" (ТУ 2149-005-59586231-2006), на формиатной основе - типа "ФК" (ТУ 2149-064-58856807-05); в твердом виде - на нитратно-карбамидном сырье типа "НКММ" (ТУ 2149-051-761643-98) и "АНС" (ТУ У-6-13441912.001-97). К комплексной группе относятся многокомпонентные ПГМ, состоящие из нескольких солей, основным представителем которой является "Биодор" марки "Мосты", выпускаемый по ТУ 2149-001-93988694-06.
к) Нормы распределения фрикционных материалов назначают в зависимости от интенсивности движения:
- < 100 авт./сут - 100 г/м2;
- 500 авт./сут - 150 г/м2;
- 750 авт./сут - 200 г/м2;
- 1000 авт./сут - 250 г/м2;
- 1500 авт./сут - 300 г/м2;
- > 2000 авт./сут - 400 г/м2.
л) Распределение жидких и твердых ПГМ осуществляется дорожными машинами, оснащенными автоматическими специальными распределителями и бортовыми компьютерами, характеристика которых приведена в
Приложении А.
м) С целью повышения эффективности использования жидких противогололедных материалов все шире применяются стационарные автоматические системы распределения (типа "СОПО"), оснащенные насосной станцией, метеостанцией и дорожным датчиком.
Автоматические системы обладают неоспоримыми техническими преимуществами перед традиционными распределителями по следующим характеристикам:
- повышению безопасности дорожного движения в зимний период за счет резкого сокращения интервала времени (от момента оповещения до момента распределения) для обработки покрытия ПГМ;
- автоматическому контролю за состоянием дорожного покрытия и количеством ПГМ на поверхности проезжей части;
- отсутствию на проезжей части сооружения распределительной и снегоуборочной техники, снижающих пропускную способность, и, как следствие, уменьшающих количество вредных выбросов в окружающую среду;
- снижению используемого количества реагента за счет применения профилактической обработки покрытия, что предотвращает образование снежного наката или льда;
- сокращению выброса реагента на прилегающие территории за счет оптимальной дозированной нормы распределения в автоматическом режиме.
Раздел 8. Требования к противогололедным материалам,
применяемым на мостовых сооружениях
а) Противогололедные материалы, предназначенные для борьбы с зимней скользкостью, должны удовлетворять настоящим требованиям и соответствовать условиям их применения (температуре воздуха, количеству осадков, состоянию покрытия и т.д.).
б) На мостовых сооружениях предпочтение отдают ПГМ на основе ацетатов (соли уксусной кислоты), формиатов (соли муравьиной кислоты) и нитратов (соли азотной кислоты). В настоящее время отечественная химическая промышленность начала выпуск комплексных ПГМ для мостовых сооружений. При применении других ПГМ конструктивные элементы мостов должны быть защищены антикоррозионными покрытиями. Классификация ПГМ, применяемых для борьбы с зимней скользкостью на мостовых сооружениях, приведена на рисунке.
┌─────────────────────────────┐
│ ПРОТИВОГОЛОЛЕДНЫЕ МАТЕРИАЛЫ │
└──────────────┬──────────────┘
┌────────────────────┴─────────────────┐
┌─────┴────┐ ┌─────┴─────┐
│Химические│ │Фрикционные│
└─────┬────┘ └─────┬─────┘
┌─────────┴─────────┐ │
┌────┴────┐ ┌────┴───┐ ┌─────┴─────┐
│ Твердые │ │ Жидкие │ │ Твердые │
└────┬────┘ └────┬───┘ └─────┬─────┘
┌┴─────────┬─────────┼───────────┐ ┌───┴────┐
┌───┴───┐ ┌────┴───┐ ┌───┴───┐ ┌─────┴─────┐ ┌──┴──┐ ┌──┴──┐
│ацетаты│ │формиаты│ │нитраты│ │комплексные│ │песок│ │отсев│
└───────┘ └────────┘ └───────┘ └───────────┘ └─────┘ └─────┘
Классификация противогололедных материалов
для борьбы с зимней скользкостью
на искусственных сооружениях
в) Химические ПГМ, применяемые для борьбы с зимней скользкостью, должны выполнять следующие функции:
- понижать температуру замерзания воды;
- ускорять плавление снежно-ледяных отложений на дорожных покрытиях;
- проникать сквозь слои снега и льда, разрушая межкристаллические связи, и снижать силы смерзания с дорожным покрытием;
- не увеличивать скользкость дорожного покрытия, особенно при использовании ПГМ в виде растворов;
- быть технологичными при хранении, транспортировке и применении;
- не увеличивать экологическую нагрузку на окружающую природную среду и не оказывать токсичного действия на человека и животных;
- не вызывать увеличения агрессивного воздействия на металл, бетон, кожу и резину.
г) Свойства химических ПГМ оценивают по ряду показателей, объединенных в четыре группы: органолептические, физико-химические, технологические и экологические, основные требования к которым приведены в табл. 2.
Таблица 2
Требования к химическим противогололедным материалам,
применяемым для борьбы с зимней скользкостью
на мостовых сооружениях
┌────────────────────────────────────┬────────────────────────────────────┐
│ Наименование показателей │ Норма │
│ ├──────────────────┬─────────────────┤
│ │ Твердые │ Жидкие │
├────────────────────────────────────┴──────────────────┴─────────────────┤
│Органолептические: │
├────────────────────────────────────┬──────────────────┬─────────────────┤
│1. Состояние │Гранулы, │Водный раствор │
│ │кристаллы, чешуйки│без механических │
│ │ │включений, осадка│
│ │ │и взвеси │
├────────────────────────────────────┼──────────────────┼─────────────────┤
│2. Цвет │От белого до │Светлый, прозрач-│
│ │светло-серого │ный (допускается │
│ │(допускается │со слабой окрас- │
│ │светло-коричневый,│кой желтого или │
│ │светло-розовый) │голубого цвета) │
├────────────────────────────────────┼──────────────────┼─────────────────┤
│3. Запах │Отсутствует │Отсутствует │
│ │(для населенных │(для населенных │
│ │пунктов) │пунктов) │
├────────────────────────────────────┴──────────────────┴─────────────────┤
│Физико-химические: │
├────────────────────────────────────┬──────────────────┬─────────────────┤
│4. Зерновой состав, % │ │ │
│Массовая доля частиц размером: │ │ │
│- свыше 10 мм │ Не допускается │ - │
│- свыше 5 мм до 10 мм вкл., не более│ 10 │ - │
│- свыше 1 мм до 5 мм вкл., не менее │ 75 │ - │
│- 1 мм и менее, не более │ 15 │ - │
├────────────────────────────────────┼──────────────────┼─────────────────┤
│5. Массовая доля растворимых солей │ - │ 20 │
│(концентрация), %, не менее │ │ │
├────────────────────────────────────┼──────────────────┼─────────────────┤
│6. Температура начала │ -10 │ -10 │
│кристаллизации, °C, не выше │ │ │
├────────────────────────────────────┼──────────────────┼─────────────────┤
│7. Влажность, %, не более │ 5 │ - │
├────────────────────────────────────┼──────────────────┼─────────────────┤
│8. Массовая доля нерастворимых │ 2,5 │ - │
│в воде веществ, %, не более │ │ │
├────────────────────────────────────┼──────────────────┼─────────────────┤
│9. Водородный показатель, ед. pH │ 6 - 9 │ 6 - 9 │
├────────────────────────────────────┼──────────────────┼─────────────────┤
│10. Плотность, г/см2 │ 0,8 - 1,15 │ 1,1 - 1,3 │
├────────────────────────────────────┴──────────────────┴─────────────────┤
│Технологические: │
├────────────────────────────────────┬──────────────────┬─────────────────┤
│11. Плавящая способность, г/г, │ 5 │ 2,5 │
│не менее │ │ │
├────────────────────────────────────┼──────────────────┼─────────────────┤
│12. Гигроскопичность, %/сут │ 10 - 50 │ - │
├────────────────────────────────────┼──────────────────┼─────────────────┤
│13. Показатель скользкости, │ 0,2 │ 0,2 │
│не более │ │ │
├────────────────────────────────────┴──────────────────┴─────────────────┤
│Экологические: │
├────────────────────────────────────┬──────────────────┬─────────────────┤
│14. Удельная эффективная активность │ │ │
│естественных радионуклидов для │ │ │
│автодорожных мостов, Бк/кг, │ │ │
│не более: │ │ │
│- в населенных пунктах │ 740 │ 740 │
│- для внегородских условий │ 1500 │ 1500 │
├────────────────────────────────────┼──────────────────┼─────────────────┤
│15. Коррозионная активность │ 0,4 │ 0,4 │
│на металл (Ст.3), мг/см2 x сут, │ │ │
│не более │ │ │
├────────────────────────────────────┼──────────────────┼─────────────────┤
│16. Показатель агрессивности на │ 0,07 │ 0,07 │
│цементобетон, г/см3, не более │ │ │
└────────────────────────────────────┴──────────────────┴─────────────────┘
д) Фрикционные ПГМ должны:
- повышать шероховатость снежно-ледяных отложений на покрытиях для обеспечения безопасности дорожного движения;
- иметь высокие физико-механические свойства, препятствующие разрушению, износу, дроблению и шлифованию ПГМ;
- обладать свойствами, препятствующими увеличению запыленности и загрязнения воздуха.
е) Свойства фрикционных ПГМ оценивают по следующим показателям: типу, внешнему виду, цвету, зерновому составу, количеству пылеватых и глинистых частиц, плотности. Требования к фрикционным материалам приведены в табл. 3.
Таблица 3
Требования к фрикционным противогололедным материалам,
применяемым для борьбы с зимней скользкостью
на мостовых сооружениях
┌──────────────────────────────────────────────┬──────────────────────────┐
│ Наименование показателей │ Норма │
│ ├──────────┬───────────────┤
│ │ Песок │ Отсев │
├──────────────────────────────────────────────┼──────────┼───────────────┤
│1. Зерновой состав, % │ │ │
│Массовая доля частиц отсева размером: │ │ │
│- свыше 10 мм │ - │Не допускается │
│- свыше 5 мм до 10 мм, не более │ - │ 5 │
│- свыше 1 мм до 5 мм, не менее │ - │ 80 │
│- 1 мм и менее, не более │ - │ 15 │
├──────────────────────────────────────────────┼──────────┼───────────────┤
│2. Модуль крупности │1,5 - 3,5 │ - │
├──────────────────────────────────────────────┼──────────┼───────────────┤
│3. Массовая доля пылевидных и глинистых │ 3 │ 3 │
│частиц, %, не более │ │ │
├──────────────────────────────────────────────┼──────────┼───────────────┤
│4. Массовая доля глины в комках, %, не более │ 0,35 │Не допускается │
├──────────────────────────────────────────────┼──────────┼───────────────┤
│5. Марка по прочности, не менее │ - │ 600 │
├──────────────────────────────────────────────┼──────────┼───────────────┤
│6. Влажность, %, не более │ 5 │ 5 │
├──────────────────────────────────────────────┼──────────┼───────────────┤
│7. Удельная эффективная активность │ │ │
│естественных радионуклидов для автодорожных │ │ │
│мостов, Бк/кг, не более: │ │ │
│- в населенных пунктах │ 740 │ 740 │
│- для внегородских условий │ 1500 │ 1500 │
└──────────────────────────────────────────────┴──────────┴───────────────┘
ж) Основным отличием химических противогололедных материалов, применяемых на искусственных сооружениях, является отсутствие агрессивного воздействия их на металлические и бетонные конструктивные элементы. В связи с этим при входном контроле и сертификационных испытаниях, а также по требованию заказчика осуществляют оценку поставляемых ПГМ, в том числе коррозионную активность на металл и бетон по методикам, приведенным в
Приложении Б.
Раздел 9. Специальные покрытия с антигололедными свойствами
На специальных покрытиях с антигололедными свойствами снижается адгезия снежно-ледяных отложений к покрытиям, происходит растапливание тонких слоев льда, сокращается количество ПГМ, уменьшается время гололедоопасности в переходный период, снижается коррозионное воздействие на металл и негативное экологическое воздействие на окружающую среду.
а) Специальные покрытия с антигололедными свойствами устраивают путем введения антигололедных добавок в количестве 0,5 - 2% двумя способами:
- введением в смесь при перемешивании на асфальтобетонных заводах (типа Грикол);
- введением добавок в процессе укладки асфальтобетона под укладчик во время перемешивания шнеком.
б) Покрытие с антигололедными свойствами можно устраивать с добавлением резиновой крошки размером 2 - 3 мм в количестве 3 - 4% от минеральной части смеси.
в) На мостах возможно устройство асфальтобетонного покрытия с улучшенными теплотехническими свойствами за счет применения заполнителей с большей теплоемкостью (шлака, перлита и др.), которые уменьшают время гололедоопасности, особенно в переходный период.
г) В качестве антигололедных добавок можно применять хлорид кальция (не более 0,5%), нитрат кальция или магния (до 2%), ацетаты кальция, магния и калия.
В качестве противодеформационной добавки рекомендуются фториды аммония и натрия. Лучшим является двухкомпонентный состав: реагенты + фторид в соотношении 4:1. Компоненты вводят в смеситель до введения битума, т.е. при перемешивании минеральных материалов.
д) Добавки можно вводить в чистом виде, в виде добавки к минеральному порошку или путем пропитки заполнителей асфальтобетона антигололедными реагентами.
е) Наличие ПГМ в асфальтобетоне способствует появлению противогололедного незамерзающего раствора на покрытии, снижающего сцепление снежно-ледяных образований с покрытием и предупреждающего обледенение покрытий. Пленка раствора образуется за счет выхода ПГМ из асфальтобетона благодаря его капиллярно-пористой структуре (воздушная прослойка).
ж) Действие этого метода эффективно при температуре от 0 °C до минус 5 °C.
Раздел 10. Охрана природной среды
а) Основной задачей охраны природной среды при зимнем содержании мостовых сооружений является максимально возможное снижение ущерба, наносимого природной среде за счет применения экологически безопасных материалов и технологий, а также выполнения системы природоохранных мероприятий.
б) При зимнем содержании мостовых сооружений необходимо:
- обеспечить сохранение растительного и животного мира;
- осуществить защиту поверхностных вод от загрязнения вредными ПГМ.
в) Все мероприятия, связанные с водными ресурсами (реками, озерами и др.), осуществляются с соблюдением "Водного
кодекса РФ", "Положения об охране рыбных запасов и регулирования рыболовства в водоемах РФ", "Правил охраны поверхностных вод от загрязнения".
г) При борьбе с зимней скользкостью на мостах предпочтение следует отдавать профилактическому способу.
д) Экологическая безопасность достигается за счет правильного выбора сертифицированных ПГМ, исполнения технологических регламентов, соблюдения производственной дисциплины, организационных мероприятий и технических решений.
Раздел 11. Защита автодорожных мостов
от агрессивного воздействия
На автодорожных мостах наибольшей коррозии подвержены элементы, находящиеся в непосредственной близости от поверхности проезжей части, которые подвержены воздействию в зимний период химических противогололедных материалов (деформационные швы, тротуарные блоки, водоотводные устройства, перила, ограждения и др.).
а) Источниками коррозионного воздействия при эксплуатации мостов в зимнее время являются:
- периодическое увлажнение всех металлоконструкций атмосферными осадками - дождем, снегом, туманом, росой;
- применение антигололедных материалов, содержащих агрессивные соединения;
- применение песка и других фрикционных материалов, вызывающих абразивное воздействие на конструктивные элементы мостовых сооружений.
б) Защиту металлоконструкций мостов следует осуществлять:
- лакокрасочными покрытиями;
- комбинированными металлизационно-лакокрасочными покрытиями.
в) Противокоррозионные защитные покрытия должны отвечать следующим основным требованиям:
- надежно защищать от коррозии поверхности в рабочем интервале температур от +70 °C до минус 60 °C при воздействии атмосферно-климатических факторов и агрессивности окружающей среды;
- обладать высокими физико-механическими свойствами: адгезией, твердостью, прочностью пленок при ударе и эластичностью при изгибе, абразивостойкостью, особенно при низких температурах. Покрытия не должны растрескиваться и отслаиваться;
- отличаться химической стойкостью к агрессивным средам, действию хлоридов, кислот, сернистых газов и др.;
- покрытия должны обладать высокой влагостойкостью.
г) Для повышения долговечности противокоррозионных покрытий необходимы следующие мероприятия:
- содержание поверхности в чистоте, своевременное удаление песка, снежной массы, обмывка поверхности чистой водой;
- своевременная частичная ремонтная окраска поверхностей на участках с поврежденным покрытием;
- замена лакокрасочного покрытия.
д) Технологический процесс окраски включает:
- подготовку поверхности;
- заделку щелей и герметизацию неплотностей (при необходимости);
- грунтование поверхности металла;
- окрашивание покрывными лакокрасочными материалами в соответствии с принятыми системами покрытия;
- сушку каждого слоя покрытия;
- контроль качества на каждом этапе производства работ, а также всего покрытия в целом.
е) Приготовление рабочих составов лакокрасочных материалов заключается в выполнении следующих операций:
- перемешивании лакокрасочных материалов до однородной консистенции;
- добавлении отвердителя (для двухкомпонентных материалов);
- введении растворителя (разбавителя) с учетом выбранного метода нанесения;
- фильтровании лакокрасочных материалов (при необходимости).
ж) Все операции по выполнению технологического окрашивания должны производиться при температуре воздуха от 5 до 30 °C, относительной влажности воздуха не более 80%, при отсутствии осадков, тумана, росы и воздействия агрессивных агентов.
з) Нанесение лакокрасочных материалов, как правило, необходимо производить распылением.
и) При защите металлоконструкций с применением металлизации покрытие наносится сразу после подготовки поверхности при влажности воздуха не более 85%.
к) Для нанесения покрытия могут использоваться газопламенные и электродуговые установки, а также электрометаллизаторы.
л) Окраска металлизационного слоя лакокрасочным материалом производится сразу после металлизации непосредственно по металлизационному слою без какой-либо подготовки поверхности.
м) Контроль за качеством производства работ по защите от коррозии металлических конструкций моста осуществляют на всех стадиях технологического процесса.
н) Подробные технологии и характеристики лакокрасочных материалов приведены в "
Руководстве по защите металлоконструкций от коррозии и ремонту лакокрасочных покрытий металлических пролетных строений эксплуатируемых автодорожных мостов". М., 2003.
о) Защиту железобетонных автодорожных мостов осуществляют двумя способами:
- гидрофобизацией бетонной поверхности;
- нанесением лакокрасочного покрытия.
п) Гидрофобизацию осуществляют кремнийорганическими жидкостями.
р) Для покрытий применяют акриловые и перхлорвиниловые краски и эмали.
ТЕХНИЧЕСКАЯ ХАРАКТЕРИСТИКА РАСПРЕДЕЛИТЕЛЕЙ
ПРОТИВОГОЛОЛЕДНЫХ МАТЕРИАЛОВ
┌────┬────────────────┬───────────┬──────────────┬─────────┬─────┬──────┬──────┬────────────┬───────────┐
│ N │ Наименование и │ Марка │Базовое шасси │Монтаж │Вмес-│Ширина│Плот- │ Скорость │Дополни- │
│п.п.│местонахождение │ машины │ │оборудо- │ти- │рас- │ность │ до км/ч │тельное │
│ │ завода- │ │ │вания │мость│преде-│рас- ├──────┬─────┤оборудова- │
│ │ изготовителя │ │ │ │кузо-│ления,│преде-│транс-│рабо-│ние для │
│ │ │ │ │ │ва, │м │ления,│порт- │чая │зимнего │
│ │ │ │ │ │м3 │ │г/м2 │ная │ │содержания │
├────┼────────────────┼───────────┼──────────────┼─────────┼─────┼──────┼──────┼──────┼─────┼───────────┤
│ 1 │ 2 │ 3 │ 4 │ 5 │ 6 │ 7 │ 8 │ 9 │ 10 │ 11 │
├────┼────────────────┼───────────┼──────────────┼─────────┼─────┼──────┼──────┼──────┼─────┼───────────┤
│ 1 │ ОАО │ЭД-403Д-01 │ ЗИЛ-431412 │Стацио- │3,25 │4,0 - │25 - │ 60 │ 30 │ Передний │
│ │ "Амурдормаш", │ │ │нарно- │ │ 10,6│ 940│ │ │ отвал, │
│ │ Амурская обл., │ │ │съемная │ │ │ │ │ │ средняя │
│ │ п. Прогресс │ │ │ │ │ │ │ │ │ щетка │
│ │ ├───────────┼──────────────┼─────────┼─────┼──────┼──────┼──────┼─────┼───────────┤
│ │ │ ЭД-242 │ КамАЗ-55111, │Навесная │6,6; │4,0 - │100 - │ 40 │ 20 │ Передний │
│ │ │ │ 65111 │к кузову │ 8,2 │ 6,0│ 400│ │ │скоростной │
│ │ │ │ │самосвала│ │ │ │ │ │ отвал │
│ │ │ │ │(0,7 м3) │ │ │ │ │ │ │
├────┼────────────────┼───────────┼──────────────┼─────────┼─────┼──────┼──────┼──────┼─────┼───────────┤
│ 2 │Саратовский │ 4906 │ ЗИЛ-4331 │Стацио- │3,25 │До 8,5│50 - │ 60 │ 40 │ Передний │
│ │завод дорожно- │ │ │нарно- │ │ │ 1000│ │ │ отвал │
│ │эксплуатацион- │ │ │съемная │ │ │ │ │ │ │
│ │ного и дорожно- ├───────────┼──────────────┼─────────┼─────┼──────┼──────┼──────┼─────┼───────────┤
│ │строительного │ ДМ-32, │ ЗИЛ-431410 │ То же │ 4,0 │ -"- │ -"- │ -"- │ -"- │ То же │
│ │оборудования │ ДМ-32М │ │ │ │ │ │ │ │ │
│ │"Транс- ├───────────┼──────────────┼─────────┼─────┼──────┼──────┼──────┼─────┼───────────┤
│ │Магистраль", │ ДМ-1, │ КамАЗ-55111, │Быстро- │ 4,5 │ -"- │25 - │ -"- │ -"- │ Передний │
│ │г. Саратов │ ДМ-28-10, │МАЗ-5551, ЗИЛ-│съемная │ │ │ 500│ │ │скоростной │
│ │ │ ДМ-6м-30 │ 4520 │в кузове │ │ │ │ │ │ отвал │
│ │ │ │ │а/м │ │ │ │ │ │ │
│ │ ├───────────┼──────────────┼─────────┼─────┼──────┼──────┼──────┼─────┼───────────┤
│ │ │ ДМ-34, │ МАЗ-5334, │Стацио- │ 4,5 │ -"- │50 - │ -"- │ -"- │ Передний, │
│ │ │ ДМ-39 │ КамАЗ-5320 │нарно- │ │ │ 1000│ │ │ средний │
│ │ │ │ │съемная │ │ │ │ │ │ и боковой │
│ │ │ │ │ │ │ │ │ │ │скоростные │
│ │ │ │ │ │ │ │ │ │ │ отвалы │
│ │ │ │ │ │ │ │ │ │ │(на КамАЗ) │
│ │ ├───────────┼──────────────┼─────────┼─────┼──────┼──────┼──────┼─────┼───────────┤
│ │ │ ДМ-6м, │ КамАЗ-5320, │Быстро- │ 6,0 │ -"- │25 - │ -"- │ -"- │ Передний │
│ │ │ ДМ-38, │ ЗИЛ-133ГЯ, │съемная │ │ │ 500│ │ │скоростной │
│ │ │ ДМ-41 │ Г40, │в кузове │ │ │ │ │ │ отвал │
│ │ │ │ КамАЗ-55111 │а/м │ │ │ │ │ │ │
├────┼────────────────┼───────────┼──────────────┼─────────┼─────┼──────┼──────┼──────┼─────┼───────────┤
│ 3 │ЗАО "Смоленский │МДК-433362-│ ЗИЛ-433362 │Стацио- │ 4,0 │3,0 - │10 - │ 60 │ 30 │ Передний │
│ │ автоагрегатный │00, 01, 05,│ │нарно- │ │ 9,0│ 400│ │ │ отвал, │
│ │завод АМО ЗИЛ", │ 06 │ │съемная │ │ │ │ │ │ щетка │
│ │ г. Смоленск ├───────────┼──────────────┼─────────┼─────┼──────┼──────┼──────┼─────┼───────────┤
│ │ │ МДК-133 │ ЗИЛ-133Г4 │ То же │ 6,0 │4,0 - │25 - │ 60 │ 20 │ Передний │
│ │ │ Г4-S1 │ │ │ │ 9,0│ 400│ │ │ отвал, │
│ │ │ │ │ │ │ │ │ │ │скоростной │
│ │ │ │ │ │ │ │ │ │ │ отвал, │
│ │ │ │ │ │ │ │ │ │ │ боковой │
│ │ │ │ │ │ │ │ │ │ │ отвал, │
│ │ │ │ │ │ │ │ │ │ │ щетка │
│ │ ├───────────┼──────────────┼─────────┼─────┼──────┼──────┼──────┼─────┼───────────┤
│ │ │ МДК-5337- │ МАЗ-533700 │ -"- │ 5,9 │3,0 - │10 - │ 60 │ 30 │ Передний │
│ │ │00, 01, 05,│ │ │ │ 9,0│ 400│ │ │ отвал, │
│ │ │ 06 │ │ │ │ │ │ │ │ щетка │
├────┼────────────────┼───────────┼──────────────┼─────────┼─────┼──────┼──────┼──────┼─────┼───────────┤
│ 4 │ОАО "Комплексные│ КДМ-130В, │ ЗИЛ-433362, │Стацио- │3,25 │4,0 - │25 - │ 60 │ 30 │ Передний │
│ │ дорожные │ ЭД-226 │ ЗИЛ-433102 │нарно- │ │ 10,0│ 500│ │ │ отвал, │
│ │ машины", │ │ │съемная │ │ │ │ │ │ щетка │
│ │ г. Смоленск ├───────────┼──────────────┼─────────┼─────┼──────┼──────┼──────┼─────┼───────────┤
│ │ │ ЭД-224 │ МАЗ-5337 │Стацио- │ 5,6 │4,0 - │10 - │ 60 │ 30 │ Передний │
│ │ │ │ │нарно- │ │ 12,0│ 500│ │ │ отвал, │
│ │ │ │ │съемная │ │ │ │ │ │ щетка │
│ │ ├───────────┼──────────────┼─────────┼─────┼──────┼──────┼──────┼─────┼───────────┤
│ │ │ ЭД-403, │ЗИЛ-133Г4, Д4 │ -"- │ -"- │ -"- │25 - │ -"- │ -"- │ То же │
│ │ │ ЭД-410 │ │ │ │ │ 500│ │ │ │
│ │ ├───────────┼──────────────┼─────────┼─────┼──────┼──────┼──────┼─────┼───────────┤
│ │ │ ЭД-405, │ КамАЗ-53213, │ -"- │ 6,5 │ -"- │10 - │ -"- │ -"- │ Передний │
│ │ │ ЭД-405А │ КамАЗ-55111 │ │ │ │ 500│ │ │ отвал, │
│ │ │ │ │ │ │ │ │ │ │скоростной │
│ │ │ │ │ │ │ │ │ │ │ отвал, │
│ │ │ │ │ │ │ │ │ │ │ щетка │
│ │ ├───────────┼──────────────┼─────────┼─────┼──────┼──────┼──────┼─────┼───────────┤
│ │ │ ЭД-243 │ МАЗ-63039 │ -"- │ 6,0 │2,0 - │5 - │ -"- │ -"- │ Передний, │
│ │ │ │ │ │ │ 12,0│ 500│ │ │ боковой │
│ │ │ │ │ │ │ │ │ │ │ отвал, │
│ │ │ │ │ │ │ │ │ │ │ щетка │
├────┼────────────────┼───────────┼──────────────┼─────────┼─────┼──────┼──────┼──────┼─────┼───────────┤
│ 5 │ ОАО │ ЭД-242 │ Самосвалы │Навесная │3,25;│4,0 - │100 - │ 40 │ 40 │ Передний │
│ │ "Новосибирский │ │семейства ЗИЛ,│к кузову │5,6; │ 6,0│ 400│ │ │ отвал, │
│ │ завод дорожных │ │ КамАЗ, УРАЛ │самосвала│ 6,2 │ │ │ │ │скоростной │
│ │ машин", │ │ │(0,7 м3) │ │ │ │ │ │ отвал │
│ │ г. Новосибирск ├───────────┼──────────────┼─────────┼─────┼──────┼──────┼──────┼─────┼───────────┤
│ │ │ ЭД-240 │ ЗИЛ-433362, │Стацио- │ -"- │4,0 - │25 - │ 60 │ 30 │ Передний │
│ │ │ │ ЗИЛ-133Г4, │нарно- │ │ 10,6│ 500│ │ │ отвал, │
│ │ │ │ КамАЗ-55111 │съемная │ │ │ │ │ │скоростной │
│ │ │ │ │ │ │ │ │ │ │ отвал, │
│ │ │ │ │ │ │ │ │ │ │ щетка │
├────┼────────────────┼───────────┼──────────────┼─────────┼─────┼──────┼──────┼──────┼─────┼───────────┤
│ 6 │ ОАО НПО │ КО-713М, │ ЗИЛ-433362, │Стацио- │3,25 │4,0 - │25 - │ 60 │ 30 │ Передний │
│ │ "Росдормаш", │КО-713-02М │ ЗИЛ-433360 │нарно- │ │ 10,0│ 500│ │ │ отвал, │
│ │Московская обл.,│ │ │съемная │ │ │ │ │ │ щетка │
│ │ п. Мамонтовка │ │ │ │ │ │ │ │ │ │
├────┼────────────────┼───────────┼──────────────┼─────────┼─────┼──────┼──────┼──────┼─────┼───────────┤
│ 7 │ОАО "Севдормаш",│ КО-713М │ ЗИЛ-433362 │Стацио- │ 3,0 │4,0 - │50 - │ 60 │ 30 │ Передний │
│ │Архангель- │ │ │нарно- │ │ 9,0│ 300│ │ │ отвал, │
│ │ская обл., │ │ │съемная │ │ │ │ │ │ щетка │
│ │г. Северодвинск │ │ │ │ │ │ │ │ │ │
├────┼────────────────┼───────────┼──────────────┼─────────┼─────┼──────┼──────┼──────┼─────┼───────────┤
│ 8 │ ОАО "Мценский │КО-713-02, │ ЗИЛ-433362 │Стацио- │ 3,0 │4,0 - │50 - │ 60 │ 30 │ Передний │
│ │ завод │КО-713-03 │ │нарно- │ │ 9,0│ 300│ │ │ отвал, │
│ │ коммунального │ │ │съемная │ │ │ │ │ │ щетка │
│ │машиностроения" ├───────────┼──────────────┼─────────┼─────┼──────┼──────┼──────┼─────┼───────────┤
│ │ │ КО-806 │ КамАЗ-4925 │ То же │ 5,0 │ -"- │ -"- │ -"- │ -"- │ То же │
│ │ ├───────────┼──────────────┼─────────┼─────┼──────┼──────┼──────┼─────┼───────────┤
│ │ │ КО-823 │ КамАЗ-53229 │ -"- │ 6,5 │ -"- │ -"- │ -"- │ -"- │ -"- │
├────┼────────────────┼───────────┼──────────────┼─────────┼─────┼──────┼──────┼──────┼─────┼───────────┤
│ 9 │"Тосненский │ КДМ-69283 │ КамАЗ-53229 │Стацио- │ 6,2 │4,0 - │25 - │ 60 │ 30 │ Передний │
│ │механический │ ("Сокол") │ │нарно- │ │ 9,0│ 500│ │ │ обычный, │
│ │завод" (ТоМеЗ), │ │ │быстро- │ │ │ │ │ │скоростной │
│ │Ленинград- │ │ │съемная │ │ │ │ │ │ отвал, │
│ │ская обл., │ │ │ │ │ │ │ │ │ боковой │
│ │г. Тосно │ │ │ │ │ │ │ │ │ отвал, │
│ │ │ │ │ │ │ │ │ │ │ щетка │
│ │ │ │ │ │ │ │ │ │ │ передняя, │
│ │ │ │ │ │ │ │ │ │ │ средняя │
├────┼────────────────┼───────────┼──────────────┼─────────┼─────┼──────┼──────┼──────┼─────┼───────────┤
│ 10 │ОАО "Кемеровский│ ДМК-10 │ КРАЗ-6510 │Навесная │ 6,2 │4,0 - │125 - │ 60 │ 30 │ - │
│ │ опытный │ │ │к кузову │ │ 6,0│ 400│ │ │ │
│ │ ремонтно- │ │ │самосвала│ │ │ │ │ │ │
│ │ механический │ │ │ │ │ │ │ │ │ │
│ │ завод", │ │ │ │ │ │ │ │ │ │
│ │ г. Кемерово │ │ │ │ │ │ │ │ │ │
├────┼────────────────┼───────────┼──────────────┼─────────┼─────┼──────┼──────┼──────┼─────┼───────────┤
│ 11 │ОАО "Мотовили- │ КМ-500 │ КамАЗ-53213 │Стацио- │ 6,2 │4,0 - │25 - │ 60 │ 30 │ Передний │
│ │хинские заводы",│ │ │нарно- │ │ 10,0│ 500│ │ │ отвал, │
│ │г. Пермь │ │ │съемная │ │ │ │ │ │скоростной │
│ │ │ │ │ │ │ │ │ │ │ и средний │
│ │ │ │ │ │ │ │ │ │ │ отвал │
├────┼────────────────┼───────────┼──────────────┼─────────┼─────┼──────┼──────┼──────┼─────┼───────────┤
│ 12 │ ОАО "Ряжский │ МКДС-2004 │ ЗИЛ-133Д4 │Стацио- │ 5,6 │4,0 - │10 - │ 60 │ 30 │ Передний │
│ │ авторемонтный │ │ │нарно- │ │ 10,0│ 300│ │ │ отвал, │
│ │ завод", │ │ │съемная │ │ │ │ │ │скоростной │
│ │Рязанская обл., │ │ │ │ │ │ │ │ │ отвал, │
│ │ г. Ряжск │ │ │ │ │ │ │ │ │ щетка │
├────┼────────────────┼───────────┼──────────────┼─────────┼─────┼──────┼──────┼──────┼─────┼───────────┤
│ 13 │ Концерн │ НО-075 │ МАЗ-5551 │Быстро- │ 4,0 │2,0 - │5 - 40│ 60 │ 30 │ Передний │
│ │ "Амкодор", │ │ │съемная │ │ 8,0│ │ │ │ отвал │
│ │ Республика │ │ │в кузове │ │ │ │ │ │ │
│ │ Беларусь, │ │ │а/м │ │ │ │ │ │ │
│ │ г. Минск │ │ │ │ │ │ │ │ │ │
├────┼────────────────┼───────────┼──────────────┼─────────┼─────┼──────┼──────┼──────┼─────┼───────────┤
│ 14 │ ООО "Евразия", │Тройка-2000│Урал-55571-30,│Быстро- │ 4,0 │6,0 - │20 - │ 60 │ 30 │ Передний │
│ │ г. Челябинск │ │ Урал-Ивеко │съемная │ │ 14,0│ 400│ │ │ отвал, │
│ │ │ │ │в кузове │ │ │ │ │ │скоростной,│
│ │ │ │ │а/м │ │ │ │ │ │ средний, │
│ │ │ │ │ │ │ │ │ │ │ боковой, │
│ │ │ │ │ │ │ │ │ │ │ щетка │
├────┼────────────────┼───────────┼──────────────┼─────────┼─────┼──────┼──────┼──────┼─────┼───────────┤
│ 15 │ОАО "Арзамас- │ КО-829А │ ЗИЛ-433362 │Стацио- │ 3,1 │4,0 - │25 - │ 60 │ 30 │ Передний │
│ │ский завод │ │ │нарно- │ │ 9,0│ 500│ │ │ отвал, │
│ │коммунального │ │ │съемная │ │ │ │ │ │ щетка │
│ │машиностроения",│ │ │ │ │ │ │ │ │ │
│ │Нижегород- │ │ │ │ │ │ │ │ │ │
│ │ская обл., │ │ │ │ │ │ │ │ │ │
│ │г. Арзамас │ │ │ │ │ │ │ │ │ │
├────┼────────────────┼───────────┼──────────────┼─────────┼─────┼──────┼──────┼──────┼─────┼───────────┤
│ 16 │ ОАО │ МД-433 │ ЗИЛ-433362 │ То же │ 3,0 │4,0 - │100 - │ 60 │ 30 │ Передний │
│ │"Кургандормаш", │ │ │ │ │ 9,0│ 400│ │ │ отвал, │
│ │ г. Курган │ │ │ │ │ │ │ │ │ щетка │
│ │ ├───────────┼──────────────┼─────────┼─────┼──────┼──────┼──────┼─────┼───────────┤
│ │ │ КУМ-99 │ ЗИЛ-452632 │ -"- │ 4,0 │3,0 - │10 - │ 60 │ 30 │ То же │
│ │ │ │ │ │ │ 9,0│ 300│ │ │ │
├────┼────────────────┼───────────┼──────────────┼─────────┼─────┼──────┼──────┼──────┼─────┼───────────┤
│ 17 │ОАО "Мосдормаш",│ КУМ-99 │ ЗИЛ-452632 │ -"- │ 4,0 │4,0 - │10 - │ 60 │ 40 │ -"- │
│ │ г. Москва │ │ │ │ │ 9,0│ 300│ │ │ │
│ │ ├───────────┼──────────────┼─────────┼─────┼──────┼──────┼──────┼─────┼───────────┤
│ │ │ КУМ-104 │ МАЗ-533702 │ -"- │ 8,0 │1,75 -│20 - │ 60 │ 50 │ -"- │
│ │ │ │ │ │ │ 7,0│ 200│ │ │ │
│ │ ├───────────┼──────────────┼─────────┼─────┼──────┼──────┼──────┼─────┼───────────┤
│ │ │ КУМ-105 │ КамАЗ-43253 │ -"- │ 9,0 │1,75 -│20 - │ 60 │ 50 │ -"- │
│ │ │ │ │ │ │ 7,0│ 200│ │ │ │
└────┴────────────────┴───────────┴──────────────┴─────────┴─────┴──────┴──────┴──────┴─────┴───────────┘
МЕТОДИКИ ИСПЫТАНИЙ ПРОТИВОГОЛОЛЕДНЫХ МАТЕРИАЛОВ
НА ЦЕМЕНТОБЕТОН И МЕТАЛЛ
Б.1. Методика определения агрессивного воздействия
противогололедных материалов на цементобетон
Сущность метода
Методика предусматривает испытание бетона на коррозионную стойкость против совместного действия противогололедных материалов и мороза при низких температурах воздуха. Ускорение процесса достигается понижением температуры замораживания до минус 50 +/- 5 °C в соответствии с
ГОСТ 10060.2-95.
За меру агрессивного воздействия ПГМ на цементобетон принята способность образцов сохранять состояние (отсутствие трещин, сколов, шелушения поверхности и др.) и массу при многократном переменном замораживании-оттаивании в растворе ПГМ. За критерий коррозионной стойкости принимают величину допустимой потери массы испытываемых образцов, приведенную к его объему, в размере 0,07 г/см3 (

).
Аппаратура
Весы лабораторные для гидростатического взвешивания с точностью измерения 0,02 г.
Оборудование для изготовления и хранения бетонных образцов должно соответствовать требованиям
ГОСТ 22685 и
ГОСТ 10180.
Морозильная камера, обеспечивающая достижение и поддержание температуры до минус 50 +/- 5 °C.
Емкости для насыщения и испытания образцов в растворе ПГМ из коррозионно-стойких материалов.
Ванная для оттаивания образцов, оборудованная устройством для поддержания температуры раствора ПГМ в пределах 20 +/- 2 °C.
Шкаф вакуумный.
Подготовка к испытанию
Бетонные образцы (изготовленные из бетона B30 (M400) или отобранные в виде проб (кернов) из мостовых конструкций) не должны иметь внешних дефектов. Количество образцов для одной серии испытаний должно быть не менее 6 шт. Перед испытанием образцы высушивают до постоянной массы в сушильном шкафу при температуре 100 +/- 5 °C. Образцы маркируют, замеряют геометрические размеры, оценивают внешнее состояние и взвешивают.
Для испытания готовят растворы ПГМ 10%-ной концентрации.
Образцы насыщают в растворе ПГМ в вакуум-шкафу в течение 1 ч, выдерживают при комнатной температуре в течение 1 ч и взвешивают на воздухе и в воде. Объем образцов бетона после водонасыщения определяют методом гидростатического взвешивания по
ГОСТ 12730.1. Точность взвешивания до 0,02 г.
Проведение испытания
Бетонные образцы после насыщения подвергают испытаниям на замораживание-оттаивание.
Для этого насыщенные образцы помещают в заполненную таким же раствором емкость на две деревянные прокладки: при этом расстояние между образцами и стенками емкости должно быть не менее 10 +/- 2 мм, слой жидкости над поверхностью образцов должен быть не менее 20 +/- 2 мм.
Образцы помещают в морозильную камеру с температурой воздуха не выше минус 10 °C в закрытых сверху емкостях так, чтобы расстояние между стенками емкостей и камеры было не менее 50 мм.
После установки емкостей в камере понижают температуру в течение 1 (+/- 0,25) ч до минус 50 +/- 5 °C и выдерживают при этой температуре 1 (+/- 0,25) ч.
Далее температуру в камере повышают в течение 1 +/- 0,5 ч до минус 10 °C и при этой температуре выгружают из нее емкости с образцами. Образцы оттаивают в течение 1 +/- 0,25 ч в ванне с раствором ПГМ при температуре 20 +/- 2 °C. При этом емкости с образцами погружают в ванну таким образом, чтобы каждая из них была окружена слоем жидкости не менее 50 мм.
Общее число циклов испытания зависит от состояния образцов и агрессивности ПГМ. Число циклов испытания образцов в течение суток должно быть не менее одного. В случае вынужденного перерыва в испытании образцы хранят в растворе ПГМ не более 5 сут. При перерыве в испытании более 5 сут возобновляют их на новых сериях образцов. После каждых пяти циклов испытаний контролируют состояние образцов (появление трещин, сколов, шелушение поверхности) и массу путем взвешивания. Перед взвешиванием образцы промывают чистой водой, поверхность осушают влажной тряпкой.
После каждых пяти циклов попеременного замораживания-оттаивания следует заменить 10%-ные растворы ПГМ в емкостях и ванне для оттаивания на вновь приготовленные.
Обработка результатов
После испытания оценивают визуально состояние образцов: наличие трещин, сколов, шелушения и другие дефекты. Агрессивность ПГМ по отношению к цементобетону оценивают по уменьшению массы образцов, приведенной к их объему.
Оценку степени агрессивности испытуемого реагента проводят в следующей последовательности:
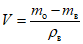
- Определяют объем (V) образцов по результатам взвешивания на воздухе и в воде (гидростатическое взвешивание):

, см3,
где

- масса образца, насыщенного в 10%-ном растворе ПГМ в вакуум-шкафу, определенная взвешиванием на воздухе, г;

- масса образца, насыщенного в 10%-ном растворе ПГМ в вакуум-шкафу, определенная взвешиванием в воде, г;

- плотность воды, принимаемая равной 1 г/см3.
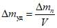
- Определяют потери массы образца

после 5, 10, 15, 20 циклов ускоренных испытаний (по ГОСТ 10060.0-95
табл. 3):

, г,
где

- масса образца, определенная взвешиванием на воздухе, после "n" циклов замораживания-оттаивания.
- Определяют удельное изменение массы образца

, отнесенное к его объему

.
Строят график зависимости удельного изменения массы образца от количества циклов испытаний.
Предельным значением удельного изменения массы образцов является

. Образцы бетона, имеющие значения выше этого показателя, считаются не выдержавшими испытания.
Б.2. Методика определения коррозионной активности
противогололедных материалов на металл
Сущность метода
За меру агрессивного воздействия противогололедного материала на металл принята скорость потери массы на единицу площади образца за определенный промежуток времени.
Ускорения коррозионного процесса достигают погружением образца металла в раствор противогололедного материала комнатной температуры (T = 20 +/- 2 °C) определенной концентрации с последующим его высушиванием на воздухе и в сушильном шкафу и выдерживания в паровоздушной среде 100% влажности.
Аппаратура и реактивы
Весы аналитические с погрешностью 0,0002 г по ГОСТ 24104-88.
Сушильный шкаф, ТУ 16-681.032.84.
Плоские металлические пластины прямоугольной или квадратной формы из стали (марки Ст.3) размером 50 x 50 x 0,5 мм. Допустимая погрешность при изготовлении по стороне пластин +/- 1 мм, по толщине +/- 0,1 мм.
Подготовка к испытанию
Пластины маркируют путем клеймения, на углах пластин сверлят отверстия для подвешивания в испытуемых растворах, при этом кромки образцов и края отверстий не должны иметь заусенцев. Подготовку образцов к испытаниям проводят по
ГОСТ 9.909-86.
Металлические пластины обезжиривают спиртом или ацетоном. При этом допускается применять легкие щетки, кисти, вату, целлюлозу. После обезжиривания пластины берут только за торцы руками в хлопчатобумажных перчатках или пинцетом. Перед испытанием замеряют геометрические размеры пластин, вычисляют их площадь (6 поверхностей) и взвешивают на аналитических весах с погрешностью 0,0002 г.
Испытание металлических пластин осуществляют в растворах ПГМ 5%-ной концентрации. Количество раствора в испытательной емкости должно быть не менее 20 см3 на 1 см2 поверхности пластины с учетом их полного погружения в раствор. Расстояние между пластинами и до стенок емкости должно быть не менее 10 мм.
Проведение испытаний
| | ИС МЕГАНОРМ: примечание. Взамен ГОСТ 9.907-83 Приказом Ростехрегулирования от 19.09.2007 N 247-ст с 1 января 2009 года введен в действие ГОСТ Р 9.907-2007. | |
Металлические пластины опускают в коррозионную среду (раствор ПГМ) на 1 ч при T = 20 +/- 2 °C. Пластины вынимают из раствора и выдерживают на воздухе 1 ч при комнатной температуре (20 +/- 2 °C). Затем высушивают в сушильном шкафу при температуре 60 +/- 2 °C в течение 1 ч. После этого пластины размещают в эксикаторе над водой (W = 100%) и выдерживают при закрытой крышке в течение 2 сут. По окончании испытаний пластины промывают струей дистиллированной воды
(ГОСТ 6709-72), осушают фильтровальной бумагой, мягкой ветошью. Твердые продукты коррозии удаляют с поверхности пластин химическим методом в соответствии с ГОСТ 9.907-83. Сущность химического метода состоит в растворении продуктов коррозии в растворе определенного состава. Пластины обрабатывают соляной кислотой с добавлением ингибитора уротропина или травленой цинком до полного удаления коррозии. Затем промывают проточной водой, нейтрализуют в растворе двууглекислой соды 5%-ной концентрации и обезжиривают ацетоном. После обработки пластины промывают дистиллированной водой, осушают фильтровальной бумагой (мягкой ветошью) и помещают в сушильный шкаф с температурой 60 °C на 0,5 - 1 ч. Перед взвешиванием пластины выдерживают в эксикаторе с осушителем (

) 24 ч. Взвешивание производят на аналитических весах.
Обработка результатов
За основной количественный показатель коррозии принимают скорость потери массы на единицу площади образца.
Показатель коррозии (K) вычисляют по формуле

, мг/см2 x сут,
где

- потеря массы образца, мг;
S - площадь поверхности образца, см2;
t - продолжительность испытания, сут.