Главная // Актуальные документы // Методическое пособиеСПРАВКА
Источник публикации
М., 2020
Примечание к документу
Название документа
"Методическое пособие по расчету сталежелезобетонных пролетных строений автодорожных мостов"
"Методическое пособие по расчету сталежелезобетонных пролетных строений автодорожных мостов"
МИНИСТЕРСТВО СТРОИТЕЛЬСТВА И ЖИЛИЩНО-КОММУНАЛЬНОГО
ХОЗЯЙСТВА РОССИЙСКОЙ ФЕДЕРАЦИИ
ФЕДЕРАЛЬНОЕ АВТОНОМНОЕ УЧРЕЖДЕНИЕ
"ФЕДЕРАЛЬНЫЙ ЦЕНТР НОРМИРОВАНИЯ, СТАНДАРТИЗАЦИИ
И ТЕХНИЧЕСКОЙ ОЦЕНКИ СООТВЕТСТВИЯ В СТРОИТЕЛЬСТВЕ"
МЕТОДИЧЕСКОЕ ПОСОБИЕ
ПО РАСЧЕТУ СТАЛЕЖЕЛЕЗОБЕТОННЫХ ПРОЛЕТНЫХ СТРОЕНИЙ
АВТОДОРОЖНЫХ МОСТОВ
Сведения о методическом пособии
1 ИСПОЛНИТЕЛИ - ЗАО "ПРОМТРАНСНИИПРОЕКТ", АО ЦНИИС НИЦ "Мосты"
2 ВВЕДЕНО ВПЕРВЫЕ
Цель разработки - предоставление разъяснений нормативных требований для выполнения расчетов, а также информации, поясняющей физический смысл и значимость процессов и явлений, присущих работе сталежелезобетонных пролетных строений автодорожных мостов под нагрузками и воздействиями на протяжении жизненного цикла сооружения.
Методическое пособие разработано для применения широким кругом специалистов, чья деятельность связана с проектированием, строительством и эксплуатацией сооружений на объектах транспортной инфраструктуры, в том числе специалистами:
- проектных организаций;
- государственных и иных органов экспертизы и согласования;
- надзорных служб, органов декларирования и сертификации.
Методическое пособие содержит рекомендации по расчету автодорожных мостовых сооружений со сталежелезобетонными пролетными строениями с ездой поверху, сооружаемых путем монтажа стальных балок и последующего бетонирования (монтажа) железобетонной плиты проезжей части, получивших широкое распространение в практике отечественного мостостроения.
В настоящее время отдают предпочтение сталежелезобетонным мостам с монолитной плитой, в то время как большинство существующих нормативных документов ориентировано на сборные конструкции, широко применявшиеся ранее. Особенность конструкций с монолитной плитой - постоянное изменение их жесткости по мере укладки и твердения бетона, свойства которого в раннем возрасте еще недостаточно изучены.
Учет изменения жесткости конструкции, последовательности бетонирования, а также прочностных и деформативных характеристик бетона в процессе сооружения железобетонной плиты - необходимое условие математического моделирования поведения конструкции во время строительства и объективной оценки напряженно-деформированного состояния сталежелезобетонного пролетного строения после возведения.
В этих условиях, большое значение приобретает учет ряда конструктивно-технологических факторов, сопутствующих сооружению и эксплуатации сталежелезобетонных пролетных строений, таких как: последовательность бетонирования плиты проезжей части, образование сквозных трещин в железобетонной плите над промежуточными опорами, долговременные процессы в бетоне (усадка и ползучесть), саморазогрев бетона в процессе твердения, температурные перепады между стальной и бетонной частями поперечного сечения, допущение ограниченных пластических деформаций в металле.
Игнорирование или недостаточный учет указанных факторов приводит в ряде случаев (в том числе во вновь построенных мостах со сталежелезобетонными строениями) к дефектам (провисы, сквозные трещины в плите, выпучивание стенок балок и т.д.), снижающим потребительские свойства мостовых сооружений.
Методическое пособие ориентировано на выполнение расчетов с помощью компьютера. Программные конечно-элементные вычислительные комплексы, используемые в отечественной практике, зачастую не содержат модулей, отражающих в полной мере особенности расчета сталежелезобетонных пролетных строений.
Для ликвидации указанного пробела при разработке вспомогательных дополнительных компьютерных программ следует использовать рекомендации, содержащиеся в методическом пособии.
Методическое пособие содержит примеры расчета, сформированные применительно к получившему широкое распространение в нашей стране типовому сталежелезобетонному пролетному строению. Исходные данные о пролетном строении в сочетании с результатами расчетов, приведенные в методическом пособии, позволяют использовать примеры расчетов для верификации программных модулей.
Наряду с методическими рекомендациями по выполнению расчетов сталежелезобетонных пролетных строений автодорожных мостов, методическое пособие содержит оценку значимости влияния конструктивно-технологических факторов на работу пролетных строений под нагрузками и воздействиями. Приведенная оценка значимости факторов позволит инженеру более осмыслено оценивать результаты конечно-элементных компьютерных расчетов и выбирать рациональное конструктивно-технологическое решение.
Применение настоящего методического пособия дает возможность для более грамотного и рационального проектирования.
Применение методического пособия позволит повысить качество выполняемых проектных работ, сократить сроки и снизить стоимость проектирования за счет использования типовых единых подходов к выполнению работ на основе унифицированных методик и технологий, а также проведение независимых экспертных оценок выполненных работ, что приведет к снижению рисков возникновения аварийных ситуаций и повышению безопасной эксплуатации строительных объектов.
Методическое пособие разработано авторским коллективом АО ЦНИИС НИЦ "Мосты" (канд. техн. наук Ю.М. Егорушкин, И.С. Сухов, инженеры Н.Ю. Новак, В.В. Одинцов).
Настоящее методическое пособие следует использовать при выполнении расчетов, оценке эффективности конструктивных решений и текущего состояния автодорожных мостовых сооружений со сталежелезобетонными пролетными строениями с ездой поверху, сооружаемых путем монтажа стальных балок и последующего бетонирования (монтажа) железобетонной плиты проезжей части.
Методическое пособие предназначено для использования при проектировании, строительстве, эксплуатации, реконструкции, обследовании и испытаниях сталежелезобетонных мостов.
В настоящем методическом пособии использованы ссылки на следующие нормативные документы:
ГОСТ 32960-2014 Дороги автомобильные общего пользования. Нормативные нагрузки, расчетные схемы нагружения
СП 63.13330.2018 "СНиП 52-01-2003 Бетонные и железобетонные конструкции. Основные положения" (с изменением N 1)
СП 159.1325800.2014 Сталежелезобетонные пролетные строения автодорожных мостов. Правила расчета
В настоящем методическом пособии использованы следующие термины с соответствующими определениями:
3.1 загружение поверхности влияния: Поиск неблагоприятных расположений временных подвижных нагрузок на пролетном строении моста и соответствующих этим расположениям экстремальных значений расчетной величины (усилия, перемещения и т.д.).
3.2 нагрузочный эффект: Усилия, напряжения, деформации и перемещения, вызванные силовыми воздействиями.
3.3 момент замыкания стали и бетона: Начало совместной работы стальной балки и железобетонной плиты проезжей части, за которое условно принимают момент времени, когда прочность бетона достигает 30% расчетной прочности.
3.4 поверхность влияния: Функция, значениями которой являются усилия, напряжения, деформации или перемещения в заданной точке пролетного строения в зависимости от положения перемещаемой единичной вертикальной силы; задается таблично в виде матрицы аппликат, вектор-столбца абсцисс и вектор-строки ординат.
3.5 саморазогрев бетона: Повышение температуры бетона в процессе твердения вследствие экзотермии цемента.
3.6 сталежелезобетонный мост: Мостовое сооружение со сталежелезобетонными пролетными строениями.
3.7 сталежелезобетонные пролетные строения: Пролетные строения мостовых сооружений, у которых основные несущие элементы (главные балки) состоят из стальных и железобетонных элементов, работающих совместно.
3.8 строительный подъем: Выгиб выпуклостью вверх, придаваемый главным балкам пролетного строения, для повышения их эксплуатационных и архитектурных качеств.
3.9 температура саморазогрева бетона: Разность температур между стальной балкой и железобетонной плитой проезжей части в момент замыкания стали и бетона.
4.1 Сталежелезобетонными называют мостовые сооружения, у которых несущие конструкции пролетных строений (главные балки) включают два материала - сталь и железобетон, работающие совместно.
Предмет рассмотрения методического пособия - получившие широкое распространение в нашей стране сталежелезобетонные пролетные строения автодорожных мостовых сооружений с ездой поверху, где железобетонная плита выполняет две функции - в качестве плиты проезжей части, воспринимающей нагрузку от транспортных средств и пешеходов, и в качестве элемента несущей конструкции.
Методическое пособие снабжено примерами расчета, значительная часть которых сформирована применительно к типовому сталежелезобетонному пролетному строению 63 + 84 + 63 м, исходные параметры которого содержатся в
приложении А.
4.2 Расчеты сталежелезобетонных пролетных строений автодорожных мостов следует выполнять с комплексным учетом следующих конструктивно-технологических факторов:
- последовательность бетонирования (монтажа) железобетонной плиты проезжей части;
- образование и раскрытие сквозных поперечных трещин в районе промежуточных опор;
- долговременные процессы в бетоне (усадка и ползучесть);
- саморазогрев бетона в процессе твердения;
- температурные перепады между стальной и бетонной частями поперечного сечения.
4.3 Расчеты сталежелезобетонного пролетного строения следует выполнять на следующие виды нагрузок и воздействий:
- нагрузки от веса металлоконструкций;
- нагрузки от веса железобетонной плиты проезжей части, вычисляемые с учетом последовательности приложения нагрузок в процессе бетонирования;
- нагрузки от веса элементов мостового полотна;
- временные подвижные нагрузки от транспорта и пешеходов;
- воздействия от усадки бетона;
- воздействия от ползучести бетона;
- воздействия от саморазогрева бетона в процессе твердения;
- временные воздействия от температурных перепадов между стальной и железобетонной частями сталежелезобетонной балки.
К постоянным нагрузкам и воздействиям относят все перечисленные кроме транспортных и температурных.
Прочие временные нагрузки следует определять в соответствии с
пунктом 6.24 СП 35.13330.2011.
4.4 Расчеты сталежелезобетонных пролетных строений мостов на постоянные нагрузки и воздействия, а также на температурные перепады допускается выполнять с использованием плоских расчетных схем.
Расчеты на воздействие временных вертикальных нагрузок от транспорта и пешеходов следует выполнять с учетом пространственной работы конструкции пролетного строения.
При выполнении пространственных расчетов рекомендуется использование алгоритмов получения и загружения линий и поверхностей влияния усилий, напряжений, деформаций и перемещений транспортными и пешеходными нагрузками.
Загружение линий и поверхностей влияния включает поиск неблагоприятного (вызывающего экстремальный эффект) расположения временных подвижных вертикальных нагрузок на пролетном строении и выбор расчетных сочетаний нагрузок.
4.5 Современные конструкции сталежелезобетонных пролетных строений автодорожных мостов сооружают путем монтажа стальных балок и последующего бетонирования (монтажа) железобетонной плиты. В процессе устройства железобетонной плиты проезжей части жесткость несущей конструкции пролетного строения изменяется, что необходимо учитывать в расчете.
На нагрузки от веса металлоконструкций балки работают стальным сечением. Нагрузки от веса плиты проезжей части воспринимают балки, состоящие из стальных и сталежелезобетонных участков, совокупность которых в процессе сооружения плиты постепенно меняется - от стальной до сталежелезобетонной конструкции. Остальные нагрузки и воздействия балки воспринимают сталежелезобетонным сечением.
Расчеты сталежелезобетонного пролетного строения следует выполнять последовательно на различные виды нагрузок и воздействий с учетом изменения жесткости конструкции в процессе ее возведения с накоплением и последующим суммированием результатов.
4.6 Виды и коэффициенты сочетаний для временных нагрузок и воздействий принимают в соответствии с
приложением Д СП 35.13330.2011.
4.7 В неразрезных пролетных строениях расчет на воздействия от усадки, ползучести, саморазогрева и температурных перепадов осуществляют в два этапа. Сначала рассчитывают объемлющее разрезное пролетное строение, полученное путем условного отбрасывания промежуточных опор, и принимаемое в качестве элемента основной системы метода сил. В поперечных сечениях разрезного пролетного строения определяют напряжения и кривизны. Затем, с помощью полученных значений кривизны, раскрывают статическую неопределимость. Напряжения первого и второго этапов суммируют.
4.8 Оценку сопротивляемости нормальных к продольной оси моста поперечных сечений сталежелезобетонных балок наступлению предельных состояний, а также расчеты на воздействие усадки и саморазогрева бетона в процессе твердения допускается выполнять в соответствии с обобщенной методикой расчета
(СП 159.1325800), базирующейся на использовании гипотезы плоских сечений, уравнений равновесия и диаграмм деформирования материалов.
В основе методики лежит расчет нормальных сечений по нелинейной деформационной модели
(СП 63.13330), использующей диаграммы деформирования материалов, составляющих поперечное сечение сталежелезобетонной балки: конструкционной стали, бетона и арматуры.
В соответствии с гипотезой плоских сечений, нормальные к продольной оси элемента сечения, остаются плоскими после деформирования элемента, а эпюра относительных деформаций представляет собой прямую линию (след пересечения деформированной плоскости с плоскостью чертежа). В этом случае эпюры нормальных напряжений в поперечных сечениях балки могут быть представлены диаграммами (или фрагментами диаграмм) простого растяжения-сжатия материалов, составляющих поперечное сечение, с линейно измененным масштабом деформаций.
Отыскание эпюры относительных деформаций сводится к выбору (путем итераций) из пучка прямых, проходящих через полюс - точку, в которой задано значение относительной деформации (например, предельное значение усадки), такой прямой, которая удовлетворяет условиям равновесия (равенства нулю суммы проекций всех внешних и внутренних сил на продольную ось элемента).
Переход от эпюры относительных деформаций к эпюре нормальных напряжений осуществляют с помощью диаграмм деформирования материалов.
Изгибающий момент, воспринимаемый сечением сталежелезобетонного элемента, определяют путем численного интегрирования эпюры напряжений, используя условие равенства нулю суммы внешних и внутренних моментов относительно горизонтальной оси.
Таким образом, задавшись полюсом (координатой и значением относительной деформации), определяют эпюру деформаций, соответствующую ей эпюру напряжений и изгибающий момент, воспринимаемый сечением.
Отличительная особенность методики - использование в расчетах по нелинейной деформационной модели в качестве критерия прочности предельных усилий, воспринимаемых сечением, а не предельных относительных деформаций.
5 Чувствительность сталежелезобетонных пролетных строений к внешним воздействиям
5.1 Чувствительность сталежелезобетонных пролетных строений к внешним воздействиям представляет собой параметр, характеризующий влияние изменения жесткости поперечных сечений в процессе возведения и эксплуатации мостового сооружения на компоненты напряженно-деформированного состояния и, в первую очередь, на вертикальные прогибы (провисы), являющиеся весьма распространенным дефектом сталежелезобетонных мостов.
Оценивать напряженно-деформированное состояние сталежелезобетонных пролетных строений следует с учетом изменения геометрических характеристик поперечных сечений несущих конструкций в течение жизненного цикла мостового сооружения.
5.2 В расчетах различают четыре вида поперечных сечений главных балок:
- стальное;
- сталежелезобетонное без учета трещин;
- сталежелезобетонное с трещинами;
- стальное с учетом арматуры.
5.3 Геометрические характеристики стального сечения используют в расчетах на воздействия от веса металлоконструкций и веса железобетонной плиты проезжей части.
5.4 Характеристики сталежелезобетонного сечения применяют в расчетах на прочие постоянные и временные нагрузки и воздействия для тех участков пролетного строения, где отсутствуют сквозные поперечные трещины в плите проезжей части, работающей совместно со стальными балками.
5.5 При определении усилий и перемещений для участков пролетного строения в районе промежуточных опор, где в соответствии с расчетом образуются сквозные поперечные трещины в плите, используют геометрические характеристики сечений, реализующих совместную работу стальной балки, продольной рабочей арматуры и бетона между трещинами.
5.6 При проверке прочности пролетных строений в районе участков балок с треснувшей плитой используют геометрические характеристики сечений, включающих стальную балку и продольную арматуру плиты.
5.7 Современные сталежелезобетонные пролетные строения сооружают путем монтажа стальных балок и последующего бетонирования железобетонной плиты проезжей части. В процессе своего возведения сталежелезобетонное пролетное строение (далее - балка) проходит несколько стадий. Основных стадий - две:
I (начальная) - балка воспринимает нагрузки стальным сечением;
II (конечная) - балка работает приведенным (сталежелезобетонным) сечением.
5.8 Чувствительность сталежелезобетонных пролетных строений к внешним непредвиденным воздействиям обусловлена изменением геометрических характеристик главных балок в процессе возведения, эксплуатации, ремонта или реконструкции мостовых сооружений.
Для примера расчета
(приложение А) на рисунке 1 приведены эпюры соотношений моментов инерции сталежелезобетонных
Isb и стальных
Is сечений главной балки и эпюры соотношений моментов сопротивления сталежелезобетонных
Wsbn и стальных
Wsn сечений главной балки в нижней фибре. Как видно из рисунка 1, размах изменения моментов инерции, характеризующий восприимчивость пролетного строения к деформациям, более чем в два раза превышает размах изменения моментов сопротивления сечений, характеризующих прочность конструкции.
Рисунок 1 - Соотношение моментов инерции Isb/Is
и моментов сопротивления в нижней фибре сечения Wsbn/Wsn
сталежелезобетонной и стальной балок
В качестве критериев чувствительности сталежелезобетонной конструкции к непредвиденным воздействиям в процессе сооружения плиты проезжей части, эксплуатации, ремонта или реконструкции пролетного строения следует использовать коэффициенты чувствительности, изменяющиеся в диапазоне 0 < K < 1. Чем выше коэффициент чувствительности K, тем больше издержки процесса бетонирования плиты отражаются на потребительских свойствах сталежелезобетонного пролетного строения.
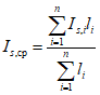
5.9 Средний момент инерции стальной балки определяют по формуле

,
где Is,i - момент инерции стальной балки на i-м участке;
li - длина i-го участка;
n - количество участков.
Аналогично вычисляется средний момент инерции сталежелезобетонной балки Isb,ср.
5.10 Коэффициент чувствительности к деформациям сталежелезобетонной балки определяют по формуле
Kw = 1 - Is,ср/Isb,ср.
Теоретически коэффициент чувствительности Kw может изменяться от нуля до единицы. В типовых сталежелезобетонных пролетных строениях область изменения коэффициента лежит в пределах 0,5 < Kw < 0,8.
Коэффициент Kw служит критерием чувствительности сталежелезобетонной конструкции к непредвиденным воздействиям в процессе сооружения плиты проезжей части: колебаниям температуры, перерывам в бетонировании, случайным перегрузкам при бетонировании и др.
Чем выше коэффициент чувствительности Kw, тем больше издержки процесса бетонирования плиты отражаются на деформативности сталежелезобетонного пролетного строения.
Для рассматриваемой в примере расчета конструкции пролетного строения 63 + 84 + 63 м, исходные параметры которой содержатся в
приложении А, коэффициент чувствительности к деформациям
Kw = 0,5.
5.11 Для оценки влияния перехода конструкции из стадии I (стальная) в стадию II (сталежелезобетонная) на прочность сталежелезобетонного пролетного строения используют коэффициент чувствительности к напряжениям в нижнем поясе

,
где Wsn,ср, Wsbn,ср - средние моменты сопротивления стальной и сталежелезобетонной балки в нижней фибре сечения.
Аналогично вычисляют коэффициент чувствительности к напряжениям в верхнем поясе.
Для рассматриваемой в примере расчета конструкции пролетного строения, где критическими по прочности являются напряжения в нижнем поясе стальной балки, коэффициент чувствительности к напряжениям в нижнем поясе составляет

.
5.12 В сталежелезобетонных конструкциях коэффициент

всегда значительно меньше коэффициента
Kw. Имеет место запаздывание изменения напряжений в нижнем поясе конструкции по отношению к изменению жесткости.
Иными словами, можно констатировать, что случайные отклонения от проектного решения в процессе сооружения и эксплуатации сталежелезобетонного пролетного строения менее существенно влияют на прочность конструкции по сравнению с деформативностью (искажением продольного профиля мостового сооружения).
5.13 Анализ восприимчивости сталежелезобетонной конструкции к изменениям геометрических характеристик сечений главных балок с помощью предлагаемых коэффициентов
Kw и

имеет качественный характер.
Коэффициенты чувствительности используют при обследовании и испытании мостовых сооружений со сталежелезобетонными пролетными строениями при оценке их фактического состояния с учетом имеющихся повреждений и отклонений от проекта.
6 Учет последовательности бетонирования (монтажа) плиты проезжей части при определении нагрузочного эффекта
6.1 Процесс бетонирования (монтажа) плиты проезжей части сталежелезобетонного моста связан с изменением жесткости пролетного строения в процессе его сооружения, что следует учитывать при определении нагрузочного эффекта (усилий, напряжений, деформаций и перемещений) в несущих элементах конструкции.
Недостаточный учет этого обстоятельства приводит к необъективной оценке напряженно-деформированного состояния конструкции и снижению потребительских свойств мостового сооружения - искажению продольного профиля моста (провисы) и снижению трещиностойкости плиты проезжей части.
6.2 При отсутствии учета влияния последовательности бетонирования на напряженно-деформированное состояние, расчет производят в предположении, что бетонирование плиты на всей длине пролетного строения осуществляется за один прием, нагрузка от веса плиты проезжей части целиком передается на металлическую конструкцию пролетного строения. Бетон плиты проезжей части не включается в работу несущей конструкции на этой стадии работы конструкции.
6.3 При учете влияния последовательности бетонирования на напряженно-деформированное состояние, процесс сооружения плиты с позиций расчета рассматривают не сразу на все пролетное строение моста, а постепенно дискретными порциями (захватками). При этом жесткость пролетного строения, учитываемая в расчете, изменяется после бетонирования каждой захватки. Воздействие нагрузок от веса плиты, опалубки и вспомогательных устройств, предназначенных для бетонирования, следует рассматривать с учетом работы конструкции на промежуточных стадиях, при которых часть пролетного строения стальная, а другая часть - сталежелезобетонная.
6.4 В том случае, когда бетонирование осуществляется в несколько этапов, бетон ранее уложенных фрагментов плиты включается в восприятие нагрузок от веса участков плиты, бетонируемых позже. При этом в расчетах следует учитывать расположение и очередность не только бетонируемых фрагментов плиты, но и участков пролетного строения, на которых устанавливается (снимается) опалубка и другие, вспомогательные обустройства, сопутствующие бетонным работам.
При проектировании наряду с выбором конструкции и способа сооружения сталежелезобетонного пролетного строения выбирают рациональную последовательность бетонирования железобетонной плиты путем назначения, расчета и оценки эффективности вариантов бетонирования.
6.5 Компоненты напряженно-деформированного состояния в несущих конструкциях сталежелезобетонных пролетных строений определяют с помощью конечно-элементных расчетов. Учет влияния последовательности бетонирования требует многократного повторения расчетов, исходная информация к которым отличается значениями жесткости отдельных конечных элементов, с последующим суммированием результатов.
6.6 Для организации непрерывного процесса вычислений необходимо формальное описание последовательности бетонирования плиты в исходной информации к конечно-элементному расчету.
Структура исходной информации и форма представления результатов, приведенные ниже, предназначены для использования в компьютерной программе по расчету сталежелезобетонных пролетных строений мостов.
6.7 Для формального описания процесса бетонирования в исходной информации к компьютерному расчету используют иерархическую структуру, включающую: варианты бетонирования, этапы бетонирования, участки бетонирования (захватки).
6.8 Участком бетонирования называют непрерывный фрагмент пролетного строения, бетонирование которого осуществляется за один прием. Более точное определение понятия "участок бетонирования" связано с процессом приложения (снятия) нагрузок во время устройства плиты проезжей части, в течение которого жесткость пролетного строения предполагается постоянной.
В качестве участка бетонирования может использоваться не только бетонируемый фрагмент плиты, но и участок пролетного строения, на котором снимается (устанавливается) опалубка или другие вспомогательные обустройства для производства бетонных работ.
Участок бетонирования характеризуют три параметра - координата участка X, длина участка L и значение снимаемой (прикладываемой) нагрузки q.
6.9 Под этапом бетонирования понимают совокупность одновременно бетонируемых или загружаемых (разгружаемых) участков пролетного строения.
Для формального описания этапа бетонирования используют вектор:
E = {n, X1, L1, q1, X2, L2, q2, ..., Xn, Ln, qn},
где n - количество участков бетонирования на этапе.
6.10 Вариант последовательности бетонирования представляет собой совокупность этапов бетонирования:
V = {m, n1, X11, L11, q11, ..., X1,n1, L1,n1, q1,n1, ..., nm, Xm1, Lm1, qm1, ..., Xm,nm, Lm,nm, qm,nm},
где m - количество этапов бетонирования.
6.11 Пример расчета
Требуется назначить и формально описать схему варианта последовательности бетонирования.
Железобетонная плита проезжей части монолитная. Бетонирование плиты осуществляется поэтапно справа налево. Пролетное строение моста разбито на пять участков бетонирования (рисунок 2). Процесс бетонирования включает шесть этапов. Каждый этап характеризуется длиной и расположением участка, где прикладывается (снимается) нагрузка от веса плиты и опалубки и интенсивностью нагрузки. При этом жесткость конструкции пролетного строения изменяется от этапа к этапу.
Рисунок 2 - Схема последовательности бетонирования
(большими кружками обозначены участки бетонирования плиты
проезжей части, мелкими кружками - участки пролетного
строения, где снимается опалубка, цифра в кружке означает
номер этапа бетонирования)
На первом этапе, как видно из рисунка, к стальной конструкции прикладывается нагрузка от веса плиты и опалубки первого участка. На втором этапе к конструкции с изменившейся жесткостью прикладывается нагрузка от веса плиты и опалубки второго участка и снимается нагрузка от веса опалубки первого участка и т.д. На последнем (шестом) этапе с рассчитываемой конструкции снимается нагрузка от веса опалубки пятого участка.
Расчеты выполняют последовательно для каждого этапа бетонирования (применительно к текущей жесткости пролетного строения) с накоплением и последующим суммированием результатов. Таким образом, на воздействие нагрузки от веса плиты и веса опалубки необходимо выполнить семь расчетов пролетного строения, результаты которых должны быть просуммированы.
6.12 Результаты расчета (нагрузочный эффект) для каждого варианта последовательности бетонирования включают следующие компоненты напряженно-деформированного состояния: изгибающие моменты, поперечные силы, прогибы, углы поворота, напряжения в поясах стальной балки, напряжения в железобетонной плите проезжей части, касательные напряжения в стенке стальной балки.
Результаты расчета для каждого компонента напряженно-деформированного состояния определяют для заданного количества сечений пролетного строения по длине и оформляют в виде эпюр, что позволяет при выборе рациональной последовательности бетонирования рассматривать и оценивать несколько вариантов.
6.13 Для организации непрерывного вычислительного процесса с учетом последовательности бетонирования (монтажа) плиты необходимо дополнить компьютерную программу для расчета сталежелезобетонных пролетных строений мостов, реализующую конечно-элементный анализ конструкции, двумя вспомогательными программами - препроцессором и постпроцессором.
Программа-препроцессор, используя представленную выше структуру описания процесса бетонирования, формирует информацию для конечно-элементного расчета, организует последовательное обращение к основной программе и накопление результатов.
Программа-постпроцессор суммирует нагрузочные эффекты, соответствующие этапам бетонирования и формирует результирующую информацию в удобном для анализа виде.
6.14 Пример расчета
Неразрезное сталежелезобетонное пролетное строение длиной 210 м с монолитной плитой имеет схему 63 + 84 + 63 м
(приложение А). Пролетное строение сооружают путем монтажа стальных конструкций и последующего бетонирования плиты проезжей части с использованием несъемной опалубки.
Бетонирование плиты проезжей части производится в одну сторону - слева направо с помощью специального устройства (агрегата) последовательными захватками. Длина захватки составляет 42 м. Общее количество этапов бетонирования равно пяти.
Требуется вычислить нагрузочный эффект от веса плиты проезжей части с учетом последовательности бетонирования и оценить значимость влияния последовательности бетонирования на прочность, деформативность и трещиностойкость конструкции пролетного строения.
В таблице 1 приведены компоненты нагрузочного эффекта: изгибающих моментов, поперечных сил, прогибов, углов поворота, нормальных напряжений в поясах и плите, максимальных касательных напряжений в стенке, вычисленные с учетом последовательности бетонирования плиты.
Таблица 1
Нагрузочный эффект от веса плиты, бетонируемой слева направо
пятью последовательными захватками по 42 м
Нагрузочный эффект от веса плиты с учетом последовательности бетонирования |
X, м | M, кНм | Q, кН | W, мм |  , мрад |  , МПа |  , МПа |  , МПа |  , МПа |
- | - | 636 | - | 5,1 | - | - | - | 20,0 |
7,875 | 4013 | 378 | 37,9 | 4,2 | 52,4 | -96,8 | 0,4 | 12,1 |
15,75 | 5987 | 119 | 63,9 | 2,4 | 53,5 | -113,8 | 0,8 | 3,9 |
23,625 | 5922 | -140 | 75,5 | 0,5 | 55,3 | -128,8 | 1,1 | -3,7 |
31,5 | 3819 | -399 | 71,9 | -1,4 | 40,6 | -115,7 | 1,5 | -11,4 |
39,375 | -324 | -658 | 55,4 | -2,7 | 13,2 | -79,6 | 2,0 | -19,3 |
47,25 | -6516 | -917 | 32,1 | -3,0 | -42,2 | -5,8 | 2,4 | -25,8 |
55,125 | -14735 | -1176 | 11,4 | -2,1 | -64,8 | 59,8 | 7,0 | -27,4 |
63 | -25005 | -1435 | - | -0,7 | -80,3 | 77,0 | 6,0 | -32,7 |
63,001 | -25005 | 1402 | - | -0,7 | -80,3 | 77,0 | 6,0 | 32,0 |
73,5 | -12060 | 1057 | 2,9 | 1,2 | -73,9 | 69,4 | 4,8 | 29,0 |
84 | -2740 | 712 | 23,5 | 2,7 | -31,1 | 54,8 | -0,4 | 20,4 |
94,5 | 2945 | 367 | 51,9 | 2,4 | 23,6 | -58,7 | 0,5 | 11,2 |
105 | 5016 | 22 | 69,0 | 0,7 | 40,5 | -102,6 | 0,8 | 1,0 |
115,5 | 3452 | -324 | 65,5 | -1,3 | 31,6 | -97,6 | 1,2 | -9,2 |
126 | -1737 | -669 | 43,5 | -2,7 | -4,7 | -46,9 | 1,7 | -19,6 |
136,5 | -10561 | -1014 | 15,3 | -2,3 | -64,2 | 57,1 | 7,4 | -27,8 |
147 | -22999 | -1359 | - | -0,6 | -73,9 | 71,2 | 4,9 | -31,0 |
147,001 | -22999 | 1402 | - | -0,6 | -73,9 | 71,2 | 4,9 | 31,9 |
154,875 | -12988 | 1143 | 0,8 | 0,7 | -57,5 | 55,1 | 3,3 | 26,5 |
162,75 | -5005 | 885 | 10,8 | 1,7 | -40,6 | 40,6 | 0,0 | 24,7 |
170,625 | 928 | 626 | 27,5 | 2,3 | 10,4 | -13,5 | - | 18,5 |
178,5 | 4822 | 367 | 13,0 | 1,5 | 39,2 | -66,1 | - | 10,8 |
186,375 | 6677 | 108 | 49,9 | 0,1 | 54,2 | -91,6 | - | 3,1 |
194,25 | 6494 | -151 | 44,9 | -1,4 | 52,7 | -89,0 | - | -4,5 |
202,125 | 4261 | -410 | 27,6 | -3,0 | 51,0 | -79,4 | - | -12,7 |
210 | - | -669 | - | -3,8 | - | - | - | -20,7 |
Для оценки значимости исследуемого фактора рассматриваем два варианта пролетного строения, рассчитанные без учета (первый вариант) и с учетом влияния последовательности бетонирования плиты на нагрузочный эффект (второй вариант).
В качестве критерия прочности используем напряжения в поясах стальной балки, в качестве критерия деформативности - эпюру прогибов, критерия трещиностойкости - эпюру растягивающих напряжений в железобетонной плите проезжей части.
Результаты расчетов - напряжения и прогибы от веса железобетонной плиты проезжей части для двух вариантов бетонирования плиты приведены на
рисунках 3 и
4.
Эпюры, представленные на рисунках толстой линией, соответствуют варианту расчета, выполненному без учета последовательности бетонирования.
Эпюры, соответствующие варианту с учетом последовательности бетонирования, изображены тонкой линией с точками. Значения ординат, соответствующих этому варианту, приведены в скобках.
6.15 Анализ результатов расчета, приведенных на
рисунках 3 и
4, в сочетании с опытом применения компьютерной программы конечно-элементного расчета сталежелезобетонных пролетных строений мостов, позволяет сделать следующие выводы:
- учет последовательности бетонирования плиты существенно влияет на напряженно-деформированное состояние несущих конструкций сталежелезобетонного пролетного строения мостового сооружения;
- игнорирование влияния последовательности бетонирования плиты на напряженно-деформированное состояние наиболее неблагоприятно отражается на продольном профиле моста (провисы) и трещиностойкости плиты проезжей части;
- контроль процесса бетонирования плиты сталежелезобетонного пролетного строения следует осуществлять с помощью эпюр прогибов для каждого этапа бетонирования. Поэтапные эпюры прогибов должны быть предусмотрены в проектной документации;
- предлагаемая структура описания процесса бетонирования железобетонной плиты позволяет организовывать непрерывный процесс вычислений и представление результатов расчетов в форме, удобной для анализа результатов и выбора рационального варианта.
Рисунок 3 - Влияние последовательности бетонирования плиты
на напряжения в поясах стальной балки (номера этапов
отмечены цифрами в кружках, толстая линия, соответствуют
варианту расчета, выполненному без учета
последовательности бетонирования)
Рисунок 4 - Влияние последовательности бетонирования плиты
на прогибы балки и напряжения в железобетонной плите (номера
этапов отмечены цифрами в кружках, толстая линия,
соответствуют варианту расчета, выполненному без учета
последовательности бетонирования)
6.16 Пример используемых для контроля процесса бетонирования плиты поэтапных эпюр прогибов пролетного строения (с накапливанием результатов) представлен на рисунке 5.
Рисунок 5 - Прогибы, мм, пролетного строения на этапах
бетонирования плиты (с накапливанием результатов)
7 Влияние наличия трещин в плите на работу сталежелезобетонных пролетных строений
7.1 В процессе возведения и эксплуатации сталежелезобетонного мостового сооружения на отдельных участках пролетного строения возникают растягивающие напряжения в железобетонной плите проезжей части. На участках сталежелезобетонного пролетного строения, где растягивающие напряжения в железобетонной плите превышают сопротивляемость бетона растяжению, возникает вероятность образования и раскрытия поперечных (по отношению к оси моста) трещин.
7.2 Поперечные трещины образуются в железобетонной плите на определенных расстояниях друг от друга. Зона образования поперечных трещин в плите, как правило, располагается в районе промежуточных опор.
7.3 В мостах с монолитной железобетонной плитой проезжей части в процессе бетонирования плиты с помощью современных автоматизированных агрегатов (без принятия специальных мер) трещины могут образовываться на всей длине сооружения. В дальнейшем, под действием сил сжатия часть трещин закрывается. Наличие трещин, зажатых к моменту выполнения, в расчетах не учитывают.
7.4 Поперечные трещины в плите сталежелезобетонного пролетного строения, образовавшиеся и раскрывшиеся под действием регламентированных
СП 35.13330 нагрузок и воздействий, распространяются на всю толщину плиты, т.е. являются сквозными.
7.5 Образование и раскрытие поперечных трещин в железобетонной плите проезжей части под воздействием постоянных и временных нагрузок снижает жесткость треснувших участков, что вызывает перераспределение силовых факторов в сталежелезобетонной конструкции, повышает деформативность пролетного строения и снижает способность треснувших сечений сопротивляться наступлению предельных состояний.
7.6 В расчетах сталежелезобетонных пролетных строений мостов образование и раскрытие поперечных трещин в растянутой железобетонной плите следует учитывать путем изменения жесткости плиты на участках с трещинами.
В расчетах, на участках с трещинами назначают пониженную жесткость растянутой плиты. При наличии продольной рабочей арматуры жесткость треснувшей плиты следует принимать равной

, где
Eа,
Aа - модуль упругости и площадь арматуры,

- коэффициент, учитывающий вовлечение бетона между трещинами в работу на растяжение и принимаемый в соответствии с
таблицей 9.2 СП 35.13330.2011.
Приведенную к стали жесткость сталежелезобетонных сечений, расположенных на участках с трещинами, вычисляют с учетом снижения жесткости плиты.
7.7 Проверку прочности сечений, расположенных на участках с трещинами, выполняют в предположении, что рассчитываемое сечение совпадает с трещиной. При этом жесткость треснувшей плиты следует принимать равной Eа·Aа.
7.8 Для определения длины и расположения участков сталежелезобетонного пролетного строения с треснувшей плитой рекомендуется принимать следующий порядок расчетов.
Сначала расчеты сталежелезобетонного пролетного строения выполняют без учета трещин, назначив жесткости при изгибе Es·I1, где Es - модуль упругости конструкционной стали, а I1 - момент инерции при изгибе сталежелезобетонного сечения, приведенного к стали.
С помощью огибающей эпюры продольных нормальных напряжений в железобетонной плите, полученной по результатам "расчета без трещин", определяют участки сталежелезобетонного пролетного строения, где растягивающие напряжения в два раза превышают прочность бетона на растяжение Rbt,ser.
На выявленных растянутых участках пролетного строения снижают жесткость при изгибе до Es·I2, где I2 - момент инерции при изгибе сталежелезобетонного сечения с учетом трещин. Затем, путем повторных расчетов определяют новое распределение силовых факторов и соответствующих деформаций.
Полученные результаты расчета с учетом трещин используют для проверки сечений по предельным состояниям.
7.9 Для неразрезных сталежелезобетонных пролетных строений мостов с ездой поверху, у которых соотношение смежных (короткого и длинного) пролетов больше или равно 0,6 допускается влияние трещинообразования учитывать упрощенно. Расчеты допускается выполнять с использованием значений жесткости при изгибе Es·I2 на 15% длины пролета с каждой стороны каждой промежуточной опоры и значений жесткости при изгибе без учета трещин Es·I1 на остальных участках пролета.
7.10 Для примера расчета
(приложение А) на
рисунке 6 приведены эпюры соотношений моментов инерции сталежелезобетонной балки без трещин
Isb, при наличии трещин
Isbt и стальной
Is балки.
Для пролетного строения по схеме 63 + 84 + 63 м длина участков с поперечными трещинами над промежуточными опорами, где в расчетах жесткость плиты (с учетом трещин) принята равной Es·I2, составляет
Lт = 0,15 x 63 + 0,15 x 84 = 9,45 + 12,6 = 22,05 м.
Как видно из
рисунка 6, на участках с треснувшей плитой жесткость сталежелезобетонной балки приближается к жесткости стальной балки (различие объясняется учетом продольной арматуры).
Снижение жесткости над промежуточными опорами вызывает "перетекание" изгибающих моментов от промежуточных опор в пролеты. Отрицательные изгибающие моменты над промежуточными опорами снижаются, положительные изгибающие моменты в пролетах возрастают.
При этом напряжения в поясах стальной балки возрастают - в пролетных сечениях за счет увеличения изгибающих моментов, в опорных сечениях за счет резкого снижения момента инерции, несмотря на уменьшение изгибающих моментов.
Рисунок 6 - Соотношение моментов инерции сталежелезобетонной
балки без трещин Isb, с трещинами Isbt и стальной Is балки
7.11 Пример расчета
Требуется оценить влияние трещинообразования на распределение усилий, перемещений и напряжений в сталежелезобетонном пролетном строении
(приложение А).
Расчеты выполнены на действие приходящейся на балку нагрузки интенсивностью
q = 25,7 кН/м, равномерно распределенной по всей длине. Результаты двух вариантов расчета, выполненных в предположении наличия и отсутствия трещин в плите проезжей части пролетного строения над промежуточными опорами, представлены на
рисунках 7 и
8.
Эпюры усилий, перемещений и напряжений, соответствующие варианту пролетного строения без трещин в плите, изображены на рисунках, в виде тонкой линии. Эпюры, относящиеся к варианту, рассчитанному с учетом наличия трещин над промежуточными опорами, представлены тонкой линией с точками.
Значения ординат эпюр, представленные на рисунках 7 и
8 без скобок, соответствуют варианту без трещин, значения в скобках относятся к варианту с трещинами в плите.
Рисунок 7 - Влияние наличия трещин в плите
на изгибающие моменты и прогибы
Рисунок 8 - Влияние наличия трещин в плите
на напряжения в поясах стальной балки
7.12 Учет трещинообразования влечет за собой:
- увеличение изгибающих моментов в пролетных и снижение в опорных сечениях (порядка 10%);
- существенное увеличение прогибов (до 30%);
- увеличение напряжений в поясах стальной балки.
Наиболее значительно возрастают напряжения над промежуточными опорами, которые в большинстве случаев становятся критическими по прочности.
8 Расчет на воздействие усадки бетона
8.1 Сталежелезобетонные пролетные строения мостов необходимо рассчитывать с учетом воздействия усадки бетона на напряженно-деформированное состояние конструкции. Железобетонная плита, сокращаясь в продольном направлении под действием усадки, сжимает стальную балку, которая, в свою очередь, растягивает плиту, вызывая поперечные трещины в бетоне.
Воздействие усадки бетона принимают в виде относительных деформаций, величина которых зависит от значений предельных деформаций усадки, содержащихся в
СП 35.13330.
8.2 В расчетах сталежелезобетонных пролетных строений на воздействие деформаций усадки следует учитывать влияние ползучести бетона, сопровождающей усадку. При длительном воздействии напряжений, возникающих от усадки бетона плиты, стесненной стальной балкой, в бетоне проявляется ползучесть, которая уменьшает напряжения от усадки бетона.
8.3 Разгружающее влияние усадки на напряженно-деформированное состояние конструкции не учитывается.
8.4 Различают первичные и вторичные влияния усадки на напряженно-деформированное состояние. Первичное влияние имеет место в статически определимой разрезной конструкции пролетного строения. Под первичным влиянием усадки напряжения в сечениях перераспределяются между сталью и бетоном, пролетное строение стремится прогнуться вниз. Вторичное влияние имеет место в неразрезных пролетных строениях вследствие того, что промежуточные опоры препятствуют перемещениям, обусловленным первичными воздействиями усадки и ползучести.
8.5 Определение напряжений в стали и бетоне от первичного воздействия усадки бетона для статически определимой конструкции следует проводить в соответствии с
приложением Э СП 35.13330.2011 или с использованием нелинейной деформационной модели.
8.6 Учет вторичного влияния усадки в неразрезной конструкции осуществляют, выбирая в качестве основной системы метода сил объемлющую разрезную балку и используя для раскрытия статической неопределимости вертикальные прогибы в основной системе от первичного воздействия усадки.
8.7 Вертикальные прогибы от первичного воздействия усадки бетона в статически определимой сталежелезобетонной балке следует определять по формуле

,
где

- предельная относительная деформация усадки бетона, принимаемая равной 0,0002 для монолитной плиты и 0,0001 для сборной плиты;
Sshr - статический момент площади стальной части сечения включая арматуру железобетонной плиты относительно центра тяжести сталежелезобетонного сечения, вводимого в расчет с условным модулем упругости бетона Eef,shr = 0,5Eb, отражающего влияние ползучести, сопутствующей усадке бетона;
Istb,shr - момент инерции брутто поперечного сечения сталежелезобетонной балки при условном модуле упругости бетона Eef,shr.

- площади участков эпюры изгибающих моментов от единичной вертикальной силы, приложенной в месте вычисляемого прогиба.
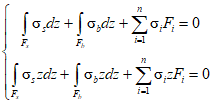
8.8 Допускается напряженно-деформированное состояние поперечного сечения статически определимой (разрезной) сталежелезобетонной конструкции от первичного влияния усадки бетона оценивать с использованием нелинейной деформационной модели путем решения системы уравнений равновесия:

,
где Fs, Fb, Fi - площади соответственно конструкционной стали, бетона и i-го арматурного стержня;
n - количество арматурных стержней;
z - ордината рассматриваемой фибры, отсчитываемая от центра тяжести приведенного сталежелезобетонного поперечного сечения;

- напряжение в стальной фибре, вычисляемое с помощью диаграммы деформирования конструкционной стали

;

- напряжение в бетонной фибре, вычисляемое с помощью диаграммы длительного деформирования (с учетом характеристики ползучести бетона);

, где

- предельная относительная деформация усадки бетона, принимаемая равной 0,0002 для монолитной плиты и 0,0001 для сборной плиты;

- напряжение в
i-м арматурном стержне, вычисляемое с помощью диаграммы деформирования арматурной стали

.
Решение системы уравнений для каждого поперечного сечения осуществляют методом последовательных приближений.
В результате решения системы уравнений для каждого поперечного сечения отыскивают эпюры деформаций и напряжений. Кривизну в поперечном сечении балки, обусловленную первичным влиянием усадки, определяют по формуле

,
где

,

- относительные деформации в верхней и нижней фибрах;
H - высота сталежелезобетонной балки.
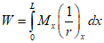
Для определения прогибов в статически определимой сталежелезобетонной конструкции, обусловленных первичным влиянием усадки, используют формулу

,
где Mx - изгибающий момент в сечении X от действия единичной силы, приложенной в сечении, для которого определяется прогиб W, в направлении этого прогиба;

- кривизна элемента в сечении
X от действия усадки.
8.9 Результирующий нагрузочный эффект от воздействия усадки бетона на работу сталежелезобетонного пролетного строения определяют путем суммирования компонентов напряженно-деформированного состояния, вычисленных от первичного и вторичного воздействий усадки.
8.10 При использовании компьютерных программ, реализующих метод конечных элементов, в которых отсутствуют модули расчета на усадку бетона, допускается моделировать влияние усадки температурным воздействием на железобетонную плиту. Температурный перепад вычисляется по приближенной формуле

,
где 0,9 - усредненный коэффициент, с помощью которого учитывается ползучесть, сопутствующая усадке;

- предельная относительная деформация усадки бетона.
8.11 Пример расчета
Требуется оценить влияние усадки бетона на напряженно-деформированное состояние неразрезного сталежелезобетонного пролетного строения
(приложение А).
Железобетонная плита монолитная, следовательно, предельная относительная деформация усадки

.
Эпюры нормальных напряжений в верхнем и нижнем поясах стальной балки и в центре тяжести железобетонной плиты от воздействия усадки бетона приведены на
рисунке 9, эпюры прогибов и углов поворота - на
рисунке 10.
Напряжения и перемещения определены с использованием нелинейной деформационной модели расчета.
Как следует из
рисунка 9, в верхнем и нижнем (за исключением небольших участков по краям) поясах стальной балки возникают сжимающие напряжения. Их значения по сравнению с расчетным сопротивлением стали
Ry = 295 МПа позволяют судить о влиянии усадки на напряженно-деформированное состояние. В сечениях пролетного строения, где напряжения от усадки бетона увеличивают загруженность конструкции, их необходимо учитывать, в противном случае - игнорировать.
Следует обратить внимание на то, что в железобетонной плите возникают растягивающие напряжения, что в сочетании с рассмотренными выше растягивающими напряжениями, возникающими в процессе бетонирования, грозит образованием и раскрытием трещин в бетоне.
Вертикальные прогибы сталежелезобетонного пролетного строения вниз, вызванные усадкой бетона плиты
(рисунок 10), следует учитывать при назначении строительного подъема. Выгибы пролетного строения вверх, вызванные усадкой, учитывать не следует.
Рисунок 9 - Эпюры напряжений от воздействия усадки бетона
Рисунок 10 - Эпюры прогибов и углов поворота
от воздействия усадки бетона
9 Расчет на воздействие ползучести бетона
9.1 Сталежелезобетонные пролетные строения мостов необходимо рассчитывать с учетом воздействия ползучести сжатого бетона на напряженно-деформированное состояние конструкции. Воздействие ползучести бетона относится к постоянным нагрузкам.
Ползучесть бетона проявляется в затухающем с течением времени (практически через 3 года) увеличении деформаций под действием постоянных нагрузок. Под воздействием ползучести бетона в сталежелезобетонных элементах происходит перераспределение усилий между бетонными и стальными фрагментами поперечных сечений, приводящее к уменьшению усилий и напряжений в бетоне.
Воздействие ползучести бетона принимают в виде относительных деформаций, величина которых зависит от значений предельных удельных деформаций ползучести, содержащихся в
СП 35.13330.
9.2 Влияние ползучести сжатого бетона на напряженно-деформированное состояние сталежелезобетонного пролетного строения следует учитывать при действии постоянных нагрузок от веса мостового полотна и коммуникаций.
Учет влияния ползучести, возникающей от веса мостового полотна и коммуникаций учитывают в соответствии с
приложением Щ СП 35.13330.2011.
9.3 В статически определимых системах (разрезных пролетных строениях) ползучесть бетона вызывает только перераспределение напряжений в поперечных сечениях и деформации конструкции. Внешние силовые факторы (изгибающие моменты и поперечные силы) при этом не возникают. Сталежелезобетонное пролетное строение с ездой поверху под воздействием ползучести стремится прогнуться вниз.
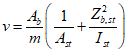
В статически определимой конструкции для каждого участка пролетного строения с постоянными геометрическими характеристиками внутренние напряжения от ползучести бетона (потери сжимающих напряжений) вычисляют по формуле

,
где

- напряжения от ползучести бетона на уровне центра тяжести бетонной части сечения;

- начальные сжимающие напряжения на уровне центра тяжести бетонной части сечения от постоянных нагрузок;

- параметр, характеризующий податливость сечения и определяемый по формуле

,
где

;

- предельная характеристика ползучести бетона;
Ab - площадь поперечного сечения бетона;
m - отношение модулей упругости стали и бетона;
Ast, Ist - площадь и момент инерции стальной части сечения, включая арматуру;
Zb,st - расстояние между центрами тяжести стальной и бетонной частей сечения;
Eb - модуль упругости бетона;
Cn - предельная деформация ползучести бетона, принимаемая в соответствии с
таблицами 7.12 и
7.13 СП 35.13330.2011.
9.4 Напряжения в стальной балке и вертикальные прогибы от воздействия ползучести бетона плиты определяют в предположении упругой работы стали, используя в качестве нагрузки продольное усилие

, приложенное в уровне центра тяжести бетонной части сечения

.
Напряжения в верхней фибре стальной балки следует определять по формуле

.
Вертикальный прогиб от ползучести бетона в статически определимой сталежелезобетонной балке следует определять по формуле

,
где Mx - изгибающий момент от действия единичной силы, приложенной в сечении X, для которого определяется прогиб W, в направлении этого прогиба;

- кривизна элемента в сечении
X от действия ползучести, вычисляемая по формуле

,
где Es - модуль упругости конструкционной стали.
9.5 Альтернативный (более простой и менее точный) способ учета ползучести реализуют введением в расчет эффективного модуля упругости бетона
Eef,kr (
пункт Щ.2 СП 35.13330.2011)

.
Напряжения от ползучести вычисляют по формуле

,
где

,

- напряжения от постоянных нагрузок, полученные при модуле упругости бетона
Eef,kr и
Eb.
Аналогично от воздействия ползучести определяют перемещения.
9.6 В статически неопределимых системах (в неразрезных пролетных строениях) от действия ползучести, кроме внутренних напряжений, возникают внешние силовые факторы и соответствующие деформации. Под действием ползучести неразрезная балка стремится прогнуться вниз, чему препятствуют промежуточные опоры.
Нагрузочный эффект от действия ползучести удобно определять методом сил, используя в качестве элемента основной системы разрезную балку суммарной длины, а в качестве лишних неизвестных вертикальные реакции промежуточных опор. Расчет выполняют по правилам строительной механики, согласно которым нагрузочный эффект вычисляют как сумму эффектов в основной системе - от внешней нагрузки (воздействие ползучести) и лишних неизвестных.
Напряжения и прогибы в основной системе от внешней нагрузки определяют по формулам для статически определимых систем. При определении перемещений от лишних неизвестных бетонную часть сечения учитывают с эффективным модулем упругости Eef,kr, а грузовые перемещения и внешние силовые факторы с модулем упругости Eb. В результате раскрытия статической неопределимости определяют напряженно-деформированное состояние от воздействия ползучести.
Исходные сжимающие напряжения в плите, вызвавшие первичную ползучесть, претерпевают изменения. От этих изменений возникает новое напряженное состояние и дополнительная (вторичная) ползучесть. Изменения силовых и деформативных факторов происходят постепенно и взаимно влияют друг на друга. Вследствие того, что сжимающие усилия в плите, вызывающие вторичную ползучесть, непостоянны, изменяясь от нуля до конечного значения, характеристика вторичной ползучести

должна быть меньше характеристики первичной ползучести

.
От деформаций вторичной ползучести возникают силовые факторы, которые приводят, в свою очередь, к ползучести третьего порядка с характеристикой ползучести

, еще меньшей, чем

и т.д.
9.7 В соответствии с
СП 35.13330 можно ограничиться тремя уровнями воздействия ползучести. Расчеты выполняют методом последовательных приближений, принимая для определения напряжений в центре бетонной плиты предельную характеристику ползучести для первой итерации

, для второй итерации

и

для третьей. При вычислении коэффициентов канонических уравнений метода сил (перемещений) значения предельных характеристик ползучести для разных итераций принимают соответственно равными

,

и

.
9.8 Рекомендуется следующий порядок расчета неразрезного пролетного строения на воздействие ползучести бетона.
Определяют предельную характеристику ползучести бетона в соответствии с
пунктом 7.32 СП 35.13330.2011.
Выполняют расчет неразрезного пролетного строения на постоянные нагрузки от веса мостового полотна и коммуникаций в предположении упругой работы конструкции и определяют (без учета ползучести бетона) напряжения в центре тяжести бетона для каждого участка по длине балки (эпюру начальных напряжений в плите).
Используют статически определимую основную систему в виде разрезной балки суммарной длины с вертикальными реакциями промежуточных опор в качестве лишних неизвестных. Определяют, с использованием характеристики

и значений параметра

, характеризующих податливость сечения, напряжения в центрах тяжести бетона плиты и в поясах стальной балки, а также вертикальные перемещения в основной системе (нагрузочный эффект от внешнего воздействия).
Вычисляют с использованием характеристики

коэффициенты канонических уравнений (перемещения по направлению лишних неизвестных). Для получения грузовых коэффициентов используют эпюру вертикальных перемещений в основной системе.
Решением системы канонических уравнений определяют лишние неизвестные, вызванные ползучестью бетона. От найденных неизвестных вычисляют нагрузочный эффект в основной системе.
Первое приближение конечных значений усилий, напряжений и перемещений от ползучести определяют суммированием нагрузочных эффектов в основной системе от внешнего воздействия и лишних неизвестных.
Аналогично первому вычисляют второе и третье приближения нагрузочного эффекта от ползучести.
Конечный нагрузочный эффект от воздействия ползучести определяют суммированием результатов трех итераций.
9.9 Пример расчета
Требуется оценить влияние ползучести бетона на напряженно-деформированное состояние неразрезного сталежелезобетонного пролетного строения
(приложение А).
Интенсивность нормативных постоянных нагрузок на балку от веса мостового полотна равна q = 25,7 кН/м.
Предельная характеристика ползучести бетона в соответствии с
пунктом 7.32 СП 35.13330.2011 составляет

.
На
рисунке 11 приведены: эпюра напряжений на уровне центров тяжести бетонной части сечений и эпюра прогибов от воздействия нормативной постоянной нагрузки, вызывающей ползучесть бетона. Эпюры построены с учетом наличия трещин над промежуточными опорами.
Значения параметра

, характеризующие податливость сечения, составляют от

в пролетных сечениях до

над промежуточными опорами.
Результаты расчетов на воздействие ползучести, полученные после трех последовательных приближений, приведены на
рисунке 12. Сопоставление эпюр прогибов от нагрузки, вызывающей ползучесть, и самой ползучести позволяет сделать вывод о значимости фактора влияния ползучести на прогибы.
Рисунок 11 - Эпюры напряжений в бетоне и прогибов
от воздействия нормативной постоянной нагрузки,
вызывающей ползучесть бетона
Рисунок 12 - Эпюры напряжений в поясах стальной балки
и эпюра прогибов от воздействия ползучести бетона
9.10 В поясах стальной балки от ползучести бетона возникают практически только сжимающие напряжения.
Прогибы от ползучести необходимо учитывать при назначении строительного подъема в сталежелезобетонном пролетном строении.
10 Саморазогрев бетона в процессе твердения
10.1 Саморазогревом бетона называют повышение его температуры в процессе твердения вследствие экзотермии цемента.
Необходимость учета влияния саморазогрева бетона в процессе твердения - специфическая особенность современных конструкций сталежелезобетонных пролетных строений мостов с монолитной плитой проезжей части. Учет влияния саморазогрева особенно актуален в тех случаях, когда бетонирование и первые дни твердения бетона приходятся на холодное время года.
Учет воздействия саморазогрева бетона включает как уточнение оценки напряженно деформированного состояния, так и предусматривание конструктивно-технологических мероприятий на стадии строительства, снижающих негативное влияние саморазогрева на потребительские свойства конструкции.
10.2 Воздействие саморазогрева на работу конструкции следует учитывать в расчетах сталежелезобетонных пролетных строений мостов с монолитной плитой проезжей части. Воздействие саморазогрева относится к постоянным нагрузкам.
Указанное воздействие влияет, в первую очередь, на трещиностойкость и деформативность сталежелезобетонного пролетного строения.
Влияние саморазогрева бетона в процессе твердения на работу сталежелезобетонного пролетного строения принимают в виде относительных деформаций, значение которых зависит от температуры саморазогрева.
10.3 В расчетах сталежелезобетонных пролетных строений на воздействие деформаций саморазогрева следует учитывать влияние ползучести бетона, сопровождающей саморазогрев. При длительном воздействии напряжений, возникших от саморазогрева бетона плиты, стесненной стальной балкой, в бетоне проявляется ползучесть, которая уменьшает напряжения от саморазогрева бетона.
Разгружающее влияние саморазогрева бетона плиты на напряженно-деформированное состояние конструкции учитывать не следует.
10.4 Свежеуложенная бетонная смесь в процессе твердения разогревается за счет экзотермии цемента, что вызывает ее расширение, на первых порах свободное (нестесненное). Первоначально, вследствие пластичности бетонной смеси, ее деформации, вызванные повышением температуры бетона, не оказывают влияния на напряженно-деформированное состояние конструкции пролетного строения. Затем, в процессе твердения бетона формируются связи между бетонной плитой и стальной балкой. Железобетонная плита и балка вступают в совместную работу, образовав сталежелезобетонную конструкцию.
10.5 Началом совместной работы стальной балки и бетонной плиты допускается считать момент замыкания стали и бетона, когда прочность бетона достигает 30% расчетной прочности. Момент замыкания стали и бетона обычно наступает через 1 - 1,5 сут. после укладки бетонной смеси.
10.6 Разность температур между стальной балкой и железобетонной плитой в момент замыкания, называемая "температурой саморазогрева" бетона, - основной параметр, характеризующий влияние саморазогрева бетона на напряженно-деформированное состояние конструкции пролетного строения.
10.7 Температуру саморазогрева бетона следует, в общем случае, определять на основании теплофизических расчетов. При этом расчеты допускается выполнять, принимая неизменным распределение температуры саморазогрева по толщине плиты и по длине сталежелезобетонного пролетного строения. Температура саморазогрева бетона должна быть не более 15 °C.
10.8 При проведении расчетов и при выполнении работ по сооружению монолитной железобетонной плиты проезжей части следует учитывать, что на температуру саморазогрева бетона влияют следующие основные факторы:
- температура стальных балок в момент замыкания (допускается принимать ее равной температуре воздуха, окружающего балки);
- термическое сопротивление опалубки;
- толщина бетонируемой плиты проезжей части;
- расход цемента при изготовлении бетонной смеси.
10.9 Допускается при проектировании сталежелезобетонных пролетных строений с монолитной железобетонной плитой проезжей части принимать (без теплофизического расчета) температуру саморазогрева бетона равной 15 °C. При этом должны быть предусмотрены конструктивно-технологические мероприятия по снижению температуры саморазогрева бетона:
- терморегулирование путем подачи горячего воздуха в специальные кожухи, объемлющие металлические балки;
- терморегулирование путем искусственного отвода тепла из железобетонной плиты в процессе твердения бетона;
- применение металлической опалубки вместо деревянной;
- снижение расхода цемента, который должен составлять не более 400 кг на 1 м3 бетонной смеси;
- выбор рациональной схемы укрытия бетона теплоизолирующими материалами;
- уменьшение толщины железобетонной плиты проезжей части.
10.10 Определение напряжений в стали и бетоне от саморазогрева бетона, для статически определимой конструкции допускается проводить в соответствии с
приложением Э СП 35.13330.2011.
Вертикальный прогиб от саморазогрева бетона в статически определимой сталежелезобетонной балке следует определять по формуле

,
где

- коэффициент линейного расширения стали и бетона;
T - температура саморазогрева бетона;
b - ширина железобетонной плиты;
Z - расстояние от центра тяжести сталежелезобетонного сечения до верхней фибры железобетонной плиты;
m - отношение модулей упругости стали и бетона;
Istb - момент инерции сталежелезобетонной балки при изгибе;

- площади участков эпюры изгибающих моментов от единичной вертикальной силы, приложенной в месте вычисляемого прогиба.
10.11 Напряженно-деформированное состояние поперечного сечения статически определимой сталежелезобетонной конструкции от саморазогрева бетона допускается оценивать с использованием нелинейной деформационной модели, используя в качестве полюса точку в центре тяжести железобетонной плиты с относительной деформацией, равной деформации плиты от саморазогрева бетона

.
10.12 В сталежелезобетонных неразрезных пролетных строениях при расчете на воздействие саморазогрева бетона допускается применять основную систему метода сил, образуемую путем замены реакций промежуточных опор вертикальными лишними неизвестными, используя при раскрытии статической неопределимости формулу для определения вертикальных перемещений.
10.13 Пример расчета
Требуется оценить влияние саморазогрева бетона в процессе твердения на напряженно-деформированное состояние сталежелезобетонного неразрезного пролетного строения
(приложение А).
Температура саморазогрева бетона (разность температур между стальной балкой и железобетонной плитой в момент замыкания) составляет 15 °C.
Эпюры напряжений в поясах стальной балки, эпюра напряжений в железобетонной плите проезжей части, а также эпюра вертикальных прогибов приведены на
рисунке 13.
Как следует из
рисунка 13, в верхнем и нижнем поясах стальной балки возникают преимущественно сжимающие напряжения. Их значения по сравнению со значением расчетного сопротивления стали
Ry = 295 МПа позволяют судить о влиянии саморазогрева бетона на напряженно-деформированное состояние пролетного строения.
В сечениях пролетного строения, где напряжения от саморазогрева бетона увеличивают загруженность конструкции, их необходимо учитывать, в противном случае их учитывать не следует.
Рисунок 13 - Эпюры напряжений и прогибов
от саморазогрева бетона
10.14 Наиболее негативно саморазогрев бетона влияет на трещиностойкость железобетонной плиты проезжей части.
При отсутствии специальных конструктивно-технологических мероприятий по снижению температуры саморазогрева бетона, о которых сказано выше, имеется вероятность появления значительных растягивающих напряжений в плите проезжей части, что потребует дополнительного продольного армирования железобетона.
11 Температурные перепады между стальной и железобетонной частями сечения
11.1 Специфическая особенность расчетов сталежелезобетонных пролетных строений на температурные воздействия заключается в необходимости учета не только общих изменений температуры в конструкции, компенсируемых опорными частями, но и влияние на напряженно-деформированное состояние разности температур в пределах поперечного сечения.
11.2 В сталежелезобетонных пролетных строениях, где сочетаются разные материалы (сталь и бетон), теплопроводность которых различается примерно в 50 раз, изменения температуры воздуха и солнечная радиация приводят к возникновению больших разностей температур между железобетонными и стальными элементами сечения балки и, как следствие, к температурным напряжениями.
Разность температур в сталежелезобетонных пролетных строениях обусловлена тем, что стальная часть конструкции, обладая высокой теплопроводностью, быстрее следует за колебаниями температуры воздуха, чем железобетонная.
Кроме того тонкие элементы стальной стенки балки при непродолжительном освещении солнцем прогреваются значительно сильнее, чем железобетонная плита.
Неравномерность нагрева балки по высоте зависит также от того, в какой степени железобетонная плита закрывает стальную часть сечения от прямого нагрева солнечными лучами.
11.3 Указания о необходимости учета в расчетах на температурные воздействия разности температур между стальной и железобетонной частями сечения приведены в
СП 35.13330. Распределение температур в пределах сечения определяют, как правило, на основании теплофизических расчетов.
Допускается выполнять температурные расчеты исходя из нормативных наибольших значений разности температур стальной балки и железобетонной плиты. Для пролетных строений с ездой поверху нормативные наибольшие значения разности температур следует принимать:
- 30 °C - если температура стали выше, чем железобетона, и балка нагревается от воздействия солнечных лучей при их наклоне к горизонту >= 30°;
- 15 °C - если температура стали выше, чем железобетона, но балка не подвергается нагреву от воздействия солнечных лучей;
- минус 15 °C - в случае, когда температура стали ниже, чем железобетона.
11.4 Для статически определимой конструкции допускается определять напряжения в сталежелезобетонной балке от температурных перепадов между стальной и железобетонной частями сечения в соответствии с
приложением Э СП 35.13330.2011.
Вертикальные перемещения от температурных перепадов следует определять по формуле

,
где

- коэффициент линейного расширения стали и бетона;
tn,max - нормативное наибольшее значение разности температур железобетонной плиты и стальной конструкции;
St - условный статический момент нагретой части сечения, вычисляемый по
формулам (Э.4) и
(Э.6) СП 35.13330.2011;
Istb - момент инерции сталежелезобетонной балки при изгибе;

- площади участков эпюры изгибающих моментов от единичной вертикальной силы, приложенной в месте вычисляемого прогиба.
11.5 В сталежелезобетонных неразрезных пролетных строениях при расчете на температурные перепады между стальной балкой и железобетонной плитой допускается применять основную систему метода сил, образуемую путем замены реакций промежуточных опор вертикальными лишними неизвестными, используя при раскрытии статической неопределимости приведенную выше формулу для определения вертикальных перемещений.
11.6 Пример расчета
Требуется оценить влияние температурного перепада между стальной и железобетонной частями сечения на напряженно-деформированное состояние неразрезного сталежелезобетонного пролетного строения
(приложение А).
Температура стальной балки выше температуры железобетонной плиты. Возможен разогрев балки солнцем под углом 30° к горизонту. В соответствии с
СП 35.13330.2011 наибольший температурный перепад между стальной балкой и железобетонной плитой составляет 30 °C.
Эпюры напряжений в поясах стальной балки, эпюра напряжений в железобетонной плите проезжей части, а также эпюра вертикальных прогибов приведены на рисунке 14.
Рисунок 14 - Эпюры напряжений и прогибов
от нагрева балки солнцем под углом 30° к горизонту
12 Определение ординат строительного подъема
12.1 В сталежелезобетонных пролетных строениях мостов необходимо предусматривать строительный подъем (выгиб выпуклостью вверх, придаваемый главным балкам, для повышения эксплуатационных и архитектурных качеств мостового сооружения).
12.2 Строительный подъем сталежелезобетонных пролетных строений следует предусматривать в каждом пролете мостового сооружения по плавной выпуклой кривой. Стрела кривой строительного подъема после учета деформаций от нормативных постоянных нагрузок и воздействий должна быть равна не менее 40% упругого прогиба от нормативной подвижной временной вертикальной нагрузки. Прогибы от временной подвижной нагрузки следует определять для неблагоприятного (вызывающего наибольший прогиб) расположения нагрузки на пролетном строении моста.
Суммарный прогиб, ограничивающий стрелу кривой строительного подъема, вычисляют по формуле
W = W1 + W2 + W3 + W4 + W5 + W6 + W7,
где W1 + W2 + W3 + W4 + W5 + W6 + W7 - прогибы, вычисляемые соответственно от:
W1 - веса металлоконструкций;
W2 - веса железобетонной плиты проезжей части с учетом последовательности бетонирования;
W3 - веса мостового полотна;
W4 - ползучести бетона;
W5 - 40% временной подвижной вертикальной нагрузки;
W6 - усадки бетона;
W7 - саморазогрева бетона в процессе твердения.
12.3 Влияние усадки и саморазогрева бетона плиты проезжей части при расчете строительного подъема не следует учитывать:
- в пролетных строениях со сборной плитой;
- в случаях, когда учет указанных воздействий ведет к уменьшению величины строительного подъема.
12.4 При назначении строительного подъема жесткость сталежелезобетонного пролетного строения следует принимать с учетом трещинообразования над промежуточными опорами.
12.5 Пример расчета
Требуется определить вертикальные перемещения неразрезного сталежелезобетонного пролетного строения
(приложение А), необходимые для назначения строительного подъема и оценить влияние нагрузочных факторов на величину строительного подъема.
Бетонирование плиты производится в одну сторону - слева направо последовательными захватками. Длина захватки составляет 42 м. Общее количество этапов бетонирования равно пяти.
Результаты расчета - эпюры прогибов от нормативных постоянных и временных нагрузок, используемые для назначения ординат строительного подъема, приведены на рисунках 15 и
16.
Рисунок 15 - Эпюры прогибов от нормативных постоянных
нагрузок для определения ординат строительного подъема
Рисунок 16 - Эпюры прогибов от нормативных временных
нагрузок и суммарные прогибы для определения ординат
строительного подъема
Следует обратить внимание, что все эпюры прогибов на
рисунках 15 и
16 симметричные (кроме эпюры прогибов от веса плиты и суммарной эпюры). Несимметричный характер эпюры прогибов от веса плиты связан с учетом последовательности бетонирования железобетонной плиты проезжей части. Прогибы от веса плиты, опалубки и вспомогательных обустройств вычислены с учетом изменения жесткости пролетного строения в процессе сооружения плиты для каждого этапа бетонирования с последующим суммированием результатов. Прогибы левого крайнего пролета, с которого начиналось бетонирование, больше прогибов правого пролета.
Прогибы от экстремальных температурных перепадов между стальной и железобетонной частями сечения
(рисунок 16) не учитывают при назначении строительного подъема. Эпюра температурных прогибов пролетного строения, иллюстрирующая характер и значимость этого фактора в общих деформациях, может быть полезна при обследовании мостового сооружения.
Эпюра суммарных прогибов
(рисунок 16) служит отправной точкой для назначения ординат строительного подъема. Деформации от усадки и саморазогрева бетона в среднем пролете мостового сооружения при получении суммарной эпюры прогибов проигнорированы, поскольку имеют обратный знак и ведут к уменьшению строительного подъема.
12.6 Влияние нагрузочных факторов на значения ординат строительного подъема в среднем пролете мостового сооружения приведено на
рисунке 17. Долговременные деформации от усадки бетона в среднем пролете в расчет не принимаются. Долговременные деформации от ползучести бетона в среднем пролете составляют 2% (4 мм). Различия в среднем пролете между профилями моста в момент завершения строительства и в конце эксплуатации небольшие.
Влияние нагрузочных факторов на значения ординат строительного подъема в крайнем (левом) пролете мостового сооружения приведено на
рисунке 18. Долговременные деформации от усадки и ползучести бетона в среднем пролете составляют 9% (15 мм). Различия в крайнем пролете между профилями нового и старого моста несколько больше, чем в среднем пролете, но архитектурных качеств мостового сооружения не испортят.
Наиболее существенное влияние на величину строительного подъема оказывает вес монолитной плиты, воздействие которого определяют с учетом последовательности бетонирования, что требует тщательного контроля вертикальных прогибов.
С целью реализации контроля прогибов на стадии бетонирования сталежелезобетонной плиты проезжей части следует в составе результатов расчетов предусматривать выдачу эпюр прогибов пролетного строения (с накоплением и без накопления) для каждого этапа сооружения плиты.
Рисунок 17 - Влияние нагрузочных факторов
на величину строительного подъема в среднем пролете
Рисунок 18 - Влияние нагрузочных факторов
на величину строительного подъема в крайнем пролете
13 Расчет на временные подвижные нагрузки
13.1 Схема нагружения для расчета конструкций мостовых сооружений включает два варианта движения транспортных средств: движение транспорта и пешеходов без каких-либо ограничений (нагрузка АК) и пропуск специальных транспортных средств в одиночном порядке (нагрузка НК). Схему нагрузок АК и НК следует принимать в соответствии с
СП 35.13330.
При расчете элементов мостовых сооружений временные подвижные нагрузки следует устанавливать в наиболее невыгодное для рассчитываемого элемента положение.
При загружении мостового сооружения нагрузкой АК должны быть выполнены следующие условия:
- число полос нагрузки, размещаемых на мостовом сооружении, должно быть не более целого числа W, определяемого по формуле
W = int(Г/3),
где int - функция, значением которой является целое число от выражения в скобках (получаемое после отбрасывания дробной части);
Г - ширина габарита проезда (расстояние между внутренними гранями ограждения);
- ось полосы нормативной нагрузки АК следует располагать не ближе 1,5 м от внутренней грани ограждения;
- расстояние между осями смежных полос нагрузки принимают не менее 3,0 м.
Совместно с нагрузкой АК необходимо учитывать нагрузку от пешеходов.
В соответствие с
СП 35.13330 в расчетах мостовых сооружений нагрузку АК (тележку и распределенную составляющую) следует учитывать с коэффициентами полосности
s1,
s2,
s3. Для первой по значимости полосы (где нагрузка приводит к самым неблагоприятным результатам) следует принимать
s1 = 1,0, для второй полосы по значимости
s2 = 0,6, для остальных полос,
s3 = 0,3.
Нагрузку НК следует располагать вдоль направления движения в пределах проезжей части (вне полос безопасности) и отсутствии на мостовом сооружении других временных нагрузок. Кроме того, следует проводить проверку на воздействие сдвоенных нагрузок НК, устанавливаемых на расстоянии 12 м (между последней осью первой и передней осью второй нагрузок), с учетом понижающего коэффициента 0,75.
13.2 Расчеты сталежелезобетонных мостов на воздействие временных вертикальных нагрузок от транспорта и пешеходов следует выполнять по пространственным конечно-элементным расчетным схемам с поиском неблагоприятных расположений нагрузок на пролетном строении, соответствующих этим расположениям экстремальных значений компонентов напряженно-деформированного состояния и расчетных сочетаний нагрузок.
13.3 Для поиска неблагоприятных расположений нагрузок на пролетном строении рекомендуется использование аппарата получения (в памяти компьютера) и загружения нагрузками А14 (с учетом пешеходного движения) и Н14 линий и поверхностей влияния усилий, перемещений, напряжений, и деформаций.
13.4 В сталежелезобетонных мостах допускается определение усилий, напряжений, деформаций и перемещений от временных нагрузок выполнять с использованием метода пространственного расчета плитно-балочных конструкций мостов, ориентированного на получение и загружение поверхностей влияния.
Метод плитно-балочных конструкций - узко специализированная дискретно-континуальная разновидность метода конечных элементов, предназначенная для пространственного расчета пролетных строений мостов, основными конструктивными элементами которых служат плиты и балки. К таким конструкциям относятся сталежелезобетонные автодорожные мосты. Основные достоинства метода:
- высокая точность расчета (метод хорошо моделирует реальную работу пролетных строений мостов);
- малый объем и простота подготовки исходной информации;
- относительно небольшая трудоемкость расчета на компьютере (несмотря на то, что метод требует многократного решения систем линейных алгебраических уравнений, порядок решаемых систем и ширина ленты матрицы коэффициентов - невысоки);
- приспособленность метода к выполнению расчетов на временные нагрузки, т.е. расчетов, связанных с поиском неблагоприятного расположения нагрузок на мосту.
В соответствии с методом пролетное строение условно расчленяется продольными разрезами на отдельные конечные элементы - плиты, балки, стержни. При определении взаимодействий между продольными конечными элементами применяется метод сил. Лишние неизвестные и внешнюю нагрузку выражают в форме разложения в тригонометрические ряды Фурье.
Определение усилий и перемещений в балках осуществляется методами сопротивления материалов. Усилия и перемещения в плитах определяются методами теории упругости, используя решение Файлона для плоского напряженного состояния и решение Леви для изгиба плиты. Деформативность контура балок также учитывается с привлечением аппарата теории упругости.
В результате решения систем канонических уравнений находят значения неизвестных, вычисляют усилия и перемещения в элементах конструкции и строят поверхности влияния.
Вычислительный процесс, включающий в себя определение коэффициентов канонических уравнений, решение систем, нахождение усилий и перемещений и построение поверхностей влияния, повторяется для каждого члена ряда с последующим суммированием рядов.
13.5 Поверхность влияния, получаемая в результате пространственного расчета, задается матрицей аппликат, вектор-столбцом абсцисс (продольные координаты) и вектор-строкой ординат (поперечные координаты). Каждый столбец матрицы аппликат вместе с вектор-столбцом абсцисс представляют собой продольное сечение поверхности влияния. Его положение поперек моста определено вектор-строкой ординат. При загружении поверхностей влияния временной подвижной нагрузкой принято, что траектория движения нагрузки по пролетному строению параллельна продольной оси моста.
13.6 Для загружения поверхностей влияния усилий (перемещений, напряжений, деформаций) допускается использовать следующий алгоритм.
Для продольных сечений (столбцов матрицы) исходной поверхности влияния наметим сопряженные продольные сечения, расположенные на расстоянии, равном ширине колеи автомобильной нагрузки (1,9 м для нагрузки АК и 2,7 м для НК). Сложив попарно исходные и сопряженные продольные сечения заданной поверхности влияния, получим "колейную" матрицу. Каждый столбец этой матрицы представляет собой продольное сечение новой обобщенной поверхности влияния.
Загружением продольных сечений новой колейной поверхности влияния (линий влияния) расчетной полосой нагрузки находят невыгодные положения нагрузки (максимум и минимум) в продольном направлении и соответствующие этим положениям экстремальные значения расчетного нагрузочного эффекта.
Перемещая нагрузку в поперечном направлении с заданным шагом и находя на каждом шаге невыгодное положение нагрузки в продольном направлении и соответствующее экстремальное значение расчетного нагрузочного эффекта, "свертывают" поверхности влияния в поперечные линии влияния. Каждая ордината поперечной линии влияния характеризует экстремальное значение расчетного нагрузочного эффекта от загружения пролетного строения одной полосой нагрузки при фиксированном ее положении поперек моста.
Результат загружения поперечной линии влияния системой единичных грузов (количество единичных грузов соответствует количеству полос) - искомое экстремальное значение расчетного нагрузочного эффекта.
13.7 Приведенный алгоритм загружения поверхностей влияния усилий, перемещений, напряжений, деформаций допускается применять при расчете сталежелезобетонных мостов на временные автомобильные нагрузки - АК, НК в соответствии с
ГОСТ 32960.
13.8 Пример расчета
Требуется определить экстремальные значения нормальных напряжений в поясах стальной балки и в железобетонной плите неразрезного сталежелезобетонного пролетного строения
(приложение А) от временных подвижных нагрузок.
При определении нормальных напряжений каждую поверхность влияния необходимо загружать дважды, определяя неблагоприятные расположения подвижной нагрузки, вызывающие положительные и отрицательные экстремальные значения изгибающих моментов.
На
рисунках 19 и
20 приведены эпюры нормальных напряжений от временных подвижных нагрузок, вызывающих экстремальные значения положительных изгибающих моментов.
Вклад временных подвижных нагрузок в общую работу пролетного строения приведен на
рисунках 21 и
22.
Рисунок 19 - Эпюры напряжений от временных подвижных
нагрузок, вызывающих экстремальные значения
положительных изгибающих моментов
Рисунок 20 - Эпюры напряжений от временных подвижных
нагрузок, вызывающих экстремальные значения
отрицательных изгибающих моментов
Рисунок 21 - Соотношение экстремальных значений нормальных
напряжений в нижнем поясе стальной балки над промежуточной
опорой от постоянных и от временных подвижных нагрузок
Рисунок 22 - Оценка значимости влияния нагрузок
и воздействий на критические напряжения в стальной балке
пролетного строения
КРАТКОЕ ОПИСАНИЕ ИСХОДНЫХ ДАННЫХ К ПРИМЕРАМ РАСЧЕТА
СТАЛЕЖЕЛЕЗОБЕТОННОГО ПРОЛЕТНОГО СТРОЕНИЯ
Неразрезное сталежелезобетонное пролетное строение моста включает три пролета по схеме 63 + 84 + 63 м. Примеры расчета выполнены применительно к габариту проезда Г-10 + 2 x 1,5 м.
Для металлических балок пролетного строения использована сталь 15ХСНД
(СП 35.13330).
Конструкция пролетного строения содержит две главные сварные двутавровые балки со сплошной стенкой (высота стенки h = 2480 мм), объединенные с помощью жестких упоров с железобетонной плитой проезжей части.
Расстояние между главными балками составляет 7,6 м.
Поперечные связи в виде плоских ферм из уголков расставлены по длине пролетного строения с шагом 5,25 м.
Горизонтальные продольные связи крестовой системы с дополнительными распорками расположены на расстоянии 290 мм от нижних поясов главных балок.
Прогон, опирающийся на поперечные связи, в виде сварной балки с высотой стенки, равной 440 мм, расположен по оси пролетного строения. Прогон служит для сокращения расчетного пролета плиты проезжей части.
Монолитная железобетонная плита проезжей части, изготовленная из бетона класса B35, имеет среднюю толщину 16 см.
Арматура плиты изготовлена из стали А400. Диаметр продольных арматурных стержней верхней и нижней арматурных сеток равен 12 мм. Стержни расположены с шагом 200 мм.
Геометрические характеристики главных балок (стальной и сталежелезобетонной), использованные в расчетах, представлены в графическом виде на рисунках А.1 -
А.6.
Рисунок А.1 - Эпюра моментов инерции стальной балки
Рисунок А.2 - Эпюра площадей сечений стальной балки
Рисунок А.3 - Эпюра координат центров тяжести
сечений стальной балки
Рисунок А.4 - Эпюра моментов сопротивления сечений
в нижней фибре стальной балки
Рисунок А.5 - Эпюра моментов сопротивления сечений
в верхней фибре стальной балки
Рисунок А.6 - Эпюра моментов инерции
сталежелезобетонной балки