Главная // Актуальные документы // Методические указанияСПРАВКА
Источник публикации
СПТ Союзтехэнерго, 1983
Примечание к документу
Документ
утратил силу с 1 января 1988 года в связи с истечением срока действия.
Документ
введен в действие с 1 января 1983 года.
Название документа
"МУ 34-70-030-81. Методические указания по расчету допустимых разностей температур и скоростей прогрева основных деталей котлов и паропроводов энергетических блоков"
(утв. Минэнерго СССР)
"МУ 34-70-030-81. Методические указания по расчету допустимых разностей температур и скоростей прогрева основных деталей котлов и паропроводов энергетических блоков"
(утв. Минэнерго СССР)
Главным техническим управлением
по эксплуатации энергосистем
Главный инженер
Ю.И.ТИМОФЕЕВ
МЕТОДИЧЕСКИЕ УКАЗАНИЯ ПО РАСЧЕТУ ДОПУСТИМЫХ РАЗНОСТЕЙ
ТЕМПЕРАТУР И СКОРОСТЕЙ ПРОГРЕВА ОСНОВНЫХ ДЕТАЛЕЙ КОТЛОВ
И ПАРОПРОВОДОВ ЭНЕРГЕТИЧЕСКИХ БЛОКОВ
МУ 34-70-030-81
Срок действия установлен
с 1 января 1983 года
до 1 января 1988 года
Разработано ВТИ им. Ф.Э. Дзержинского.
Исполнители: В.Г. Зеленский, А.А. Бельский, В.П. Плотников, В.В. Севрюгин, А.Г. Землянская (ВТИ), А.Д. Горешник, А.А. Федоришин (Южтехэнерго), В.М. Вигак, А.В. Костенко (Институт прикладных проблем механики и математики АН УССР).
Утверждено Главным техническим управлением по эксплуатации энергосистем. Главный инженер Ю.И. Тимофеев.
Настоящие Методические указания определяют основные методы и требования по расчетной оценке допустимых разностей температур и скоростей прогрева деталей котлов и паропроводов энергетических блоков ТЭС и предназначены для проектных и наладочных организаций Минэнерго СССР в качестве рекомендуемого; МУ могут также использоваться другими организациями при отработке режимов эксплуатации и наладке оборудования ТЭС.
Рекомендуемые методы расчета применимы при условии, что конструкции, материалы, изготовление, монтаж и контроль удовлетворяют требованиям соответствующих норм и
правил Госгортехнадзора СССР.
1.1. Выбор допустимых перепадов температур и скоростей прогрева деталей энергоблоков производится на основе расчетов, устанавливающих взаимосвязь между режимами эксплуатации и долговечностью оборудования.
1.2. В качестве допустимых принимаются расчетные перепады температур и скорости прогрева или расхолаживания, при которых обеспечивается заданная долговечность без повреждения (образования трещин) конструкций.
1.3. Расчеты конструкций выполняются с учетом всех действующих на них нагрузок при типовых режимах эксплуатации.
1.4. В качестве расчетных принимаются наиболее напряженные узлы конструкций.
1.5. В случаях вынужденного превышения расчетных значений скоростей и достижения расчетной долговечности возможность эксплуатации барабанов котлов, коллекторов, тройников, корпусов арматуры и других толстостенных элементов оборудования должна подтверждаться результатами контроля сплошности металла.
При этом интервалы между контрольными проверками состояния металла в наиболее напряженных зонах конструкций не должны превышать половину расчетной долговечности по числу циклов.
Для деталей, например гибов трубопроводов, в которых образование поверхностных трещин сопряжено с быстрой потерей несущей способности, превышение расчетных скоростей прогрева и расхолаживания недопустимо.
2. ОСНОВНЫЕ КРИТЕРИИ ПРОЧНОСТИ
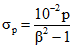
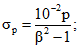
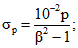
2.1. Расчеты производятся по амплитудам приведенных условных упругих напряжений

. В качестве расчетной принимается амплитуда напряжений, равная половине максимального размаха приведенных условных упругих напряжений

, определяемого по произведению местной общей деформации на модуль упругости материала при максимальной температуре цикла

.
где


- условные приведенные напряжения;

и

- модули упругости при температурах, соответствующих максимальным и минимальным приведенным напряжениям.
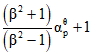
2.2. В местах концентрации амплитуда напряжений равна произведению
здесь

соответствует

.
2.3. Главные напряжения

,

,

определяются как алгебраическая сумма напряжений от всех видов нагрузок, действующих в данном направлении с учетом концентраторов по каждой составляющей.
2.4. Деформирование считается упругим, если размах условных приведенных напряжений

не превышает сумму пределов текучести при максимальной

и минимальной

температурах цикла,
2.5. При упругом деформировании коэффициент концентрации деформаций

принимается равным эффективному коэффициенту концентрации напряжений, значение которого равно

при

и

при

.
Коэффициент чувствительности материала к концентрации напряжений
где

- радиус кривизны в зоне концентраций, мм;
u - константа материала. При

, равном 35; 53 и 70, u, соответственно, равна 0,38; 0,25; 0,17 мм
[9].
Допускается применять следующие значения упругих коэффициентов концентрации:
- окружных напряжений от внутреннего давления на внутренних кромках одиночных отверстий

- для цилиндрических элементов и

- для сферических элементов;
- окружных и осевых температурных напряжений на кромках отверстий

;
- напряжений от внутреннего давления и изгиба для угловых сварных соединений типа "штуцер-труба"

, для стыковых соединений труб равной толщины

. Если в зоне концентрации произведена обработка сварных соединений радиусом не менее 10 мм, указанные коэффициенты принимаются равными 3 и 1,2, соответственно. При полном удалении концентраторов для стыковых сварных соединений
Для всех других случаев определение коэффициентов концентрации упругих напряжений рекомендуется проводить согласно [
6,
9,
10].
2.6. При неупругом деформировании коэффициент концентрации деформаций

определяется численными либо экспериментальными методами или по формуле
где
Коэффициент

при линейном упрочнении сталей равен
Модуль упрочнения

для сталей 12Х1МФ, 15Х1М1Ф и 12Х18Н12Т может приниматься равным 0,15.

при

;

при

,
где

- относительная деформация, равная отношению деформации при

к деформации, соответствующей

.
При

и отсутствии данных по

значение

для других жаропрочных сталей допускается принимать равным 0,8.
Если окажется, что по расчету

и

, то принимается

.
Размах условных приведенных напряжений с учетом

при неупругом деформировании вычисляется по формуле
Для отверстий типовых элементов трубопроводов предельное значение

допускается принимать равным 4,5.
2.7. Прочность рассчитываемого элемента обеспечивается, если размах приведенных условных напряжений, вычисленных без учета концентраторов и местных температурных напряжений, соответствует условию упругого деформирования и амплитуда условных приведенных напряжений

, определенная с учетом концентрации по всем компонентам главных напряжений, не превышает допустимое значение для заданного числа и асимметрии циклов.
2.8. Для пластичных сталей, применяемых в котлотурбостроении
(табл. 1), допустимая амплитуда условных приведенных напряжений

или допустимое количество циклов (расчетная долговечность) N* при заданной амплитуде напряжения определяется из соотношения
где

- минимальное значение модуля упругости в интервале рабочих температур, МПа (кгс/мм2).
Марка стали | Интервал температуры, t, °C | Модуль упругости  , МПа (кгс/мм2) | Допустимые напряжения  , МПа (кгс/мм2) | Длительная пластичность  | Коэффициент  | Относительное сужение  , % | Предел текучести  , МПа (кгс/мм2) | | Показатель ползучести m |
12Х1МФ | 20 - 450 | 18,4(1,88) | 135(13,8) | | 1,00 | | 275(28) | 0,51 | - |
540 | 17,4(1,78) | 72(7,3) | 0,08 | 0,39 | 40 | 245(25) | 0,54 | 5,0 |
560 | 17,2(1,76) | 58(5,9) | | 0,39 | | 216(22) | 0,54 | 4,3 |
15Х1М1Ф | 20 - 450 | 17,8(1,81) | 149(15,2) | | 1,00 | | 314(32) | 0,57 | - |
540 | - | 76(7,8) | 0,07 | 0,32 | 36 | 294(30) | 0,60 | 3,6 |
560 | 16,9(1,72) | 63(6,4) | | 0,32 | | 284(29) | 0,69 | 3,2 |
15Х1М1ФЛ | 20 - 450 | 17,9(1,83) | 126(12,9) | | 1,00 | | 314(32) | 0,65 | - |
540 | - | 65(6,6) | 0,06 | 0,27 | 33 | 255(26) | 0,73 | - |
560 | 17,1(1,74) | 53(5,4) | | 0,27 | | 226(23) | 0,90 | 3,2 |
12Х18Н12Т | 20 - 450 | 17,0(1,73) | 105(10,7) | | 1,00 | | 216(22) | 0,43 | - |
600 | 15,7(1,60) | 72(7,4) | 0,04 | 0,17 | 39 | 147(15) | 0,42 | 4,1 |
650 | 15,2(1,55) | 47(4,8) | | 0,17 | | 118(12) | 0,25 | - |
Х16Н9М2 | 20 - 450 | 17,4(1,78) | 105(10,7) | | 1,00 | | 216(22) | 0,42 | - |
600 | 15,6(1,61) | 72(7,4) | 0,23 | 0,58 | 43 | 137(14) | 0,33 | - |
650 | 15,5(1,58) | 47(4,8) | | 0,58 | | 118(12) | 0,31 | - |
20ХЗМВФ (ЭИ415) | 20 - 450 | 17,3(1,76) | - | | 1,00 | | 471(48) | 0,65 | - |
500 | 15,3(1,56) | 137(14,0) | 0,08 | 0,55 | 33 | 551(46) | 0,75 | 4,7 |
550 | 13,5(1,38) | 118(12,0) | | 0,55 | | 402(41) | 0,76 | 3,4 |
25Х1МФ (Р2М) | 20 - 450 | 19,4(1,98) | 163(16,6) | | 1,00 | | 530(54) | 0,76 | - |
500 | 18,2(1,86) | 143(14,6) | 0,08 | 0,46 | 35 | 412(42) | 0,77 | 3,5 |
550 | 17,4(1,78) | 98(10,0) | | 0,46 | | 392(40) | 0,77 | 2,5 |
ХН35ВТ | 20 - 450 | 17,6(1,80) | 235(24,0) | | 1,00 | | 510(52) | 0,68 | - |
600 | 16,6(1,69) | 137(14,0) | 0,02 | 0,11 | 16 | 373(38) | 0,70 | - |
650 | 16,1(1,64) | 104(10,6) | | 0,11 | | 353(36) | 0,72 | 8 |
20 | 20 - 350 | 16,2(1,65) | 104(10,6) | | 1,00 | | 216(22) | 0,44 | - |
450 | 15,3(1,56) | 58(5,9) | 0,18 | 0,69 | 40 | 157(16) | 0,45 | 5,3 |
500 | 15,0(1,52) | 25(2,6) | | 0,69 | | 147(15) | 0,45 | 4,9 |
1Х2М | 20 - 400 | - | | | 1,00 | | 274(28) | - | - |
500 | 17,6(1,79) | 88(9,0) | 0,18 | 0,90 | 41 | 264(27) | - | - |
550 | 17,2(1,75) | 59(6,0) | | 0,90 | | 255(26) | - | - |
15ХМ | 20 - 350 | - | 137(14,0) | | 1,00 | | 226(23) | 0,43 | 7,2 |
450 | 16,8(1,71) | 124(12,7) | 0,08 | 0,42 | 40 | 186(19) | 0,39 | 6,4 |
500 | - | 103(10,5) | | 0,42 | | 147(15) | 0,31 | 6,0 |
12ХМ | 20 - 350 | 19,2(1,96) | 134(13,7) | | 1,00 | | 206(21) | 0,47 | 7,2 |
450 | 17,8(1,62) | 122(12,5) | 0,05 | 0,20 | 35 | 176(18) | 0,42 | 6,4 |
500 | 17,4(1,78) | 93(9,5) | | 0,20 | | 137(14) | 0,35 | 6,0 |
1ХИВ2МФ (ЭИ756) | 20 - 450 | 17,6(1,79) | 122(12,4) | | 1,00 | | 294(30) | 0,43 | - |
550 | 16,1(1,64) | 105(10,7) | 0,12 | 0,38 | 33 | 265(27) | 0,90 | 4,3 |
600 | 15,4(1,57) | 59(6,0) | | 0,38 | | 216(22) | 0,90 | 3,7 |
22К | 20 | 20,6(2,1) | 167(17,0) | - | 1,0 | 32 | 226(23) | 0,5 | - |
| 350 | 19,6(2,0) | 118(12,0) | | 167(17) | 0,5 | - |
16ГНМ | 20 | 20,1(2,05) | 186(19,0) | - | | 37 | 294(30) | 0,5 | - |
| | 18,6(1,9) | 157(16,0) | 1,00 | 255(26) | 0,5 | - |
Примечание.  ,  ,  ,  и m определены по данным [ 10 - 13]. Значения коэффициента  дата без учета одностороннего накопления остаточной деформации (при  ), что характерно для трубопроводов, коллекторов, корпусов арматуры, барабанов котлов и гнутых элементов при отсутствии овальности поперечного сечения, В случае овальности или искажения формы поперечного сечения гибов значение коэффициента  необходимо рассчитывать с учетом  . |
Расчетное значение относительного сужения
где

- минимальное значение относительного сужения в рабочем интервале температур, %;

- равномерное сужение, определяемое при напряжении, равном пределу прочности, по формуле
Коэффициент асимметрии цикла определяется для упругого и повторно упруго-пластического нагружения по формулам:

при

и

при

и

при

Если же окажется, что r < -1 или r > 1, то в расчете принимается r = -1.
При упругом нагружении, когда максимальная температура ниже температуры ползучести, коэффициент асимметрии вычисляется с учетом остаточных напряжений, определяемых соответствующим расчетом или экспериментально.

- принимается равным 10. Для отдельных толстостенных элементов, ограничивающих маневренные характеристики установок, значение

может быть снижено до 5 при условии опытного подтверждения такой возможности или организации контроля металла с периодичностью, равной половине расчетной долговечности

при

.
Коэффициент

выбирается в зависимости от значения концентрации условных приведенных напряжений:

, если

или

;

, если

. При

коэффициент

оценивается интерполяцией.
Коэффициент

учитывает снижение циклической прочности металла в условиях ползучести и релаксации напряжений и выражается следующим образом:

- длительная пластичность металла (относительное удлинение при длительном разрыве за расчетный период);

- относительное удлинение при кратковременных испытаниях;

- односторонне накопленная деформация вследствие ползучести, равная
где

- время работы металла в условиях ползучести;
T - расчетное время.
Допускается принимать

;

- эквивалентное напряжение, определяемое на основании анализа напряженного состояния рассчитываемого элемента.
При переменном значении текущего напряжения

, при котором происходит процесс ползучести, эквивалентное напряжение определяется по формуле
Наиболее представительные результаты расчетов

обеспечиваются при использовании фактических характеристик металла. При отсутствии фактических данных допускается использовать характеристики сталей, приведенные в
табл. 1.
2.9. Долговечность считается неограниченной, если в области малоцикловой усталости

.
2.10. Кривые малоцикловой усталости ряда сталей для определения допустимого числа циклов по амплитудам напряжений либо допустимых амплитуд напряжений по требуемому числу циклов при

и r = -1 приведены на
рис. 1.
а)
б)
в)
г)
д)
а - 12Х1МФ; б - 12Х18Н12Т; в - 15Х1М1Ф;
г - 15Х1М1ФЛ; д - 16ГНМ и 22К (до температуры 350 °C)
Рис. 1. Расчетные кривые усталости для стали
2.11. При определении допустимой амплитуды напряжений

для элементов теплоэнергетического оборудования из углеродистых и низколегированных сталей (барабанов котлов, водоопускных и пароперепускных труб и др.), работающих при переменных нагрузках в условиях коррозионного воздействия горячей воды и влажного пара, принимается дополнительный запас

по напряжениям

, где

для углеродистых сталей равен 0,5; для низколегированных - 0,7 и нержавеющих - 0,85.
2.12. Допустимая амплитуда напряжений

для сварных соединений, удовлетворяющих требованиям ОСТ 108.031.02-75, определяется по амплитудам, допустимым для основного металла с учетом коэффициента ослабления
Для углеродистой и низколегированной сталей коэффициент ослабления

при наличии термообработки

без термообработки.
Для хромомолибденованадиевых, высокохромистых и аустенитных сталей при температуре до 500 °C коэффициент

при наличии термообработки и

без термообработки. При более высоких температурах значение

принимаются равными 0,7 и 0,5, соответственно.
При наличии исходных данных по свойствам металла расчеты сварных соединений выполняются по
п. 2.8.
2.13. В случаях определения допустимой амплитуды напряжений

для элементов оборудования, которые на стадии изготовления или монтажа подвергались деформированию без последующей термообработки, принимается дополнительный запас

, учитывающий снижение деформационной способности материала
где

- значение технологической деформации металла при изготовлении данной конструкции с учетом снижения пластичности вследствие деформационного старения.
2.14. При наличии результатов испытаний натурных конструкций или их моделей для режимов нагружения, соответствующих эксплуатационным, принятые значения коэффициентов запасов и концентрации напряжений могут быть уточнены.
2.15. Оценка ресурса (расчетной долговечности по числу циклов) с учетом нестационарных силовых и температурных нагрузок при эксплуатации оборудования на различных режимах является завершающим этапом поверочных расчетов и производится на основе линейного суммирования относительной повреждаемости при каждом расчетном режиме (цикле) нагружения, т.е.
где

- число циклов нагружения на i-м режиме нагружения;

- допустимое число циклов на i-м режиме нагружения, определяемое по формуле, приведенной в
п. 2.8;
К - общее число режимов нагружения.
При использовании экспериментальных данных по фактическим значениям пластичности и прочности металла расчет допустимых напряжений и располагаемого ресурса длительно работавшего оборудования допускается выполнять без учета предыстории его нагружения.
При выборе режимов эксплуатации оценка относительной повреждаемости с учетом фактического количества циклов на каждом режиме является исходным этапом расчетов, в процессе которого производится определение допустимых значений амплитуд напряжений.
Количество циклов, определяемое по амплитудам приведенных напряжений от внутреннего давления и внешних нагрузок (изгибающего и крутящего моментов от самокомпенсации, весовых и других нагрузок), характеризует предельно возможную долговечность

и является показателем работоспособности конструкций при переменных нагрузках.
3.1. При определении допустимых скоростей прогрева-расхолаживания барабанов и разностей температур "верх-низ" в качестве типовых расчетных режимов принимаются: пуск из холодного состояния, пуск из неостывшего состояния (после ночного простоя) и гидроопрессовка.
Для оценки относительной повреждаемости соотношение числа пусков из холодного состояния

, из неостывшего состояния

и гидроопрессовок

принимается, соответственно, 1:4:0,1*.
В качестве исходного расчетного режима принимается пуск из холодного состояния. Допустимое число таких пусков

определяется согласно уравнению линейного суммирования повреждаемости с учетом рекомендуемого соотношения пусков.
где

,

- фактическое и предельное числа нерасчетных режимов, сумма отношений которых характеризует относительную повреждаемость металла (исчерпание ресурса) вследствие отклонений от нормальных условий эксплуатации барабанов (позднее замыкание циркуляции в экранах, тепловые удары при заполнении водой и др.);

- вычисляется по амплитудам напряжений, определяемых в каждом конкретном случае расчетно-экспериментальными методами в соответствии с требованиями разд. 2 и
Приложения 2.
3.2. Расчет допустимых скоростей прогрева

, выбор допустимых разностей температур "верх-низ" при прогреве

, расчет

,

и

производятся по напряженному состоянию кромки в продольном сечении отверстия водоопускных труб.
--------------------------------
<*> При условиях эксплуатации, существенно отличающихся от принятых, соотношение

следует скорректировать.
3.3. Допустимое число гидроопрессовок

и пусков из неостывшего состояния

определяется по амплитудам приведенных условных напряжений

и

, вычисляемых, соответственно, по формулам:
где

- давление при номинальном режиме, кгс/см2

;

- давление в барабане котла перед пуском из неостывшего состояния, кгс/см2

;

- коэффициент концентрации от внутреннего давления в окружном направлении;

- скорость прогрева барабана в начальный момент пуска из неостывшего состояния, принимаемая равной 3 °C/мин;

,

- модуль упругости, соответственно, при максимальной и минимальной температурах цикла; кгс/мм2 (10 МПа);
п, о - индексы, указывающие принадлежность параметра соответственно пуску и останову.
3.4. Амплитуда напряжений в пусках из холодного состояния в кромке отверстий водоопускных труб при продольном сечении их

определяется по максимальным напряжениям сжатия в начальный момент пуска (p = 0) и максимальных напряжениях растяжения при номинальных параметрах. Необходимая для расчета допустимой скорости прогрева

допустимая амплитуда напряжений

вычисляется по допустимому числу циклов

, получаемому по уравнению
п. 3.1 для задаваемого ряда значений числа пусков из холодного состояния

.
3.5. Допустимая скорость прогрева

при пусках из холодного состояния для ряда принимаемых значений разностей температур верх-низ

определяется по формуле
где

- коэффициент, учитывающий характер распределения температуры по периметру поперечного сечения барабана; для зоны опускных труб принимается равным 0,3; для боковых отверстий - 0,4.
Окончательный выбор допустимой скорости прогрева и разности температур "верх-низ" производится из полученного ряда значений

и

с учетом нужд эксплуатации, конструктивных особенностей барабана и возможностей пусковой схемы, но при обязательном сохранении полученной взаимной зависимости между

и

. Так, для котлов, эксплуатируемых в полупиковых и пиковых режимах, рекомендуется выбирать комбинацию

и

с повышенным значением

, а для котлов с малой пропускной способностью пуско-сбросных устройств (неблочные котлы), наоборот, с повышенным значением

.
3.6. Допустимые скорости охлаждения

и перепад температур "верх-низ" при останове

определяются двумя условиями прочности кромки отверстий на боковой образующей барабана:
- непревышением допустимого размаха приведенных условно упругих напряжений за цикл пуска-останова в поперечном сечении отверстий;
- ограничением при охлаждении барабана максимума растягивающих окружных напряжений в продольном сечении отверстий значением, обусловленным только внутренним номинальным давлением.
Для выполнения последнего условия необходимо, чтобы начальная скорость охлаждения в зоне давления

не превышала 1,0 °C/мин.
3.7. Расчет допустимых скоростей охлаждения производится по формулам:
для кромки в продольном сечении отверстия и
для кромки в поперечном сечении отверстия,
где

- коэффициент концентрации напряжений от внутреннего давления в осевом направлении;

- коэффициент концентрации напряжений при одноосном растяжении-сжатии от разности температур "верх-низ";

,

- коэффициенты, характеризующие свойства материала при температурах, соответствующих максимальным напряжениям сжатия при пуске и растяжения при останове;

- давление в начальный момент пуска при

, принято

.
3.8. Граница применения формул определяется давлением при останове

, получаемым при совместном решении уравнений
п. 3.7 и при сохранении условия

,
где

- температура насыщения при номинальном давлении, °C;

- температура насыщения при текущем давлении, °C;

- опытный коэффициент, зависящий от конструктивных характеристик котла; в различных типах меняется в пределах 0,4 - 0,8.
3.9. Допустимая амплитуда напряжений в поперечном сечении отверстий

для пусков из холодного состояния рассчитывается по допустимому числу циклов

, которое, в свою очередь, определяется из уравнений
п. п. 3.1 и
3.3 при выбранных по
п. п. 3.6 -
3.8 значениях

,

,

и замене в уравнениях
п. 3.2 
на

.
Целесообразно принимать

, что соответствует предельному числу пусков из холодного состояния за две рабочие кампании между капитальными ремонтами.
3.10. Для определения скорости расхолаживания

при

рекомендуется формула
п. 3.7, допустимый перепад температур "верх-низ" принимается равным

. При

для определения по уравнению
п. 3.7 допустимого значения

рекомендуется задаваться следующими значениями

:
р МПа (кгс/см2) ..... Св. 6 до 8 Св. 2 до 6 Св. 0,1 до 2
i
(Св. 60 до 80) (Св. 20 до 60) (Св. 1 до 20)
V °C/мин ............ Св. 1,0 до 4,0 Св. 1,0 до 3,0 Св. 0,5 до 2,0
о
4. КОЛЛЕКТОРЫ КОТЛОВ И ДЕТАЛИ ПАРОПРОВОДОВ
4.1. Расчет допустимых скоростей прогрева коллекторов котлов и деталей паропроводов (труб со штуцерами, тройников, корпусов арматуры, гибов и сварных соединений) осуществляется при следующих основных типовых режимах:
- пуске из холодного состояния, когда температура рассчитываемого узла не превышает 150 °C;
- пуске из горячего (неостывшего) состояния.
4.2. Для каждого типового режима расчет выполняется для следующих характерных точек
(рис. 2), отличающихся между собой значением переменных температур, давления и скорости прогрева-охлаждения:
а - исходное состояние перед прогревом p = 0; V = 0;

(

- рабочая температура);
б - номинальный рабочий режим V = 0;

,

(

- рабочее давление);
в - кратковременное изменение температуры за счет эксплуатационных отклонений режима от номинального со скоростью V ~ -1,0 °C/мин;
г - режим останова блока с обеспариванием паропроводов
V = 0; p = 0;

;
для коллекторов высокого давления и паропроводов свежего пара блоков с барабанными котлами данный режим не учитывается;

- промежуточные текущие точки основных типовых режимов, соответствующие выбору интервалов температур через каждые 100 - 150 °C и фактическому значению давления в этих точках.
1 - t, °C; 2 - P, МПа (кгс/см2);
I - пуск; II - номинальный режим; III - остывание
Рис. 2. Характерные (а - г) и расчетные

точки цикла нагружения элемента
Первая точка соответствует началу прогрева (p > 0; V > 0;

), а последняя характеризуется параметрами

;

, V > 0.
4.3. Предусматривается применение двух методов расчета:
- прямой расчет допустимых температурных напряжений в зависимости от компонентов напряженного состояния для коллекторов, штуцеров при коэффициентах концентрации напряжений в отверстиях

и

, гибов с действием компенсационных моментов в плоскости гиба и сварных соединений;
| | ИС МЕГАНОРМ: примечание. В официальном тексте документа, видимо, допущена опечатка: пункт [15] в Библиографии отсутствует. | |
- определение допустимых скоростей методом последовательных приближений для характерных точек сечений
(п. 4.10) и задаваемых коэффициентах концентрации по специальной программе, указанной в [15]. Формулы, необходимые для выполнения указанных расчетов, даны в
Приложении 3.
4.4. При определении размаха напряжений, необходимого для расчета допустимых скоростей прогрева-охлаждения трубы со штуцером, тройника и корпуса задвижки, в качестве определяющих принимаются точки в местах максимальной концентрации напряжений 1, 2, 4, 5 на внутренней кромке отверстия (
рис. 3,
4), и точки 3, 6, 7 на наружной поверхности. В качестве расчетных для гиба принимаются точки 1, 3, 5 в местах максимальных напряжений на наружной и 2, 4, 6 на внутренней поверхностях.
1 - 6 - для коллектора;
1, 2, 3, 7 - для тройника и трубы со штуцером
(5 и 6 - только для прямого расчета)
Рис. 3. Расчетные точки для коллектора тройника
и трубы со штуцером
Рис. 4. Расчетные точки для гиба
4.5. Расчет скоростей прогрева и расхолаживания, а также температурных напряжений выполняется по схеме квазистационарного режима.
Для всех рассчитываемых узлов трубопровода допустимые скорости определяются по формулам:
- для наружной поверхности
- для внутренней поверхности
где при расчете значения

для трубы со штуцером и гиба принимаются номинальные значения наружного и внутреннего диаметров трубы, а для тройника и корпуса арматуры - фактические диаметры наиболее утолщенной части тройника и патрубка арматуры. Значения коэффициентов формы

и

для цилиндрических тел в зависимости от отношения наружного диаметра к внутреннему представлены на
рис. 5. Для корпуса задвижки коэффициенты формы принимаются равными 0,75 на внутренней поверхности и 0,25 на наружной.
а)
б)
а - наружная поверхность; б - внутренняя поверхность
Рис 5. Зависимость коэффициента формы для цилиндра
от

4.6. Для выполнения расчетов допустимых скоростей необходимо предварительно определить максимальные размахи напряжений от давления и внешних нагрузок, предельное количество циклов нагружения и задаться расчетным количеством циклов каждого вида.
4.7. Предельное количество циклов нагружения при пусках из холодного

и горячего

состояний определяется соответствующими максимальными размахами напряжений от давления и внешних нагрузок. Максимальные размахи напряжений

для трубы со штуцером, тройника, корпуса задвижки и для трубы со сварным соединением определяются решением уравнений согласно
п. 4.11 относительно

.
При этом температурные напряжения на наружной и внутренней поверхностях

, за исключением сочетаний с точкой в (см.
рис. 2) в качестве верхней, где

рассчитывается согласно
п. 4.5 при V = -1 °C/мин.
Максимальный размах напряжений для гиба при

определяется по формуле

при

,
либо

при

,
либо

при

;

при

.
Коэффициенты

и

принимаются согласно РТМ 24.038.08-72;

, индексы "н" и "в" указывают на напряжения в нижней и верхней точках рассматриваемого интервала цикла.
Для определения максимального размаха напряжений необходимо осуществить расчеты в характерных точках, указанных в
п. 4.2, выбрав в качестве нижней и верхней точек следующие возможные сочетания:
Верхняя б в г в в б
точка
Нижняя а а а б г г
точка
По указанным формулам с учетом неупругого деформирования (см.
п. 2.6) определяются размахи напряжений и по их максимальному значению с помощью формул
п. 2.8 -

для каждого рассчитываемого узла. При этом второй член формулы, приведенной в
п. 2.8, принимается равным

.
4.8. После определения

и

проверяется прочность конструкции по заданному количеству циклов за весь срок эксплуатации. Условие прочности удовлетворяется, если обеспечивается соотношение
4.9. Выбор расчетных количеств циклов нагружения с пусками из холодного

и горячего

состояний определяет соотношение допустимых скоростей прогрева для этих режимов нагружения.
При

можно принимать

, что обеспечивает примерно равные допустимые скорости при обоих видах пуска.
4.10. После определения

и

(см.
п. 4.7) по формулам
п. 2.8 рассчитываются допустимые размахи напряжений, по значениям которых с помощью формул
п. 4.5 вычисляются скорости прогрева для каждого узла и в качестве допустимой выбирается минимальное значение. При этом для определения допустимых температурных напряжений в отдельных интервалах температуры по формулам
п. 4.11 необходимо осуществить расчеты для возможных сочетаний характерных и расчетных точек, представленных на
рис. 2:
верхняя точка д б в г
i
нижняя точка а д д д
i i i
Расчеты проводятся последовательно для сочетаний характерных точек с

,

и т.д.
В качестве допустимой скорости прогрева для заданного температурного интервала, определяемого текущей расчетной точкой

, принимается минимальное значение.
4.11. Прямой расчет выполняется отдельно для определяющих точек внутренней и наружной поверхностей рассматриваемого сечения.
Для расчета скорости прогрева по внутренней поверхности трубы со штуцером, тройника и корпуса арматуры допустимые температурные напряжения в нижней и верхней точках рассматриваемого диапазона изменения температур определяются по формулам:
при

при

при

при

При этом

задается либо определяется согласно
п. п. 4.7 и
4.10 при расчете

и

;
Для трубопроводов, тройников и корпусов арматуры

;
при изменении знака суммарных напряжений

на протяжении рассматриваемого диапазона изменения температуры;
при постоянстве знака

в указанном диапазоне.
В последней формуле "плюс" принимается при

, а "минус" при

.
4.12. Для расчета скорости прогрева по наружной поверхности трубы со штуцером, тройника и корпуса арматуры допустимые температурные напряжения в нижней и верхней точках рассматриваемого диапазона изменения температур определяются по формулам:
При этом для трубы со штуцером

для корпусов арматуры и тройников

, а

.
4.13. Напряжения изгиба рассчитываются:
- для трубы со штуцером по формуле

, W определяются в месте расположения штуцера без учета ослабления сечения трубы отверстием;
- для тройника и корпуса арматуры по формуле
где W, и

- определяются в сечениях, указанных на
рис. 3.
Для корпуса арматуры принимается

; коэффициент

определяется по формуле п. 5.2.4 РТМ 108.020.01-75 для

.
Для промежуточной температуры t
Расчетные сечения для прямолинейных участков гибов и тройников со сварными штуцерами должны выбираться в зонах действия наибольших эквивалентных напряжений, определяемых по этапу III полного расчета трубопровода (РТМ 24.038.08-72), а при наличии фасонных элементов или арматуры с большей толщиной стенки, чем у труб основных магистралей - для каждого типоразмера этих элементов.
4.14. Для расчета скорости прогрева гиба по условиям прочности со стороны внутренней поверхности допустимые температурные напряжения в нижней и верхней точках изменения температур определяются по формулам:
при

при

при

при

В качестве

принимается большое значение:
или

- фактическая овальность, %. Допускается принимать овальность по ТУ с учетом коэффициента снижения

(РТМ 24.038.08-72); учитывается момент

, действующий в плоскости гиба; положительное значение момента

уменьшает радиус гиба.
4.15. Для расчета скорости прогрева по условиям прочности со стороны наружной поверхности гиба допустимые температурные напряжения в нижней и верхней точках изменения температур определяются по формулам:
при

при

при

при

4.16. Дня расчета скорости прогрева сварного стыка трубы по условиям прочности со стороны внутренней поверхности допустимые температурные напряжения в нижней и верхней точках изменения температур определяются по формулам:
при

при

при

при

Если найденные напряжения

и

превышают напряжения, определенные по формулам
то в качестве допустимых принимаются напряжения, найденные из последних формул.
Здесь учитываются

,

в аксиальном направлении, а

в поперечном сварном стыке трубопровода.
4.17. Для расчета скорости прогрева сварного стыка трубы по наружной поверхности допустимые температурные напряжения в нижней и верхней точках изменения температур определяются по формулам:
при

при

при

при

Найденные напряжения

и

при этом не должны превышать напряжений, определенных по формулам:
В противном случае в качестве допустимых температурных напряжений принимаются напряжения, найденные из последних формул.
Формулы
п. п. 4.16 и
4.17 при

пригодны для определения допустимых температурных напряжений гладкой трубы без концентраторов напряжений.
4.18. Для расчета допустимых скоростей прогрева методом последовательных приближений выполняется вычисление размахов условных приведенных напряжений для всех определяющих точек сечения при переходе от рассматриваемого режима до нижнего и верхнего стационарных режимов в соответствии с
п. п. 4.2 и
4.11. За определяющее принимается такое значение скорости прогрева, при котором максимальное значение размаха в каком-либо из интервалов: а - д, д - б, д - в и д - г (см.
п. 4.10) достигнет предельного значения, принимаемого согласно
п. 2.8 и заданному количеству пусков. Формулы для расчета главных напряжений для трубы со сварным соединением, гиба и трубы со штуцером приведены в
Приложении 3.
4.19. Значения наеденных по
п. 4.11 расчетных скоростей прогрева при пусках из холодного и горячего состояний могут быть по условиям эксплуатации скорректированы в требуемом направлении, для чего необходимо по сравнению с первоначальной изменить в нужном направлении одну из составляющих повреждаемости, например

, и весь расчет повторить в соответствии с
п. п. 4.10 -
4.17 до получения требуемого соотношения скоростей прогрева в горячем и холодном состояниях.
При корректировке относительной повреждаемости

и

не должны нарушаться следующие условия:
Возможна также прямая корректировка одной из скоростей в требуемом направлении, например скорости прогрева при горячих пусках с последующим расчетом размахов напряжений, предельных значений

,

и одной из искомых скоростей, в данном случае скорости прогрева при холодных пусках.
4.20. Для расчета допустимых скоростей принудительного расхолаживания трубы со штуцером, тройника и гиба допустимые температурные напряжения для наружной и внутренней поверхностей определяются согласно формулам
п. п. 4.11,
4.12,
4.14,
4.15. При этом необходимо изменить знаки перед напряжением

и давлением p на противоположные. В случае расчетов методом последовательных приближений в соответствии с
п. 4.18 требуется задавать отрицательные значения скорости прогрева (V).
4.21. Допустимый размах напряжений для расчета скоростей принудительного расхолаживания принимается равным размаху при пуске из холодного состояния.
Максимальный размах напряжений определяется по формуле
п. 4.8 с определением размаха напряжений от проверяемого режима расхолаживания до всех характерных точек (а, б, в, г, д), включая режимы прогрева.
4.22. Возможно увеличение скорости принудительного расхолаживания по сравнению с найденной по 4.21 при соответствующем сокращении допустимых скоростей прогрева из условия линейного суммирования повреждений:
где

- предполагаемое количество остановов с принудительным расхолаживанием;

- расчетное количество остановов с расхолаживанием, по которому определяется допустимый размах напряжений.
4.23. Допустимые перепады температур

для высокоинтенсивных тепловых процессов, например режима заполнения холодного коллектора либо паропровода горячей водой, заполнения горячего коллектора либо паропровода холодной водой в процессе прогрева этих узлов паром в диапазоне температур ниже насыщения, именуемых тепловыми ударами, определяются по формуле
где

- температура греющей среды, равная температуре воды либо температуре насыщения при прогреве паром в диапазоне температур ниже насыщения;

- начальная температура металла трубы;

- безразмерная величина, определяемая по графику
рис. 6 в зависимости от безразмерной величины

.
Рис. 6. Зависимость коэффициента

от соотношения
s - номинальная толщина стенки, м;

- наружный диаметр трубы, м;

- внутренний диаметр трубы, м;
R - радиус гиба, м;

- средний радиус трубы, м;

- отношение наружного диаметра трубы к внутреннему

;

- амплитуда приведенных условных упругих напряжений, МПа (кгс/мм2);

- амплитуда приведенных условных упругих напряжений без учета концентрации, МПа (кгс/мм2);

- допустимая амплитуда условных приведенных напряжений при заданном количестве циклов, МПа (кгс/мм2);

- размах приведенных условных упругих напряжений, МПа (кгс/мм2);

- размах изгибающих напряжений, МПа (кгс/мм2);

- (i = 1, 2, 3) - главные напряжения, МПа (кгс/мм2);

- предел текучести материала, МПа (кгс/мм2);

- предел прочности (временное сопротивление), Па (кгс/мм2);

- изгибающие напряжения, МПа (кгс/мм2);

- напряжения от давления, МПа (кгс/мм2);

- температурные напряжения, МПа (кгс/мм2);

- напряжения от разности температур "верх-низ", МПа (кгс/мм2);

- допустимые напряжения, МПа (кгс/мм2);

- предел длительной прочности, МПа (кгс/мм2);

- теоретический коэффициент концентрации напряжений;

- коэффициент концентрации условных упругих напряжений;

- коэффициент концентрации деформаций;

- коэффициент концентрации изгибающих напряжений;

- упругий коэффициент концентрации напряжений от давления;

- упругий коэффициент концентрации температурных напряжений;

- изгибающий момент, н.м (кгм);

- изгибающий момент в "холодном" состоянии, н.м (кгм);

- изгибающий момент в рабочем состоянии, н.м (кгм);

- изгибающий момент, действующий на штуцер или отвод, н.м (кгм);
W - момент сопротивления изгибу, см3;
W' - момент сопротивления изгибу штуцера, см3;

- овальность, %;

- безразмерный геометрический коэффициент

- коэффициент интенсификации изгибных поперечных напряжений в гибе;

- коэффициент интенсификации изгибных продольных напряжений в гибе;
N* - допустимое количество циклов (расчетная долговечность) при заданной амплитуде напряжений;

- относительное сужение, %;

- коэффициент запаса долговечности по числу циклов нагружения;
m - показатель степени в уравнении ползучести;

- коэффициент прочности материала;
p - давление среды, МПа (кгс/см2);
t - температура среды, °C;

- перепад температур, °C;
E - модуль упругости, МПа (кгс/мм2);

- коэффициент Пуассона;

- коэффициент температуропроводности, м2/ч;

- коэффициент теплоотдачи Вт/(м2 · °C) [ккал/(м2 · ч · °C)];

- коэффициент теплопроводности материала стенки Вт/(м · °C) [ккал/(м · ч · °C)];

- коэффициент линейного расширения, 1/°C;
V - скорость прогрева или охлаждения, °C/мин;

- перепад температур между верхом и низом барабана, °C;

- комплекс, характеризующий свойства материалов, МПа · мин/(мм2 · °C) [кгс · мин/(мм4 · °C)];

- безразмерный коэффициент формы для наружной поверхности цилиндра

- безразмерный коэффициент формы для внутренней поверхности цилиндра

, z, r - индексы, указывающие направление усилия, соответственно, окружного, осевого и радиального.
ФОРМУЛЫ ДЛЯ ОПРЕДЕЛЕНИЯ НАПРЯЖЕНИЙ В КРОМКАХ ОТВЕРСТИЙ
ВОДООПУСКНЫХ И ПОДЪЕМНЫХ ТРУБ БАРАБАНОВ КОТЛОВ
ПО ХАРАКТЕРИСТИКАМ ИЗМЕНЕНИЙ ПАРАМЕТРОВ РАБОЧЕЙ СРЕДЫ
Компоненты напряжений | Точка |
1 | 2 |
Окружные  | | |
| | |
Осевые  | | |
| | |
Радиальные  | | |
1. Напряжения от внутреннего давления:
для точки 1

для точки 2

2. Температурные ("скоростные") напряжения для точек 1 и 2:
3. Напряжение от неравномерного распределения температур по периметру поперечного сечения (от разности температур "верх-низ"):
для точки 1

для точки 2

4. Расчетные коэффициенты
Для кромок отверстий водоопускных труб (расчет проводится для точки 1 - продольное сечение):
коэффициент концентраций напряжений от разности температур "верх-низ"
коэффициент концентрации напряжений от внутреннего давления в окружном направлении
Для кромок отверстий подъемных труб (расчет проводится для точки 2 - поперечное сечение):
коэффициент концентрации напряжений от разности температур "верх-низ"
коэффициент концентрации напряжений от внутреннего давления в осевом направлении
Коэффициент, учитывающий характер распределения температуры по периметру поперечного сечения барабана

для опускных труб принимается равным 0,3; для боковых отверстий 0,4.
Коэффициент концентрации температурных "скоростных" напряжений

.
5. Начальная скорость прогрева барабана при пуске из неостывшего состояния принимается равной

. С учетом доквазистационарного температурного режима (кратковременный прогрев со скоростью

) определение минимального напряжения в этом цикле следует производить, принимая в расчет не более половины квазистационарного значения температурного напряжения, соответствующего

.
6. Начальная скорость охлаждения в момент

принимается равной

.
7. Изменение основных параметров в цикле "пуск-останов" блока представлено на
рис. 7.
температура образующей: x - нижней;

- верхней;

- боковой;

- уровень воды в барабане: 1 - верхней образующей; 2 - нормальный; 3 - растопочный; 4 - нижней образующей;

- перепад температур "верх-низ"; I, II - моменты "затопления" отверстий подъемных труб; продолжительность:

- пуска из холодного состояния;

и

- работы;

- ночного простоя;

- пуска после ночного простоя;

- останова с расхолаживанием
Рис. 7. Изменение основных параметров в цикле
"пуск-останов" блока
Изменение окружных

напряжений на кромке отверстия под водоопускные трубы для точек 1 (продольное сечение) и 2 (поперечное сечение) для цикла "пуск-останов" дано на
рис. 8.
а)
Ось барабана
б)

и

- максимальные и минимальные суммарные напряжения в цикле после ночного простоя;

- температурные "скоростные" напряжения а - для точки 1 (окружное направление

); б - для точки 2 (осевое направление

).
Остальные обозначение см.
рис. 7
Рис. 8. Изменение составляющих напряжения на кромке
отверстий барабана под водоопускные трубы
Изменение напряжений на кромке отверстий под подъемные трубы на боковой образующей барабана для точки 1 (продольное сечение) и трубы 2 (поперечное сечение) для цикла "пуск-останов" представлено на
рис. 9.
а)
б)
а - для точки 1; б - для точки 2.
Рис. 9. Изменение составляющих напряжения на кромке
отверстий под подъемные трубы (боковая образующая)
ФОРМУЛЫ ДЛЯ ОПРЕДЕЛЕНИЯ НАПРЯЖЕНИЙ В ХАРАКТЕРНЫХ ТОЧКАХ ГИБА
ТРУБЫ, ТРУБЫ СО ШТУЦЕРОМ И В СВАРНОМ СТЫКЕ ТРУБЫ
Компоненты напряжений | Точка |
1 | 2 |
Осевые  | | |
| | |
Окружные  | | |
| | |
Радиальные  | 0 | |
Продолжение Приложения 3
Компоненты напряжений | Точка |
3 | 4 |
Осевые  | | |
| | |
Окружные  | | |
| | |
Радиальные  | 0 | |
или
для точек 1 и 3 принимаются

, для точек 2 и 4 -

значения

(в расчетных точках

цикла). Для характерных точек а, б, в, г коэффициент 0,02 или 0,04 принимается такой же, как и для расчетной точки в проверяемом сочетании.

и

- действуют в плоскости гиба.
При

при

,

и

принимаются согласно РТМ 24.038.08-72.
Безразмерный геометрический параметр

.
Примечания: 1. При

расчет выполняется для наиболее нагруженных точек, положение которых может отличаться от точек 1 - 4
рис. 4.
2. При

и значительных отклонениях от овальной формы сечения значения допустимых скоростей прогрева, полученные по приведенным формулам, могут быть заниженными. В необходимых случаях допускается более строгий расчет компонентов напряжений согласно п. 8.6 РТМ 108-020.01-75.
Формулы для определения напряжений в характерных точках
коллектора, трубы со штуцером (тройника)
Компоненты напряжений | Точка |
1,4 | 2,5 | 3,6 |
Осевые  | | | |
| | | |
Окружные  | | | |
| | | |
Радиальные  | | | 0 |
где

и

действуют на основную магистраль в точке подключения штуцера;

и

действуют на ответвление в точке соединения штуцера (тройника) с основной магистралью;

вычисляется по формуле для

согласно п. 5.2.4 РТМ 108-020-01-75.
Примечание. Для тройника или одиночного приварного штуцера большого диаметра значение

в плоскости осей тройника и штуцера равно

, где

и

- значения изгибающего момента для заданной температуры относительно осей координат x и y, перпендикулярных к оси основной магистрали;

- угол наклона оси штуцера относительно оси x.
Положительное значение

должно соответствовать растягивающим осевым напряжениям в зоне отверстия.
Расчет напряжений для точки 7 проводится по формулам для точки 3 со знаком "-" перед

.
Расчет напряжений для точек 4, 5 и 6 не требуется.
Формулы для определения напряжений в сварном стыке трубы
Компоненты напряжений | Поверхность |
наружная | внутренняя |
Осевые  | | |
| | |
Окружные  | | |
| | |
Радиальные  | 0 | |
значения

,

рассчитываются в сечении сварного стыка;

,

и

выбираются для сварного соединения.
ПРИМЕРЫ РАСЧЕТОВ
1. Расчет допустимых скоростей прогрева и расхолаживания
барабанов котлов и градиентов температур в барабанах
Наименование | Обозначение | Формула | Котлы электростанций |
неблочных | блочных |
 = 11 МПа = 110 кгс/см2; |  = 15,5 МПа = 155 кгс/см2; |
 = 1600 мм; |  = 1600 мм; |
s = 89 мм | s = 115 мм |
|
Характеристика материала |
|
Марка стали | - | - | Сталь 22 | 16ГНМА |
Температура, °C | t | - | 100; 316 | 100; 343 |
Модуль упругости, МПа (кгс/мм2) | | | 20,8(2,08); | 20,5(2,05); |
20,0(2,00) | 19,2(1,92) |
Температурный коэффициент линейного расширения, 1/°C | | - | 12,80 13,60 | 12,30 14,70 |
Коэффициент температуропроводности, м2/ч | | - | 4,75 3,42 | 4,14 3,24 |
Предел текучести, МПа (кгс/мм2) | | - | 210(21); | 320(32); |
190(19) | 255(25,5) |
Предел прочности, МПа (кгс/мм2) | | - | 430(43); | 490(49); |
420(42) | 470(47) |
Допустимые напряжения | | - | 165(16,50); | 188(18,80); |
161,3(16,13) | 181(18,10) |
при  ;  , МПа (кгс/мм2) | | - | 140(14,0); | 213(21,3); |
127(12,7) | 170(17,0) |
Относительное сужение поперечного сечения образца, % | | - | 48 43 | 50 50 |
Равномерное сужение, определяемое при напряжении, равном пределу прочности, % | | | 18,5 18,4 | 11,8 15,8 |
|
Расчетное значение относительного сужения поперечного сечения образца, % | | | 33,3 30,7 | 30,9 33,4 |
Коэффициент Пуассона | | - | 0,30 | 0,30 |
Отношение диаметров | | | 1,100 | 1,105 |
Коэффициенты концентраций напряжений: | | | | |
температурных "скоростных" | | - | 1,80 | 1,80 |
от разности "верх-низ" в сечении отверстия: | | | | |
продольном | | - | -1,00 | -1,00 |
поперечном | | - | 3,50 | 3,50 |
от внутреннего давления в сечении: | | | | |
поперечном | | - | 1,25 | 1,25 |
продольном | | - | 3,00 | 3,00 |
Коэффициент, учитывающий характер распределения температуры по периметру поперечного сечения барабана для зоны отверстий: | | | | |
водоопускных | | - | 0,30 | 0,30 |
боковых | | - | 0,40 | 0,40 |
Вспомогательные комплексы | | | 13,10 | 8,60 |
| | | | |
| | | 29,70 | 17,90 |
| | | | |
Коэффициент свойств материала,  | | | 4,60 6,43 | 5,23 7,40 |
|
Коэффициент формы | | | 0,35 | 0,35 |
|
Расчет допустимых скоростей прогрева барабана при пуске блока |
|
Определение допустимых чисел гидроопрессовок в продольном сечении отверстий |
|
Амплитуда напряжений, МПа (кгс/мм2) | | | 204(20,4) | 173(17,3) |
|
Амплитуда напряжений с учетом коррозии, МПа (кгс/мм2) | |  , где K' = 2 | 408(40,8) | 346(34,6) |
Допустимое число циклов при r = -1 | | | 740 | 1416 |
|
Определение допустимого числа пусков из неостывшего состояния в продольном сечении отверстий |
|
Давление перед пуском, МПа (кгс/см2) | | | 6,6(66) | 6,2(62) |
Амплитуда напряжений при начальной скорости прогрева  °C/мин, МПа (кгс/мм2) | | | 86(8,6) | 122(12,2) |
Размах напряжений, МПа (кгс/мм2) | | | 172(17,2) | 244(24,4) |
Максимальное напряжение, МПа (кгс/мм2) | | | 320(32,0) | 276(27,6) |
Проверка выполнения условия для вычисления коэффициента асимметрии, МПа (кгс/мм2) | | | 320 > 190 | 276 > 255 |
(32,0 > 19,0) | (27,6 > 25,5) |
Коэффициент асимметрии | r | | 0,18 | 0,24 |
|
Амплитуда напряжений с учетом коррозии, МПа (кгс/мм2) | |  при K' = 2 | 172(17,2) | 242(24,2) |
Допустимое число циклов | | | 3062 | 1246 |
|
Определение допустимых скоростей прогрева или числа пусков из холодного состояния по условию прочности в продольном сечении отверстий |
|
Допустимое число пусков из холодного состояния при фактическом соотношении | | | | |
 = 1:4:0,1 | | | | |
| | | | |
Задаваемое число пусков из холодного состояния | | | 390; 354; 345 | 160; 151; 137 |
Допустимое число пусков из холодного состояния при заданном  | | | 870 760 690 | 335 300 250 |
Амплитуда условно-упругих напряжений с учетом концентрации деформаций и коррозии, МПа (кгс/см2) | | | 357(35,7) | 504(50,4) |
370(37,0) | 535(53,5) |
382(38,2) | 570(57,0) |
То же без учета коррозии, МПа (кгс/см2) | |  при K' = 2 | 178(17,8) | 252(25,2) |
185(18,5) | 267(26,7) |
191(19,1) | 285(28,5) |
Размах напряжений, МПа (кгс/мм2) | | | 357(35,70) | 504(50,40) |
370(37,00) | 535(53,50) |
382(38,20) | 570(57,00) |
Сумма пределов текучести, МПа (кгс/мм2) | - | | 400(40,0) | 575(57,5) |
Проверка выполнения условия упругого деформирования, МПа (кгс/мм2) | - | | 357 < 400 | 504 < 575 |
(35,7 < 40,0) | (50,4 < 57,3) |
370 < 400 | 535 < 575 |
(37,0 < 40,0) | (53,5 < 57,5) |
382 < 400 | 570 < 575 |
(38,2 < 40,0) | (57,0 < 57,5) |
Задаваемые значения перепадов температур "верх-низ", °C | | | 0; 30; 40; 50; 60 |
Значение скорости прогрева при заданных значениях перепадов температур "верх-низ", °C/мин | | | 1,10; 1,60; 2,10 0,20; 0,70; 1,20; | 4,30; 4,90; 5,56; 3,90; 4,50; 5,10 |
0,40; 0,90 | 3,70; 4,30; 5,00 |
0,13; 0,70 | 3,60; 4,20; 4,80 |
0,40 | 3,40; 4,00; 4,60 |
Выбор допустимых значений скоростей пусков из холодного состояния при заданных значениях скорости прогрева  и перепадов температур  либо допустимых скоростей прогрева  при заданном числе пусков из холодного состояния  и перепаде температур  | | Производится по графику рис. 10, построенному по результатам расчета | | |
|
|
|
а) |
|
|
|
б) |
|
а - вариант 1; б - вариант 2; |
 : 1 - 0 °C; 2 - 30 °C; 3 - 40 °C; 4 - 50 °C; 5 - 60 °C |
|
Рис. 10. Зависимость допустимых скоростей прогрева барабанов котлов при пусках из холодного состояния от количества пусков при различных перепадах температур "верх-низ" |
|
Расчет допустимых значений скоростей расхолаживания и разности температур "верх-низ" при расхолаживании барабана котла (применительно к отверстиям на боковой образующей барабана) |
|
Определение допустимого числа гидроопрессовок в поперечном сечении боковых отверстий |
|
Амплитуда напряжений, МПа (кгс/мм2) | | | 90,0(9,00) | 82,5(8,25) |
|
То же с учетом коррозии, МПа (кгс/мм2) | | | 180(18,0) | 165(16,5) |
Допустимое число циклов | | | | |
|
Определение допустимого числа пусков из неостывшего состояния по условию прочности в поперечном сечении отверстия |
|
Амплитуда напряжений при пусках из неостывшего состояния при начальной скорости прогрева  °C/мин, МПа (кгс/мм2) | | | 50(5) | 80(8) |
То же с учетом коррозии, МПа (кгс/мм2) | | | 100(10) | 160(16) |
Размах напряжений, МПа (кгс/мм2) | | | 100(10) | 160(16) |
Максимальное напряжение, МПа (кгс/мм2) | | | 144(14,4) | 133(13,3) |
Проверка условия для вычисления коэффициента асимметрии, МПа (кгс/мм2) | | | 144(14,4) | 133(13,3) |
| 210(21,0) | 320(32,0) |
| 100(10,0) | 160(16,0) |
100(10,0) | 575(57,5) |
Коэффициент асимметрии | r | | -0,305 | -0,020 |
|
Допустимое число пусков из неостывшего состояния | | | 11200 | 8700 |
|
Определение допустимого числа пусков из холодного состояния по условию прочности в продольном сечении отверстий |
|
Допустимое число пусков из холодного состояния при фактическом соотношении циклов  = 1:4:0,1 | | | | |
Принятые для расчета значения скорости прогрева, °C/мин | | - | 2 | 2 |
Перепады температур "верх-низ", °C | | - | 60 | 60 |
Число пусков из холодного состояния | | - | 328 | 186 |
Допустимое число циклов | | - | 355 | 204 |
|
Определение допустимой амплитуды напряжений в поперечном сечении боковых отверстий при пуске из холодного состояния |
|
Амплитуда условно-упругих напряжений с учетом концентраций деформаций и коррозии, МПа (кгс/мм2) | | | 685(68,50) | 608(60,80) |
Амплитуда без учета коррозии, МПа (кгс/мм2) | | | 342,5(34,25) | 304(30,40) |
Размах напряжений при неупругой деформации, МПа (кгс/мм2) | | | 685(68,50) | 608(60,80) |
Размах условных приведенных напряжений с учетом концентрации при упругой деформации  , МПа (кгс/мм2) | - | | 585(58,50) | 662,5(66,25) |
|
Определение допустимой разности температур "верх-низ" в барабане при останове котла |
|
Начальная скорость расхолаживания, °C/мин | | Задается | 0,5 - 1,0 | 0,5 - 1,0 |
Задаваемые значения скоростей (°C/мин) расхолаживания в интервалах давлений: | | | | |
100 > p > 80 | | Задается | - | 3 |
80 > p > 60 | | | 3 | 3 |
60 > p > 20 | | | 2 | 2 |
20 > p > 1 | | | 1 | 1 |
Допустимая разность температур (°C) расхолаживания в интервалах давлений: | | | | |
| | | | |
| | где  (5 кгс/см2) | | |
100 > p > 80 | | | - | 78 - 72 |
80 > p > 60 | | | 50 - 58 | 80 - 76 |
60 > p > 20 | | | 64 - 62 | 86 - 78 |
20 > p > 1 | | | 85 - 70 | 87 - 83 |
2. Расчет скорости прогрева выходного
коллектора пароперегревателя
Определяются допустимые скорости прогрева при пусках из холодного и горячего состояний выходного коллектора пароперегревателя с наружным диаметром 426 мм и толщиной стенки 90 мм, изготовленного из стали 15Х1М1Ф. Минимальная и максимальная температуры в цикле при пуске из холодного состояния, соответственно, составляют 20 и 545 °C, а рабочее давление равно 25,5 МПа (255 кгс/см2). Коэффициент прочности, учитывающий ослабление детали отверстиями, составляет

.
Предполагается, что коллектор не несет весовых и компенсационных нагрузок и температурные градиенты вдоль длины и по периметру поперечного сечения коллектора пренебрежимо малы. Принимается, что давление при пусках энергоустановки из холодного состояния в заданных диапазонах температур изменяется линейно согласно данным, приведенным ниже.
Температура, °C .. 20 300 350 420 480 545
Давление, ........ 0 3(30) 5(50) 12(120) 25,5(255) 25,5(255)
МПа (кгс/см2)
При пусках из горячего состояния в диапазоне температур от 250 до 430 °C давление повышается от 10 до 25,5 МПа (от 100 до 255 кгс/см2), оставаясь в дальнейшем постоянным.
Проектное число циклов "пуск-останов" принимается равным 1000, при этом число пусков из холодного состояния

составляет 200, а число пусков из горячего состояния

.
Вначале определяется предельное количество циклов

по размаху напряжений от давления и внешних нагрузок.
Ввиду отсутствия изгибающего момента

при определении размаха напряжений

и допустимых температурных напряжений

расчет проводится для сочетаний характерных точек согласно
п. п. 4.7 и
4.10 только по формулам, приведенным в настоящих РТМ, для внутренней поверхности коллектора. Параметры характерных точек расчета приведены в табл. 2.
Таблица 2
Обозначение точек | t, °C | p, МПа (кгс/см2) | V, °C/мин |  , МПа (кгс/мм2) |  , МПа (кгс/мм2) |  , м2/с |  , 1/°C |
Задано |
Характерные точки | | | | | | | |
а | 0 | 0 | 0 | 0 | 21,4(2,14) | 1,13 | 10,60 |
б | 540 | 25,5(255) | 0 | 16,0(1,6) | 17,4(1,74) | 0,69 | 13,60 |
в | 540 | 25,5(255) | -1 | 16,0(1,6) | 17,4(1,74) | 0,69 | 13,60 |
г | 540 | 0 | 0 | 0 | 17,4(1,74) | 0,69 | 13,60 |
Расчетные точки | | | | | | | |
| 20 | 0 | - | 0 | 21,4(2,14) | 1,13 | 10,60 |
| 100 | 1,0(10) | - | 0,6(0,06) | 20,85(2,085) | 1,08 | 11,10 |
| 200 | 2,0(20) | - | 1,2(0,12) | 20,1(2,01) | 1,03 | 11,65 |
| 300 | 3,0(30) | - | 1,8(0,18) | 19,4(1,94) | 0,94 | 12,45 |
| 400 | 10,0(100) | - | 6,0(0,6) | 18,7(1,87) | 0,85 | 13,00 |
| 500 | 25,5(255) | - | 16,0(1,6) | 17,75(1,775) | 0,74 | 13,45 |
| 540 | 25,5(255) | - | 16,0(1,6) | 17,4(1,740) | 0,69 | 13,60 |
Согласно
п. п. 4.7 и
4.11 максимальный размах напряжений

для внутренней поверхности коллектора составляет:
- для сочетания характерных точек расчета б - а (см.
п. 4.7)
при

и

, так как

, то согласно
п. 4.11
при этом

;
- для сочетания в - а
при этом

;
- для сочетания г - а

, поскольку

;
- для сочетания в - б
но поскольку

и

, то
- для сочетания в - г

, т.е. как и для сочетания в - а
- для сочетания б - г

, т.е. как и для сочетания б - а
Таким образом, максимальный размах напряжений

от давления и внешних нагрузок составляет 239,6 МПа (23,96 кгс/мм2). Минимальное значение суммы

для верхней и нижней точек при сочетании в - г составляет
Таким образом, имеет место упругое деформирование (см.
п. 2.4).
Предельное количество циклов, соответствующее найденному размаху напряжений

, определяемое по формуле из
п. 2.8, при

и r = -1, равно
где
т.е.
Так как изгибающие моменты в обоих видах циклов при пусках из холодного и горячего состояний отсутствуют, то размахи напряжений

совпадают, поэтому

.
Проверка наличия решения (см.
п. 4.8):
В соответствии с
п. 4.9 при

принимается
Допустимый размах напряжений, соответствующий

и

, при

и r = -1 равен (см.
п. 2.8)
Теперь согласно
п. 4.10 определяются допустимые температурные напряжения.
В качестве точки

принимается напряженное состояние коллектора при температуре 20 °C. При этом поскольку

, то
и для расчета допустимых температурных напряжений справедлива формула
Тогда для характерных точек расчета (см.
п. 4.10):
- для сочетания

,
- для сочетания

при

Таким образом, для расчетной точки

минимальное значение допустимого температурного напряжения, определяемое сочетанием

, составляет
Аналогичным образом рассчитываются допустимые температурные напряжения

согласно
п. п. 4.10 и
4.11 для остальных расчетных точек

. Значения этих температурных напряжений приведены в табл. 3.
Сочетания характерных точек расчета (i = 1, 2,... 7) | Нумерация точек  (i = 1, 2,... 7) |
| | | | | | |
| 13,65 | 13,65 | 13,80 | 14,65 | 11,70 | 14,45 | 14,45 |
| 5,59 | 5,54 | 5,54 | 6,12 | 8,40 | 13,40 | 13,65 |
| 2,05 | 2,36 | 2,62 | 2,91 | 5,30 | 10,46 | 10,46 |
| 16,80 | 16,50 | 15,75 | 15,30 | 15,00 | 14,70 | 14,40 |
Выбрав в качестве допустимых из
табл. 3 минимальные рассчитанные температурные напряжения, по формуле
определяют допустимые скорости прогрева коллектора. При этом

,

согласно
рис. 4 равно 0,435. Значения V для принятых расчетных температур приведены в табл. 4.
Таблица 4
Параметр | Температура, °C |
20 | 100 | 200 | 300 | 400 | 500 | 545 |
 , МПа (кгс/мм2) | 20,5 | 23,6 | 26,2 | 29,1 | 53,0 | 104,5 | 104,6 |
(2,05) | (2,36) | (2,62) | (2,91) | (5,3) | (10,46) | (10,46) |
V, °C/мин | 1,20 | 1,30 | 1,37 | 1,35 | 2,20 | 3,86 | 3,64 |
Результаты аналогичных расчетов допустимых температурных напряжений и скоростей прогрева для коллектора при пусках из горячего состояния приведены в табл. 5, параметры точек - в
табл. 6.
Таблица 5
Параметр | Температура, °C |
200 | 300 | 400 | 500 | 545 |
p, МПа (кгс/см2) | 0 | 2,0(20) | 8(80) | 25,5(255) | 25,5(255) |
 , МПа (кгс/мм2) | 19,1(1,91) | 29(2,9) | 46,2(4,62) | 108(10,8) | 107,7(10,77) |
V, °C/мин | 1,001 | 1,35 | 1,93 | 4,0 | 3,7 |
Обозначение точек | t, °C | p, МПа (кгс/см2) | V, °C/мин |  , МПа (кгс/мм2) |  , МПа (кгс/мм2) |  , м2/с |  , 1/°C |
Характерные точки | | | | | | | |
а | 200 | 0 | 0 | 0 | 2,01 | 1,03 | 11,65 |
б | 540 | 25,5(255) | 0 | 16,0(1,6) | 1,74 | 0,69 | 13,60 |
в | 540 | 25,5(255) | -1 | 16,0(1,6) | 1,74 | 0,69 | 13,60 |
г | 540 | 0 | 0 | 0 | 1,74 | 0,69 | 13,60 |
Расчетные точки | | | | | | | |
| 200 | 0 | - | 0 | 2,01 | 1,03 | 11,65 |
| 300 | 3,0(30) | - | 1,8(0,18) | 1,94 | 0,94 | 12,45 |
| 400 | 8,0(80) | - | 4,8(0,48) | 1,87 | 0,85 | 13,00 |
| 500 | 25,5(255) | - | 16,0(1,6) | 1,775 | 0,74 | 13,45 |
| 540 | 25,5(255) | - | 16,0(1,6) | 1,74 | 0,69 | 13,60 |
3. Расчет скорости прогрева паропровода
со сварным соединением
Определяются скорости прогрева паропровода диаметром 325 x 60 мм, изготовленного из стали 15Х1М1Ф, рассчитанного на рабочие параметры 540 °C и 25 МПа (250 кгс/см2). Максимальные изгибающие моменты от компенсации температурных расширений и собственного веса равны:

;

. Коэффициенты концентрации напряжений в сварном соединении -

;

.
Проектное число циклов "пуск-останов" принимается равным 700, при этом число пусков из холодного состояний

, число пусков из горячего состояния

.
Параметры характерных и расчетных точек цикла с пуском из горячего и холодного состояния приведены в табл. 7 -
10 и
рис. 11.
Обозначение точек | t, °C | p, МПа (кгс/см2) | V, °C/мин |  , МПа (кгс/мм2) |  , Н · м = кгс · см |  , МПа (кгс/см2) |  , м2/с |  , 1/°C |
(задано) | (справочные данные) | (справочные данные) | (справочные данные) |
Характерные точки | | | | | | | | |
а | 0 | 0 | 0 | 0 | -22 | 0,214(2,14) | 1,10 | 11,0 |
б | 540 | 25,0(250) | 0 | 16,5(1,65) | 7,0 | 0,174(1,74) | 0,69 | 13,6 |
в | 540 | 25,0(250) | -1 | 16,5(1,65) | 7,0 | 0,174(1,74) | 0,69 | 13,6 |
г | 540 | 0 | 0 | 0 | 7,0 | 0,174(1,74) | 0,69 | 13,6 |
Расчетные точки | | | | | | | | |
| 0 | 0 | - | 0 | -22 | 0,214(2,14) | 1,10 | 11,0 |
| 150 | 2,0(20) | - | 1,3(0,13) | -13,95 | 0,208(2,08) | 1,05 | 11,4 |
| 300 | 4,0(40) | - | 2,6(0,26) | -5,89 | 0,201(2,01) | 0,94 | 12,5 |
| 450 | 10,0(100) | - | 6,6(0,66) | 2,17 | 0,182(1,82) | 0,80 | 13,2 |
| 540 | 25,0(250) | - | 16,5(1,65) | 7,0 | 0,174(1,74) | 0,69 | 13,6 |
Обозначение точек | t, °C | p, МПа (кгс/см2) | V, °C/мин |  , МПа (кгс/мм2) |  , Н · м = кгс · см |  , МПа (кгс/см2) |  , м2/с |  , 1/°C |
(задано) | (справочные данные) | (справочные данные) | (справочные данные) |
| | | | | | | | |
Характерные точки | | | | | | | | |
| | | | | | | | |
а | 150 | 0 | 0 | 0 | -13,95 | 0,208(2,08) | 1,05 | 11,4 |
б | 540 | 25(250) | 0 | 16,5(1,65) | 7,0 | 0,174(1,74) | 0,69 | 13,6 |
в | 540 | 25(250) | -1 | 16,5(1,65) | 7,0 | 0,174(1,74) | 0,69 | 13,6 |
г | 540 | 0 | 0 | 0 | 7,0 | 0,174(1,74) | 0,69 | 13,6 |
Расчетные точки | | | | | | | | |
| 150 | 0 | - | 0 | -13,95 | 0,208(2,08) | 1,05 | 11,4 |
| 300 | 4,0(40) | - | 2,6(0,26) | -5,89 | 0,201(2,01) | 0,94 | 12,5 |
| 450 | 10(100) | - | 6,6(0,66) | 2,17 | 0,182(1,82) | 0,80 | 13,2 |
| 540 | 25(250) | - | 16,5(1,65) | 7,0 | 0,174(1,74) | 0,69 | 13,6 |
| |  , МПа (кгс/мм2) |  , МПа (кгс/мм2) |  +  кгс/мм2 (МПа) |
верхняя | нижняя |
б | а | 0,813 | -87,9(-8,79) | 208,4(20,84) | 25 + 32 = 57(570) |
в | а | 0,813 | -87,9(-8,79) | 178,7(17,87) | 25 + 32 = 57(570) |
г | а | 0,813 | -87,9(-8,79) | 110,8(11,08) | 25 + 32 = 57(570) |
в | б | 1,0 | 0 | 18,5(1,85) | 25 + 25 = 50(500) |
в | г | 1,0 | 0 | 95,3(9,53) | 25 + 25 = 50(500) |
б | г | 1,0 | 0 | 83,0(8,30) | 25 + 25 = 50(500) |
| |  , МПа (кгс/мм2) |  , МПа (кгс/мм2) |  +  кгс/мм2 (МПа) |
верхняя | нижняя |
б | а | 0,837 | -66,1(-6,61) | 165,8(16,58) | 25 + 32 = 57(570) |
в | а | 0,837 | -66,1(-6,61) | 159,6(15,96) | 25 + 32 = 57(570) |
г | а | 0,837 | -66,1(-6,61) | 131,8(13,18) | 25 + 32 = 57(570) |
в | б | 1,0 | 0 | 18,5(1,85) | 25 + 25 = 50(500) |
в | г | 1,0 | 0 | 95,3(9,53) | 25 + 25 = 50(500) |
б | г | 1,0 | 0 | 83,0(8,30) | 25 + 25 = 50(500) |
а)
б)
в)
Рис. 11. Параметры нагружения (а) и напряжения
на наружной (б) и внутренней (в) поверхностях труб
диаметром 325 x 60 мм при пуске
из холодного состояния
Для определения предельного количества циклов

необходимо вначале найти максимальный размах напряжений от давления и внешних нагрузок

.
Для сочетания характерных точек расчета б - а (см.
п. 4.7) при

и

Для внутренней поверхности паропровода

можно найти на основании
п. 4.16 по формуле
а для наружной поверхности - на основании
п. 4.17 по формуле
В качестве расчетного принимается

значение размаха
Аналогично определяются размахи напряжений для остальных сочетаний характерных точек расчета в - а, г - а и др. (см.
п. 4.7). Значения найденных размахов приведены в
табл. 8 для пусков из холодного состояния и в
табл. 9 - для пусков из горячего состояния.
Максимальный размах напряжений

для паропровода со сварным соединением при нулевой скорости прогрева не превышает

(см.
табл. 7 и
8). Поэтому металл паропровода работает в упругой области.
Предельное количество циклов (см.
п. 2.8), соответствующее найденному размаху напряжений, при

, r = -1 и
(для стали 15Х1М1Ф при

и

)
Проверка наличия решения (см.
п. 4.8):
Расчетное количество циклов принимается равным (см.
п. 4.7)
Тогда допустимый размах напряжений равен
В соответствии с
п. п. 4.16 и
4.17 находятся допустимые температурные напряжения, а на основании их согласно формуле
п. 4.5 - допустимые скорости прогрева паропровода. В качестве характерных точек расчета принимаются температуры и давления, приведенные в
табл. 6 и
7. Там же приведены исходные величины, необходимые для расчета допустимых температурных напряжений и скоростей прогрева паропровода.
В качестве примера определения допустимых температурных напряжений

и скоростей прогрева V приводится расчет этих величин для нижней точки

по размаху напряжений до верхней точки в (сочетание

).
Для сочетания этих расчетных точек

. Определяющим для внутренней поверхности паропровода является условие (см.
п. 4.16):
Следовательно, для расчета допустимых температурных напряжений справедлива формула
Допустимая скорость прогрева, соответствующая этим температурным напряжениям, равна:
Определяющим для наружной поверхности паропровода является условие (см.
п. 4.17):
которое для расчета допустимых температурных напряжений рекомендует формулу
Допустимая скорость прогрева для этих напряжений равна (см.
п. 4.5):
Допустимой скоростью прогрева паропровода со сварным соединением для расчетной точки

является меньшее значение V = 13,65 °C/мин. Рассчитанные таким путем допустимые температурные напряжения и скорости прогрева для рассматриваемого паропровода приведены в табл. 11,
12.
Точка интервала | |  , МПа (кгс/мм2) на наружной поверхности |  , МПа (кгс/мм2) (справочные данные) |  , МПа (кгс/мм2) | V, °C/мин для минимальных значений  |
верхняя | нижняя | На наружной поверхности (см. п. 4.17) | На внутренней поверхности (см. п. 4.16) |
На наружной поверхности | На внутренней поверхности |
| а | 1 | 0 | 640(64) | 141(14,10) | 141(14,10) |  9,78 | 2,62 |
б | | 0,813 | -87,9(-8,79) | 570(57) | 56,7(5,67) | 35,4(3,54) |
в | | 0,813 | -87,9(-8,79) | 570(57) | 50,8(5,08) | 20,2(2,02) |
г | | 0,813 | -87,9(-8,79) | 570(57) | 29,6(2,96) | 82,9(8,29) |
| а | 0,972 | -26,0(-2,60) | 640(64) | 105(10,50) | 123,2(12,32) |  19,41 | 5,5 |
б | | 0,837 | -66(-6,60) | 570(57) | 88,3(8,83) | 59,5(5,95) |
в | | 0,837 | -66(-6,60) | 570(57) | 82,5(8,25) | 44,7(4,47) |
г | | 0,837 | -66(-6,60) | 570(57) | 62(6,20) | 105,6(10,56) |
| а | 0,938 | -52,1(-5,21) | 640(64) | 68,4(6,84) | 104(10,40) |  18,09 | 7,99 |
б | | 0,866 | -42,7(-4,27) | 570(57) | 119,4(11,94) | 91,3(9,13) |
в | | 0,866 | -42,7(-4,27) | 570(57) | 113,8(11,38) | 76,9(7,69) |
г | | 0,866 | -42,7(-4,27) | 570(57) | 94(9,40) | 127,8(12,78) |
| а | 0,850 | -73,7(-7,37) | 640(64) | 34,3(3,43) | 94,8(9,48) |  8,08 | 8,750 |
б | | 0,956 | -17,4(-1,74) | 570(57) | 138,8(13,88) | 107,5(10,75) |
в | | 0,956 | -17,4(-1,74) | 570(57) | 132,7(13,27) | 94,6(9,46) |
г | | 0,956 | -17,4(-1,74) | 570(57) | 114,8(11,48) | 148(14,80) |
| а | 0,813 | -87,9(-8,79) | 570(57) | 2,0(0,20) | 106(10,60) |  0,412 | 8,580 |
б | | 1 | 0 | 500(50) | 141(14,10) | 141(14,10) |
в | | 1 | 0 | 500(50) | 136,5(13,65) | 128,9(12,89) |
г | | 1 | 0 | 500(50) | 119(11,90) | 180(18,00) |
Определяющие (минимальные) значения скорости прогрева V:  (0 °C) - 2,62;  (150 °C) - 5,5;  (300 °C) - 7,99;  (450 °C) - 8,08;  (500 ° C) - 0,412. |
Точка интервала | |  , МПа (кгс/мм2) на наружной поверхности |  , МПа (кгс/мм2) (справочные данные) |  , МПа (кгс/мм2) | V, °C/мин для минимальных значений  |
верхняя | нижняя | На наружной поверхности (см. п. 4.17) | На внутренней поверхности (см. п. 4.16) |
На наружной поверхности | На внутренней поверхности |
| а | 1 | 0 | 640(64) | 141(14,10) | 141(14,10) |  19,95 | 5,12 |
б | | 0,837 | -66(-6,60) | 570(57) | 90(9,00) | 56,4(5,64) |
в | | 0,837 | -66(-6,60) | 570(57) | 84(8,40) | 41,6(4,16) |
г | | 0,837 | -66(-6,60) | 570(57) | 63,7(6,37) | 102,5(10,25) |
| а | 0,966 | -26,8(-2,68) | 640(64) | 102(10,20) | 124,9(12,49) |  24,82 | 7,15 |
б | | 0,866 | -42,8(-4,28) | 570(57) | 119,2(11,92) | 83,2(8,32) |
в | | 0,866 | -42,8(-4,28) | 570(57) | 114(11,40) | 68,8(6,88) |
г | | 0,866 | -42,8(-4,28) | 570(57) | 93,8(9,38) | 127,8(12,78) |
| а | 0,875 | -50,8(-5,08) | 640(64) | 64,8(6,48) | 113,2(11,32) |  15,26 | 8,75 |
б | | 0,956 | -17,4(-1,74) | 570(57) | 137,8(13,78) | 107,5(10,75) |
в | | 0,956 | -17,4(-1,74) | 570(57) | 132,7(13,27) | 94,6(9,46) |
г | | 0,996 | -17,4(-1,74) | 570(57) | 114,8(11,48) | 148(14,80) |
| а | 0,837 | -66(-6,6) | 570(57) | 31,3(3,13) | 124,5(12,45) |  6,45 | 10,08 |
б | | 1,00 | 0 | 500(50) | 141(14,10) | 141(14,10) |
в | | 1,00 | 0 | 500(50) | 136,5(13,65) | 129(12,90) |
г | | 1,00 | 0 | 500(50) | 119(11,90) | 180(18,00) |
Определяющие (минимальные) значения V:  (150 °C) - 5,12;  (300 °C) - 7,15;  (450 °C) - 8,75;  (540 °C) - 6,45. |
В качестве допустимых для каждой из расчетных точек

выбираются значений скоростей, соответствующие минимальным напряжениям

(см.
табл. 11,
12), для внутренней и отдельно - для наружной поверхности.
Резкое падение допустимой скорости прогрева паропровода при пуске из холодного состояния в диапазоне температур выше 450 °C объясняется высоким размахом изгибающих моментов напряжений на его наружной поверхности.
4. РАСЧЕТ СКОРОСТИ ПРОГРЕВА ГНУТОГО ОТВОДА ПАРОПРОВОДА
Определяются допустимые скорости прогрева при пусках из холодного и горячего состояний гнутого отвода (гиба) паропровода диаметром 325 x 60 мм, изготовленного из стали 15Х1М1Ф и эксплуатируемого при номинальных параметрах пара 540 °C, 25 МПа (250 кгс/см2). На отвод радиусом 1370 мм действует изгибающий момент в плоскости гиба

(-220 Н · м) и

. Овальность гиба составляет 6%. Расчетная долговечность гиба

.
Общее число циклов "пуск-останов" принимается равным 700, при этом количество пусков из холодного состояния

, а из горячего -

. Параметры характерных и расчетных точек приведены в табл. 13 и
14.
Обозначение точек | t, °C | p, МПа (кгс/см2) | V, °C/мин |  , МПа (кгс/мм2) |  , Н · м = кгс · см |  , МПа (кгс/см2) |  , м2/с |  , 1/°C |
Характерные точки | | | | | | | | |
а | 0 | 0 | 0 | 0 | -22,00 | 0,214(2,14) | 1,10 | 11,0 |
б | 540 | 25(250) | 0 | 16,5(1,65) | 7,00 | 0,174(1,74) | 0,69 | 13,6 |
в | 540 | 25(250) | -1 | 16,5(1,65) | 7,00 | 0,174(1,74) | 0,69 | 13,6 |
г | 540 | 0 | 0 | 0 | 7,00 | 0,174(1,74) | 0,69 | 13,6 |
Расчетные точки | | | | | | | | |
| 0 | 0 | - | 0 | -22,00 | 0,214(2,14) | 1,10 | 11,00 |
| 150 | 2(20) | - | 1,3(0,13) | -13,95 | 0,208(2,08) | 1,05 | 11,4 |
| 300 | 4(40) | - | 2,6(0,26) | -5,89 | 0,201(2,01) | 0,94 | 12,5 |
| 450 | 10(100) | - | 6,6(0,66) | 2,17 | 0,182(1,82) | 0,80 | 13,2 |
| 540 | 25(250) | - | 16,5(1,65) | 7,00 | 0,174(1,74) | 0,69 | 13,6 |
Обозначение точек | t, °C | p, МПа (кгс/см2) | V, °C/мин |  , МПа (кгс/мм2) |  , кгс · см = Н · м |  , МПа (кгс/см2) |  , м2/с |  , 1/°C |
Характерные точки | | | | | | | | |
а | 150 | 0 | 0 | 0 | -13,95 | (2,08)0,208 | 1,05 | 11,4 |
б | 540 | 25(250) | 0 | (1,65)16,5 | 7 | (1,74)0,174 | 0,69 | 13,6 |
в | 540 | 25(250) | -1 | (1,65)16,5 | 7 | (1,74)0,174 | 0,69 | 13,6 |
г | 540 | 0 | 0 | 0 | 7 | (1,74)0,174 | 0,69 | 13,6 |
Расчетные точки | | | | | | | | |
| 150 | 0 | - | 0 | -13,95 | (2,08)0,208 | 1,05 | 11,4 |
| 300 | 4(40) | - | (0,26)2,60 | -5,89 | (2,01)0,201 | 0,94 | 12,5 |
| 450 | 10(100) | - | (0,66)6,60 | 2,17 | (1,82)0,182 | 0,80 | 13,2 |
| 540 | 25(250) | - | (1,65)16,5 | 7,0 | (1,74)0,174 | 0,69 | 13,6 |
На первом этапе расчета определяется размах напряжений от давления и внешних нагрузок для сочетаний характерных точек в соответствии с
п. 4.10.
Так, для сочетания точек б - а
Поэтому для внутренней поверхности гиба на основании определяющего условия (см.
п. 4.14)
размах напряжений рассчитывается по формуле
Для наружной поверхности (см.
п. 4.15) определяющим условием служит неравенство
Поэтому для определения размаха напряжений справедлива формула
В качестве расчетного принимается

значение размаха напряжений

.
Аналогично определяются размахи напряжений для остальных сочетаний характерных точек расчета (см.
п. 4.11). Найденные значения этих размахов приведены в табл. 15 для пусков из холодного состояния и в
табл. 16 - для пусков из горячего состояния.
Таблица 15
Точка интервала | | | |  , МПа (кгс/мм2) (справочные данные) |
верхняя | нижняя |
б | а | 0,813 | -81(-8,1) | 121,9(12,19) | 620(62) |
в | а | 0,813 | -81(-8,1) | 134,3(13,43) | 620(62) |
г | а | 0,813 | -87,9(-8,79) | 88,2(8,82) | 620(62) |
в | б | 1,0 | 0 | 12,35(1,235) | 600(60) |
в | г | 1,0 | -168(-16,8) | 222,5(22,25) | 600(60) |
б | г | 1,0 | -168(-16,8) | 210(21) | 600(60) |
Определяющее (максимальное) значение в интервале в - г  |
Точка интервала | | | |  , МПа (кгс/мм2) (справочные данные) |
верхняя | нижняя |
б | а | 0,837 | -102(-10,2) | 144(14,4) | 620(62) |
в | а | 0,837 | -102(-10,2) | 156,4(15,64) | 620(62) |
г | а | 0,837 | -66(-6,6) | 66,26(6,626) | 620(62) |
в | б | 1 | 0 | 12,35(1,235) | 600(60) |
в | г | 1 | -168(-16,8) | 222,5(22,25) | 600(60) |
б | г | 1 | -168(-16,8) | 210(21) | 600(60) |
Принимается максимальное значение  |
Максимальное значение размаха напряжений от давления и внешних нагрузок

для обоих циклов составляет 222,5 МПа (22,25 кгс/мм2).
Для определения предельного количества циклов (см.
п. 2.8), соответствующего найденному максимальному размаху напряжений, предварительно находится значение A по формуле
где для рассматриваемого гиба (см.
п. 2.8)

в соответствии с [
3,
4].
Тогда предельное количество циклов при

и r = -1 равно
Следовательно,

,

и
При

(см.
п. 4.9) допустимый размах напряжений равен
В соответствии с
п. п. 4.14 и
4.15 находятся допустимые температурные напряжения и по найденным значениям температурных напряжений - допустимые скорости прогрева гиба. В
табл. 13 и
14 приведены исходные значения, необходимые для расчета допустимых температурных напряжений и скоростей прогрева гиба.
В качестве примера определения допустимых температурных напряжений и скоростей прогрева V приводится расчет этих величин для сочетания нижней расчетной точки

и верхней в по размаху напряжений.
Для сочетания этих расчетных точек

.
Определяющим для выбора формулы расчета напряжений на внутренней поверхности гиба является условие (см.
п. 4.14):
Следовательно, для расчета допустимых температурных напряжений справедлива формула
Допустимая скорость прогрева, соответствующая этим температурным напряжениям, равна
(п. 4.5):
Определяющим для наружной поверхности гиба является условие
(п. 4.15):
т.е.
согласно которому допустимые температурные напряжения определяются по формуле
Допустимая скорость прогрева для этих напряжений равна
(п. 4.3):
В качестве допустимой скорости прогрева для расчетной точки принимается меньшее значение, т.е.
V = 23,5 °C/мин.
Рассчитанные таким образом допустимые температурные напряжения и скорости прогрева для гиба приведены в
табл. 17,
18. Из-за близких значений размахов напряжений от давления и внешних нагрузок для внутренней и наружной поверхностей определяющими в рассматриваемом примере являются

для внутренней поверхности, поэтому

и V для наружной поверхности в табл. 17 и
18 не представлены.
Расчетные точки | Минимальное значение  , МПа (кгс/мм2) | Сочетание, соответствующее минимальному значению  | Допустимая скорость прогрева, °C/мин |
| 181,2(18,12) | | 23,50 |
| 167,0(16,70) | | 20,50 |
| 151,9(15,19) | | 15,79 |
| 164,5(16,45) | | 15,21 |
| 163,0(16,30) | | 13,20 |
Расчетные точки | Минимальное значение  , МПа (кгс/мм2) | Сочетание, соответствующее минимальному значению  | Допустимая скорость прогрева, °C/мм |
| 150,3(15,03) | | 18,49 |
| 151,9(15,19) | | 15,79 |
| 164,5(16,45) | | 15,21 |
| 163,0(16,30) | | 13,20 |
СПИСОК ИСПОЛЬЗОВАННОЙ ЛИТЕРАТУРЫ
1. | Водно-химические режимы и надежность металла энергоблоков мощностью 500 и 800 МВт. М.: Энергоиздат, 1981. |
2. | Котлы стационарные паровые и водогрейные и трубопроводы пара и горячей воды. Нормы расчета на прочность. ОСТ 108.031.02-75. |
| Нахалов В.А., Брагина В.И., Слободчикова Н.И. Изменение формы сечения при ползучести изогнутых труб, нагруженных внутренним давлением. - Проблемы прочности, 1977, N 3. |
| Нахалов В.А. Расчетные оценки длительной прочности изогнутых труб, нагруженных внутренним давлением. - Теплоэнергетика, 1978, N 8. |
5. | Махутов Н.А. Концентрация напряжений и деформаций в упругопластической области деталей. - Машиноведение, 1971, N 6. |
| Серенсен С.В., Когаев В.П., Шнейдерович Р.М. "Несущая способность и расчеты деталей машин на прочность". М.: Машиностроение, 1975. |
7. | Нормы американского общества инженеров-механиков. М.: Центральный НИИ информации и технико-экономических исследований по атомной науке и технике, 1974. |
8. | Ищенко И.И., Зеленский В.Г., Погребняк А.Д., Сорокин Л.С. и др. Сопротивление усталости жаропрочных сталей 12Х1МФ, 15Х1М1Ф и 1Х18Н12Т при нормальной и повышенных температурах. - Проблемы прочности, 1976, N 10. |
| Петерсон Р. Коэффициенты концентрации напряжений. М.: Мир, 1977. |
| Нормы расчета на прочность элементов реакторов, парогенераторов, сосудов и трубопроводов атомных электростанций, опытных и исследовательских ядерных реакторов и установок. М.: Металлургия, 1973. |
11. | Марочник стали и сплавов. М.: ЦНИИТмаш, 1971. |
12. | РТМ 108.021.103-76. Турбины паровые стационарные. Расчет на малоцикловую усталость деталей паровых стационарных турбин. |
| РТМ 24.038.11-72. Расчет прочности трубопроводов для нестационарных температурных режимов. |
14. | Вигак В.М., Фальковский С.В., Горешник А.Д., Мащенко Б.В. Допустимые температурные напряжения и скорости прогрева (расхолаживания) паропроводов. М: Энергия, 1975. |