Главная // Актуальные документы // Методические указанияСПРАВКА
Источник публикации
М.: Метеоагентство Росгидромета, 2006
Примечание к документу
Документ утратил силу с 01.01.2021 в связи с изданием
Постановления Правительства РФ от 03.08.2020 N 1168.
Документ
введен в действие с 01.01.2007.
Название документа
"РД 52.37.675-2006. Руководящий документ. Методические указания по предупредительному спуску снежных лавин"
(утв. Росгидрометом 03.04.2006)
"РД 52.37.675-2006. Руководящий документ. Методические указания по предупредительному спуску снежных лавин"
(утв. Росгидрометом 03.04.2006)
Руководителем Росгидромета
А.И.БЕДРИЦКИМ
3 апреля 2006 года
РУКОВОДЯЩИЙ ДОКУМЕНТ
МЕТОДИЧЕСКИЕ УКАЗАНИЯ
ПО ПРЕДУПРЕДИТЕЛЬНОМУ СПУСКУ СНЕЖНЫХ ЛАВИН
РД 52.37.675-2006
Дата введения
1 января 2007 года
1 РАЗРАБОТАН | Отделом стихийных явлений Государственного учреждения "Высокогорный геофизический институт" Росгидромета |
2 РАЗРАБОТЧИКИ | Руководитель разработки - А.Х. Аджиев, д-р физ.-мат. наук, проф. Исполнитель - М.М. Багов зав. лаб. гляциологии ВГИ |
3 ВНЕСЕН | Управлением геофизического мониторинга, активных воздействий и государственного надзора Росгидромета |
4 УТВЕРЖДЕН | Руководителем Росгидромета А.И. Бедрицким 03.04.2006 г. |
5 ЗАРЕГИСТРИРОВАН | ЦКБ ГМП ГУ "НПО "Тайфун" за номером РД 52.37.675-2006 от 05.04.2006 г. |
6 ВВЕДЕН ВПЕРВЫЕ | |
В соответствии с "Руководством по предупредительному спуску снежных лавин с применением артиллерийских систем КС-19"
[1] мероприятиям по предупредительному спуску снежных лавин, регулируемых по объемам, предшествует составление специализированного прогноза лавинной опасности на основе диагностирования прочностного состояния снежной толщи.
Прочностное состояние слоев снежной толщи определяется в соответствии с Руководством
[1] с помощью диагностической номограммы. Сравнение реальной снеговой нагрузки на каждый слой с прочностью этого слоя позволяет определить запас прочности каждого слоя и рассчитать критический прирост высоты снежного покрова, при котором необходимо проводить регулируемый по объему предупредительный спуск снежных лавин.
Методика диагностирования прочностного состояния снежной толщи на склоне является основной частью руководства, регламентирующего работы по предупредительному спуску снежных лавин, но именно эта часть руководства является и самой слабой.
При составлении диагностической номограммы не учитывалась сильнейшая зависимость механических свойств снега от характера испытаний: методика определения среднего размера частиц снега субъективна.
В Руководстве
[1] основным механизмом лавинообразования принят и, обоснованно, просадочный механизм лавинообразования, при котором происходит раздавливание какого-либо слабого горизонта в снежной толще под действием нормальной составляющей силы тяжести вышележащих слоев снега. При таком механизме лавинообразования основным прочностным параметром снега является его предел прочности на одноосное сжатие без возможности бокового расширения. При просадке снежного пласта с поперечником от нескольких метров до нескольких сотен метров сопротивлением снега боковому срезу по периметру просаживающегося пласта можно пренебречь, но при испытаниях прочности снега на склоне с помощью нажимного динамометра вручную с нагрузочной площадкой 10 x 10 см сопротивлением снега боковому срезу пренебрегать нельзя в силу соизмеримости этой величины с сопротивлением снега сжатию.
При составлении диагностической номограммы этот фактор не учитывался в Руководстве
[1].
Указанные и ряд других недостатков, о которых будет сказано ниже, вызвали необходимость разработки более объективной методической основы диагностирования прочностного состояния снежной толщи, базирующегося на концепции просадочного механизма лавинообразования.
В настоящих методических указаниях содержатся описания: способа и устройства для определения несущей способности слоев снежной толщи, схемы расчетов запаса прочности (устойчивости) снежной толщи, времени начала проведения мероприятий по предупредительному спуску снежных лавин (ПСЛ).
Методические указания предназначены для руководства и применения инженерно-техническим персоналом служб по активному воздействию на лавины в организациях и учреждениях Росгидромета, осуществляющих предупредительный спуск лавин.
2 Термины, определения и сокращения
2.1 В настоящих методических указаниях применены следующие термины с соответствующими определениями:
2.1.1 активное воздействие; АВ: Преднамеренное воздействие на снеголавинные процессы с целью предупредительного спуска лавин, контролируемых объемов;
2.1.2 площадь зоны зарождения лавин: Площадь, определяющая размеры лавинных обрушений. С ее увеличением объем лавин возрастает.
2.1.3 размеры зоны остановки: Размеры, в основном определяющие толщину лавинных отложений: чем больше размеры зоны отложения, тем лучше условия растекания лавинного снега и тем толщина лавинных отложений будет меньше.
2.1.4 размеры зоны транзита: Размеры зоны транзита и степень ее извилистости определяют, во-первых, возможность нарастания массы лавины за счет вовлечения снега, расположенного в зоне транзита, во-вторых, возможность выхлеста лавины из канала стока. Это происходит когда поперечное сечение зоны транзита либо меньше поперечного сечения лавинного потока, либо когда извилистый участок расположен там, где лавина набирает значительную скорость и достаточно большой объем. В этом случае возможен выход значительной части лавинного потока за пределы канала стока. В целом, чем выше степень извилистости канала стока, т.е. чем чаще и резче он меняет свое направление, тем меньше будет скорость движения лавин.
2.1.5 угол наклона зоны транзита: угол наклона зоны транзита, оказывающий существенное влияние на скорость движения лавин, с его увеличением она увеличивается и соответственно увеличивается дальность выброса лавин.
2.1.6 угол наклона зоны зарождения лавин: Угол наклона зоны зарождения лавин влияет на количество (толщину) накапливаемого снега в зоне зарождения и частоту его обрушений. С ее увеличением объем лавин уменьшается.
2.1.7 угол наклона зоны остановки: Угол наклона зоны остановки, оказывающий влияние на распространение лавинного снега в зоне остановки: чем лучше сопряжение зоны транзита и зоны отложения, тем больший путь пройдет лавина.
2.1.8 характер и амплитуда расчленения зоны зарождения лавин: Характер и амплитуда расчленения зоны зарождения лавин влияет на размеры лавин. При большой густоте и амплитуде расчленения зона зарождения представляет собой совокупность отдельных зон зарождения, размеры которых зависят от частоты и глубины ее расчленения - многокамерные зоны зарождения. Обрушение лавин из многокамерных зон зарождения в большинстве случаев происходит раздельно по каждой камере, и только в аномально многоснежные годы обрушение может происходить по всей площади зоны зарождения.
2.1.9 шероховатость подстилающей поверхности: Шероховатость подстилающей поверхности определяется высотой и частотой распределения ее неровностей. Подстилающая поверхность может быть представлена скалами, осыпями, с различным размером каменных глыб, грунтом, травой, мелким кустарником и древостоем. В зависимости от шероховатости подстилающей поверхности минимальное количество снега, при котором возможен сход лавин, может меняться от нескольких сантиметров до нескольких метров. На ровных склонах, покрытых травянистой растительностью, лавины могут формироваться при толщине снежного покрова менее 15 см, в то время как для возникновения лавин на склонах, покрытых крупноглыбовыми осыпями, необходимо значительное количество снега.
2.2 В настоящих методических указаниях применены следующие сокращения:
- ЗЗЛ - зона зарождения лавин.
Примечание - Превышение зоны зарождения лавин над основанием склона совместно с углом наклона зоны транзита определяет расстояние от зоны зарождения до остановки и позволяет судить о возможных скоростях движения лавин;
- ЛОС - лавиноопасные слои;
- ПСЛ - предупредительный спуск лавин;
- ФЛС - формирующие лавину слои.
3.1 Лавинообразующий снег в природных условиях существует при температурах, близких к температуре фазового перехода, когда реологические свойства снега проявляются наиболее ярко. Свидетельством этого является зависимость (изменчивость) механических свойств снега от характера испытаний.
3.2 Если продолжительность испытаний снега на прочность соизмерима с периодом релаксации напряжений (деформаций), то измеренные значения прочностных параметров могут намного отличаться от мгновенного предела прочности (на сжатие, сдвиг, разрыв и т.д.). Мгновенный предел прочности на любой вид деформации снега можно определить в идеальном случае при деформировании снега со скоростью, равной скорости распространения звука в ледяной матрице снега. При таких скоростях деформирования упругие деформации не успевают релаксировать, а следовательно, не происходит заметных изменений механических свойств снега в процессе испытаний.
3.3 В оперативно-производственной практике применение не разрушающих динамических методов определения прочностных характеристик снега крайне затруднено в силу отсутствия соответствующих методик, четких зависимостей между акустическими и прочностными свойствами снега, а также отсутствием транспортабельной и энергомалопотребляющей аппаратуры.
3.4 Наиболее вероятным механизмом лавинообразования на склонах крутизной до 45° считается просадочный механизм.
Если исходить из этого механизма лавинообразования, то основным лавинообразующим параметром снега является его предел прочности на сжатие. В руководстве
[1] приведена диагностическая номограмма, по которой можно определять прочность снега, зная его плотность и средний размер ледяных зерен (частиц снега). Номограмма разбита на несколько прочностных зон, границы которых определены с помощью нажимного динамометра вручную. Плотность измеряется с помощью пружинного динамометра, а средний размер частиц снега определяется с помощью палетки с миллиметровой штриховкой раздавливанием комочков снега объемом от 1 до 3 см
3. При раздавливании ледяной матрицы на палетке образуется множество ледяных частиц от пылеватых до наиболее крупных. При этом неизбежно разрушаются не только связи между частицами, но и определенное количество самих частиц. Подсчитать количество всех частиц, их размеры и осреднить их "на глаз" можно только весьма приближенно. Не отвечают требованиям объективности и измерения прочности снега вручную нажимным динамометром.
3.5 Определение прочностных зон для построения диагностической номограммы в руководстве
[1] проводилось с помощью нажимного динамометра с плоской нагрузочной площадкой размерами (10x10) см. Нагружение (нажатие) производилось вручную. Время нагружения составляло от 1 до 10 с. Эта методика обладает тремя существенными недостатками:
1) если исходить из просадочного механизма лавинообразования (подавляющее число лавин, представляющих опасность), то нагружение необходимо проводить так, чтобы вектор приложенной силы был направлен перпендикулярно к поверхности исследуемого слоя снега. Это условие применявшейся методикой реализовать практически невозможно. Добиться строгой перпендикулярности приложенной силы к поверхности снега вручную невозможно, что приводит к неравномерной концентрации напряжений в снеге под нагрузочной площадкой динамометра, и как следствие, к локальному нарушению сплошности (трещине), которая со скоростью звука в ледяной матрице распространяется по контуру штампа и динамометр покажет заниженное значение суммарного усилия на срез и сжатие.
2) снег, как известно, обладает ярко выраженными реологическими свойствами, а это значит, что малейшие изменения условий нагружения (характера и времени нагружения) скажутся существенно на результатах измерений. Для определения мгновенного предела прочности снега, время нагружения должно быть, по крайней мере, много меньше времени релаксации напряжений и деформаций в снегу. В противном случае свойства снега заметно изменятся в процессе нагружения. Для различных типов лавинообразующего снега время релаксации лежит в пределах от нескольких секунд до нескольких минут.
В идеале скорость деформирования снега должна быть равна скорости распространения упругих колебаний в ледяной матрице снега. В первом приближении можно сказать, что время нагружения снега должно быть примерно на два порядка меньше времени релаксации напряжения и деформации снега. В руководстве
[1] время испытания и время релаксации являются величинами одного порядка.
3) при вдавливании штампа в снег совершается работа на изменение не только объема снега, но и на изменение площади поверхности снега. Нажимной динамометр фиксирует суммарное усилие, необходимое для осуществления бокового среза снега по контуру штампа, и для одноосного сжатия. Причем, при быстром (ударном) нагружении сжатие, как показывает опыт, происходит практически без бокового расширения, а при скоростях нагружения, когда время нагружения сопоставимо с временем релаксации, деформации распространяются за боковые пределы штампа. При ограниченных размерах штампа усилие на срез и усилие на сжатие могут быть одного порядка. В руководстве
[1] для построения номограммы использовались суммарные значения усилий на срез и сжатие, что неизбежно приводит к существенным ошибкам измерений искомой величины - прочности снега на сжатие.
4 Методика определения прочностных характеристик снега
4.1 В руководстве
[2] для определения послойной прочности снега в шурфе предлагается использовать пистолет-пенетрометр с ножевидным индентором. Устройство пригодно только для качественной оценки прочностной организации снежной толщи, т.к. не обеспечено графиком зависимости глубины погружения от прочности снега, определенной абсолютным способом при жестко заданных условиях испытаний.
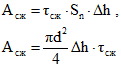
4.2 Если придерживаться теории просадочного механизма лавинообразования, то потенциальная энергия резко оседающего пласта снега диаметром d расходуется на преодоление сил сопротивления боковому срезу по контуру пласта и на работу по преодолению сил сопротивления сжатию наиболее слабого горизонта снега под просаживающимся пластом.
4.2.1 Энергию Aср., Дж, затрачиваемую на боковой срез, определяют по формуле

(4.1)
где

- прочность снега на срез, Н/м
2;

- площадь поверхности среза, м
2;

- глубина погружения, м;
d - диаметр пласта, м.
Глубина просадки изменяется от нескольких миллиметров до нескольких десятков сантиметров, а диаметр пласта меняется от нескольких метров до нескольких десятков и сотен метров,
4.2.2 Энергию Aсж., Дж, затрачиваемую на сжатие с хрупким разрушением, вычисляют по формуле

(4.2)
где

- прочность снега на сжатие, Н/м
2;

- площадь поверхности проседающего снежного пласта, м
2.
4.3 Поле тяжести и вертикальный температурный градиент формируют прочностную структуру снежного покрова таким образом, что на положительных или гладких формах рельефа склона (наиболее характерных формах, благоприятствующих лавинообразованию) горизонтальные связи между элементами ледяной матрицы менее прочны, чем вертикальные. Поэтому

. Но, даже если эти величины соизмеримы или равны между собой, энергозатраты на боковой срез и на сжатие будут несоизмеримы, что видно из соотношения

(4.3)
где n - соотношение энергозатрат на осуществление бокового среза и одноосного сжатия снега.
При значениях параметров

и d ~= 30 - 50 м и равенстве

получаем:

. (4.4)
Для многих типов снега

примерно равно

. Если диаметр d вдавливаемого в снег штампа соизмерим с величиной просадки снега

, то ошибка при определении

может быть значительной. Ошибка при определении

может быть небольшой если диаметр штампа d во много раз больше глубины просадки снега

.
4.4 В этом случае краевым эффектом можно пренебречь. В руководстве
[1], как отмечалось выше, прочностное поле (возможные значения предела прочности на сжатие для разных типов снега) определялось вдавливанием в снежный пласт плоской нагрузочной площадки нажимного динамометра вручную. Размеры нагрузочной площадки не превышали 10x10 см. При таких размерах штампа усилие на срез может быть даже больше усилия на сжатие, и такие измерения могут дать завышенные значения мгновенного предела прочности снега на сжатие. Если в естественных условиях просадочного механизма лавинообразования при больших площадях резко оседающего пласта краевым эффектом можно пренебречь, то при испытаниях на сжатие в естественном снежном покрове с помощью различных штампов, инденторов и т.д. необходимо учитывать краевой эффект (влияние сопротивления боковому срезу).
4.5 Наблюдения в шурфах в зонах зарождения лавин (ЗЗЛ) показывают, что отрыв лавины в большинстве случаев происходит в результате раздавливания наиболее слабого горизонта в слоях снежной толщи и местоположение этого горизонта может быть различным по высоте снежного покрова и определяется оно условиями выпадения и залегания снега на склоне. Для расчета устойчивости снежного покрова на склоне и прогнозирования времени и места активного воздействия на снеголавинный процесс необходимо в соответствии с руководством
[1], регламентирующим работы по предупредительному спуску снежных лавин, периодически проводить стратиграфический разрез снежной толщи в шурфах, заложенных на репрезентативных участках склонов лавинообразующих экспозиций. Современное развитие лавиноведения не позволяет, к сожалению, использовать бесконтактные дистанционные методы определения (однозначно) состояния устойчивости снега на склоне в ЗЗЛ. Выход наблюдателей в лавиносбор в производственной практике недопустим по соображениям техники безопасности. Поэтому шурфы закладывают в относительно репрезентативных местах, где сход лавин исключен. В лавиносборах за сезон могут сформироваться по нескольку лавин. Следовательно, условия формирования снежного покрова в лавиносборах уже отличаются от аналогичных условий в местах закладки шурфов. Если же и стратиграфирование снежной толщи проводить необъективными методами, то и конечный результат - расчет устойчивости - не является достоверным. В силу неизбежности проведения шурфовочных работ на данном этапе развития лавиноведения необходимо заменить методику оценки прочностных характеристик снежной толщи недостаточно объективными косвенными методами, на более объективный метод прямого измерения прочности снега на сжатие, используя принцип ударной пенетрации. Ударный пенетрометр Хефсли с коническим индентором не дает возможности в "чистом виде" измерить или вычислить значение величины прочности снега на сжатие - интегрального параметра, определяющего возможность реализации просадочного механизма лавинообразования.
4.6 Пенетрацию снега в шурфе предпочтительней осуществлять с помощью легкого малогабаритного цилиндрического индентора с плоской нижней (ударной) поверхностью. Примерные параметры индентора: масса ~= 0,08 - 0,2 кг, длина ~= 100 - 130 мм, диаметр наконечника-индентора ~= 10 - 50 мм. Высота падения - 5 - 25 мм. Индентор падает внутри направляющей стойки со стопорным винтом и несколькими отверстиями по вертикали для стопорных шпилек в боковой стенке направляющей стойки. Процедура измерений следующая: на свежезачищенную специальной лопаточкой поверхность в исследуемом слое снега устанавливают направляющую стойку с индентором, поднятым на заданную высоту. Для уменьшения давления на снег стойку устанавливают на пластинку из оргстекла, площадь поверхности которой в несколько раз больше опорной площади направляющей стойки. В пластинке прорезаны отверстия для пропуска индентора в снег.
4.7 При открученном стопорном винте индентор поднимают и устанавливают на вдвинутую внутрь стойки перпендикулярно ее вертикальной оси стопорную шпильку на высоте h
1. При выдвижении стопорной шпильки индентор падает и внедряется в снег на глубину

. После падения индентор закрепляют в стойке стопорным винтом и штангенциркулем с ценой деления 0,05 мм измеряют глубину погружения

. Затем индентор устанавливают в стойке на высоте h
2 и, переместив ее вправо или влево на 2 - 3 см, производят пенетрацию и измеряют глубину погружения

. По закону сохранения энергии для каждого случая пенетрации уравнения имеют вид

, (4.5)

. (4.6)
Решая систему двух уравнений первой степени с двумя неизвестными, относительно

по двум измерениям глубины внедрения индентора в снег определяем значение прочности снега на сжатие, близкое к значению мгновенного предела прочности на сжатие:

. (4.7)
Скорость индентора при падении с высоты 10 мм в момент соприкосновения с поверхностью снега равна примерно 45 см/с, время торможения индентора, пробившего в снегу лунку глубиной в несколько миллиметров, равняется сотым долям секунды.
4.8 Период релаксации напряжений и деформаций для различных типов снега лежит в пределах от нескольких секунд до нескольких десятков минут. Поэтому за время разрушительного внедрения индентора в снег, много меньшего наименьшего значения периода релаксации, релаксационными процессами в течение времени внедрения индентора в снег можно пренебречь, т.е. речь идет только о хрупком разрушении и, следовательно, определяется прочность, близкая к пределу прочности снега на сжатие.
4.9 Устройство (направляющую стойку) для реализации способа определения

можно упростить, если шток индентора изготовить разборным, состоящим из двух стержней, стыкующихся с помощью резьбового соединения. Если диаметр индентора больше диаметра штока, то в направляющей стойке устанавливается на выбранной высоте ограничитель подъема штока. В этом случае, взявшись за верхнюю часть штока, переносят направляющую стойку на поверхность снега, и после установки основания стойки на поверхность снега отпускают шток. Процедуры дальнейших измерений описаны выше. Затем наращивают шток (или укорачивают) и повторяют процесс пенетрации и измерений.
Для этого варианта способа уравнения имеют вид

, (4.8)

. (4.9)
Решая эти уравнения относительно

, находим искомое

. (4.10)
В этом варианте высота падения индентора и его диаметр постоянны, меняется только масса.
Можно изготовить устройство, в котором масса штока индентора и высота падения будут постоянными, но наконечники инденторов изготовить съемными и разного диаметра. Тогда уравнения будут такими

, (4.11)

, (4.12)

. (4.13)
Можно менять все параметры пенетрометра: m, h, d при условии: форма контактной поверхности индентора должна сохраняться плоской. Только при этом условии происходят чистый срез и одноосное сжатие с хрупким разрушением.
Наиболее удобным может быть пенетрометр с двумя инденторами, разнесенными на расстояние 6 - 7 см и имеющими возможность перемещения одновременно по двум каналам в одной направляющей стойке. Инденторы могут быть совершенно одинаковыми, но падать с разных высот; могут быть разными, но падать с одной высоты и т.д. В настоящих методических указаниях дается описание пенетрометра с двумя инденторами различных масс, но одинакового диаметра.
4.10 Определение прочности снега на сжатие пенетрометром можно проводить и на наклонной поверхности. Тогда необходимо учитывать то, что при наклонном движении происходит трение индентора о внутреннюю поверхность направляющей стойки.
В этом случае можно использовать следующее выражение

, (4.14)
где

- глубина погружения, мм;
h1 и h2 - высоты падения, мм;

- угол трения индентора о внутреннюю поверхность направляющей стойки;

- коэффициент трения.
5.1 Пенетрометр предназначен для определения прочности снега на сжатие при динамических нагрузках.
5.2 Пенетрометр представляет собой легкую, малогабаритную конструкцию
(рисунок 1). С двумя направляющими цилиндрическими каналами, в которых могут перемещаться инденторы - цилиндрические стержни из различных твердых материалов с разными массами. Массы стержней и их отличия могут меняться в достаточно широком диапазоне. Жестких ограничений размеров и форм устройства нет, но для удобства транспортировки и уменьшения объема шурфовочных работ целесообразна миниатюризация устройства.
1 - корпус; 2 - 3 - индентор; 4 - планка верхняя; 5 - планка
боковая; 6 - винт; 7 - шпилька; 8 - упор; 9 - грузик;
10 - гильза.
5.3 Корпус 1 изготовлен из пенополиуретана, который имеет малый вес и низкую теплопроводность.
5.4 Инденторы 2 - 3 изготовлены (в опытном образце) из оргстекла, в один из которых, для увеличения веса, вставлен грузик 9. Инденторы разнятся по массе примерно на 20 г. Для увеличения износоустойчивости нижнюю часть индентора изготовить из твердого материала (сталь).
5.5 Для уменьшения коэффициента трения и минимального люфта поверхности инденторов и внутренние стенки гильз обработаны с высокой точностью. В отверстие корпуса можно вмонтировать направляющие металлические гильзы 10 для уменьшения трения.
5.6 Для повышения точности измерений и нарезки резьбы под фиксирующие винты 6 в верхней части корпуса закреплена металлическая планка 4.
5.7 Шпильками 7 выставляются высоты падения инденторов. Упор 8 служит для регулировки длины зацепки шпильки с индентором. Длина зацепки не должна превышать 1,5 - 2 мм.
5.8 В нижней части двух боковых граней корпуса вставлены дюралевые планки боковые 5 с отверстиями под стопорные шпильки.
5.9 Для исключения попадания влаги между стенками направляющих гильз и поверхностями инденторов, эти поверхности покрывают тонким гидрофобным слоем (солярка, керосин, раствор парафина в спирте и т.д.).
6 Порядок работы с пенетрометром
6.2 Выставить высоты падения инденторов 2 - 3 шпильками 7. Высота падения h регулируется и составляет, соответственно 10; 15; 20; 25 мм, в зависимости от прочности снега.
6.3 Замерить штангенциркулем превышение H1, H2 торцов инденторов над верхней планкой 4.
6.4 Пенетрометр установить на испытываемый образец снега.
6.5 Выдвинуть шпильки 7 одновременно (по возможности), после падения инденторов винтами 6 зафиксировать положения инденторов.
6.6 Снять пенетрометр с образца снега и штангенциркулем измерить превышения

и

торцов инденторов над верхней планкой 4.
6.7 Глубины погружения инденторов

и

вычисляются по формуле

(6.1)
7 Порядок проведения измерений
7.1 На репрезентативной снегомерной площадке выкопать шурф
(рисунок 2). В боковой стенке вырубить рабочую полку. Фронтальную стенку шурфа вырубить строго вертикально (по отвесу) и щеткой с мягкой щетиной очистить ее до четкого выявления слоев снега. Движения щетки должны быть параллельны слоям снега, то есть слева направо и сверху вниз. На рабочей полке выставить с помощью уровня платформу
(рисунок 3, а).
Рисунок 2 - Общий вид шурфа
а - платформа; б - нож; в - лопатка; г - кювета
Рисунок 3 - Приспособления для забора снега
7.2 Для определения плотности снега применяют пробоотборник (тонкостенный металлический цилиндр), который можно изготовить из аэрозольного баллончика диаметром 40 - 50 мм и длиной 120 - 150 мм. Цилиндр нужно полностью погрузить параллельно наслоению в испытываемый слой снега; используя нож
(рисунок 3, б), освободить пробоотборник, обрезать выступающие концы образца и содержащийся в нем снег взвесить. Зная объем пробоотборника и вес снега, определяем его плотность

.
7.2.1 Если толщина испытываемого слоя снега меньше диаметра пробоотборника, то можно, используя лопатку
(рисунок 3, в), вырезать брусок снега так, чтобы исследуемый слой был вырезан вместе с частью нижележащего толстого слоя. Брусок положить боковой гранью на платформу и щеткой очистить остальные три боковые грани, чтобы хорошо просматривались границы раздела слоев. Линейкой измерить стороны тонкого слоя и определить объем. Аккуратно соскоблить ножом тонкий слой снега, собрать его в полиэтиленовый пакет и взвесить.
7.3 Измерить температуру нужного слоя снега.
7.4 Перед забором образца снега
(рисунок 4) необходимо лопаткой освободить испытываемый слой снега от вышележащего.
Рисунок 4 - Пример забора образца снега
7.5 В испытываемый слой снега вдавить (сверху вниз) кювету без дна
(рисунок 3, г) до полного погружения и легким постукиванием торцом ножа по верхним ребрам кюветы погрузить ее еще на 20 - 30 мм в снег. Придерживая ребром ножа кювету, аккуратно просунуть лопатку под нее так, чтобы основание кюветы легло на всю плоскость лопатки. Кювету с образцом снега установить на платформу. Выступающий поверх кюветы снег срезать лопаткой (желательно срезать частями по 100 мм под каждый опыт).
7.6 На образец снега установить пенетрометр. Далее см.
раздел 6 "Порядок работы пенетрометра".
8 Прогноз времени активного воздействия на снеголавинные процессы
8.1 Для составления прогноза времени начала активного воздействия (АВ) по результатам пенетрации и измерениям плотности и высоты снежной толщи определяют запас прочности каждого слоя в абсолютных единицах по формуле

, (8.1)
где

- сопротивление сжатию i-го слоя, определяемое с помощью пенетрометра, Н/м
2.

- фактическая нагрузка, создаваемая на i-й слой вышележащими слоями снега.

, (8.2)
где

- средняя плотность i-го слоя снега, кг/м
3;
Hi - высота i-го слоя снега;

- угол наклона склона, градусы.

. (8.3)
Реальный запас прочности i-го слоя в относительных единицах будет равен

, (8.4)

(8.5)
Слой снега с наименьшим значением

является лавиноопасным слоем (ЛОС), суммарная толща снега лежащая выше ЛОС является формирующим лавину слоем (ФЛС).
8.2 В зависимости от характера защищаемых объектов для каждой группы лавинных очагов - аналогов, задается пороговое значение запаса прочности k в ЛОС в относительных единицах. После выявления ЛОС путем сравнения

определяется допустимое значение прироста нагрузки

на ЛОС в результате выпадения осадков

, (8.6)
где

- реальный запас прочности ЛОС в относительных единицах;

- прочность снега на сжатие в ЛОС, определенная в процессе пенетрации;
8.3 При интенсивности осадков J, мм/ч, время T начала АВ находится из выражения

., (8.7)
где

- плотность воды при 0 °C;
0,1 - коэффициент.
Коэффициент 0,1 берется для перевода осадков из мм в см водного столба.

(8.8)
| | Руководство по предупредительному спуску снежных лавин с применением артиллерийских систем КС-19 (утв. приказом Госкомгидромета СССР от 14.01.83 N 3) - 108 с. |
| РД 52.37.613-2000 | Руководство по снеголавинным работам |