Главная // Актуальные документы // Методические указанияСПРАВКА
Источник публикации
СПб: Гидрометеоиздат, 2002
Примечание к документу
Документ утратил силу с 01.05.2022 в связи с изданием
Приказа Росгидромета от 28.03.2022 N 111.
Документ
введен в действие с 01.01.2003.
Название документа
"РД 52.24.634-2002. Руководящий документ. Методические указания. Уточнение местоположения створов (пунктов) наблюдений и режимов отбора проб на основе использования трассерных методов изучения гидродинамических характеристик водных объектов"
(утв. и введен в действие Росгидрометом 16.05.2002)
"РД 52.24.634-2002. Руководящий документ. Методические указания. Уточнение местоположения створов (пунктов) наблюдений и режимов отбора проб на основе использования трассерных методов изучения гидродинамических характеристик водных объектов"
(утв. и введен в действие Росгидрометом 16.05.2002)
Утвержден и введен в действие
первым заместителем
Руководителя Росгидромета
Ю.С.ЦАТУРОВЫМ
16 мая 2002 года
РУКОВОДЯЩИЙ ДОКУМЕНТ
МЕТОДИЧЕСКИЕ УКАЗАНИЯ
УТОЧНЕНИЕ МЕСТОПОЛОЖЕНИЯ СТВОРОВ (ПУНКТОВ) НАБЛЮДЕНИЙ
И РЕЖИМОВ ОТБОРА ПРОБ НА ОСНОВЕ ИСПОЛЬЗОВАНИЯ ТРАССЕРНЫХ
МЕТОДОВ ИЗУЧЕНИЯ ГИДРОДИНАМИЧЕСКИХ ХАРАКТЕРИСТИК
ВОДНЫХ ОБЪЕКТОВ
РД 52.24.634-2002
Дата введения
1 января 2003 года
1 РАЗРАБОТАН Гидрохимическим институтом (ГХИ) Федеральной службы России по гидрометеорологии и мониторингу окружающей среды (Росгидромет)
2 РАЗРАБОТЧИКИ д-р геол.-минер. наук А.М. Никаноров; канд. техн. наук Н.М. Трунов; Л.М. Федотова
3 УТВЕРЖДЕН И ВВЕДЕН В ДЕЙСТВИЕ первым заместителем Руководителя Росгидромета Ю.С. Цатуровым 16 мая 2002 г.
4 ЗАРЕГИСТРИРОВАН Центральным конструкторским бюро гидрометеорологического приборостроения (ЦКБ ГМП) за номером РД 52.24.634-2002 от 22 мая 2002 г.
5 ВВЕДЕН ВПЕРВЫЕ
Настоящие методические указания устанавливают порядок проведения и содержание работ по уточнению местоположения створов (пунктов) наблюдений и режимов отбора проб на основе использования трассерных методов изучения гидродинамических характеристик водных объектов при организации режимных наблюдений за загрязнением поверхностных вод суши, выполняемых в рамках Государственной службы наблюдений (ГСН) за состоянием объектов природной среды.
Настоящие методические указания предназначены для оперативно-производственных и научно-исследовательских организаций Росгидромета, осуществляющих наблюдения за состоянием поверхностных вод суши и его оценку.
Оптимальная система наблюдений за загрязнением водных объектов возможна лишь в том случае, когда имеется в наличии достоверная информация о времени добегания, кратности разбавления, коэффициенте смешения и расстоянии до створа практически полного перемешивания. При использовании натурного моделирования все четыре рассматриваемые характеристики можно определить по результатам одного и того же трассерного эксперимента.
При этом трассерный эксперимент должен быть проведен в режиме стационарного введения трассера непосредственно в сточные воды по
6.2.
Продолжительность введения должна быть такой, чтобы процесс распределения концентраций трассера в наблюдательном створе водотока во время отбора проб воды можно было считать установившимся. Как правило, достаточным является введение трассера в течение 30 мин.
Сущность трассерного метода по уточнению характеристик распределения сточных вод в водотоках состоит в том, что сточные воды до их попадания в водоток маркируются легко определяемым ингредиентом - трассером. Движение трассера в водном потоке соответствует эволюции меченных им объемов воды, поэтому по результатам наблюдения в определенном пространственно-временном режиме за распределением трассера в водотоке можно найти искомые характеристики процессов смешения речных и сточных вод.
В настоящих методических указаниях предложено применение флуоресцентных трассеров на основе высокодисперсных суспензий микроскопических частиц с размерами 0,5 - 1,5 мкм, имеющих правильную сферическую форму. Плотность материала частиц выбирается близкой к плотности воды исследуемого водотока. Это обеспечивает идентичность поведения микрочастиц и жидкой фазы в водных объектах [
1 -
2].
Метод регистрации частиц трассера основан на фильтрации определенного объема воды через мембранный фильтр с размером пор 0,45 мкм с последующим подсчетом частиц на поверхности фильтра в люминесцентном микроскопе. Присутствие в исследуемой пробе воды люминесцирующих частиц можно определить по их отличительным признакам - интенсивности и цвету флуоресцентного свечения, а также по форме и размеру частиц.
4 Определение гидродинамических характеристик распространения сточных вод в водотоках
Для определения времени добегания пробы воды отбираются в створе наблюдения в зоне максимальных скоростей на одной (или нескольких) вертикали у поверхности через каждые 5 мин. Для определения ориентировочного значения времени добегания используются поплавки. Первые 5 - 6 проб отбирают с упреждением (до прихода поплавков к створу наблюдения), а затем отбирают 3 - 4 пробы после их прихода.
Результаты определения трассера в пробах наносятся на график зависимости концентрации трассера от времени отбора проб воды. Время добегания на исследуемом участке реки определяется как разность времени установления максимальных концентраций трассера в створе отбора проб и момента начала введения трассера в створе выпуска. Иногда важно знать параметры добегания при нестационарных режимах поступления загрязняющих веществ. В этом случае используется импульсный (залповый) режим введения трассера. При таком режиме введения трассера время добегания определяется по приходу пика концентрации в створ наблюдения.
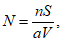
4.2 Кратность разбавления
Вследствие полного отсутствия трассера в пробах, отобранных до введения трассера в сточные воды (фоновая концентрация трассера в водотоке Cф = 0), кратность разбавления сточных вод в водотоке ni в любой точке поперечного сечения водотока определяется по формуле

(1)
где C0 - концентрация трассера в сточных водах после полного смешения его и сточных вод, определяемая при отборе сточных вод перед самым выпуском их в водоток, част./л;
Ci - концентрация трассера в i-й точке поперечного сечения водотока, част./л.
Поступающие в водоток сточные воды с расходом
q (м
3/с) разбавляются водой водотока с расходом

(м
3/с), где

является коэффициентом смешения, показывающим, какая часть расхода воды водотока участвует в разбавлении сточных вод

. Аналогичные процессы происходят и с трассером, которым маркируются сточные воды. Уравнение баланса для консервативной примеси трассера в исследуемом створе водотока будет иметь вид

(2)
где

- средняя концентрация трассера в зоне максимального загрязнения воды в створе водотока, определяемая по данным одномоментного отбора проб воды по всему живому сечению водотока в створе после установления в нем максимальных концентраций трассера (т.е. сразу после появления поплавков в створе), част./л.

(3)
Таким образом, для определения коэффициента смешения достаточно знать среднюю концентрацию трассера в зоне максимального загрязнения воды в исследуемом створе (местоположение в поперечном сечении водотока наиболее загрязненных струй), расход сточных вод и воды в водотоке и начальную (стартовую) концентрацию трассера в сточных водах.
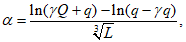
4.4 Расстояние до створа практически полного (достаточного) перемешивания
Обычно за створ практически полного перемешивания принимается створ, в котором сточные воды смешиваются с водой реки на 80% (иногда на 90 или 95%). Расстояние до такого створа можно рассчитывать по формулам, предложенным разными авторами
[3]. Одним из наиболее распространенных является метод Фролова-Родзиллера, в котором расстояние до створа практически полного перемешивания определяется по формуле

(4)
где Xп.п - расстояние от места выпуска сточных вод до створа практически полного перемешивания, м;

- требуемое значение коэффициента смешения, обычно принимается равным 0,80;

- коэффициент, учитывающий гидравлические условия смешения на данном участке водотока. Коэффициент

можно определить по формуле

(5)
где L - расстояние от места выпуска сточных вод до створа наблюдения, м.
Экспериментальное определение расстояния до створа достаточного перемешивания осуществляется в створе, выбранном в удобном для работы месте, вблизи от его предполагаемого местоположения. Расстояние
L от места выпуска сточных вод до этого створа измеряют с помощью геодезической рулетки Р 100 УЗК. По результатам измерений на этом створе всех необходимых характеристик водотока, используя
формулу (3), определяют значение коэффициента смешения

для этого створа по
формуле (5). Полученное значение коэффициента

используется при вычислении расстояния до створа достаточного перемешивания
Xп.п по
формуле (4).
5 Вспомогательные устройства, оборудование, приборы, материалы
5.1 Лодка весельная или моторная - 1 шт.
5.2 Гидрометрическая линейка длиной 3 м - 1 шт.
5.3 Геодезическая рулетка Р 100 УЗК - 1 шт.
5.4 Ручной лот для измерения глубин на основе капронового шнура длиной 25 м, диаметром 4 - 6 мм с грузом массой более 150 г, размеченного через каждые 5 см - 1 шт.
5.5 Фильтровальная установка, включающая колбу Бунзена, фильтровальную воронку диаметром 30 мм, насос вакуумный, соединительную (резиновую) трубку длиной не менее 1,5 м, перепускной край - 1 комплект.
5.6 Микроскоп люминесцентный (ЛЮМАМ-И1, МЛД-1), снабженный десятикратным объективом с апертурой 0,4 (x10 x0,4 Л) и бинокулярной системой 1,1 x 7 (необходим только в случае обработки результатов трассерного эксперимента на месте) - 1 шт.
1 - емкость вместимостью 0,2 м3; 2 - патрубок; 3 - резиновый
шланг длиной 1,5 м; 4 - втулка для регулирования напора
воды; 5 - воздушная трубка для выравнивания давления
в системе введения; 6 - фиксатор; 7 - поплавок
из пенопласта; 8 - сменная шайба с калиброванным
отверстием; 9 - запорный кран
Рисунок 1 - Схема дозирующего устройства для введения
трассера в стационарном режиме
5.8 Полиэтиленовые бутыли вместимостью 0,5 дм3 - 15 шт.
5.11 Концентрированная суспензия трассера - 1 дм3.
5.12 Мембранные фильтры "Владипор" - 100 шт.
5.13 Стекла для приготовления препарата с фильтром (40 x 40 мм, толщина 1 - 1,5 мм) - 100 шт.
5.15 Вата медицинская нестерильная - 50 г.
5.16 Пинцет дюралюминиевый по ТУ 2-31-32-73 - 1 шт.
5.18 Фломастер для маркирования стекол - 1 шт.
6. Подготовка и выполнение работ
6.1 Оборудование створа наблюдения
Створ для отбора проб воды устанавливается на реке на достаточном удалении от места выпуска сточных вод, т.е. там, где уже произошло выравнивание концентраций трассера по глубине, но еще сохраняются значительные различия в их распределении по ширине потока. Для малых равнинных рек, согласно
[4], это расстояние составляет от нескольких сот метров до 1 км, а для средних - от одного до нескольких километров. В створе наблюдения измеряют ширину реки и глубину на вертикалях. Эту работу легче выполнить, если натянуть через реку ездовой трос для лодки и разметочный трос. Промеры глубин производятся гидрометрической линейкой (на глубинах менее 3 м) и ручным (на больших глубинах) лотом.
По результатам промеров глубин, в створе намечаются вертикали для отбора проб воды. Обычно используют 5 - 7 вертикалей: одна на стрежне реки и по две к левому и правому берегам. Для реки шириной не более 20 м количество вертикалей может быть уменьшено до 3. В зависимости от глубины реки намечается число точек отбора проб воды на вертикали. Так, при глубине водотока свыше 3 м назначаются 3 точки пробоотбора: 0,25 м от поверхности, середина и 0,25 м от дна. При глубине 2 - 3 м пробы отбираются у поверхности и дна, при глубине менее 2 м достаточно одной точки - середина водной толщи.
6.2 Приготовление рабочей суспензии и введение трассера
Для приготовления рабочей суспензии трассера используется вода из водотока, где проводятся исследования. Приготовление рабочей суспензии осуществляется следующим образом. В емкость дозирующего устройства наливается около 200 дм3 воды и добавляется 2 л концентрированной суспензии. После интенсивного перемешивания в течение 2 - 3 мин рабочая (стартовая) суспензия трассера готова к применению.
Введение трассера осуществляется в стационарном режиме непосредственно в сточные воды с помощью дозирующего устройства таким образом, чтобы до впадения сточных вод в водоток происходило полное перемешивание трассера со сточными водами. Схема дозирующего устройства представлена на
рисунке 1.
Стационарный режим введения трассера из дозирующего устройства обеспечивается постоянным напором воды

, который сохраняется до тех пор, пока верхний конец шланга
3 со сменной шайбой с калиброванным отверстием
8 не опустится до дна емкости
1. Напор

подбирается экспериментально путем перемещения воздушной трубки
5 во втулке
4 поплавка
7. Скорость вытекания жидкости из емкости
1 через шланг
3 выбирается в диапазоне от 5 до 10 дм
3/мин. Скорость вытекания устанавливается с помощью измерительной емкости и секундомера. Настройка дозатора производится перед приготовлением рабочей суспензии трассера.
Если сточные воды поступают в водоток не открытым потоком, а по трубопроводу, то введение трассера в сточные воды осуществляется через ближайший к берегу реки смотровой колодец на трубопроводе.
Во время введения трассера проба сточных вод отбирается для определения стартовой концентрации трассера в сточных водах C0 перед впадением сточных вод в водоток. Отбор проб воды в створе водотока производится по всему живому сечению реки за минимально возможный промежуток времени. Теоретически отбор проб должен быть одномоментным. Для этого на берегу заранее готовится для каждой вертикали гирлянда с полиэтиленовыми бутылями, число и местоположение которых на гирлянде соответствует точкам отбора проб воды на вертикали (рисунок 2). Каждая бутыль маркируется (например, вертикаль 1, горизонт середина - 1с; вертикаль 2, у поверхности - 2п; вертикаль 2, у дна - 2д).
1 - капроновый трос; 2 - пенопластовый плотик;
3 - емкость (бутыль) для отбора проб; 4 - груз;
5 - вертикальный шнур
Рисунок 2 - Схема одномоментного отбора проб воды
по всему живому сечению водотока в створе
Бутыли для отбора проб закрыты специальными пробками со вставленными в них трубками, регулирующими скорость наполнения бутыли. Изменяя диаметр и длину трубок, можно изменять время наполнения бутыли. Обычно это время выбирается равным от 2 до 5 мин.
В заданном (исследуемом) створе поперек водотока натягивается капроновый трос, к которому крепятся небольшие пенопластовые поплавки (плотики) со сложенными на них гирляндами бутылей для отбора проб. Число поплавков и место их установки соответствуют числу и местоположению вертикалей отбора проб.
Гирлянды для отбора проб представляют собой отрезки капронового шнура, длина которых несколько меньше, чем глубина водотока на данной вертикали. На заданных глубинах на шнурах крепятся бутыли для отбора проб воды. Верхний конец гирлянды закрепляют на основном тросе, а к нижнему прикрепляют груз. Приготовленная для отбора проб система в нужный момент времени резким движением вверх одного из концов основного троса приводится в действие. При этом плотики одновременно опрокидываются, и все гирлянды под действием грузов фиксируются на вертикалях. По истечении времени, необходимого для наполнения бутылей, отбор проб завершен.
Отобранную пробу воды тщательно взбалтывают и фильтруют через мембранный фильтр "Владипор" с диаметром пор 0,45 мкм. С этой целью чистую воронку для фильтрования пробы с аккуратно вставленным мембранным фильтром устанавливают на колбу Бунзена, в которой с помощью вакуумного насоса создается необходимое разрежение. Процесс фильтрации продолжается до тех пор, пока не станет затруднительным вследствие засорения фильтра. Фильтровальная воронка осторожно, чтобы не загрязнить фильтр, развинчивается, и фильтр переносится на предметное стекло. Сверху фильтр закрывается покровным стеклом, плотно прижимается к предметному стеклу, и в таком состоянии стекла в торцах фиксируются липкой лентой. Объем профильтрованной пробы измеряют мерным цилиндром, и после этого вода отбрасывается. После каждой процедуры фильтрования воронка сушится и промывается техническим ацетоном в течение 3 мин для удаления трассера из предыдущей пробы.
Ацетон хранится в широкогорлой склянке, которая закрывается крышкой. В работе удобно использовать одновременно две воронки. В то время, когда одна из них отмывается, вторая находится в работе. Люминесцентно-микроскопический подсчет трассера на фильтрах можно осуществлять либо на месте, если соответствующая лаборатория располагает люминесцентным микроскопом, либо в ГХИ, куда фильтры посылаются по почте.
6.5 Микроскопирование фильтра
Мембранный фильтр с осажденными на нем частицами трассера просматривается в люминесцентном микроскопе (ЛЮМАМ-И1, МЛД-1) при возбуждении флуоресценции сине-фиолетовыми лучами (светоделительная пластинка 360 - 440 нм + светофильтр ФС-1-4). В качестве запирающего светофильтра используется ЖС18 или ЖС19.
Микроскопирование ведется с помощью объектива x10 x0,4 Л и бинокулярной системы 1,1 хx 7. При необходимости возможно использование объектива x40, а также других окуляров. В поле зрения люминесцентного микроскопа частицы трассера легко идентифицируются по яркости и цвету флуоресценции, а также по их размерам и форме даже при наличии посторонних частиц.
Если число частиц на фильтре невелико (менее 5 частиц в поле зрения), то сканируется вся поверхность мембранного фильтра и учитываются все осажденные частицы.
Если число частиц в поле зрения более 5, то можно считать частицы в нескольких случайных полях зрения.
Для подсчета частиц случайным образом выбирается не менее 20 полей зрения. Лучше это делать не произвольно, а переходить к новому полю зрения, поворачивая микрометрический винт столика микроскопа на определенную величину. На основе просчитывания полей зрения рассчитывают среднее арифметическое число частиц в поле зрения.
Число частиц в 1 см3 N рассчитывают по формуле

(6)
где n - среднее число частиц в одном поле зрения;
S - площадь поверхности фильтра, см2;
a - площадь поля зрения, см2;
V - объем профильтрованной воды, см3.
7 Требования безопасности
При отборе и обработке проб загрязненных вод необходимо соблюдать требования, утвержденные инструкциями по работе с вредными веществами и сточными водами, а также правилами безопасности при работе на водоеме
[5]. Эксплуатация электроприборов должна производиться в соответствии с
правилами эксплуатации электроустановок.
8 Требования к квалификации персонала
К работам по использованию флуоресцентных трассеров на водных объектах допускаются лица с высшим и средним специальным образованием, прошедшие инструктаж по технике безопасности и освоившие люминесцентный микроскоп.
(справочное)
БИБЛИОГРАФИЯ
1 А. с. 1310419 СССР, SU 1310419 А1 4 С 09 К 11/06. Способ исследования динамических процессов в жидкой среде / Н.М. Трунов (СССР). - N 3768940/23-26; Заяв. 18.07.84; Опубл. 15.05.87, Бюл. N 18. - 5 с.
2 Никаноров А.М., Трунов Н.М. Внутриводоемные процессы и контроль качества поверхностных вод / Под ред. А.И. Бедрицкого. - СПб.: Гидрометеоиздат, 1999. - 155 с.
3 Методические основы оценки антропогенного влияния на качество поверхностных вод / Под ред. А.В. Караушева. - Л.: Гидрометеоиздат, 1981. - 175 с.
5 Правила по технике безопасности при производстве наблюдений и работ на сети Госкомгидромета. - Л.: Гидрометеоиздат, 1983. - 316 с.