Главная // Актуальные документы // Методические указанияСПРАВКА
Источник публикации
В данном виде документ опубликован не был.
Первоначальный текст документа также опубликован не был.
Информацию о публикации документов, создающих данную редакцию, см. в справке к этим документам.
Примечание к документу
Документ отменен в связи с изданием Приказа Росстата от 25.09.2019 N 552.
В соответствии с
пунктом 3 данный документ вступал в силу с 01.11.2019. Изменения, внесенные
Приказом Росстата от 30.07.2018 N 465, вступали в силу с 30.07.2018.
Название документа
"Методические указания по проведению выборочного статистического наблюдения за сельскохозяйственной деятельностью личных подсобных и других индивидуальных хозяйств граждан"
(утв. Приказом Росстата от 19.10.2016 N 664)
(ред. от 30.07.2018)
"Методические указания по проведению выборочного статистического наблюдения за сельскохозяйственной деятельностью личных подсобных и других индивидуальных хозяйств граждан"
(утв. Приказом Росстата от 19.10.2016 N 664)
(ред. от 30.07.2018)
Утверждены
от 19 октября 2016 г. N 664
ПО ПРОВЕДЕНИЮ ВЫБОРОЧНОГО СТАТИСТИЧЕСКОГО НАБЛЮДЕНИЯ
ЗА СЕЛЬСКОХОЗЯЙСТВЕННОЙ ДЕЯТЕЛЬНОСТЬЮ ЛИЧНЫХ ПОДСОБНЫХ
И ДРУГИХ ИНДИВИДУАЛЬНЫХ ХОЗЯЙСТВ ГРАЖДАН
| | Список изменяющих документов (в ред. Приказа Росстата от 30.07.2018 N 465) | |
Настоящие Методические указания являются комплексным документом, содержащим порядок формирования выборочной совокупности личных подсобных и других индивидуальных хозяйств граждан для организации статистического наблюдения за их сельскохозяйственной деятельностью, а также порядок распространения выборочных данных на генеральную совокупность, оценки репрезентативности распространенных данных.
Методические указания предназначены для применения территориальными органами Росстата.
В целях дальнейшего совершенствования организации выборочных наблюдений в сельском хозяйстве осуществляется комплекс мероприятий по развитию и совершенствованию системы выборочных обследований сельскохозяйственной деятельности личных подсобных и других индивидуальных хозяйств граждан сельской местности (далее - личные подсобные хозяйства, ЛПХ) на основе материалов Всероссийской сельскохозяйственной переписи 2016 года и опыта проведения выборочных обследований личных подсобных хозяйств в 2008 - 2016 годах.
Настоящие Методические указания разработаны с учетом принципов, изложенных в главе 10 "Основы выборки для сельскохозяйственных переписей и обследований" Программы Всемирной сельскохозяйственной переписи 2010 года (FAO 2005), и определяют порядок формирования выборочной совокупности личных подсобных хозяйств с учетом общей посевной площади сельскохозяйственных культур (далее - общая посевная площадь), поголовья скота и птицы, а также количества привлеченных личными подсобными хозяйствами наемных работников. Кроме того, предусмотрено установление дифференцированного объема выборки в зависимости от общего числа личных подсобных хозяйств для каждого субъекта Российской Федерации (
Таблица 1,
приложение 1).
Обследование по выборочной совокупности, сформированной в соответствии с настоящими Методическими указаниями, будет проводиться, начиная с итогов за январь 2020 года.
(в ред.
Приказа Росстата от 30.07.2018 N 465)
Таблица N 1
ОБЪЕМ ВЫБОРКИ ЛИЧНЫХ ПОДСОБНЫХ И ДРУГИХ ИНДИВИДУАЛЬНЫХ
ХОЗЯЙСТВ ГРАЖДАН В ЗАВИСИМОСТИ ОТ ИХ ЧИСЛА В СУБЪЕКТЕ
РОССИЙСКОЙ ФЕДЕРАЦИИ
N п/п | Группы регионов по числу личных подсобных хозяйств | Число субъектов Российской Федерации | Процент отбора (dk), % |
1 | до 3000 | 2 | 12 |
2 | от 3001 до 10000 | 3 | 10 |
3 | от 10001 до 40000 | 6 | 2,5 |
4 | от 40001 до 90000 | 11 | 1,0 |
5. | от 90001 до 100000 | 5 | 0,8 |
6. | от 100001 до 160000 | 17 | 0,5 |
7 | от 160001 до 200000 | 11 | 0,4 |
8 | от 200001 до 300000 | 17 | 0,25 |
9 | от 300001 до 400000 | 5 | 0,15 |
10 | 400001 и более | 5 | 0,12 |
На основании данных, представленных в
Таблице N 1, отдельно по каждому региону (k) определяется общий объем выборки (n) по формуле:
где:
nk - объем выборки в k-м субъекте;
Nk - общее количество личных подсобных и других индивидуальных хозяйств граждан в k-м субъекте Российской Федерации;
dk - процент отбора.
Перед началом формирования выборочной совокупности из списка личных подсобных хозяйств (ГС N 5) исключаются заброшенные хозяйства (при необходимости населенные пункты) и хозяйства с одновременно нулевыми значениями показателей: "общая посевная площадь", "условное поголовье скота", "численность привлеченных наемных работников". Составляется общий список объектов с указанием их общей посевной площади, поголовья скота и птицы по видам, численности привлеченных наемных работников.
На основе общего списка объектов проводится деление генеральной совокупности на три массива хозяйств в зависимости от значений показателей, лежащих в основе отбора (общая посевная площадь, условное поголовье скота):
- основной массив - типичные личные подсобные хозяйства;
- крупные личные подсобные хозяйства, у которых значение показателей "общая посевная площадь" и/или "условное поголовье скота" превышает

всей генеральной совокупности;
- особо крупные личные подсобные хозяйства, у которых значение показателей "общая посевная площадь" и/или "условное поголовье скота" превышает

генеральной совокупности крупных личных подсобных хозяйств.
Формирование выборочных совокупностей и распространение данных по каждой группе хозяйств проводится отдельно.
Процедура формирования основ выборочных совокупностей представлена на схеме 1.
Схема 1. Порядок формирования основ выборочных совокупностей
в субъекте Российской Федерации
1. Формирование выборочной совокупности и распространение
данных типичных личных подсобных и других индивидуальных
хозяйств граждан на генеральную совокупность
(основной массив)
1.1. Формирование выборочной совокупности типичных личных подсобных хозяйств
Объем выборки для наблюдения основного массива личных подсобных хозяйств определяется как разность между общим объемом выборочной совокупности личных подсобных хозяйств в субъекте Российской Федерации и объемом выборки крупных и особо крупных личных подсобных хозяйств.
Для формирования выборочной совокупности личных подсобных хозяйств в субъектах Российской Федерации используется модель 2-ступенчатой вероятностной выборки, на каждой ступени отбора (населенные пункты, личные подсобные хозяйства) проводится отбор с вероятностью, пропорциональной величине показателей, лежащих в основе отбора (общая посевная площадь, условное поголовье скота, численность привлеченных наемных работников) по схеме N 2.
Схема 2. Формирование двухступенчатой вероятностной выборки
личных подсобных и других индивидуальных хозяйств граждан
в k-том субъекте Российской Федерации
--------------------------------
*) Методология формирования выборочной совокупности крупных и особо крупных личных подсобных хозяйств представлена, соответственно, в
разделах 2.1 и
3.1.
Генеральная совокупность определяется для двух ступеней отбора:
I ступень - совокупность населенных пунктов субъекта Российской Федерации, имеющих типичные личные подсобные хозяйства.
II ступень - совокупность типичных личных подсобных хозяйств в отобранных на I ступени населенных пунктах.
Единица отбора:
I ступень - населенный пункт;
II ступень - личное подсобное хозяйство.
Единица наблюдения (единица, подлежащая статистическому наблюдению) - личное подсобное хозяйство.
Основа выборки - для каждой из двух генеральных совокупностей строится своя основа выборки:
I ступень - сначала определяется количество отбираемых населенных пунктов, исходя из заданного объема выборки в соответствии с количеством населенных пунктов в регионе (таблица 2):
Таблица 2
ОБЪЕМ ВЫБОРКИ НАСЕЛЕННЫХ ПУНКТОВ В ЗАВИСИМОСТИ ОТ ИХ ЧИСЛА
В СУБЪЕКТЕ РОССИЙСКОЙ ФЕДЕРАЦИИ
N п/п | Группы регионов по количеству населенных пунктов, имеющих типичные личные подсобные хозяйства | Число субъектов Российской Федерации | Процент отбора (dk), % |
1 | до 200 | 9 | 10 |
2 | от 201 до 1000 | 18 | 5 |
3 | от 1001 до 1700 | 18 | 3 |
4 | от 1701 до 2800 | 14 | 2 |
5 | от 2801 до 3700 | 7 | 1,5 |
6 | от 3701 до 4800 | 4 | 1,3 |
7 | от 4801 до 6000 | 4 | 1 |
8 | от 6001 до 8000 | 2 | 0,7 |
9 | свыше 8001 | 3 | 0,5 |
где:
NkНП - число населенных пунктов k-го субъекта Российской Федерации, имеющих типичные личные подсобные хозяйства;
nkНП - число отбираемых населенных пунктов в k-м субъекте Российской Федерации для формирования выборочной совокупности типичных личных подсобных хозяйств;
dk - процент отбора населенных пунктов в k-м субъекте Российской Федерации.
Отбор населенных пунктов в k-м субъекте Российской Федерации производится с использованием механического метода отбора единиц, по следующему алгоритму:
По сумме нормированных индексов, рассчитанных по показателям "общая посевная площадь", "условное поголовье скота" и "численность привлеченных наемных работников" личных подсобных хозяйств по всем населенным пунктам k-го субъекта Российской Федерации, рассчитывается накопленная (кумулятивная) сумма, по значениям которой производится отбор населенных пунктов (
приложения 3,
4).
Расчет нормированного индекса по показателю "общая посевная площадь" (аналогичный расчет нормированного индекса производится по показателям "условное поголовье скота", "численность привлеченных наемных работников") производится по формуле:
где:
ikSn (ikTn, ikYn) - нормированный индекс показателя в n-м населенном пункте k-го субъекта;
Skn (Tkn, Ykn) - значения соответствующего признака "общая посевная площадь" ("общее условное поголовье скота", "общая численность привлеченных наемных работников") в n-м населенном пункте k-го субъекта Российской Федерации (NkНП);
Sknmin, Sknmax (Tknnmin, Tknmax, Yknmin, Yknmax) - соответственно минимальное и максимальное значение признака "общая посевная площадь" ("условное поголовье скота", "численность привлеченных наемных работников") в массиве NkНП.
iknS+Y+T = ikSn + ikYn + ikTn, (1.3)
где:
iknS+Y+T - сумма нормированных индексов для каждого n-го населенного пункта k-го субъекта.
Шаг отбора I ступени населенных пунктов (hk) рассчитывается путем деления общей суммы нормированных индексов на число отбираемых (nkНП) населенных пунктов:
где:
hk - шаг отбора населенных пунктов;
iknS+Y+T - сумма нормированных индексов для каждого n-го населенного пункта k-го субъекта;
nkНП - число отбираемых населенных пунктов.
После расчета шага отбора определяется первый отбираемый населенный пункт. Для этого необходимо выбрать начальное случайное число в пределах величины шага отбора (интервал от 0 до hk).
Процедура отбора населенных пунктов в выборку продолжается до тех пор, пока их число не достигнет значения (nkНП).
II ступень - На второй ступени определяется число отбираемых типичных личных подсобных хозяйств (n
kТип), исходя из заданного объема выборки для региона, за вычетом объема выборки крупных личных подсобных хозяйств и особо крупных личных подсобных хозяйств субъекта Российской Федерации (
таблица 1,
приложения 1,
2).
nkТип = nk - nkОКр - nkКр.
Совокупность типичных личных подсобных хозяйств

в отобранных на I ступени населенных пунктах
(приложение 5) делится на группы в зависимости от соотношения показателей, лежащих в основе отбора ("общая посевная площадь", "условное поголовье скота" и "численность привлекаемых наемных работников") (таблица 3).
Таблица N 3
РАСПРЕДЕЛЕНИЕ ТИПИЧНЫХ ЛИЧНЫХ ПОДСОБНЫХ ХОЗЯЙСТВ

В ОТОБРАННЫХ НА I СТУПЕНИ НАСЕЛЕННЫХ ПУНКТАХ СУБЪЕКТА
РОССИЙСКОЙ ФЕДЕРАЦИИ В ЗАВИСИМОСТИ
ОТ СООТНОШЕНИЯ ПОКАЗАТЕЛЕЙ
N группы, i | Значение показателя | Число хозяйств,  |
"общая посевная площадь", S | "условное поголовье скота", Y | "численность привлекаемых наемных работников", T |
Совокупность ТЛПХ в отобранных на I ступени населенных пунктах | |
1 | = 0 | > 0 | >= 0 | |
2 | > 0 | = 0 | >= 0 | |
3 | > 0 | > 0 | = 0 | |
4 | > 0 | > 0 | > 0 | |
По каждой i-й группе (i = 1, 2, 3, 4) пропорционально определяется число единиц в выборочной совокупности (nkТипi)
где:
nkТип - число типичных хозяйств выборочной совокупности;

- количество типичных хозяйств в i-й группе;

- количество типичных хозяйств в отобранных населенных пунктах.
Отбор типичных личных подсобных хозяйств производится отдельно по каждой группе, по соответствующему алгоритму.
Алгоритм отбора хозяйств группы 1

по величине показателя "условное поголовье скота"
По интервалам значений показателя "условное поголовье скота" типические личные подсобные хозяйства группы 1 (S = 0; Y > 0; T >= 0) распределяются на j-е группы (таблица 4).
Таблица N 4
РАСПРЕДЕЛЕНИЕ ЛИЧНЫХ ПОДСОБНЫХ ХОЗЯЙСТВ

ПО ВЕЛИЧИНЕ ПОКАЗАТЕЛЯ "УСЛОВНОЕ ПОГОЛОВЬЕ СКОТА"
Номер группы, j | Интервалы значений показателя "условное поголовье скота", Y | Число хозяйств в группе,  |
1 | до 1,0 | |
2 | от 1,0 - до 10 | |
3 | от 10,0 и более | |
итого | | |
Для каждой j-й группы пропорционально определяется количество типичных личных подсобных хозяйств, отбираемых в выборочную совокупность (nkТипj) из данной группы:
где:
nkТип1 - число хозяйств совокупности, где: S = 0; Y > 0; Т >= 0;

- количество единиц j-й группы в группе 1;

- количество хозяйств всей группы 1.
Шаг отбора рассчитывается отдельно по каждой j-й группе:
Хозяйства каждой j-й группы ранжируются в порядке возрастания показателя "условное поголовье скота".
Извлекается случайное число A из интервала [0; hj].
Номера единиц, включенных в выборку, соответственно будут A1, A + hj, +...+, A + hj * (n - 1)kТип1j.
Отбор хозяйств по каждой j-й группе продолжается до тех пор, пока их число не достигнет значения n
kТип1j (приложение 6).
В случае невозможности обследования хозяйства, попавшего в выборку, допускается его замена на следующее по ранжированному ряду хозяйство.
Алгоритм отбора хозяйств группы 2

по величине
показателя "общая посевная площадь"
Распределение типичных личных подсобных хозяйств группы 2 (S > 0; Y = 0; Т >= 0), на j-е группы осуществляется по интервалам значений показателя "общая посевная площадь" (таблица 5).
Таблица N 5
РАСПРЕДЕЛЕНИЕ ЛИЧНЫХ ПОДСОБНЫХ ХОЗЯЙСТВ

ПО ВЕЛИЧИНЕ ПОКАЗАТЕЛЯ "ОБЩАЯ ПОСЕВНАЯ ПЛОЩАДЬ"
Номер группы, j | Интервалы значений показателя "общая посевная площадь", S | Число хозяйств в группе,  |
1 | до 100 | |
2 | 100,0 - до 1000 | |
3 | 1000,0 - до 10000 | |
4 | 10000,0 и более | |
итого | | |
Для каждой j-й группы пропорционально определяется количество типичных личных подсобных хозяйств, отбираемых в выборочную совокупность (nkТип2j) из данной группы:
где:
nkТип2 - число хозяйств совокупности, где S > 0; Y = 0; Т >= 0;

- количество единиц j-й группы в группе 2;

- количество всех хозяйств группы 2.
Формирование выборочной совокупности данной группы осуществляется аналогично алгоритму отбора группы 1

.
Отбор хозяйств группы 3

(S > 0; Y > 0; T = 0) и группы 4

(S > 0; Y > 0; T > 0) производится с использованием метода механической выборки.
Единый список типичных личных подсобных хозяйств (n
kТип), подлежащих наблюдению, формируется из хозяйств, отобранных в четырех группах (n
kТип1, n
kТип2, n
kТип3, n
kТип4)
(приложение 7).
Ротация (обновление) выборочной совокупности типичных личных подсобных хозяйств проводится один раз в пять лет в населенных пунктах, отобранных на I ступени согласно данной методологии.
1.2. Распространение данных выборочного обследования типичных личных подсобных и других индивидуальных хозяйств граждан (основной массив) на генеральную совокупность
По совокупности личных подсобных хозяйств, попавших в выборку, сведения в течение года собираются по форме федерального статистического наблюдения N 2 "Производство сельскохозяйственной продукции в личных подсобных и других индивидуальных хозяйствах граждан" (далее - ф. N 2) по следующим разделам:
раздел 1 "Характеристика земельных участков, находящихся в пользовании хозяйства";
раздел 2 "Посевные площади сельскохозяйственных культур";
раздел 3 "Сбор урожая сельскохозяйственных культур";
раздел 4 "Многолетние плодово-ягодные насаждения и виноградники и сбор урожая многолетних насаждений";
раздел 5 "Выход продукции животноводства";
раздел 7 "Продажа продукции собственного производства";
раздел 8 "Поступление и выбытие скота, птицы и пчел";
раздел 9 "Расходы на приобретение промышленных продуктов и оплату производственных услуг";
раздел 10 "Расходы на оплату услуг наемным лицам".
Распространение данных выборочного обследования личных подсобных хозяйств по типичным личным подсобным хозяйствам (основному массиву) проводится двумя методами: методом прямого распространения, оценка по доле.
1.2.1 Распространение данных выборочного обследования личных подсобных хозяйств основного массива - типичной совокупности субъекта Российской Федерации методом прямого распространения (I метод).
Распространение данных выборочной совокупности основного массива - типичных личных подсобных хозяйств проводится по всем показателям
формы N 2 методом прямого распространения на уровне субъекта Российской Федерации в два этапа:
на первом этапе определяется распространенное значение q-го показателя

по совокупности

, которое формируется как сумма распространенных значений, рассчитанных по каждой группе (

,

,

,

);
на втором этапе определяется распространенное значение q-го показателя для всей совокупности основного массива - субъекта Российской Федерации типичных личных подсобных хозяйств NkНП.
Этап 1. Распространение данных массива

,
- отдельно по группам выборочной совокупности

(i = 1, 2, 3, 4) рассчитывается суммарное значение каждого q-го наблюдаемого показателя:
- распространенное значение q-го показателя группы

рассчитывается как произведение полученного суммарного значения (X
kТипiq) на коэффициент распространения, равный

:
- распространенное значение q-го показателя совокупности типичных личных подсобных хозяйств в отобранных для наблюдения населенных пунктах

формируется по сумме значений

:
Этап 2. Распространение данных на генеральную совокупность
NkНП
Распространенное суммарное значение q-го показателя

на уровне основного массива субъекта Российской Федерации (N
kТип) рассчитывается как произведение распространенного значения

на коэффициент распространения N
kТип / n
kТип (приложение 8).
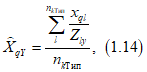
1.2.2. Распространение данных выборочного обследования личных подсобных хозяйств по доле общей посевной площади и условного поголовья скота каждого отобранного хозяйства в общей посевной площади и общем условном поголовье скота основного массива - типичной совокупности субъекта Российской Федерации (II метод - оценка по доле).
Для каждого отобранного личного подсобного хозяйства рассчитывается доля по общей посевной площади (z
ls), условному поголовью скота (z
ly) и суммарная доля по общей посевной площади и условному поголовью скота (z
l(s+y)). Распространение выборочных данных и оценка точности производится на уровне субъекта Российской Федерации
(приложение 9).
Оценка показателей растениеводства (
разделы 2,
3,
4,
7 в части продукции растениеводства ф. N 2)
Распространенное суммарное значение показателей растениеводства

на уровне основного массива субъекта Российской Федерации рассчитывается по формуле:
где:

- доля l-го типичного личного подсобного хозяйства по растениеводству;
xql - значение наблюдаемого q-ого показателя растениеводства в 1-ом отобранном типичном личном подсобном хозяйстве;
sl - общая посевная площадь l-ого отобранного типичного личного подсобного хозяйства;
SТип - общая посевная площадь типичных личных подсобных хозяйств (основной массив) субъекта Российской Федерации;
nkТип - количество отобранных типичных личных подсобных хозяйств в субъекте Российской Федерации.
Оценка показателей животноводства (
разделы 5,
6,
8,
7 в части продукции животноводства ф. N 2)
Распространенное суммарное значение показателей животноводства

на уровне основного массива субъекта Российской Федерации рассчитывается по формуле:
где:

- доля l-го типичного личного подсобного хозяйства по животноводству;
xql - значение наблюдаемого q-ого показателя в l-ом отобранном типичном личном подсобном хозяйстве;
yl - условное поголовье скота l-ого отобранного типичного личного подсобного хозяйства;
YТип - условное поголовье скота типичных личных подсобных хозяйств (основной массив) субъекта Российской Федерации;
nkТип - количество отобранных типичных личных подсобных хозяйств в субъекте Российской Федерации.
Распространенное суммарное значение прочих показателей

на уровне основного массива субъекта Российской Федерации рассчитывается по формуле:
где:
xql - значение наблюдаемого q-ого показателя в l-ом отобранном типичном личном подсобном хозяйстве;
nkТип - количество отобранных типичных личных подсобных хозяйств в субъекте Российской Федерации;
zl(s+y) - доля l-го типичного личного подсобного хозяйства по общей посевной площади и условному поголовью скота, рассчитанная по формуле:
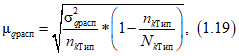
Оценка точности распространения данных типичных личных подсобных хозяйств
Оценка репрезентативности распространенных данных проводится отдельно для каждого метода распространения в целом по субъекту Российской Федерации. По каждому q-му показателю
формы N 2 для оценки точности распространения выборочных данных рассчитывается:
- среднее значение q-го показателя по распространенным данным

совокупности типичных личных подсобных хозяйств:
где:

- распространенное суммарное значение q-ого показателя;
NkТип - количество типичных личных подсобных хозяйств субъекта Российской Федерации;
- дисперсия распространенного значения q-го показателя

:
где:
xql - величина наблюдаемого показателя l-ого хозяйства выборочной совокупности;

- среднее значение q-го показателя по распространенным данным совокупности типичных личных подсобных хозяйств;
nkТип - число хозяйств в выборочной совокупности;
- стандартная абсолютная ошибка распространенного значения q-го показателя

:
где:

- дисперсия распространенного значения q-го показателя;
nkТип - число хозяйств в выборочной совокупности;
NkТип - число типичных личных подсобных хозяйств субъекта Российской Федерации;
- относительная ошибка распространенного значения q-го показателя

:
где:

- стандартная абсолютная ошибка распространенного значения q-го показателя;

- среднее значение q-го показателя по распространенным данным совокупности типичных личных подсобных хозяйств.
2. Формирование выборочной совокупности крупных личных
подсобных хозяйств и распространение выборочных данных
на генеральную совокупность
2.1. Формирование выборочной совокупности крупных личных подсобных хозяйств
Формирование выборочной совокупности крупных личных подсобных хозяйств проводится из общего списка крупных хозяйств субъекта Российской Федерации за минусом особо крупных личных подсобных хозяйств, у которых значение показателей "общая посевная площадь" и/или "условное поголовье скота" превышает

крупных личных подсобных хозяйств.
Основа выборки - список крупных личных подсобных хозяйств (за вычетом особо крупных личных подсобных хозяйств) субъекта Российской Федерации с указанием общей посевной площади, условного поголовья скота и численности привлеченных наемных работников.
Определение объема выборки особо крупных личных подсобных хозяйств в субъекте Российской Федерации
Объем выборки крупных личных подсобных хозяйств определяется в зависимости от числа таких хозяйств в субъекте Российской Федерации в соответствии с таблицей 6.
Таблица 6
ПРОЦЕНТ ОТБОРА КРУПНЫХ ЛИЧНЫХ ПОДСОБНЫХ ХОЗЯЙСТВ
В ЗАВИСИМОСТИ ОТ ИХ ЧИСЛА В СУБЪЕКТЕ РОССИЙСКОЙ ФЕДЕРАЦИИ
N п/п | Интервалы по числу крупных личных подсобных хозяйств субъекта Российской Федерации | Процент отбора крупных ЛПХ (dk), % |
1 | 2 | 3 |
1 | до 45 включительно | 100,0 |
2 | 46 - 60 | 90,0 |
3 | 61 - 70 | 70,0 |
4 | 71 - 80 | 60,0 |
5 | 81 - 100 | 50,0 |
6 | 101 - 120 | 40,0 |
7 | 121 - 150 | 35,0 |
8 | 151 - 180 | 30,0 |
9 | 181 - 210 | 25,0 |
10 | 211 - 270 | 20,0 |
11 | 271 - 350 | 15,0 |
12 | 351 - 450 | 12,5 |
13 | 451 - 550 | 10,0 |
14 | 551 - 650 | 7,5 |
15 | 651 - 750 | 7,0 |
16 | 751 - 850 | 6,5 |
17 | 851 - 950 | 5,5 |
18 | 951 - 1050 | 5,0 |
19 | 1051 - 1200 | 4,5 |
20 | 1201 - 1400 | 4,0 |
21 | 1401 - 1600 | 3,5 |
22 | 1601 - 1800 | 3,0 |
23 | 1801 - 2200 | 2,5 |
24 | 2201 - 2700 | 2,0 |
25 | 2701 - 3500 | 1,5 |
26 | 3501 - 4500 | 1,2 |
27 | 4501 - 5500 | 1,0 |
28 | 5501 - 6500 | 0,8 |
29 | 6501 - 8000 | 0,7 |
30 | Более 8000 | 0,5 |
Для каждого k-го субъекта Российской Федерации с использованием данных
Таблицы 6 рассчитывается объем выборки крупных личных подсобных хозяйств (n
kКр) по формуле:
где:
NkКр - число крупных личных подсобных хозяйств в k-м субъекте;
dk - процент отбора.
Совокупность крупных хозяйств (NkКр) по показателю "численность привлеченных наемных работников" (Tl) распределяется на две группы (схема 3):
Схема 3. Распределение количества крупных личных подсобных
хозяйств по показателю "численность привлеченных
наемных работников" на группы
Для каждой группы хозяйств (NkКрi) пропорционально определяется количество крупных личных подсобных хозяйств, отбираемых в выборочную совокупность (nkКрi):
где:
nkКрi - выборочная совокупность крупных личных подсобных хозяйств;
nkКр - объем выборки крупных личных подсобных хозяйств в k-м субъекте;
NkКрi - количество крупных личных подсобных хозяйств в i-й группе;
NkКр - число крупных личных подсобных хозяйств в k-м субъекте.
Отбор крупных личных подсобных хозяйств группы NkКр1, у которых показатель "численность привлеченных наемных работников" больше нуля (Tl > 0) осуществляется по накопленной (кумулятивной) сумме нормированных индексов, рассчитанных по показателям "общая посевная площадь", "условное поголовье скота" и "численность привлеченных наемных работников".
Нормированный индекс рассчитывается для каждого l-го хозяйства данной группы по формуле:
где:
Skl, Ykl, Tkl - значения соответствующего признака ("общая посевная площадь", "условное поголовье скота", "численность привлеченных наемных работников") в l-м хозяйстве группы (NkКр1);
Sklmin, Sklmax, Yklmin, Yklmax, Tklmin, Tklmax - соответственно минимальное и максимальное значение признака ("общая посевная площадь", "условное поголовье скота", "численность привлеченных наемных работников") в массиве NkKp1.
Формирование выборочной совокупности из этой группы осуществляется на основе систематического отбора с вероятностью, пропорциональной значению (величине) нормированного индекса I (показателю, характеризующему размер единицы группы), который рассчитывается по формуле:
IkKp1 = ikSl + ikYl + ikTl. (2.4)
Шаг отбора (hkKp1) рассчитывается путем деления общей суммы нормированных индексов (IkKp1) на число отбираемых хозяйств (nkKp1):
Отбор крупных личных подсобных хозяйств группы NkKp2, у которых показатель "численность привлеченных наемных работников" равен нулю (Tl = 0), осуществляется аналогично группе NkKp1.
Шаг отбора (hkKp2) рассчитывается путем деления общей суммы нормированных индексов (IkKp2) на число отбираемых хозяйств (nkKp2):
IkKp2 = ikSl + ikYl,(2.6)
Единый список крупных личных подсобных хозяйств (n
kKp), подлежащих наблюдению, формируется объединением хозяйств, отобранных в группах n
kKp1 и n
kKp2 (приложение 11).
2.2. Распространение данных выборочного обследования крупных личных подсобных хозяйств на генеральную совокупность
Распространение данных выборочной совокупности на региональном уровне проводится методом оценки по доле, по методологии, разработанной для наблюдения основного массива личных подсобных хозяйств, и методом прямого распространения (
приложения 12,
13).
2.2.1. Метод прямого распространения
Распространенное суммарное значение q-го показателя рассчитывается по формуле:
Среднее значение q-го показателя каждой совокупности (nkKp1 и nkKp2) рассчитывается по отдельности по формулам:
Оценка репрезентативности выборочных данных по совокупности крупных личных подсобных хозяйств проводится аналогично оценке репрезентативности по основному массиву.
3. Формирование выборочной совокупности особо крупных личных
подсобных хозяйств и распространение данных выборочного
наблюдения на генеральную совокупность
3.1. Формирование выборочной совокупности особо крупных личных подсобных хозяйств
Основой выборки для особо крупных хозяйств будет список хозяйств, у которых значение показателей "общая посевная площадь и/или "условное поголовье скота" превышает

крупных личных подсобных хозяйств.
Объем выборки особо крупных личных подсобных хозяйств определяется в зависимости от доли числа таких хозяйств генеральной совокупности в общем объеме выборочной совокупности субъекта Российской Федерации, по формуле:
где:
dkОКр - доля числа особо крупных личных подсобных хозяйств в k-м субъекте;
NkОКр - число особо крупных личных подсобных хозяйств в k-м субъекте;
nk - объем выборки в k-м субъекте.
ОПРЕДЕЛЕНИЕ ОБЪЕМА ВЫБОРОЧНОЙ СОВОКУПНОСТИ ОСОБО КРУПНЫХ
ЛИЧНЫХ ПОДСОБНЫХ ХОЗЯЙСТВ В СУБЪЕКТЕ РОССИЙСКОЙ ФЕДЕРАЦИИ
(ПО ДОЛЕ)
значение доли (dkОКр) < 10% | значение доли (dkОКр) > 10% |
обследуются все особо крупные хозяйства региона (100%) | обследуются 50% особо крупных хозяйств региона |
nkОКр = NkОКр | nkОКр = 1/2 * NkОКр |
(nkОКр - выборочная совокупность особо крупных личных подсобных хозяйств) |
Отбор особо крупных личных подсобных хозяйств при dkОКр > 10%:
- определяется количество хозяйств выборочной совокупности по формуле:
nkОКр = 1/2 * NkОКр;
- совокупность особо крупных личных подсобных хозяйств (N
kОКр) по показателю "численность привлеченных наемных работников" (T
l) распределяется на две группы (схема 4,
приложение 15):
Схема 4. Распределение совокупности особо крупных личных
подсобных хозяйств (NkОКр) на группы, по показателю
"численность привлеченных наемных работников"
- отбор хозяйств, в количестве nkОКр, проводится на основе полученных данных, в зависимости от соотношения количества хозяйств в группах (таблица 7):
Таблица 7
ОТБОР ОСОБО КРУПНЫХ ЛИЧНЫХ ПОДСОБНЫХ ХОЗЯЙСТВ В ЗАВИСИМОСТИ
ОТ СООТНОШЕНИЯ КОЛИЧЕСТВА ХОЗЯЙСТВ В ГРУППАХ
количество хозяйств Группы II (NkОКр2) > 0 | хозяйства Группы I (NkОКр1) обследуются на сплошной основе (100%) (nkОКр1) = NkОКр1 |
хозяйства Группы II (NОКр2) обследуются на выборочной основе в объеме |
количество хозяйств Группы II (NkОКр2) = 0 | хозяйства Группы I (NkОКр1) обследуются на выборочной основе в объеме 1/2 особо крупных хозяйств региона |
--------------------------------
<*> Если

, то хозяйства Группы II в выборку не попадают.
Алгоритм отбора особо крупных личных подсобных хозяйств
Отбор особо крупных личных подсобных хозяйств Группы I (NkОКр1) и Группы II (NkОКр2) проводится по методу, аналогично разработанному для наблюдения массива крупных личных подсобных хозяйств.
Шаг отбора (hkОКрi) рассчитывается путем деления общей суммы нормированных индексов на число отбираемых хозяйств (nkКр2):
IkОКр1 = ikSl + ikYl + ikTl, (3.2)
IkОКр2 = ikSl + ikYl, (3.3)
Единый список особо крупных личных подсобных хозяйств (n
kОКр)
(приложение 16), подлежащих наблюдению, формируется:
- при количестве хозяйств группы II > 0 объединением хозяйств отобранных в группах (nkОКр = nkОКр1 + nkОКр2);
- при количестве хозяйств группы II = 0 список особо крупных личных подсобных хозяйств, подлежащих наблюдению, nkОКр = nkОКр1.
3.2. Распространение данных выборочного обследования особо крупных личных подсобных хозяйств на генеральную совокупность
Распространение выборочных данных на генеральную совокупность особо крупных хозяйств региона проводится для всех показателей
формы N 2 (приложение 17).
При обследовании совокупности особо крупных личных подсобных хозяйств на сплошной основе, распространенное значение по каждому q-му показателю всех Разделов
формы N 2 рассчитывается суммированием значений этого показателя по всем единицам наблюдения (l = 1, 2,..., n
ОКр):
В этом случае ошибки распространения (абсолютная и относительная) будут равны нулю.
Распространенное значение каждого q-го показателя при обследовании 50% особо крупных личных подсобных хозяйств только одной группы (nkОКр1 или nkОКр2) рассчитывается путем умножения суммарной величины соответствующего показателя по результатам выборочного наблюдения на коэффициент распространения, равный двум (поскольку выборка 50%-я).
Если выборочная совокупность содержит хозяйства из обеих групп, то процедура распространения будет следующей:
Распространенное значение каждого q-го показателя рассчитывается по формуле:
Среднее значение любого показателя по данной совокупности рассчитывается как отношение суммарного значения этого показателя к числу особо крупных личных подсобных хозяйств в генеральной совокупности.
Оценка репрезентативности выборочных данных (1/2 объема особо крупных хозяйств региона) по совокупности особо крупных личных подсобных хозяйств проводится по всем показателям бланка выборочного обследования аналогично оценке репрезентативности по основному массиву.
После распространения данных по трем совокупностям (типичные, крупные, особо крупные) и расчета абсолютных стандартных ошибок по ним проводится расчет относительной стандартной ошибки выборки по всем показателям
формы N 2 в целом по субъекту Российской Федерации.
Оптимальное распространенное среднее значение q-го показателя по субъекту Российской Федерации:
4. Итоги распространения данных на генеральную совокупность
по субъектам Российской Федерации и выбор оптимального
значения показателей ф. N 2
Выбор оптимального варианта распространения данных, т.е. единственного значения, с максимальной точностью характеризующего величину изучаемого показателя, проводится отдельно по каждому разделу
формы N 2.
Выбор оптимального метода распространения производится отдельно для совокупности основного массива (типичных) личных подсобных хозяйств и совокупности крупных личных подсобных хозяйств.
Для совокупности особо крупных личных подсобных хозяйств распространение данных выборочного наблюдения осуществляется только методом прямого распространения.
После определения оптимального значения формируются сводные распространенные данные по общей совокупности личных подсобных хозяйств путем суммирования оптимальных распространенных значений по всем совокупностям (типичные личные подсобные хозяйства - основной массив, крупные и особо крупные личные подсобные хозяйства) (
приложения 10,
14,
17,
18).
Раздел 1 "Характеристика земельных участков, находящихся в пользовании личных подсобных и других индивидуальных хозяйств"
При выборе оптимального метода распространения используется среднее значение показателя "общая площадь участков", в расчете на одно хозяйство массива личных подсобных хозяйств (крупные или типичные). Оптимальным вариантом для показателей раздела принимается тот метод распространения, у которого отклонение среднего значения на 1 личное подсобное хозяйство по показателю "общая площадь участка" от аналогичного среднего значения по генеральной совокупности (ГС N 5) имеет минимальную величину.
Раздел 2 "Посевные площади сельскохозяйственных культур"
По показателям о посевных площадях "зерновых и зернобобовых культур", "картофеля", "овощей открытого грунта" оптимальным вариантом принимается тот метод распространения, у которого отклонение среднего значения на 1 личное подсобное хозяйство от аналогичных данных по генеральной совокупности (ГС N 5) является минимальным; по показателям о посевных площадях "овощей закрытого грунта", "дынь, арбузов", "подсолнечника на зерно", "сахарной свеклы (фабричной)", "кормовых корнеплодов (включая сахарную свеклу на корм скоту)", "бахчевых кормовых культур", "кормовых трав", "прочих посевов" - оптимальным вариантом принимается тот метод распространения, у которого величина стандартной ошибки выборки является наименьшей.
Раздел 3 "Сбор урожая сельскохозяйственных культур"
Вариант распространенных значений, принятый оптимальным для показателей
раздела 2, также принимается оптимальным для соответствующих сельхозкультур по показателям
раздела 3.
Раздел 4 "Многолетние плодово-ягодные насаждения и виноградники и сбор урожая многолетних насаждений"
По показателям о площадях семечковых, косточковых, орехоплодных насаждений", "ягодников", "виноградников" оптимальным вариантом выбирается тот метод распространения, у которого отклонение среднего значения на 1 личное подсобное хозяйство от аналогичных данных по генеральной совокупности (ГС N 5) является минимальным.
Оптимальным вариантом распространенных значений о сборе урожая многолетних насаждений является метод, принятый в качестве оптимального при определении площадей многолетних плодово-ягодных насаждений и виноградников по соответствующим видам насаждений.
Раздел 5 "Выход продукции животноводства"
Оптимальным методом распространения данных по показателям "Наличие скота и птицы", "Наличие маточного поголовья", "Настрижено шерсти, начесано пуха" принимается тот метод распространения, у которого по показателю "Наличие скота и птицы" величина стандартной ошибки выборки является наименьшей.
Оптимальным методом для распространения данных по показателям "Поголовье доившегося скота" и "Надоено молока" принимается тот метод, у которого по показателю "Поголовье доившегося скота" стандартная ошибка выборки минимальна.
Оптимальным методом распространения данных по показателям "Число взрослых кур (без петухов)" и "Получено яиц" принимается тот метод, у которого по показателю "Число взрослых кур (без петухов)" стандартная ошибка выборки имеет наименьшее значение.
Оптимальным методом распространения данных по показателям "Забито и продано на убой" и "Получено от забитого скота и птицы" принимается тот метод, у которого по показателю "Поголовье соответствующего вида скота" стандартная ошибка выборки минимальна.
Оптимальным методом распространения данных по показателям "Количество пчелосемей", "Количество пчелосемей, давших мед", "Получено меда" принимается тот метод, у которого по показателю "Количество пчелосемей" стандартная ошибка выборки минимальна.
Для определения оптимального метода распространения по показателям
раздела 6 используются дополнительные справочные таблицы "Месячная норма потребления кормов на 1 голову" в I и IV, во II и III кварталах, "Годовая норма потребления кормов на 1 голову", определенные на основе зоотехнических норм расхода кормов для каждого вида скота и птицы.
Кроме того, производится расчет показателя о расходе кормов на 1 голову по видам скота и птицы по распространенным данным. Для этого распространенные данные
раздела 6 о расходе кормов по видам кормов и видам скота и птицы делятся на распространенные данные о поголовье соответствующего вида скота и птицы (
раздел 5, показатель "Наличие скота и птицы"). Расчет проводится отдельно для каждого из двух методов распространения.
Затем проводится сравнение расчетного расхода по видам кормов на 1 голову по видам скота и птицы по двум методам распространения и нормы расхода кормов на 1 голову. Вариант оценки данных, для которого расход кормов по видам на 1 голову по видам скота и птицы имеет минимальное отклонение от нормативного, принимается оптимальным.
Раздел 7 "Продажа продукции собственного производства"
Оптимальным методом оценки выборочных данных показателей
раздела 7 по всем графам принимается тот метод распространения, для которого стандартная ошибка выборки минимальна по каждому показателю графы "Продано". Для данных о продаже семечковых, косточковых, фруктов и ягод оптимальным является метод распространения, принятый для показателя "Фрукты и ягоды свежие".
Для определения оптимального метода распространения по показателю "Запасы на конец отчетного периода" производится дополнительно распространение данного показателя по средней. Вариант распространения с минимальной ошибкой выборки и приближенный к распространению по средней принимается оптимальным.
Раздел 8 "Поступление и выбытие скота, птицы и пчел"
Оптимальным методом распространения для показателей раздела 8 принимается тот метод, для которого стандартная ошибка выборки минимальна по показателям
графы 3 "Наличие голов на начало года".
Раздел 9 "Расходы на приобретение промышленных продуктов и оплату производственных услуг"
Для определения оптимального метода распространения по показателям
раздела 9 производится дополнительно их распространение по средней. Вариант распространения с минимальной ошибкой выборки и приближенный к распространению по средней принимается оптимальным.
Раздел 10 "Расходы на оплату услуг наемным лицам"
Для определения оптимального метода распространения по показателям
раздела 9 производится дополнительно их распространение по средней. Вариант распространения с минимальной ошибкой выборки и приближенный к распространению по средней принимается оптимальным.
При выборе оптимального значения необходимо обращать внимание на величину значения ошибки выборки.
В случае, если ошибка выборки по отдельным значениям показателей по малораспространенным видам сельскохозяйственных животных и/или сельскохозяйственных культур составляет более 40%, то оптимальное значение устанавливается принудительно с учетом экспертной оценки полученного программным методом распространенного значения.
Корректировка оптимального значения таких показателей проводится с использованием средних показателей о выходе продукции (в расчете на 1 га убранной площади сельскохозяйственных культур или площади посадки многолетних насаждений, на 1 голову соответствующего вида сельскохозяйственных животных) в выборочной совокупности, а также на базе имеющейся информации, полученной из других источников.
к Методическим указаниям
по проведению выборочного
статистического наблюдения
за сельскохозяйственной
деятельностью личных подсобных
и других индивидуальных
хозяйств граждан
РАСЧЕТНЫЙ ОБЪЕМ ВЫБОРКИ ЛИЧНЫХ ПОДСОБНЫХ И ДРУГИХ
ИНДИВИДУАЛЬНЫХ ХОЗЯЙСТВ ГРАЖДАН СЕЛЬСКОЙ МЕСТНОСТИ
В СУБЪЕКТАХ РОССИЙСКОЙ ФЕДЕРАЦИИ
N п/п | Наименование субъекта Российской Федерации | Число личных подсобных и других индивидуальных хозяйств, единиц | Процент отбора, % | Количество отбираемых хозяйств, единиц |
1 | 2 | 3 | 4 | 5 |
1. | Белгородская область | 235108 | 0,25 | 588 |
2. | Брянская область | 164218 | 0,40 | 657 |
3. | Владимирская область | 191058 | 0,40 | 764 |
4. | Воронежская область | 369385 | 0,15 | 554 |
5. | Ивановская область | 94729 | 0,80 | 783 |
6. | Калужская область | 154360 | 0,50 | 772 |
7. | Костромская область | 103976 | 0,50 | 520 |
8. | Курская область | 189634 | 0,40 | 759 |
9. | Липецкая область | 197490 | 0,40 | 790 |
10. | Московская область | 674604 | 0,12 | 810 |
11. | Орловская область | 115805 | 0,50 | 579 |
12. | Рязанская область | 202197 | 0,25 | 516 |
13. | Смоленская область | 128463 | 0,50 | 642 |
14. | Тамбовская область | 197560 | 0,40 | 790 |
15. | Тверская область | 211691 | 0,25 | 540 |
16. | Тульская область | 153579 | 0,50 | 722 |
17. | Ярославская область | 157859 | 0,50 | 742 |
18. | Республика Карелия | 66920 | 1,00 | 669 |
19. | Республика Коми | 82138 | 1,00 | 821 |
20. | Архангельская область (без АО) | 133928 | 0,50 | 670 |
21. | Ненецкий автономный округ | 3527 | 10,00 | 353 |
22. | Вологодская область | 213419 | 0,25 | 544 |
23. | Калининградская область | 62345 | 1,00 | 623 |
24. | Ленинградская область | 191847 | 0,40 | 767 |
25. | Мурманская область | 4579 | 10,00 | 458 |
26. | Новгородская область | 110433 | 0,50 | 552 |
27. | Псковская область | 130278 | 0,50 | 651 |
28. | Республика Адыгея | 63455 | 1,00 | 635 |
29. | Республика Калмыкия | 48183 | 1,00 | 482 |
30. | Краснодарский край | 831679 | 0,12 | 998 |
31. | Астраханская область | 95438 | 0,80 | 788 |
32. | Волгоградская область | 217972 | 0,25 | 545 |
33. | Ростовская область | 490778 | 0,12 | 613 |
34. | Республика Дагестан | 385597 | 0,15 | 578 |
35. | Республика Ингушетия | 33863 | 2,50 | 858 |
36. | Кабардино-Балкарская Республика | 98880 | 0,80 | 817 |
37. | Карачаево-Черкесская Республика | 78815 | 1,00 | 788 |
38. | Республика Северная Осетия - Алания | 59955 | 1,00 | 600 |
39. | Чеченская Республика | 163267 | 0,40 | 653 |
40. | Ставропольский край | 368762 | 0,15 | 553 |
41. | Республика Башкортостан | 601450 | 0,12 | 722 |
42. | Республика Марий Эл | 99318 | 0,80 | 820 |
43. | Республика Мордовия | 145743 | 0,50 | 729 |
44. | Республика Татарстан | 359634 | 0,15 | 539 |
45. | Удмуртская Республика | 174167 | 0,40 | 697 |
46. | Чувашская Республика | 224808 | 0,25 | 573 |
47. | Пермский край | 255391 | 0,25 | 651 |
48. | Кировская область | 177768 | 0,40 | 711 |
49. | Нижегородская область | 373522 | 0,15 | 560 |
50. | Оренбургская область | 281809 | 0,25 | 705 |
51. | Пензенская область | 204173 | 0,25 | 510 |
52. | Самарская область | 236985 | 0,25 | 592 |
53. | Саратовская область | 242083 | 0,25 | 605 |
54. | Ульяновская область | 139573 | 0,50 | 698 |
55. | Курганская область | 149338 | 0,50 | 747 |
56. | Свердловская область | 277051 | 0,25 | 693 |
57. | Тюменская область (без АО) | 162708 | 0,40 | 651 |
58. | Ханты-Мансийский автономный округ - Югра | 23245 | 2,50 | 589 |
59. | Ямало-Ненецкий автономный округ | 4423 | 10,00 | 442 |
60. | Челябинская область | 230151 | 0,25 | 587 |
61. | Республика Алтай | 49891 | 1,00 | 499 |
62. | Республика Бурятия | 121593 | 0,50 | 608 |
63. | Республика Тыва | 35469 | 2,50 | 899 |
64. | Республика Хакасия | 53582 | 1,00 | 536 |
65. | Алтайский край | 435310 | 0,12 | 544 |
66. | Забайкальский край | 128433 | 0,50 | 642 |
67. | Красноярский край | 262940 | 0,25 | 657 |
68. | Иркутская область | 177672 | 0,40 | 711 |
69. | Кемеровская область | 157850 | 0,50 | 789 |
70. | Новосибирская область | 229617 | 0,25 | 574 |
71. | Омская область | 204525 | 0,25 | 511 |
72. | Томская область | 125184 | 0,50 | 588 |
73. | Республика Саха (Якутия) | 86401 | 1,00 | 864 |
74. | Камчатский край | 17698 | 2,50 | 448 |
75. | Приморский край | 135629 | 0,50 | 678 |
76. | Хабаровский край | 65091 | 1,00 | 651 |
77. | Амурская область | 92645 | 0,80 | 765 |
78. | Магаданская область | 2850 | 12,00 | 342 |
79. | Сахалинская область | 27793 | 2,50 | 704 |
80. | Еврейская автономная область | 17622 | 2,50 | 447 |
81. | Чукотский автономный округ | 1047 | 12,00 | 126 |
82. | Республика Крым | 283652 | 0,25 | 709 |
83. | Всего по Российской Федерации | 14553608 | 0,40 | 52657 |
к Методическим указаниям
по проведению выборочного
статистического наблюдения
за сельскохозяйственной
деятельностью личных подсобных
и других индивидуальных
хозяйств граждан
РАСПРЕДЕЛЕНИЕ ОБЪЕМА ВЫБОРОЧНОЙ СОВОКУПНОСТИ ПО ТИПАМ ЛИЧНЫХ
ПОДСОБНЫХ ХОЗЯЙСТВ НА ПРИМЕРЕ ГС N 5 ВОРОНЕЖСКОЙ ОБЛАСТИ
единиц
Общее количество личных подсобных и других индивидуальных хозяйств граждан (за исключением заброшенных) | 369385 |
Общее количество личных подсобных и других индивидуальных хозяйств граждан (за исключением заброшенных, и хозяйств с одновременно нулевыми значениями показателей: "общая посевная площадь", "условное поголовье скота" и "численность привлеченных наемных работников") (N) | 342977 |
Общий объем выборочной совокупности (n) | (342977 x 0,15) / 100 = 514 |
Совокупность крупных и особо крупных личных подсобных и других индивидуальных хозяйств граждан (фонд N 2) (у которых значение показателей "общая посевная площадь" и/или "условное поголовье скота" превышает  генеральной совокупности) (N ОКр+Кр) | 8510 |
Совокупность особо крупных личных подсобных и других индивидуальных хозяйств граждан (фонд N 3) (у которых значение показателей "общая посевная площадь" и/или "условное поголовье скота" превышает  крупных и особо крупных личных подсобных и других индивидуальных хозяйств граждан) в ГС (N ОКр) | 155 |
Совокупность крупных личных подсобных и других индивидуальных хозяйств граждан (фонд N 4) в ГС (NКр) | 8510 - 155 = 8355 |
Совокупность типичных личных подсобных и других индивидуальных хозяйств граждан (фонд N 5) в ГС (NТип) | 342977 - 8510 = 334467 |
Доля особо крупных личных подсобных и других индивидуальных хозяйств граждан ГС в выборке, % | 155 / 514 * 100 = 30 > 10% |
Объем выборки особо крупных личных подсобных и других индивидуальных хозяйств граждан (nОКр = 1/2 * NОКр) | 155 * 0,5 = 78 |
Объем выборки крупных личных подсобных и других индивидуальных хозяйств граждан (nКр) | 8355 * 0,5 / 100 = 42 |
Объем выборки основного массива - типичные личные подсобные и другие индивидуальные хозяйства граждан (nТип) | 514 - 78 - 42 = 394 |
Особо крупные личные подсобные хозяйства |
совокупность | всего | Т > 0 | Т = 0 |
генеральная | 155 | 16 | 139 |
выборочная | 78 | 16 | 62 |
Крупные личные подсобные хозяйства |
совокупность | всего | Т > 0 | Т = 0 |
генеральная | 8355 | 409 | 7946 |
выборочная | 42 | 2 | 40 |
Типичные личные подсобные хозяйства |
совокупность | всего | S = 0 Y > 0 T >= 0 | S > 0 Y = 0 T >= 0 | S > 0 Y > 0 T = 0 | S > 0 Y > 0 T > 0 |
Генеральная (NТип) | 334467 | 2806 | 142027 | 178715 | 10919 |
Генеральная  | 21817 | 172 | 8494 | 12373 | 778 |
Выборочная | 394 | 3 | 169 | 211 | 13 |
Генеральная | Выборочная (nТип1i) | Генеральная | Выборочная (nТип2i) |
| 126 | nТип11 | 2 | | 98 | nТип21 | 3 |
| 46 | nТип12 | 1 | | 3020 | nТип22 | 65 |
| 0 | nТип13 | 0 | | 5321 | nТип23 | 98 |
| | | | | 53 | nТип24 | 1 |
к Методическим указаниям
по проведению выборочного
статистического наблюдения
за сельскохозяйственной
деятельностью личных подсобных
и других индивидуальных
хозяйств граждан
ОСНОВА ВЫБОРКИ I СТУПЕНИ (НАСЕЛЕННЫЕ ПУНКТЫ РЕГИОНА).
ОТБОР НАСЕЛЕННЫХ ПУНКТОВ НА ПРИМЕРЕ ВОРОНЕЖСКОЙ ОБЛАСТИ
NНП = 1655, nНП = 50; накопленная сумма = 252,991, шаг отбора hk = 5,060, случайная величина (от 0 до hk) = 2,530
N п/п | | Общая посевная площадь, га | Условное поголовье скота, голов | Численность работников, чел. | Нормированный индекс | Кумулятивная сумма по графе 9 | Пороговое значение кумулятивной суммы для отбора НП | Отметка о попадании НП в выборку <*> |
площади | поголовья | численности работников | Сумма граф 6 + 7 + 8 |
Sl | Yl | Tl | iSl | iYl | iTl |
1 | 2 | 3 | 4 | 5 | 6 | 7 | 8 | 9 | 10 | 11 | 12 |
1 | 20202808001 | 1175006 | 628,88 | 3 | 0,149 | 0,261 | 0,001 | 0,410 | 0,410 | 2,530 | |
2 | 20202812001 | 2816423 | 1104,68 | 109 | 0,356 | 0,458 | 0,041 | 0,855 | 1,266 | 2,530 | |
3 | 20202812002 | 616350 | 189,94 | 0 | 0,078 | 0,079 | 0,000 | 0,157 | 1,422 | 2,530 | |
4 | 20202816001 | 3621995 | 470,14 | 53 | 0,458 | 0,195 | 0,020 | 0,673 | 2,095 | 2,530 | |
5 | 20202816002 | 198455 | 13,56 | 1 | 0,025 | 0,006 | 0,000 | 0,031 | 2,126 | 2,530 | |
6 | 20202820001 | 1441147 | 353,14 | 21 | 0,182 | 0,146 | 0,008 | 0,337 | 2,463 | 2,530 | |
7 | 20202822001 | 2744647 | 249,64 | 0 | 0,347 | 0,103 | 0,000 | 0,450 | 2,913 | 2,530 | |
8 | 20202822002 | 330986 | 187,24 | 0 | 0,042 | 0,078 | 0,000 | 0,119 | 3,033 | 7,590 | |
... | | | | | | | | | | | |
26 | 20202844002 | 722900 | 152,68 | 0 | 0,091 | 0,063 | 0,000 | 0,155 | 7,212 | 7,590 | |
27 | 20202848001 | 5415150 | 772,78 | 0 | 0,685 | 0,320 | 0,000 | 1,005 | 8,217 | 7,590 | |
28 | 20202852001 | 391683 | 252,94 | 0 | 0,050 | 0,105 | 0,000 | 0,154 | 8,371 | 12,650 | |
... | | | | | | | | | | | |
55 | 20202872005 | 49028 | 55 | 0 | 0,006 | 0,023 | 0,000 | 0,029 | 12,070 | 12,650 | |
56 | 20202876001 | 2232124 | 1328,78 | 175 | 0,282 | 0,551 | 0,066 | 0,899 | 12,969 | 12,650 | |
57 | 20202880001 | 1366100 | 365,62 | 141 | 0,173 | 0,152 | 0,053 | 0,378 | 13,346 | 17,710 | |
... | | | | | | | | | | | |
83 | 20204828006 | 54200 | 10,28 | 0 | 0,007 | 0,004 | 0,000 | 0,011 | 17,666 | 17,710 | |
84 | 20204832001 | 574882 | 217,38 | 232 | 0,073 | 0,090 | 0,088 | 0,250 | 17,917 | 17,710 | |
85 | 20204832004 | 35080 | 17,08 | 0 | 0,004 | 0,007 | 0,000 | 0,012 | 17,928 | 22,770 | |
... | | | | | | | | | | | |
146 | 20205840001 | 544595 | 538,36 | 3 | 0,069 | 0,223 | 0,001 | 0,293 | 27,816 | 27,830 | |
147 | 20205840002 | 189792 | 135,8 | 0 | 0,024 | 0,056 | 0,000 | 0,080 | 27,896 | 27,830 | |
148 | 20205840003 | 31232 | 35,88 | 0 | 0,004 | 0,015 | 0,000 | 0,019 | 27,915 | 32,890 | |
... | | | | | | | | | | | |
280 | 20211846004 | 223060 | 76,7 | 0 | 0,028 | 0,032 | 0,000 | 0,060 | 52,937 | 53,130 | |
281 | 20211848001 | 885255 | 201,2 | 3 | 0,112 | 0,083 | 0,001 | 0,196 | 53,134 | 53,130 | |
282 | 20211848002 | 52300 | 3,62 | 0 | 0,007 | 0,002 | 0,000 | 0,008 | 53,142 | 58,190 | |
... | | | | | | | | | | | |
1616 | 20258844002 | 88625 | 35,06 | 0 | 0,011 | 0,015 | 0,000 | 0,026 | 250,378 | 250,470 | |
1617 | 20258848001 | 620647 | 273,82 | 2 | 0,078 | 0,114 | 0,001 | 0,193 | 250,571 | 250,470 | |
1618 | 20258848002 | 145625 | 49,8 | 0 | 0,018 | 0,021 | 0,000 | 0,039 | 250,610 | 255,530 | |
1619 | 20258848003 | 84509 | 41,04 | 0 | 0,011 | 0,017 | 0,000 | 0,028 | 250,638 | 255,530 | |
1620 | 20258848004 | 716582 | 472,4 | 0 | 0,091 | 0,196 | 0,000 | 0,286 | 250,924 | 255,530 | |
1621 | 20258848005 | 46580 | 0,32 | 0 | 0,006 | 0,000 | 0,000 | 0,006 | 250,930 | 255,530 | |
1622 | 20258848006 | 240258 | 26,08 | 0 | 0,030 | 0,011 | 0,000 | 0,041 | 250,972 | 255,530 | |
1623 | 20258848007 | 345458 | 166,58 | 0 | 0,044 | 0,069 | 0,000 | 0,113 | 251,084 | 255,530 | |
1624 | 20258848008 | 604937 | 261,08 | 1 | 0,076 | 0,108 | 0,000 | 0,185 | 251,269 | 255,530 | |
1625 | 20258848009 | 46807 | 15,9 | 0 | 0,006 | 0,007 | 0,000 | 0,013 | 251,282 | 255,530 | |
1626 | 20258848010 | 46188 | 3,16 | 0 | 0,006 | 0,001 | 0,000 | 0,007 | 251,289 | 255,530 | |
1627 | 20258848011 | 150459 | 135,98 | 0 | 0,019 | 0,056 | 0,000 | 0,075 | 251,364 | 255,530 | |
1628 | 20258852001 | 854282 | 367,46 | 0 | 0,108 | 0,152 | 0,000 | 0,260 | 251,625 | 255,530 | |
1629 | 20258852002 | 7790 | 2,84 | 0 | 0,001 | 0,001 | 0,000 | 0,002 | 251,627 | 255,530 | |
1630 | 20258852003 | 80344 | 30,56 | 0 | 0,010 | 0,013 | 0,000 | 0,023 | 251,650 | 255,530 | |
1631 | 20258852005 | 31840 | 8,8 | 0 | 0,004 | 0,004 | 0,000 | 0,008 | 251,657 | 255,530 | |
1632 | 20401662001 | 1100 | 0,54 | 0 | 0,000 | 0,000 | 0,000 | 0,000 | 251,658 | 255,530 | |
1633 | 20401662003 | 155 | 0 | 0 | 0,000 | 0,000 | 0,000 | 0,000 | 251,658 | 255,530 | |
1634 | 20401662004 | 700 | 2,1 | 0 | 0,000 | 0,001 | 0,000 | 0,001 | 251,659 | 255,530 | |
1635 | 20401662005 | 1100 | 2,2 | 0 | 0,000 | 0,001 | 0,000 | 0,001 | 251,660 | 255,530 | |
1636 | 20401662007 | 390 | 6 | 0 | 0,000 | 0,002 | 0,000 | 0,003 | 251,662 | 255,530 | |
1637 | 20401662008 | 350 | 0,24 | 0 | 0,000 | 0,000 | 0,000 | 0,000 | 251,663 | 255,530 | |
1638 | 20401662011 | 70 | 0 | 0 | 0,000 | 0,000 | 0,000 | 0,000 | 251,663 | 255,530 | |
1639 | 20401662012 | 80 | 0 | 0 | 0,000 | 0,000 | 0,000 | 0,000 | 251,663 | 255,530 | |
1640 | 20401662014 | 0 | 4,6 | 0 | 0,000 | 0,002 | 0,000 | 0,002 | 251,664 | 255,530 | |
1641 | 20401662016 | 41476 | 6,2 | 2 | 0,005 | 0,003 | 0,001 | 0,009 | 251,673 | 255,530 | |
1642 | 20401904001 | 777926 | 114,78 | 4 | 0,098 | 0,048 | 0,002 | 0,147 | 251,820 | 255,530 | |
1643 | 20401904002 | 158695 | 15,84 | 53 | 0,020 | 0,007 | 0,020 | 0,047 | 251,867 | 255,530 | |
1644 | 20401904003 | 107 | 17,44 | 0 | 0,000 | 0,007 | 0,000 | 0,007 | 251,874 | 255,530 | |
1645 | 20401904007 | 199740 | 39,7 | 0 | 0,025 | 0,016 | 0,000 | 0,042 | 251,916 | 255,530 | |
1646 | 20401904008 | 545264 | 86,08 | 69 | 0,069 | 0,036 | 0,026 | 0,131 | 252,047 | 255,530 | |
1647 | 20401909001 | 422096 | 135,04 | 3 | 0,053 | 0,056 | 0,001 | 0,110 | 252,157 | 255,530 | |
1648 | 20401909002 | 131795 | 96,94 | 4 | 0,017 | 0,040 | 0,002 | 0,058 | 252,216 | 255,530 | |
1649 | 20401915001 | 774819 | 51,86 | 5 | 0,098 | 0,021 | 0,002 | 0,121 | 252,337 | 255,530 | |
1650 | 20401925001 | 1568217 | 196,5 | 23 | 0,198 | 0,081 | 0,009 | 0,288 | 252,625 | 255,530 | |
1651 | 20401925002 | 20664 | 4,62 | 0 | 0,003 | 0,002 | 0,000 | 0,005 | 252,630 | 255,530 | |
1652 | 20401944001 | 823259 | 119,68 | 3 | 0,104 | 0,050 | 0,001 | 0,155 | 252,785 | 255,530 | |
1653 | 20401946001 | 420951 | 55,96 | 0 | 0,053 | 0,023 | 0,000 | 0,076 | 252,861 | 255,530 | |
1654 | 20401946003 | 598226 | 83,88 | 2 | 0,076 | 0,035 | 0,001 | 0,111 | 252,972 | 255,530 | |
1655 | 20401946004 | 113487 | 11,64 | 0 | 0,014 | 0,005 | 0,000 | 0,019 | 252,991 | 255,530 | |
--------------------------------
<*> Отбираются 50 населенных пунктов.
к Методическим указаниям
по проведению выборочного
статистического наблюдения
за сельскохозяйственной
деятельностью личных подсобных
и других индивидуальных
хозяйств граждан
ВЫБОРОЧНАЯ СОВОКУПНОСТЬ НАСЕЛЕННЫХ ПУНКТОВ
ВОРОНЕЖСКОЙ ОБЛАСТИ
I СТУПЕНЬ
NНП = 1655; nНП = 50
N п/п | | Общая посевная площадь, га | Условное поголовье скота, голов | Численность работников, человек |
1 | 20202822001 | 2744647 | 249,64 | 0 |
2 | 20202848001 | 5415150 | 772,78 | 0 |
3 | 20202876001 | 2232124 | 1328,78 | 175 |
4 | 20204832001 | 574882 | 217,38 | 232 |
5 | 20205804001 | 1182331 | 525,2 | 13 |
6 | 20205840002 | 189792 | 135,8 | 0 |
7 | 20206836001 | 424225 | 245,24 | 35 |
8 | 20208848001 | 4397856 | 778,64 | 0 |
9 | 20210804001 | 3074065 | 1990,46 | 39 |
10 | 20210844001 | 1814462 | 872,82 | 5 |
11 | 20211848001 | 885255 | 201,2 | 3 |
12 | 20212815001 | 961045 | 387,12 | 40 |
13 | 20213816003 | 1796292 | 425,34 | 5 |
14 | 20213848001 | 4656153 | 1074,94 | 4 |
15 | 20215828001 | 1590414 | 938,56 | 20 |
16 | 20215872001 | 1721753 | 1281,02 | 2 |
17 | 20217835004 | 830612 | 155,72 | 0 |
18 | 20219824001 | 2231370 | 786,34 | 22 |
19 | 20219856001 | 530332 | 752,32 | 33 |
20 | 20220822001 | 4613519 | 1094,58 | 0 |
21 | 20221822001 | 612781 | 392,76 | 3 |
22 | 20221872001 | 2016077 | 281,2 | 0 |
23 | 20223824001 | 1278450 | 409,76 | 538 |
24 | 20223848001 | 1313050 | 860,26 | 160 |
25 | 20225883003 | 6443 | 23,62 | 0 |
26 | 20227824001 | 2258521 | 991,44 | 21 |
27 | 20227872004 | 29434 | 40,88 | 0 |
28 | 20229820005 | 830221 | 164,04 | 0 |
29 | 20231840001 | 1418795 | 394,04 | 0 |
30 | 20231888001 | 1497295 | 512,96 | 0 |
31 | 20233840001 | 2268854 | 1115,36 | 18 |
32 | 20235816004 | 818949 | 441,54 | 0 |
33 | 20237812001 | 1239010 | 1166,9 | 2 |
34 | 20237840001 | 1910995 | 1736,48 | 88 |
35 | 20239836002 | 11673 | 9,6 | 0 |
36 | 20241868001 | 1145700 | 580 | 0 |
37 | 20243832003 | 689258 | 214,96 | 30 |
38 | 20245812001 | 794044 | 268,74 | 476 |
39 | 20245832001 | 1748643 | 1103,52 | 1084 |
40 | 20247816002 | 606511 | 597,12 | 436 |
41 | 20247852001 | 1498547 | 1422,64 | 12 |
42 | 20249824001 | 1308590 | 288,9 | 0 |
43 | 20249868001 | 1731419 | 289,28 | 39 |
44 | 20251832001 | 1048340 | 219,14 | 0 |
45 | 20251872001 | 4573385 | 1257,3 | 25 |
46 | 20254824001 | 7909899 | 1473,32 | 2645 |
47 | 20254844001 | 2017813 | 409,88 | 1322 |
48 | 20256844002 | 230320 | 40,82 | 0 |
49 | 20258808002 | 303400 | 95,66 | 0 |
50 | 20258848001 | 620647 | 273,82 | 2 |
к Методическим указаниям
по проведению выборочного
статистического наблюдения
за сельскохозяйственной
деятельностью личных подсобных
и других индивидуальных
хозяйств граждан
ОСНОВА ВЫБОРКИ II СТУПЕНИ (N
Тип)
СПИСОК ТИПИЧНЫХ ЛИЧНЫХ ПОДСОБНЫХ ХОЗЯЙСТВ В ОТОБРАННЫХ
НА I СТУПЕНИ НАСЕЛЕННЫХ ПУНКТАХ ВОРОНЕЖСКОЙ ОБЛАСТИ

N п/п | | Код временного учета | Общая посевная площадь, га | Условное поголовье скота, голов | Численность работников, человек |
1 | 20202822001 | 202027100366 | 9261 | 0,6 | 0 |
2 | 20202822001 | 202027101566 | 8965 | 2,4 | 0 |
3 | 20202822001 | 202027101615 | 1200 | 0 | 0 |
4 | 20202822001 | 202027101826 | 300 | 0 | 0 |
5 | 20202822001 | 202027102026 | 9793 | 1,7 | 0 |
... | | | | | |
... | | | | | |
... | 20202848001 | 202027109650 | 900 | 1,2 | 0 |
... | 20202848001 | 202027110629 | 4500 | 0 | 0 |
... | | | | | |
... | 20202876001 | 202027114003 | 1140 | 0,84 | 0 |
... | 20202876001 | 202027108292 | 400 | 0 | 1 |
... | 20202876001 | 202027108297 | 400 | 1,8 | 0 |
... | | | | | |
... | 20205840002 | 202057101337 | 2400 | 3,76 | 0 |
... | 20205840002 | 202057101781 | 1900 | 2,42 | 0 |
... | | | | | |
... | 20208848001 | 202087109115 | 5000 | 0 | 0 |
... | 20208848001 | 202087109647 | 5500 | 1 | 0 |
... | | | | | |
... | 20213816003 | 202137107423 | 3680 | 2,8 | 0 |
... | 20213816003 | 202137108254 | 5600 | 5,4 | 0 |
... | | | | | |
... | 20223824001 | 202237102861 | 3500 | 4,12 | 4 |
... | 20223824001 | 202237103477 | 7900 | 4,44 | 4 |
... | 20223824001 | 202237103774 | 3400 | 2,22 | 4 |
... | 20223824001 | 202237104115 | 8200 | 4,66 | 4 |
... | 20223824001 | 202237104813 | 7100 | 0,16 | 4 |
... | | | | | |
... | 20243832005 | 202437309137 | 1318 | 0 | 0 |
... | 20245812003 | 202457101531 | 1700 | 0 | 0 |
... | 20245812003 | 202457101716 | 1000 | 0,2 | 2 |
... | 20245812003 | 202457101937 | 1100 | 0,1 | 2 |
... | 20245812003 | 202457102593 | 2400 | 0,2 | 2 |
... | 20245812003 | 202457102604 | 1000 | 0,2 | 3 |
... | | | | | |
... | 20245836001 | 202457102990 | 800 | 3,6 | 2 |
... | 20245836001 | 202457104069 | 2300 | 0,14 | 4 |
... | 20245836001 | 202457105386 | 2800 | 2,5 | 4 |
... | 20245836001 | 202457106436 | 200 | 0,32 | 4 |
... | 20245836001 | 202457106632 | 2200 | 0,6 | 3 |
... | 20245836001 | 202457106693 | 3000 | 0,12 | 3 |
... | | | | | |
21813 | 20258848004 | 202587107771 | 3800 | 0 | 0 |
21814 | 20258848004 | 202587107789 | 3400 | 1,16 | 0 |
21815 | 20258848004 | 202587107790 | 3800 | 0 | 0 |
21816 | 20258848004 | 202587107795 | 4400 | 6,74 | 0 |
21817 | 20258848004 | 202587107799 | 4000 | 0 | 0 |
к Методическим указаниям
по проведению выборочного
статистического наблюдения
за сельскохозяйственной
деятельностью личных подсобных
и других индивидуальных
хозяйств граждан
ОСНОВА ВЫБОРКИ ТИПИЧНЫХ ЛИЧНЫХ ПОДСОБНЫХ ХОЗЯЙСТВ
ВОРОНЕЖСКОЙ ОБЛАСТИ (ГРУППА

; S = 0; Y > 0; T >= 0)
(ПО ЗНАЧЕНИЮ "УСЛОВНОЕ ПОГОЛОВЬЕ СКОТА")
| | |
| | |
N п/п | | Код временного учета | Общая посевная площадь, га | Условное поголовье скота, голов | Численность работников, человек |
| |
Группа  ; шаг отбора  ; начало отбора - 32 |
1 | 1 | 20219824001 | 202197110316 | 0 | 0,02 | 0 |
2 | 2 | 20210804001 | 202107107862 | 0 | 0,04 | 0 |
3 | 3 | 20215828001 | 202157105709 | 0 | 0,04 | 0 |
4 | 4 | 20219824001 | 202197108619 | 0 | 0,04 | 0 |
5 | 5 | 20225883003 | 202257123710 | 0 | 0,04 | 0 |
6 | 6 | 20215828001 | 202157103298 | 0 | 0,06 | 0 |
... | | | | | | |
... | | | | | | |
... | | | | | | |
29 | 29 | 20205840002 | 202057102545 | 0 | 0,14 | 0 |
30 | 30 | 20225883003 | 202257113966 | 0 | 0,14 | 0 |
31 | 31 | 20205804001 | 202057108916 | 0 | 0,16 | 0 |
32 | 32 | 20205804001 | 202057108943 | 0 | 0,16 | 0 |
33 | 33 | 20219824001 | 202197106179 | 0 | 0,16 | 0 |
34 | 34 | 20208848001 | 202087107888 | 0 | 0,18 | 0 |
35 | 35 | 20219824001 | 202197108767 | 0 | 0,18 | 0 |
36 | 36 | 20205804001 | 202057100218 | 0 | 0,2 | 0 |
... | | | | | | |
... | | | | | | |
... | | | | | | |
... | | | | | | |
90 | 90 | 20202876001 | 202027106984 | 0 | 0,4 | 0 |
91 | 91 | 20202876001 | 202027107115 | 0 | 0,4 | 0 |
92 | 92 | 20205804001 | 202057108529 | 0 | 0,4 | 0 |
93 | 93 | 20205804001 | 202057106190 | 0 | 0,4 | 0 |
94 | 94 | 20205804001 | 202057101122 | 0 | 0,4 | 0 |
95 | 95 | 20205804001 | 202057100129 | 0 | 0,4 | 0 |
96 | 96 | 20205804001 | 202057106002 | 0 | 0,4 | 0 |
97 | 97 | 20249872001 | 202497105477 | 0 | 0,4 | 0 |
98 | 98 | 20205804001 | 202057109035 | 0 | 0,44 | 0 |
... | | | | | | |
группа  ; шаг отбора  ; начало отбора - 23 |
... | | | | | | |
... | | | | | | |
123 | 123 | 20219824001 | 202197105085 | 0 | 0,9 | 0 |
124 | 124 | 20225883003 | 202257122394 | 0 | 0,9 | 0 |
125 | 125 | 20219824001 | 202197108241 | 0 | 0,98 | 0 |
126 | 126 | 20215828001 | 202157114616 | 0 | 0,98 | 0 |
127 | 1 | 20202876001 | 202027109319 | 0 | 1 | 0 |
128 | 2 | 20202876001 | 202027107120 | 0 | 1 | 0 |
129 | 3 | 20205840002 | 202057103400 | 0 | 1 | 0 |
130 | 4 | 20221872001 | 202217101295 | 0 | 1 | 0 |
... | | | | | | |
... | | | | | | |
134 | 8 | 20211848001 | 202117110742 | 0 | 1,04 | 0 |
135 | 9 | 20210804001 | 202107109432 | 0 | 1,1 | 0 |
136 | 10 | 20219824001 | 202197110147 | 0 | 1,1 | 0 |
137 | 11 | 20205804001 | 202057100004 | 0 | 1,2 | 0 |
138 | 12 | 20215828001 | 202157116674 | 0 | 1,3 | 0 |
... | | | | | | |
... | | | | | | |
144 | 18 | 20202876001 | 202027115348 | 0 | 1,5 | 0 |
145 | 19 | 20225883003 | 202257100317 | 0 | 1,6 | 0 |
146 | 20 | 20205840002 | 202057103340 | 0 | 1,78 | 0 |
147 | 21 | 20210804001 | 202107102990 | 0 | 1,8 | 0 |
148 | 22 | 20215872001 | 202157115787 | 0 | 1,8 | 0 |
149 | 23 | 20227824001 | 202277102634 | 0 | 2 | 0 |
150 | 24 | 20211848001 | 202117102043 | 0 | 2,02 | 0 |
151 | 25 | 20205804001 | 202057109180 | 0 | 2.2 | 0 |
152 | 26 | 20225883003 | 202257107071 | 0 | 2.2 | 0 |
153 | 27 | 20256844004 | 202567101464 | 0 | 2.2 | 0 |
154 | 28 | 20210804001 | 202107104153 | 0 | 2,26 | 0 |
155 | 29 | 20202876001 | 202027108862 | 0 | 2,3 | 0 |
... | | | | | | |
... | | | | | | |
... | | | | | | |
... | | | | | | |
170 | 44 | 20208848001 | 202087100127 | 0 | 3,4 | 0 |
171 | 45 | 20205804001 | 202057102538 | 0 | 4,26 | 0 |
172 | 46 | 20215828001 | 202157103669 | 0 | 5,6 | 0 |
к Методическим указаниям
по проведению выборочного
статистического наблюдения
за сельскохозяйственной
деятельностью личных подсобных
и других индивидуальных
хозяйств граждан
ВЫБОРОЧНАЯ СОВОКУПНОСТЬ ТИПИЧНЫХ ЛИЧНЫХ ПОДСОБНЫХ ХОЗЯЙСТВ
(nТип) НА ПРИМЕРЕ ВОРОНЕЖСКОЙ ОБЛАСТИ

, n
Тип = 394
N п/п | | Код временного учета | Общая посевная площадь, га | Условное поголовье скота, голов | Численность работников, человек |
1 | 20205804001 | 202057108943 | 0 | 0,16 | 0 |
2 | 20205804001 | 202057100129 | 0 | 0,4 | 0 |
3 | 20227824001 | 202277102634 | 0 | 2 | 0 |
4 | 20225883003 | 202257124144 | 20 | 0 | 0 |
5 | 20210804001 | 202107106870 | 50 | 0 | 0 |
6 | 20225883003 | 202257110724 | 70 | 0 | 0 |
7 | 20205804001 | 202057108188 | 100 | 0 | 0 |
8 | 20219824001 | 202197103105 | 100 | 0 | 0 |
9 | 20210804001 | 202107100044 | 118 | 0 | 0 |
10 | 20202876001 | 202027114508 | 190 | 0 | 0 |
11 | 20202876001 | 202027109436 | 200 | 0 | 0 |
12 | 20210804001 | 202107104006 | 200 | 0 | 0 |
13 | 20215828001 | 202157101962 | 200 | 0 | 0 |
14 | 20227824001 | 202277104638 | 200 | 0 | 0 |
15 | 20249872001 | 202497102550 | 200 | 0 | 0 |
16 | 20227824001 | 202277100942 | 275 | 0 | 0 |
17 | 20202876001 | 202027103255 | 300 | 0 | 0 |
18 | 20208848001 | 202087115087 | 300 | 0 | 0 |
19 | 20211848001 | 202117105435 | 300 | 0 | 0 |
20 | 20219824001 | 202197106155 | 300 | 0 | 0 |
21 | 20227824001 | 202277111115 | 300 | 0 | 0 |
22 | 20210804001 | 202107107428 | 336 | 0 | 0 |
23 | 20210804001 | 202107100361 | 376 | 0 | 0 |
... | | | | | |
... | 20206836001 | 202067102770 | 2300 | 1,2 | 0 |
... | 20208848001 | 202087104978 | 2300 | 1,2 | 0 |
... | 20210804001 | 202107105430 | 2300 | 1,2 | 0 |
... | 20223848001 | 202237106588 | 2300 | 1,2 | 0 |
... | 20210804001 | 202107103676 | 2400 | 1,16 | 0 |
... | 20221822001 | 202217105209 | 2800 | 1,22 | 0 |
... | 20219856001 | 202197100333 | 2700 | 1,46 | 0 |
... | 20202876001 | 202027106428 | 2780 | 1,2 | 0 |
... | 20202848001 | 202027110193 | 2200 | 1,3 | 0 |
... | 20215828001 | 202157109413 | 2200 | 1,3 | 0 |
... | 20213848001 | 202137102726 | 2500 | 1,14 | 0 |
... | 20213848001 | 202137101908 | 2500 | 1,14 | 0 |
... | 20210804001 | 202107102534 | 2272 | 1,2 | 0 |
... | 20208848001 | 202087109015 | 2469 | 1,14 | 0 |
... | 20233840003 | 202337116272 | 2260 | 1,42 | 0 |
... | 20219824001 | 202197108597 | 2600 | 1,14 | 0 |
... | 20237840003 | 202377103626 | 2793 | 1,2 | 0 |
... | 20202848001 | 202027102683 | 2800 | 1,2 | 0 |
... | 20202876001 | 202027107820 | 2800 | 1,2 | 0 |
... | 20215828001 | 202157106406 | 2800 | 1,2 | 0 |
... | | | | | |
... | | | | | |
... | | | | | |
... | | | | | |
... | | | | | |
... | | | | | |
... | | | | | |
... | | | | | |
... | | | | | |
... | | | | | |
... | | | | | |
... | | | | | |
... | | | | | |
382 | 20245836001 | 202457107864 | 2400 | 1,5 | 2 |
383 | 20245836001 | 202457101147 | 2600 | 1,3 | 2 |
384 | 20223848001 | 202237107400 | 3300 | 1,64 | 2 |
385 | 20245836001 | 202457102494 | 1935 | 1,18 | 2. |
386 | 20247820002 | 202477108119 | 1900 | 1,16 | 2 |
387 | 20202876001 | 202027115273 | 1900 | 1,1 | 2 |
388 | 20245836001 | 202457105884 | 2100 | 1 | 2 |
389 | 20223824001 | 202237107483 | 3500 | 1,72 | 2 |
390 | 20245836001 | 202457107069 | 3600 | 1,7 | 2 |
391 | 20245836001 | 202457102516 | 2400 | 0,86 | 2 |
392 | 20245836001 | 202457105402 | 1500 | 1,2 | 2 |
393 | 20245812003 | 202457107886 | 3700 | 1,26 | 2 |
394 | 20245836001 | 202457100961 | 1600 | 1,06 | 2 |
к Методическим указаниям
по проведению выборочного
статистического наблюдения
за сельскохозяйственной
деятельностью личных подсобных
и других индивидуальных
хозяйств граждан
РАСПРОСТРАНЕНИЕ НА ГЕНЕРАЛЬНУЮ СОВОКУПНОСТЬ
И РАСЧЕТ СТАНДАРТНЫХ ОШИБОК ПОКАЗАТЕЛЕЙ РАСТЕНИЕВОДСТВА
И ЖИВОТНОВОДСТВА ТИПИЧНЫХ ЛИЧНЫХ ПОДСОБНЫХ ХОЗЯЙСТВ
ВОРОНЕЖСКОЙ ОБЛАСТИ
(ОСНОВНОЙ МАССИВ; МЕТОД ПРЯМОГО РАСПРОСТРАНЕНИЯ)

, n
Тип = 394
N п/п | Показатель | Суммарное значение показателя в выборке | Распространенное на генеральную совокупность значение показателя | Дисперсия | Стандартная ошибка суммарного значения | Относительная ошибка, % |
1 | Общая площадь земли, используемая хозяйством, кв. м | 1594750 | 1368782589 | 183883,94 | 21,54 | 0,53 |
| Посевные площади отдельных сельскохозяйственных культур, кв. м: | | | | | |
2 | Кукуруза на зерно | 5877 | 5105262 | 232,32 | 0,77 | 5,02 |
3 | Подсолнечник на зерно | 589 | 453836 | 17,33 | 0,21 | 15,41 |
4 | Картофель | 572509 | 492667263 | 6,46 | 0,13 | 0,01 |
5 | Овощные и бахчевые культуры открытого грунта - всего | 142516 | 122441436 | 2172,04 | 2,34 | 0,64 |
6 | Овощи закрытого грунта | 50 | 43408 | 0,05 | 0,01 | 8,51 |
7 | Кормовые культуры | 111628 | 94752262 | 8639,90 | 4,67 | 1,65 |
| Поголовье сельскохозяйственных животных, голов: | | | | | |
8 | крупный рогатый скот | 107 | 96243 | 0,01 | 0,00 | 1,67 |
9 | из него коровы | 54 | 48562 | 0,00 | 0,00 | 2,02 |
10 | свиньи | 224 | 201631 | 0,02 | 0,01 | 1,11 |
11 | овцы | 44 | 39592 | 0,01 | 0,01 | 4,88 |
12 | козы | 113 | 101585 | 0,02 | 0,01 | 2,11 |
13 | птица всех видов | 4039 | 3637121 | 2,43 | 0,08 | 0,72 |
14 | лошади | 15 | 13485 | 0,00 | 0,00 | 3,05 |
15 | кролики | 157 | 141177 | 0,12 | 0,02 | 4,12 |
16 | пчелосемьи, единиц | 89 | 80009 | 0,04 | 0,01 | 4,33 |
к Методическим указаниям
по проведению выборочного
статистического наблюдения
за сельскохозяйственной
деятельностью личных подсобных
и других индивидуальных
хозяйств граждан
РАСПРОСТРАНЕНИЕ НА ГЕНЕРАЛЬНУЮ СОВОКУПНОСТЬ
И РАСЧЕТ СТАНДАРТНЫХ ОШИБОК ПОКАЗАТЕЛЕЙ РАСТЕНИЕВОДСТВА
И ЖИВОТНОВОДСТВА ТИПИЧНЫХ ЛИЧНЫХ ПОДСОБНЫХ ХОЗЯЙСТВ
ВОРОНЕЖСКОЙ ОБЛАСТИ
(ОСНОВНОЙ МАССИВ; ОЦЕНКА ПО ДОЛЕ)

, n
Тип = 394
N п/п | Показатель | Сумма оцененных значений показателя, по отобранным хозяйствам | Распространенное на генеральную совокупность среднее значение показателя | Дисперсия | Стандартная ошибка суммарного значения | Относительная ошибка, % |
1 | Общая площадь земли, используемая хозяйством, кв. м | 700235655146 | 1768271856 | 12455227,63 | 177,2 | 3,4 |
| Посевные площади отдельных сельскохозяйственных культур, кв. м: | | | | | |
2 | Кукуруза на зерно | 1678832239 | 4239475 | 12876,13 | 5,7 | 45,0 |
3 | Подсолнечник на зерно | 217928045 | 550323 | 873,88 | 1,5 | 90,2 |
4 | Картофель | 201640172635 | 509192355 | 651850,50 | 40,5 | 2,7 |
5 | Овощные и бахчевые культуры открытого грунта - всего | 54549389228 | 137750983 | 129465,10 | 18,1 | 4,4 |
6 | Овощи закрытого грунта | 13091449 | 33059 | 2,78 | 0,1 | 84,8 |
7 | Кормовые культуры | 27699672495 | 69948668 | 463401,82 | 34,2 | 16,3 |
| Поголовье сельскохозяйственных животных, голов: | | | | | |
8 | крупный рогатый скот | 22247404 | 56180 | 0,21 | 0,0 | 13,8 |
9 | из него коровы | 11390226 | 28763 | 0,12 | 0,0 | 20,3 |
10 | свиньи | 46781665 | 118136 | 1,34 | 0,1 | 16,4 |
11 | овцы | 9202445 | 23238 | 0,79 | 0,0 | 64,1 |
12 | козы | 23723638 | 59908 | 1,04 | 0,1 | 28,6 |
13 | птица всех видов | 889988653 | 2247446 | 207,02 | 0,7 | 10,8 |
14 | лошади | 3324275 | 8395 | 0,04 | 0,0 | 38,3 |
15 | кролики | 35046817 | 88502 | 7,19 | 0,1 | 50,9 |
16 | пчелосемьи, единиц | 19063438 | 48140 | 2,54 | 0,1 | 55,7 |
к Методическим указаниям
по проведению выборочного
статистического наблюдения
за сельскохозяйственной
деятельностью личных подсобных
и других индивидуальных
хозяйств граждан
ВЫБОР ОПТИМАЛЬНОГО МЕТОДА РАСПРОСТРАНЕНИЯ ДАННЫХ ВЫБОРОЧНОГО
ОБСЛЕДОВАНИЯ ТИПИЧНЫХ ЛИЧНЫХ ПОДСОБНЫХ ХОЗЯЙСТВ
ВОРОНЕЖСКОЙ ОБЛАСТИ
N п/п | Показатель | Среднее значение показателя, полученное | Распространенное значение показателя | Относительная ошибка распространения при использовании метода | Оптимальный метод распространения |
методом прямого распространения | методом распространения по доле | методом прямого распространения | методом распространения по доле | прямого распространения | распространения по доле |
1 | Общая площадь земли, используемая хозяйством, кв. м | 4092,4 | 5286,8 | 1368782589 | 1768271856 | 0,53 | 3,4 | 1 |
| Посевные площади отдельных сельскохозяйственных культур, кв. м: | | | | | | | |
2 | Кукуруза на зерно | 15,3 | 12,7 | 5105262 | 4239475 | 5,02 | 45,0 | 1 |
3 | Подсолнечник на зерно | 1,4 | 1,6 | 453836 | 550323 | 15,41 | 90,2 | 1 |
4 | Картофель | 1473,0 | 1522,4 | 492667263 | 509192355 | 0,01 | 2,7 | 1 |
5 | Овощные и бахчевые культуры открытого грунта - всего | 366,1 | 411,9 | 122441436 | 137750983 | 0,64 | 4,4 | 1 |
6 | Овощи закрытого грунта | 0,1 | 0,1 | 43408 | 33059 | 8,51 | 84,8 | 1 |
7 | Кормовые культуры | 283,3 | 209,1 | 94752262 | 69948668 | 1,65 | 16,3 | 1 |
| Поголовье сельскохозяйственных животных, голов: | | | | | | | |
8 | крупный рогатый скот | 0,3 | 0,2 | 96243 | 56180 | 1,67 | 13,8 | 1 |
9 | из него коровы | 0,1 | 0,1 | 48562 | 28763 | 2,02 | 20,3 | 1 |
10 | свиньи | 0,6 | 0,4 | 201631 | 118136 | 1,11 | 16,4 | 1 |
11 | овцы | 0,1 | 0,1 | 39592 | 23238 | 4,88 | 64,1 | 1 |
12 | козы | 0,3 | 0,2 | 101585 | 59908 | 2,11 | 28,6 | 1 |
13 | птица всех видов | 10,9 | 6,7 | 3637121 | 2247446 | 0,72 | 10,8 | 1 |
14 | лошади | 0,0 | 0,0 | 13485 | 8395 | 3,05 | 38,3 | 1 |
15 | кролики | 0,4 | 0,3 | 141177 | 88502 | 4,12 | 50,9 | 1 |
16 | пчелосемьи, единиц | 0,2 | 0,1 | 80009 | 48140 | 4,33 | 55,7 | 1 |
к Методическим указаниям
по проведению выборочного
статистического наблюдения
за сельскохозяйственной
деятельностью личных подсобных
и других индивидуальных
хозяйств граждан
ВЫБОРОЧНАЯ СОВОКУПНОСТЬ КРУПНЫХ ЛИЧНЫХ ПОДСОБНЫХ ХОЗЯЙСТВ
(nКр) ВОРОНЕЖСКОЙ ОБЛАСТИ
NКр = 8355, nКр = 42
N п/п | | Код временного учета | Общая посевная площадь, га | Условное поголовье скота, голов | Численность работников, человек |
1 | 20245804001 | 202457106372 | 7200 | 7,40 | 3 |
2 | 20247816002 | 202477101954 | 8405 | 8,30 | 3 |
3 | 20202816001 | 202027108627 | 13800 | 4,80 | 0 |
4. | 20202832001 | 202027108677 | 13700 | 4,98 | 0 |
5 | 20202836003 | 202027109019 | 13500 | 5,08 | 0 |
6 | 20202840004 | 202027107633 | 13700 | 4,90 | 0 |
7 | 20202848001 | 202027114559 | 13600 | 4,90 | 0 |
8 | 20202848001 | 202027107394 | 13500 | 4,50 | 0 |
9 | 20202848001 | 202027110412 | 13600 | 4,58 | 0 |
10 | 20202848001 | 202027112159 | 13800 | 5,40 | 0 |
11 | 20202888001 | 202027104053 | 13600 | 5,02 | 0 |
12 | 20210828001 | 202107109659 | 13600 | 4,46 | 0 |
13 | 20210828001 | 202107105631 | 13500 | 4,90 | 0 |
14 | 20211814001 | 202117100662 | 13900 | 5,30 | 0 |
15 | 20213844001 | 202137101549 | 13520 | 4,74 | 0 |
16 | 20217810002 | 202177105655 | 13600 | 4,68 | 0 |
17 | 20217810003 | 202177104216 | 13540 | 4,40 | 0 |
18 | 20217835001 | 202177101527 | 13730 | 4,60 | 0 |
19 | 20219836001 | 202197102791 | 13500 | 5,14 | 0 |
20 | 20219836001 | 202197108965 | 13500 | 5,46 | 0 |
21 | 20227848001 | 202277106372 | 13500 | 4,90 | 0 |
22 | 20229828003 | 202297106617 | 13800 | 5,54 | 0 |
23 | 20231870001 | 202317101361 | 13600 | 4,52 | 0 |
24 | 20235828002 | 202357102337 | 13500 | 5,34 | 0 |
25 | 20235844001 | 202357104548 | 13500 | 5,58 | 0 |
26 | 20235852001 | 202357107127 | 13600 | 5,50 | 0 |
27 | 20237824005 | 202377109806 | 13600 | 4,50 | 0 |
28 | 20243848001 | 202437107361 | 13700 | 5,60 | 0 |
29 | 20249840001 | 202497103858 | 13500 | 4,36 | 0 |
30 | 20249840003 | 202497112133 | 13910 | 4,98 | 0 |
31 | 20249840003 | 202497112158 | 13570 | 5,20 | 0 |
32 | 20249856001 | 202497105010 | 13500 | 5,88 | 0 |
33 | 20249884003 | 202497109333 | 13500 | 4,84 | 0 |
34 | 20249884003 | 202497116406 | 13746 | 4,64 | 0 |
35 | 20249884003 | 202497107859 | 13500 | 5,42 | 0 |
36 | 20249884003 | 202497100117 | 13801 | 5,42 | 0 |
37 | 20249884003 | 202497101340 | 13650 | 4,52 | 0 |
38 | 20254856001 | 202547109787 | 13690 | 5,40 | 0 |
39 | 20254856003 | 202547100581 | 13800 | 5,36 | 0 |
40 | 20258816001 | 202587204151 | 13600 | 5,80 | 0 |
41 | 20258816001 | 202587207739 | 13900 | 5,20 | 0 |
42 | 20258824005 | 202587101479 | 13578 | 4,60 | 0 |
к Методическим указаниям
по проведению выборочного
статистического наблюдения
за сельскохозяйственной
деятельностью личных подсобных
и других индивидуальных
хозяйств граждан
РАСПРОСТРАНЕНИЕ НА ГЕНЕРАЛЬНУЮ СОВОКУПНОСТЬ
И РАСЧЕТ СТАНДАРТНЫХ ОШИБОК ПОКАЗАТЕЛЕЙ РАСТЕНИЕВОДСТВА
И ЖИВОТНОВОДСТВА КРУПНЫХ ЛИЧНЫХ ПОДСОБНЫХ ХОЗЯЙСТВ
ВОРОНЕЖСКОЙ ОБЛАСТИ
(МЕТОД ПРЯМОГО РАСПРОСТРАНЕНИЯ)
NКр = 8355, nКр = 42
N п/п | Показатель | Суммарное значение показателя в выборке | Распространенное на генеральную совокупность значение показателя | Дисперсия | Стандартная ошибка суммарного значения | Относительная ошибка, % |
1 | Общая площадь земли, используемая хозяйством, кв. м | 621400,0 | 123684470 | 78667544,5 | 1365,1 | 9,2 |
| Посевные площади отдельных сельскохозяйственных культур, кв. м: | | | | | |
2 | Кукуруза на зерно | 1913,0 | 385867 | 21025,1 | 22,3 | 48,3 |
3 | Подсолнечник на зерно | 14000,0 | 2781100 | 2496324,1 | 243,2 | 73,1 |
4 | Картофель | 103021,0 | 20494372 | 4119908,0 | 312,4 | 12,7 |
5 | Овощные и бахчевые культуры открытого грунта - всего | 31868,0 | 6336457 | 2972691,1 | 265,4 | 35,0 |
6 | Овощи закрытого грунта | 10,0 | 1987 | 2,3 | 0,2 | 99,1 |
7 | Кормовые культуры | 209528,0 | 41643797 | 31687370,8 | 866,4 | 17,4 |
| Поголовье сельскохозяйственных животных, голов: | | | | | |
8 | крупный рогатый скот | 124,0 | 24691 | 3,8 | 0,3 | 10,1 |
9 | из него коровы | 41,0 | 8162 | 0,6 | 0,1 | 12,7 |
10 | свиньи | 147,0 | 29260 | 11,6 | 0,5 | 15,0 |
11 | овцы | 19,0 | 3804 | 1,8 | 0,2 | 45,9 |
12 | козы | 5,0 | 993 | 0,4 | 0,1 | 81,4 |
13 | птица всех видов | 1743,0 | 346580 | 1257,2 | 5,5 | 13,2 |
14 | лошади | 9,0 | 1794 | 0,2 | 0,1 | 30,2 |
15 | кролики | 53,0 | 10546 | 17,1 | 0,6 | 50,5 |
16 | пчелосемьи, единиц | 61,0 | 12118 | 25,8 | 0,8 | 53,9 |
к Методическим указаниям
по проведению выборочного
статистического наблюдения
за сельскохозяйственной
деятельностью личных подсобных
и других индивидуальных
хозяйств граждан
РАСПРОСТРАНЕНИЕ НА ГЕНЕРАЛЬНУЮ СОВОКУПНОСТЬ
И РАСЧЕТ СТАНДАРТНЫХ ОШИБОК ПОКАЗАТЕЛЕЙ РАСТЕНИЕВОДСТВА
И ЖИВОТНОВОДСТВА КРУПНЫХ ЛИЧНЫХ ПОДСОБНЫХ ХОЗЯЙСТВ
ВОРОНЕЖСКОЙ ОБЛАСТИ
(РАСПРОСТРАНЕНИЕ ПО ДОЛЕ)
NКр = 8355, nКр = 42
N п/п | Показатель | Сумма оцененных значений показателя, по отобранным хозяйствам | Распространенное на генеральную совокупность среднее значение показателя | Дисперсия | Стандартная ошибка суммарного значения | Относительная ошибка, % |
1 | Общая площадь земли, используемая хозяйством, кв. м | 4211979593 | 100285228 | 16981699,8 | 634,3 | 5,3 |
| Посевные площади отдельных сельскохозяйственных культур, кв. м: | | | | | |
2 | Кукуруза на зерно | 18182470 | 432916 | 31214,0 | 27,2 | 52,5 |
3 | Подсолнечник на зерно | 91516035 | 2178953 | 2465579,1 | 241,7 | 92,7 |
4 | Картофель | 693527327 | 16512555 | 2309660,8 | 233,9 | 11,8 |
5 | Овощные и бахчевые культуры открытого грунта - всего | 211527759 | 5036375 | 2798314,4 | 257,5 | 42,7 |
6 | Овощи закрытого грунта | 64984 | 1547 | 2,3 | 0,2 | 126,8 |
7 | Кормовые культуры | 1376344424 | 32770105 | 24340943,6 | 759,4 | 19,4 |
| Поголовье сельскохозяйственных животных, голов: | | | | | |
8 | крупный рогатый скот | 1048308 | 24960 | 1,2 | 0,2 | 5,7 |
9 | из него коровы | 346236 | 8244 | 0,4 | 0,1 | 9,3 |
10 | свиньи | 1247490 | 29702 | 7,8 | 0,4 | 12,1 |
11 | овцы | 148032 | 3525 | 0,0 | 0,0 | 2,4 |
12 | козы | 42923 | 1022 | 0,4 | 0,1 | 78,6 |
13 | птица всех видов | 15005427 | 357272 | 664,5 | 4,0 | 9,3 |
14 | лошади | 73786 | 1757 | 0,2 | 0,1 | 30,0 |
15 | кролики | 439658 | 10468 | 16,6 | 0,6 | 50,1 |
16 | пчелосемьи, единиц | 533162 | 12694 | 25,2 | 0,8 | 50,8 |
к Методическим указаниям
по проведению выборочного
статистического наблюдения
за сельскохозяйственной
деятельностью личных подсобных
и других индивидуальных
хозяйств граждан
ВЫБОР ОПТИМАЛЬНОГО МЕТОДА РАСПРОСТРАНЕНИЯ ДАННЫХ
ВЫБОРОЧНОГО ОБСЛЕДОВАНИЯ КРУПНЫХ ЛИЧНЫХ ПОДСОБНЫХ ХОЗЯЙСТВ
ВОРОНЕЖСКОЙ ОБЛАСТИ
N п/п | Показатель | Среднее значение показателя, полученное | Распространенное значение показателя | Относительная ошибка распространения при использовании метода | Оптимальный метод распространения |
методом прямого распространения | методом распространения по доле | методом прямого распространения | методом распространения по доле | прямого распространения | распространения по доле |
1 | Общая площадь земли, используемая хозяйством, кв. м | 14803,6 | 12003,0 | 123684470 | 100285228 | 9,2 | 5,3 | 2 |
| Посевные площади отдельных сельскохозяйственных культур, кв. м: | | | | | | | |
2 | Кукуруза на зерно | 46,2 | 51,8 | 385867 | 432916 | 48,3 | 52,5 | 1 |
3 | Подсолнечник на зерно | 332,9 | 260,8 | 2781100 | 2178953 | 73,1 | 92,7 | 1 |
4 | Картофель | 2452,9 | 1976,4 | 20494372 | 16512555 | 12,7 | 11,8 | 2 |
5 | Овощные и бахчевые культуры открытого грунта - всего | 758,4 | 602,8 | 6336457 | 5036375 | 35,0 | 42,7 | 1 |
6 | Овощи закрытого грунта | 0,2 | 0,2 | 1987 | 1547 | 99,1 | 126,8 | 1 |
7 | Кормовые культуры | 4984,3 | 3922,2 | 41643797 | 32770105 | 17,4 | 19,4 | 1 |
| Поголовье сельскохозяйственных животных, голов: | | | | | | | |
8 | крупный рогатый скот | 3,0 | 3,0 | 24691 | 24960 | 10,1 | 5,7 | 2 |
9 | из него коровы | 1,0 | 1,0 | 8162 | 8244 | 12,7 | 9,3 | 2 |
10 | свиньи | 3,5 | 3,6 | 29260 | 29702 | 15,0 | 12,1 | 2 |
11 | овцы | 0,5 | 0,4 | 3804 | 3525 | 45,9 | 2,4 | 2 |
12 | козы | 0,1 | 0,1 | 993 | 1022 | 81,4 | 78,6 | 2 |
13 | птица всех видов | 41,5 | 42,8 | 346580 | 357272 | 13,2 | 9,3 | 2 |
14 | лошади | 0,2 | 0,2 | 1794 | 1757 | 30,2 | 30,0 | 2 |
15 | кролики | 1,3 | 1,3 | 10546 | 10468 | 50,5 | 50,1 | 2 |
16 | пчелосемьи, единиц | 1,5 | 1,5 | 12118 | 12694 | 53,9 | 50,8 | 2 |
к Методическим указаниям
по проведению выборочного
статистического наблюдения
за сельскохозяйственной
деятельностью личных подсобных
и других индивидуальных
хозяйств граждан
ОСОБО КРУПНЫХ ЛИЧНЫХ ПОДСОБНЫХ ХОЗЯЙСТВ ВОРОНЕЖСКОЙ ОБЛАСТИ
(ГРУППА NОKp1; ПОКАЗАТЕЛЬ "ЧИСЛЕННОСТЬ ПРИВЛЕЧЕННЫХ НАЕМНЫХ
РАБОТНИКОВ" > 0)
NОКр1 = 16, nОКр1 = 16 (обследуются на сплошной основе)
N п/п | | Код временного учета | Общая посевная площадь, га | Условное поголовье скота, голов | Численность работников, человек |
1 | 20205804001 | 202057108918 | 100000 | 0 | 2 |
2 | 20220832001 | 202207110125 | 164500 | 4,5 | 2 |
3 | 20221860002 | 202217108080 | 900 | 38,74 | 3 |
4 | 20223836001 | 202237105652 | 95600 | 1,14 | 1 |
5 | 20223852009 | 202237100200 | 4770 | 66,4 | 4 |
6 | 20227824001 | 202277100822 | 374 | 57,04 | 7 |
7 | 20235828005 | 202357105284 | 2900 | 51,98 | 3 |
8 | 20243832001 | 202437101570 | 68978 | 0,2 | 1 |
9 | 20243832001 | 202437101571 | 123000 | 0 | 1 |
10 | 20243832001 | 202437105433 | 121600 | 0,36 | 2 |
11 | 20243832001 | 202437309143 | 68946 | 0,24 | 2 |
12 | 20247824001 | 202477105618 | 74200 | 19,6 | 5 |
13 | 20247836004 | 202477110324 | 826800 | 6 | 3 |
14 | 20256816002 | 202567112896 | 800 | 57,2 | 4 |
15 | 20401904001 | 204017101278 | 0 | 50 | 3 |
16 | 20401909002 | 204017108487 | 4000 | 50 | 4 |
к Методическим указаниям
по проведению выборочного
статистического наблюдения
за сельскохозяйственной
деятельностью личных подсобных
и других индивидуальных
хозяйств граждан
ВЫБОРОЧНАЯ СОВОКУПНОСТЬ ОСОБО КРУПНЫХ ЛИЧНЫХ ПОДСОБНЫХ
ХОЗЯЙСТВ (nОКр) ВОРОНЕЖСКОЙ ОБЛАСТИ
NОКр = 155, nОКр = 78
N п/п | | Код временного учета | Общая посевная площадь, га | Условное поголовье скота, голов | Численность работников, человек |
1 | 20205804001 | 202057108918 | 100000 | 0 | 2 |
2 | 20220832001 | 202207110125 | 164500 | 4,5 | 2 |
3 | 20221860002 | 202217108080 | 900 | 38,74 | 3 |
4 | 20223836001 | 202237105652 | 95600 | 1,14 | 1 |
5 | 20223852009 | 202237100200 | 4770 | 66,4 | 4 |
6 | 20227824001 | 202277100822 | 374 | 57,04 | 7 |
7 | 20235828005 | 202357105284 | 2900 | 51,98 | 3 |
8 | 20243832001 | 202437101570 | 68978 | 0,2 | 1 |
9 | 20243832001 | 202437101571 | 123000 | 0 | 1 |
10 | 20243832001 | 202437105433 | 121600 | 0,36 | 2 |
11 | 20243832001 | 202437309143 | 68946 | 0,24 | 2 |
12 | 20247824001 | 202477105618 | 74200 | 19,6 | 5 |
13 | 20247836004 | 202477110324 | 826800 | 6 | 3 |
14 | 20256816002 | 202567112896 | 800 | 57,2 | 4 |
15 | 20401904001 | 204017101278 | 0 | 50 | 3 |
16 | 20401909002 | 204017108487 | 4000 | 50 | 4 |
17 | 20204816001 | 202047111669 | 92109 | 6,2 | 0 |
18 | 20204856001 | 202047116480 | 87500 | 0 | 0 |
19 | 20205804001 | 202057106909 | 100000 | 0 | 0 |
20 | 20205828002 | 202057100339 | 81300 | 2,22 | 0 |
21 | 20217815001 | 202177101189 | 116805 | 12,96 | 0 |
22 | 20217815001 | 202177103084 | 110950 | 4,3 | 0 |
23 | 20217830004 | 202177100418 | 73000 | 0 | 0 |
24 | 20217830004 | 202177102491 | 73000 | 0 | 0 |
25 | 20217835001 | 202177102840 | 70000 | 0 | 0 |
26 | 20217835001 | 202177102843 | 89504 | 5,44 | 0 |
27 | 20217835001 | 202177101793 | 81500 | 0 | 0 |
28 | 20217835001 | 202177101796 | 80000 | 0 | 0 |
29 | 20217835001 | 202177101799 | 73800 | 5 | 0 |
30 | 20217835001 | 202177101800 | 70000 | 0 | 0 |
31 | 20217835001 | 202177101804 | 82500 | 10,18 | 0 |
32 | 20217835001 | 202177102853 | 77600 | 5,28 | 0 |
33 | 20217835001 | 202177100654 | 81700 | 2,18 | 0 |
34 | 20217835001 | 202177102844 | 84670 | 7,1 | 0 |
35 | 20217850001 | 202177104578 | 83300 | 0 | 0 |
36 | 20220805001 | 202207108654 | 84800 | 3,68 | 0 |
37 | 20220805001 | 202207106275 | 87558 | 3,54 | 0 |
38 | 20220805001 | 202207104192 | 89200 | 2,6 | 0 |
39 | 20220805001 | 202207102686 | 95100 | 0,76 | 0 |
40 | 20220805003 | 202207107641 | 85143 | 0,22 | 0 |
41 | 20220807001 | 202207105390 | 65740 | 3,2 | 0 |
42 | 20220822001 | 202207113275 | 116000 | 5,6 | 0 |
43 | 20220822001 | 202207106393 | 94744 | 3,52 | 0 |
44 | 20220822001 | 202207110310 | 109200 | 10,2 | 0 |
45 | 20220822001 | 202207107496 | 116200 | 5,2 | 0 |
46 | 20220830005 | 202207105441 | 119913 | 8,1 | 0 |
47 | 20220832001 | 202207104084 | 109700 | 2,6 | 0 |
48 | 20225888002 | 202257116609 | 112900 | 9,54 | 0 |
49 | 20225888002 | 202257100880 | 111930 | 6,08 | 0 |
50 | 20227832001 | 202277100589 | 81216 | 3,54 | 0 |
51 | 20227832001 | 202277104229 | 80453 | 0 | 0 |
52 | 20227832001 | 202277104650 | 71175 | 3,42 | 0 |
53 | 20227832001 | 202277105882 | 68040 | 13 | 0 |
54 | 20227832001 | 202277106155 | 67889 | 1,92 | 0 |
55 | 20227832001 | 202277109263 | 70984 | 5,18 | 0 |
56 | 20227832001 | 202277110139 | 90658 | 4,42 | 0 |
57 | 20235848002 | 202357105118 | -63100 | 1,3 | 0 |
58 | 20235848002 | 202357105136 | 63000 | 1,3 | 0 |
59 | 20235848002 | 202357107117 | 90100 | 1,84 | 0 |
60 | 20235848002 | 202357101505 | 63000 | 3,74 | 0 |
61 | 20237824002 | 202377111104 | 96600 | 0 | 0 |
62 | 20243812001 | 202437104343 | 104700 | 0 | 0 |
63 | 20204816001 | 202047111669 | 92109 | 6,2 | 0 |
64 | 20204856001 | 202047116480 | 87500 | 0 | 0 |
65 | 20205804001 | 202057106909 | 100000 | 0 | 0 |
66 | 20205828002 | 202057100339 | 81300 | 2,22 | 0 |
67 | 20217815001 | 202177101189 | 116805 | 12,96 | 0 |
68 | 20217815001 | 202177103084 | 110950 | 4,3 | 0 |
69 | 20217830004 | 202177100418 | 73000 | 0 | 0 |
70 | 20217830004 | 202177102491 | 73000 | 0 | 0 |
71 | 20217835001 | 202177102840 | 70000 | 0 | 0 |
72 | 20217835001 | 202177102843 | 89504 | 5,44 | 0 |
73 | 20217835001 | 202177101793 | 81500 | 0 | 0 |
74 | 20217835001 | 202177101796 | 80000 | 0 | 0 |
75 | 20217835001 | 202177101799 | 73800 | 5 | 0 |
76 | 20217835001 | 202177101800 | 70000 | 0 | 0 |
77 | 20217835001 | 202177101804 | 82500 | 10,18 | 0 |
78 | 20217835001 | 202177102853 | 77600 | 5,28 | 0 |
к Методическим указаниям
по проведению выборочного
статистического наблюдения
за сельскохозяйственной
деятельностью личных подсобных
и других индивидуальных
хозяйств граждан
РАСПРОСТРАНЕНИЕ НА ГЕНЕРАЛЬНУЮ СОВОКУПНОСТЬ
И РАСЧЕТ СТАНДАРТНЫХ ОШИБОК РАСПРОСТРАНЕНИЯ ПОКАЗАТЕЛЕЙ
РАСТЕНИЕВОДСТВА И ЖИВОТНОВОДСТВА ОСОБО КРУПНЫХ ЛИЧНЫХ
ПОДСОБНЫХ ХОЗЯЙСТВ ВОРОНЕЖСКОЙ ОБЛАСТИ
NОКр = 155, nОКр = 78
N п/п | Показатель | Суммарное значение показателя в выборке | Распространенное на генеральную совокупность значение показателя | Дисперсия | Стандартная ошибка суммарного значения | Относительная ошибка, % |
1 | Общая площадь земли, используемая хозяйством, кв. м | 9831100 | 16860951,6 | 452054350,7 | 1696,8 | 1,6 |
| Посевные площади отдельных сельскохозяйственных культур, кв. м: | | | | | |
2 | Кукуруза на зерно | 1560 | 3497,4 | 28389,08189 | 13,4 | 59,6 |
3 | Подсолнечник на зерно | 1838470 | 2962670,0 | 607239743,6 | 1966,6 | 10,3 |
4 | Картофель | 605396 | 1188387,8 | 266847692,4 | 1303,7 | 17,0 |
5 | Овощные и бахчевые культуры открытого грунта - всего | 209451 | 449674,9 | 159545496,3 | 1008,0 | 34,7 |
6 | Овощи закрытого грунта | 0 | 0,0 | 0 | 0,0 | 0,0 |
7 | Кормовые культуры | 998678 | 2117882,9 | 591289058,5 | 1940,6 | 14,2 |
| Поголовье сельскохозяйственных животных, голов: | | | | | |
8 | крупный рогатый скот | 312 | 439,9 | 2,793424318 | 0,1 | 4,7 |
9 | из него коровы | 136 | 186,9 | 0,48573201 | 0,1 | 4,6 |
10 | свиньи | 512 | 754,2 | 20,867866 | 0,4 | 7,5 |
11 | овцы | 326 | 354,6 | 1,775227461 | 0,1 | 4,6 |
12 | козы | 5 | 11,2 | 0,161497105 | 0,0 | 44,3 |
13 | птица всех видов | 4324 | 5974,5 | 742,785153 | 2,2 | 5,6 |
14 | лошади | 12 | 15,7 | 0,036600496 | 0,0 | 15,0 |
15 | кролики | 69 | 154,7 | 19,00268817 | 0,3 | 34,9 |
16 | пчелосемьи, единиц | 92 | 200,0 | 23,62717122 | 0,4 | 30,1 |
к Методическим указаниям
по проведению выборочного
статистического наблюдения
за сельскохозяйственной
деятельностью личных подсобных
и других индивидуальных
хозяйств граждан
ИТОГИ РАСПРОСТРАНЕНИЯ ДАННЫХ ВЫБОРОЧНОГО НАБЛЮДЕНИЯ
ЛИЧНЫХ ПОДСОБНЫХ ХОЗЯЙСТВ ВОРОНЕЖСКОЙ ОБЛАСТИ
| | Количество ЛПХ в генеральной совокупности, единиц | Количество ЛПХ в выборочной совокупности, единиц | Общая площадь земли, используемая хозяйством, га | Посевные площади отдельных сельскохозяйственных культур, кв. м: |
Кукуруза на зерно | Подсолнечник на зерно | Картофель | Овощные и бахчевые культуры открытого грунта - всего | Овощи закрытого грунта | Кормовые культуры |
1 | Основной массив - типичные ЛПХ | 334467 | 394 | | | | | | | |
Номер метода распространения | | | I | I | I | I | I | I | I |
Оптимальное распространенное значение | | | 136878,3 | 5105262 | 453836 | 492667263 | 122441436 | 43408 | 94752262 |
2 | Крупные ЛПХ | 8355 | 42 | | | | | | | |
Номер метода распространения | | | II | I | I | II | I | I | I |
Оптимальное распространенное значение | | | 10028,5 | 385867 | 2781100 | 16512555 | 6336457 | 1987 | 41643797 |
3 | Особо крупные ЛПХ | 155 | 78 | | | | | | | |
Распространенное значение | | | 1686,1 | 3497 | 2962670 | 1188388 | 449675 | | 2117883 |
4 | ИТОГО ПО СУБЪЕКТУ РФ | 342977 | 514 | | | | | | | |
Распространенное суммарное значение | | | 148592,9 | 5494626 | 6197606 | 510368206 | 129227568 | 45395 | 138513942 |
Среднее значение на 1 хозяйство | | | 0,43 | 16,0 | 18,1 | 1488,1 | 376,8 | 0,13 | 403,9 |
Относительная стандартная ошибка выборки, % | | | 0,9 | 8,1 | 38,8 | 0,4 | 2,4 | 11,0 | 6,6 |
| | Количество ЛПХ в генеральной совокупности, единиц | Количество ЛПХ в выборочной совокупности, единиц | Поголовье сельскохозяйственных животных, голов: |
крупный рогатый скот | из него коровы | свиньи | овцы | козы | птица всех видов | лошади | кролики | пчелосемьи, единиц |
1 | Основной массив - типичные ЛПХ | 334467 | 394 | | | | | | | | | |
Номер метода распространения | | | I | I | I | I | I | I | I | I | I |
Оптимальное распространенное значение | | | 96243 | 48562 | 201631 | 39592 | 101585 | 3637121 | 13485 | 141177 | 80009 |
2 | Крупные ЛПХ | 8355 | 42 | | | | | | | | | |
Номер метода распространения | | | II | II | II | II | II | II | II | II | II |
Оптимальное распространенное значение | | | 24960 | 8244 | 29702 | 3525 | 1022 | 346580 | 1794 | 10546 | 12118 |
3 | Особо крупные ЛПХ | 155 | 78 | | | | | | | | | |
Распространенное значение | | | 440 | 187 | 754 | 355 | 11 | 5975 | 16 | 155 | 200 |
4 | ИТОГО ПО СУБЪЕКТУ РФ | 342977 | 514 | | | | | | | | | |
Распространенное суммарное значение | | | 121643 | 56993 | 232087 | 43472 | 102618 | 3989676 | 15295 | 151878 | 92327 |
Среднее значение на 1 хозяйство | | | 0,35 | 0,17 | 0,68 | 0,13 | 0,3 | 11,6 | 0,04 | 0,44 | 0,27 |
Относительная стандартная ошибка выборки, % | | | 1,4 | 1,5 | 2,9 | 7,7 | 4,1 | 1,5 | 5,5 | 7,7 | 10,9 |