Главная // Актуальные документы // Методические указанияСПРАВКА
Источник публикации
Документ опубликован не был
Примечание к документу
Документ
введен в действие с 1 января 1987 года.
Название документа
"РД 52.24.268-86 (52.24.66-86). Руководящий документ. Методические указания. Система контроля точности результатов измерений показателей загрязненности контролируемой среды"
(утв. Госкомгидрометом СССР)
"РД 52.24.268-86 (52.24.66-86). Руководящий документ. Методические указания. Система контроля точности результатов измерений показателей загрязненности контролируемой среды"
(утв. Госкомгидрометом СССР)
заместителем председателя
Госкомгидромета
В.Г.СОКОЛОВСКИМ
РУКОВОДЯЩИЙ ДОКУМЕНТ
МЕТОДИЧЕСКИЕ УКАЗАНИЯ
СИСТЕМА КОНТРОЛЯ ТОЧНОСТИ РЕЗУЛЬТАТОВ ИЗМЕРЕНИЙ
ПОКАЗАТЕЛЕЙ ЗАГРЯЗНЕННОСТИ КОНТРОЛИРУЕМОЙ СРЕДЫ
РД 52.24.268-86
(52.24.66-86)
Группа Т58
Срок введения установлен
с 1 января 1987 года
Разработан Государственным комитетом СССР по гидрометеорологии и контролю природной среды (ГХИ, ИЭМ, ГОИН, ГГО), Министерством высшего и среднего специального образования РСФСР (НПИ), Государственным комитетом СССР по стандартам (СФ ВНИИМ).
Исполнители: канд. хим. наук Ю.С. Бессонов, канд. хим. наук А.А. Назарова (руководители темы), канд. хим. наук Э.И. Бабкина, д-р физ.-мат. наук М.Е. Берлянд, Т.А. Веселкова, канд. техн. наук Н.Ш. Вольберг, д-р геол.-мин. наук А.И. Гавришин, канд. хим. наук Т.О. Гончарова, Ю.С. Дыхалин, А.Ф. Ковалев, О.Б. Короткина, д-р хим. наук С.Г. Орадовский, канд. физ.-мат. наук А.И. Полищук, канд. хим. наук А.К. Прокофьев, Т.С. Трофимова, канд. хим. наук Е.А. Шайкова.
Утвержден заместителем председателя Госкомгидромета В.Г. Соколовским.
Введен впервые.
Настоящие методические указания устанавливают порядок проведения и содержание работ по внутреннему и внешнему контролю точности результатов измерений содержания загрязняющих веществ в поверхностных и океанических водах, атмосферном воздухе и почве.
Методические указания обязательны для использования всеми сетевыми лабораториями контроля загрязнения атмосферного воздуха, поверхностных и океанических вод и почв Госкомгидромета, лабораториями, ответственными за качество измерений в закрепленных подотраслях Госкомгидромета, а также подразделениями ведомств иной метрологической службы.
Порядок внедрения настоящих методических указаний предусмотрен справочным
Приложением 6.
1.1. Система контроля точности предназначена для обеспечения требуемой точности в процессе текущих измерений.
1.2. Система контроля точности результатов измерений представляет собой совокупность средств контроля, исполнителей и объектов контроля, взаимодействующих по правилам, установленным настоящими методическими указаниями.
1.2.1. Средствами контроля могут являться стандартные образцы, удовлетворяющие требованиям
ГОСТ 8.315-78, либо аттестованные смеси (в том числе растворы), удовлетворяющие требованиям
МИ 858-85, а также рабочие пробы (при контроле случайной составляющей погрешности).
Примечание. При контроле точности результатов измерений содержания загрязняющих веществ в атмосферном воздухе должны использоваться аттестованные растворы. При этом осуществляется контроль точности результатов измерений без учета погрешности отбора проб. Контроль погрешности измерений, вносимой на стадии отбора проб, осуществляют путем поверки используемых пробоотборников.
1.2.2. Объектами контроля являются результаты измерений, получаемые по метрологически аттестованным или стандартизованным методикам выполнения измерений (МВИ), используемым при контроле загрязнения поверхностных и океанических вод, атмосферного воздуха и почвы.
Построение, содержание и порядок изложения документов на МВИ должны удовлетворять требованиям ГОСТ 8.504-85.
В документах на МВИ, результаты измерений по которым являются объектами контроля, в разделе "Контроль точности измерений" должны быть приведены следующие количественные характеристики погрешности измерений:
характеристика систематической составляющей погрешности

(показатель правильности измерений, выполняемых по МВИ) или

, если характеристика задана в относительной форме (C - содержание измеряемого компонента);
характеристика случайной составляющей погрешности

(показатель воспроизводимости измерений, выполняемых по МВИ),

.
Примечание. Если на стадии метрологической аттестации или стандартизации обнаружена незначимость систематической составляющей погрешности на фоне ее случайной составляющей, то в настоящих методических указаниях за показатель правильности

принимают величину

. При незначимости случайной составляющей погрешности на фоне систематической за показатель воспроизводимости

принимают величину

(согласно ГОСТ 8.207-78).
1.3. Контроль точности результатов текущих измерений осуществляется на основе проверки соответствия характеристик случайной и систематической составляющих погрешности результатов измерений средств контроля установленным нормативам.
1.4. Система контроля точности результатов текущих измерений показателей загрязненности окружающей природной среды предусматривает внутренний и внешний контроль точности.
Внутренний контроль точности - внутрилабораторная деятельность, направленная на обеспечение требуемой точности текущих измерений, основанная на применении алгоритмов контроля точности измерений и мер управляющего воздействия.
Внешний контроль точности - деятельность внешних контролирующих организаций, направленная на обеспечение требуемой точности измерений в лабораторной сети, основанная на применении алгоритмов контроля точности измерений и мер управляющего воздействия.
1.5. Решение о качестве выполненных по МВИ измерений принимают на основании контроля точности результатов измерений по количественному признаку.
1.6. Статистические методы контроля точности, используемые в настоящих методических указаниях, основаны на предположении о нормальном законе распределения случайной составляющей погрешности. Статистические гипотезы проверяют при доверительной вероятности P = 0,95.
2. ВНУТРЕННИЙ КОНТРОЛЬ ТОЧНОСТИ
2.1. Внутренний контроль точности результатов измерений должен являться обязательным для всех МВИ, имеющих количественные характеристики погрешности согласно
п. 1.2.2 и используемых в лаборатории в течение контролируемого периода.
2.2. Внутренний контроль точности организует начальник аналитической лаборатории или старший инженер-химик.
2.3. Внутренний контроль точности состоит из двух этапов - предупредительного и последующего (статистического) контроля точности.
2.4. Предупредительный контроль точности
2.4.1. Предупредительный контроль точности - составная часть внутреннего контроля точности, цель которого предотвратить выдачу результатов измерений, имеющих грубую погрешность.
2.4.2. Предупредительный контроль точности проводят для МВИ, для которых на стадии метрологической аттестации установлено следующее условие: часть систематической составляющей погрешности, не зависящая от содержания в исследуемых пробах мешающих компонентов, не превышает 1/3 значения случайной составляющей погрешности.
2.4.3. Предупредительный контроль точности включает оперативный контроль результатов измерений на наличие грубой погрешности (оперативный контроль грубой погрешности) и контроль стабильности градуировочной характеристики.
2.4.4. Оперативный контроль грубой погрешности
2.4.4.1. Оперативный контроль грубой погрешности предназначен для выявления несоответствия условий выполнения текущих измерений требованиям МВИ.
2.4.4.2. Алгоритм оперативного контроля грубой погрешности, регламентируемый методическими указаниями, предусматривает предупредительный контроль грубой суммарной погрешности, за исключением части систематической составляющей погрешности, обусловленной влиянием мешающих компонентов и процедурой их устранения.
2.4.4.3. Оперативный контроль грубой погрешности проводят только для МВИ, длительность процедуры выполнения измерений по которой не превышает 1 ч.
2.4.4.4. Оперативный контроль грубой погрешности проводят для каждого измеряемого компонента перед началом измерений состава рабочих проб.
2.4.4.5. Средством контроля является стандартный образец (СО) или аттестованная смесь (раствор), не содержащие мешающих компонентов, в которых содержание определяемого компонента находится в рабочем диапазоне МВИ (диапазоне содержания определяемого компонента, характерном для контролируемой среды данного региона и данного времени года).
Допускается в качестве средств контроля использовать предусмотренные МВИ образцы для градуировки, удовлетворяющие требованиям
п. 2.4.5.5.
Примечание. Если срок годности средства оперативного контроля грубой погрешности измерений какого-либо компонента не превышает 1 неделю, допустимо проводить неполный контроль грубой погрешности измерений этого компонента, заключающийся в проверке соответствия требованиям МВИ средства измерений и готовности оператора к работе. В этом случае выводы о наличии (или отсутствии) грубой погрешности измерений данного компонента делают на основе результата измерения любого стабильного средства контроля, удовлетворяющего требованиям
п. 2.4.4.5 выполненного тем же оператором с использованием того же средства измерений.
2.4.4.6. Оперативный контроль грубой погрешности осуществляет оператор по результатам измерений средств контроля (контрольных измерений), выполняемых аналогично измерениям рабочих проб.
2.4.4.7. Результаты каждого контрольного измерения заносят в журнал "Внутренний контроль точности" по форме табл. 1.
Таблица 1
Предупредительный контроль грубой погрешности измерений
____________________________ по ____________________________
(название компонента) (название МВИ)
Дата, время проведения контроля | Фамилия исполнителя | Содержание измеряемого компонента в СО или аттестованной смеси | Результат контрольного измерения | Норматив оперативного контроля грубой погрешности | Оценка качества измерения (уд. или неуд.) | Причины наличия грубой погрешности и принятые меры |
1 | 2 | 3 | 4 | 5 | 6 | 7 |
| | | | | | |
Примечание. Графа 7 заполняется при выявлении грубой погрешности измерений.
2.4.4.8. Результат контрольного измерения x имеет грубую погрешность, если его отклонение от содержания измеряемого компонента C в стандартном образце или аттестованной смеси превышает норматив контроля грубой погрешности измерений

:

.
2.4.4.9. Обнаружение грубой погрешности указывает на недостаточное соответствие требованиям МВИ одного или нескольких факторов: средств измерений, вспомогательного оборудования, лабораторной посуды, реактивов, используемых растворов, а также готовности оператора к выполнению текущих измерений.
2.4.4.10. При обнаружении грубой погрешности необходимо выявить и устранить причины ее появления. После устранения причины появления грубой погрешности контрольное измерение следует повторить.
2.4.4.11. При отсутствии грубой погрешности результата контрольного измерения приступают к выполнению текущих измерений.
2.4.4.12. Число результатов контрольных измерений, имеющих грубую погрешность, не должно превышать 20% для каждой МВИ и каждого оператора; результат, имеющий грубую погрешность, не должен встречаться более трех раз подряд.
Лицо, ответственное за организацию внутреннего контроля точности, раз в месяц осуществляет проверку соблюдения вышеуказанных условий.
Если число результатов контрольных измерений, имеющих грубую погрешность, превышает 20% или встречается подряд 3 раза (или более), необходимо проанализировать их причины и разработать план мероприятий по их предотвращению с указанием ответственных лиц и сроков выполнения.
Обобщенные за квартал результаты оперативного контроля грубой погрешности доводят до сведения контролирующей организации (по форме обязательного
Приложения 1).
2.4.5. Контроль стабильности градуировочной характеристики
2.4.5.1. Контроль стабильности градуировочных характеристик заключается в определении параметров градуировочного графика через установленные промежутки времени, сопоставлении их с первоначальными параметрами и установлении на этой основе возможности продолжения текущих измерений или необходимости коррекции градуировочной характеристики.
2.4.5.2. Контроль стабильности градуировочной характеристики проводят для МВИ, в которых предусмотрено установление градуировочной характеристики.
2.4.5.3. Контроль стабильности градуировочной характеристики проводят при смене основных реактивов, но не реже одного раза в квартал.
2.4.5.4. Контроль стабильности градуировочной характеристики проводит инженер-химик или по его поручению квалифицированный оператор.
2.4.5.5. Средствами контроля являются предусмотренные МВИ образцы для градуировки, т.е. стандартные образцы по
ГОСТ 8.315-78, аттестованные смеси (растворы) по
МИ 858-85 или однородные пробы материала, проанализированные по МВИ с установленными значениями показателя точности.
2.4.5.6. При контроле стабильности градуировочной характеристики проводят измерение не менее трех образцов для градуировки, содержания измеряемого компонента в которых должны охватывать весь диапазон МВИ. Полученные результаты сравнивают с соответствующими точками первоначальной градуировочной характеристики.
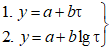
2.4.5.7. Градуировочную характеристику считают стабильной при выполнении для каждого образца одного из следующих условий (с учетом вида градуировочной характеристики):
Вид градуировочной характеристики | Условие стабильности градуировочной характеристики |
| |
| |
Здесь y - измеряемое содержание определяемого компонента, соответствующее значению выходного сигнала

;
x - результат контрольного измерения, соответствующий значению выходного сигнала

;
a, b - постоянные коэффициенты градуировочной характеристики;

- значение показателя воспроизводимости измерений, соответствующее содержанию C измеряемого компонента в образце для градуировки.
Примечание. Если условие стабильности градуировочной характеристики не выполняется только для одного образца для градуировки, необходимо выполнить повторное измерение этого образца с целью исключения результата измерения, содержащего грубую погрешность.
2.4.5.8. Если градуировочная характеристика нестабильна, делают вывод о невозможности применения измерительной установки для дальнейших измерений. В этом случае выясняют и устраняют причины нестабильности градуировочной характеристики и повторяют контроль ее стабильности с использованием других образцов для градуировки, предусмотренных МВИ. При повторном обнаружении нестабильности градуировочной характеристики строят новый градуировочный график.
2.4.5.9. Дату проведения и результаты контроля стабильности градуировочной характеристики заносят в журнал "Внутренний контроль точности".
2.4.5.10. Результаты контроля стабильности градуировочной характеристики доводят до сведения контролирующей организации, осуществляющей внешний контроль точности (по форме обязательного
Приложения 1).
2.5. Статистический контроль точности
2.5.1. Статистический контроль точности - составная часть внутреннего контроля точности, предназначенная для оценки качества всей совокупности результатов текущих измерений, выполненных в течение контролируемого периода, и принятия управляющих решений.
2.5.2. Статистический контроль точности предусматривает одновременный контроль воспроизводимости и правильности результатов текущих измерений (статистический контроль воспроизводимости и статистический контроль правильности).
2.5.3. Алгоритм статистического контроля точности, регламентируемый настоящими методическими указаниями, основан на проверке соответствия точности выполнения измерений требованиям МВИ.
2.5.4. Объектом статистического контроля точности является совокупность результатов измерений определяемого компонента, выполненных в течение контролируемого периода.
Длительность контролируемого периода зависит от числа измерений компонента, выполняемых в течение 1 мес, и определяется следующим образом:
Число измерений компонента, выполняемых в течение 1 мес ... < 100 100 - 300 301 - 500 > 500
Длительность контролируемого периода, мес ................. 6 3 2 1
При числе измерений компонента, существенно превышающем 500, допустимо увеличить контролируемый период (но не более чем до 6 мес). В этом случае число контрольных измерений следует увеличить во столько раз, во сколько раз увеличилась длительность контролируемого периода.
2.5.5. Статистический контроль точности проводят для каждого контролируемого интервала. Контролируемым интервалом является интервал содержаний определяемого компонента из рабочего диапазона измерений, в котором МВИ предусмотрено постоянство процедуры выполнения измерений.
Примечание. Различные варианты процедуры выполнения измерений могут быть обусловлены наличием или отсутствием процедуры устранения мешающих компонентов, наличием или отсутствием процедуры разбавления или концентрирования рабочей пробы и т.п.
2.5.6. Заключение о воспроизводимости (правильности) результатов измерений в контролируемом интервале делают на основании результатов статистического контроля воспроизводимости (правильности), полученных для одного из диапазонов контролируемого интервала с постоянным показателем воспроизводимости (правильности).
Примечание. При представлении функциональной зависимости показателя воспроизводимости (правильности) от концентрации в виде формулы за диапазон контролируемого интервала постоянным показателем воспроизводимости (правильности) принимают любой диапазон, для которого выполняется условие: отношение значения показателя воспроизводимости (правильности) на верхней границе диапазона к его значению на нижней границе не превышает двух. Для этого интервала за показатель воспроизводимости (правильности) принимают его максимальное значение в этом интервале.
2.5.7. Воспроизводимость (правильность) результатов текущих измерений в диапазоне контролируемого интервала с постоянным показателем воспроизводимости (правильности) оценивают по результатам измерения средств контроля, в которых содержание определяемого компонента находится в указанном диапазоне.
2.5.8. Статистический контроль воспроизводимости
2.5.8.1. При статистическом контроле воспроизводимости средством контроля является специально выбранная рабочая проба (из числа проанализированных ранее), стандартный образец или аттестованная смесь.
Число средств контроля m должно быть не менее пяти. Средства контроля отбирают по таблице случайных чисел (ГОСТ 11.003-73) или другим способом, установленным руководителем лаборатории, из числа анализируемых в течение контролируемого периода рабочих проб (при текущих измерениях), стандартных образцов и аттестованных смесей (при других видах контроля).
Примечание. При статистическом контроле воспроизводимости результата измерений содержания загрязняющих веществ в атмосферном воздухе средствами контроля являются стандартные образцы или аттестованные смеси. Проводят не менее двух измерений каждого средства контроля (l >= 2): общее число измерений должно быть не менее десяти. Контрольные измерения проводят в течение всего контролируемого периода с учетом срока хранения каждого средства контроля.
2.5.8.2. Средства контроля выдают оператору по возможности в зашифрованном виде вместе с рабочими пробами (нежелательно, чтобы оператор знал, какая проба является средством контроля).
2.5.8.3. Реальную воспроизводимость результатов измерений содержания загрязняющих веществ в воде и почве, полученных в лаборатории в течение контролируемого периода, устанавливают по результатам повторных измерений средств контроля, выполненных в течение этого периода. Время между двумя измерениями средства контроля должно быть достаточно большим, но не превышать установленного срока хранения.
2.5.8.4. Результаты любой пары повторных контрольных измерений средства контроля проверяют на наличие грубых расхождений. Результаты двух контрольных измерений

и

имеют грубое расхождение, если

. В этом случае результаты измерений данного средства контроля из дальнейших расчетов исключают и выполняют дополнительное измерение средства контроля.
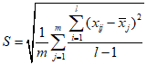
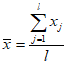
2.5.8.5. Оценку показателя воспроизводимости текущих измерений S рассчитывают по формуле:
или по формуле:

,
если показатель воспроизводимости измерений задан в относительной форме. Тогда в качестве норматива статистического контроля воспроизводимости используют

.
Результаты оценки показателя воспроизводимости заносят в журнал "Внутренний контроль точности" по форме табл. 2.
Таблица 2
Расчет оценки показателя воспроизводимости текущих измерений
_______________________________ по _____________________________
(название компонента) (название методики)
в интервале ____________________________________________________
(границы контролируемого интервала)
Номер измерения | Шифр пары проб | Дата измерения | Результаты, расчета | | | Результаты расчета |
| | | | | |
| | - | | | | | | | S = |
Примечание. Оценку показателя воспроизводимости текущих измерений загрязняющих веществ в атмосферном воздухе рассчитывают по формуле

,
где

- результат контрольного измерения:

,
и результаты заносят в журнал по форме табл. 3.
Таблица 3
Расчет оценки показателя воспроизводимости текущих измерений
_______________________________ по _______________________________
(название компонента) (название методики)
в интервале ______________________________________________________
(границы контролируемого интервала)
Номер измерения | Номер (шифр) средства контроля | Дата измерения | Результат контрольного измерения  | | | Результаты расчета |
| | | | | | |
| | | | | | . |
| | | | | | . |
| | | | | | |
| | | | | | S = |
2.5.8.6. Воспроизводимость результатов текущих измерений за контролируемый период признают удовлетворительной, если для каждого контролируемого интервала выполняется условие:

,
где

- норматив статистического контроля воспроизводимости;

- коэффициент, учитывающий ограниченность выборки (приведена в
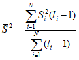
табл. 1 справочного Приложения 5) для числа степеней свободы f = m (при контроле воспроизводимости результатов измерений атмосферного воздуха f = m(l - 1)).
Результаты статического контроля воспроизводимости фиксируют в журнале "Внутренний контроль точности".
2.5.9. Статистический контроль правильности
2.5.9.1. При статистическом контроле правильности средствами контроля являются стандартные образцы или аттестованные смеси.
Если на результат измерений определяемого компонента в контролируемом интервале не оказывают влияние мешающие компоненты, то статистический контроль правильности осуществляют с помощью одного средства контроля, в котором содержание определяемого компонента находится в контролируемом интервале.
Если МВИ предусмотрена процедура устранения мешающих компонентов и все мешающие компоненты одинаково влияют на результат измерений, т.е. только завышают или только занижают их, то статистический контроль правильности осуществляют с помощью одного средства контроля, в котором содержание определяемого компонента находится в контролируемом интервале, а содержания мешающих компонентов соответствуют максимально допустимым для данной МВИ.
Если МВИ предусмотрена процедура устранения мешающих компонентов, среди которых имеются как завышающие, так и занижающие результат измерений, статистический контроль правильности осуществляют с помощью двух средств контроля, содержание определяемого компонента в которых соответствует контролируемому интервалу, а содержания мешающих компонентов соответствуют максимально допустимым: для первого средства контроля - из числа завышающих, для второго - из числа занижающих результат измерений. При этом в первом средстве контроля должно быть минимально содержание мешающих компонентов, занижающих результаты измерений, а во втором должно быть максимально содержание мешающих компонентов, завышающих результаты измерений.
2.5.9.2. Статистический контроль правильности проводят по результатам l измерений каждого средства контроля (l >= 5 для двух средств контроля; l >= 10 для одного средства контроля).
2.5.9.3. Контрольные измерения проводят равномерно в течение всего контролируемого периода.
2.5.9.4. Результат каждого контрольного измерения

проверяют на наличие грубой погрешности. Результат контрольного измерения имеет грубую погрешность, если

. В этом случае результат контрольного измерения из дальнейших расчетов исключают и выполняют еще одно измерение этого средства контроля.
2.5.9.5. Оценку показателя правильности текущих измерений рассчитывают по формуле:

, где

.
Результаты оценки показателя правильности заносят в журнал "Внутренний контроль точности" по форме табл. 4.
Таблица 4
Расчет оценки показателя правильности текущих измерений
_______________________________ по _______________________________
(название компонента) (название методики)
по средству контроля с содержанием определяемого компонента C =
Номер пробы | Дата измерения | Результат измерения  | | Результаты расчета |
| | | | |
| | | | |
2.5.9.6. Правильность результатов текущих измерений за контролируемый период признают удовлетворительной, если для каждого контролируемого интервала и каждого средства контроля выполняется условие

,
где

- норматив статистического контроля правильности;

- квантиль t-распределения Стьюдента для числа степеней свободы f = l - 1 (приведен в
табл. 2 справочного Приложения 5).
Результаты статистического контроля правильности фиксируют в журнале "Внутренний контроль точности".
Примечание. Результаты измерений при оценке показателя правильности измерений могут быть использованы для расчета оценки показателя воспроизводимости измерений (см.
п. 2.5.8.5).
2.5.10. Если воспроизводимость и правильность результатов текущих измерений во всех контролируемых интервалах из рабочего диапазона измерений признаны удовлетворительными, то точность результатов измерений всех проб, проанализированных в течение контролируемого периода, признают удовлетворительной.
В противном случае точность результатов текущих измерений за контролируемый период признают неудовлетворительной, выясняют и устраняют причины, приводящие к нарушению нормального хода измерений.
2.5.11. Результаты проведения внутреннего контроля точности за год доводят до сведения контролирующих организаций (лабораторий, ответственных за качество измерений в регионах (подотраслях) по форме обязательного
Приложения 1.
3. ВНЕШНИЙ КОНТРОЛЬ ТОЧНОСТИ
3.1. Внешний контроль точности подразделяется на пассивный и активный.
3.2. Внешний контроль точности организует и проводит внешняя контролирующая организация, а также подразделение ведомственной метрологической службы.
3.3. Пассивный контроль точности
3.3.1. Пассивный контроль точности - одна из форм внешнего контроля точности, основанная на обработке данных внутреннего контроля точности; он предназначен для оценки и сравнения качества работы сетевых лабораторий и принятия управляющих решений.
3.3.2. Оценка качества работы сетевых лабораторий предусматривает проверку организации проведения внутреннего контроля точности и оценку качества текущих измерений в каждой лаборатории сети.
3.3.2.1. Проверка организации проведения внутреннего контроля точности
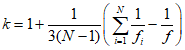
Организацию проведения внутреннего контроля точности оценивают за год для каждой лаборатории по пятибалльной системе. Оценку организации проведения внешнего контроля точности для каждой МВИ

производят исходя из пяти баллов. При этом учитывают:
а) полноту проведения внутреннего контроля точности; невыполнение контроля грубой погрешности, контроля стабильности градуировочной характеристики (если эти виды предупредительного контроля предусмотрены для данной МВИ) или статистического контроля воспроизводимости снижают оценку на 2 балла; невыполнение статистического контроля правильности снижает оценку на 3 балла;
б) выполнение требуемого числа контрольных измерений l; невыполнение этого числа измерений снижает оценку на 1 балл;
в) соблюдение контролируемого периода; несоблюдение контролируемых периодов снижает оценку на 1 балл;
г) выявление и устранение причин неудовлетворительного качества измерений (если таковое обнаружено на каком-либо из этапов проведения внутреннего контроля точности); неустранение причин неудовлетворительного качества измерений снижает оценку на 3 балла.
Организацию проведения внутреннего контроля точности в лаборатории оценивают по формуле:

,
где n' - число МВИ, имеющих количественные характеристики погрешности согласно
п. 1.4 и использованных в лаборатории за год;
n - число МВИ, подвергнутых контролю;

- оценка ориентации проведения внутреннего контроля точности по g-й проконтролированной МВИ (g = 1, ... n).
Качество организации проведения внутреннего контроля точности признают неудовлетворительным, если оценка 3 балла получена для 1/3 или более МВИ или число подвергнутых контролю МВИ составляет менее половины используемых МВИ.
Организацию проведения внутреннего контроля точности в данной лаборатории признают удовлетворительной, если она оценена не менее чем в три балла. В этом случае делают заключение о том, что результаты текущих измерений находятся в "статистически подконтрольном состоянии", т.е. в данной лаборатории поддерживается определенный уровень точности измерений.
При неудовлетворительной организации проведения внутреннего контроля точности в данной лаборатории выясняют причины и вырабатывают план ее улучшения, который может включать следующие мероприятия (управляющие воздействия):
обучение инженерно-технических работников на централизованных курсах;
стажировку операторов в высококвалифицированных лабораториях сети;
направление специалиста контролирующей организации в данную лабораторию и др.
Пример оценки организации проведения внутреннего контроля точности в одной лаборатории дан в справочном
Приложении 3.
3.3.2.2. Оценка качества текущих измерений в сетевой лаборатории
Оценку качества измерений в сетевой лаборатории за год проводят с учетом качества текущих измерений по каждой МВИ, используемой в лаборатории.
Качество текущих измерений по данной МВИ за год признают удовлетворительным, если удовлетворительны результаты статистического контроля точности (по данным формы обязательного
Приложения 1). Качество текущих измерений в данной лаборатории за год признают удовлетворительным, если удовлетворительно качество текущих измерений по всем используемым в течение года МВИ.
3.3.3. Работу сетевой лаборатории за год признают удовлетворительной при удовлетворительном качестве текущих измерений и удовлетворительной организации проведения внутреннего контроля точности. В таких лабораториях обеспечена требуемая точность текущих измерений, им присваивают высокую квалификацию.
При обнаружении неудовлетворительного качества работы сетевой лаборатории контролирующая организация разрабатывает план мероприятий по его улучшению.
3.3.4. Сравнение оценок показателя воспроизводимости измерений в лабораторной сети
Среди квалифицированных лабораторий сети (качество работы которых признано удовлетворительным) выделяют лаборатории наиболее квалифицированные и лаборатории, в которых измерительный процесс имеет тенденцию к выходу из подконтрольного состояния.
3.3.4.1. Наиболее квалифицированными признают лаборатории сети, для которых установлено, что в течение года оценки показателя воспроизводимости S не превышают

(оценка

по
п. 2.5.8.6). В таких лабораториях обеспечена высокая степень достоверности любого отдельного результата измерения, на их базе можно организовать повышение квалификации персонала тех лабораторий, в которых качество текущих измерений признано неудовлетворительным.
3.3.4.2. Измерительный процесс имеет тенденцию к выходу из подконтрольного состояния в тех лабораториях, в которых более 30% МВИ имеют оценки показателя воспроизводимости S в интервале

. Контролирующая организация проводит в данных лабораториях ряд контрольных проверок для таких МВИ. При подтверждении указанной тенденции по результатам контрольных проверок делают вывод о наличии в лаборатории некоторых факторов, влияющих на результаты текущих измерений, которые следует выявить.
3.3.4.3. Если для какой-либо МВИ измерительный процесс имеет тенденцию к выходу из подконтрольного состояния в нескольких сетевых лабораториях, контролирующая организация проводит межлабораторный эксперимент. При подтверждении указанной тенденции выясняют причины ее появления. Если указанная тенденция является объективной характеристикой измерений объекта в данный контролируемый период, то в следующий контролируемый период проверка тенденции измерительного процесса по данной МВИ к выходу из подконтрольного состояния не производится. В других случаях принимают меры либо по повышению уровня освоения данной МВИ (путем обучения инженерно-технических работников на курсах, стажировки и т.п.), либо по совершенствованию МВИ.
3.3.4.4. Если качество работы нескольких лабораторий признано неудовлетворительным вследствие неудовлетворительного качества текущих измерений по одной и той же МВИ, принимают меры, аналогичные предусмотренным
п. 3.3.4.3.
3.4. Активный контроль точности
3.4.1. Активный контроль точности - одна из форм внешнего контроля точности, предназначенная для обеспечения единства и достоверности результатов измерений в лабораторной сети, основанная на проведении контрольных проверок и межлабораторных экспериментов и обработке их результатов.
3.4.2. Проверка результатов внутреннего контроля точности на основе контрольных проверок
3.4.2.1. Под контрольной проверкой понимают совокупность мероприятий, включающих проведение в контролируемой лаборатории специального эксперимента, организованного контролирующей организацией.
3.4.2.2. Контрольные проверки проводят:
при проверке правильности корректировки градуировочной характеристики;
при неудовлетворительном качестве работы сетевой лаборатории;
при проверке тенденции измерительного процесса к выходу из подконтрольного состояния в отдельной лаборатории.
Число контрольных проверок определяет контролирующая организация в зависимости от их цели.
3.4.2.3. В зависимости от цели контрольной проверки выбирают средства контроля в соответствии с требованиями
п. 2.4.5.6,
2.5.9.1. При внешнем контроле воспроизводимости средством контроля являются стандартные образцы или аттестованные смеси, состав которых соответствует области действия МВИ.
3.4.2.4. При проведении контрольной проверки контролирующая организация посылает в контролируемую лабораторию средства контроля с сопроводительным письмом, в котором указывает цель проведения данной контрольной проверки, порядок выполнения измерений с указанием их числа. Форма представления результатов измерений в контролирующую организацию приведена в обязательном
Приложении 2.
3.4.2.6. По результатам контрольных проверок контролирующая организация делает заключение о подтверждении или неподтверждении выводов, сделанных при пассивном контроле точности, и осуществляет управляющие воздействия в отношении контролируемых лабораторий.
3.4.3. Межлабораторный эксперимент
3.4.3.1. Под межлабораторным экспериментом понимают совокупность мероприятий, включающих проведение в нескольких сетевых лабораториях специального эксперимента, организованного контролирующей организацией.
3.4.3.2. Межлабораторный эксперимент проводят:
при проверке тенденции измерительного процесса по какой-либо МВИ к выходу из подконтрольного состояния в нескольких лабораториях сети;
для оценки уровня освоения сетевыми лабораториями вновь внедряемых МВИ;
для проверки единства и достоверности измерений в лабораторной сети по какой-либо МВИ.
Примечание. Межлабораторный эксперимент может решать и другие задачи, связанные с метрологическим обеспечением отрасли.
3.4.3.3. Межлабораторный эксперимент предусматривает оценку показателей воспроизводимости и правильности результатов измерений средства контроля, полученных в нескольких лабораториях.
3.4.3.4. Средством контроля является стандартный образец или аттестованная смесь, состав которых соответствует области действия МВИ.
При оценке уровня освоения сетевыми лабораториями вновь внедряемых МВИ используют средства контроля, соответствующие требованиям
п. 2.5.9.1.
3.4.3.5. При проведении межлабораторного эксперимента контролирующая организация рассылает в контролируемые лаборатории средство контроля с сопроводительным письмом, в котором указывает цель проведения межлабораторного эксперимента, порядок выполнения измерений с указанием их числа. Форма представления результатов контрольных измерений в контролирующую организацию приведена в обязательном
Приложении 2.
3.4.3.6. Результаты контрольных измерений, полученные из контролируемых лабораторий, сводят в табл. 5.
Таблица 5
Результаты измерений ___________________________________________
(название измеряемого компонента)
по _______________________________ в _______________________________
(название методики) (название средства контроля)
Название лаборатории | Номер лаборатории | Номер измерения средства контроля в каждой лаборатории |
1 | ... | j | ... | l |
| 1 | | | . | | |
| . | | | . | | |
| . | | | . | | |
| . | | | . | | |
| i | ... | | | | ... |
| . | | | . | | |
| . | | | . | | |
| . | | | . | | |
| N | | | . | | |
Примечание. Результат каждого контрольного измерения проверяют на наличие грубой погрешности в соответствии с
п. 2.5.9.4. Результат с грубой погрешностью из дальнейших расчетов исключают. В этом случае для сохранения по всем лабораториям одинакового числа контрольных измерений допустимо исключить результат, наиболее отличающийся от среднего по лаборатории

, для каждой лаборатории (т.е. результат, для которого достигается

).
3.4.3.7. Используя данные
табл. 5, для каждой контролируемой лаборатории вычисляют среднее значение результатов контрольных измерений

, отклонение

среднего значения от действительного C и среднее квадратическое отклонение

:

;

;

, i = 1, ..., N.
где l - число измерений средства контроля в каждой лаборатории (число контрольных измерений);
N - число контролируемых лабораторий.
Полученные значения

сравнивают с нормативом статистического контроля воспроизводимости

(см.
п. 2.5.8.6, f = l - 1); значения

сравнивают с нормативом статистического контроля правильности

(см.
п. 2.5.9.6). Если

или

, то результаты измерений соответствующей лаборатории из дальнейших расчетов исключают.
Если из дальнейших расчетов исключают более 30% результатов измерений, делают вывод о недостаточном уровне освоения или о несовершенстве данной МВИ и необходимости проведения мероприятий, предусмотренных в
п. 3.3.4.3.
Если проверялась тенденция измерительного процесса к выходу из подконтрольного состояния и для 30% неисключенных результатов измерений контролируемых лабораторий

, делают заключение о подтверждении указанной тенденции и необходимости проведения мероприятий, предусмотренных в
п. 3.3.4.3.
3.4.3.8. Для оценки близости значений

применяют критерий Кохрена. Рассчитывают величину

,
где

- наибольшая дисперсия;
N - число контролируемых лабораторий.
Значение величины G сравнивают с

для соответствующих N и l (
табл. 3 справочного Приложения 5).
Если

, то в лаборатории, где

, МВИ освоена хуже, чем в остальных контролируемых лабораториях.

из дальнейших расчетов исключают, и процедуру повторяют для следующего значения

и количества контролируемых лабораторий N' = N - 1.
Если из дальнейших расчетов исключают более 30% результатов измерений, делают вывод о неодинаковой степени освоения данной МВИ и необходимости проведения мероприятий, предусмотренных в
п. 3.3.4.3.
Примечание. В том случае, когда при расчете используют разное число измерений средства контроля, выполненных в контролируемых лабораториях, для оценки близости значений

применяют критерий Бартлетта.
Рассчитывают величины:

; i = 1, 2, ..., N;

,
где

.
Здесь

- число измерений средства контроля в i-й лаборатории.
Вычисленное значение

сравнивают с

для числа степеней свободы N - 1 (
табл. 4 справочного Приложения 5).
Оценку близости значений

проводят на основе сравнения

с

аналогично сравнению G с

.
3.4.3.9. Для результатов контрольных измерений, для которых выполняется условие

, оценивают близость средних результатов измерений

по контролируемым лабораториям.
Для оценки близости значений

применяют однофакторный дисперсионный анализ. Рассчитывают величины:

;

;

;

.
Полученную величину F сравнивают с

(
табл. 5 справочного Приложения 5).
Если

, то из дальнейших расчетов исключают результаты измерений лаборатории, для которых достигается

.
Расчеты повторяют для оставшихся результатов измерений и числа лабораторий N' = N - 1.
Если из дальнейших расчетов исключили результаты, для которых достигается

, то в соответствующей лаборатории МВИ освоена лучше, чем в других, и ее опыт следует распространять.
Если для исключенных результатов достигается

, то в соответствующей лаборатории МВИ освоена хуже, чем в других, и в ней необходимо проведение мероприятий, предусмотренных в
п. 3.3.4.3.
Если из дальнейших расчетов исключают более 30% результатов измерений, делают вывод о неодинаковой степени освоения данной МВИ в контролируемых лабораториях и об отсутствии в них единства измерений по этой МВИ. В этом случае проводят мероприятия, предусмотренные в
п. 3.3.4.3.
Если

, делают вывод об одинаковом уровне освоения данной МВИ в соответствующих контролируемых лабораториях и об обеспечении в них единства измерений по этой МВИ. На базе этих лабораторий можно организовать повышение квалификации персонала тех лабораторий, в которых качество измерений признано неудовлетворительным.
Пример оценки качества измерений на основе межлабораторного эксперимента дан в справочном
Приложении 4.
3.5. Результаты внешнего контроля по оценке качества работы лаборатории сообщают ее руководителю.
3.6. Ответственность за соблюдение положений настоящего документа возлагается на ведомственные метрологические службы подотрасли, т.е. ведомственная метрологическая служба осуществляет проверку правильности внедрения в лабораторной сети системы внутреннего и внешнего контроля точности результатов измерений.
Обязательное
ФОРМА ПРЕДСТАВЛЕНИЯ В КОНТРОЛИРУЮЩУЮ ОРГАНИЗАЦИЮ
РЕЗУЛЬТАТОВ ВНУТРЕННЕГО КОНТРОЛЯ ТОЧНОСТИ ИЗМЕРЕНИЙ
за ________________________________________ __________________________
(год проведения внутреннего контроля) (название лаборатории)
___________________________________________ __________________________
(название измеряемого компонента) (название МВИ)
ПРЕДУПРЕДИТЕЛЬНЫЙ КОНТРОЛЬ ТОЧНОСТИ |
Контроль стабильности градуировочной характеристики <1> | Оперативный контроль грубой погрешности <2> |
Дата проведения контроля стабильности градуировочной характеристики | Содержание измеряемого компонента в образце для градуировки C | Результат контрольного измерения x | x - C lg x - lg C | Норматив контроля | Заключение о стабильности градуировочной характеристики | | Номер квартала | Общее число контрольных измерений | Число результатов измерений, имеющих грубую погрешность, % | |
для нижней границы | для верхней границы |
| | | | | | | | | | | |
СТАТИСТИЧЕСКИЙ КОНТРОЛЬ ТОЧНОСТИ |
Контролируемый период | Число текущих измерений за 1 контролируемый период | Статистический контроль воспроизводимости | Статистический контроль правильности | Оценка точности текущих измерений (уд., неуд.) | |
Число контрольных измерений l | Норматив контроля  | Оценка показателя воспроизводимости S | Оценка воспроизводимости текущих измерений (уд., неуд.) | Число контрольных измерений l | Норматив контроля  | Оценка показателя правильности  | Оценка правильности текущих измерений (уд., неуд.) |
| | | | | | | | | | | |
--------------------------------
<1> Заполняется для МВИ, для которых предусмотрено установление градуировочной характеристики.
<2> Заполняется для МВИ, длительность процедуры выполнения измерений по которой не превышает 1 ч.
<3> При нестабильности градуировочной характеристики указывают ее причины и принятые меры (с указанием, изменена или не изменена градуировочная характеристика).
<4> При обнаружении грубой погрешности измерений указать ее причины и принятые меры.
<5> При неудовлетворительной точности результатов измерений указать ее причины и принятые меры.
Обязательное
ФОРМА ПРЕДСТАВЛЕНИЯ В КОНТРОЛИРУЮЩУЮ ОРГАНИЗАЦИЮ
РЕЗУЛЬТАТОВ ИЗМЕРЕНИЙ СОСТАВА СРЕДСТВА КОНТРОЛЯ <*>
--------------------------------
<*> Если контрольной проверкой предусмотрено измерение состава нескольких средств контроля с разным содержанием определяемого компонента, данную форму заполняют для каждого средства контроля.
___________________________________ -
(название лаборатории)
_______________________________________________________________________
(наименование определяемого компонента, шифр пробы)
___________________________________
(наименование методики)
Шифр измерения | Дата измерения | Результат измерения |
1 | | |
. | | |
. | | |
. | | |
j | | |
. | | |
. | | |
. | | |
l | | |
Начальник лаборатории __________________________
Справочное
ПРИМЕР ОЦЕНКИ ОРГАНИЗАЦИИ ПРОВЕДЕНИЯ ВНУТРЕННЕГО
КОНТРОЛЯ ТОЧНОСТИ В ОДНОЙ ЛАБОРАТОРИИ
В одной лаборатории в течение года было использовано 10 МВИ (n' = 10), из них подвергнуто контролю - 8 МВИ (n = 8).
Организация проведения внутреннего контроля точности четырех из подвергнутых контролю МВИ оценена в 5 баллов.
Двум МВИ даны оценки по 4 балла: с одной МВИ снят 1 балл за невыполнение требуемого числа контрольных измерений (
п. 3.3.2.1, б Методических указаний); по другой МВИ 1 балл снят за несоблюдение контролируемых периодов
(п. 3.3.2.1, в).
Двум МВИ даны оценки по 3 балла: по 2 балла снято по одной МВИ за невыполнение контроля грубой погрешности, по другой МВИ - за невыполнение контроля стабильности градуировочной характеристики, хотя эти виды предупредительного контроля предусмотрены для соответствующих МВИ.
Таким образом, рассчитанная по формуле
п. 3.3.2.1 оценка организации проведения внутреннего контроля точности в одной лаборатории за год составляет:

.
На основании этой оценки качество организации и проведения внутреннего контроля точности в данной лаборатории удовлетворительное, а результаты текущих измерений находятся в "статистически подконтрольном состоянии".
Справочное
ПРИМЕР ОЦЕНКИ КАЧЕСТВА ИЗМЕРЕНИЙ НА ОСНОВЕ
МЕЖЛАБОРАТОРНОГО ЭКСПЕРИМЕНТА
Межлабораторный эксперимент проводился для проверки единства и достоверности измерений в лабораторной сети по методике определения содержания фенолов в пробах почв спектрофотометрическим методом.
Стандартный образец фенола с содержанием основного компонента C = 100 мкг/мл рассылали в 5 лабораторий (N = 5), в каждой из которых было выполнено по 15 измерений (l = 15).
Результаты измерений стандартного образца, а также вычисленные по формулам
п. 3.4.3.7 Методических указаний по каждой лаборатории значения величин

,

и

приведены в таблице.
Таблица
Результаты измерений содержания фенола по методике
определения фенолов в пробах почв спектрофотометрическим
методом в стандартном образце фенола с содержанием
основного компонента 100 мкг/мл
Номер лаборатории | Номер измерения | | | |
1 | 2 | 3 | 4 | 5 | 6 | 7 | 8 | 9 | 10 | 11 | 12 | 13 | 14 | 15 |
1 | 96,50 | 95,00 | 99,00 | 96,00 | 100,00 | 97,50 | 96,50 | 95,50 | 98,50 | 98,50 | 96,00 | 96,50 | 97,50 | 95,50 | 96,50 | 97,00 | 1,452 | 3,00 |
2 | 102,39 | 99,56 | 99,06 | 99,90 | 98,23 | 103,56 | 101,56 | 99,73 | 101,23 | 99,06 | 100,06 | 98,23 | 101,89 | 98,06 | 99,56 | 100,12 | 1,593 | 0,12 |
3 | 98,75 | 100,00 | 99,25 | 98,25 | 98,75 | 98,00 | 97,50 | 98,75 | 98,25 | 97,50 | 98,75 | 97,50 | 98,00 | 98,75 | 97,00 | 97,93 | 1,041 | 2,07 |
4 | 100,00 | 99,25 | 98,37 | 97,62 | 99,00 | 97,50 | 98,62 | 98,00 | 99,25 | 97,37 | 100,00 | 98,75 | 97,12 | 99,37 | 99,62 | 98,66 | 0,957 | 1,34 |
5 | 95,50 | 100,50 | 98,25 | 97,25 | 96,50 | 98,75 | 100,00 | 95,50 | 97,31 | 98,55 | 97,50 | 97,35 | 98,20 | 97,25 | 96,50 | 97,66 | 1,433 | 2,34 |
Исходя из регламентированных МВИ значений показателя воспроизводимости измерений

и показателя правильности измерений

, были вычислены величины:

;

,
с которыми сравнили вычисленные значения

и

.
Из дальнейших расчетов были исключены результаты измерений 1-й лаборатории, так как для нее

, т.е. результаты измерений в которой признаны неудовлетворительными. В этой лаборатории необходимо проведение мероприятий, предусмотренных в
п. 3.3.4.3.
Поскольку были исключены результаты измерений только одной лаборатории, что составляет менее 30%, можно перейти к оценке близости значений

.
Для оценки близости значений

по критерию Кохрена вычислялась величина
и сравнивались с

. Поскольку

, по контролируемым лабораториям (2 - 5) можно оценить близость значений

.
Были вычислены величины:

;

;

;

.
Величину F сравнивали с

. Поскольку

, из дальнейших расчетов были исключены результаты измерений 2-й лаборатории, для которых достигается

, и расчеты повторялись для числа лабораторий N' = 4 - 1 = 3.
Были вычислены величины:

;

;

;

.
При сравнении величины F' с

оказалось, что

. Так как из расчетов исключены результаты измерений только одной лаборатории, что составляет менее 30%, был сделан вывод об одинаковом уровне освоения данной МВИ в 3, 4 и 5-й лабораториях и об обеспечении в них единства измерений по этой МВИ.
На базе этих лабораторий можно организовать повышение квалификации персонала 1-й лаборатории, качество измерений в которой признано неудовлетворительным.
Для исключенных результатов измерений по 2-й лаборатории достигается

, следовательно, в этой лаборатории МВИ освоена лучше, чем в других, и ее опыт следует распространить в лабораторной сети.
Справочное
Таблица 1
Коэффициент, учитывающий ограниченность выборки,
для доверительной вероятности 0,95
f | |
5 | 1,488 |
6 | 1,449 |
7 | 1,418 |
8 | 1,393 |
9 | 1,372 |
10 | 1,353 |
11 | 1,336 |
12 | 1,325 |
13 | 1,312 |
14 | 1,300 |
15 | 1,290 |
16 | 1,282 |
17 | 1,274 |
18 | 1,265 |
19 | 1,259 |
20 | 1,253 |
Таблица 2
Значения квантилей t-распределения Стьюдента
для доверительной вероятности 0,95
f | |
4 | 2,132 |
5 | 2,015 |
6 | 1,943 |
7 | 1,895 |
8 | 1,860 |
9 | 1,833 |
10 | 1,812 |
11 | 1,796 |
12 | 1,782 |
13 | 1,771 |
14 | 1,761 |
15 | 1,753 |
16 | 1,746 |
17 | 1,740 |
18 | 1,734 |
19 | 1,729 |
20 | 1,725 |
Таблица 3
Значения пятипроцентных пределов для отношения G
наибольшей эмпирической дисперсии к сумме
N эмпирических дисперсий объема l
N | l |
10 | 11 | 12 | 13 | 14 | 15 | 16 | 17 | 18 | 19 | 20 | 21 | 22 | 23 | 24 | 25 |
2 | 0,801 | 0,788 | 0,766 | 0,766 | 0,756 | 0,743 | 0,741 | 0,734 | 0,728 | 0,722 | 0,716 | 0,711 | 0,706 | 0,702 | 0,698 | 0,694 |
3 | 0,717 | 0,602 | 0,590 | 0,579 | 0,570 | 0,561 | 0,554 | 0,547 | 0,540 | 0,534 | 0,528 | 0,524 | 0,549 | 0,515 | 0,511 | 0,507 |
4 | 0,502 | 0,488 | 0,477 | 0,467 | 0,458 | 0,450 | 0,443 | 0,437 | 0,481 | 0,425 | 0,420 | 0,416 | 0,412 | 0,408 | 0,402 | 0,401 |
5 | 0,424 | 0,412 | 0,401 | 0,392 | 0,384 | 0,377 | 0,370 | 0,364 | 0,360 | 0,354 | 0,350 | 0,346 | 0,342 | 0,339 | 0,335 | 0,332 |
6 | 0,368 | 0,357 | 0,347 | 0,339 | 0,331 | 0,325 | 0,319 | 0,314 | 0,309 | 0,300 | 0,297 | 0,293 | 0,290 | 0,287 | 0,284 | 0,281 |
7 | 0,326 | 0,315 | 0,300 | 0,299 | 0,292 | 0,286 | 0,280 | 0,276 | 0,271 | 0,267 | 0,264 | 0,260 | 0,257 | 0,254 | 0,251 | 0,249 |
8 | 0,293 | 0,283 | 0,274 | 0,267 | 0,261 | 0,256 | 0,251 | 0,246 | 0,238 | 0,235 | 0,282 | 0,229 | 0,226 | 0,224 | 0,224 | 0,222 |
9 | 0,266 | 0,257 | 0,240 | 0,242 | 0,236 | 0,231 | 0,227 | 0,223 | 0,219 | 0,215 | 0,212 | 0,209 | 0,207 | 0,204 | 0,202 | 0,200 |
10 | 0,244 | 0,235 | 0,228 | 0,222 | 0,216 | 0,211 | 0,207 | 0,203 | 0,200 | 0,196 | 0,194 | 0,191 | 0,188 | 0,186 | 0,184 | 0,182 |
11 | 0,226 | 0,218 | 0,212 | 0,206 | 0,201 | 0,195 | 0,191 | 0,187 | 0,184 | 0,181 | 0,178 | 0,176 | 0,173 | 0,171 | 0,169 | 0,167 |
12 | 0,210 | 0,202 | 0,196 | 0,190 | 0,185 | 0,181 | 0,177 | 0,174 | 0,170 | 0,165 | 0,165 | 0,163 | 0,161 | 0,159 | 0,157 | 0,155 |
Таблица 4
Значения квантилей

для доверительной
вероятности 0,95 и числа степеней свободы N - 1
Число степеней свободы | |
1 | 3,84 |
2 | 5,99 |
3 | 7,82 |
4 | 9,49 |
5 | 11,07 |
6 | 12,59 |
7 | 14,07 |
8 | 15,51 |
9 | 16,92 |
10 | 18,31 |
11 | 19,68 |
12 | 21,03 |
13 | 22,36 |
14 | 23,68 |
15 | 25,00 |
16 | 26,30 |
17 | 27,59 |
18 | 28,87 |
19 | 30,14 |
20 | 31,41 |
21 | 32,67 |
22 | 33,92 |
23 | 35,17 |
24 | 36,42 |
25 | 37,05 |
26 | 38,88 |
27 | 40,11 |
28 | 41,34 |
29 | 42,56 |
30 | 43,77 |
31 | 44,99 |
32 | 46,19 |
33 | 47,40 |
34 | 48,60 |
35 | 49,80 |
36 | 51,00 |
37 | 52,19 |
38 | 53,38 |
39 | 54,57 |
40 | 55,76 |
41 | 56,94 |
42 | 58,12 |
43 | 59,30 |
44 | 60,48 |
45 | 61,66 |
46 | 62,83 |
47 | 64,00 |
48 | 65,17 |
49 | 66,34 |
50 | 67,51 |
51 | 68,67 |
52 | 69,83 |
53 | 70,99 |
54 | 72,15 |
55 | 73,31 |
56 | 74,47 |
57 | 75,62 |
58 | 76,78 |
59 | 77,93 |
60 | 79,08 |
61 | 80,23 |
62 | 81,38 |
63 | 82,53 |
64 | 83,68 |
65 | 84,82 |
66 | 85,97 |
67 | 87,11 |
68 | 88,25 |
69 | 89,39 |
70 | 90,53 |
Таблица 5
Значения пятипроцентных верхних пределов уклонения величины
F в зависимости от числа лабораторий N и числа измерений l
контрольной пробы в каждой лаборатории <1>
--------------------------------
<1> Значения пятипроцентных верхних пределов величины F для N > 12 или l > 25 следует брать из справочной литературы по таблице квантилей F-распределения

при

и

.
N | l |
10 | 11 | 12 | 13 | 14 | 15 | 16 | 17 | 18 | 19 | 20 | 21 | 22 | 23 | 24 | 25 |
2 | 4,414 | 4,351 | 4,301 | 4,260 | 4,225 | 4,196 | 4,171 | 4,140 | 4,130 | 4,113 | 4,098 | 4,085 | 4,073 | 4,062 | 4,052 | 4,043 |
3 | 3,354 | 3,316 | 3,285 | 3,260 | 3,238 | 3,220 | 3,204 | 3,191 | 3,179 | 3,168 | 3,158 | 3,150 | 3,142 | 3,135 | 3,129 | 3,123 |
4 | 2,866 | 2,839 | 2,817 | 2,798 | 2,783 | 2,769 | 2,753 | 2,748 | 2,739 | 2,731 | 2,724 | 2,718 | 2,713 | 2,707 | 2,703 | 2,698 |
5 | 2,579 | 2,557 | 2,540 | 2,525 | 2,513 | 2,502 | 2,493 | 2,486 | 2,479 | 2,473 | 2,467 | 2,462 | 2,458 | 2,454 | 2,450 | 2,447 |
6 | 2,385 | 2,368 | 2,354 | 2,342 | 2,332 | 2,323 | 2,316 | 2,310 | 2,304 | 2,299 | 2,294 | 2,290 | 2,286 | 2,283 | 2,280 | 2,277 |
7 | 2,246 | 2,231 | 2,219 | 2,208 | 2,200 | 2,192 | 2,186 | 2,180 | 2,176 | 2,171 | 2,167 | 2,164 | 2,161 | 2,158 | 2,155 | 2,153 |
8 | 2,139 | 2,126 | 2,115 | 2,106 | 2,099 | 2,092 | 2,087 | 2,078 | 2,074 | 2,071 | 2,068 | 2,065 | 2,062 | 2,060 | 2,060 | 2,058 |
9 | 2,054 | 2,042 | 2,033 | 2,025 | 2,018 | 2,012 | 2,007 | 2,003 | 1,999 | 1,996 | 1,993 | 1,990 | 1,988 | 1,985 | 1,983 | 1,982 |
10 | 1,986 | 1,975 | 1,966 | 1,959 | 1,953 | 1,943 | 1,943 | 1,939 | 1,936 | 1,932 | 1,930 | 1,927 | 1,925 | 1,923 | 1,921 | 1,919 |
11 | 1,927 | 1,917 | 1,909 | 1,903 | 1,897 | 1,892 | 1,888 | 1,884 | 1,881 | 1,878 | 1,876 | 1,873 | 1,871 | 1,869 | 1,868 | 1,866 |
12 | 1,879 | 1,870 | 1,862 | 1,856 | 1,850 | 1,847 | 1,843 | 1,840 | 1,836 | 1,834 | 1,832 | 1,829 | 1,827 | 1,826 | 1,824 | 1,822 |
Справочное
ПОРЯДОК ВНЕДРЕНИЯ НАСТОЯЩИХ МЕТОДИЧЕСКИХ УКАЗАНИЙ
Настоящие методические указания распространяются на результаты измерений, получаемые по методикам выполнения измерений, отвечающим требованиям ГОСТ 8.504-84.
Начиная с 1 января 1987 г. предполагается поэтапное введение в действие настоящих методических указаний, по мере проведения метрологической аттестации и стандартизации методик выполнения измерений в соответствии с заданиями программы Метрологического обеспечения контроля состояния окружающей среды или Плана отраслевой стандартизации Госкомгидромета.
Допускается вплоть до проведения метрологической аттестации методики выполнения измерений контроль точности получаемых по ней результатов осуществлять в соответствии с действующими в настоящее время нормативными документами, регламентирующими контроль точности.