Главная // Актуальные документы // Методические указанияСПРАВКА
Источник публикации
М.: Издательство стандартов, 1983
Примечание к документу
Документ
введен в действие с 01.07.1983.
Название документа
"РД 50-391-83. Руководящий нормативный документ. Методические указания. Полуавтоматическая линия УЛС-1 для определения сахаристости свеклы. Методы и средства поверки"
(утв. и введены в действие Постановлением Госстандарта СССР от 15.03.1983 N 1170)
"РД 50-391-83. Руководящий нормативный документ. Методические указания. Полуавтоматическая линия УЛС-1 для определения сахаристости свеклы. Методы и средства поверки"
(утв. и введены в действие Постановлением Госстандарта СССР от 15.03.1983 N 1170)
Утверждены и введены в действие
Постановлением Государственного
комитета СССР по стандартам
от 15 марта 1983 г. N 1170
РУКОВОДЯЩИЙ НОРМАТИВНЫЙ ДОКУМЕНТ
МЕТОДИЧЕСКИЕ УКАЗАНИЯ
ПОЛУАВТОМАТИЧЕСКАЯ ЛИНИЯ УЛС-1
ДЛЯ ОПРЕДЕЛЕНИЯ САХАРИСТОСТИ СВЕКЛЫ.
МЕТОДЫ И СРЕДСТВА ПОВЕРКИ
РД 50-391-83
Введены впервые
Утверждены Постановлением Госстандарта от 15 марта 1983 г. N 1170. Срок введения установлен
с 1 июля 1983 г.
РАЗРАБОТАНЫ Государственным комитетом СССР по стандартам
ИСПОЛНИТЕЛИ
Б.И. Барановский (директор УкрЦСМ), В.К. Еременко (руководитель темы), С.В. Галушко, Д.Л. Носовицкая
ВНЕСЕНЫ Государственным комитетом СССР по стандартам
Начальник Управления метрологической службы И.Х. Сологян
УТВЕРЖДЕНЫ И ВВЕДЕНЫ В ДЕЙСТВИЕ Постановлением Государственного комитета СССР по стандартам от 15 марта 1983 г. N 1170
Настоящие методические указания распространяются на линии полуавтоматические УЛС-1, предназначенные для подготовки пробы свеклы, измерения и регистрации сахаристости этой пробы в диапазоне 0 - 22,4% с абсолютной погрешностью в пределах +/- 0,2%. В линии реализуется метод холодного водного дигерирования с последующим измерением автоматическим электронным поляриметром ПЭА содержания сахарозы в дигерате при условии, что в нем отсутствуют другие оптические активные вещества, либо их содержание таково, что угол вращения плоскости поляризации, пропорциональный содержанию правовращающих несахаров, в пределах допускаемого значения абсолютной погрешности поляриметра ПЭА (+/- 0,05 °S) компенсируется углом вращения плоскости поляризации, пропорциональным содержанию левовращающих несахаров.
Настоящие методические указания устанавливают методы и средства как поэлементной первичной и периодической поверок средств измерений, входящих в состав линии, так и периодической поверки линии в целом.
1. ОПЕРАЦИИ И СРЕДСТВА ПОВЕРКИ
1.1. При проведении поверки должны выполняться операции и применяться средства поверки, указанные в таблице.
Наименование операций | Номер пункта | Средства поверки и их нормативно-технические характеристики | Обязательность проведения операции при |
выпуске из производства и ремонте | эксплуатации и хранении |
Внешний осмотр | | Визуально | Да | Да |
Опробование | | Установочная кварцевая пластина УКП-1 Стандартные образцы угла вращения плоскости поляризации СО-10, СО-15, СО-20. Растворы сахарозы (20 +/- 0,01) °S (30 +/- 0,5) °S | Да | Да |
Проверка массы дигестионных стаканов | | Весы лабораторные 3 кл. ГОСТ 5.1417-72 Гири 3-го класса по ГОСТ 13703-68 | Да | Да |
Определение вариации показаний весового механизма и непостоянства показаний без нагрузки дозатора для свекольной мезги | | Гири образцовые 4-го разряда по ГОСТ 13703-68 | Да | Да |
Определение чувствительности весового механизма для свекольной мезги | | То же | Да | Да |
Определение абсолютной погрешности весового механизма дозатора для свекольной мезги | | " | Да | Да |
Определение относительной погрешности дозирования свекольной мезги | | " | Нет | Да |
Определение стабильности дозирования свекольной мезги | | Гири образцовые 4-го разряда по ГОСТ 13703-68 | Нет | Да |
Определение непостоянства показаний ненагруженного механизма дозатора для воды | | То же | Да | Нет |
Определение вариации показаний весового механизма дозатора для воды | | " | Да | Нет |
Определение чувствительности весового механизма дозатора для воды | | " | Да | Нет |
Определение погрешности нагруженного весового механизма дозатора для воды | | " | Да | Нет |
Определение относительной погрешности дозирования воды | | " | Да | Да |
Проверка стабильности дозирования воды | | " | Нет | Да |
| | ИС МЕГАНОРМ: примечание. Взамен ГОСТ 10394-72 Постановлением Госстандарта СССР от 15.07.1982 N 2670 с 01.01.1984 введен в действие ГОСТ 25336-82. | |
|
| | ИС МЕГАНОРМ: примечание. Постановлением Госстандарта СССР от 30.03.1990 N 691 с 01.01.1991 введен в действие ГОСТ 28498-90. | |
|
Определение абсолютной погрешности дозирования свинцового уксуса | | Весы лабораторные по ВЛА-2-200 Гири 2-го класса по ГОСТ 13703-68 Стеклянный стакан вместимостью 50 мл по ГОСТ 10394-72 Термометр по ГОСТ 215-79 | Нет | Да |
Определение основной абсолютной погрешности поляриметра ПЭА | | Стандартные образцы угла вращения плоскости поляризации СО-10, СО-15, СО-20 Растворы сахарозы (10 + 0,01) °S (15 + 0,01) °S (20 + 0,01) °S | Да | Да |
Проверка временной стабильности работы ПЭА | | То же | Да | Да |
Аттестация установочной кварцевой пластины УКП | | " | Да | Да |
Определение абсолютной погрешности определения сахаристости | | Аппаратура, материалы и реактивы по ГОСТ 17421-72 | Нет | Да |
2. УСЛОВИЯ ПОВЕРКИ И ПОДГОТОВКА К НЕЙ
2.1. При проведении поверки должны соблюдаться следующие условия:
температура окружающего воздуха, °C .................... от 10 до 35;
относительная влажность окружающего воздуха, %:
для агрегата линии определения сахаристости
свеклы (ЛОС) ............................................. не более 95;
для остальных составных частей линии ................... не более 80
при температуре
20 °C;
напряжение питания, В ........................................

частота, Гц ................................................ 50 +/- 1
2.2. Перед проведением поверки должны быть выполнены следующие подготовительные работы:
2.2.1. Проверен зазор между лопатками турбинных смесителей и лентой транспортера, который должен быть не более 1 мм.
2.2.2. Проверено смещение дисковых пил от осей продольных щелей скипа, которое должно быть не более 1 мм.
2.2.3. Выставлены горизонтально по уровню дозаторы весовые для мезги и для воды.
2.2.4. Проверены твердость и чистота поверхности призм, щечек и подушек дозаторов для свекольной мезги и воды в соответствии с п. 2.2 ГОСТ 14166-69.
2.2.5. Проверено расстояние от верхней кромки дигестионного стакана до воронки бункера мезги, которое должно быть не более 25 мм.
2.2.6. Дозатор свинцового уксуса и бачок промыт 10%-ным раствором соляной кислоты и не менее четырех раз дистиллированной водой и наполовину залит дистиллированной водой.
2.2.7. Проверено давление в системах станции фильтрации дигерата, которое должно быть в пределах 0,3 - 0,4 кг/см2.
2.2.8. Прогрет в течение часа поляриметр ПЭА.
2.2.9. Температура дистиллированной воды, заливаемой в кюветы поляриметра, стандартных образцов угла вращения плоскости поляризации и образцовых растворов сахарозы доведена до температуры, на 1 - 2 °C превышающей температуру в кюветной камере поляриметра.
2.2.10. Установочные кварцевые пластины выдержаны на рабочем месте в течение двух часов.
2.2.11. Проведена фокусировка оптической системы поляриметра и проведена равномерность освещенности светового пятна в кюветной камере поляриметра.
2.2.12. Проверено наличие свидетельства о государственной поверке нормального элемента ампервольтомметра Ф30 и свидетельства о государственной поверке ампервольтомметра Ф30 и возможности его применения только в качестве вольтметра на пределе измерения 1 В (периодичность поверки нормального элемента - 1 год, периодичность поверки ампервольтомметра Ф30 только в качестве вольтметра на пределе измерения 1 В - 3 года и независимо от этого поверка обязательна при выпуске из ремонта).
При проведении внешнего осмотра должно быть установлено соответствие узлов и средств измерений линии следующим требованиям:
3.1.1. В комплекте линии должны быть агрегат ЛОС (скип, скиповый подъемник, транспортер подачи мезги, транспортер загрузочный, транспортер выброса, бункер выброса); дозатор весовой для свекольной мезги - 1 шт.; дозатор весовой для воды - 1 шт.; сосуд для дистиллированной воды с подставкой - 1 шт.; стакан дигестионный - 20 шт.; дозатор свинцового уксуса - 2 шт.; размельчитель ткани свеклы РТС-2М - 2 шт.; станция фильтрации дигерата СФД - 1 шт.; поляриметр электронный автоматический ПЭА - 1 шт.; сушилка дигестионных стаканов - 1 шт.; мойка дигестионных стаканов - 1 шт.; запасные части, инструменты и принадлежности согласно технической документации на узлы и средства измерений линии - 1 комплект.
3.1.2. На поверхностях узлов и средств измерений линии отсутствуют коррозия, механические повреждения, дефекты покрытий элементов средств измерений, отрицательно влияющие на работу линии.
3.1.3. Маркировка дозаторов весовых для свекольной мезги и воды, поляриметра содержит изображение товарного знака предприятия-изготовителя, обозначение средства измерения, его заводской номер и год выпуска.
3.1.4. Питательные трубы дозатора весового для воды не касаются дигестионного стакана.
3.1.5. Контрольная риска на мерной пипетке дозатора свинцового уксуса расположена на одном уровне с осью трубопровода слива в дигестионный стакан.
Для опробования действия и взаимодействия узлов и средств измерений линии необходимо провести следующие операции:
3.2.1. Проверить действие органов управления, регулирования, настройки и коррекции, которыми надо пользоваться при поверке и эксплуатации линии.
3.2.2. Проверить качество и равномерность расположения мезги на ленте дозирующего транспортера и при необходимости отрегулировать толщину слоя регулировочным роликом.
3.2.3. Проверить отсутствие остатков мезги на роликах и ленте дозирующего транспортера после скребка очистки.
3.2.4. Проверить отсутствие на ножах размельчителя тканей свеклы волокон после размельчения мезги в растворе свинцового уксуса.
3.2.5. Проверить работу оптического устройства дозатора весового для мезги, для чего: установить на чашку дозатора дигестионный стакан, включить подсветку и с помощью механизма корректировки установить нулевую отметку шкалы так, чтобы она совпала с указателем на экране; плавно нажимая на чашку дозатора убедиться, что изображение шкалы на экране остается четким во всем диапазоне измерения, а отметки шкалы совпадают с направлением указателя, и указатель перекрывает отметки шкалы не более чем на 3/4 их длины.
3.2.6. Проверить работу дозатора весового для воды, для чего:
вывести ненагруженный весовой механизм из состояния равновесия путем отклонения до упора в верхнем, а затем в нижнем положении. Рычажный механизм после снятия воздействия должен совершать плавные, постепенно затухающие колебания в вертикальной плоскости и возвращаться в первоначальное положение;
убедиться в свободном перемещении тарных грузов и отсутствии самопроизвольного смещения закрепленных тарных грузов при работе дозатора;
убедиться, что при автоматической работе дозатора вода не просачивается через клапан грузоподъемного устройства и после отсечки в режиме доливки ни одна капля не падает в грузоподъемное устройство. Клапан грузоподъемного устройства не открывается до закрытия клапана доливки, а после открытия клапана грузоподъемного устройства оно полностью опорожняется. После закрытия клапана грузоподъемного устройства допускается падение со слива трубки не более 1 капли. Продолжительность цикла взвешивания должна быть не более 60 с.
3.2.7. Убедиться в том, что станция фильтрации дигерата работает согласно циклограмме.
3.2.8. Проверить работу и произвести градуировку поляриметра ПЭА.
3.2.8.1. Произвести регулировку измерительного блока ампервольтомметра в следующем порядке:
установить переключатель рода работ в положение "Контроль";
установить ручку "частота измерений" в положение "Макс";
установить переключатель пределов измерения последовательно в положение O1, O2, O3 и вывести соответствующей регулировкой показания прибора на этих пределах измерения на нуль;
установить переключатель пределов измерения последовательно в положение "+EN" "-EN" и вывести соответствующей регулировкой показания прибора, отвечающие значению ЭДС нормального элемента, указанному в свидетельстве о поверке, с точностью до одной единицы младшего разряда;
установить переключатель режимов блока электронного поляриметра (БЭП) в положение "Контроль" и убедиться в наличии нулевого показания поляриметра;
установить переключатель диапазонов измерения в положение "1 В".
3.2.8.2. Установить переключатель режимов работы БЭП в положение "Работа" и ручкой потенциометра "Установка нуля" на передней панели БЭП вывести показания поляриметра на нуль. Если нулевое показание не устанавливается, отпустить зажимное кольцо на датчике контроля сахаристости (ДКС), поворотом поляризатора установить близкие к нулю показание и зафиксировать положение поляризатора зажимным кольцом (ручка потенциометра при этом должна находиться в среднем положении, а счетчик потенциометра показывать цифру "10"). Затем с помощью ручки потенциометра "Установка нуля" вывести показания поляриметра на нуль.
Ввести кратковременно в кюветную камеру установочную кварцевую пластину (УКП). По истечении 50 с (время балансировки) после извлечения УКП нажать кнопку "Печать". Отпечатанный результат измерения должен иметь значение от +00,05 до -00,05.
3.2.8.3. Проверить градуировку поляриметра в следующем порядке:
установить в кюветную камеру промытую и очищенную кювету;
заполнить кювету через деаэратор дистиллированной водой и убедиться в отсутствии пузырьков воздуха в кювете;
установить (после 15 мин выдержки кюветы в кюветной камере) ручкой потенциометра "Установка нуля" нулевое показание поляриметра;
заполнить кювету через деаэратор жидким стандартным образцом угла вращения плоскости поляризации СО-20 (промывку кюветы произвести не менее трех раз) и выдержать стандартный образец в кюветной камере не менее 15 мин;
произвести при необходимости регулировку поляриметра, выводя с помощью потенциометра (калибровочного сопротивления), расположенного в блоке Б-815, и потенциометров "грубо" и "точно", установленных на передней панели блока Б-815, показания поляриметра, отвечающие приведенному в свидетельстве номинальному значению угла вращения плоскости поляризации стандартного образца СО-20.
Если температура в кюветной камере поляриметра во время проверки шкалы отлична от +20 °C более чем на 2 °C, то значение угла вращения плоскости поляризации, производимого стандартным образцом, определяется с учетом температурной поправки
(приложение 1).
В случае отсутствия жидких стандартных образцов угла вращения плоскости поляризации допускается производить проверку шкалы поляриметра по свежеприготовленному водному раствору сахарозы с номинальным значением угла вращения плоскости поляризации 20 °S с учетом, при необходимости, соответствующей температурной поправки
(приложение 2).
3.2.8.4. Проверить время балансировки поляриметра и работу устройства цифровой регистрации (УЦР) в следующем порядке:
поместить УКП в кюветную камеру;
нажать и отпустить кнопку "Пуск", включив в момент отпускания кнопки секундомер;
в момент включения сигнальной лампы на передней панели блока согласования УЦР остановить секундомер. Измеренный секундомером отрезок времени должен быть в пределах от 20 до 50 с, а отпечатанный результат должен соответствовать показаниям ампервольтомметра Ф30;
для проверки верхнего предела измерения в кюветную камеру устанавливаются две УКП, суммарный угол вращения плоскости поляризации которых заведомо превышает +22,4 °S, или кювета с раствором сахарозы 30 °S. Отпечатанный результат измерения при этом должен быть равен либо превышать 22,4 °S.
3.3. Определение метрологических параметров
3.3.1. Масса дигестионных стаканов проверяется на весах лабораторных и должна составлять (438,75 +/- 0,25) г.
3.3.2. Определение метрологических характеристик дозатора весового для свекольной мезги 6.056 АД-0,1С.
3.3.2.1. Непостоянство показания весового механизма дозатора без нагрузки и вариацию показания нагруженного весового механизма дозатора определяют при нагрузках 50 и 100 г, для чего на чашку дозатора устанавливают по пять раз гири указанной массы и отмечают показания дозатора при нагрузке и без нее.
Вариация, определенная как разность между наибольшим и наименьшим значением из пяти показаний при каждой нагрузке, не должна превышать 0,5 г, а непостоянство показаний без нагрузки - 0,25 г.
3.3.2.2. Чувствительность весового механизма дозатора для свекольной мезги определяют при нагрузке 50 и 100 г путем изменения нагрузки (добавлением или снятием образцовой гири) на величину 0,5 г, равную пределу допускаемого значения абсолютной погрешности. Чувствительность должна быть такой, чтобы изменение нагрузки на 0,5 г вызывало смещение отметки шкалы не менее чем на 5 делений для дозаторов с весами ВЛК-500 и 0,5 деления для дозаторов с весами ВЛК-500М.
3.3.2.3. Абсолютную погрешность весового механизма дозатора для свекольной мезги определяют, находя разность между показаниями по шкале дозатора и массой образцовых гирь, помещенных на чашку дозатора. Для чего на чашку дозатора устанавливается дигестионный стакан, с помощью механизма корректировки нуля устанавливают нулевую отметку шкалы так, чтобы она совпадала с указателем на экране (дополнительных регулировок и замену дигестионного стакана в процессе дальнейшей проверки дозатора производить нельзя). Затем на чашку дозатора последовательно помещают образцовые гири массой 50, 60, 70, 80, 90 и 100 г, каждый раз снимая показания. Разность между массой образцовой гири, помещенной на чашку, и показаниями дозатора должна находиться в пределах +/- 0,5 г.
3.3.2.4. Определение относительной погрешности дозирования свекольной мезги производится при автоматической работе дозатора после его настройки на заданную массу порции. Для этого отбирают по десять контрольных отвесов при каждой из заданных минимальной 50 г, максимальной 100 г массах порции. Массу порций определяют непосредственно на поверяемом дозаторе, отвечающем требованиям
пп. 3.3.2.1,
3.3.2.2,
3.3.2.3. Относительную погрешность дозирования вычисляют как разность между массой порции

и заданным ее значением
q, отнесенную к заданному значению порции, %:

(1)
Относительная погрешность дозирования должна быть в пределах +/- 5%.
3.3.2.5. Стабильность дозирования свекольной мезги проверяют путем повторения испытаний по
п. 3.3.2.4 не менее чем через 30 минут непрерывной работы дозатора. Относительная погрешность дозирования должна находиться в пределах, указанных в
п. 3.3.2.4.
3.3.3. Определение метрологических характеристик дозатора весового для воды 6.057 АД-0,3В
Перед определением метрологических характеристик весового механизма необходимо отключить масляный успокоитель и привести дозатор с установленным дигестионным стаканом в положение равновесия. Все операции поверки производить с одним дигестионным стаканом.
3.3.3.1. Непостоянство показаний весового механизма ненагруженного дозатора определяют путем относительного смещения призм коромысла по подушкам сначала в одно крайнее положение, а затем в другое. Затем весовой механизм дозатора выводят из положения равновесия нажатием руки, отклоняя его в одно из крайних положений. Если весовой механизм не возвратился в положение равновесия, то оно должно восстановиться при добавлении на грузоприемное устройство гирь массой не более 1 г или на подставку гирь массой не более 330 мг.
3.3.3.2. Для определения вариации показания весового механизма дозатора его отклоняют с установленными на грузоприемном устройстве гирями массой 150 г, а на подставке - гирями массой 50 г до упора в верхнее, а затем в нижнее положение. Нарушенное равновесие должно восстанавливаться при установке на грузоприемное устройство гирь массой не более 1 г или на подставку гирь массой не более 330 мг. Таким же образом поверяют дозатор при установке на грузоприемное устройство гирь массой 300 г, а на подставку - гирь массой 100 г. При этом положение равновесия должно восстанавливаться при добавлении на грузоприемное устройство гирь массой не более 2 г или на подставку гирь массой не более 660 мг.
3.3.3.3. Для определения чувствительности весового механизма дозатора на грузоприемное устройство устанавливают гири массой 150 г, а на подставку - гири массой 50 г и успокаивают колебания коромысла. Затем на грузоприемное устройство помещают гирю массой 1,5 г. Такое изменение нагрузки должно вызывать отклонение указателя равновесия не менее чем на одно деление шкалы.
Таким же образом поверяют дозатор при установке на грузоприемное устройство гирь массой 300 г, а на подставку - гирь массой 100 г. При этом добавление на грузоприемное устройство гири массой 3 г должно вызывать отклонение указателя равновесия не менее чем на одно деление шкалы.
3.3.3.4. Для определения погрешности весового механизма на грузоприемное устройство устанавливают гири массой 150 г, соответствующей наименьшему пределу дозирования, а на подставку - гири массой 50 г. При этом весовой механизм должен вернуться в положение равновесия после плавных затухающих колебаний. Если весовой механизм не пришел в положение равновесия, то оно должно восстановиться при добавлении на грузоприемное устройство гирь массой не более 1,5 г или на подставку гирь массой не более 500 мг. Таким же образом поверяют дозатор при установке на грузоприемное устройство гирь массой 300 г, соответствующей наибольшему пределу дозирования, а на подставку гирь массой 100 г. При этом положение равновесия должно восстановиться при добавлении на грузоприемное устройство гирь массой не более 3 г или на подставку гирь массой не более 1 г.
3.3.3.5. Определение относительной погрешности дозирования воды производится при автоматической работе дозатора после настройки его на заданную массу порции. Для этого отбирают по десять контрольных отвесов с одним дигестионным стаканом при заданных минимальной 150 г, и максимальной 300 г массах порции. Массу порции

определяют непосредственно на поверяемом дозаторе, отвечающем требованиям
пп. 3.3.3.1,
3.3.3.2,
3.3.3.3 и
3.3.3.4. Относительную погрешность дозирования вычисляют как разность между массой порции

и заданным ее значением
q, отнесенную к заданному значению порции по
формуле (1).
Относительная погрешность дозирования должна быть в пределах +/- 1%.
3.3.3.6. Стабильность дозирования воды проверяют путем повторений испытаний по
п. 3.3.3.5 не менее чем через 30 мин непрерывной работы дозатора. Относительная погрешность дозирования должна находиться в пределах, указанных в
п. 3.3.3.5.
3.3.4. Для определения абсолютной погрешности дозирования раствора свинцового уксуса отбирают контрольную порцию воды в сухой химический стакан вместимостью 50 см
3, масса
g0 которого предварительно определена с погрешностью не более +/- 0,01 г. Затем на весах определяют с погрешностью не более +/- 0,01 г массу
g химического стакана с находящейся в нем порцией воды. Одновременно с погрешностью не более +/- 0,5 °C измеряют температуру воды.
Объем порции, выданной дозатором, вычисляют по формуле

, где
V - объем порции, см
3;
dt - плотность воды при измеренной температуре
t, г/см
3 (см.
приложение 5).
Определение объема порций, выдаваемых дозатором, повторяют пять раз.
Абсолютную погрешность дозирования вычисляют как разность между объемом выданной порции воды и заданным объемом, равным 10 см
3:

;

.
Погрешность дозирования должна быть в пределах +/- 0,1 см3.
3.3.5. Определение основной погрешности поляриметра ПЭА и аттестации установочной кварцевой пластины УКП.
3.3.5.1. Основную погрешность поляриметра определяют в трех точках шкалы при помощи жидких стандартных образцов угла вращения плоскости поляризации СО-10, СО-15, СО-20 в следующем порядке:
заполняют кювету через деаэратор жидким СО-10 (промывку производят не менее трех раз) и выдерживают СО в кюветной камере не менее 15 мин;
измеряют угол вращения плоскости поляризации СО пять раз с автоматической выдержкой и регистрацией на ЦПУ. Промывку, пятикратные измерения и регистрацию повторяют еще два раза. Находят разность между каждым из пятнадцати отпечатанных результатов измерения и значением угла вращения плоскости поляризации, приведенном в свидетельстве на стандартный образец угла вращения плоскости поляризации, с учетом температурной поправки в соответствии с
приложением 1.
Аналогичные операции проводят с СО-15, СО-20 для каждого СО.
Каждая из пятнадцати разностей для каждого СО не должна превышать предела допускаемого значения основной погрешности 0,05 °S, если температура окружающего воздуха при измерениях находилась в пределах от 10 до 30 °C, или не превышала предела допускаемого значения суммарной (дополнительной допускаемой и основной погрешности) 0,075 °S, если температура окружающего воздуха при измерениях выше 30 °C.
Допускается для определения основной погрешности применять свежеприготовленные в соответствии с
приложением 2 водные растворы сахарозы с номинальными значениями угла вращения плоскости поляризации 10, 15 и 20 °S с учетом температуры растворов и окружающего воздуха во время измерений.
3.3.5.2. Аттестация УКП, входящей в комплект поляриметра, производится на признанном по результатам поверки годным к эксплуатации поляриметре в следующем порядке:
установить нулевое показание поляриметра (по воздуху) ручкой потенциометра "Установка нуля" и произвести измерения три раза с автоматической выдержкой между измерениями и регистрацией результатов измерений цифропечатающим устройством, обозначив их O1, O2, O3 соответственно:
установить в кюветную камеру установочную кварцевую пластину УКП (пластина должна быть чистой, не иметь трещин, царапин, следов пыли и других дефектов, легко входить в посадочное место без заметных перекосов). После пятнадцати минут выдержки пластины в кюветной камере произвести пять измерений с автоматической выдержкой между ними и регистрацией результатов цифропечатающим устройством. Вынуть, вновь установить и произвести пятикратные измерения еще два раза.
Результаты измерений обозначить A1, A2, ..., A15;
вынуть пластину из кюветной камеры и произвести три измерения с автоматической выдержкой между ними и регистрацией результатов измерений цифропечатающим устройством, обозначив их O4, O5 и O6 соответственно;
найти значение угла вращения плоскости поляризации, производимого пластиной при температуре в кюветной камере по формуле

(2)
вычислить значение угла вращения плоскости поляризации, производимого пластиной при температуре +20 °C в соответствии с
приложением 3 и вписать его в свидетельство УКП.
3.3.5.3. Временную стабильность работы поляриметра определяют, регистрируя периодически, не реже, чем через 5 мин, в течение 40 мин показания поляриметра при измерении угла вращения плоскости поляризации, производимого УКП после выдержки ее в кюветной камере не менее 15 мин. Разность между каждым показанием поляриметра и значением угла вращения плоскости поляризации пластины, приведенным в свидетельстве, с учетом температуры во время измерения не должна превышать предела допускаемого значения основной погрешности (с учетом при температуре окружающего воздуха выше 30 °C дополнительной допускаемой погрешности +/- 0,025 °S).
3.3.5.4. Результаты поверки поляриметра заносят в протокол, форма которого приведена в
приложении 4.
3.3.6. Абсолютную погрешность определения сахаристости свеклы вычисляют, находя разность между результатом определения содержания сахарозы в дигерате, полученном реализацией метода холодного дигерирования в линии УЛС-1 и результатом определения содержания сахарозы в дигерате, полученном лабораторным методом холодного водного дигерирования по ГОСТ 17421-72.
Для этого отбирают с дозирующего транспортера в кристаллизатор или сосуд (эмалированный, из нержавеющей стали, полистирола или полиэтилена) пробу кашки массой 1,5 - 2 кг и тщательно перемешивают вручную при помощи шпателя. Затем трижды определяют сахаристость этой пробы на линии УЛС-1, получая при этом результаты

,

,

и параллельно методом холодного водного дигерирования в соответствии с пунктом 4.5.4 ГОСТ 17421-72 из этой же пробы получают дигерат, который пропускают через бумажный фильтр и дважды определяют на отвечающем требованиям настоящих методических указаний электронном автоматическом поляриметре ПЭА содержание сахарозы в этом дигерате, получая результаты
C1 и
C2 соответственно.
Абсолютную погрешность определения сахаристости свеклы вычисляют по формуле. Числовые значения содержания сахарозы в дигерате в градусах Международной сахарной шкалы °S и сахаристости свеклы в % равны:
Абсолютная погрешность определения сахаристости не должна превышать +/- 0,2% и определяется на трех пробах.
4. ОФОРМЛЕНИЕ РЕЗУЛЬТАТОВ ПОВЕРКИ
4.1. Положительные результаты поверки весового дозатора для свекольной мезги, весового дозатора для воды, дозатора свинцового уксуса, поляриметра электронно-автоматического и линии в целом оформляются путем выдачи свидетельства о государственной поверке по форме, установленной Госстандартом.
4.2. Средства измерения, входящие в состав линии, и линии, не соответствующие требованиям настоящих методических указаний, запрещаются к выпуску в обращение и применению, о чем выдаются справки с указанием причин непригодности.
ТЕМПЕРАТУРНАЯ ПОПРАВКА
К ЗНАЧЕНИЮ
УГЛА ВРАЩЕНИЯ ПЛОСКОСТИ ПОЛЯРИЗАЦИИ,
ПРОИЗВОДИМОГО ЖИДКИМ СТАНДАРТНЫМ ОБРАЗЦОМ
 , °S |  , °C |
1 | 2 | 3 | 4 | 5 | 6 | 7 | 8 | 9 | 10 | 11 | 12 | 13 | 14 | 15 |
10 | 0,01 | 0,01 | 0,02 | 0,02 | 0,03 | 0,03 | 0,04 | 0,04 | 0,05 | 0,05 | 0,06 | 0,06 | 0,07 | 0,07 | 0,08 |
15 | 0,01 | 0,02 | 0,02 | 0,03 | 0,04 | 0,05 | 0,05 | 0,06 | 0,07 | 0,08 | 0,09 | 0,10 | 0,1 | 0,11 | 0,12 |
20 | 0,01 | 0,02 | 0,03 | 0,04 | 0,05 | 0,07 | 0,08 | 0,09 | 0,1 | 0,11 | 0,12 | 0,13 | 0,14 | 0,15 | 0,16 |
Температурная поправка

рассчитана по формуле

, где

- искомое значение угла вращения плоскости поляризации, производимого стандартным образцом при температуре измерения, °S;

- значение угла вращения плоскости поляризации, производимого стандартным образцом при температуре 20 °C, приведенное в свидетельстве, °S;

- приращение температуры, определяемое как разность температуры стандартного образца во время измерения и температуры 20 °C, при которой проведена аттестация стандартного образца, °C;

- поправка к значению угла вращения плоскости поляризации, приведенного в свидетельстве на СО, °S.
ПРИГОТОВЛЕНИЕ РАСТВОРОВ САХАРОЗЫ
Взвешивают на аналитических весах 26, 39, 52, 78 г сахарозы класса х.ч.
ГОСТ 5833-75 (при отсутствии сахарозы класса х.ч. разрешается применять сахарозу класса ч.д.а.) и количественно переводят дистиллированной водой с температурой (20 +/- 2) °C в колбы первого класса, вместимостью 1000 см
3, заполняя до суженной части. Колбы с содержимым помещают в термостат с температурой (20 +/- 0,5) °C. По истечении 30 мин содержимое колб доводят до метки дистиллированной водой с температурой (20 +/- 2) °C, тщательно перемешивают и последовательно заливают в кювету поляриметра ПЭА.
Номер раствора | Содержание сахарозы, г | Номинальный угол поворота плоскости поляризации раствора, °S |
1 | 26 | 10 +/- 0,01 |
2 | 39 | 15 +/- 0,01 |
3 | 52 | 20 +/- 0,01 |
4 | 78 | 30 +/- 0,5 |
Температурная поправка
к значению угла вращения плоскости
поляризации, производимого раствором сахарозы
 , °S |  , °C |
1 | 2 | 3 | 4 | 5 | 6 | 7 | 8 | 9 | 10 | 11 | 12 | 13 | 14 | 15 |
10 | 0,004 | 0,01 | 0,01 | 0,02 | 0,02 | 0,03 | 0,03 | 0,04 | 0,04 | 0,05 | 0,05 | 0,05 | 0,06 | 0,06 | 0,07 |
15 | 0,01 | 0,01 | 0,02 | 0,03 | 0,03 | 0,04 | 0,05 | 0,05 | 0,06 | 0,07 | 0,07 | 0,08 | 0,09 | 0,09 | 0,1 |
20 | 0,01 | 0,07 | 0,03 | 0,04 | 0,04 | 0,05 | 0,06 | 0,07 | 0,08 | 0,09 | 0,10 | 0,11 | 0,12 | 0,13 | 0,13 |
Температурная поправка

рассчитана по формуле

, где

- искомое значение угла вращения плоскости поляризации, производимого раствором сахарозы при температуре измерения, °S;

- значение угла вращения плоскости поляризации производимого раствором сахарозы при температуре +20 °C, °S;

- приращение температуры, определенное как разность температуры раствора сахарозы во время измерения и температуры 20 °C, при которой проведено приготовление раствора, °C;

- поправка к значению угла вращения плоскости поляризации, °S.
ТЕМПЕРАТУРНАЯ ПОПРАВКА
К ЗНАЧЕНИЮ УГЛА ВРАЩЕНИЯ ПЛОСКОСТИ
ПОЛЯРИЗАЦИИ, ПРОИЗВОДИМОЙ УКП
Таблица построена по формулам:

;

, где

- измеренное значение угла вращения пластины при температуре измерения, °S;

- искомое значение угла вращения пластины при температуре 20 °C, °S;

- приращение температуры, определенное как разность температуры кварцевой пластины, во время измерения и температуры 20 °C, °C.
Примечание. При измерении угла вращения плоскости поляризации кварцевых пластин со значениями меньше 3 °S поправки на изменение температуры в таблицу не введены ввиду их малого значения.
Пример. Пусть измеренное значение угла вращения плоскости поляризации кварцевой пластины при температуре 26 °C будет

. Находим по таблице

. Определяем

по формуле

.
Обязательное
ГОСУДАРСТВЕННОЙ ПОВЕРКИ
поляриметра электронного автоматического ПЭА (блок питания N
датчик контроля сахаристости N ,
блок электронный поляриметра N )
выпущенного (отремонтированного) __________________________________________
(дата выпуска или ремонта,
___________________________________________________________________________
предприятие-изготовитель или ремонтное предприятие)
принадлежащего ____________________________________________________________
Средства поверки:
Стандартные образцы угла вращения плоскости поляризации ___________________
(номер и
___________________________________________________________________________
дата свидетельства об аттестации СО)
Ртутный термометр _________________________________________________________
(номер и дата свидетельства о поверке)
Водные растворы сахарозы __________________________________________________
(номинальное значение угла вращения
___________________________________________________________________________
плоскости поляризации °S, дата приготовления)
1. ОПРЕДЕЛЕНИЕ ОСНОВНОЙ ПОГРЕШНОСТИ
Температура в кюветной камере во время измерения, °C | Угол вращения СО (раствора), °S | Показания поляриметра, °S | Суммарная погрешность, °S | Температура окружающего воздуха, °C | Предел допускаемого значения дополнительной погрешности, °S | Основная погрешность, °S |
По свидетельству об аттестации СО (по процедуре приготовления раствора) | При температуре в кюветной камере | | | | | |
| | | | | | | |
2. ПРОВЕРКА ВРЕМЕННОЙ СТАБИЛЬНОСТИ ПОКАЗАНИЙ
ПРИ НЕПРЕРЫВНОЙ РАБОТЕ
___________________________________________________________________________
время, мин
___________________________________________________________________________
показания прибора, S
3. АТТЕСТАЦИЯ УСТАНОВОЧНОЙ КВАРЦЕВОЙ ПЛАСТИНЫ УКП
Показания поляриметра (по воздуху), °S | Показания поляриметра при 1-й установке УКП, °S | Показания поляриметра при 2-й установке УКП, °S | Показания поляриметра при 3-й установке УКП, °S | Показания поляриметра (по воздуху), °S | Значение угла вращения плоскости поляризации при температуре в кюветной камере  , °S | Значение угла вращения плоскости поляризации при температуре 20 °C,  , °S |
O1 O2 O3 | A1 A2 A3 A4 A5 | A6 A7 A8 A9 A10 | A11 A12 A13 A14 A15 | O4 O5 O6 | | |
ЗНАЧЕНИЕ УКП N __________
На основании результатов государственной поверки
поляриметр ПЭА N ___________
ДКС N ___________
БЭП N ___________
УЦР N ___________
признан

и

к применению
На прибор выдано

за N
___________ Госповеритель
ПЛОТНОСТЬ ВОДЫ d ПРИ ТЕМПЕРАТУРЕ t
ПРИ НОРМАЛЬНОМ АТМОСФЕРНОМ ДАВЛЕНИИ
t, °C | d, г/см3 |
10 | 0,9997 |
11 | 0,9996 |
12 | 0,9995 |
13 | 0,9994 |
14 | 0,9992 |
15 | 0,9991 |
16 | 0,9989 |
17 | 0,9988 |
18 | 0,9986 |
19 | 0,9984 |
20 | 0,9982 |
21 | 0,9980 |
22 | 0,9978 |
23 | 0,9976 |
24 | 0,9973 |
25 | 0,9970 |
26 | 0,9968 |
27 | 0,9965 |
28 | 0,9962 |
29 | 0,9960 |
30 | 0,9960 |
31 | 0,9953 |
32 | 0,9950 |
33 | 0,9947 |
34 | 0,9944 |
35 | 0,9940 |
| | ИС МЕГАНОРМ: примечание. Взамен ГОСТ 10394-72 Постановлением Госстандарта СССР от 15.07.1982 N 2670 с 01.01.1984 введен в действие ГОСТ 25336-82. | |
| | ИС МЕГАНОРМ: примечание. Постановлением Госстандарта СССР от 30.03.1990 N 691 с 01.01.1991 введен в действие ГОСТ 28498-90. | |
ПРОТОКОЛ
ГОСУДАРСТВЕННОЙ ПОВЕРКИ
дозатора свинцового уксуса N ______________________________________________
выпущенного (отремонтированного) __________________________________________
(дата выпуска или ремонта,
___________________________________________________________________________
предприятие-изготовитель или ремонтное предприятие)
принадлежащего ____________________________________________________________
Дата поверки: _____________________________________________________________
Средства поверки: 1. Весы лабораторные ВЛА-2-200 (номер и дата выдачи
свидетельства о поверке).
2. Стеклянный стакан вместимостью 50 см3 по ГОСТ 10394-72.
3. Термометр по ГОСТ 215-79.
Условия поверки: Температура окружающей среды, °C
Номер контрольной порции | Объем порции V, см3 | Абсолютная погрешность дозирования, см3 |
1 | | |
2 | | |
3 | | |
4 | | |
5 | | |
Выводы: Дозатор свинцового уксуса на основании результатов государственной
поверки признан годным (негодным) и допущен (не допущен)
к применению
Исполнители:
Обязательное
ПРОТОКОЛ
ГОСУДАРСТВЕННОЙ ПОВЕРКИ
дозатора весового для свекольной мезги N ________________________________
выпущенного (отремонтированного) __________________________________________
дата выпуска или ремонта,
___________________________________________________________________________
предприятие-изготовитель или ремонтное предприятие
принадлежащего ____________________________________________________________
Дата поверки:
Средства поверки:
гири образцовые 4-го разряда __________________________________________
(номер и дата выдачи свидетельства
___________________________________________________________________________
о поверке)
дигестионный стакан массой __________ г
1. ОПРЕДЕЛЕНИЕ НЕПОСТОЯНСТВА И ВАРИАЦИИ
ПОКАЗАНИЙ ВЕСОВОГО МЕХАНИЗМА
Таблица 1
Номер | Показания без нагрузки, г | Показания нагруженного весового механизма, г | Вариация показаний, г | Непостоянство показаний, г |
при нагрузке, г |
50 | 100 | 50 | 100 |
1 | | | | | | |
2 | | | | | | |
3 | | | | | | |
4 | | | | | | |
5 | | | | | | |
2. ОПРЕДЕЛЕНИЕ АБСОЛЮТНОЙ ПОГРЕШНОСТИ
ВЕСОВОГО МЕХАНИЗМА
Таблица 2
Масса образцовых гирь, г | Показания дозатора, г | Абсолютная погрешность, г |
50 | | |
60 | | |
70 | | |
80 | | |
90 | | |
100 | | |
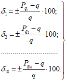
3. ОПРЕДЕЛЕНИЕ ОТНОСИТЕЛЬНОЙ ПОГРЕШНОСТИ
ДОЗИРОВАНИЯ ДОЗАТОРА ДЛЯ СВЕКОЛЬНОЙ МЕЗГИ
Таблица 3
Номер контрольного отвеса | Показание дозатора, г, при нагрузке, г | Определение относительной погрешности, % |
50 | 100 |
1 | | | |
2 | | | |
3 | | | |
4 | | | |
5 | | | |
6 | | | |
7 | | | |
8 | | | |
9 | | | |
10 | | | |
Вывод. Дозатор весовой для свекольной мезги на основании результатов
государственной поверки признан годным (негодным) и допущен
(не допущен) к применению.
Исполнители:
Обязательное
ПРОТОКОЛ
ГОСУДАРСТВЕННОЙ ПОВЕРКИ
дозатора весового для воды N ______________________________________________
выпущенного (отремонтированного) __________________________________________
(дата выпуска или ремонта,
___________________________________________________________________________
предприятие-изготовитель или ремонтное предприятие)
принадлежащего ____________________________________________________________
Дата поверки:
Средства поверки:
гири образцовые 4-го разряда __________________________________________
(номер и дата выдачи свидетельства
___________________________________________________________________________
о поверке)
дигестионный стакан массой _______ г
ОПРЕДЕЛЕНИЕ ОТНОСИТЕЛЬНОЙ ПОГРЕШНОСТИ
ДОЗИРОВАНИЯ ВОДЫ
Номер контрольного отвеса | Показания дозатора, г, при заданной массе порции, г | Относительная погрешность, % |
150 | 300 |
1 | | | |
2 | | | |
3 | | | |
4 | | | |
5 | | | |
6 | | | |
7 | | | |
8 | | | |
9 | | | |
10 | | | |
Вывод. Дозатор весовой для воды на основании результатов государственной
поверки признан годным (негодным) и допущен (не допущен)
к применению.
Исполнители:
ПРОТОКОЛ
ГОСУДАРСТВЕННОЙ ПОВЕРКИ
линии для определения сахаристости свеклы УЛС-1
___________________________________________________________________________
(дата выпуска или ремонта, или ремонтное предприятие)
принадлежащей _____________________________________________________________
Дата поверки:
Средства поверки: аппаратура, материалы, реактивы по ГОСТ 17421-72.
Условия поверки: температура окружающей среды, °C.
Сахаристость проб, °S | Сахаристость проб (метод холодного водного дигерирования), °S | Абсолютная погрешность определения сахаристости, % |
| | | С1 | С2 | | | |
| | | | | | | |
Вывод. Линия для определения сахаристости свеклы УЛС-1 на основании
результатов государственной поверки признана годной (негодной)
и допущена (не допущена) к применению.
Исполнители: