Главная // Актуальные документы // Методические указанияСПРАВКА
Источник публикации
М.: Издательство стандартов, 1983
Примечание к документу
Документ
введен в действие с 01.07.1984.
Название документа
"РД 50-389-83. Руководящий нормативный документ. Методические указания. Средства измерений максимальной мощности лазерного излучения типа ФК. Методы и средства поверки"
(утв. и введены в действие Постановлением Госстандарта СССР от 28.02.1983 N 952)
"РД 50-389-83. Руководящий нормативный документ. Методические указания. Средства измерений максимальной мощности лазерного излучения типа ФК. Методы и средства поверки"
(утв. и введены в действие Постановлением Госстандарта СССР от 28.02.1983 N 952)
Утверждены и введены в действие
Постановлением Государственного
комитета СССР по стандартам
от 28 февраля 1983 г. N 952
РУКОВОДЯЩИЙ НОРМАТИВНЫЙ ДОКУМЕНТ
МЕТОДИЧЕСКИЕ УКАЗАНИЯ
СРЕДСТВА ИЗМЕРЕНИЙ МАКСИМАЛЬНОЙ МОЩНОСТИ
ЛАЗЕРНОГО ИЗЛУЧЕНИЯ ТИПА ФК.
МЕТОДЫ И СРЕДСТВА ПОВЕРКИ
РД 50-389-83
Введены впервые
Утверждены Постановлением Госстандарта от 28 февраля 1983 г., N 952, срок введения установлен с 01.07.1984 г.
РАЗРАБОТАНЫ Государственным комитетом СССР по стандартам
ИСПОЛНИТЕЛЬ
Ю.И. Домнин
ВНЕСЕНЫ Государственным комитетом СССР по стандартам
Член Госстандарта Л.К. Исаев
УТВЕРЖДЕНЫ И ВВЕДЕНЫ В ДЕЙСТВИЕ Постановлением Государственного комитета СССР по стандартам от 28 февраля 1983 г. N 952
Настоящие методические указания распространяются на преобразователи измерительные фотоэлектрического типа ФК (далее - преобразователи), предназначенные для измерения максимальной мощности лазерного излучения, и устанавливают методы и средства их первичной и периодической поверок.
Метрологические характеристики преобразователей не должны превышать значений, указанных в обязательном
приложении.
1.1. При проведении поверки должны выполняться операции, указанные в
табл. 1.
Операция, обязательная при выпуске из производства и эксплуатации | Номер пункта методических указаний |
Внешний осмотр | |
Опробование | |
Определение коэффициента преобразования на длине волны  | |
Определение отношения коэффициента преобразования на длинах волн  и  к значению коэффициента преобразования на <*>. | |
--------------------------------
<*> Поверка только для преобразователей типа ФК-31.
2.1. При проведении поверки должны применяться средства, указанные в
табл. 2.
Средства поверки | Нормативно-техническая характеристика |
Образцовое средство измерения максимальной мощности импульсно-модулированного излучения | Динамический диапазон 103 - 105 Вт Рабочая длина волны 0,53 - 1,06 мкм Длительность импульса излучения 10 - 100 нс Основная погрешность 10% |
Оптический квантовый генератор ЛТИПЧ-7 с блоком питания | Длина волны излучения 0,53; 1,06 мкм Длительность импульса излучения 10 - 15 нс Средняя мощность импульса 0,02 - 0,05 мВт |
Измеритель осциллографический 6ЛОР-04М | Погрешность измерений по оси процесса (напряжения) 5% Погрешность измерения по оси времени 5% |
Высоковольтный источник питания | Диапазон регулировки выходного напряжения 200 - 1000 В Нестабильность +/- 0,02% Ток нагрузки до 5 мА |
Аппарат для чтения микрофильмов "Микрофот 5ПО-1" | Ширина микрофильмов 35 мм Размер кадрового окна 36x40 мм Кратность увеличения 10,6x |
Поверочная установка высшей точности (ПУВТ) для спектральных измерений источников и приемников излучения | Погрешность определения относительных значений спектральной чувствительности на  и  2% |
2.2. Допускается применять другие, вновь разработанные или находящиеся в применении средства поверки, прошедшие метрологическую аттестацию в органах государственной метрологической службы и удовлетворяющие по точности требованиям настоящих методических указаний.
3. УСЛОВИЯ ПОВЕРКИ И ПОДГОТОВКА К НЕЙ
| | ИС МЕГАНОРМ: примечание. ГОСТ 24469-80 утратил силу на территории Российской Федерации с 01.01.2009 в связи с введением в действие ГОСТ Р ИСО 11554-2008 (Приказ Ростехрегулирования от 20.03.2008 N 55-ст). | |
3.1. Поверка должна быть проведена в нормальных условиях по ГОСТ 24469-80 при температуре окружающего воздуха (20 +/- 2) °C.
3.2. Перед проведением поверки должны быть выполнены следующие подготовительные работы: поверяемое средство измерений и образцовое средство измерений должны быть заземлены, установлены в рабочее положение, включены в сеть, прогреты при нормальном напряжении и выдержаны в условиях поверки в течение времени, установленного в технической документации, утвержденной в установленном порядке.
4. ТРЕБОВАНИЯ БЕЗОПАСНОСТИ
4.1. Операции по подготовке к поверке должен проводить персонал, имеющий квалификационную группу не ниже IV в соответствии с "
Правилами устройства электроустановок" и "
Правилами техники безопасности при эксплуатации электроустановок потребителей", утвержденными Госэнергонадзором СССР, а также "Санитарными
правилами при работе с лазерами" N 2392-81, утвержденными Минздравом СССР и требованиями безопасности по ГОСТ 24469-80.
Внешний осмотр должен быть проведен перед включением поверяемого средства измерений в сеть при подготовке к поверке согласно
разд. 3.
При внешнем осмотре должно быть установлено соответствие комплектности поверяемого прибора и его состояния требованиям технической документации, утвержденной в установленном порядке.
5.2.1. При опробовании необходимо:
собрать измерительную схему на оптической скамье ОСК-2 в соответствии с чертежом;
установить формирующую оптику, обеспечивающую формирование пучка лазерного излучения в соответствии с требованиями условий облучения ОСИ максимальной мощности импульсно-модулированного и поверяемого прибора;
проверить надежность заземления корпуса прибора, соединительных муфт и вспомогательного оборудования;
включить пусковые устройства лазера и регистратора;
убедиться в наличии импульса на выходе поверяемого прибора.
5.3. Определение коэффициента преобразования на длине волны

.
5.3.1. Коэффициент преобразования на длине волны

определяют методом сличения с ОСИ максимальной мощности импульсно-модулированного излучения в следующей последовательности:
устанавливают развертку длительностью 60 нс;
устанавливают режим работы оптического квантового генератора ЛТИПЧ-7-1 в соответствии с техническим описанием применяемых средств измерений с длительностью импульсов

;
открывают входное окно ОСИ максимальной мощности 9;
устанавливают перед входным окном нейтральные светофильтры 3, 8, подбирая их плотность так, чтобы обеспечить амплитуду выходного сигнала, равного 0,7 I лин, указанного в технической документации;
определяют коэффициент деления (
Kд) делительной пластины
5, для чего измеряют с помощью двух ОСИ максимальной мощности отраженную от делительной пластины

и прошедшую через нее

доли мощности соответственно; при этом в оптическом тракте перед ОСИ должны быть установлены необходимые светофильтры и диффузно-рассеивающие пластины
4,
7;
вычисляют результат единичного измерения коэффициента деления делительной пластины по формуле

; (1)
проводят пять серий измерений Kд на одном уровне мощности и определяют среднее значение коэффициента деления делительной пластины по формуле

; (2)
замещают ОСИ максимальной мощности поверяемым прибором 10. Снимают осциллограммы импульсов тока с помощью измерителя осциллографического 6ЛОР-04М 6 (не менее пяти импульсов) и измерения соответствующих значений максимальной мощности;
отключают оптический квантовый генератор 1, питание приборов;
извлекают из фотоприставки кассету с пленкой для обработки;
помещают проявленную пленку в "Микрофот 5ПО-1";
определяют по осциллограммам амплитуду импульса тока поверяемого прибора I, А;
рассчитывают значение максимальной мощности импульса излучения на входе поверяемого прибора 10 из соотношения

, (3)
где

- мощность излучения, измеренная с помощью ОСИ (2);
Kд - среднее значение коэффициента деления делительной пластины;
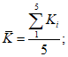
рассчитывают единичное значение коэффициента преобразования Ki по формуле

; (4)
рассчитывают среднее значение коэффициента преобразования

(5)
вычисляют среднее квадратическое отклонение коэффициента преобразования по формуле

(6)
и рассчитывают доверительные границы случайной погрешности с доверительной вероятностью 0,95 из соотношения:

; (7)
определяют границы неисключенной систематической погрешности с доверительной вероятностью 0,95 по формуле

, (8)
где

- неисключенная систематическая составляющая погрешности измерения максимальной мощности излучения

на входе поверяемого прибора, устанавливаемая на основании метрологической аттестации ОСИ

;

- систематическая составляющая погрешности определения амплитуды импульса тока, устанавливаемая по результатам аттестации осциллографического регистратора

;
вычисляют погрешность определения коэффициента преобразования по формуле

, (9)
где

- оценка суммарного среднего квадратического отклонения результата измерения

; (10)
K - коэффициент, зависящий от соотношения случайной и неисключенной систематической погрешностей, вычисляемый по формуле

(11)
5.4. Определение отношения коэффициента преобразования на длинах волн

;

к значению коэффициента преобразования на

производится на поверочной установке высшей точности (Г.Р. N 79007279) в следующей последовательности:
устанавливают прибор за выходной щелью монохроматора;
снимают показания прибора, регистрирующего фототок в диапазоне длин волн от 0,4 до 1,2 мкм, открывая и перекрывая пучок излучения; число отсчетов n = 4 на каждой заданной длине волны; шкалу длин волн проходят от меньших значений к большим и в обратном порядке;
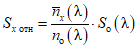
усредняют полученные данные и производят расчет относительной спектральной чувствительности по формуле

, (12)
где
Sxотн и

- относительная чувствительность испытуемого и опорного приемников;

- усредненное показание выходного прибора на длине волны для испытуемого прибора, А;

- градуировочная зависимость для опорного приемника;
рассчитывают отношение

, (13)
принимаемое за отношение коэффициентов преобразования на длинах волн

.
6. ОФОРМЛЕНИЕ РЕЗУЛЬТАТОВ ПОВЕРКИ
6.1. Положительные результаты государственной первичной поверки преобразователей оформляют записью в паспорте, удостоверенной подписью поверителя.
6.2. Положительные результаты государственной периодической поверки оформляют выдачей свидетельства установленной формы.
6.3. Положительные результаты ведомственной поверки оформляют в порядке, установленном ведомственной метрологической службой.
6.4. Преобразователи, не удовлетворяющие требованиям настоящих методических указаний, к выпуску и применению не допускают; на них выдают извещение о непригодности с указанием причин.
Обязательное
Параметр и метрологическая характеристика | Тип преобразователя |
ФК-2 | ФК-15 | ФК-19 | ФК-20 | ФК-26 | ФК-31 |
Коэффициент преобразования, А/Вт, на длине волны: | | | | | | |
0,69 мкм | 4·10-4 | 4·10-4 | 4·10-4 | 4·10-4 | 4·10-4 | 4·10-4 |
1,06 мкм | 2·10-4 | 5·10-5 | 5·10-5 | 5·10-5 | 1·10-4 | 2·10-4 |
Предел линейности преобразования | 3 | 1,5 | 2,5 | 3 | 1,5 | 2 |
Время нарастания импульса электрического тока от 0,1 до 0,9 аналитического значения, с | 8·10-10 | 5·10-10 | 7·10-10 | 8·10-10 | 3·10-11 | 8·10-10 |
Темновой ток, А | 10-6 | 10-6 | 10-6 | 10-6 | 10-6 | 10-7 |
Основная погрешность, % | 15 | 15 | 15 | 15 | 15 | 15 |
Дополнительная погрешность, % | 3 | 3 | 3 | 3 | 3 | 3 |
Нестабильность Kпр в рабочих условиях; в течение 8 ч непрерывной работы, % | - | - | - | - | - | 1 |