
ИС МЕГАНОРМ: примечание. Взамен ГОСТ 10515-75 Постановлением Госстандарта СССР от 15.07.1982 N 2670 с 1 января 1984 года введен в действие ГОСТ 25336-82. |
ИС МЕГАНОРМ: примечание. ГОСТ 5072-79 утратил силу с 1 января 1991 года (ИУС "Государственные стандарты", N 11, 1991). |
ИС МЕГАНОРМ: примечание. ГОСТ 10816-64 утратил силу с 1 января 1985 года (ИУС "Государственные стандарты", N 5, 1988). |
N раствора | Стандартный раствор N 2, мл | Хлороформ, мл | Содержание эритромицина, мкг |
1 | 0 | 15,0 | 0 |
2 | 0,25 | 14,75 | 12,5 |
3 | 0,50 | 14,5 | 25,0 |
4 | 1,0 | 14,0 | 50,0 |
5 | 2,0 | 13,0 | 100,0 |
6 | 3,0 | 12,0 | 150,0 |
7 | 4,0 | 11,0 | 200,0 |


ИС МЕГАНОРМ: примечание. Значения в таблице даны в соответствии с официальным текстом документа. |
°C | Давление P, кПа (мм рт. ст.) | |||||||||
97,33 (730) | 97,86 (734) | 98,4 (738) | 98,93 (742) | 99,46 (746) | 100 (750) | 100,53 (754) | 101,06 (758) | 101,33 (760) | 101,86 (764) | |
-30 | 1,1582 | 1,1646 | 1,1709 | 1,1772 | 1,1836 | 1,1899 | 1,1963 | 1,2026 | 1,2058 | 1,2122 |
-26 | 1,1393 | 1,1456 | 1,1519 | 1,1581 | 1,1644 | 1,1705 | 1,1768 | 1,1831 | 1,1862 | 1,1925 |
-22 | 1,1212 | 1,1274 | 1,1336 | 1,1396 | 1,1458 | 1,1519 | 1,1581 | 1,1643 | 1,1673 | 1,1735 |
-18 | 1,1036 | 1,1097 | 1,1159 | 1,1218 | 1,1278 | 1,1338 | 1,1399 | 1,1400 | 1,1490 | 1,1551 |
-14 | 1,0866 | 1,0926 | 1,0986 | 1,1045 | 1,1105 | 1,1164 | 1,1224 | 1,1284 | 1,1313 | 1,1373 |
-10 | 1,0701 | 1,0760 | 1,0819 | 1,0877 | 1,0986 | 1,0994 | 1,1053 | 1,1112 | 1,1141 | 1,1200 |
-6 | 1,0540 | 1,0599 | 1,0657 | 1,0714 | 1,0772 | 1,0829 | 1,0887 | 1,0945 | 1,0974 | 1,1032 |
-2 | 1,0385 | 1,0442 | 1,0499 | 1,0556 | 1,0613 | 1,0669 | 1,0726 | 1,0784 | 1,0812 | 1,0869 |
0 | 1,0309 | 1,0366 | 1,0423 | 1,0477 | 1,0535 | 1,0591 | 1,0648 | 1,0705 | 1,0733 | 1,0789 |
+2 | 1,0234 | 1,0291 | 1,0347 | 1,0402 | 1,0459 | 1,0514 | 1,0571 | 1,0627 | 1,0655 | 1,0712 |
+6 | 1,0087 | 1,0143 | 1,0198 | 1,0253 | 1,0309 | 1,0363 | 1,0419 | 1,0475 | 1,0502 | 1,0557 |
+10 | 0,9944 | 0,999 | 1,0054 | 1,0108 | 1,0162 | 1,0216 | 1,0272 | 1,0326 | 1,0353 | 1,0407 |
+14 | 0,9806 | 0,9860 | 0,9914 | 0,9967 | 1,0027 | 1,0074 | 1,0128 | 1,0183 | 1,0209 | 1,0263 |
+18 | 0,9671 | 0,9725 | 0,9778 | 0,9880 | 0,9884 | 0,9936 | 0,9989 | 1,0043 | 1,0069 | 1,0122 |
+20 | 0 9605 | 0,9658 | 0,9711 | 0,9783 | 0,9816 | 0,9868 | 0,9921 | 0,9974 | 1,0000 | 1,0053 |
+22 | 0,9539 | 0,9592 | 0,9645 | 0,9696 | 0,9749 | 0,9800 | 0,9853 | 0,9906 | 0,9932 | 0,9985 |
+24 | 0,9475 | 0,9527 | 0,9579 | 0,9631 | 0,9683 | 0,9735 | 0,9787 | 0,9839 | 0,9865 | 0,9917 |
+26 | 0,9412 | 0,9464 | 0,9516 | 0,9566 | 0,9618 | 0,9669 | 0,9721 | 0,9773 | 0,9799 | 0,9851 |
+28 | 0,9349 | 0,9401 | 0,9453 | 0,9503 | 0,9655 | 0,9605 | 0,9657 | 0,9708 | 0,9734 | 0,9785 |
+30 | 0,9288 | 0,9339 | 0,9891 | 0,9440 | 0,9432 | 0,9542 | 0,9594 | 0,9645 | 0,9670 | 0,9723 |
+34 | 0,9167 | 0,9218 | 0,9268 | 0,9318 | 0,9368 | 0,9418 | 0,9468 | 0,9519 | 0,9544 | 0,9595 |
+38 | 0,9049 | 0,9099 | 0,9149 | 0,9198 | 0,248 | 0,9297 | 0,9347 | 0,9397 | 0,9421 | 0,9471 |
N п/п | Методические указания | Организация, представившая методические указания | ||||
1. | Фотометрическое измерение аллилхлорформиата в воздухе рабочей зоны | НИИ гигиены труда и профзаболеваний, г. Горький | ||||
2. | Ионометрическое измерение аммиака в воздухе рабочей зоны | НИУИФ НПО "Минудобрения" и ВЦНИИОТ ВЦСПС, г. Москва | ||||
3. | Газохроматографическое измерение алифатических спиртов C1 - C8 в воздухе рабочей зоны | НИИГТиПЗ, г. Москва | ||||
4. | Газохроматографическое измерение ацетальдегида и винилацетата в воздухе рабочей зоны | НИИГТиПЗ, г. Москва | ||||
5. | Газохроматографическое измерение бензилового спирта, бензилацетата и бензальдегида в воздухе рабочей зоны | Областная СЭС, г. Иваново | ||||
6. | Фотометрическое измерение бензоата моноэтаноламина (ингибитора БМЭА) в воздухе рабочей зоны | НИИ гигиены труда и профзаболеваний, г. Киев | ||||
7. | Газохроматографическое измерение бензола, толуола и п-ксилола в воздухе | ВЦНИИОТ ВЦСПС, г. Москва | ||||
8. | Газохроматографическое измерение бензина и этилацетата в воздухе рабочей зоны с применением пассивных дозиметров | НИИГТиПЗ, г. Москва | ||||
9. | Измерение 3,4-бензапирена методом жидкостной хроматографии в воздухе рабочей зоны | НИИГТиПЗ, г. Москва | ||||
10. | Фотометрическое измерение ванадия и его соединений в воздухе рабочей зоны | ВЦНИИОТ ВЦСПС, г. Москва и ВНИИТБчермет, г. Челябинск | ||||
11. | Газохроматографическое измерение винилфосфата в воздухе рабочей зоны | ВНИИХСЗР, г. Москва | ||||
12. | Фотометрическое измерение гексабромбензола в воздухе рабочей зоны | ВНИИГИНТОКС, г. Киев | ||||
13. | Хроматографическое измерение гексаметилендиамина в воздухе рабочей зоны | НИИГТиПЗ, г. Тбилиси | ||||
14. | Хроматографическое измерение гексаметилендиаммонийсебацината в воздухе рабочей зоны | НИИГТиПЗ, г. Тбилиси | ||||
15. | Фотометрическое измерение диборана в воздухе рабочей зоны | НИИ гигиены труда и профзаболеваний АМН СССР, г. Москва | ||||
16. | Газохроматографическое измерение диизопропилфосфита в воздухе рабочей зоны | ВНИИХСЗР, г. Москва | ||||
17. | Измерение диизопропилтиофосфата аммония методом тонкослойной хроматографии в воздухе рабочей зоны | Медицинский институт, г. Львов | ||||
18. | Фотометрическое измерение дихлоркарбоновых кислот в воздухе рабочей зоны | Областная СЭС, г. Караганда | ||||
| ||||||
19. | Газохроматографическое измерение О,О-диметил-2,2-дихлорвинилфосфата (дихлорфос, ДДВФ) в воздухе рабочей зоны | НИИГТиПЗ, г. Москва | ||||
20. | Фотометрическое измерение диапетама-5 в воздухе рабочей зоны | Областная СЭС, г. Караганда | ||||
21. | Измерение дикетона методом тонкослойной хроматографии в воздухе рабочей зоны | ВНИТИ гербицидов и регуляторов роста растений, г. Уфа | ||||
22. | Газохроматографическое измерение | Университет Дружбы народов им. П. Лумумбы, г. Москва | ||||
23. | Фотометрическое измерение диметпрамида в воздухе рабочей зоны | Филиал НИХФИ, Московская обл., Купавна | ||||
24. | Фотометрическое измерение диметилциклогексиламина в воздухе рабочей зоны | НИИ гигиены труда и профзаболеваний, г. Горький | ||||
25. | Газохроматографическое измерение | НИИГТиПЗ, г. Москва | ||||
26. | Газохроматографическое измерение диэтиленгликоля и моноэтилового эфира триэтиленгликоля в воздухе рабочей зоны | Филиал ГосНИИхлорпроект, г. Киев | ||||
27. | Измерение изопропаноламинов методом тонкослойной хроматографии в воздухе рабочей зоны | НИИ гигиены труда и профзаболеваний, г. Киев | ||||
28. | Фотометрическое измерение ингибитора ДПФ-1 в воздухе рабочей зоны | Медицинский институт, г. Рига | ||||
29. | Фотометрическое измерение ингибитора ВНХ-Л-49 в воздухе рабочей зоны | НИИ гигиены труда и профзаболеваний, г. Киев | ||||
30. | Измерение ингибитора ВНХ-5 методом тонкослойной хроматографии в воздухе рабочей зоны | НИИ гигиены труда и профзаболеваний, г. Киев | ||||
31. | Полярографическое измерение оксида индия в воздухе рабочей зоны | Первый Московский медицинский институт им. Сеченова | ||||
32. | Измерение сульфата калия, калийной магнезии и хлорида калия методом пламенной фотометрии в воздухе | Первый Московский медицинский институт им. Сеченова | ||||
33. | Фотометрическое измерение карбоцидов 114 и 213 в воздухе рабочей зоны | Белорусский НИ санитарно-гигиенический институт, г. Минск | ||||
34. | Фотометрическое измерение лизина в воздухе рабочей зоны | ВНИИбиотехника, г. Москва | ||||
35. | Атомно-абсорбционное измерение люминофора ФЛД-605 в воздухе рабочей зоны | ВНИИлюминофоров, г. Ставрополь | ||||
36. | Фотометрическое измерение метилморфолиноксида в воздухе рабочей зоны | НИИГТиПЗ, г. Москва | ||||
37. | Фотометрическое измерение мафенида ацетата в воздухе рабочей зоны | Купавинский филиал, НИХФИ, Московская обл. | ||||
38. | Фотометрическое измерение п-нитробензоилхлорида в воздухе рабочей зоны | НИИ гигиены труда и профзаболеваний, г. Харьков | ||||
39. | Фотометрическое измерение 1,2-пропиленгликоля в воздухе рабочей зоны | НИИГТиПЗ, г. Москва | ||||
40. | Газохроматографическое измерение изопропилового, н-бутилового и диацетонового спиртов в воздухе рабочей зоны | ВЦНИИОТ ВЦСПС, г. Москва | ||||
41. | Газохроматографическое измерение изопропилового спирта и диизопропилового эфира в воздухе рабочей зоны | НИИ гигиены труда и профзаболеваний, г. Сумгаит | ||||
42. | Газохроматографическое измерение ПХМЦП (перхлор-4-метиленциклопентен) в воздухе рабочей зоны | ВНИТИ гербицидов и регуляторов роста растений, г. Уфа | ||||
43. | Измерение рицида П методом тонкослойной хроматографии в воздухе рабочей зоны | Медицинский институт, г. Львов | ||||
44. | Газохроматографическое измерение рицида П в воздухе рабочей зоны | ВНИИХСЗР, г. Москва | ||||
45. | Атомно-абсорбционное измерение неорганических соединений ртути в воздухе рабочей зоны | ЦОЛИУВ, г. Москва | ||||
46. | Атомно-абсорбционное измерение серебра и его соединений в воздухе рабочей зоны | ЦОЛИУВ, г. Москва | ||||
47. | Газохроматографическое измерение себациновой кислоты в воздухе рабочей зоны | НИИГТиПЗ, г. Тбилиси | ||||
48. | Фотометрическое измерение сульфалена в воздухе рабочей зоны | Филиал ВНИХФИ, Московская обл., Купавна | ||||
49. | Полярографическое измерение селенида цинка в воздухе рабочей зоны | Государственный Университет, г. Москва | ||||
50. | Атомно-абсорбционное измерение термолюминофора Т-440 в воздухе рабочей зоны | ВНИИлюминофоров, г. Ставрополь | ||||
51. | Газохроматографические измерения | Университет Дружбы народов им. П. Лумумбы, г. Москва | ||||
52. | Титриметрическое измерение тиосульфата аммония в воздухе рабочей зоны | НИИ общей гигиены и профзаболеваний, г. Ереван | ||||
53. | Измерение трициклогексилоловогидроксида методом тонкослойной хроматографии в воздухе рабочей зоны | Филиал ВНИИ гигиены и токсикологии пестицидов, полимеров и пластических масс, г. Ереван | ||||
54. | Измерение трициклогексилоловохлорида и дициклогексилоловооксида методом тонкослойной хроматографии в воздухе рабочей зоны | " | ||||
55. | Фотометрическое измерение тиурама ЭСР в воздухе рабочей зоны | НИИ резины, г. Москва | ||||
56. | Фотометрическое измерение формальдегида в воздухе рабочей зоны | ВЦНИИОТ ВЦСПС, г. Москва | ||||
57. | Фотометрическое измерение формальдегида и метанола в воздухе рабочей зоны | НИИ гигиены труда и профзаболеваний, г. Донецк, и НИИ гигиены им. Ф.Ф. Эрисмана, Московская область | ||||
58. | Газохроматографическое измерение продуктов термодеструкции фенолоформальдегидных смол (метанола, бензола, толуола, м-ксилола, фенола, о- и п-крезолов, 2,4- и 2,6-ксиленолов) в воздухе рабочей зоны | ВНИИОТ, г. Свердловск | ||||
59. | Газохроматографическое измерение хлористого цетила и этила в воздухе рабочей зоны | Химзавод, г. Данков | ||||
60. | Спектрографическое измерение хлорплатината аммония и хлорпалладозамина в воздухе рабочей зоны | ЦОЛИУВ, Москва | ||||
61. | Газохроматографическое измерение циклогексанона и циклогексанола в воздухе рабочей зоны | НИИ гигиены им. Ф.Ф. Эрисмана, Московская область | ||||
62. | Газохроматографическое измерение циклогексанона и метилизобутилкетона в воздухе рабочей зоны | НИИ гигиены им. Ф.Ф. Эрисмана, Московская обл. | ||||
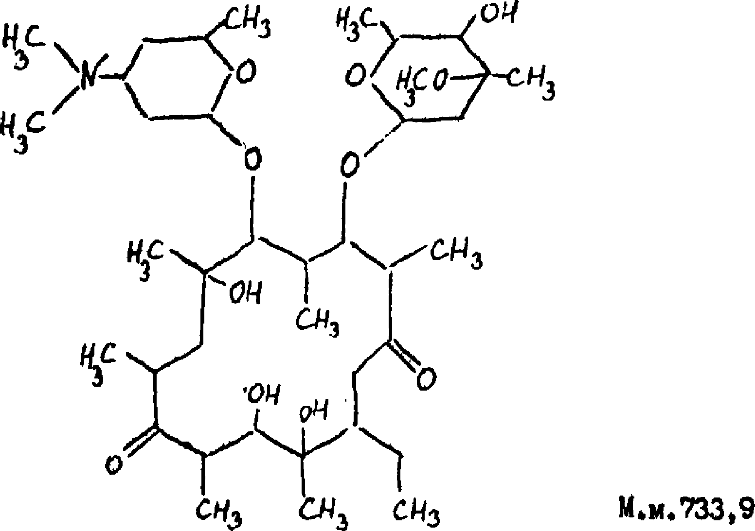
63. | Фотометрическое измерение эритромицина в воздухе рабочей зоны | ВНИИ антибиотиков, г. Москва | ||||
64. | Фотометрическое измерение этилендиамина и полиэтиленполиаминов в воздухе рабочей зоны | НИИ гигиены труда и профзаболеваний, г. Донецк | ||||
65. | Газохроматографическое измерение эпихлоргидрина в воздухе рабочей зоны | ВНИИОТ ВЦСПС, г. Москва | ||||
66. | Газохроматографическое измерение этилцеллозольва в воздухе рабочей зоны | НИИГТиПЗ, г. Москва | ||||
67. | Газохроматографическое измерение ЭФ-2 (3,3-дихлорбицикло/2,2/1/-гепт-5-ен-2-спиро/2(4-5-дихлор-4-циклопентен-1-3-дион) в воздухе рабочей зоны | ВНИТИ гербицидов и регуляторов роста растений, г. Уфа | ||||
68. | Фотометрическое измерение в воздухе рабочей зоны | НИИГТиПЗ, г. Москва | ||||