Главная // Актуальные документы // Методические указания
СПРАВКА
Источник публикации
"Методические указания по измерению концентраций вредных веществ в воздухе рабочей зоны (переработанные технические условия, выпуск N 9)". Сборник. М., 1986
Примечание к документу
Название документа
"Методические указания по фотометрическому измерению концентраций олова и его неорганических соединений в воздухе рабочей зоны"
(утв. Минздравом СССР 06.11.1986 N 4186-86)


"Методические указания по фотометрическому измерению концентраций олова и его неорганических соединений в воздухе рабочей зоны"
(утв. Минздравом СССР 06.11.1986 N 4186-86)


Содержание


Утверждаю
Заместитель Главного
государственного
санитарного врача СССР
А.И.ЗАИЧЕНКО
6 ноября 1986 г. N 4186-86
МЕТОДИЧЕСКИЕ УКАЗАНИЯ
ПО ФОТОМЕТРИЧЕСКОМУ ИЗМЕРЕНИЮ КОНЦЕНТРАЦИЙ ОЛОВА
И ЕГО НЕОРГАНИЧЕСКИХ СОЕДИНЕНИЙ В ВОЗДУХЕ РАБОЧЕЙ ЗОНЫ
Sn М.м. 118,69
Олово - серебристо-белый мягкий металл с температурой плавления 231,9 °C, температурой кипения 2360 °C.
В воздухе находится в виде аэрозоля.
1. Характеристика метода
Определение основано на восстановлении двувалентным оловом фосфоромолибденовой кислоты до молибденовой сини.
Отбор проб проводится с концентрированием на фильтре.
Предел измерения олова 0,5 мкг в анализируемом объеме пробы.
Предел измерения олова в воздухе 0,2 мг/куб. м (при отборе 10 л воздуха).
Диапазон измеряемых концентраций олова 0,2 - 5 мг/куб. м.
Граница суммарной погрешности измерения олова в воздухе не превышает +/- 25%.
Предельно допустимая концентрация олова в воздухе не установлена.
2. Реактивы, растворы и материалы
Олово гранулированное, чда, ТУ 6-09-2704-78.
Основной стандартный раствор с содержанием олова 1 мг/мл готовят растворением 1 г чистого олова в 100 мл концентрированной соляной кислоты. По охлаждении раствор переводят в литровую мерную колбу и доводят водой раствор до метки.
Стандартный раствор с содержанием олова 10 мкг/мл готовят соответствующим разбавлением основного стандартного раствора.
Раствор устойчив в течение недели.
Кислота соляная, хч, ГОСТ 3118-77, 1:1 и конц.
Кислота молибденовая, чда, ТУ 6-09-2154-77.
Натрия гидроокись, хч, ГОСТ 4328-77, 1 н раствор.
Кислота серная, хч, ГОСТ 4204-77, 2 н раствор.
Натрий фосфорнокислый, однозамещенный, чда, ГОСТ 245-76.
Составной реактив готовят смешиванием растворов молибденовой кислоты и фосфата натрия:
а) 2,5 г молибденовой кислоты растворяют в 50 мл 1 н раствора едкого
натра и разбавляют до 100 мл 2 н H SO ;
2 4
б) 0,44 г фосфата натрия (однозамещенного) растворяют в 100 мл воды.
Перед употреблением смешивают - 10 мл раствора (а) с 8 мл раствора (б) и полученную смесь доводят водой до 200 мл.
Фильтры АФА-ВП-20.
3. Приборы и посуда
Фотоэлектроколориметр.
Аспирационное устройство.
Фильтродержатели.
Пробирки колориметрические из бесцветного стекла, высотой 120 мм, плоскодонные с внутренним диаметром 15 мм.
Пипетки, ГОСТ 20292-74, вместимостью 1,2 и 5 мл.
Стаканы стеклянные, вместимостью 50 мл, ГОСТ 19908-80.
Колбы мерные, ГОСТ 1770-74, вместимостью 100 и 1000 мл.
4. Проведение измерения
Условия отбора проб воздуха
Воздух со скоростью 1 л/мин. аспирируют через фильтр АФА, помещенный в фильтродержатель. Для анализа достаточно отобрать 2 л воздуха. Пробы сохраняются в течение недели.
Условия анализа
Фильтр с отобранной пробой помещают в стакан, смачивают 2 - 3 каплями этилового спирта и обрабатывают горячим раствором соляной 1:1 по 5 мл два раза. Промывные жидкости сливают вместе, доводят объем до 15 мл. На анализ берут 4 мл пробы, прибавляют по 1 мл составного реактива, содержимое пробирок перемешивают и через 5 мин. фотометрируют в кюветах с толщиной слоя 10 мм при длине волны 640 нм по сравнению с контролем, который готовят одновременно и аналогично пробам.
Содержание олова в анализируемом объеме определяют по предварительно построенному градуировочному графику. Для построения градуировочного графика готовят шкалу стандартов согласно таблице.
Таблица 20
ШКАЛА СТАНДАРТОВ
┌─────────┬───────────────────┬───────────────┬─────────┬─────────────────┐
│ Номер │Стандартный раствор│Соляная кислота│Составной│Содержание олова,│
│стандарта│ (10 мкг/мл), мл │ (1:1), мл │ реактив │ мкг │
├─────────┼───────────────────┼───────────────┼─────────┼─────────────────┤
│1 │0 │4,0 │по 1 мл │0 │
│2 │0,05 │3,95 │во все │0,5 │
│3 │0,1 │3,9 │пробирки │1,0 │
│4 │0,2 │3,8 │ │2,0 │
│5 │0,4 │3,6 │ │4,0 │
│6 │0,6 │3,4 │ │6,0 │
│7 │0,8 │3,2 │ │8,0 │
└─────────┴───────────────────┴───────────────┴─────────┴─────────────────┘
Все пробирки шкалы обрабатывают аналогично пробам, измеряют оптическую плотность и строят график. Шкалой стандартов можно пользоваться и для визуального определения, ее готовят в колориметрических пробирках одновременно с пробами.
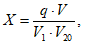
Концентрацию олова в мг/куб. м воздуха (X) вычисляют по формуле:
где:
q - количество олова, найденное в анализируемом объеме пробы, мкг;
V - объем пробы, взятый для анализа, мл;
1
V - общий объем пробы, мл;
V - объем воздуха, отобранный для анализа и приведенный к
20
стандартным условиям по формуле (см. приложение 1 - не приводится), л.