Главная // Актуальные документы // Методические указания
СПРАВКА
Источник публикации
М.: Информационно-издательский центр Госкомсанэпиднадзора Российской Федерации, 1993
"Методические указания по измерению концентрации вредных веществ в воздухе рабочей зоны. Выпуск 28"
Примечание к документу
Документ включен в Перечень основных действующих нормативно-методических документов по методам лабораторного и инструментального контроля в системе государственного санитарно-эпидемиологического нормирования (Письмо Роспотребнадзора от 02.12.2008 N 01/14262-8-32).
Название документа
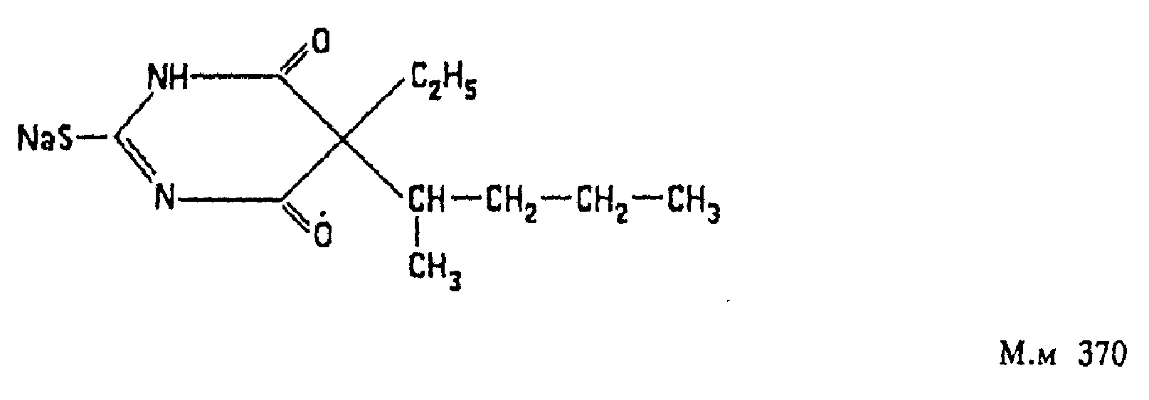
"Методические указания по фотометрическому измерению концентраций 5-(1-метилбутил)-5-этилбарбитурата натрия (тиопентал-натрия) в воздухе рабочей зоны"
(утв. Минздравом СССР 10.10.1991 N 5984-91)

"Методические указания по фотометрическому измерению концентраций 5-(1-метилбутил)-5-этилбарбитурата натрия (тиопентал-натрия) в воздухе рабочей зоны"
(утв. Минздравом СССР 10.10.1991 N 5984-91)


Содержание


Утверждаю
Заместитель Главного
государственного
санитарного врача СССР
М.И.НАРКЕВИЧ
10 октября 1991 г. N 5984-91
МЕТОДИЧЕСКИЕ УКАЗАНИЯ
ПО ФОТОМЕТРИЧЕСКОМУ ИЗМЕРЕНИЮ КОНЦЕНТРАЦИЙ
5-(1-МЕТИЛБУТИЛ)-5-ЭТИЛБАРБИТУРАТА НАТРИЯ
(ТИОПЕНТАЛ-НАТРИЯ) В ВОЗДУХЕ РАБОЧЕЙ ЗОНЫ
Предисловие
Методические указания по измерению концентраций вредных веществ в воздухе рабочей зоны предназначены для санитарно-эпидемиологических станций и санитарных лабораторий промышленных предприятий при осуществлении контроля за содержанием вредных веществ в воздухе рабочей зоны, а также научно-исследовательских институтов системы здравоохранения России и других заинтересованных министерств и ведомств.
Методические указания разрабатываются и утверждаются с целью обеспечения контроля соответствия фактических концентраций вредных веществ в воздухе рабочей зоны их предельно допустимым концентрациям (ПДК) - санитарно-гигиеническим нормативам, утвержденным Министерством здравоохранения СССР, оценки эффективности внедренных санитарно-гигиенических мероприятий, установления необходимости использования средств индивидуальной защиты органов дыхания, оценки влияния вредных веществ на состояние здоровья работающих и др.
Включенные в данный выпуск Методические указания подготовлены в соответствии с требованиями ГОСТ 12.1.005-88 "ССБТ. Общие санитарно-гигиенические требования к воздуху рабочей зоны" и ГОСТ 12.1.016-79 "ССБТ. Воздух рабочей зоны. Требования к методикам измерения концентраций вредных веществ" и обеспечивают избирательное измерение концентраций вредных веществ в воздухе рабочей зоны в присутствии сопутствующих компонентов на уровне 0,5 ПДК. Погрешность измерений концентраций вредного вещества, состоящая из суммы неисключенных систематической и случайной погрешностей, не превышает 25%.
Методические указания одобрены Проблемной комиссии "Научные основы гигиены труда и профессиональной патологии" и являются обязательными при осуществлении вышеуказанного контроля.
Ответственные за выпуск: С.И. Муравьева, Г.А. Дьякова, К.М. Грачева.
Тиопентал-Na - сухая пористая масса желтоватого или желтовато-зеленоватого цвета со своеобразным запахом. Гигроскопичен. Легко растворим в воде, растворим в NaOH, практически нерастворим в бензоле, эфире.
В воздухе находится в виде аэрозоля.
Тиопентал-Na относится к высокоопасным веществам, оказывает местное раздражающее действие на кожу. При подостром отравлении оказывает токсическое действие на кровь, почки, печень. Выраженными кумулятивными свойствами не обладает.
ОБУВ в воздухе - 0,3 мг/куб. м.
Характеристика метода
Определение основано на экстракционно-фотометрическом измерении окрашенного продукта при взаимодействии производных барбитуровой кислоты с реактивом Фелинга (Реакция Цвиккера) при 400 нм.
Отбор проб воздуха проводят с концентрированием на фильтр.
Нижний предел измерения концентрации вещества в анализируемом растворе - 50 мкг.
Нижний предел измерения содержания вещества в воздухе - 0,15 мг/куб. м (при отборе 330 л воздуха).
Диапазон измеряемых концентраций от 0,15 до 1,8 мг/куб. м.
Суммарная погрешность не превышает 15%.
Время выполнения измерения, включая отбор пробы, 32 мин.
Приборы, аппаратура, посуда
Аспирационное устройство.
Фильтродержатели.
Фильтр АФА-ВП-10.
Спектрофотометр СФ-26 или подобного типа.
ИС МЕГАНОРМ: примечание.
Взамен ГОСТ 23932-79 Постановлением Госстандарта СССР от 25.05.1990 N 1307 с 1 июля 1991 года введен в действие ГОСТ 23932-90.
Стаканы химические, ГОСТ 23932-79, вместимостью 50 мл.
Колбы мерные, ГОСТ 1770-74, вместимостью 100 мл.
Пипетки, ГОСТ 20292-74, вместимостью 1, 2, 5 мл.
Пробирки мерные, ГОСТ 1770-74, вместимостью 10 мл.
Воронка делительная, ГОСТ 25336-82, вместимостью 100 мл.
ИС МЕГАНОРМ: примечание.
Взамен ГОСТ 24104-80 с 1 января 1989 года Постановлением Госстандарта СССР от 23.06.1988 N 2472 введен в действие ГОСТ 24104-88. Взамен ГОСТ 24104-88 с 1 июля 2002 года Постановлением Госстандарта России от 26.10.2001 N 439-ст введен в действие ГОСТ 24104-2001.
Весы аналитические, ГОСТ 24104-80.
Реактивы, растворы, материалы
Тиопентал-Na, ГФ X, ст. 677.
Стандартный раствор N 1 с концентрацией 1 мг/мл тиопентала-Na готовят растворением 0,1 г вещества в дистиллированной воде в мерной колбе вместимостью 100 мл.
Стандартный раствор N 2, содержащий 0,1 мг/мл, готовят соответствующим разбавлением дистиллированной водой стандартного раствора N 1. Растворы готовят перед употреблением.
Реактив Фелинга состоит из двух растворов, приготовленных отдельно:
1 - 17,3 г сеньетовой соли и 6 г едкого натра растворяют в 50 мл воды;
2 - 3,5 г перекристаллизованного сульфата меди растворяют в 50 мл воды.
Реактивом служит смесь равных объемов обоих растворов. Готовят раствор перед употреблением. Для анализа используют реактив, разбавленный водой в 10 раз.
Смесь пиперидина с хлороформом 1:9.
Пиперидин, ГУ 6-09-3673-74.
Хлороформ, ГФ X, ст. 161.
Отбор пробы воздуха
Воздух с объемным расходом 25 л/мин. аспирируют через фильтр АФА-ВП-10. Для измерения 1/2 ОБУВ следует отобрать 330 л воздуха. Пробы сохраняются в течение 5 дней.
Подготовка к измерению
Градуировочные растворы (устойчивы в течение 10 минут) готовят согласно таблице 34.
Таблица 34
ШКАЛА ГРАДУИРОВОЧНЫХ РАСТВОРОВ
┌─────────┬─────────────────┬───────────────┬─────────────────────────────┐
│ N │ Стандартный │ Хлороформ, │ Содержание тиопентала-Na в │
│стандарта│ раствор N 2, мл │ мл │ анализируемом растворе, мкг │
├─────────┼─────────────────┼───────────────┼─────────────────────────────┤
│1 │0 │5,0 │0 │
│2 │0,05 │5,0 │50 │
│3 │0,1 │5,0 │100 │
│4 │0,2 │5,0 │200 │
│5 │0,3 │5,0 │300 │
│6 │0,4 │5,0 │400 │
│7 │0,5 │5,0 │500 │
│8 │0,6 │5,0 │600 │
└─────────┴─────────────────┴───────────────┴─────────────────────────────┘
В делительную воронку помещают от 0,1 до 0,6 мл стандартного раствора N 2, затем последовательно приливают по 0,2 мл смеси пиперидина с хлороформом и реактива Фелинга, содержимое перемешивают и экстрагируют 2,5 мл хлороформа в течение 1 мин., повторяя экстракцию два раза. Экстракты сливают в мерную пробирку, доводят объем до 5 мл хлороформом и перемешивают.
Измеряют величину оптической плотности полученного раствора при длине волны 400 нм в кювете с толщиной поглощающего слоя 10 мм по отношению к раствору сравнения, не содержащему определяемого вещества.
Кюветы при измерении должны быть закрыты крышками.
Строят градуировочный график в координатах: на ось ординат наносят значения оптической плотности градуировочных растворов, на ось абсцисс - соответствующие им величины содержания тиопентала-Na в градуировочном растворе (мкг).
Проверка градуировочного графика проводится 1 раз в 3 месяца или в случае использования новой партии реактивов.
Проведение измерения
Фильтр с пробой помещают в стакан вместимостью 50 мл, приливают 5 мл воды, взбалтывают в течение 5 минут, затем фильтр отжимают стеклянной палочкой.
Полученный раствор помещают в делительную воронку и, последовательно прибавив к нему по 0,2 мл смеси и реактива Фелинга, экстрагируют 2,5 мл хлороформа в течение 1 мин. Экстракцию проводят дважды. Экстракты сливают в мерную пробирку, доводят объем до 5 мл хлороформом и перемешивают.
Оптическую плотность анализируемого раствора пробы измеряют аналогично градуировочным растворам по отношению к раствору сравнения, который готовят одновременно и аналогично пробе, используя чистый фильтр.
Количественное определение концентрации тиопентала-Na в мг в анализируемой пробе проводят по предварительно построенному градуировочному графику.
Расчет концентрации
Концентрацию тиопентала-Na "С" в воздухе (в мг/куб. м) вычисляют по формуле:
С = (а x 1000) / V,
где
а - содержание вещества в анализируемом объеме раствора пробы, найденное по градуировочному графику, мкг;
V - объем воздуха (в л), отобранный для анализа и приведенный к стандартным условиям (см. Приложение 1).
Приложение 1
Справочное
Приведение объема воздуха к условиям по ГОСТ 12.1.016-79 (температура 20 °С, давление 760 мм рт. ст.) проводят по следующей формуле:
V х (273 + 20) х Р
t
С = -------------------,
(273 + t°) х 101,33
где:
V - объем воздуха, отобранный для анализа, л;
t
Р - барометрическое давление, кПа; (101,33 кПа = 760 мм рт. ст.);
t° - температура воздуха в месте отбора пробы, °С.
Для удобства расчета V следует пользоваться таблицей коэффициентов
(Приложение 2). Для приведения объема воздуха к температуре 20 °С и к
давлению 760 мм рт. ст. надо умножить V на соответствующий коэффициент.
t
Приложение 2
Справочное
КОЭФФИЦИЕНТ К
ДЛЯ ПРИВЕДЕНИЯ ОБЪЕМА ВОЗДУХА К УСЛОВИЯМ
ПО ГОСТ 12.1.016-79
┌───┬─────────────────────────────────────────────────────────────────────┐
│°С │ Давление Р, кПа (мм рт. ст.) │
│ ├──────┬──────┬──────┬──────┬──────┬──────┬──────┬──────┬──────┬──────┤
│ │97,33 │97,86 │ 98,4 │98,93 │99,46 │ 100 │100,53│101,06│101,33│101,86│
│ │(730) │(734) │(738) │(742) │(746) │(750) │(754) │(758) │(760) │(764) │
├───┼──────┼──────┼──────┼──────┼──────┼──────┼──────┼──────┼──────┼──────┤
│-30│1,1582│1,1646│1,1709│1,1772│1,1836│1,1899│1,1963│1,2026│1,2058│1,2122│
│-26│1,1393│1,1456│1,1519│1,1581│1,1644│1,1705│1,1763│1,1831│1,1862│1,1925│
│-22│1,1212│1,1274│1,1336│1,1396│1,1458│1,1519│1,1581│1,1643│1,1673│1,1735│
│-18│1,1036│1,1097│1,1159│1,1218│1,1278│1,1338│1,1399│1,1460│1,1490│1,1551│
│-14│1,0866│1,0926│1,0986│1,1045│1,1105│1,1164│1,1224│1,1284│1,1313│1,1373│
│-10│1,0701│1,0760│1,0819│1,0877│1,0986│1,0994│1,1053│1,1112│1,1141│1,1200│
│-06│1,0640│1,0599│1,0657│1,0714│1,0772│1,0829│1,0887│1,0945│1,0974│1,1032│
│-02│1,0385│1,0442│1,0499│1,0556│1,0613│1,0669│1,0726│1,0784│1,0812│1,0869│
│0 │1,0309│1,0366│1,0423│1,0477│1,0535│1,0591│1,0648│1,0705│1,0733│1,0789│
│+02│1,0234│1,0291│1,0347│1,0402│1,0459│1,0514│1,0571│1,0627│1,0655│1,0712│
│+06│1,0087│1,0143│1,0198│1,0253│1,0309│1,0363│1,0419│1,0475│1,0502│1,0557│
│+10│0,9944│0,9990│1,0054│1,0108│1,0162│1,0216│1,0272│1,0326│1,0353│1,0407│
│+14│0,9806│0,9860│0,9914│0,9967│1,0027│1,0074│1,0128│1,0183│1,0209│1,0263│
│+18│0,9671│0,9725│0,9778│0,9880│0,9884│0,9936│0,9989│1,0043│1,0069│1,0122│
│+20│0,9605│0,9658│0,9711│0,9783│0,9816│0,9868│0,9921│0,9974│1,0000│1,0053│
│+22│0,9539│0,9592│0,9645│0,9696│0,9749│0,9800│0,9853│0,9906│0,9932│0,9985│
│+24│0,9475│0,9527│0,9579│0,9631│0,9683│0,9735│0,9787│0,9839│0,9865│0,9917│
│+26│0,9412│0,9464│0,9516│0,9566│0,9618│0,9669│0,9721│0,9773│0,9755│0,9851│
│+28│0,9349│0,9401│0,9453│0,9503│0,9955│0,9605│0,9657│0,9708│0,9734│0,9785│
│+30│0,9288│0,9339│0,9391│0,9440│0,9432│0,9542│0,9594│0,9646│0,9670│0,9723│
│+34│0,9167│0,9218│0,9268│0,9318│0,9368│0,9418│0,9468│0,9519│0,9544│0,9595│
│+38│0,9049│0,9099│0,9149│0,9198│0,9248│0,9297│0,9347│0,9397│0,9421│0,9471│
└───┴──────┴──────┴──────┴──────┴──────┴──────┴──────┴──────┴──────┴──────┘
Приложение 3
Не приводится