Главная // Актуальные документы // Методические рекомендацииСПРАВКА
Источник публикации
М., 2019
Примечание к документу
Текст документа приведен в соответствии с публикацией на сайте http://rosavtodor.ru по состоянию на 30.09.2019.
Документ рекомендован к применению с 26 сентября 2019 года
Распоряжением Росавтодора от 26.09.2019 N 2604-р.
Название документа
"ОДМ 218.3.089-2019. Отраслевой дорожный методический документ. Методические рекомендации по опытному применению напрягаемой арматуры из высокопрочных композиционных материалов для усиления железобетонных конструкций мостов"
(издан на основании Распоряжения Росавтодора от 26.09.2019 N 2604-р)
"ОДМ 218.3.089-2019. Отраслевой дорожный методический документ. Методические рекомендации по опытному применению напрягаемой арматуры из высокопрочных композиционных материалов для усиления железобетонных конструкций мостов"
(издан на основании Распоряжения Росавтодора от 26.09.2019 N 2604-р)
Издан на основании
дорожного агентства
от 26 сентября 2019 г. N 2604-р
ОТРАСЛЕВОЙ ДОРОЖНЫЙ МЕТОДИЧЕСКИЙ ДОКУМЕНТ
МЕТОДИЧЕСКИЕ РЕКОМЕНДАЦИИ
ПО ОПЫТНОМУ ПРИМЕНЕНИЮ НАПРЯГАЕМОЙ АРМАТУРЫ
ИЗ ВЫСОКОПРОЧНЫХ КОМПОЗИЦИОННЫХ МАТЕРИАЛОВ
ДЛЯ УСИЛЕНИЯ ЖЕЛЕЗОБЕТОННЫХ КОНСТРУКЦИЙ МОСТОВ
ОДМ 218.3.089-2019
1. РАЗРАБОТАН Национальным Институтом Авиационных Технологий ОАО НИАТ
2. ВНЕСЕН Управлением строительства и эксплуатации автомобильных дорог Федерального дорожного агентства
3. ИЗДАН на основании
распоряжения Федерального дорожного агентства от 26.09.2019 N 2604-р
4. ИМЕЕТ РЕКОМЕНДАТЕЛЬНЫЙ ХАРАКТЕР
Отраслевой дорожный методический документ "Методические рекомендации по опытному применению напрягаемой арматуры из высокопрочных композиционных материалов для усиления железобетонных конструкций мостов" (далее - методический документ) разработан в соответствии с законодательными и нормативными документами, действующими в дорожном хозяйстве, и носит рекомендательный характер [
1,
2,
6,
8].
Настоящий методический документ разработан для использования органами управления дорожным хозяйством Российской Федерации при проведении работ по усилению железобетонных конструкций мостов напрягаемой арматурой из высокопрочных композиционных материалов.
В настоящих рекомендациях использованы ссылки на следующие нормативно-технические документы и стандарты.
1.
СП 35.13330.2011. Свод правил. Мосты и трубы. Актуализированная редакция СНиП 2.05.03-84*.
2.
ГОСТ 27751-2014. Межгосударственный стандарт. Надежность строительных конструкций и оснований. Основные положения.
3.
СП 79.13330.2012. Свод правил. Мосты и трубы. Правила обследований и испытаний. Актуализированная редакция СНиП 3.06.07-86.
| | ИС МЕГАНОРМ: примечание. В официальном тексте документа, видимо, допущена опечатка: стандарт имеет номер ГОСТ 10587-84, а не ГОСТ 10587-93. | |
4.
ГОСТ 10587-93. Смолы эпоксидно-диановые неотвержденные. Технические условия.
6. ГОСТ 10187-75. ССБТ. Противогазы и респираторы промышленные фильтрационные. Метод определения времени защитного действия фильтрующе-поглощающих коробок по парам ртути; Л09; ГОСТ 12.4.161-75; 8 - 8,5.
7.
СП 46.13330.2012. Свод правил. Мосты и трубы. Актуализированная редакция СНиП 3.06.04-91.
8.
СНиП 12-03-2001. Безопасность труда в строительстве. Часть 1. Общие требования.
| | ИС МЕГАНОРМ: примечание. В официальном тексте документа, видимо, допущена опечатка: стандарт "Вредные вещества. Классификация и общие требования безопасности" имеет номер ГОСТ 12.1.007-76*. | |
9.
ССБТ. Вредные вещества. Классификация и общие требования безопасности.
10.
ГОСТ 12.3.002-75*. ССБТ. Процессы производственные. Общие требования безопасности.
12.
ГОСТ 12.3.016-87. ССБТ. Строительство. Работы антикоррозионные. Требования безопасности. Взамен ГОСТ 12.3.016-79.
| | ИС МЕГАНОРМ: примечание. В официальном тексте документа, видимо, допущена опечатка: стандарт "Пожарная техника для защиты объектов" имеет номер ГОСТ 12.4.009-83. | |
13.
ССБТ. Пожарная техника для защиты объектов. Взамен ГОСТ 12.4.009-75.
14.
ГОСТ 12.0.004-90. Организация обучения безопасности труда. Общие положения. Утвержден 05.11.1990 г. после Госстандарта СССР N 2797. Взамен ГОСТ 12.0.004-79.
15.
ВСН 37-84. Инструкция по организации движения и ограждения мест производства дорожных работ.
16.
ГОСТ 12.4.011-89. ССБТ. Средства защиты работающих. Общие требования и классификация. Взамен ГОСТ 12.4.011-75.
| | ИС МЕГАНОРМ: примечание. В официальном тексте документа, видимо, допущена опечатка: стандарт "Покрытия лакокрасочные. Подготовка металлических поверхностей перед окрашиванием" имеет номер ГОСТ 9.025-80. | |
17.
ЕСЭКС. Покрытия лакокрасочные. Подготовка металлических поверхностей перед окрашиванием. Взамен ГОСТ 9.025-74.
18.
ГОСТ 12.4.068-79*. ССБТ. Средства индивидуальной защиты дерматологические. Классификация и общие требования.
19.
ГОСТ 12.1.013-78. ССБТ. Строительство. Электробезопасность. Общие требования.
20.
ГОСТ 2.601-2006 "Единая система конструкторской документации. Эксплуатационные документы".
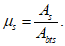
В настоящем ОДМ применены следующие термины и соответствующие определения:
В настоящих рекомендациях использованы следующие термины с соответствующими определениями.
Мостовое сооружение - искусственное сооружение, расположенное на автомобильной дороге и являющееся конструктивной частью, предназначенное для перевода транспортного пути (дороги) и водовода через различные препятствия. К этой группе сооружений относятся мосты, путепроводы, эстакады, виадуки, скотопрогоны. Мостовое сооружение состоит из опор, пролетных строений, мостового полотна и регуляционных сооружений.
Долговечность сооружения - свойство сооружения сохранять работоспособное состояние в течение длительного периода времени с необходимыми перерывами на ремонт.
Работоспособное состояние пролетного строения - состояние, при котором значения всех параметров, характеризующих способность выполнять полностью или частично заданные функции, соответствуют требованиям нормативно-технической документации.
Срок службы - календарная продолжительность эксплуатации элементов пролетных строений от начала эксплуатации до перехода в предельное состояние.
Предельное состояние (пролетного состояния) опоры - состояние, при котором восстановление работоспособного состояния конструкции невозможно или нецелесообразно.
Капитальный ремонт - комплекс работ по замене и (или) восстановлению конструктивных элементов сооружений и (или) их частей, выполнение которых осуществляется в пределах установленных допустимых значений и технических характеристик класса и категории автомобильной дороги и при выполнении которых затрагиваются конструктивные и иные характеристики надежности и безопасности сооружения.
Ремонт - комплекс работ по восстановлению транспортно-эксплуатационных характеристик сооружения, при выполнении которых не затрагиваются конструктивные и иные характеристики надежности и безопасности сооружения.
Композиционный материал - конструкционный (неметаллический или металлический) материал, в котором имеются усиливающие его элементы в виде нитей, волокон или хлопьев более прочного материала.
ОДМ содержит:
технические требования к композиционным материалам;
общие принципы проектирования усиления конструкций;
общие положения по расчету усиления железобетонных балочных пролетных строений автомобильных мостов;
расчет по предельным состояниям первой группы;
расчет по предельным состояниям второй группы;
конструктивные требования;
технология усиления;
требования безопасности работ;
пример использования методики расчета для железобетонной балки прямоугольного сечения усиленной углепластиковыми лентами, закрепленными в анкерных устройствах;
пример проектной конструкторской документации по усилению железобетонных конструкций мостов.
Характеристики материалов
Rр,кр - прочность композиционного материала при растяжении при кратковременных испытаниях;
Eр,кр - модуль упругости композиционного материала при растяжении при кратковременных испытаниях;

- растягивающее напряжение в композиционном материале при кратковременных испытаниях;

, при
t = 10 часов - растягивающее напряжение в композиционном материале после 10 часов экспонирования при постоянной деформации;

- деформация композиционного материала под нагрузкой при кратковременных испытаниях;

, при
t = 10 часов - деформация композиционного материала после 10 часов экспонирования под постоянной нагрузкой;
N - количество циклов переменной нагрузки;
Rр, при N = 2·107 циклов - прочность композиционного материала при растяжении-сжатии после приложения 2·107 циклов переменной нагрузки;
Rbt,ser - расчетное сопротивление бетона осевому растяжению при расчете предварительно напряженных элементов по образованию трещин.
5. Технические требования к композиционным материалам
Технические требования к композиционному материалу, из которого изготавливаются ленты для усиления железобетонных пролетных строений автомобильных мостов, приведены в табл. 1.
Таблица 1
Наименование показателя | Единица измерения | Значение показателя |
Плотность | кг/м3 | 1550 |
Кратковременная прочность при растяжении Rр,кр, не менее | МПа | 1400 |
Кратковременный модуль упругости при Eр,кр, не менее | ГПа | 50,0 |
Показатель релаксации в виде отношения  , не менее | % | 93 |
Показатель ползучести в виде отношения  , не более | % | 110 |
Показатель выносливости в виде отношения  , не менее | % | 30 |
6. Общие принципы проектирования усиления конструкций
6.1. Общие положения по расчету усиления железобетонных балочных пролетных строений автомобильных мостов
Перед усилением пролетных строений мостовых сооружений необходимо произвести их обследование в соответствии со
СНиП 3.06.07-86.
При необходимости усиления пролетных строений руководствуются следующими принципами.
Расчеты по прочности и трещиностойкости балок, изложенные в
СНиП 2.05.03-84*, не полностью отражают работу ненапрягаемых и предварительно напряженных балок, усиленных напрягаемыми лентами из композиционного материала.
В предварительно напряженных балках предварительно напряженная арматура имеет сцепление с бетоном по всей длине и работает совместно с бетоном как на постоянную, так и временную нагрузку.
Предварительно напряженная арматура, установленная в балках при их усилении, не имеет сцепления с бетоном и расчет сечений по прочности производится с учетом
п. 3.65 СНиП 2.05.03-84*.
6.2. Расчет по предельным состояниям первой группы
Данным расчетом должно быть подтверждено достижение требуемого класса по грузоподъемности и требуемой категории по трещиностойкости. В качестве исходного положения используются значения:
-

напряжения в бетоне сжатой зоны от постоянной нагрузки,
-

напряжения в центре тяжести арматуры растянутой зоны от постоянной нагрузки,
- Eв, Es - модули упругости примененных в конструкции бетона и арматуры.
Основные предпосылки расчета:
- расчет производится исходя из фактического состояния конструкций,
- расчет производится из условия плоских сечений и прямой пропорциональности деформаций в бетоне и арматуре по мере удаления от нейтральной оси сечения,
- деформация сжатия в бетоне не превышает 0,003,
- бетон растянутой зоны в расчете не учитывается,
- диаграмма зависимости напряжение-деформация в элементе усиления носит линейный характер до момента разрушения.
Прочность сечения нормального к продольной оси и усиленного в растянутой зоне углепластиковой арматурой, проверяется, исходя из требования достижения напряжений в материалах, не превышающих расчетных сопротивлений:

(напряжения и расчетное сопротивление композита).
Значение
для напрягаемой композитной арматуры определяется по формуле (1)
(1)
- прочность углепластиковой арматуры при растяжении при кратковременных испытаниях
Kdl - коэффициент длительного сопротивления углепластиковой арматуры
- коэффициент учитывающий релаксацию в углепластиковой арматуре
Напряжения от временной нагрузки в бетоне сжатой зоны

, в арматуре

и в композите

определяют из рассмотрения равновесия внутренних сил усиленного сечения. При этом расчет ведут в две стадии.
Стадия N 1 - предварительный расчет, исходящий из положения, что размер сжатой зоны сечения при действии временной нагрузки может быть принят равным:
Расчет сечений, нормальных к продольной оси балки, у которой внешняя сила действует в плоскости оси симметрии сечения и продольная арматура сосредоточена у перпендикулярных указанной плоскости граней элемента, производился в зависимости от значения относительной высоты сжатой зоны

, определяемой из соответствующих условий равновесия. При этом проверялось условие, при котором значение

при расчете балки не должно превышать относительной высоты сжатой зоны бетона

, при которой предельное состояние бетона сжатой зоны наступает не ранее достижения в растянутой арматуре напряжения, равного расчетному сопротивлению
Rs или
Rр.
Значение

определялось по формуле (2)

(2)
где

- для элементов с обычным армированием, при этом расчетное сопротивление бетона
Rb принималось в МПа;
напряжения в арматуре

, МПа, принимались равными:
Rs - для ненапрягаемой арматуры;
расчетное сопротивление напрягаемой арматуры растяжению
Rр принималось с учетом снижения характеристик при длительной эксплуатации, а величину предварительного напряжения в арматуре

- с учетом потерь. При наличии напрягаемой и ненапрягаемой арматуры напряжение

принимается по напрягаемой арматуре;
напряжение

принималось равным 500 МПа.
В процессе расчета последовательно определяют:
Aв = в·x;
Рис. 1. Схема усилий и эпюра относительных деформаций
в сечении T-обр. балки (+ - растяжение; - - сжатие)
б) напряжения в бетоне сжатой зоны, принимая что суммарные напряжения от постоянной и временной нагрузки равны расчетному сопротивлению бетона сжатию

(2)
в) относительные удлинения
- по верхним фибрам бетонного сечения

(3)
- в уровне ц.т. рабочей арматуры (
рис. 1, а)

(4)
- в уровне установки композитной арматуры, в частности, для случая установки по нижним фибрам бетонного сечения

(5)
г) напряжения в композитной арматуре

(6)
Eк - расчетный модуль упругости композита, равный модулю заявленному производителем, деленному на коэффициент надежности

;
д) предварительная величина увеличения несущей способности сечения

(7)
или для случая нескольких углепластиковых арматурных элементов

(8)
Величина

не должна быть меньше требуемого увеличения несущей способности, установленного по результатам обследования и оценки состояния сооружения. В зависимости от величины требуемого

могут приниматься следующие решения: добавляется количество углепластиковых арматурных элементов снизу, сбоку или снизу и сбоку; углепластиковые арматурные элементы предварительно напрягаются; и увеличивается их количество.
Стадия N 2 - уточняется расчет, исходя из принятой на первой стадии площади углепластиковых арматурных элементов. Прежде всего, расчетом на этой стадии уточняется значение "x" из рассмотрения равновесия внутренних сил сечения:

(9)
Если установленное уточняющим расчетом значение "
x" отличается от принятого ранее (на 1
й стадии) на величину более +/- 0,01·
h0, расчет по
формулам (2) -
(8) повторяют и устанавливают уточненное значение

. Если уточненное значение "
x" находится в пределах
x = (0,12 +/- 0,01)·
h0, результаты предварительного расчета принимают за окончательные. Возможные схемы усиления тавровых балок приведены на рис. 2.
L - зона с недостаточной прочностью
l - анкерные участки
Рис. 2. Схемы усиления, вызванные недостаточной
прочностью нормальных сечений
Если принятое значение

не приводит к требуемому усилению конструкций, повторяется вариант усиления с предварительным напряжением конструкций.
При расчете на прочность по предельным состояниям первой группы исходными данными служат момент и поперечная сила от нагрузки, приходящейся на балку.
Путем сопоставления расчетных усилий от внешних нагрузок с предельными нагрузками подбирают дополнительное количество арматуры из композиционных материалов.
Поперечное сечение усиливаемой балки и рабочая арматура, установленная при изготовлении балки, являются исходными данными расчета.
Если балка рассчитана по предельным состояниям
СНиП 2.05.03-84*, то можно использовать все расчетные характеристики, приведенные в типовом или индивидуальном проекте.
Если балка рассчитана по другим нормативным документам, то пересчитывают несущую способность балки (основных сечений) по
ВСН 32-89 (Транспорт, М., 1991).
Расчетные характеристики материала (стали и бетона) усиливаемой балки принимают по
ВСН 32-89 в зависимости от года постройки (срока эксплуатации сооружения) и по
СНиП 2.05.03-84*.
Расчет проводят в два этапа.
Вначале определяют несущую способность балки с арматурой, установленной при ее изготовлении. Затем определяют разницу в несущей способности существующей и усиленной балок.
На эту разницу усилий, используя поперечное сечение балки, подбирают площадь поперечного сечения высокопрочной арматуры.
Расчет наклонных сечений на действие поперечной силы проводят также в два этапа.
На первом этапе расчета учитывают только арматуру, установленную в балке при ее изготовлении (отогнутые стержни или пучки, хомуты и т.д.).
Для определения необходимости усиления наклонных сечений выполняется расчет в соответствии со
СНиП 2.05.03-84*, учитывая фактическое состояние бетона и арматуры.
При расчетах должно быть установлено удовлетворение условиям:
по обеспечению прочности бетона между наклонными трещинами, зависящей в основном от прочности бетона, площади сечения балки, площади сечения арматурных хомутов и расстояния между ними;
по обеспечению прочности наклонного сечения по изгибающему моменту, зависящей от площади сечения арматурных хомутов.
| | ИС МЕГАНОРМ: примечание. В официальном тексте документа, видимо, допущена опечатка: рисунок 4 и приложение 1 отсутствуют. | |
Если имеющейся в балке арматуры не достаточно, то на этих, как правило, концевых участках наклеивают углепластиковые ламели. Возможная схема усиления балок ламелями приведена на
рис. 1 - 4 и предлагаемый вариант конструкции в приложении 1, однако проект усиления мостовой конструкции должен быть разработан под конкретную мостовую конструкцию.
В этом случае должно быть обеспечено сцепление наклеиваемой арматуры на этом участке с бетоном согласно
п. 3.170 СНиП 2.05.03-84*.
Расчет сечений, наклонных к продольной оси элемента, на действие изгибающего момента проводят также в два этапа.
На первом этапе расчета учитывают только арматуру, установленную в балке при ее изготовлении.
Если имеющейся в балке арматуры не достаточно, то в расчет вводят арматуру, устанавливаемую для усиления балки, при этом сцепление ее с бетоном не учитывают, а расчетные сопротивления арматуры принимают как при расчете по прочности (см.
п. 3.85 СНиП 2.05.03-84*).
Расчет на местное сжатие (смятие) и местные напряжения в зоне установки упоров
Расчет на местное сжатие (смятие) осуществляют согласно
п. 3.89 СНиП 2.05.03-84*.
Кроме того, бетон в зоне установки упора проверяют на действие местных напряжений.
При расчете местных напряжений в бетоне в зоне установки упора при натяжении арматуры учитывают всю или часть нагрузки, действующей на балку (собственный вес балки, мостовое полотно и временная нагрузка) и усилия от предварительного натяжения высокопрочной арматуры.
Расчет проводят в две стадии: на момент натяжения лент и на стадии эксплуатации.
В сечении (в зоне установки упора), учитывая поперечное сечение балки, прочность бетона и арматуры, установленной в балке, определяют напряжения от внешних нагрузок и местные напряжения от натяжения лент.
Напряжения в бетоне и арматуре, возникающие от этих нагрузок, затем суммируют и сравнивают с нормативными.
Во всех случаях расчета количество и вид арматуры (продольной или поперечной, учитываемой в расчете) определяется растянутыми участками эпюр местных напряжений.
При расчете продольной и поперечной арматуры (продольные, отогнутые стержни и хомуты) ее учитывают на расстоянии, равном 0,5 высоты балки в обе стороны от места установки упора.
При этом площадь арматуры, попадающая в растянутую область эпюры местных напряжений, должна воспринимать растягивающие усилия в этой зоне.
При расчете местных напряжений, возникающих в месте установки накладного упора, прикрепляемого к стенке балки болтами, рекомендуется рассматривать упор как состоящий из нескольких внутренних упоров (по числу болтов для всего накладного упора), расположенных на горизонтальных или наклонных к оси балки осях.
Количество и диаметр болтов подбираются таким образом, чтобы напряжения в бетоне за и перед болтами не превышали расчетных сопротивлений бетона.
Для участков балки, где местные напряжения в зоне установки упоров не превышают 0,4Rbt,ser, проверка на трещиностойкость не обязательна.
Местные напряжения в зоне установки упоров для типовых балок можно не рассчитывать, если усилие в лентах, передающееся на упор, не превышает 30 тс. Внутренний цилиндрический упор выполняют в виде пальца диаметром 100 мм и более. Накладной упор крепят к стенке балки шестью болтами диаметром 24 - 25 мм. Внутренний цилиндрический упор устраивают в зоне взаимодействия арматуры балки с бетоном, которая определяется по
п. 3.110 СНиП 2.05.03-84*, если его располагают в растянутой зоне бетона.
6.3 Расчет по предельным состояниям второй группы
Балки, усиливаемые предварительно напряженными лентами, должны удовлетворять категориям требований по трещиностойкости, приведенным в
табл. 39 СНиП 2.05.03-84*.
3.95*. Железобетонные конструкции мостов и труб в зависимости от их вида и назначения, применяемой арматуры и условий работы должны удовлетворять категориям требований по трещиностойкости, приведенным в табл. 2*. Трещиностойкость характеризуется значениями растягивающих и сжимающих напряжений в бетоне и расчетной шириной раскрытия трещин.
Таблица 2*
Вид и назначение конструкций, особенности армирования | Категория требований по трещиностойкости | Предельные значения |
растягивающих напряжений в бетоне | расчетной ширины раскрытия трещин  | минимальных сжимающих напряжений при отсутствии временной нагрузки |
Элементы железнодорожных мостов (кроме стенок балок пролетных строений), армированные напрягаемой проволочной арматурой всех видов. Элементы автодорожных и городских мостов (кроме стенок балок пролетных строений), армированные напрягаемой высокопрочной проволокой диаметром 3 мм, арматурными канатами класса К-7 диаметром 9 мм, а также напрягаемыми стальными канатами (со спиральной и двойной свивкой и закрытыми) | 2а | 0,4Rbt,ser | - | - |
Элементы железнодорожных мостов (кроме стенок балок пролетных строений), армированные напрягаемой стержневой арматурой. Элементы автодорожных и городских мостов (кроме стенок балок пролетных строений), армированные напрягаемой высокопрочной проволокой диаметром 4 мм и более, напрягаемыми арматурными канатами класса К-7 диаметром 12 и 15 мм. Сваи мостов всех назначений, армированные напрягаемой стержневой арматурой и напрягаемой высокопрочной проволокой диаметром 4 мм и более, а также напрягаемыми арматурными канатами класса К-7 | 2б | | | Не менее 0,1Rb при бетонах класса B30 и ниже и не менее 1,6 МПа (16,3 кгс/см2) - при бетонах класса B35 и выше |
Стенки (ребра) балок предварительно напряженных пролетных строений мостов при расчете на главные напряжения | 3а | | 0,015 | - |
Элементы автодорожных и городских мостов, армированные напрягаемой стержневой арматурой. Участки элементов (в мостах всех назначений), рассчитываемые на местные напряжения в зоне расположения напрягаемой проволочной арматуры | 3б | - | 0,020 | - |
Элементы мостов и труб всех назначений с ненапрягаемой арматурой. Железобетонные элементы мостов всех назначений с напрягаемой арматурой, расположенной вне тела элемента. Участки элементов (в мостах всех назначений), рассчитываемые на местные напряжения в зоне расположения напрягаемой стержневой арматуры | 3в | - | | - |
--------------------------------
<*> При смешанном армировании допускается повышать предельные растягивающие напряжения в бетоне согласно указаниям
п. 3.96*.
В конструкциях автодорожных и городских мостов с проволочной напрягаемой арматурой при расположении ее в плите проезжей части предельные значения растягивающих напряжений в бетоне в направлении его обжатия не должны быть более 0,8Rbt,ser.
<**> При оцинкованной проволоке допускается принимать

.
<***> Ширина раскрытия трещин не должна превышать, см:
0,020 - в элементах пролетных строений железнодорожных мостов, в верхних плитах проезжей части автодорожных и городских мостов при устройстве на них гидроизоляции, в стойках и сваях всех опор, находящихся в зоне переменного уровня воды, а также в элементах и частях водопропускных труб;
0,015 - в элементах промежуточных опор железнодорожных мостов в зонах, расположенных выше и ниже переменного уровня воды;
0,010 - на уровне верхней грани в продольных стыках верхних плит проезжей части автодорожных и городских мостов.
При расположении мостов и труб вблизи плотин гидростанций и водохранилищ в зоне попеременного замораживания и оттаивания (в режиме по ГОСТ 10060-87) ширина раскрытия трещин в зависимости от числа циклов попеременного замораживания в год должна составлять, см, не более:
0,015 - при числе циклов менее 50;
0,010 - то же, 50 и более.
Расчеты по определению напряжений в бетоне, образованию трещин и определению ширины их раскрытия должны производиться с учетом потерь предварительного напряжения в арматуре согласно обязательному
приложению 11*.
В составных предварительно напряженных конструкциях мостов всех назначений возникновение растягивающих напряжений в обжимаемых стыках, а также в элементах сквозных пролетных строений железнодорожных мостов не допускается.
В составных по длине конструкциях пролетных строений мостов минимальные сжимающие напряжения в бетоне при воздействии создаваемой нормативной постоянной нагрузкой должны соответствовать категории требований по трещиностойкости 2б.
В неразрезных пролетных строениях, составленных из разрезных преднапряженных балок с надопорными необжатыми бетонируемыми стыками, армированными ненапрягаемой арматурой, ширина трещин в бетоне под нормативной нагрузкой должна отвечать категории требований 3.
Расчет на трещиностойкость проводят в следующем порядке.
Определяют трещиностойкость балки от нормативной (расчетной) нагрузки, определенной по предельным состояниям первой группы, с учетом только арматуры, установленной в балке до ее усиления. Если при этом условии трещиностойкость и напряжения в наиболее растянутых (крайних) стержнях не превышают значений, требуемых нормами, то ленты напрягают на усилие, обеспечивающее включение высокопрочной арматуры из композиционных материалов в совместную работу с арматурой балки. В этом случае арматура усиления работает как шпренгель.
Если ширина раскрытия трещин в бетоне балки от расчетной нагрузки или напряжения в наиболее растянутых (крайних) стержнях превышают значения, требуемые нормами, то предварительно напряженную арматуру напрягают на усилие, компенсирующее раскрытие трещин и снижение предела текучести в арматуре свыше расчетной величины. В этом случае предварительно напряженная арматура усиления работает как шпренгель только тогда, когда сжимающие напряжения в растянутой зоне бетона балки полностью исчерпаны.
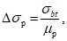
Приращение растягивающих напряжений в напрягаемой арматуре после снижения предварительного сжимающего напряжения в бетоне до нуля определяют согласно
п. 3.108 СНиП 2.05.03-84*.
3.108*. При определении ширины нормальных трещин в растянутой зоне предварительно напряженных элементов следует учитывать всю растянутую арматуру.
При определении ширины трещин в предварительно напряженных сваях допускается учитывать всю арматуру растянутой зоны.
Приращение растягивающего напряжения

в напрягаемой арматуре согласно
п. 3.105, возникающее после снижения под временной нагрузкой предварительного сжимающего напряжения в бетоне до нуля, допускается определять по формуле

(130)
где

- растягивающее напряжение в бетоне на уровне центра тяжести площади растянутой зоны бетона;

- коэффициент армирования, определяемый как отношение учитываемой в расчете площади поперечного сечения продольной арматуры к площади всей растянутой зоны бетона (арматура, не имеющая сцепления с бетоном, при вычислении

не учитывается).
При смешанном армировании напряжение в бетоне

определяется на уровне центра тяжести той части площади растянутой зоны бетона, в пределах которой растягивающие напряжения не превышают

.
Напряжения в ненапрягаемой арматуре при смешанном армировании допускается определять по формуле
где

- напряжения в бетоне на уровне центра тяжести части площади
Abts растянутой зоны бетона, в пределах которой напряжения в бетоне превышают

;
Суммарные напряжения не должны превышать расчетных сопротивлений арматуры.
3.14. Напряжения в элементах предварительно напряженных конструкций следует определять по контролируемому усилию за вычетом:
первых потерь - на стадии обжатия бетона;
первых и вторых потерь - на стадии эксплуатации.
К первым потерям следует относить:
а) в конструкциях с натяжением арматуры на упоры - потери вследствие деформации анкеров, трения арматуры об огибающие приспособления, релаксации напряжений в арматуре (в размере 50% полных), температурного перепада, быстронатекающей ползучести, а также от деформации форм (при натяжении арматуры на формы);
б) в конструкциях с натяжением арматуры на бетон - потери вследствие деформации анкеров, трения арматуры о стенки закрытых и открытых каналов, релаксации напряжений в арматуре (в размере 50% полных).
Ко вторым потерям следует относить:
а) в конструкциях с натяжением арматуры на упоры - потери вследствие усадки и ползучести бетона, релаксации напряжений в арматуре (в размере 50% полных);
б) в конструкциях с натяжением арматуры на бетон - потери вследствие усадки и ползучести бетона, релаксации напряжений в арматуре (в размере 50% полных), смятия под витками спиральной или кольцевой арматуры, навиваемой на бетон, деформации стыков между блоками в составных по длине конструкциях.
Значения отдельных из перечисленных потерь следует определять по обязательному
приложению 11* с учетом
п. 3.15.
Допускается принимать, что вторые потери от релаксации напряжений в арматуре (в размере 50% полных) происходят равномерно и полностью завершаются в течение одного месяца после обжатия бетона.
При проектировании суммарное значение первых и вторых потерь не должно приниматься менее 98 МПа (1000 кгс/см2).
3.15. При определении потерь предварительного напряжения в арматуре от усадки и ползучести бетона необходимо руководствоваться следующими указаниями:
а) изменение во времени потерь

от усадки и ползучести бетона допускается определять по формуле

(39)
где

- конечные (предельные) значения потерь в арматуре от усадки и ползучести бетона, определяемые по обязательным
приложениям 11* или
13*;
t - время, отсчитываемое при определении потерь от ползучести - со дня обжатия бетона, от усадки - со дня окончания бетонирования, сут;
e = 2,718 - основание натуральных логарифмов;
б) для конструкций, предназначенных для эксплуатации при влажности воздуха окружающей среды ниже 40%, потери от усадки и ползучести бетона следует увеличивать на 25%, за исключением конструкций, предназначенных для эксплуатации в климатическом подрайоне IVА согласно
СНиП 2.01.01-82 и не защищенных от солнечной радиации, для которых указанные потери увеличиваются на 50%;
| | ИС МЕГАНОРМ: примечание. В официальном тексте документа, видимо, допущена опечатка: имеется в виду таблица 3 в приложении 11*, а не таблица 3 в приложении 1*. | |
в) допускается использовать более точные методы для определения потерь и перераспределения усилий от усадки и ползучести бетона с учетом предельных удельных значений деформаций ползучести и усадки бетона, влияния арматуры, возраста и передаточной прочности бетона, постадийного приложения нагрузки и длительности ее воздействия на каждой стадии, скорости развития деформаций во времени, приведенных размеров поперечных сечений, относительной влажности среды и других факторов. Эти методы должны быть обоснованы в установленном порядке. При этом нормативные деформации ползучести
cп и усадки бетона

для классов бетона, соответствующих его передаточной прочности, следует принимать по
табл. 3 обязательного приложения 1*.
Обязательное
ПОТЕРИ ПРЕДВАРИТЕЛЬНОГО НАПРЯЖЕНИЯ АРМАТУРЫ
Таблица 1*
Фактор, вызывающий потери предварительного напряжения | Значение потерь предварительного напряжения, МПа |
1. Релаксация напряжений арматуры: а) при механическом способе натяжения арматуры: | |
проволочной | |
стержневой | |
б) при электротермическом и электротермомеханическом способах натяжения стержневой арматуры | Здесь  принимается без учета потерь, МПа. Если вычисленные значения потерь от релаксации напряжений оказываются отрицательными, их следует принимать равными нулю |
2. Температурный перепад при натяжении на упоры (разность температур натянутой арматуры в зоне нагрева и устройства, воспринимающего усилие натяжение при прогреве бетона) | Для | бетона | классов B25 - B40 -  |
" | " | класса B45 и выше -  |
где  - разность между температурой нагреваемой арматуры и неподвижных упоров (вне зоны нагрева), воспринимающих усилие натяжения, °C. Расчетное значение  при отсутствии точных данных следует принимать равным 65 °C. Потери от температурного перепада не учитываются, если температура стенда равна температуре нагреваемой арматуры или если в процессе термообработки производится подтяжка напрягаемой арматуры на величину, компенсирующую потери от температурного перепада |
3. Деформация анкеров, расположенных у натяжных устройств, при натяжении: | |
а) на упоры | где  - сжатие опрессованных шайб, смятие высаженных головок и т.п., принимаемое равным 2 мм на каждый анкер; |
б) на бетон | где  - обжатие шайб под анкерами и обмятие бетона под шайбами, равное 0,5 мм на каждый шов, но не менее 2 мм на каждый анкер, за который производится натяжение;  - деформация арматурного элемента относительно анкера, принимаемая равной: для анкера стаканного типа, в котором проволока закрепляется с помощью сплава, бетона, конусного закрепления, высаженных головок, - 2 мм на анкер; для напрягаемых хомутов - 1 мм на анкер; для конусных анкеров пучков из арматурных канатов класса К-7 - 8 мм на анкер; для стержневых хомутов с плотно завинчивающимися гайками с шайбой или парных коротышей - общую величину потерь всех видов в таких хомутах допускается учитывать в размере 98 МПа (1000 кгс/см 2); l - длина натягиваемого арматурного элемента, мм; Eр - модуль упругости напрягаемой арматуры |
| |
а) о стенки закрытых и открытых каналов при натяжении арматуры на бетон | где  - принимается без учета потерь; e - основание натуральных логарифмов;  ,  - коэффициенты, определяемые по табл. 2* настоящего приложения; x - длина участка от натяжного устройства до расчетного сечения, м;  - суммарный угол поворота оси арматуры, рад; |
б) об огибающие приспособления | где  - принимается без учета потерь; e - основание натуральных логарифмов;  - коэффициент, принимаемый равным 0,25;  - суммарный угол поворота оси арматуры, рад. При применении промежуточных отклоняющих упорных устройств, раздельных для каждого арматурного элемента и имеющих перемещение (за счет поворота) вдоль стенда, потери от трения об упорные устройства допускается не учитывать |
5. Деформация стальной формы при изготовлении предварительно напряженных железобетонных конструкций с натяжением на упоры | где  - коэффициент, который при натяжении арматуры домкратом определяется по формуле  - сближение упоров на линии действия усилия предварительного напряжения, определяемое из расчета деформаций формы; l - расстояние между наружными гранями упоров; n - число групп арматурных элементов, натягиваемых неодновременно; Es - модуль упругости стали форм. При отсутствии данных о технологии изготовления и конструкции форм потери от деформации форм следует принимать равными 30 МПа |
6. Быстронатекающая ползучесть при натяжении на упоры для бетона: | |
а) естественного твердения | где  - определяется на уровне центров тяжести соответствующей продольной арматуры с учетом потерь по поз. 1 - 5 настоящей таблицы; |
б) подвергнутого тепловой обработке | Потери вычисляются по формулам поз. 6а настоящей таблицы с умножением полученного результата на коэффициент, равный 0,85 |
7. Усадка бетона при натяжении: | Бетон классов по прочности на сжатие |
а) на упоры: | B35 и ниже | B40 | B45 и ниже |
бетон естественного твердения | 40 | 50 | 60 |
бетон с тепловой обработкой | 35 | 40 | 50 |
б) на бетон независимо от условий твердения | 30 | 35 | 40 |
8. Ползучесть бетона | где  - то же, что в поз. 6 настоящей таблицы, но с учетом потерь по поз. 1 - 6; Rbp - передаточная прочность (см. п. 3.31*);  - коэффициент, принимаемый равным для бетона: естественного твердения - 1,0; подвергнутого тепловой обработке при атмосферном давлении - 0,85 |
9. Смятие под витками спиральной или кольцевой арматуры, наматываемой на бетон (при диаметре конструкции dext до 3 м) | 70 - 0,22 dext |
10. Деформация обжатия стыков между блоками (для конструкций, состоящих из блоков) | где n - число швов конструкции и оснастки по длине натягиваемой арматуры;  - обжатие стыка, принимаемое равным для стыков: заполненных бетоном - 0,3 мм; клееных после отверждения клея - 0,0; l - длина натягиваемой арматуры, мм. Допускается определение деформации стыков иными способами на основании опытных данных |
Примечание. Каждому виду потерь предварительного напряжения арматуры в соответствии с номерами позиций присваивать обозначения от

до

.
Поверхность канала | Коэффициенты для определения потерь от трения арматуры (см. поз. 4 табл. 1*) |
|  при арматуре в виде |
пучков из высокопрочной проволоки, арматурных канатов класса К-7, стальных канатов и гладких стержней | стержней периодического профиля |
Гладкая, металлическая | 0,003 | 0,35 | 0,4 |
Бетонная, образованная с помощью жесткого каналообразователя (или полиэтиленовых труб) | 0,005 | 0,55 | 0,65 |
Гофрированная полиэтиленовая | 0,20 | 0,20 | - |
Таблица 3
Показатель | Значения нормативных деформаций ползучести бетона cп и усадки  для бетона классов по прочности на сжатие |
B20 | B22,5 | B25 | B27,5 | B30 | B35 | B40 | B45 | B50 | B55 | B60 |
cп·106, МПа-1 | 115 | 107 | 100 | 92 | 84 | 75 | 67 | | | | |
cп·106, кгс-1/см2 | 11,3 | 10,9 | 10,2 | 9,4 | 8,6 | 7,7 | 6,8 | | | | |
| 400 | 400 | 400 | 400 | 400 | 400 | 400 | | | | |
--------------------------------
<*> При осадке конуса 1 - 2 см.
<**> При жесткости смеси 35 - 30 с.
Примечания: 1. При определении
cп и

классы бетона должны соответствовать передаточной прочности бетона
Rbt (см.
п. 3.31).
2. Для бетона, подвергнутого тепловлажностной обработке, значения
cп и

следует уменьшать на 10%.
В предварительно напряженных конструкциях вторые потери не учитывают, так как ползучесть, усадка и релаксация напряжений в бетоне и арматуре к моменту усиления балки закончились.
В конструкциях с ненапрягаемой рабочей арматурой вторые потери учитывают, за исключением усадки бетона.
Определение прогибов и углов поворота.
Кривизну предварительно напряженных элементов (балок), в которых пояса отнесены к категориям требований по трещиностойкости 2а, 2б и 3б, допускается определять как для сплошного сечения по
п. 3.113 СНиП 2.05.03-84*.
3.113*. Кривизну предварительно напряженных элементов, в которых пояса отнесены к категориям требований по трещиностойкости 2а, 2б и 3б, допускается определять как для сплошного сечения по формуле

(136)
где Mр, Mg, Mv - моменты в рассматриваемом сечении, создаваемые соответственно усилием в напрягаемой арматуре, постоянной и временной нагрузками;
B*р, B*g - жесткости сечения при длительном воздействии соответственно усилия в напрягаемой арматуре и постоянной нагрузки;
B - жесткость сплошного сечения при кратковременном действии нагрузок.
Значения перечисленных жесткостей допускается определять по обязательному
приложению 13*.
Допускается правую часть
формулы (136) определять другими методами, обоснованными в установленном порядке.
Моменты от предварительного напряжения следует вычислять исходя из напряжений в арматуре, соответствующих стадиям работы конструкции: на стадии обжатия - за вычетом первых потерь; на последующих стадиях, в том числе и на стадии эксплуатации, за вычетом также и вторых потерь согласно обязательному
приложению 11*.
Значения изгибающих моментов Mg при навесном монтаже следует определять с учетом веса монтируемых блоков и других возможных строительных нагрузок. При определении жесткостей B*р и B*g учитывается влияние усилия предварительного напряжения и длительности действия нагрузки.
Кривизну элементов с ненапрягаемой арматурой, в которых пояса отнесены к категориям требований по трещиностойкости 3в, следует определять с учетом образования трещин.
В случае, если прогибы и углы поворота, подсчитанные без учета предварительно напряженной арматуры усиления, превышают допускаемые
СНиП 2.05.03-84*, необходимо ввести в расчеты предварительно напряженную арматуру усиления, которая напрягается на величину, обеспечивающую прогибы и углы поворота согласно требованиям
СНиП 2.05.03-84*.
7. Конструктивные требования
При проектировании конструкций усиления следует соблюдать требования
п. 3.116 СНиП 2.05.03-84* и требования настоящего раздела.
При усилении балок и пролетных строений необходимо соблюдать требования
СНиП 2.05.03-84*.
При разработке конструкций усиления упоры для передачи усилий натяжения на усиливаемую конструкцию располагают таким образом, чтобы местные напряжения, вызываемые сосредоточенной передачей усилия с упора на бетон, были минимальными и не требовали установки дополнительной арматуры или увеличения сечения бетона. Упоры рекомендуется устанавливать в зоне минимальных моментов от внешних нагрузок, т.е. не дальше, чем в 1/8 пролета балки (от ее торца).
Располагать упоры в зоне действия больших главных растягивающих напряжений от постоянной и временной нагрузок не рекомендуется.
При разработке конструкций закладных деталей (опорных плит, упоров, отгибающих устройств и т.д.) следует руководствоваться
п.п. 3.171 -
3.173 СНиП 2.05.03-84*.
1. Произвести обследование конструкции на предмет повреждений.
2. Рассчитать необходимые усилия натяжения композиционной арматуры.
3. Определить положение стальной арматуры в балке.
4. Изготовить кондуктора для разделки отверстий в железобетонной балке и в стальной плите анкерных устройств.
5. Разделать отверстия в железобетонной балке.
6. Разделать отверстия в анкерных устройствах.
7. Установить на мостовую конструкцию анкерные устройства.
8. Зажать в анкерных устройствах композиционные напрягаемые элементы.
9. Установить гидравлические домкраты обеспечив гидравлическую связь для равномерного натяжения.
10. Подать в гидродомкраты расчетное давление.
11. Выдержать конструкцию под напряжением от гидродомкратов в течение 10-ти часов для преодоления релаксации композиционного материала (углепластика).
12. Закрепить фиксирующие болты натяжных устройств.
13. Сбросить давление из гидроцилиндров.
14. Снять гидроцилиндры и скобы натяжителей.
15. На первых опытных мостовых конструкциях необходимо устанавливать тензодатчики для контроля натяжения композиционной арматуры и контроля напряжений в бетоне.
9. Требования безопасности работ
| | ИС МЕГАНОРМ: примечание. В официальном тексте документа, видимо, допущена опечатка: имеется в виду ГОСТ 12.3.016, а не ГОСТ 12.33.016. | |
2. Места производства работ обустраивают инвентарными подмостями или лесами и настилами таким образом, чтобы расстояние между настилом и обрабатываемой поверхностью конструкции составляло 1 - 1,2 м, а высота яруса - 2 м. Подмости или леса должны иметь ширину не менее 1,5 м и обеспечивать свободное перемещение рабочих вдоль всего фронта работ.
Ремонтные работы на высоте более 2 м должны выполняться с подвесных или стоечных подмостей, люлек или других средств, обеспечивающих безопасное выполнение работ. Леса и подмости, применяемые для производства работ на высоте, должны быть прочными, настил не должен иметь зазоров, по периметру лесов и подмостей следует устраивать ограждения (перила).
С целью обеспечения безопасности работ рекомендуется использовать передвижные инвентарные люльки, специализированные подъемно-транспортные машины и оборудование, машины для инспекции и осмотра сооружений.
3. Используемое технологическое оборудование должно быть снабжено паспортами. Строительные механизмы и электрический инструмент должны быть заземлены. Лица, привлекаемые к работе с технологическим оборудованием, должны пройти инструктаж.
10. Пример использования методики расчета для железобетонной балки прямоугольного сечения усиленной углепластиковыми лентами, закрепленными в анкерных устройствах
Рис. 1. Натяжное устройство
1. Мостовая балка.
2. Основание.
3. Болты крепления основания к мостовой балке.
4. Механизм самоориентации ленты.
5, 6. Устройство крепления ленты.
7. Лента углепластиковая.
8, 9. Винт и гайка фиксации ленты в натянутом состоянии.
10. Кронштейн фиксации ленты в натянутом состоянии.
11. Упор домкрата.
12. Домкрат гидравлический.
13. Тяга натяжения.
14. Балочка.
Рис. 2
Рис. 3
Рис. 4
Рис. 5