Главная // Актуальные документы // Методические рекомендацииСПРАВКА
Источник публикации
М.: Госстрой СССР, ЦНИИОМТП, 1982
Примечание к документу
Название документа
"Методические рекомендации по расчету экономической эффективности технических решений в области организации, технологии и механизации производства строительных работ"
"Методические рекомендации по расчету экономической эффективности технических решений в области организации, технологии и механизации производства строительных работ"
МЕТОДИЧЕСКИЕ РЕКОМЕНДАЦИИ
ПО РАСЧЕТУ ЭКОНОМИЧЕСКОЙ ЭФФЕКТИВНОСТИ ТЕХНИЧЕСКИХ РЕШЕНИЙ
В ОБЛАСТИ ОРГАНИЗАЦИИ, ТЕХНОЛОГИИ И МЕХАНИЗАЦИИ
ПРОИЗВОДСТВА СТРОИТЕЛЬНЫХ РАБОТ
Рекомендовано к изданию решением Научно-технического совета ЦНИИОМТП Госстроя СССР.
Методические рекомендации развивают и дополняют основные правила расчета экономической эффективности, приведенные в
СН 508-78. Детально изложены способы расчета экономической эффективности по пяти группам наиболее часто встречающихся видов задач. Даны формулы для определения всех основных показателей экономической эффективности.
В
Приложении приведены исходные данные для расчетов.
Методические рекомендации подготовлены отделом технико-экономических исследований ЦНИИОМТП Госстроя СССР (Л.И. Бланк, М.А. Беркович, Р.И. Левит, С.В. Пинхасик, С.А. Тартынская).
1.1. В рекомендациях изложены способы и порядок расчета экономической эффективности технических решений в области организации, технологии и механизации производства строительных работ. В понятие "технические решения" в данном случае входят все решения, принимаемые в ходе разработки, проектирования, конструирования и применения в строительном производстве любых орудий, предметов и методов труда, а также решения, принимаемые в области организации производства строительных работ (включая нормы и правила) и использования парка средств механизации и автотранспорта.
Рекомендации развивают и дополняют в указанной области "Инструкцию по определению экономической эффективности использования в строительстве новой техники, изобретений и рационализаторских предложений"
(СН 509-78).
1.2. Рекомендации предназначены для экономического обоснования при выборе наилучших вариантов:
создания новых технологических и организационных методов производства строительных работ, а также орудий труда (средств механизации и автотранспорта) на этапах их проектирования (этап 1.2.1) и подготовки к массовому применению (этап 1.2.2);
применения традиционных и новых методов и средств технологии, организации и механизации в строительном производстве (этап 1.2.3).
1.3. Экономический эффект образуется только при снижении расхода трудовых, материально-технических, финансовых ресурсов и времени, которое также является ресурсом. Поэтому наилучший вариант технического решения выбирается на основе расчета сравнительного годового экономического эффекта, определяющего суммарную экономию указанных видов ресурсов с позиций народного хозяйства по критерию минимума приведенных затрат

, (1.1)
где С - текущие затраты (себестоимость);
К - капитальные вложения (или производственные фонды);

- нормативный коэффициент сравнительной эффективности капитальных вложений.
1.4. Наиболее распространенными задачами по определению годового экономического эффекта при выборе вариантов технических решений в области организации, технологии и механизации производства строительных работ считаются следующие их типы.
1.4.1. Оценка различных методов организации производства строительных работ и организационных мероприятий (поточный, вахтовый, экспедиционный; применение диспетчеризации, сетевого планирования и управления; повышение сменности работы и т.д.).
1.4.2. Оценка различных методов выполнения технологических процессов возведения зданий и сооружений (процессы разработки и перемещения грунта, уплотнения насыпи, планировки земляной поверхности; устройство свайных, монолитных и сборных фундаментов; монтаж строительных конструкций и оборудования; устройство монолитных или каменных несущих и ограждающих конструкций, кровли; оштукатуривание и окраска поверхности и др.) с использованием орудий труда традиционных видов и типоразмеров.
1.4.3. Оценка новых орудий труда нетрадиционных видов и типоразмеров, в т.ч. модернизированных с целью повышения производительности орудий труда или улучшения других эксплуатационных качеств - мобильности, безотказности, ремонтопригодности и др., изменения области применения орудий труда, в т.ч. их универсализации.
1.4.4. Оценка технических решений по улучшению использования парка средств механизации и автотранспорта (повышение сменности работы, коэффициента внутрисменного использования, снижение расстояния перебазировки машин и их "нулевого пробега" и пр.).
1.4.5. Оценка технических решений по совершенствованию процессов технической эксплуатации парка средств механизации и автотранспорта.
1.5. Показатели годового экономического эффекта, единицы измерения, на которые рассчитывают эти показатели, правила выбора базы для сравнения (БТ) <*> и виды текущих и капитальных затрат, величина которых может изменяться при реализации технических решений, перечисленных в
п.п. 1.4.1 -
1.4.5, изложены в табл. 1.
--------------------------------
<*> Здесь и далее буквы БТ обозначают базисный вариант технического решения, а НТ - вариант новой техники или вариант существующей техники, организации, технологии, который сравнивается с БТ.
─────────────────┬────────────────────────────────┬────────────────┬──────────────────────────────────────────────
Наиболее │ Показатели годового │ База для │Виды затрат, величина которых может изменяться
распространенные │ экономического эффекта │ сравнения (БТ) │ (+) при реализации технических решений
типы задач │ и единицы измерения │ │
по определению ├──────────────────┬─────────────┤ ├──────┬─────┬────┬────┬─────┬─────┬───────────
экономической │ годовой объем │себестоимость│ │строи-│ос- │за- │нак-│обо- │капи-│ экономия
эффективности │ работ │и капитальные│ │тель- │нов- │тра-│лад-│рот- │таль-│капитальных
технических │ │ вложения │ │ные │ная │ты │ные │ные │ные │ вложений
решений │ │ (руб.) на: │ │мате- │зар- │на │рас-│сред-│вло- │ за счет
│ │ │ │риалы │плата│экс-│ходы│ства │жения├─────┬─────
│ │ │ │ │рабо-│плу-│ │ │ │лик- │до-
│ │ │ │ │чих │ата-│ │ │ │вида-│сроч-
│ │ │ │ │ │цию │ │ │ │ции │ного
│ │ │ │ │ │ма- │ │ │ │осно-│пуска
│ │ │ │ │ │шин │ │ │ │вных │объ-
│ │ │ │ │ │ │ │ │ │фон- │ектов
│ │ │ │ │ │ │ │ │ │дов │в
│ │ │ │ │ │ │ │ │ │ │эксп-
│ │ │ │ │ │ │ │ │ │ │луа-
│ │ │ │ │ │ │ │ │ │ │тацию
─────────────────┼──────────────────┼─────────────┼────────────────┼──────┼─────┼────┼────┼─────┼─────┼─────┼─────
Оценка методов │Одно здание, │Одно здание │Показатели │ + │ + │ + │ + │ + │ + │ + │ +
и мероприятий │сооружение │(сооружение) │уровня │ │ │ │ │ │ │ │
по организации │Годовая программа │Годовую │организации │ │ │ │ │ │ │ │
производства │работ строительной│программу │строительного │ │ │ │ │ │ │ │
строительных │организации │работ │производства │ │ │ │ │ │ │ │
работ │Комплекс зданий │Комплекс │до применения │ │ │ │ │ │ │ │
│(сооружений) │зданий │новых методов │ │ │ │ │ │ │ │
│ │(сооружений) │и реализации │ │ │ │ │ │ │ │
│ │ │мероприятий │ │ │ │ │ │ │ │
Оценка методов │При выполнении │Натуральную │Показатели │ │ + │ + │ + │ + │ + │ + │ +
выполнения │одного │единицу │выполнения │ │ │ │ │ │ │ │
технологических │повторяющегося │измерения │технологических │ │ │ │ │ │ │ │
процессов │процесса - 1000 │Здание │процессов до │ │ │ │ │ │ │ │
возведения зданий│натуральных единиц│(сооружение) │реализации новых│ │ │ │ │ │ │ │
и сооружений с │измерения (м3, м2,│или их │технических │ │ │ │ │ │ │ │
использованием │м, т и т.д.) │повторяющуюся│решений │ │ │ │ │ │ │ │
орудий труда │При выполнении │часть │ │ │ │ │ │ │ │ │
традиционных │нескольких │(секцию, │ │ │ │ │ │ │ │ │
видов и │последовательных │пролет, блок,│ │ │ │ │ │ │ │ │
типоразмеров │или совмещенных │ячейку) │ │ │ │ │ │ │ │ │
(см.
п. 1.4.1) │процессов - здание│ │ │ │ │ │ │ │ │ │
│(сооружение) или │ │ │ │ │ │ │ │ │ │
│их повторяющиеся │ │ │ │ │ │ │ │ │ │
│части │ │ │ │ │ │ │ │ │ │
Оценка новых │Годовая │Единицу │На этапе │ + │ + │ + │ + │ │ + │ │
орудий труда │эксплуатационная │измерения │проектирования и│ │ │ │ │ │ │ │
нетрадиционных │производительность│годовой │конструирования │ │ │ │ │ │ │ │
видов и │одного │производи- │новых орудий │ │ │ │ │ │ │ │
типоразмеров │среднесписочного │тельности или│труда - лучшие │ │ │ │ │ │ │ │
│орудия труда или │на 1 маш.-ч │образцы │ │ │ │ │ │ │ │
│его годовое │работы │отечественного │ │ │ │ │ │ │ │
│количество │ │и зарубежного │ │ │ │ │ │ │ │
│маш.-часов работы │ │производства, │ │ │ │ │ │ │ │
│ │ │предназначенные │ │ │ │ │ │ │ │
│ │ │для той же │ │ │ │ │ │ │ │
│ │ │области │ │ │ │ │ │ │ │
│ │ │применения. │ │ │ │ │ │ │ │
│ │ │На этапах │ │ │ │ │ │ │ │
│ │ │принятия решения│ │ │ │ │ │ │ │
│ │ │о серийном │ │ │ │ │ │ │ │
│ │ │изготовлении │ │ │ │ │ │ │ │
│ │ │и применении │ │ │ │ │ │ │ │
│ │ │в строительном │ │ │ │ │ │ │ │
│ │ │производстве - │ │ │ │ │ │ │ │
│ │ │наиболее │ │ │ │ │ │ │ │
│ │ │распространенная│ │ │ │ │ │ │ │
│ │ │заменяемая │ │ │ │ │ │ │ │
│ │ │техника. │ │ │ │ │ │ │ │
│ │ │На этапе │ │ │ │ │ │ │ │
│ │ │переаттестации │ │ │ │ │ │ │ │
│ │ │на Знак качества│ │ │ │ │ │ │ │
│ │ │- то же, орудие │ │ │ │ │ │ │ │
│ │ │труда до его │ │ │ │ │ │ │ │
│ │ │аттестации │ │ │ │ │ │ │ │
Оценка │ То же │ То же │Та же машина до │ │ │ + │ │ │ + │ │
модернизации │ │ │ее модернизации │ │ │ │ │ │ │ │
орудий труда │ │ │ │ │ │ │ │ │ │ │
силами │ │ │ │ │ │ │ │ │ │ │
строительных │ │ │ │ │ │ │ │ │ │ │
организаций с │ │ │ │ │ │ │ │ │ │ │
целью повышения │ │ │ │ │ │ │ │ │ │ │
их производитель-│ │ │ │ │ │ │ │ │ │ │
ности или │ │ │ │ │ │ │ │ │ │ │
улучшения других │ │ │ │ │ │ │ │ │ │ │
эксплуатационных │ │ │ │ │ │ │ │ │ │ │
параметров
<*> │ │ │ │ │ │ │ │ │ │ │
То же, с целью │ " │ " │Машина, │ │ + │ + │ + │ │ + │ + │
изменения области│ │ │выпускаемая │ │ │ │ │ │ │ │
их применения, │ │ │отечественной │ │ │ │ │ │ │ │
в т.ч. с целью │ │ │промышленностью,│ │ │ │ │ │ │ │
универсализации │ │ │с такими же │ │ │ │ │ │ │ │
│ │ │техническими │ │ │ │ │ │ │ │
│ │ │параметрами, │ │ │ │ │ │ │ │
│ │ │как у модернизи-│ │ │ │ │ │ │ │
│ │ │рованной │ │ │ │ │ │ │ │
Оценка │ " │ " │Показатели │ │ │ + │ │ + │ + │ + │
мероприятий │(см.
п. 1.4.4) │ │использования │ │ │ │ │ │ │ │
по улучшению │ │ │парка машин │ │ │ │ │ │ │ │
использования │ │ │до реализации │ │ │ │ │ │ │ │
парка средств │ │ │технических │ │ │ │ │ │ │ │
механизации │ │ │решений │ │ │ │ │ │ │ │
Оценка │ " │ " │Показатели │ │ │ + │ │ │ + │ + │
совершенствования│(см.
п. 1.4.5) │ │выполнения этих │ │ │ │ │ │ │ │
процессов │ │ │процессов до │ │ │ │ │ │ │ │
технической │ │ │реализации │ │ │ │ │ │ │ │
эксплуатации │ │ │технических │ │ │ │ │ │ │ │
машин │ │ │решений │ │ │ │ │ │ │ │
--------------------------------
<*> Оценка модернизации орудий труда, осуществляемая в сфере машиностроения, рассматривается так же, как создание новых орудий труда.
1.6. В случае необходимости определения годового экономического эффекта технического решения, реализация которого осуществляется более одного года (при возведении здания, сооружения или их комплексов), годовые затраты, связанные с использованием этого технического решения, и экономический эффект, получаемый в каждом году, приводятся к первому году применения, а результат делится на число лет реализации данного технического решения (определение среднегодового экономического эффекта за период реализации технического решения).
1.7. Если рассматриваемое новое орудие труда входит в комплект средств механизации, с применением которого осуществляется один или несколько взаимосвязанных технологических процессов, то годовой объем работ определяется по годовой эксплуатационной производительности ведущей машины этого комплекта.
1.8. Сравниваемые варианты технических решений для всех видов задач должны быть приведены в сопоставимый вид по: области их применения; объему работ, выполняемых с их применением; качественным параметрам; моментам осуществления затрат и получения эффекта ("фактору времени"); срокам службы орудий труда; уровню цен, тарифов, норм и пр.; социальным факторам (влияние технических решений на условия труда рабочего и окружающую среду).
1.9. Приведение сравниваемых вариантов технических решений к сопоставимому виду по области их применения достигается правильным выбором базы для сравнения (БТ) в соответствии с
табл. 1.
1.9.1. Для задач типа
1.4.1 и
1.4.4 варианты технических решений должны сравниваться при одинаковых конструктивных, объемно-планировочных решениях и технологических условиях производства строительных работ, для задач типа
1.4.2 и
1.4.5 - при одинаковых конструктивных, объемно-планировочных решениях и организационных условиях производства работ, а для задач типа
1.4.3 - при одинаковых конструктивных, объемно-планировочных решениях, организационных и технологических условиях.
При решении любых типов задач необходимо исключить влияние факторов, непосредственно не связанных с количественными и качественными параметрами рассматриваемых вариантов технических решений на величину годового экономического эффекта от их применения.
Так, при определении экономической эффективности вахтового метода организации строительства и производства работ не следует учитывать эффект, получаемый от использования новых инвентарных производственных и бытовых помещений взамен временных помещений на объектах строительства. При определении экономической эффективности диспетчеризации нельзя принимать в расчет несопоставимые организационно-технические уровни строительного производства. При определении экономической эффективности новых технологических методов монтажа конструкций необходимо исключить влияние применения эффективных конструкций и новых орудий труда на величину экономической эффективности рассматриваемых методов, а при определении эффективности новых орудий труда - исключить влияние организации, технологии и проектных решений.
В отдельных случаях, когда применение эффективных конструкций или технологических методов невозможно без применения новых орудий труда, в расчетах следует указывать, что определяется совокупный годовой экономический эффект, обусловленный применением двух или нескольких новых технических решений (например, метод "стена в грунте").
1.9.2. При решении задач типа
1.4.2,
1.4.3 и
1.4.5 сопоставимость вариантов обеспечивается путем сравнения показателей выполнения технологического процесса возведения конструктивных элементов, частей зданий и сооружений или процесса перемещения строительных грузов или технической эксплуатации машин с применением различных технологических методов и средств механизации.
Обычно при определении эффективности средств механизации монтажа зданий или сооружений за единицу измерения целесообразно принять здание (сооружение) в целом или его повторяющуюся типовую часть, поскольку производительность кранов и других машин на монтаже здания (сооружения) изменяется в зависимости от технологичности применяемых строительных конструкций и объемно-планировочных решений.
В тех случаях, когда производительность сравниваемых средств механизации не изменяется в течение всего технологического процесса, за единицу измерения целесообразно принять натуральный измеритель продукции технологического процесса.
1.9.3. При решении задач типа
1.4.2 в тех случаях, когда выбор вариантов ограничен наличием парка машин в данной организации, надо сравнивать выполнение рассматриваемого технологического процесса имеющимися средствами механизации (включая транспортные средства), которые по своим техническим параметрам могут обеспечить выполнение этого процесса.
Если выбор не ограничен наличием парка машин, в расчет следует принимать лучшие, наиболее совершенные машины, имеющиеся в строительстве. Обычно это делают при разработке типовых технологических карт, типовых проектов производства работ и при выполнении научных исследований.
1.9.4. Если новое средство механизации или автотранспорта (НТ) создано для применения при выполнении двух или нескольких технологических процессов (орудия труда многоцелевого назначения), то при решении задач типа
1.4.3 расчет осуществляется по каждому процессу. Средняя величина экономического эффекта в этом случае определяется с учетом удельного веса (частоты) применения данного средства механизации при выполнении тех или иных технологических процессов.
1.9.5. Если модернизация машин имеет целью ее универсализацию (возможность использования новых видов сменного оборудования), то в качестве БТ принимается выполнение технологических процессов с использованием аналогичной универсальной машины, выпускаемой отечественной промышленностью. При отсутствии таковой сравнение надо производить с осуществлением операций и процессов специализированными машинами или вручную.
1.9.6. Приведение сравниваемых вариантов технических решений к сопоставимому виду по объему работ, выполняемому с их применением, достигается расчетом удельных показателей себестоимости и капитальных вложений по вариантам на принятую единицу измерения работы с последующим умножением на годовой объем работ, выполняемый с применением технического решения, обеспечивающего большую производительность (скорость выполнения работ и пр.).
В тех случаях, когда объем работ ограничен годовой программой строительно-монтажных работ и не может быть увеличен при использовании нового технического решения (НТ) без проведения дополнительных организационных и других мероприятий (увеличение поставки строительных материалов и конструкций, орудий труда, увеличение численности рабочих и пр.), годовой объем работ принимается одинаковым.
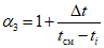
1.10. Приведение сравниваемых вариантов технических решений к сопоставимому виду по "фактору времени" необходимо, если капитальные вложения осуществляются в течение ряда лет, а также в тех случаях, когда текущие издержки и результаты реализации технических решений изменяются с течением времени. Сопоставимость обеспечивается приведением разновременных затрат и результатов к одному моменту времени - году начала реализации нового технического решения путем их умножения на коэффициент приведения:

, (1.2)
где

- коэффициент приведения;
E - норматив приведения (E = 0,1);
t - период приведения в годах (t > 1).
Затраты и результаты, осуществляемые и получаемые до момента приведения, умножаются на

, а после момента приведения - на

. Коэффициенты приведения даны в
табл. 1 Приложения.
1.11. Приведение сравниваемых вариантов технических решений к сопоставимому виду по срокам службы орудий труда (задачи типа
1.4.2 и
1.4.3) осуществляется путем учета дополнительных капитальных вложений на приобретение техники с меньшим нормативным сроком службы в течение срока службы более долговечной техники.
С этой целью капитальные вложения в менее долговечную технику следует умножить на коэффициент h, величина которого при

составляет:

, (1.3)
где

и

- нормативные сроки службы соответственно более и менее долговечной техники.
1.12. Приведение сравниваемых вариантов технических решений к сопоставимому виду по социальным факторам (влияние на условия труда рабочего и окружающую среду) осуществляется в тех случаях, когда это влияние невозможно определить прямым счетом.
При этом необходимо руководствоваться следующим правилом: экономическому сравнению подлежат только те варианты технических решений, которые в части их отрицательного влияния на условия труда рабочих и окружающую среду (уровень вибрации, шума, запыленности, освещенности, вредных выбросов и т.д.) соответствуют нормам ГОСТов. Если параметры отрицательного воздействия выходят за пределы указанных норм, то данный вариант технического решения не следует рассматривать. Исключение составляет только сопоставление с заменяемой техникой, отдельные морально устаревшие образцы которой, не соответствующие действующим в настоящее время ГОСТам, еще находятся в эксплуатации.
Если эти параметры не выходят за пределы норм ГОСТов, но в одном из рассматриваемых вариантов они более благоприятны, для приведения вариантов к сопоставимому виду следует увеличить стоимость (капитальные вложения) варианта техники с менее благоприятными параметрами. Увеличение стоимости производится в соответствии с данными о величине затрат, необходимой и достаточной для создания устройств, обеспечивающих улучшение указанных параметров до уровня лучшего из рассматриваемых вариантов техники.
1.13. Сопоставимость вариантов технических решений по уровню цен, тарифов, норм и пр. обеспечивается применением в расчетах сравнительного годового экономического эффекта цен, тарифов и т.п., действующих на момент выполнения расчета.
1.14. Экономический эффект следует определять только по тем нормативным документам, которые непосредственно регламентируют изменение или непосредственно влияют на изменение в строительном производстве расхода ресурсов, перечисленных в
п. 1.3, и их реализация не требует проведения каких-либо дополнительных организационно-технических мероприятий (повышения уровня организации производства, применения новых орудий или предметов труда, технологии производства работ и т.д.).
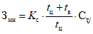
1.15. Сравнительный годовой экономический эффект от реализации тех или иных технических решений определяется по разности приведенных затрат
Э = П' - П"
или с учетом изменения годового объема работ

, (1.4)
где B" - годовой объем работ, выполняемый с использованием НТ, а индекс (у) означает удельную величину себестоимости (С) и капитальных вложений (К) на единицу измерения годового объема работ.
2. Порядок выполнения расчета
годового экономического эффекта
2.1. Расчет годового экономического эффекта производится в следующем порядке:
выявление назначения и области применения технического решения (НТ);
выбор базисного (или заменяемого) решения (БТ);
выявление факторов, обеспечивающих снижение текущих или капитальных затрат или изменение отвлеченности производственных фондов при использовании в строительном производстве НТ вместо БТ;
сбор и систематизация исходных данных, необходимых для выполнения расчета;
определение годового объема работ при использовании БТ и НТ;
расчет капитальных затрат (или отвлеченности производственных фондов);
расчет текущих затрат (себестоимости);
расчет годового экономического эффекта.
2.2. Выявление назначения и области применения НТ производится при разработке новых методов организации, технологии и новых орудий труда на основе научной и технической документации (научные отчеты, технические требования или задания на разработку НТ). На этом этапе должны быть установлены конкретные или усредненные (в зависимости от типа задачи) условия применения НТ, технологические процессы, для выполнения которых предназначена НТ.
2.3. Выбор БТ зависит от типа задачи (см.
табл. 1) и определяется назначением НТ, областью ее применения, условиями ее использования. Если НТ предназначена для выполнения технологической операции (процесса), ранее осуществлявшейся вручную, в качестве БТ принимается ручной труд рабочих.
2.4. Влияние факторов, обеспечивающих снижение текущих или капитальных затрат или изменение отвлеченности производственных фондов при использовании НТ вместо БТ, осуществляется по той же
табл. 1 в соответствии с типом задачи, условиями и областью применения НТ и ее преимуществами по сравнению с БТ.
2.5. Источниками информации для выполнения расчетов экономического эффекта являются:
для задач типа
1.4.1 - нормы продолжительности нового строительства и реконструкции зданий, сооружений и их комплексов, проектно-сметная документация;
для задач типа
1.4.2 - объемно-планировочные и конструктивные решения зданий и сооружений, специальная литература, содержащая данные о технических и эксплуатационных параметрах машин традиционных видов и типоразмеров;
для задач типа
1.4.3 на этапе проектирования и конструирования новых орудий труда - технические требования на машину и техническое задание на ее проектирование, технический проект, рабочая документация, карта технического уровня и качества, отчетная калькуляция себестоимости изготовления БТ за прошедший год; на этапе принятия решения о серийном изготовлении и применении НТ - акты государственных испытаний, паспорт машины и инструкция по ее эксплуатации, отчетная калькуляция себестоимости изготовления БТ за прошедший год и плановая для НТ; на этапах аттестации машины (после определенного периода ее эксплуатации) и ее повторной аттестации - справки строительных организаций, карта технического уровня и качества, инструкция по эксплуатации машины, отчетная калькуляция себестоимости изготовления НТ за прошедший год.
Кроме того, для всех типов задач источниками информации являются:
при определении затрат материалов - нормы расхода материалов, утвержденные в установленном порядке, а также расчетные величины расхода материалов;
при определения затрат труда рабочих - ЕНиР,
ВНиР, МНиР, карты технологических процессов, нормы обслуживания (в частности, нормативный состав экипажей машин), хронометражные данные, приведенные к уровню ЕНиР, нормативные и методические документы, утвержденные в установленном порядке;
при определении затрат на заработную плату рабочих - расценки, указанные в ЕНиР,
ВНиР, МНиР, тарифные ставки и поправочные коэффициенты к ним, а также ТКС;
при определении суммы амортизационных отчислений - "
Нормы амортизационных отчислений по основным производственным фондам народного хозяйства", утвержденные Постановлением Совета Министров СССР от 14.03.74 N 183;
при определении суммы накладных расходов на общестроительные работы - усредненный норматив в размере 18% к сумме прямых затрат, а по эксплуатации машин - в размере 0,3 от суммы основной заработной платы рабочих и 0,1 от остальных статей прямых затрат (кроме задач, в которых определяется эффективность новых автотранспортных средств);
при определении затрат на автотранспорт в строительных организациях - "Единые тарифы на перевозку грузов автотранспортом", прейскурант N 13-01-01;
при определении суммы капитальных вложений и основных производственных фондов - сметная стоимость зданий и сооружений (или их удельная стоимость на единицу производственной площади, общей площади жилых зданий, одного учащегося и т.п.), прейскуранты оптовых цен на машины и другую промышленную продукцию, вводимые с 01.01.82, с учетом средней величины затрат на ее первоначальную доставку от завода-изготовителя.
В
таблицах 1 -
25 Приложения изложены основные величины исходных данных.
В связи с тем, что большинство исходных данных (особенно нормы) носят вероятностный характер, в расчетах экономического эффекта следует учитывать их средние отклонения. Средние коэффициенты, учитывающие отклонения фактических величин от нормативных, указаны в
табл. 2 Приложения.
2.6. Ускорение темпов научно-технического прогресса приводит к тому, что новые технические решения (НТ) через относительно короткие промежутки времени заменяются новейшими. В этом случае в расчетах экономической эффективности новейшей техники исходные данные и расчетные показатели (НТ) следует принимать как базисные (БТ) с соответствующей корректировкой данных, указанных в таблицах
Приложения.
3. Определение годового объема работ
3.1. Технические решения в области организации производства строительных работ (задачи типа
1.4.1), как правило, имеют непосредственной целью улучшение использования (экономию) календарного времени (снижение внутрисменных потерь рабочего времени, повышение коэффициента сменности работы, совмещение по времени выполнения однородных или различных технологических процессов или этапов строительства). При этом в некоторых случаях снижаются затраты труда рабочих и в большинстве случаев отвлеченность производственных фондов на выполнение технологических процессов возведения зданий и сооружений. Однако при этом годовой объем строительно-монтажных работ строительной организации остается неизменным в связи с ограниченностью поставки в каждый отрезок календарного времени строительных материалов, деталей и конструкций. Поэтому при решении задач типа
1.4.1 в качестве годового объема работ следует принимать годовую программу строительно-монтажных работ строительной организации

. Если рассматриваются конкретные технические решения (мероприятия) по снижению продолжительности строительства и при этом обеспечивается возможность увеличения годовой поставки строительных материалов, деталей и конструкций (без увеличения численности рабочих, машин и пр.), то годовой объем работ с использованием НТ определяется на основе расчетного увеличения выработки на одного рабочего

, которая определяется делением объема строительно-монтажных работ на расчетную численность рабочих, занятых на этих работах и в подсобных производствах.
В тех случаях, когда определяется экономическая эффективность укрупнения строительных организаций (в пределах, ограниченных возможностью оперативного управления всеми одновременно строящимися объектами), в качестве годового объема работ следует принимать суммарный объем строительно-монтажных работ этих организаций до их укрупнения

.
3.2. При решении задач типа
1.4.2 в условиях ограниченности поставки строительных материалов, деталей и конструкций годовой объем работ определяется годовой производительностью ведущей машины (или комплекта машин) при заменяемом способе выполнения технологического процесса

.
Если годовая поставка строительных материалов, деталей и конструкций не ограничена мощностью производственной базы строительства, то годовой объем работ определяется по производительности ведущих машин (или комплектов машин) при БТ и НТ

.
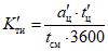
Годовая производительность строительных машин определяется по формуле

, (3.1)
где

- среднечасовая эксплуатационная производительность машины в натуральных измерителях (м3, м2, м, т и т.д.);

- количество машино-часов работы в год на одну среднесписочную машину при выполнении рассматриваемых технологических процессов.
3.2.1. Среднечасовая эксплуатационная производительность строительных машин

традиционных видов и типоразмеров при наличии утвержденных норм (ЕНиР,
ВНиР, МНиР) определяется по формуле

, (3.2)
где

- объем работ, принятый за единицу измерения в ЕНиР и других нормах, ед. продукции маш.-ч;

- средний коэффициент к нормам времени, учитывающий отклонение фактических затрат времени от нормативных (
табл. 2 Приложения);

- средний коэффициент, отражающий условия производства работ (
табл. 5 Приложения);

- норма времени по ЕНиР,
ВНиР, МНиР на принятую единицу измерения объема работы, маш.-ч/ед. объема работ;

- удельный вес (в долях единицы) применения каждой нормы времени (
табл. 3 и
4 Приложения).
3.2.2. Количество машино-часов работы в год на одну среднесписочную строительную машину определяется по формуле

, (3.3)
где Ф - фонд рабочего времени на выполнение механизированных работ, перебазировку машины, ее техническое обслуживание, ремонт и переоборудование, дни (
табл. 8 Приложения);

- средний коэффициент сменности работы машины (
табл. 5 -
7 Приложения), к-во смен-день;

- средняя продолжительность рабочей смены (
табл. 9 Приложения), к-во маш.-ч/смены;

- количество дней нахождения машины в техническом обслуживании и ремонте (плановом и неплановом), приходящееся на 1 маш.-ч работы, дн./маш.-ч;

- удельный вес (в долях единицы) применения машин на выполнение различных видов работ (
табл. 10 Приложения);

- средняя продолжительность одной перебазировки машины, дни (
табл. 5 Приложения);

- среднее количество машино-часов работы на одном объекте (
табл. 5 Приложения);

- средняя продолжительность замены рабочего оборудования машины, дни (по технической документации);

- средняя периодичность замены рабочего оборудования машины (по данным эксплуатации), маш.-ч.
3.2.3. Количество дней нахождения одной среднесписочной строительной машины в техническом обслуживании и ремонте (плановом и неплановом), приходящееся на 1 маш.-ч работы, определяется по формуле

, (3.4)
где

- коэффициент по
табл. 2 Приложения;

- количество технических обслуживаний и ремонтов за один ремонтный цикл (по технической документации);

- нормативная продолжительность выполнения технических обслуживаний и ремонтов (по технической документации), дни;

- средняя продолжительность ликвидации одного отказа машины (по данным эксплуатации машин), дни;

- средняя периодичность отказов машины (по технической документации), маш.-ч;

- средняя периодичность выполнения капитального ремонта по данным технической документации (средний ресурс), маш.-ч.
Величина

для традиционной техники приведена в
табл. 13 Приложения.
При использовании источников информации, в которых периодичность выполнения технического обслуживания, текущего и капитального ремонтов, а также отказов машины указана в мото-часах (часах наработки), необходимо эти величины перевести в машино-часы путем деления количества мото-часов на коэффициент перехода от мото-часа к машино-часу (
табл. 5 и
6 Приложения).
Если в источниках информации указан

ресурс до текущего или капитального ремонта машины, то его следует перевести в средний ресурс в соответствии с коэффициентами, указанными в
табл. 15 Приложения. В расчетах экономической эффективности величина ресурса принимается в размере не более 110% нормативного срока службы орудия труда

. Нормативный срок службы орудий труда

определяется в соответствии с данными
табл. 13 и
14 Приложения.
3.3. При решении задач типа
1.4.3 годовой объем работ определяется по годовой производительности БТ и НТ при их использовании на выполнении одних и тех же технологических процессов в одинаковых условиях производства работ.
3.3.1. Годовая эксплуатационная производительность БТ и НТ, кроме машин цикличного действия, предназначенных для выполнения отдельных операций технологического процесса, осуществляемого с применением ручного труда (см.
п. 3.3.5) и механизированного инструмента, определяется по формуле

, (3.5)
где

- техническая производительность БТ или НТ за один час чистого времени работы по выполнению технологических операций в различных условиях (например - в грунтах I, II и т.д. групп), принимается по актам приемочных испытаний или другой документации, ед. продукции/ч;

- коэффициент перехода от технической производительности к эксплуатационной, отражающий долю чистого времени работы БТ в продолжительности рабочей смены (
табл. 5 и
6 Приложения);

- количество машино-часов работы БТ или НТ в год, определяемое по формулам (
3.3 и
3.4);

- доля использования машины в различных условиях (
табл. 3 и
4 Приложения);

- поправочный коэффициент, отражающий размер изменения

по сравнению с

.
Произведение

определяет среднечасовую эксплуатационную производительность машины

.
3.3.2. При определении годовой эксплуатационной производительности БТ по
формуле (3.5) 
. При определении годовой эксплуатационной производительности НТ величина

зависит от характера использования машины и факторов роста технической производительности НТ по сравнению с БТ.
3.3.3. По машинам, предназначенным для выполнения технологических процессов, осуществляемых без применения ручного труда, - экскаваторам, скреперам, бульдозерам, погрузчикам, автогрейдерам и т.д.:
при увеличении технической производительности НТ

за счет снижения продолжительности рабочего цикла


; (3.6)
при увеличении технической производительности НТ за счет увеличения выполненного объема работы за один цикл


, (3.7)
где

- средняя продолжительность рабочей смены (
табл. 9 Приложения);

- часть перерывов в работе БТ, обусловленных ее конструктивными особенностями (выполнение ежесменного обслуживания, замена рабочих органов, выдвижение стрелы или башни, заправка топливом, передвижение по фронту работ, отдых машиниста и пр.), ч;
при снижении затрат рабочего времени на перерывы, обусловленные конструктивными особенностями НТ (в случае

),

, (3.8)
где

- величина снижения затрат рабочего времени НТ на перерывы, обусловленные ее конструктивными особенностями;

- перерывы, величина которых снижается;
при совместном влиянии всех указанных выше факторов (
формулы 3.6 -
3.8)

. (3.9)
3.3.4. Если строительная машина предназначена для выполнения двух последовательно осуществляемых технологических процессов (например, рыхление и перемещение разрыхленного грунта бульдозером-рыхлителем), то общая среднечасовая эксплуатационная производительность такой машины

определяется по формуле

, (3.10)
где

и

- среднечасовая эксплуатационная производительность машины при выполнении первого и второго технологических процессов.
3.3.5. По строительным машинам цикличного действия, предназначенным для выполнения отдельных операций технологического процесса, осуществляемого с применением ручного труда (машины для погрузки и выгрузки строительных материалов, их вертикального транспорта и монтажа конструкций), эксплуатационная среднечасовая производительность БТ определяется по данным
табл. 11 Приложения, а НТ по формуле

, (3.11)
где

и

- продолжительность выполнения ежесменного обслуживания БТ и НТ, маш.-ч;

,

- продолжительность рабочего цикла БТ и НТ при осуществлении трех различных технологических процессов (погрузка или разгрузка материалов, их вертикальный транспорт и монтаж строительных конструкций и оборудования), мин;

- доля занятости машины на выполнении i-го вида процессов (
табл. 11 Приложения);

- доля занятости машины по времени на выполнении операций технологического процесса (для автокранов и кранов на специальном шасси автомобильного типа

);

- доля занятости машины на ежесменное передвижение с базы на объект и между объектами

;
V', V" - средние скорости передвижения машин, соответственно БТ и НТ, км/ч;
3.3.6. По механизированному инструменту цикличного действия (сверлильные и резьбонарезные машины, гайковерты, шуруповерты, перфораторы, молотки и пр.) годовая эксплуатационная производительность определяется по формуле

, (3.12)
где

- техническая производительность данного вида механизированного инструмента, ед. продукции (или количество операций) за 1 ч чистого времени работы;

- количество часов чистого времени работы механизированного инструмента на объектах строительства в году, ч.
3.3.7. Техническая производительность БТ и НТ (количество просверленных или пробитых отверстий определенной длины и диаметра, закрученных гаек и пр.) составляет:

, (3.13)
где

- продолжительность чистого времени работы механизированного инструмента при выполнении одной операции, с.
В случае необходимости среднечасовая эксплуатационная производительность механизированного инструмента определяется по формуле

. (3.14)
3.3.8. Коэффициент перехода от технической производительности к эксплуатационной для БТ определяется по формуле

, (3.15)
где

- среднее количество циклов работы данного вида механизированного инструмента в течение смены.
При увеличении технической производительности НТ по сравнению с БТ


. (3.16)
3.3.9. Количество часов чистого времени работы механизированного инструмента в год определяется по формуле

, (3.17)
где

- фонд рабочего времени механизированного инструмента (для инструмента, предназначенного для работы внутри отапливаемых зданий,

; в неотапливаемых помещениях и на открытом воздухе -

);

- коэффициент сменности (
табл. 7 Приложения);

- коэффициент перехода от технической производительности инструмента к эксплуатационной (для БТ - по
табл. 7 Приложения, а для НТ - по
формуле 3.16);

- средний ресурс до первого текущего ремонта или до списания (по технической документации), ч.
Если ресурс указан в технической документации в количестве операций (циклов), то:

, (3.18)
где

- количество операций (циклов) до первого текущего ремонта или до списания механизированного инструмента.
3.3.10. Годовая эксплуатационная производительность автотранспортных средств определяется по формуле

, (3.19)
где

- средний годовой пробег автотранспортного средства с грузом, км;
Г - паспортная грузоподъемность автотранспортного средства, т;

- средний коэффициент использования грузоподъемности, определяемый по паспортной грузоподъемности и виду строительного груза;

- коэффициент использования пробега (для автомобилей-самосвалов и специализированных машин

и для универсальных

).
3.3.11. Средний годовой пробег автотранспортного средства с грузом определяется по формуле

, (3.20)
где

- количество авто-часов работы в год, авто-ч;
V - средняя эксплуатационная скорость автотранспортного средства, км/ч;

- среднее расстояние перевозки строительных грузов, км (для перевозки грунта

, для других строительных грузов

);

- средняя продолжительность погрузки и выгрузки, ч.
3.3.12. Количество авто-часов работы в год одного среднесписочного автотранспортного средства определяется по формуле

, (3.21)
где

- коэффициент использования автотранспортного средства в течение года

.
3.3.13. При выполнении расчетов экономической эффективности для конкретных строительных организаций исходные данные, перечисленные в
разделе 3 и характеризующие степень использования средств механизации и транспорта по времени и производительности, принимаются в соответствии с отчетными данными этих строительных организаций.
Во всех остальных случаях исходные данные принимаются в соответствии с указанными в тексте и таблицах
Приложения.
Для определения эффективности организационных мероприятий, обеспечивающих повышение внутрисменного использования средств механизации, их среднечасовая эксплуатационная производительность после проведения мероприятий определяется по формуле

, (3.22)

, (3.23)
где

- экономия рабочего времени внутри смены за счет снижения простоев по организационным причинам.
3.5. При решении задач типа
1.4.5 в качестве годового объема работ следует принимать количество машино-часов (или авто-часов) работы парка машин данной типоразмерной группы в строительных организациях, уровень которых (управление, трест механизации, главное территориальное управление по строительству и т.п.) следует принимать в зависимости от намечаемых масштабов реализации данного технического решения.
В этом случае количество машино-часов (или авто-часов) до проведения мероприятий следует принимать по отчетным данным, а после их проведения рассчитывать прирост количества машино-часов (или авто-часов), используя
формулу (3.4).
4. Расчет капитальных затрат
4.1. В соответствии с
табл. 1 определяется круг факторов, которые влияют на изменение капитальных вложений или отвлеченность основных производственных фондов при решении тех или иных типов задач.
Величина удельных капитальных вложений для БТ и НТ определяется по формуле

, (4.1)
где

- оптовая цена i-го вида орудия труда, средств связи, инвентарных зданий и других объектов капитальных вложений, необходимых для осуществления рассматриваемых технических решений по выполнению технологических процессов возведения зданий, сооружений и их комплексов, руб.;

- коэффициент перехода от оптовой цены к среднебалансовой стоимости i-го объекта капитальных вложений (для машин, перебазируемых в демонтированном состоянии,

, для остальных

);

- капитальные вложения на приобретение i-го элемента основных производственных фондов, руб.;
n - количество элементов основных производственных фондов.
4.2. При решении всех типов задач наряду с потребностью в дополнительных капитальных вложениях

на приобретение новых нетрадиционных орудий труда, средств связи, инвентарных зданий, технологической оснастки и т.п. в ряде случаев изменяется потребность в существующих производственных фондах для выполнения технологических процессов возведения зданий, сооружений и их комплексов. В этих случаях величина

определяется по формуле

, (4.2)
где

- снижение (-) или увеличение (+) потребности (отвлеченности) существующих основных производственных фондов при использовании НТ, руб.;

- количество производственных фондов i-го вида, шт.
Величина

определяется по формуле

. (4.3)
При выполнении расчетов экономического эффекта для конкретной строительной организации величина

определяется на основе бухгалтерских данных о среднебалансовой стоимости основных производственных фондов, потребность в которых изменяется при использовании НТ.
4.2.1. Величина (m) определяется по формулам:
при снижении потребности в существующих производственных фондах

; (4.4)
при увеличении потребности в существующих производственных фондах


. (4.5)
4.2.2. Стоимость новых машин, оборудования, приспособлений и пр., изготавливаемых в одном или нескольких экземплярах, определяют по фактической себестоимости их производства

с коэффициентом рентабельности

, утвержденным в установленном порядке.
При определении годового экономического эффекта от массового применения в строительстве указанных элементов НТ необходимо предусмотреть снижение себестоимости их заводского изготовления при серийном производстве. Для этого к себестоимости изготовления экспериментального образца или (опытной партии) НТ применяются поправочные коэффициенты, учитывающие снижение себестоимости изготовления НТ при ее массовом производстве, по формуле

, (4.6)
где

- коэффициент, учитывающий снижение заводской себестоимости изготовления НТ на второй, третий и т.д. год выпуска в связи с освоением новой технологии и оснащением производства соответствующим оборудованием
(табл. 16);

- коэффициент, учитывающий снижение заводской себестоимости изготовления НТ в связи с увеличением серийности выпуска
(табл. 17).
4.3. При решении задач типа
1.4.3 на стадии разработки технических требований на новое орудие труда (машину, прибор, оборудование и пр.) большинство экономических параметров неизвестно. На этом этапе можно только определить заданное превышение годовой эксплуатационной производительности НТ по сравнению с БТ и основные технические параметры НТ.
В этих условиях величину капитальных вложений на приобретение НТ целесообразно определять на основе расчета максимально допустимой цены НТ, имея в виду, что применение НТ в строительном производстве должно обеспечить получение минимально необходимого экономического эффекта.
Расчет производится по формуле

, (4.7)
где

- максимально допустимая цена НТ, при которой обеспечивается экономический эффект от ее применения, руб.;

- себестоимость единицы продукции (м3, м2, т и т.п.) или при

1 маш.-ч эксплуатации НТ без амортизационных отчислений, руб.;

- поправочный коэффициент (
табл. 12 Приложения).
Величину

на этом этапе разработки НТ можно определить с достаточной степенью точности, пользуясь формулами
раздела 5.
Расчет по
формуле (4.7) позволяет определить экономическую целесообразность дальнейшей проработки конструкции данного нового орудия труда.
При последующей разработке можно определить проектную цену нового орудия труда по формуле

. (4.8)
Подставляя различные увеличивающиеся значения

в формулу (4.8), можно получить ряд величин

, одна из которых будет соответствовать уровню действующих оптовых цен на машины аналогичного назначения, находящиеся в одном типоразмерном ряду с новой моделью машины.
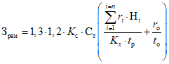
4.4. При решении задач типа
1.4.1 и
1.4.2 в случае снижения продолжительности возведения объектов производственного назначения и их досрочного пуска в эксплуатацию при использовании НТ определяется дополнительный экономический эффект по формуле

, (4.9)
где Ф - стоимость основных производственных фондов, вводимых в эксплуатацию, руб.;

и

- продолжительность строительства при использовании БТ и НТ, годы;

- нормативный коэффициент эффективности капитальных вложений

.
Этот эффект образуется после окончания строительства и является единовременным. При его суммировании с годовым экономическим эффектом, определяемым по
формуле (1.4), последняя принимает вид

, (1.4а)
где

,

, E = 0,1.
4.5. При решении задач типа
1.4.3 увеличение среднего ресурса НТ до капитального ремонта учитывается только в пределах до 55% нормативного срока ее службы. Дальнейшее увеличение среднего ресурса НТ экономически целесообразно только в том случае, если этот ресурс становится равен нормативному сроку службы машины или превышает его не более чем на 10% (см.
п. 3.2.3). В этом случае капитальный ремонт НТ не производится, а экономический эффект от ликвидации капитального ремонта определяется по формуле

, (4.10)
где

,

, E = 0,1.
4.6. При решении задач типа
1.4.2 и
1.4.3 в случаях, когда в вариантах БТ и НТ используются машины с различными нормативными сроками службы, эти варианты необходимо привести к сопоставимому виду путем умножения

в
формуле (4.1) на величину h, определяемую в соответствии с
формулой (1.3).
5.1. Текущие затраты на выполнение технологических процессов с использованием БТ и НТ определяются в соответствии с действующими в строительстве правилами калькулирования себестоимости строительно-монтажных работ и эксплуатации машин и включают следующие статьи:
затраты на строительные материалы, используемые в технологическом процессе (M);
основная заработная плата строительных рабочих

;
затраты на эксплуатацию средств механизации

;
прочие прямые затраты

;
общестроительные накладные расходы

.
Если при использовании рассматриваемых вариантов технических решений отдельные статьи затрат не изменяются, то их можно не учитывать в расчете экономического эффекта. В общем виде изменение удельных величин текущих затрат определяется по формуле

.
В соответствии с
табл. 1 определяют те факторы, которые подлежат учету при решении того или иного типа задач по расчету экономической эффективности и выбирают единицу измерения, на которую рассчитывают величины текущих затрат.
5.2. Затраты на строительные материалы, детали и конструкции определяются для БТ по соответствующим производственным нормам их расхода и действующим ценам, а для НТ на основе технологического расчета изменения расхода материалов при реализации НТ.
При выполнении расчета экономического эффекта для конкретной строительной организации принимаются планово-расчетные цены на материалы, детали и конструкции, действующие в этой организации. В остальных случаях расчет осуществляется на основе прейскурантных цен на материалы, детали и конструкции с учетом транспортных расходов, затрат на тару, реквизит и заготовительно-складские расходы. Для БТ и НТ указанные затраты принимаются в размере 4% к ценам на материалы, детали и конструкции, кроме задач по определению экономической эффективности совершенствования организации материально-технического снабжения объектов строительства и средств доставки строительных грузов. Для этих задач указанные затраты определяются прямым счетом для БТ и НТ.
5.3. Затраты на основную заработную плату строительных рабочих (кроме экипажей машин и рабочих, занятых на технической эксплуатации машин) определяются до исходным данным, перечисленным в
п. 2.5, на соответствующую единицу измерения годового объема работ.
В случае отсутствия норм и расценок, утвержденных в установленном порядке, допускается использование расчетных норм времени или норм обслуживания, разработанных методами технического нормирования применительно к рассматриваемым техническим решениям (БТ и НТ).
5.4. Затраты на эксплуатацию средств механизации и автотранспорта включают:
основную заработную плату машинистов, помощников машинистов, шоферов

;
основную заработную плату рабочих, занятых на технической эксплуатации строительных машин

;
затраты на выполнение технического обслуживания и текущего ремонта (планового и непланового)

;
отчисления на амортизацию средств механизации и автотранспорта (А);
затраты на энергоносители (топливо, электричество, сжатый воздух)

;
затраты на смазочные материалы

;
затраты на рабочую жидкость для гидросистемы

;
затраты на перебазировку строительных машин

;
затраты на устройство, разборку и перевозку рельсовых путей

;
отчисления на амортизацию шин

.
Все затраты по эксплуатации средств механизации и автотранспорта определяются на 1 маш.-ч или авто-ч, а для механизированного инструмента - на 1 ч чистого времени его работы.
При решении задач типа
1.4.1 и
1.4.2 величины

, рассчитанные на 1 маш.-ч (или авто-ч) работы, умножаются на количество машино-часов (или авто-часов), необходимое для выполнение принятой единицы измерения годового объема работ
(табл. 1).
5.4.1. Затраты на основную заработную плату машинистов, помощников машинистов и шоферов определяются по формуле

, (5.1)
где 1,3 - коэффициент, учитывающий накладные расходы по эксплуатации строительных машин и автотранспортных средств, приходящихся на основную заработную плату;
1,25 - средний коэффициент, учитывающий премии экипажу машины;

- средний поправочный коэффициент к тарифной ставке (для северных районов страны по
ГОСТ 15150-69 
, для других районов страны

; в среднем по СССР

);

- часовая тарифная ставка i-го разряда работы (
табл. 13 и
14 Приложения), руб.;
n - количество человек в составе экипажа машины в одну смену (
табл. 13 и
14 Приложения).
5.4.2. Заработная плата строительных рабочих, использующих механизированный инструмент, определяется на 1 ч чистого времени работы инструмента по формуле

, (5.2)
где

- вспомогательное время на подключение механизированного инструмента к источнику энергии, его переноску по фронту работ, замену режущего (ударного и др.) рабочего органа, установку инструмента в рабочее положение и пр., приходящееся на один цикл, сек. (
табл. 7 Приложения);

- часовая тарифная ставка разряда работы (по ЕНиР).
5.4.3. Затраты на основную заработную плату рабочих, занятых техническим обслуживанием и текущим ремонтом (плановым и неплановым) строительных машин, определяются по формуле

, (5.3)
где

и

- соответственно трудоемкость выполнения каждого вида технического обслуживания, планового текущего ремонта, а также непланового ремонта (ликвидация отказов машины), чел.-ч;
1,2 - средний коэффициент, учитывающий премии ремонтным рабочим;

- часовая тарифная ставка среднего разряда работы по техническому обслуживанию и ремонту машин (
табл. 13 Приложения), а для средств малой механизации и механизированного инструмента средняя часовая тарифная ставка - 0,625 руб.;

и

- период до выполнения капитального ремонта (средний ресурс) и отказа, маш.-ч.
5.4.4. Затраты на выполнение технического обслуживания и текущего ремонта (планового и непланового) строительных машин определяется по формуле

, (5.4)
где

- коэффициент перехода от суммы основной заработной платы рабочих, занятых технической эксплуатацией машин, к стоимости запасных частей (
табл. 5 Приложения);

- коэффициент, учитывающий накладные расходы по эксплуатации средств механизации, приходящиеся на статьи затрат, не связанные с заработной платой

.
5.4.5. Затраты на выполнение технического обслуживания и ремонта механизированного инструмента определяются по формуле

, (5.5)
где K - расчетно-балансовая стоимость данного вида механизированного инструмента;

- коэффициент перехода от расчетно-балансовой стоимости к затратам на техническое обслуживание и ремонт (
табл. 6 и
7 Приложения).
Если БТ и НТ различаются по продолжительности работы в течение года

и величине ресурса, а количество и трудоемкость выполнения технического обслуживания и текущего ремонта остается неизменной, то величина

для НТ определяется по формуле

, (5.6)

, (5.7)
где

и

- величины ресурсов БТ и НТ, ч.
5.4.6. Затраты на выполнение технического обслуживания и текущего ремонта автотранспортных средств определяются по формуле

, (5.8)
где

- затраты на выполнение технического обслуживания и текущего ремонта на 1000 км пробега (по технической документации), руб./км.
5.4.7. Отчисления на амортизацию строительных машин, механизированного инструмента и специальных автомобилей (передвижные мастерские, топливомаслозаправщики и др.) определяются по формуле

, (5.9)
где

- норма амортизационных отчислений в долях единицы (
табл. 13 и
14 Приложения). Для мех. инструмента

.
По орудиям труда, оптовая цена которых не превышает 50 руб., амортизация не начисляется.
5.4.8. Отчисления на амортизацию автотранспортных средств (кроме специальных автомобилей) определяются по формуле

. (5.10)
5.4.9. Затраты на топливо для строительных машин с двигателями внутреннего сгорания определяются по формулам

, (5.11)

, (5.12)
где

- оптовая цена i-го вида топлива, руб. (
табл. 18 Приложения);

- расход i-го вида топлива на 1 маш.-ч работы машины, кг/маш.-ч;

- номинальная мощность двигателя, л.с. (
табл. 19 Приложения);

- удельный расход топлива при номинальной мощности двигателя, г/л.с. в ч (
табл. 19 Приложения);

- коэффициент, учитывающий изменение расхода топлива в зависимости от степени использования двигателя по мощности (
табл. 19 Приложения);

- коэффициент использования двигателя по времени (
табл. 5 и
6 Приложения);

- коэффициент использования двигателя по мощности (
табл. 5 и
6 Приложения);
n - количество двигателей внутреннего сгорания, установленных на одной машине.
5.4.10. Затраты на электроэнергию для строительных машин и механизированного инструмента определяются по формулам

, (5.13)

, (5.14)
где

- тариф на электроэнергию, руб./кВт · ч

;

- расход электроэнергии на 1 маш.-ч работы машины, а для механизированного инструмента - на 1 ч чистого времени работы, кВт · ч;

- номинальная мощность i-го электродвигателя, кВт;

- коэффициент спроса (
табл. 7 и
20 Приложения).
5.4.11. Затраты на сжатый воздух для механизированного инструмента и других орудий труда с пневмоприводом, используемых на объектах строительства, определяются по формуле

, (5.15)
где

- цена 1 маш.-ч работы передвижного компрессора (для механизированного инструмента

на 1 ч чистого времени его работы, для пневмопробойников - 4 руб./маш.-ч);
n - среднее количество орудий труда с пневмоприводом, одновременно работающих от одного компрессора (для механизированного инструмента n = 3, для пневмопробойников n = 1).
5.4.12. Затраты на смазочные материалы для машин с двигателем внутреннего сгорания определяются по формуле

(5.16)
или

, (5.16а)
где

- коэффициент перехода от затрат на топливо или электроэнергию к затратам на смазочные материалы (
табл. 5 Приложения).
5.4.13. Затраты на рабочую жидкость для гидросистем определяются по формуле

, (5.17)
где

- емкость гидросистемы, дм3;

- объемная масса жидкости, кг/дм3 (
табл. 18 Приложения);

- оптовая цена жидкости, руб./кг (
табл. 18 Приложения);

- коэффициент доливок жидкости за период ее замены

;

- периодичность замены жидкости в гидросистеме, маш.-ч.
5.4.14. Затраты на перебазировку машин, осуществляемую своим ходом (машины на шасси автомобиля, пневмоколесного трактора, специальном шасси автомобильного типа), которые могут перемещаться со скоростью 20 км/ч и более, и приходящиеся на 1 маш.-ч работы, определяются по формуле

, (5.18)
где

- продолжительность переезда машины своим ходом (определяется исходя из расстояния и средней скорости переезда по
табл. 21 Приложения).
5.4.15. Затраты на перебазировку машин, перевозимых без их демонтажа или с частичным демонтажом в кузове автомобиля, на буксире или трайлере, и приходящиеся на 1 маш.-ч их работы, определяются по формуле

, (5.19)
где

- затраты на заработную плату экипажа машины, руб.;

- затраты на заработную плату такелажников, руб.;

- затраты на эксплуатацию автомобиля, руб.;

- затраты на эксплуатацию вспомогательного крана, руб.

, (5.20)

, (5.21)
где

- общее время работы тягача.

, (5.22)
где

- средняя скорость переезда, км/ч (
табл. 22 Приложения);

- средняя продолжительность погрузки и выгрузки, ч (
табл. 22 Приложения).

, (5.23)
где

- цена 1 авто-ч (
табл. 23 Приложения), руб.;

- размер доплаты за пробег (
табл. 23 Приложения);

- коэффициент увеличения стоимости 1 авто-ч при использовании специализированного автомобиля или прицепа (по прейскуранту N 13-01-01).

, (5.24)
где

- продолжительность работы вспомогательного крана, маш.-ч (
табл. 22 Приложения);

- себестоимость маш.-ч вспомогательного крана, руб.
5.4.16. Затраты на монтаж и демонтаж крупных строительных машин определяются в соответствии с
табл. 24 Приложения и на их перевозку - по
формуле (5.19).
5.4.17. Затраты на устройство и разборку рельсовых подкрановых путей определяются в соответствии с данными
табл. 25 Приложения.
5.4.18. Если совершенствование конструкции механизированного инструмента обеспечивает снижение износа рабочего органа (сверл, долот и пр.) или при одном и том же механизированном инструменте применяются более стойкие (долговечные) рабочие органы, то годовое снижение себестоимости выполнения работ определяется на основе расчета снижения годовых затрат на приобретение указанных рабочих органов.
5.4.19. Общие затрата на 1 маш.-ч определяют суммированием всех затрат по эксплуатации машин.
5.5. Прочие прямые затраты включают расходы по перевозке грунта автотранспортом, а также строительных материалов, деталей, конструкций и оборудования от приобъектного склада до зоны действия крана, осуществляющего вертикальный транспорт материалов или монтаж конструкций и оборудования.
5.5.1. При решении задач типа
1.4.1 и
1.4.2 сумма прочих прямых затрат определяется на основе "Единых тарифов на перевозку грузов автомобильным транспортом" (прейскурант N 13-01-01).
5.6. Экономия общестроительных накладных расходов образуется при использовании НТ за счет снижения продолжительности строительства или реконструкции зданий, сооружений и их комплексов, затрат труда и расходов на заработную плату рабочих.
5.6.1. При решении задач типа
1.4.1 и
1.4.2 экономия накладных расходов от снижения продолжительности выполнения технологических процессов строительства или реконструкции зданий, сооружений и их комплексов определяется только в том случае, если продолжительность выполнения рассматриваемых процессов оказывает прямое влияние на сроки возведения или реконструкции здания и пр., т.е. если эти процессы находятся на критическом пути сетевого графика.
В тех случаях, когда на критическом пути находится только часть рассматриваемых технологических процессов (задел, обеспечивающий выполнение последующих процессов), в расчет принимаются продолжительность выполнения и объем работ только по этой части процессов.
По остальным типам задач (
1.4.3 -
1.4.5) указанный вид экономии накладных расходов не определяется.
5.6.2. Экономия накладных расходов за счет снижения продолжительности строительства или реконструкции зданий и пр. определяется по формуле

, (5.25)
где

- сумма общестроительных накладных расходов при выполнении технологических процессов с использованием БТ, руб.;

и

- продолжительность выполнения работ с использованием БТ и НТ, определяемая по проектам производства работ, год (или доля года);
0,5 - средний размер условно-постоянной части накладных расходов, величина которой зависит от продолжительности выполнения работ.
5.6.3. При наличии данных о полной сметной стоимости строительно-монтажных работ по выполнению рассматриваемых технологических процессов

с использованием БТ величина

определяется по формуле

, (5.26)
где

- средняя величина накладных расходов, %

;
1,06 - коэффициент, учитывающий размер плановых накоплений в составе

.
Если имеются данные о сумме прямых сметных затрат на выполнение работ

с использованием БТ, формула (5.26) принимает вид:

. (5.27)
При наличии переходных коэффициентов от суммы затрат по статье "Основная заработная плата рабочих", приходящихся на выполнение технологических процессов с использованием БТ,
формула (5.26) принимает вид:

, (5.28)
где

- коэффициент перехода от суммы основной заработной платы рабочих к сумме накладных расходов.
5.6.4. При решении задач типа
1.4.1 и
1.4.2 в некоторых случаях продолжительность работ, находящихся на критическом пути, снижается за счет увеличения количества машин и численности рабочих на данном объекте. В этих случаях необходимо учитывать соответствующее повышение накладных расходов в связи с увеличением численности рабочих по формуле

, (5.29)
где Р - затраты труда рабочих, выполняющих технологические операции вручную (в рассматриваемом случае

), чел.-ч;

и

- количество рабочих, выполняющих работу вручную при использовании БТ и НТ, чел.;
0,6 - средний размер изменения накладных расходов в зависимости от изменения количества отработанных чел.-дней, руб.
5.6.5. Если при использовании НТ изменяются численность рабочих, трудоемкость и продолжительность выполнения технологических процессов, расчет экономии накладных расходов осуществляется по формуле

, (5.30)
где 0,15 - средний размер снижения накладных расходов при сокращении затрат на заработную плату рабочих, руб.
5.6.6. В тех случаях, когда продолжительность выполнения технологического процесса не изменяется при использовании НТ или в целях сопоставимости БТ и НТ необходимо принять, что

, расчет экономии накладных расходов от снижения затрат труда и расходов на основную заработную плату определяется по формуле

. (5.31)
5.7. При аттестации машин на высшую категорию качества, а также при их переаттестации определяется поощрительная надбавка, которая повышает капитальные вложения на приобретение машин, их балансовую стоимость и соответственно сумму амортизационных отчислений. В таких случаях следует уточнить расчет годового экономического эффекта от применения аттестованной машины путем учета величины поощрительной надбавки в
формуле (4.1)

, (4.1а)
где Н - сумма надбавки за качество машины.
Применение изложенных методов расчета обеспечит уточнение экономических обоснований при выборе вариантов организации, технологии и механизации производства строительных работ, а также при определении эффективности новых средств механизации.
Таблица 1
Коэффициенты приведения разновременных затрат

────────────┬────────┬────────┬────────┬────────┬────────┬────────┬────────
Годы │ 1 │ 2 │ 3 │ 4 │ 5 │ 6 │ 7
────────────┼────────┼────────┼────────┼────────┼────────┼────────┼────────
t │ │ │ │ │ │ │
(1 + E) │ 1,1000 │ 1,2100 │ 1,3310 │ 1,4641 │ 1,6105 │ 1,7716 │ 1,9487
────────────┼────────┼────────┼────────┼────────┼────────┼────────┼────────
-t │ │ │ │ │ │ │
(1 + E) │ 0,9091 │ 0,8264 │ 0,7513 │ 0,6830 │ 0,6209 │ 0,5645 │ 0,5132
────────────┴────────┴────────┴────────┴────────┴────────┴────────┴────────
───────────┬───────┬───────┬───────┬───────┬───────┬───────┬───────┬───────
Годы │ 8 │ 9 │ 10 │ 11 │ 12 │ 13 │ 14 │ 15
───────────┼───────┼───────┼───────┼───────┼───────┼───────┼───────┼───────
t │ │ │ │ │ │ │ │
(1 + E) │2,1436 │2,3579 │2,5937 │2,8531 │3,1384 │3,4523 │3,7975 │4,1772
───────────┼───────┼───────┼───────┼───────┼───────┼───────┼───────┼───────
-t │ │ │ │ │ │ │ │
(1 + E) │0,4665 │0,4241 │0,3855 │0,3505 │0,3186 │0,2897 │0,2633 │0,2394
───────────┴───────┴───────┴───────┴───────┴───────┴───────┴───────┴───────
Таблица 2
Учет вероятностного характера исходных данных,
принимаемых в расчетах годового экономического эффекта
───┬───────────────────────────────────────────────┬───────────────────────
N │ Виды работ, технологических операций │ Средние коэффициенты
п/п│ и процессов │ к нормам времени,
│ │учитывающие отклонения
│ │ фактических затрат
│ │времени от нормативных,
│ │ (K )
│ │ x
───┼───────────────────────────────────────────────┼───────────────────────
1 │ 2 │ 3
───┼───────────────────────────────────────────────┼───────────────────────
1 │Переноска, погрузка и разгрузка строительных │ 0,95
│грузов вручную │
2 │То же, с применением средств механизации │ 1,15
3 │Выполнение земляных работ вручную │ 0,9
4 │То же, с применением средств механизации │ 1,2
5 │Монтаж строительных конструкций │ 1,3
│и технологического оборудования │
6 │Выполнение штукатурных работ вручную │ 1,1
7 │То же, с применением средств механизации │ 1,2
8 │Выполнение малярных работ вручную │ 1,1
9 │То же, с применением средств механизации │ 1,2
10 │Выполнение прочих отделочных работ │ 1,15
11 │Выполнение бетонных работ вручную │ 1,0
12 │То же, с применением средств механизации │ 1,15
13 │Устройство рулонных кровель вручную │ 1,05
14 │То же, с применением средств механизации │ 1,15
15 │Выполнение технического обслуживания и ремонта:│
│ тракторов с навесным экскаваторным │ 0,7
│оборудованием 0,25 м3 │
│ экскаваторов одноковшовых │ 1,05
│ экскаваторов многоковшовых │ 0,6
│ бульдозеров │ 0,8
│ скреперов │ 1,05
│ автогрейдеров │ 0,75
│ кранов автомобильных │ 0,5
│ кранов башенных │ 0,65
│ кранов гусеничных │ 0,85
│ кранов пневмоколесных │ 0,4
│ погрузчиков одноковшовых │ 0,5
│ трубоукладчиков │ 0,8
│ прочих машин на шасси трактора и автомобиля │ 0,8
│ остальных средств механизации │ 0,65
16 │Продолжительность нахождения в техническом │
│обслуживании и ремонте, а также ожидании │
│ремонта: │
│ тракторов с навесным экскаваторным │ 0,75
│оборудованием 0,25 м3 │
│ экскаваторов одноковшовых │ 0,78
│ экскаваторов многоковшовых │ 0,6
│ бульдозеров │ 0,83
│ скреперов │ 0,72
│ автогрейдеров │ 0,6
│ кранов автомобильных │ 0,95
│ кранов башенных │ 0,95
│ кранов гусеничных │ 0,9
│ кранов пневмоколесных │ 0,8
│ погрузчиков одноковшовых │ 0,7
│ трубоукладчиков │ 0,65
│ прочие машины │ 0,8
Примечание. При использовании нормативных величин в расчетах их величину делят на коэффициенты, указанные в графе 3.
Таблица 3
Доли объемов работ, выполняемых одноковшовыми
экскаваторами (включая тракторы с навесным
экскаваторным оборудованием) в различных грунтовых
условиях с погрузкой в транспорт и в отвал

| | ИС МЕГАНОРМ: примечание. Числовые значения в шапке таблицы даны в соответствии с официальным текстом документа. | |
─────────────┬───────────┬──────┬──────────────────────────────────────────
Виды сменного│ Способ │Группа│ Экскаваторы с ковшом вместимостью, м3
оборудования │разработки │грунта├────┬──────┬─────┬─────┬─────┬────────────
│ │ │ до │0,26 -│0,5 -│1,1 -│2,0 -│ свыше 4,0
│ │ │0,25│ 0,49│ 1,0│ 2,0│ 4,0│ (шагающие
│ │ │ │ │ │ │ │экскаваторы)
─────────────┼───────────┼──────┼────┼──────┼─────┼─────┼─────┼────────────
Прямая лопата│В транспорт│ I │0,04│ 0,05 │0,04 │0,05 │0,10 │ -
│ │ II │0,06│ 0,07 │0,06 │0,10 │0,20 │ -
│ │ III │ - │ 0,03 │0,03 │0,10 │0,25 │ -
│ │ IV │ - │ - │0,02 │0,05 │0,15 │ -
├───────────┼──────┼────┼──────┼─────┼─────┼─────┼────────────
│Итого │ │0,1 │ 0,15 │0,15 │ 0,3 │0,7 │ -
│ │ │ │ │ │ │ │
Обратная │В транспорт│ I │0,05│ 0,12 │0,05 │0,01 │ - │ -
лопата │ │ II │0,10│ 0,24 │0,07 │0,02 │ - │ -
│ │ III │ - │ 0,09 │0,05 │0,01 │ - │ -
│ │ IV │ - │ - │0,03 │0,01 │ - │ -
│В отвал │ I │0,25│ 0,11 │0,03 │0,01 │ - │ -
│ │ II │0,50│ 0,21 │0,06 │0,02 │ - │ -
│ │ III │ - │ 0,08 │0,04 │0,01 │ - │ -
│ │ IV │ - │ - │0,02 │0,01 │ - │ -
├───────────┼──────┼────┼──────┼─────┼─────┼─────┼────────────
│Итого │ │0,9 │ 0,85 │0,35 │0,10 │ - │ -
│ │ │ │ │ │ │ │
Драглайн │В транспорт│ I │ - │ - │0,08 │0,10 │0,02 │ 0,01
│ │ II │ - │ - │0,10 │0,10 │0,03 │ 0,02
│ │ III │ - │ - │0,07 │0,07 │0,05 │ 0,04
│ │ IV │ - │ - │0,03 │0,03 │0,03 │ 0,03
│В отвал │ I │ - │ - │0,04 │0,10 │0,02 │ 0,10
│ │ II │ - │ - │0,08 │0,10 │0,04 │ 0,25
│ │ III │ - │ - │0,07 │0,07 │0,08 │ 0,40
│ │ IV │ - │ - │0,03 │0,03 │0,03 │ 0,15
├───────────┼──────┼────┼──────┼─────┼─────┼─────┼────────────
│Итого │ │ - │ - │0,5 │ 0,6 │0,3 │ 1,0
Примечания. 1. При наличии погрузочного оборудования доля его применения определяется исходя из уменьшения доли применения прямой лопаты.
2. При наличии грейферного оборудования доля его применения определяется исходя из уменьшения применения обратной лопаты.
3. В случае применения рабочего органа для рыхления мерзлого грунта доля его применения определяется для средних условий в размере 18% от расчетного количества маш.-ч работы в год данной машины. Соответственно уменьшается количество маш.-ч работы по разработке грунта (при определении годовой эксплуатационной производительности).
4. Для гидравлических экскаваторов доля применения обратной лопаты увеличивается в результате отсутствия драглайна.
Таблица 4
Доли объемов работ, выполняемых многоковшовыми
экскаваторами, бульдозерами и скреперами
в различных грунтовых условиях

───────────┬──────┬───────────────┬─────────────────────────┬──────────────
Способ │Группа│ Экскаваторы │ Бульдозеры │ Скреперы
разработки │грунта│ │с двигателями мощностью, │ с ковшом
│ │ │ л.с. │вместимостью,
│ │ │ │ м3
│ ├──────┬────────┼──────┬─────┬──────┬─────┼──────┬───────
│ │цепные│роторные│до 80 │81 - │151 - │свыше│ до 4 │свыше 4
│ │ │ │ │ 150│ 300│ 300 │ │
───────────┼──────┼──────┼────────┼──────┼─────┼──────┼─────┼──────┼───────
В транспорт│ I │ 0,02 │ 0,02 │ - │ - │ - │ - │ - │ -
│ II │ 0,08 │ 0,08 │ - │ - │ - │ - │ - │ -
│ III │ - │ 0,05 │ - │ - │ - │ - │ - │ -
В отвал │ I │ 0,18 │ 0,11 │ 0,25 │0,15 │ 0,10 │0,05 │ 0,40 │ 0,3
│ II │ 0,72 │ 0,44 │ 0,65 │0,60 │ 0,40 │0,30 │ 0,60 │ 0,7
│ III │ - │ 0,30 │ 0,10 │0,25 │ 0,50 │0,65 │ - │ -
Таблица 5
Средние величины коэффициентов, используемых
в расчетах экономического эффекта
──────────────────┬───────┬─────────────────────────────────────────────────────────┬─────┬──────
Наименование │ Шифр │ Коэффициент │Сред-│Про-
средств │ ├─────┬─────┬─────┬───────────┬───────────────────────────┤няя │должи-
механизации │ │внут-│усло-│смен-│использо- │ перехода от │про- │тель-
│ │ри- │вий │ности│вания ├──────┬──────┬───────┬─────┤дол- │ность
│ │смен-│про- │(K )│двигателя │мото-ч│техни-│затрат │суммы│жи- │работы
│ │ного │из- │ см │по │ к │ческой│на │зар- │тель-│на
│ │ис- │водс-│ ├─────┬─────┤маш.-ч│произ-│топливо│платы│ность│объек-
│ │поль-│тва │ │вре- │мощ- │ (K ) │води- │или │к │одной│те,
│ │зова-│работ│ │мени │ности│ ч │тель- │элект- │стои-│пере-│маш.-ч
│ │ния │(K ) │ │(K )│(K )│ │ности │роэнер-│мости│бази-│(T )
│ │(K ) │ у │ │ дв │ дм │ │к экс-│гию к │зап- │ров- │ об
│ │ в │ │ │ │ │ │плуа- │затра- │час- │ки, │
│ │ │ │ │ │ │ │таци- │там на │тей │дни │
│ │ │ │ │ │ │ │онной │смазоч-│(K )│(T ) │
│ │ │ │ │ │ │ │(K ) │ные ма-│ зч │ п │
│ │ │ │ │ │ │ │ т │териалы│ │ │
│ │ │ │ │ │ │ │ │(K ) │ │ │
│ │ │ │ │ │ │ │ │ с │ │ │
──────────────────┼───────┼─────┼─────┼─────┼─────┼─────┼──────┼──────┼───────┼─────┼─────┼──────
1 │ 2 │ 3 │ 4 │ 5 │ 6 │ 7 │ 8 │ 9 │ 10 │ 11 │ 12 │ 13
──────────────────┴───────┴─────┴─────┴─────┴─────┴─────┴──────┴──────┴───────┴─────┴─────┴──────
I. Основные строительные материалы
Автогрейдеры │001 │ 0,78│1,16 │ 1,15│ 0,9 │ 0,5 │ 0,45 │ 0,4 │ 0,19 │ 1,35│ 1,5 │ 750
Автопогрузчики │002.1 │ 0,65│ - │ 1,3 │ 0,7 │ 0,37│ 0,26 │ 0,3 │ 0,2 │ 1,35│ 0,5 │ 400
грузоподъемностью │ │ │ │ │ │ │ │ │ │ │ │
до 2 т │ │ │ │ │ │ │ │ │ │ │ │
То же, │002.2 │ 0,65│ - │ 1,3 │ 0,7 │ 0,4 │ 0,28 │ 0,3 │ 0,2 │ 1,35│ 0,5 │ 400
грузоподъемностью │ │ │ │ │ │ │ │ │ │ │ │
3 - 5 т │ │ │ │ │ │ │ │ │ │ │ │
То же, свыше 5 т │002.3 │ 0,65│ - │ 1,3 │ 0,75│ 0,4 │ 0,3 │ 0,3 │ 0,2 │ 1,35│ 0,5 │ 400
Асфальтоукладчики │003 │ 0,65│ - │ 1,3 │ 0,78│ 0,46│ 0,36 │ 0,52 │ 0,19 │ 1,35│ 2 │ 500
самоходные │ │ │ │ │ │ │ │ │ │ │ │
Бетононасосы │004.1 │ 0,6 │ - │ 1,3 │ 0,6 │ 0,5 │ 0,30 │ 0,4 │ 0,15 │ 1,25│ 2 │ 500
передвижные │ │ │ │ │ │ │ │ │ │ │ │
То же, │004.2 │ 0,7 │ - │ 1,4 │ 0,6 │ 0,5 │ 0,30 │ 0,4 │ 0,1 │ 1,25│ 2 │ 500
стационарные │ │ │ │ │ │ │ │ │ │ │ │
Бетоносмесители │005.1 -│ 0,5 │ - │ 1,62│ 0,5 │ 0,6 │ 0,30 │ 0,3 │ 0,2 │ 1,25│ 2 │ 500
передвижные │ 005.3│ │ │ │ │ │ │ │ │ │ │
вместимостью │ │ │ │ │ │ │ │ │ │ │ │
до 500 л │ │ │ │ │ │ │ │ │ │ │ │
То же, │005.4 │ 0,5 │ - │ 1,62│ 0,6 │ 0,6 │ 0,36 │ 0,35 │ 0,2 │ 1,25│ 2 │ 500
800 - 1000 л │ │ │ │ │ │ │ │ │ │ │ │
Бетоносмесители │005.5 │ 0,5 │ - │ 1,14│ 0,63│ 0,75│ 0,38 │ 0,35 │ 0,2 │ 1,25│ 4 │1000
передвижные │ │ │ │ │ │ │ │ │ │ │ │
вместимостью │ │ │ │ │ │ │ │ │ │ │ │
до 1600 - 2000 л │ │ │ │ │ │ │ │ │ │ │ │
То же, 3000 л │005.6 │ 0,5 │ - │ 1,14│ 0,63│ 0,75│ 0,38 │ 0,35 │ 0,2 │ 1,25│ 4 │1000
Бетоносмесители │005.7 │ 0,4 │ - │ 1,62│ 0,8 │ 0,4 │ 0,32 │ 0,4 │ 0,15 │ 1,25│ 8 │1700
стационарные │ │ │ │ │ │ │ │ │ │ │ │
вместимостью │ │ │ │ │ │ │ │ │ │ │ │
до 500 л │ │ │ │ │ │ │ │ │ │ │ │
То же, │005.8 │ 0,5 │ - │ 1,62│ 0,8 │ 0,5 │ 0,40 │ 0,4 │ 0,1 │ 1,25│ 8 │2000
800 - 1000 л │ │ │ │ │ │ │ │ │ │ │ │
То же, │005.9 │ 0,5 │ - │ 1,62│ 0,8 │ 0,5 │ 0,40 │ 0,4 │ 0,1 │ 1,25│12 │3500
1600 - 2000 л │ │ │ │ │ │ │ │ │ │ │ │
То же, 3000 л │005.10 │ 0,5 │ - │ 1,62│ 0,8 │ 0,5 │ 0,40 │ 0,4 │ 0,1 │ 1,25│12 │4000
Бетоносмесительные│005.11 │ 0,82│ - │ 1,62│ 0,82│ 0,5 │ 0,41 │ 0,4 │ 0,1 │ 1,25│ 4 │1000
установки с │ │ │ │ │ │ │ │ │ │ │ │
комплектом всех │ │ │ │ │ │ │ │ │ │ │ │
необходимых машин │ │ │ │ │ │ │ │ │ │ │ │
и оборудования │ │ │ │ │ │ │ │ │ │ │ │
стационарные │ │ │ │ │ │ │ │ │ │ │ │
То же, передвижные│005.12 │ 0,82│ - │ 1,14│ 0,82│ 0,5 │ 0,41 │ 0,4 │ 0,2 │ 1,25│ 4 │1000
Бетоноукладочные │006 │ 0,65│ - │ 1,3 │ 0,75│ 0,4 │ 0,3 │ 0,4 │ 0,19 │ 1,3 │10 │2000
машины │ │ │ │ │ │ │ │ │ │ │ │
Бетоноотделочные │007 │ 0,75│ - │ 1,2 │ 0,75│ 0,4 │ 0,3 │ 0,5 │ 0,19 │ 1,3 │10 │ 800
машины │ │ │ │ │ │ │ │ │ │ │ │
Битумоплавильные │008 │ 0,85│ - │ 1,1 │ 0,85│ 0,82│ 0,7 │ 0,5 │ 0,19 │ 1,17│ 3 │ 400
установки │ │ │ │ │ │ │ │ │ │ │ │
(УБ, УБК-81) │ │ │ │ │ │ │ │ │ │ │ │
Бульдозеры на базе│009.1 │ 0,75│1,22 │ 1,4 │ 0,86│ 0,35│ 0,3 │ 0,3 │ 0,22 │ 1,35│ 0,3 │ 170
пневмоколесного │ │ │ │ │ │ │ │ │ │ │ │
трактора 1,4 т │ │ │ │ │ │ │ │ │ │ │ │
("Беларусь") │ │ │ │ │ │ │ │ │ │ │ │
Бульдозеры на базе│009.2 -│ 0,75│1,22 │ 1,4 │ 0,86│ 0,51│ 0,44 │ 0,3 │ 0,22 │ 1,35│ 4 │2000
гусеничного │ 009.5│ │ │ │ │ │ │ │ │ │ │
трактора класса │ │ │ │ │ │ │ │ │ │ │ │
до 25 т │ │ │ │ │ │ │ │ │ │ │ │
То же, 25 т и выше│009.6 │ 0,75│1,22 │ 2,0 │ 0,86│ 0,7 │ 0,6 │ 0,3 │ 0,22 │ 1,35│ 8 │4000
Бурильно-крановые │010.1 │ 0,6 │ - │ 1,2 │ 0,72│ 0,4 │ 0,29 │ 0,3 │ 0,22 │ 1,35│ 0,4 │ 200
машины на базе │ │ │ │ │ │ │ │ │ │ │ │
трактора класса │ │ │ │ │ │ │ │ │ │ │ │
до 3 т │ │ │ │ │ │ │ │ │ │ │ │
То же, 10 т │010.2 │ 0,6 │ - │ 1,2 │ 0,72│ 0,4 │ 0,29 │ 0,3 │ 0,22 │ 1,35│16 │3100
Бурильно-крановые │010.3 -│ 0,6 │ - │ 1,2 │ 0,66│ 0,5 │ 0,33 │ 0,3 │ 0,22 │ 1,25│ 0,2 │ 100
машины на базе │ 010.5│ │ │ │ │ │ │ │ │ │ │
автомобиля │ │ │ │ │ │ │ │ │ │ │ │
Вибраторы общего │011.1 │ 0,2 │ - │ 1,4 │ 0,2 │ 0,9 │ 0,18 │ 0,2 │ 0,1 │ 1,2 │ - │ -
назначения │ │ │ │ │ │ │ │ │ │ │ │
Вибраторы │011.2 │ 0,2 │ - │ 1,4 │ 0,2 │ 0,8 │ 0,16 │ 0,2 │ 0,1 │ 1,2 │ - │ -
глубинные │ │ │ │ │ │ │ │ │ │ │ │
Вибропитатели │011.3 │ 0,15│ - │ 1,1 │ 0,15│ 0,9 │ 0,14 │ 0,15 │ 0,1 │ 1,2 │ - │ -
Виброплиты │011.4 │ 0,6 │ - │ 1,5 │ 0,63│ 0,6 │ 0,38 │ 0,3 │ 0,1 │ 1,2 │ - │ -
Виброплощадки │011.5 │ 0,4 │ - │ 2 │ 0,4 │ 0,8 │ 0,32 │ 0,4 │ 0,1 │ 1,2 │ 1,0 │ 365
Грейдер-элеваторы │012 │ 0,75│ - │ 1,0 │ 0,85│ 0,5 │ 0,43 │ 0,4 │ 0,22 │ 1,3 │16 │3200
Грохоты │013 │ 0,82│ - │ 2,0 │ 0,82│ 0,6 │ 0,49 │ 0,35 │ 0,1 │ 1,17│ - │ -
инерционные │ │ │ │ │ │ │ │ │ │ │ │
Грунтосмесительные│014 │ 0,75│ - │ 1,3 │ 0,83│ 0,4 │ 0,33 │ 0,37 │ 0,22 │ 1,3 │10 │2000
однопроходные │ │ │ │ │ │ │ │ │ │ │ │
машины │ │ │ │ │ │ │ │ │ │ │ │
Дозаторы │015 │ 0,9 │ - │ 1,4 │ 0,9 │ 0,5 │ 0,45 │ 0,4 │ - │ 1,3 │ 1,0 │2000
Дробилки щековые │016 │ 0,82│ - │ 2,0 │ 0,86│ 0,6 │ 0,51 │ 0,4 │ 0,15 │ 1,17│ - │ -
Дробильно- │017 │ 0,7 │ - │ 2,0 │ 0,94│ 0,6 │ 0,56 │ 0,35 │ 0,2 │ 1,2 │ 3 │2000
сортировочные │ │ │ │ │ │ │ │ │ │ │ │
установки │ │ │ │ │ │ │ │ │ │ │ │
передвижные │ │ │ │ │ │ │ │ │ │ │ │
Землесосные │018.1 │ 0,75│ - │ 2,0 │ 0,79│ 0,6 │ 0,47 │ 0,45 │ 0,22 │ 1,4 │ 1,0 │ 580
снаряды │ │ │ │ │ │ │ │ ---- │ │ │ │
производительнос- │ │ │ │ │ │ │ │ 0,6 │ │ │ │
тью, м3/ч, до 50 │ │ │ │ │ │ │ │ │ │ │ │
То же, до 100 │018.2 │ 0,65│ - │ 2,0 │ 0,68│ 0,5 │ 0,34 │ 0,45 │ 0,22 │ 1,4 │ 1,5 │ 700
│ │ │ │ │ │ │ │ ---- │ │ │ │
│ │ │ │ │ │ │ │ 0,6 │ │ │ │
│ │ │ │ │ │ │ │ │ │ │ │
То же, свыше 100 │018.3 │ 0,65│ - │ 2,0 │ 0,68│ 0,5 │ 0,34 │ 0,45 │ 0,22 │ 1,4 │ 7 │1400
│ │ │ │ │ │ │ │ ---- │ │ │ │
│ │ │ │ │ │ │ │ 0,7 │ │ │ │
│ │ │ │ │ │ │ │ │ │ │ │
Землеройно- │019 │ 0,75│ - │ 1,15│ 0,86│ 0,6 │ 0,5 │ 0,5 │ 0,22 │ 1,35│ 4 │1000
фрезерные машины │ │ │ │ │ │ │ │ │ │ │ │
Катки самоходные │020 │ 0,75│ - │ 1,5 │ 0,79│ 0,5 │ 0,4 │ 0,6 │ 0,22 │ 1,3 │ 2 │ 500
и прицепные │ │ │ │ │ │ │ │ │ │ │ │
Канавокопатели │021 │ 0,75│ - │ 1,5 │ 0,83│ 0,5 │ 0,42 │ 0,5 │ 0,22 │ 1,2 │ 1 │ 800
плужные и │ │ │ │ │ │ │ │ --- │ │ │ │
фрезерные │ │ │ │ │ │ │ │ 0,6 │ │ │ │
│ │ │ │ │ │ │ │ │ │ │ │
Каналоочистители │022 │ 0,75│ - │ 1,5 │ 0,83│ 0,5 │ 0,42 │ 0,5 │ 0,22 │ 1,4 │ 2 │ 800
│ │ │ │ │ │ │ │ --- │ │ │ │
│ │ │ │ │ │ │ │ 0,6 │ │ │ │
│ │ │ │ │ │ │ │ │ │ │ │
Комплекты машин │023.1 │ 0,75│ - │ 1,2 │ 0,70│ 0,6 │ 0,42 │ 0,5 │ 0,22 │ 1,4 │ 5 │ 365
для облицовки │ │ │ │ │ │ │ │ --- │ │ │ │
каналов монолитным│ │ │ │ │ │ │ │ 0,65 │ │ │ │
бетоном глубиной │ │ │ │ │ │ │ │ │ │ │ │
до 1,5 м │ │ │ │ │ │ │ │ │ │ │ │
То же, свыше 1,5 м│023.2 │ 0,75│ - │ 1,2 │ 0,6 │ 0,6 │ 0,36 │ 0,5 │ 0,22 │ 1,4 │10 │ 800
│ │ │ │ │ │ │ │ --- │ │ │ │
│ │ │ │ │ │ │ │ 0,5 │ │ │ │
│ │ │ │ │ │ │ │ │ │ │ │
Компрессоры │024.1 │ 0,6 │ - │ 1,4 │ 0,8 │ 0,9 │ 0,72 │ 0,5 │ 0,22 │ 1,17│ 0,5 │ 200
передвижные │ │ │ │ │ │ │ │ │ │ │ │
с электроприводом │ │ │ │ │ │ │ │ │ │ │ │
производительнос- │ │ │ │ │ │ │ │ │ │ │ │
тью │ │ │ │ │ │ │ │ │ │ │ │
0,25 - 0,5 м3/мин │ │ │ │ │ │ │ │ │ │ │ │
То же, │024.2 -│ 0,8 │ - │ 1,4 │ 0,8 │ 0,6 │ 0,48 │ 0,4 │ 0,22 │ 1,17│ 0,5 │ 200
1,2 - 5 м3/мин │ 024.3│ │ │ │ │ │ │ │ │ │ │
Компрессоры │024.4 -│ 0,8 │ - │ 1,4 │ 0,8 │ 0,6 │ 0,48 │ 0,4 │ 0,22 │ 1,3 │ 0,5 │ 200
передвижные │ 024.5│ │ │ │ │ │ │ │ │ │ │
с приводом │ │ │ │ │ │ │ │ │ │ │ │
от двигателя │ │ │ │ │ │ │ │ │ │ │ │
внутреннего │ │ │ │ │ │ │ │ │ │ │ │
сгорания │ │ │ │ │ │ │ │ │ │ │ │
Компрессоры │024.6 │ 0,8 │ - │ 1,4 │ 0,8 │ 0,6 │ 0,48 │ 0,4 │ 0,22 │ 1,17│ 2,0 │ 500
стационарные с │ │ │ │ │ │ │ │ │ │ │ │
электроприводом │ │ │ │ │ │ │ │ │ │ │ │
производительнос- │ │ │ │ │ │ │ │ │ │ │ │
тью 3 - 5 м3/мин │ │ │ │ │ │ │ │ │ │ │ │
Котлованокопатели │025 │ 0,75│ - │ 1,5 │ 0,86│ 0,6 │ 0,52 │ 0,5 │ 0,22 │ 1,35│ 1 │1000
(типа ВК, БМ, │ │ │ │ │ │ │ │ │ │ │ │
МКТС) │ │ │ │ │ │ │ │ │ │ │ │
Копровые установки│026 │ 0,82│ - │ 1,3 │ 0,82│ 0,3 │ 0,25 │ 0,5 │ 0,22 │ 1,1 │ 0,4 │ 150
(без молота │ │ │ │ │ │ │ │ │ │ │ │
свайного) │ │ │ │ │ │ │ │ │ │ │ │
Корчеватели, │027; │ 0,8 │ - │ 1,5 │ 0,92│ 0,35│ 0,32 │ 0,55 │ 0,22 │ 1,35│ 1 │ 340
кусторезы │028 │ │ │ │ │ │ │ ---- │ │ │ │
│ │ │ │ │ │ │ │ 0,60 │ │ │ │
│ │ │ │ │ │ │ │ │ │ │ │
Краны │029.1 -│ 0,5 │ - │ 1,33│ 0,53│ 0,37│ 0,20 │ 0,1 │ 0,2 │ 1,35│ - │ -
автомобильные │ 029.2│ │ │ │ │ │ │ │ │ │ │
стреловые │ │ │ │ │ │ │ │ │ │ │ │
грузоподъемностью │ │ │ │ │ │ │ │ │ │ │ │
до 6,3 т │ │ │ │ │ │ │ │ │ │ │ │
То же, 10 т │029.3 │ 0,7 │ - │ 1,33│ 0,74│ 0,3 │ 0,22 │ 0,1 │ 0,2 │ 1,35│ - │ -
То же, 16 т │029.4 │ 0,75│ - │ 1,33│ 0,79│ 0,31│ 0,25 │ 0,1 │ 0,2 │ 1,35│ - │ -
Краны башенные с │030.1 -│ 0,82│ - │ 1,65│ 0,41│ 0,3 │ 0,4 │ 0,2 │ 0,3 │ 1,25│ 8 │1600
грузовым моментом │ 030.5│ │ │ │ │ │ │ │ │ │ │
до 250 тм │ │ │ │ │ │ │ │ │ │ │ │
То же, │030.6 -│ 0,82│ - │ 1,88│ 0,41│ 0,3 │ 0,4 │ 0,2 │ 0,3 │ 1,25│20 │4000
от 400 - 1400 тм │ 030.9│ │ │ │ │ │ │ │ │ │ │
Краны гусеничные │031 │ 0,75│ - │ 1,65│ 0,9 │ 0,37│ 0,33 │ 0,15 │ 0,20 │ 1,35│ 1 │ 500
Краны │032.1 -│ 0,75│ - │ 1,65│ 0,9 │ 0,37│ 0,33 │ 0,15 │ 0,20 │ 1,35│ 1 │ 330
пневмоколесные │ 032.2│ │ │ │ │ │ │ │ │ │ │
грузоподъемностью │ │ │ │ │ │ │ │ │ │ │ │
до 25 т │ │ │ │ │ │ │ │ │ │ │ │
То же, 40 т │032.3 │ 0,75│ - │ 1,65│ 0,9 │ 0,37│ 0,33 │ 0,15 │ 0,20 │ 1,35│ 0,5 │ 275
То же, свыше 40 т │032.4 -│ 0,75│ - │ 1,65│ 0,9 │ 0,37│ 0,33 │ 0,15 │ 0,20 │ 1,35│ 1,5 │ 375
│ 032.5│ │ │ │ │ │ │ │ │ │ │
Краны на │033 │ 0,75│ - │ 1,65│ 0,8 │ 0,4 │ 0,35 │ 0,18 │ 0,22 │ 1,35│ - │ -
специальном шасси │ │ │ │ │ │ │ │ │ │ │ │
автомобильного │ │ │ │ │ │ │ │ │ │ │ │
типа │ │ │ │ │ │ │ │ │ │ │ │
Краны мачтовые │034 │ 0,4 │ - │ 1,8 │ 0,4 │ 0,9 │ 0,36 │ 0,15 │ 0,15 │ 1,17│15 │1000
стреловые │ │ │ │ │ │ │ │ │ │ │ │
Кран на базе │035 │ 0,5 │ - │ 1,2 │ 0,7 │ 0,3 │ 0,21 │ 0,2 │ 0,22 │ 1,25│ 2 │ 200
тракторов │ │ │ │ │ │ │ │ │ │ │ │
Краны стреловые │036 │ 0,4 │ - │ 1,2 │ 0,28│ 0,2 │ 0,056│ 0,1 │ 0,3 │ 1,17│ 8 │1600
переносные (типа │ │ │ │ │ │ │ │ │ │ │ │
"Пионер") │ │ │ │ │ │ │ │ │ │ │ │
Лебедки │037 │ 0,2 │ - │ 1,3 │ 0,1 │ 0,25│ 0,025│ 0,05 │ 0,3 │ 1,17│ 8 │1600
электрические │ │ │ │ │ │ │ │ │ │ │ │
Машины для очистки│038 │ 0,6 │ - │ 1,0 │ 0,63│ 0,5 │ 0,315│ 0,42 │ 0,19 │ 1,2 │ 3 │1000
и разделки трещин │ │ │ │ │ │ │ │ │ │ │ │
Машина для │039 │ 0,6 │ - │ 1,0 │ 0,63│ 0,7 │ 0,441│ 0,42 │ 0,22 │ 1,3 │10 │2000
приготовления │ │ │ │ │ │ │ │ │ │ │ │
и распределения │ │ │ │ │ │ │ │ │ │ │ │
шлака │ │ │ │ │ │ │ │ │ │ │ │
Машины для │040 │ 0,6 │ - │ 1,0 │ 0,63│ 0,7 │ 0,441│ 0,42 │ 0,22 │ 1,2 │ 5 │1000
устранения │ │ │ │ │ │ │ │ │ │ │ │
неровностей │ │ │ │ │ │ │ │ │ │ │ │
Машина для │041 │ 0,6 │ - │ 1,0 │ 0,63│ 0,4 │ 0,252│ 0,42 │ 0,22 │ 1,3 │10 │2000
устройства полос │ │ │ │ │ │ │ │ │ │ │ │
уширения │ │ │ │ │ │ │ │ │ │ │ │
Машины для │042 │ 0,6 │ - │ 1,0 │ 0,63│ 0,4 │ 0,252│ 0,42 │ 0,22 │ 1,3 │ 5 │1000
укрепления откосов│ │ │ │ │ │ │ │ │ │ │ │
Монтажные машины с│043 │ 0,8 │ - │ 1,2 │ 0,9 │ 0,25│ 0,22 │ 0,25 │ 0,22 │ 1,3 │ 1 │ 200
шарнирной стрелой │ │ │ │ │ │ │ │ │ │ │ │
МШТС-2СТ на базе │ │ │ │ │ │ │ │ │ │ │ │
трактора мощностью│ │ │ │ │ │ │ │ │ │ │ │
до 55 кВт │ │ │ │ │ │ │ │ │ │ │ │
(75 л.с.) │ │ │ │ │ │ │ │ │ │ │ │
Насосы │044.1 │ 0,45│ - │ 1,0 │ 0,4 │ 0,7 │ 0,28 │ 0,45 │ 0,1 │ 1,17│ 0,5 │ 100
диафрагмовые с │ │ │ │ │ │ │ │ │ │ │ │
электроприводом │ │ │ │ │ │ │ │ │ │ │ │
производительнос- │ │ │ │ │ │ │ │ │ │ │ │
тью до 25 м3/ч │ │ │ │ │ │ │ │ │ │ │ │
Насосы │044.2 -│ 0,45│ - │ 1,0 │ 0,45│ 0,8 │ 0,36 │ 0,45 │ 0,1 │ 1,17│ 0,5 │ 200
самовсасывающие │ 044.3│ │ │ │ │ │ │ │ │ │ │
центробежные с │ │ │ │ │ │ │ │ │ │ │ │
электроприводом │ │ │ │ │ │ │ │ │ │ │ │
Насосы │044.4 │ 0,5 │ - │ 1,0 │ 0,6 │ 0,8 │ 0,48 │ 0,45 │ 0,19 │ 1,17│ 1 │ 250
самовсасывающие │ │ │ │ │ │ │ │ │ │ │ │
с приводом от │ │ │ │ │ │ │ │ │ │ │ │
двигателя │ │ │ │ │ │ │ │ │ │ │ │
внутреннего │ │ │ │ │ │ │ │ │ │ │ │
сгорания произво- │ │ │ │ │ │ │ │ │ │ │ │
дительностью │ │ │ │ │ │ │ │ │ │ │ │
до 35 м3/ч │ │ │ │ │ │ │ │ │ │ │ │
То же, │044.5 │ 0,7 │ - │ 1,5 │ 0,8 │ 0,8 │ 0,64 │ 0,65 │ 0,19 │ 1,17│ 1,5 │ 200
36 - 120 м3/ч │ │ │ │ │ │ │ │ │ │ │ │
Оборудование для │045 │ 0,7 │ - │ 1,0 │ 0,6 │ 0,8 │ 0,48 │ 0,6 │ 0,19 │ 1,2 │ 2 │ 200
приготовления │ │ │ │ │ │ │ │ │ │ │ │
битумных эмульсий │ │ │ │ │ │ │ │ │ │ │ │
Планировщики │046 │ 0,75│ - │ 1,2 │ 0,9 │ 0,4 │ 0,36 │ 0,5 │ 0,19 │ 1,39│ 1 │1360
Погрузчики │047 │ 0,75│ - │ 1,16│ 0,86│ 0,3 │ 0,26 │ 0,3 │ 0,19 │ 1,35│ 1 │1000
одноковшовые │ │ │ │ │ │ │ │ │ │ │ │
Погрузчики │048 │ 0,5 │ - │ 1,3 │ 0,8 │ 0,35│ 0,28 │ 0,2 │ 0,19 │ 1,35│ 1 │1000
многоковшовые │ │ │ │ │ │ │ │ │ │ │ │
Подъемники │049 │ 0,5 │ - │ 1,2 │ 0,15│ 0,25│ 0,38 │ 0,12 │ 0,15 │ 1,15│ 2 │1000
строительные │ │ │ │ │ │ │ │ │ │ │ │
мачтовые │ │ │ │ │ │ │ │ │ │ │ │
Плитоукладчики для│050 │ 0,75│ - │ 2 │ 0,7 │ 0,3 │ 0,21 │ 0,5 │ 0,19 │ 1,1 │ 2 │2400
облицовки каналов │ │ │ │ │ │ │ │ │ │ │ │
сборным бетоном │ │ │ │ │ │ │ │ │ │ │ │
Профилировщики │051 │ 0,75│ - │ 1,2 │ 0,9 │ 0,4 │ 0,36 │ 0,5 │ 0,19 │ 1,3 │ 4 │1000
основания │ │ │ │ │ │ │ │ │ │ │ │
(самоходные) про- │ │ │ │ │ │ │ │ │ │ │ │
изводительностью │ │ │ │ │ │ │ │ │ │ │ │
до 48 м/ч │ │ │ │ │ │ │ │ │ │ │ │
Разгрузчики │052 │ 0,2 │ - │ 2 │ 0,75│ 0,5 │ 0,38 │ 0,2 │ 0,22 │ 1,25│ 3 │2000
нерудных │ │ │ │ │ │ │ │ │ │ │ │
материалов │ │ │ │ │ │ │ │ │ │ │ │
Разгрузчики │053 │ 0,3 │ - │ 2 │ 0,3 │ 0,9 │ 0,27 │ 0,2 │ 0,1 │ 1,1 │ 2 │2000
и подъемники │ │ │ │ │ │ │ │ │ │ │ │
цемента │ │ │ │ │ │ │ │ │ │ │ │
пневматические │ │ │ │ │ │ │ │ │ │ │ │
Распределители │054 │ 0,4 │ - │ 1,3 │ 0,48│ 0,4 │ 0,19 │ 0,28 │ 0,20 │ 1,3 │10 │2000
каменной мелочи │ │ │ │ │ │ │ │ │ │ │ │
Растворонасосы │055.1 │ 0,3 │ - │ 1 │ 0,3 │ 0,6 │ 0,18 │ 0,55 │ 0,1 │ 0,15│ 1 │ 240
производительнос- │ │ │ │ │ │ │ │ │ │ │ │
тью 10 м3/ч │ │ │ │ │ │ │ │ │ │ │ │
Растворонасосы │055.2 -│ 0,6 │ - │ 1,3 │ 0,6 │ 0,5 │ 0,30 │ 0,4 │ 0,1 │ 1,25│ 2 │ 500
производительнос- │ 055.3│ │ │ │ │ │ │ │ │ │ │
тью более 10 м3/ч │ │ │ │ │ │ │ │ │ │ │ │
Растворосмесители │056.1 -│ 0,5 │ - │ 1,3 │ 0,2 │ 0,4 │ 0,08 │ 0,25 │ 0,15 │ 1,25│ 2 │ 500
вместимостью до │ 056.3│ │ │ │ │ │ │ │ │ │ │
800 л │ │ │ │ │ │ │ │ │ │ │ │
То же, │056.4 -│ 0,7 │ - │ 1,4 │ 0,7 │ 0,4 │ 0,28 │ 0,35 │ 0,15 │ 1,25│ 2 │ 500
800 - 1200 л │ 056.5│ │ │ │ │ │ │ │ │ │ │
Рыхлители на базе │057 │ 0,75│ - │ 1,4 │ 0,86│ 0,8 │ 0,69 │ 0,69 │ 0,22 │ 1,17│ 0,5 │ 170
гусеничных и │ │ │ │ │ │ │ │ │ │ │ │
колесных тракторов│ │ │ │ │ │ │ │ │ │ │ │
Сваебойное │058.1 -│ 0,82│ - │ 1,3 │ 0,82│ 0,3 │ 0,25 │ 0,5 │ 0,19 │ 1,15│ 0,5 │ 100
оборудование │ 058.2│ │ │ │ │ │ │ │ │ │ │
(дизель-молоты) │ │ │ │ │ │ │ │ │ │ │ │
Сваебойное │058.3 │ 0,82│ - │ 1,3 │ 0,82│ 0,3 │ 0,25 │ 0,5 │ 0,19 │ 1,1 │ 0,4 │ 150
оборудование │ │ │ │ │ │ │ │ │ │ │ │
(копровые │ │ │ │ │ │ │ │ │ │ │ │
установки без │ │ │ │ │ │ │ │ │ │ │ │
молота свайного) │ │ │ │ │ │ │ │ │ │ │ │
Скреперы прицепные│059.1 -│ 0,8 │ 1,1 │ 1,25│ 0,92│ 0,8 │ 0,74 │ 0,55 │ 0,19 │ 1,35│ 2 │ 500
│ 059.4│ │ │ │ │ │ │ │ │ │ │
Скреперы │059.5 -│ 0,8 │ 1,1 │ 1,33│ 0,92│ 0,8 │ 0,74 │ 0,55 │ 0,19 │ 1,35│ 1,5 │ 750
самоходные │ 059.7│ │ │ │ │ │ │ │ │ │ │
Снегоочистители │060.1 │ 0,75│ - │ 1,23│ 0,77│ 0,6 │ 0,46 │ 0,5 │ 0,22 │ 1,35│ 0,5 │ 100
шнекороторные │ │ │ │ │ │ │ │ │ │ │ │
Снегоочистители │060.2 │ 0,75│ - │ 1,23│ 0,77│ 0,85│ 0,65 │ 0,5 │ 0,22 │ 1,35│ 0,5 │ 100
газоструйные │ │ │ │ │ │ │ │ │ │ │ │
Тракторы │061.1 │ 0,6 │ - │ 1,1 │ 0,66│ 0,6 │ 0,40 │ - │ 0,2 │ 1,3 │ 0,3 │ 170
пневмоколесные │ │ │ │ │ │ │ │ │ │ │ │
Т-40 и Т-40А │ │ │ │ │ │ │ │ │ │ │ │
Тракторы │061.2 │ 0,7 │ - │ 1,1 │ 0,77│ 0,65│ 0,50 │ - │ 0,2 │ 1,3 │ 0,3 │ 170
"Беларусь" │ │ │ │ │ │ │ │ │ │ │ │
Тракторы Т-150 │061.3 │ 0,75│ - │ 1,2 │ 0,83│ 0,7 │ 0,59 │ - │ 0,2 │ 1,3 │ 0,3 │ 170
и Т-150К │ │ │ │ │ │ │ │ │ │ │ │
Тракторы │061.4 │ 0,8 │ - │ 1,2 │ 0,9 │ 0,7 │ 0,63 │ - │ 0,2 │ 1,3 │ 0,3 │ 300
К-700, К-701, │ │ │ │ │ │ │ │ │ │ │ │
К-702 │ │ │ │ │ │ │ │ │ │ │ │
Тракторы │061.5 │ 0,7 │ - │ 1,1 │ 0,8 │ 0,7 │ 0,56 │ - │ 0,2 │ 1,3 │ 0,5 │ 170
гусеничные │ │ │ │ │ │ │ │ │ │ │ │
Т-74, ДТ-75 │ │ │ │ │ │ │ │ │ │ │ │
То же, Т-100М, │061.6 │ 0,8 │ - │ 1,2 │ 0,9 │ 0,7 │ 0,63 │ - │ 0,2 │ 1,3 │ 0,5 │ 250
Т-130 │ │ │ │ │ │ │ │ │ │ │ │
То же, Т-4, Т-4М │061.7 │ 0,8 │ - │ 1,2 │ 0,9 │ 0,75│ 0,68 │ - │ 0,2 │ 1,3 │ 1 │ 500
То же, Т-140, │061.8 │ 0,85│ - │ 1,3 │ 0,93│ 0,8 │ 0,74 │ - │ 0,2 │ 1,3 │ 0,5 │ 250
Т-180, Т-180Г │ │ │ │ │ │ │ │ │ │ │ │
То же, ДЭТ-250 │061.9 │ 0,9 │ - │ 1,5 │ 0,95│ 0,8 │ 0,76 │ - │ 0,2 │ 1,3 │ 1,0 │ 500
и ДЭТ-250М │ │ │ │ │ │ │ │ │ │ │ │
Трамбующие машины │062 │ 0,4 │ - │ 1,5 │ 0,42│ 0,37│ 0,11 │ 0,3 │ 0,19 │ 1,27│ 2 │ 500
и оборудование │ │ │ │ │ │ │ │ │ │ │ │
специальное │ │ │ │ │ │ │ │ │ │ │ │
уплотняющее │ │ │ │ │ │ │ │ │ │ │ │
Транспортеры │063 │ 0,82│ - │ 2 │ 0,82│ 0,6 │ 0,49 │ 0,35 │ 1,17 │ 1,2 │ 1,0 │ 300
Трубоочистные │064 │ 0,9 │ - │ 1,2 │ 0,95│ 0,7 │ 0,66 │ - │ 0,15 │ 1,2 │ 6 │1200
машины │ │ │ │ │ │ │ │ │ │ │ │
Трубоизоляционные │065 │ 0,9 │ - │ 1,2 │ 0,95│ 0,7 │ 0,66 │ - │ 0,15 │ 1,2 │ 6 │1200
машины самоходные │ │ │ │ │ │ │ │ │ │ │ │
Трубоукладчики │066 │ 0,9 │ - │ 1,2 │ 0,95│ 0,42│ 0,4 │ 0,5 │ 0,19 │ 1,35│ 6 │1200
гусеничные │ │ │ │ │ │ │ │ │ │ │ │
Траншеезасыпатели │067 │ 0,9 │ - │ 1,2 │ 0,95│ 0,42│ 0,4 │ 0,5 │ 0,19 │ 1,35│ 6 │1200
Фрезы дорожные │068 │ 0,7 │ - │ 1,0 │ 0,6 │ 0,6 │ 0,36 │ 0,5 │ - │ 1,3 │10 │2000
Экскаваторы │069.1 -│ 0,75│1,24 │ 1,35│ 0,86│ 0,6 │ 0,52 │ 0,37 │ 0,22 │ 1,35│ 1 │ 140
одноковшовые │ 069.2│ │ │ │ │ │ │ │ │ │ │
с механическим │ │ │ │ │ │ │ │ │ │ │ │
приводом, с ковшом│ │ │ │ │ │ │ │ │ │ │ │
вместимостью │ │ │ │ │ │ │ │ │ │ │ │
0,4 м3 │ │ │ │ │ │ │ │ │ │ │ │
То же, │069.3 -│ 0,78│1,24 │ 1,5 │ 0,9 │ 0,5 │ 0,45 │ 0,4 │ 0,22 │ 1,35│ 1 │ 140
более 0,4 м3 │ 069.6│ │ │ │ │ │ │ │ │ │ │
Экскаваторы │069.7 │ 0,75│1,24 │1,35 │ 0,86│ 0,6 │ 0,52 │ 0,37 │ 0,22 │ 1,35│ 1 │ 140
одноковшовые с │ │ │ │ │ │ │ │ │ │ │ │
гидравлическим │ │ │ │ │ │ │ │ │ │ │ │
приводом, с ковшом│ │ │ │ │ │ │ │ │ │ │ │
вместимостью │ │ │ │ │ │ │ │ │ │ │ │
до 0,25 м3 │ │ │ │ │ │ │ │ │ │ │ │
То же, с ковшом │069.8 -│ 0,78│1,24 │ 1,5 │ 0,9 │ 0,5 │ 0,45 │ 0,4 │ 0,22 │ 1,35│ 1 │ 140
вместимостью более│ 069.11│ │ │ │ │ │ │ │ │ │ │
0,25 м3 │ │ │ │ │ │ │ │ │ │ │ │
Экскаваторы │070.1 -│ 0,75│1,24 │ 1,5 │ 0,83│ 0,6 │ 0,5 │ 0,4 │ 0,22 │ 1,4 │ 1 │ 150
многоковшовые, │ 070.3│ │ │ │ │ │ │ │ │ │ │
траншейные цепные │ │ │ │ │ │ │ │ │ │ │ │
То же, траншейные │070.4 -│ 0,8 │1,24 │ 1,15│ 0,88│ 0,5 │ 0,44 │ 0,5 │ 0,22 │ 1,4 │ 1 │ 550
роторные │ 070.6│ │ │ │ │ │ │ │ │ │ │
Элеваторы │071 │ 0,7 │ - │ 1,2 │ 0,7 │ 0,9 │ 0,63 │ 0,3 │ - │ 1,17│ 4 │1500
Электросварочное │072 │ 0,7 │ - │ 1,45│ 0,8 │ 0,6 │ 0,48 │ 0,5 │ 0,22 │ 1,25│ 1 │ 200
оборудование │ │ │ │ │ │ │ │ │ │ │ │
II. Автотранспортные средства
Автобетоновозы │073 │ 0,8 │ - │ 1,4 │ 0,82│ 0,5 │ 0,41 │ 0,4 │ 0,22 │ 1,3 │ - │ -
Авторастворовозы │074 │ 0,8 │ - │ 1,4 │ 0,82│ 0,5 │ 0,41 │ 0,4 │ 0,22 │ 1,3 │ - │ -
Автоцементовозы │075 │ 0,8 │ - │ 1,4 │ 0,82│ 0,5 │ 0,41 │ 0,4 │ 0,22 │ 1,3 │ - │ -
Цементовозы- │076 │ 0,82│ - │ 1,0 │ 0,7 │ 0,4 │ 0,28 │ 0,55 │ 0,22 │ 1,3 │ - │ -
распределители │ │ │ │ │ │ │ │ │ │ │ │
Примечание. В показателях коэффициентов, выраженных дробным числом, числитель представляет собой значение коэффициента для двигателя автомобиля, а знаменатель - для двигателя рабочего оборудования.
Таблица 6
Средние величины коэффициентов, используемых в расчетах
экономического эффекта средств малой механизации
────────────────┬────┬─────────────────────────────────────────────────────
Наименование │Шифр│ Коэффициент
средств │ ├───────┬─────┬───────────┬────────────────────┬──────
механизации │ │внутри-│смен-│использова-│ перехода от │на-
│ │сменно-│ности│ния ├──────┬──────┬──────┤грузки
│ │го ис- │(K )│двигателя │мото-ч│техни-│капи- │элект-
│ │пользо-│ см │по │ к │ческой│таль- │родви-
│ │вания │ ├─────┬─────┤маш.-ч│произ-│ных │гателя
│ │(K ) │ │вре- │мощ- │ (K ) │води- │затрат│(коэф-
│ │ в │ │мени │ности│ ч │тель- │к го- │фици-
│ │ │ │(K )│(K )│ │ности │довым │ент
│ │ │ │ дв │ дм │ │к экс-│затра-│спро-
│ │ │ │ │ │ │плуа- │там на│са)
│ │ │ │ │ │ │таци- │теку- │(K )
│ │ │ │ │ │ │онной │щие │ ii
│ │ │ │ │ │ │(K ) │ремон-│
│ │ │ │ │ │ │ т │ты и │
│ │ │ │ │ │ │ │ТО │
│ │ │ │ │ │ │ │(K ) │
│ │ │ │ │ │ │ │ тр │
────────────────┼────┼───────┼─────┼─────┼─────┼──────┼──────┼──────┼──────
1 │ 2 │ 3 │ 4 │ 5 │ 6 │ 7 │ 8 │ 9 │ 10
────────────────┼────┼───────┼─────┼─────┼─────┼──────┼──────┼──────┼──────
Агрегаты для │001 │ 0,4 │ 1 │ 0,4 │ 0,5 │ 0,2 │ 0,4 │ 0,1 │ 0,22
окраски фасадов │ │ │ │ │ │ │ │ │
здания │ │ │ │ │ │ │ │ │
Агрегаты для │002 │ 0,75 │ 1 │ 0,75│ 0,9 │ 0,68 │ 0,5 │ 0,04 │ 0,74
перекачки │ │ │ │ │ │ │ │ │
битумных мастик │ │ │ │ │ │ │ │ │
Агрегаты │003 │ 0,4 │ 1 │ 0,4 │ 0,7 │ 0,28 │ 0,5 │ 0,1 │ 0,31
штукатурные │ │ │ │ │ │ │ │ │
Агрегаты │004 │ 0,45 │ 1 │ 0,45│ 0,7 │ 0,32 │ 0,6 │ 0,11 │ 0,35
шпаклевочные │ │ │ │ │ │ │ │ │
Аппараты для │005 │ 0,4 │ 1 │ 0,6 │ 0,7 │ 0,42 │ 0,4 │ 0,15 │ 0,47
окраски фасадов │ │ │ │ │ │ │ │ │
зданий │ │ │ │ │ │ │ │ │
Баки краско- │006 │ 0,4 │ 1 │ - │ - │ - │ 0,45 │ 0,15 │ -
нагнетательные │ │ │ │ │ │ │ │ │
Вибросита │007 │ 0,5 │ 1 │ 0,5 │ 0,8 │ 0,40 │ 0,55 │ 0,12 │ 0,44
Виброрейки │008 │ 0,75 │ 1 │ 0,75│ 0,8 │ 0,60 │ 0,65 │ 0,06 │ 0,67
Диспергаторы │009 │ 0,3 │ 1 │ 0,3 │ 0,7 │ 0,21 │ 0,55 │ 0,18 │ 0,23
Катки для │010 │ 0,3 │ 1 │ - │ - │ - │ 0,65 │ 0,1 │ -
прикатки │ │ │ │ │ │ │ │ │
линолеума │ │ │ │ │ │ │ │ │
Клееварки │011 │ 0,4 │ 1 │ 0,4 │ 0,5 │ 0,20 │ 0,45 │ 0,04 │ 0,22
Краскотерки │012 │ 0,8 │ 1 │ 0,45│ 0,7 │ 0,32 │ 0,5 │ 0,06 │ 0,35
Машины для │013 │ 0,75 │ 1 │ 0,75│ 0,8 │ 0,6 │ 0,65 │ 0,02 │ 0,67
наклейки │ │ │ │ │ │ │ │ │
наплавленного │ │ │ │ │ │ │ │ │
рубероида │ │ │ │ │ │ │ │ │
Машины для │014 │ 0,6 │ 1 │ 0,6 │ 0,7 │ 0,42 │ 0,5 │ 0,02 │ 0,47
нанесения │ │ │ │ │ │ │ │ │
полимерных │ │ │ │ │ │ │ │ │
мастик │ │ │ │ │ │ │ │ │
Машины для │015 │ 0,75 │ 1 │ 0,75│ 0,7 │ 0,53 │ 0,5 │ 0,08 │ 0,58
нанесения │ │ │ │ │ │ │ │ │
битумных мастик │ │ │ │ │ │ │ │ │
Машины для │016 │ 0,75 │ 1 │ 0,75│ 0,99│ 0,68 │ 0,55 │ 0,02 │ 0,74
нанесения │ │ │ │ │ │ │ │ │
битумных │ │ │ │ │ │ │ │ │
эмульсий │ │ │ │ │ │ │ │ │
Машины для │017 │ 0,75 │ 1 │ 0,75│ 0,7 │ 0,53 │ 0,65 │ 0,02 │ 0,58
очистки и │ │ │ │ │ │ │ │ │
перемотки │ │ │ │ │ │ │ │ │
рулонных │ │ │ │ │ │ │ │ │
материалов │ │ │ │ │ │ │ │ │
Машины для │018 │ 0,7 │ 1 │ 0,7 │ 0,8 │ 0,56 │ 0,5 │ 0,06 │ 0,62
приготовления │ │ │ │ │ │ │ │ │
и подачи жестких│ │ │ │ │ │ │ │ │
растворов │ │ │ │ │ │ │ │ │
Машины для │019 │ 0,4 │ 1 │ 0,4 │ 0,6 │ 0,24 │ 0,5 │ 0,06 │ 0,27
приготовления │ │ │ │ │ │ │ │ │
и нанесения │ │ │ │ │ │ │ │ │
гипсовых │ │ │ │ │ │ │ │ │
растворов │ │ │ │ │ │ │ │ │
Машины для │020 │ 0,75 │ 1 │ 0,75│ 0,7 │ 0,53 │ 0,65 │ 0,03 │ 0,58
приклейки │ │ │ │ │ │ │ │ │
пленочных │ │ │ │ │ │ │ │ │
покрытий │ │ │ │ │ │ │ │ │
Машины для │021 │ 0,4 │ 1 │ 0,4 │ 0,7 │ 0,28 │ 0,4 │ 0,08 │ 0,31
раскатки и │ │ │ │ │ │ │ │ │
приклейки │ │ │ │ │ │ │ │ │
рулонных │ │ │ │ │ │ │ │ │
материалов │ │ │ │ │ │ │ │ │
Машины для │022 │ 0,7 │ 1 │ 0,7 │ 0,4 │ 0,28 │ 0,5 │ 0,005│ 0,31
устройства │ │ │ │ │ │ │ │ │
стяжек │ │ │ │ │ │ │ │ │
Машины для сушки│023 │ 0,6 │ 1 │ 0,6 │ 0,6 │ 0,36 │ 0,4 │ 0,11 │ 0,40
основания кровли│ │ │ │ │ │ │ │ │
Машины │024 │ 0,5 │ 1 │ 0,5 │ 0,6 │ 0,30 │ 0,55 │ 0,02 │ 0,33
самоходные │ │ │ │ │ │ │ │ │
шарикозахватные │ │ │ │ │ │ │ │ │
для исследования│ │ │ │ │ │ │ │ │
бетонных полов │ │ │ │ │ │ │ │ │
Машины │025 │ 0,4 │ 1 │ 0,4 │ 0,7 │ 0,28 │ 0,55 │ 0,03 │ 0,31
самоходные │ │ │ │ │ │ │ │ │
для укладки, │ │ │ │ │ │ │ │ │
выравнивания │ │ │ │ │ │ │ │ │
и уплотнения │ │ │ │ │ │ │ │ │
бетона │ │ │ │ │ │ │ │ │
Машины для │026 │ 0,5 │ 1 │ 0,5 │ 0,4 │ 0,20 │ 0,55 │ 0,02 │ 0,22
уборки шлама │ │ │ │ │ │ │ │ │
Машины для │027 │ 0,3 │ 1 │ 0,3 │ 0,5 │ 0,15 │ 0,3 │ 0,08 │ 0,17
удаления воды с │ │ │ │ │ │ │ │ │
основания кровли│ │ │ │ │ │ │ │ │
Машины для │028 │ 0,5 │ 1 │ 0,5 │ 0,6 │ 0,3 │ 0,4 │ 0,08 │ 0,33
устройства │ │ │ │ │ │ │ │ │
защитного слоя │ │ │ │ │ │ │ │ │
Мелотерки │029 │ 0,2 │ 1 │ 0,2 │ 0,8 │ 0,16 │ 0,5 │ 0,10 │ 0,20
Мешалки для │030 │ 0,45 │ 1 │ 0,45│ 0,7 │ 0,32 │ 0,6 │ 0,06 │ 0,35
красочных │ │ │ │ │ │ │ │ │
составов │ │ │ │ │ │ │ │ │
Преобразователи │031 │ В зависимости от комплектации │ - │ 0,3 │ -
частоты │ │ машин │ │ │
Приспособление │032 │ 0,2 │ 1 │ - │ - │ - │ 0,65 │ 0,05 │ -
для устройства │ │ │ │ │ │ │ │ │
полов из │ │ │ │ │ │ │ │ │
керамических │ │ │ │ │ │ │ │ │
плиток │ │ │ │ │ │ │ │ │
Растворосмесите-│033 │ 0,4 │ 1 │ 0,4 │ 0,7 │ 0,28 │ 0,55 │ 0,11 │ 0,31
ли передвижные │ │ │ │ │ │ │ │ │
Смесители │034 │ 0,6 │ 1 │ 0,6 │ 0,7 │ 0,42 │ 0,55 │ 0,02 │ 0,47
малярных колеров│ │ │ │ │ │ │ │ │
Станки для │035 │ 0,1 │ 1 │ - │ - │ - │ 0,45 │ 0,15 │ -
сверления │ │ │ │ │ │ │ │ │
алмазными │ │ │ │ │ │ │ │ │
сверлами │ │ │ │ │ │ │ │ │
Станки заточные │036 │ 0,2 │ 1 │ - │ - │ - │ 0,7 │ 0,25 │ -
Станции │037 │ 0,6 │ 1 │ 0,6 │ 0,5 │ 0,3 │ 0,5 │ 0,1 │ 0,33
штукатурные │ │ │ │ │ │ │ │ │
Станки для резки│038 │ 0,24 │ 1 │ 0,65│ 0,8 │ 0,52 │ 0,65 │ 0,2 │ 0,58
паркетной клепки│ │ │ │ │ │ │ │ │
Станции │039 │ 0,65 │ 1 │ 0,65│ 0,6 │ 0,39 │ 0,45 │ 0,02 │ 0,43
передвижные │ │ │ │ │ │ │ │ │
для устройства │ │ │ │ │ │ │ │ │
наливных │ │ │ │ │ │ │ │ │
полимер- │ │ │ │ │ │ │ │ │
цементных полов │ │ │ │ │ │ │ │ │
Станции малярные│040 │ 0,5 │ 1 │ 0,5 │ 0,7 │ 0,35 │ 0,45 │ 0,1 │ 0,39
Установки для │041 │ 0,65 │ 1 │ 0,65│ - │ - │ 0,45 │ 0,15 │ -
нанесения жидкой│ │ │ │ │ │ │ │ │
шпаклевки │ │ │ │ │ │ │ │ │
Установки │042 │ 0,7 │ 1 │ 0,7 │ 0,6 │ 0,42 │ 0,55 │ 0,3 │ 0,47
компрессорные │ │ │ │ │ │ │ │ │
для малярных │ │ │ │ │ │ │ │ │
работ │ │ │ │ │ │ │ │ │
Установки │043 │ 0,75 │ 1 │ 0,75│ 0,9 │ 0,68 │ 0,55 │ 0,03 │ 0,74
для подачи │ │ │ │ │ │ │ │ │
и внесения │ │ │ │ │ │ │ │ │
битумных │ │ │ │ │ │ │ │ │
эмульсий │ │ │ │ │ │ │ │ │
Установки │044 │ 0,6 │ 1 │ 0,6 │ 0,7 │ 0,42 │ 0,5 │ 0,02 │ 0,47
для подачи │ │ │ │ │ │ │ │ │
и нанесения │ │ │ │ │ │ │ │ │
полимерных │ │ │ │ │ │ │ │ │
мастик │ │ │ │ │ │ │ │ │
Устройство │045 │ 0,15 │ 1 │ - │ - │ - │ 0,55 │ 0,03 │ -
для приклейки │ │ │ │ │ │ │ │ │
рулонных │ │ │ │ │ │ │ │ │
материалов │ │ │ │ │ │ │ │ │
в местах │ │ │ │ │ │ │ │ │
примыкания │ │ │ │ │ │ │ │ │
Устройство │046 │ 0,25 │ 1 │ 0,25│ 0,8 │ 0,20 │ 0,5 │ 0,08 │ 0,23
для разогрева │ │ │ │ │ │ │ │ │
рубероида │ │ │ │ │ │ │ │ │
Устройство │047 │ 0,75 │ 1 │ 0,75│ 0,5 │ 0,38 │ 0,5 │ 0,02 │ 0,42
для хранения, │ │ │ │ │ │ │ │ │
подогрева и │ │ │ │ │ │ │ │ │
подачи мастик │ │ │ │ │ │ │ │ │
на кровлю │ │ │ │ │ │ │ │ │
Устройства │048 │ 0,4 │ 1 │ 0,4 │ 0,7 │ 0,28 │ 0,45 │ 0,1 │ 0,31
загрузочные для │ │ │ │ │ │ │ │ │
растворонасосов │ │ │ │ │ │ │ │ │
Примечание. Средняя продолжительность одной перебазировки

для средств малой механизации принимается равной 1 дн., а продолжительность работы на объекте

- 240 маш.-ч.
Таблица 7
Показатели по БТ, используемые в расчетах экономической
эффективности механизированного инструмента
──────────────────┬────┬────────────┬─────┬──────────────┬─────────┬───────
Наименование машин│Шифр│Коэффициент,│Коэф-│Вспомогатель- │Коэффици-│Коэффи-
│ │учитывающий │фици-│ное время, │ент │циент
│ │долю чистого│ент │приходящееся │перехода │спроса
│ │ машинного │смен-├────────┬─────┤от рас- │(K )
│ │ времени │ности│на 1 ч │на 1 │четно-ба-│ сп
│ │ в течение │(K )│работы │цикл,│лансовой │
│ │ смены (K )│ см │(коэффи-│сек. │стоимости│
│ │ ти │ │циент) │ │к затра- │
│ │ │ │ │ │там на ТО│
│ │ │ │ │ │и ТР │
│ │ │ │ │ │(K ) │
│ │ │ │ │ │ тр │
──────────────────┼────┼────────────┼─────┼────────┼─────┼─────────┼───────
1 │ 2 │ 3 │ 4 │ 5 │ 6 │ 7 │ 8
──────────────────┼────┼────────────┼─────┼────────┼─────┼─────────┼───────
Бороздоделы │001 │ 0,1 │ 1,2 │ 1,1 │ - │ 0,2 │ 0,147
Гайковерты │002 │ 0,02 │ 1,55│ - │ 60 │ 0,25 │ 0,29
нереверсивные │ │ │ │ │ │ │
и реверсивные, │ │ │ │ │ │ │
кгс, до 20 │ │ │ │ │ │ │
То же, свыше 20 │003 │ 0,02 │ 1,55│ - │ 60 │ 0,25 │ 0,29
Долбежники │004 │ 0,12 │ 1,2 │ - │ 40 │ 0,25 │ 0,176
Краскопульты │005 │ 0,55 │ 1,0 │ 1,15 │ - │ 0,25 │ 0,809
электрические │ │ │ │ │ │ │
Краскораспылители │006 │ 0,40 │ 1,0 │ 1,15 │ - │ 0,15 │ 0,588
Кромкорезы │007 │ 0,04 │ 1,2 │ 1,5 │ - │ 0,25 │ 0,059
Лобзики │008 │ 0,05 │ 1,2 │ 1,5 │ - │ 0,25 │ 0,074
Ломы электрические│009 │ 0,12 │ 1,2 │ 1,1 │ - │ 0,3 │ 0,176
Ломы │010 │ 0,12 │ 1,2 │ 1,2 │ - │ 0,25 │ -
пневматические │ │ │ │ │ │ │
Молотки с энергией│011 │ 0,12 │ 1,3 │ 1,2 │ - │ 0,3 │ 0,176
удара кгсм, │ │ │ │ │ │ │
до 2,5 Дж │ │ │ │ │ │ │
То же, до 4 Дж │012 │ 0,1 │ 1,3 │ 1,25 │ - │ 0,3 │ 0,176
То же, свыше 4 Дж │013 │ 0,08 │ 1,3 │ 1,25 │ - │ 0,3 │ 0,176
Мотобетоноломы │014 │ 0,1 │ 1,3 │ 1,3 │ - │ 0,3 │ -
Ножницы для резки │015 │ 0,05 │ 1,2 │ 2,0 │ - │ 0,25 │ 0,074
листового металла │ │ │ │ │ │ │
Паркетно- │016 │ 0,3 │ 1,0 │ 1,05 │ - │ 0,2 │ 0,441
шлифовальные │ │ │ │ │ │ │
машины │ │ │ │ │ │ │
Перфораторы │017 │ 0,1 │ 1,3 │ - │ 50 │ 0,3 │ 0,147
Пилы дисковые │018 │ 0,1 │ 1,2 │ 1,1 │ - │ 0,2 │ 0,294
Пистолеты для │019 │ 0,03 │ 1,0 │ - │ 15 │ 0,05 │ 0,441
забивки скоб │ │ │ │ │ │ │
Пневмопробойники │020 │ 0,15 │ 1,1 │ 1,15 │ - │ 0,2 │ -
Пневмошприцы │021 │ 0,1 │ 1,4 │ 2,0 │ - │ 0,15 │ -
Промазчики │022 │ 0,15 │ 1,0 │ 2,0 │ - │ 0,11 │ 0,74
Резьбонарезные │023 │ 0,1 │ 1,2 │ 1,4 │ - │ 0,2 │ 0,147
машины │ │ │ │ │ │ │
Рубанки │024 │ 0,12 │ 1,2 │ 8,0 │ - │ 0,2 │ 0,176
электрические │ │ │ │ │ │ │
Развальцовочные │025 │ 0,1 │ 1,1 │ 1,15 │ - │ 0,25 │ 0,147
машины │ │ │ │ │ │ │
Сверлильные машины│026 │ 0,12 │ 1,3 │ - │ 15 │ 0,20 │ 0,176
одно- и │ │ │ │ │ │ │
двухскоростные │ │ │ │ │ │ │
диаметром до 9 мм │ │ │ │ │ │ │
То же, до 14 мм │027 │ 0,12 │ 1,3 │ - │ 20 │ 0,2 │ 0,176
То же, свыше 14 мм│028 │ 0,08 │ 1,3 │ - │ 30 │ 0,2 │ 0,176
Сверлильные машины│029 │ 0,1 │ 1,3 │ - │ 15 │ 0,25 │ 0,147
ударно- │ │ │ │ │ │ │
вращательного │ │ │ │ │ │ │
действия │ │ │ │ │ │ │
диаметром до 9 мм │ │ │ │ │ │ │
То же, до 14 мм │030 │ 0,1 │ 1,3 │ - │ 20 │ 0,25 │ 0,147
То же, свыше 14 мм│031 │ 0,1 │ 1,3 │ - │ 30 │ 0,25 │ 0,147
Трамбовки массой │032 │ 0,2 │ 1,2 │ 1,15 │ - │ 0,3 │ 0,294
до 30 кг │ │ │ │ │ │ │
То же, свыше 30 кг│033 │ 0,2 │ 1,2 │ 1,2 │ - │ 0,3 │ 0,294
Шлифовальные │034 │ 0,5 │ 1,0 │ 1,05 │ - │ 0,1 │ 0,74
машины для │ │ │ │ │ │ │
мозаичных полов │ │ │ │ │ │ │
Шлифовальные │035 │ 0,4 │ 1,0 │ 1,05 │ - │ 0,2 │ 0,74
машины для │ │ │ │ │ │ │
шпаклевки │ │ │ │ │ │ │
Шлифовальные │036 │ 0,2 │ 1,2 │ 1,0 │ - │ 0,25 │ 0,294
машины с диаметром│ │ │ │ │ │ │
круга до 100 мм │ │ │ │ │ │ │
Шпильковерты │037 │ 0,04 │ 1,2 │ - │ 15 │ 0,25 │ -
Штукатурно- │038 │ 0,5 │ 1,0 │ 1,15 │ - │ 0,2 │ 0,74
затирочные машины │ │ │ │ │ │ │
Шуруповерты │039 │ 0,04 │ 1,2 │ - │ 10 │ 0,2 │ 0,059
Щетки │040 │ 0,2 │ 1,2 │ 1,05 │ - │ 0,25 │ 0,294
Таблица 8
Годовой фонд рабочего времени техники (Ф) <*>, дни
--------------------------------
<*> Показатель включает продолжительность выполнения технологических процессов, нахождения в перебазировке, техническом обслуживании, ремонтах.
────────────────────────────────────────────────┬──────────┬───────┬───────
Наименование машин │В северной│В южной│В целом
│ зоне │ зоне │по СССР
────────────────────────────────────────────────┼──────────┼───────┼───────
Экскаваторы одноковшовые, бульдозеры, │ 238 │ 255 │ 247
погрузчики, компрессоры передвижные, │ │ │
вибромашины, транспортеры (конвейеры), дробилки │ │ │
Экскаваторы многоковшовые, скреперы, │ 120 │ 254 │ 200
автогрейдеры (на земляных работах), машины │ │ │
землеройно-фрезерные │ │ │
Машины для ремонта и содержания дорожных │ 130 │ 256 │ 220
покрытий, машины для уплотнения дорожных │ │ │
покрытий, машины и оборудование для │ │ │
строительства и реконструкции дорожных и │ │ │
аэродромных покрытий, машины и оборудование для │ │ │
скоростного строительства автомобильных дорог, │ │ │
машины и оборудование для приготовления бетонных│ │ │
смесей │ │ │
Краны стреловые, трубоукладчики, машины │ 238 │ 255 │ 247
для свайных работ │ │ │
Краны башенные │ 214 │ 249 │ 233
Машины строительно-отделочные: │ │ │
работающие в помещении │ - │ - │ 225
работающие вне помещений │ - │ - │ 210
Машины для производства кровельных работ │ - │ - │ 200
--------------------------------
<**> Сюда же относятся машины для мелиоративного строительства.
Таблица 9
Средние значения продолжительности смены в зависимости
от величины коэффициента сменности (для пятидневной
рабочей недели)
────────────────────────┬────────────────────────┬─────────────────────────
K │ t │ 1
см │ см │ ---------
│ │ t x K
│ │ см см
────────────────────────┼────────────────────────┼─────────────────────────
1 │ 8 │ 0,125
1,05 │ 7,95 │ 0,12
1,1 │ 7,91 │ 0,115
1,15 │ 7,87 │ 0,110
1,20 │ 7,83 │ 0,106
1,25 │ 7,8 │ 0,103
1,30 │ 7,77 │ 0,099
1,35 │ 7,74 │ 0,096
1,40 │ 7,71 │ 0,093
1,45 │ 7,69 │ 0,090
1,50 │ 7,67 │ 0,087
1,55 │ 7,65 │ 0,084
1,60 │ 7,63 │ 0,082
1,65 │ 7,61 │ 0,080
1,70 │ 7,59 │ 0,078
1,75 │ 7,57 │ 0,075
1,80 │ 7,56 │ 0,074
1,85 │ 7,54 │ 0,072
1,90 │ 7,53 │ 0,070
1,95 │ 7,51 │ 0,068
2,0 │ 7,5 │ 0,067
2,05 │ 7,49 │ 0,065
2,1 │ 7,48 │ 0,064
2,15 │ 7,465 │ 0,062
2,20 │ 7,455 │ 0,061
2,25 │ 7,444 │ 0,060
2,3 │ 7,435 │ 0,058
2,35 │ 7,426 │ 0,057
2,4 │ 7,417 │ 0,056
2,45 │ 7,408 │ 0,055
2,5 │ 7,4 │ 0,054
2,55 │ 7,39 │ 0,053
2,6 │ 7,385 │ 0,052
2,65 │ 7,377 │ 0,051
2,7 │ 7,37 │ 0,050
2,75 │ 7,264 │ 0,049
2,80 │ 7,357 │ 0,0486
2,85 │ 7,351 │ 0,0477
2,90 │ 7,345 │ 0,0470
2,95 │ 7,34 │ 0,0462
3,0 │ 7,333 │ 0,0455
Таблица 10
Удельный вес в долях единицы применения землеройных машин
на выполнение различных видов работ (

<*>)
--------------------------------
<*> Для машин, не указанных в таблице,

.
────────────────────┬──────────────────────────────────────────────────────
Виды машин │ Виды работ
├──────────┬────────┬──────────┬───────┬────────┬──────
│земляные и│монтаж- │вертикаль-│забивка│разруше-│прочие
│карьерные │ные │ный транс-│ свай │ние │работы
│ │ │порт │ │старых │
<**>
│ │ │и погру- │ │зданий │
│ │ │зочно-раз-│ │и соору-│
│ │ │грузочные │ │жений │
│ │ │работы │ │ │
────────────────────┼──────────┼────────┼──────────┼───────┼────────┼──────
Экскаваторы │ │ │ │ │ │
одноковшовые с │ │ │ │ │ │
ковшом вместимостью,│ │ │ │ │ │
м3 │ │ │ │ │ │
до 0,49 │ 0,95 │ - │ - │ - │ 0,03 │ 0,02
0,5 - 0,99 │ 0,85 │ 0,06 │ 0,02 │ 0,01 │ 0,04 │ 0,02
1,0 - 2,5 │ 0,85 │ 0,09 │ 0,03 │ 0,01 │ 0,01 │ 0,01
2,6 - 4 │ 1,0 │ - │ - │ - │ - │ -
Тракторы с навесным │ 0,5 │ - │ - │ - │ 0,05 │ 0,45
экскаваторным │ │ │ │ │ │
оборудованием │ │ │ │ │ │
Бульдозеры с │ 0,4 │ - │ - │ - │ 0,05 │ 0,55
двигателем мощностью│ │ │ │ │ │
до 150 л.с. │ │ │ │ │ │
То же, │ 0,8 │ - │ - │ - │ 0,1 │ 0,1
более 150 л.с. │ │ │ │ │ │
Автогрейдеры │ 0,6 │ - │ - │ - │ - │ 0,4
Погрузчики │ 0,05 │ - │ 0,05 │ - │ - │ 0,9
одноковшовые │ │ │ │ │ │
грузоподъемностью │ │ │ │ │ │
до 3 т │ │ │ │ │ │
То же, более 3 т │ 0,85 │ - │ 0,15 │ - │ - │ -
--------------------------------
<**> Установка бордюрного камня, разравнивание бетонной массы, очистка габаритов железных дорог, очистка автодорог и проездов от снега и грязи, уход за временными дорогами, очистка строительных площадок от мусора, подача инертных материалов к загрузочным устройствам установок по приготовлению бетона и раствора, перемещение оборудования, материалов и изделий на строительных площадках, корчевка пней, срезка кустарника, бурение скважин, использование со специальными видами оборудования и т.д.
Таблица 11
Среднечасовая эксплуатационная производительность
стреловых и башенных кранов (для БТ)
───────────────────────────┬───────────────────────────────────────────────
Наименование кранов │ Среднечасовая эксплуатационная
│ производительность (в числителе) и доля
│ занятости кранов по времени (в знаменателе),
│ т/ч, при выполнении
├────────────┬─────────────┬────────────────────
│погрузочно- │вертикального│монтажа строительных
│разгрузочных│ транспорта │ конструкций
│работ │ │ и оборудования
───────────────────────────┼────────────┼─────────────┼────────────────────
1 │ 2 │ 3 │ 4
───────────────────────────┼────────────┼─────────────┼────────────────────
Краны автомобильные │ │ │
грузоподъемностью, т │ │ │
до 6 │ 5,7 │ 3,3 │ 1,9
│ ---- │ ---- │ ----
│ 0,92 │ 0,03 │ 0,05
│ │ │
до 9 │ 5,7 │ 34 │ 1,9
│ --- │ ---- │ ----
│ 0,8 │ 0,08 │ 0,12
│ │ │
свыше 9 │ 5,7 │ 3,4 │ 1,9
│ ---- │ ---- │ ----
│ 0,70 │ 0,10 │ 0,20
│ │ │
Краны гусеничные │ │ │
грузоподъемностью, т │ │ │
до 25 │ 5,7 │ 3,8 │ 2,3
│ ---- │ ---- │ ---
│ 0,20 │ 0,10 │ 0,7
│ │ │
до 40 │ 5,7 │ 3,8 │ 2,3
│ ---- │ ---- │ ----
│ 0,12 │ 0,10 │ 0,78
│ │ │
свыше 40 │ 5,7 │ 3,8 │ 2,3
│ ---- │ ---- │ ----
│ 0,10 │ 0,10 │ 0,80
Краны пневмоколесные │ │ │
грузоподъемностью, т │ │ │
до 25 │ 5,7 │ 3,8 │ 2,3
│ ---- │ ---- │ ----
│ 0,20 │ 0,15 │ 0,65
│ │ │
до 40 │ 5,7 │ 3,8 │ 2,3
│ ---- │ ---- │ ----
│ 0,10 │ 0,10 │ 0,80
│ │ │
свыше 40 │ 5,7 │ 3,8 │ 2,5
│ ---- │ ---- │ ----
│ 0,10 │ 0,10 │ 0,80
Краны на специальном шасси │ │ │
автомобильного типа │ │ │
грузоподъемностью, т │ │ │
до 25 │ 5,7 │ 3,8 │ 2,3
│ ---- │ --- │ ----
│ 0,40 │ 0,2 │ 0,40
│ │ │
до 40 │ 5,7 │ 3,8 │ 2,3
│ ---- │ ---- │ ----
│ 0,30 │ 0,20 │ 0,50
│ │ │
свыше 40 │ 5,7 │ 3,8 │ 2,5
│ ---- │ ---- │ ----
│ 0,20 │ 0,25 │ 0,55
│ │ │
Краны башенные │ 5,7 │ 4,6 │ 2,6
грузоподъемностью до 5 т │ ---- │ ---- │ ----
при высоте подъема крюка │ 0,35 │ 0,35 │ 0,30
до 40 м │ │ │
Краны башенные │ 5,7 │ 4,6 │ 2,6
грузоподъемностью до 10 т │ ---- │ ---- │ ---
при высоте подъема крюка │ 0,25 │ 0,25 │ 0,5
до 70 м │ │ │
То же, при высоте подъема │ 5,7 │ 4,6 │ 2,6
крюка до 100 м │ ---- │ ---- │ ----
│ 0,10 │ 0,25 │ 0,65
│ │ │
То же, при высоте подъема │ 5,7 │ 4,6 │ 2,6
крюка более 100 м │ ---- │ ---- │ ----
│ 0,05 │ 0,25 │ 0,70
Таблица 12
Поправочный коэффициент

для определения допустимой цены НТ
─────────────────────────────────────────┬─────────────────────────────────
Группировка норм амортизации строительных│Средние величины коэффициента K
машин, % │ ц
─────────────────────────────────────────┼─────────────────────────────────
6,0 - 9,0 │ 0,63
9,01 - 13,5 │ 0,67
13,51 - 20,25 │ 0,71
20,26 - 30,37 │ 0,76
30,38 - 50,0 │ 0,81
Таблица 13
Часовые тарифные ставки машинистов и их помощников,
нормы амортизации, затраты рабочего времени, труда
и часовые ставки среднего разряда работы по выполнению
технического обслуживания и ремонта машин
───────────────────┬──────┬────────────┬───────────────┬─────┬─────────────────┬────────────┬────────
Наименование машин │ Шифр │ Часовая │Амортизационные│Нор- │ Простои │Трудоемкость│Часовая
│ │ тарифная │ отчисления │ма- │ во всех видах │ текущих │ ставка
│ │ставка, руб.│ │тив- │ обслуживания │ ремонтов и │среднего
│ ├─────┬──────┼─────┬─────────┤ный │ и ремонте БТ │технических │разряда
│ │маши-│помощ-│шифр │норма, % │срок │ n │обслуживаний│ работы
│ │ниста│ника │ │
<**> │служ-│ SUM Б x Н │ БТ │ТО и Тр
│ │ │маши- │ │ │бы │ 1 i i │ i=n │ машин,
│ │ │ниста │ │ │T , │D = ------------,│ SUM r Н │ руб.
│ │ │
<*> │ │ │ нс │ t │ i i │
│ │ │ │ │ │лет │ р │= ---------,│
│ │ │ │ │ │ │ дни/маш.-ч │ t │
│ │ │ │ │ │ │ │ р │
│ │ │ │ │ │ │ │ чел.-ч │
│ │ │ │ │ │ │ │ ------ │
│ │ │ │ │ │ │ │ маш.-ч │
───────────────────┼──────┼─────┼──────┼─────┼─────────┼─────┼─────────────────┼────────────┼────────
1 │ 2 │ 3 │ 4 │ 5 │ 6 │ 7 │ 8 │ 9 │ 10
───────────────────┴──────┴─────┴──────┴─────┴─────────┴─────┴─────────────────┴────────────┴────────
I. Основные строительные машины
Автогрейдеры │001.1 │0,702│ - │41823│12,0/6,1 │ 8 │ 0,0095 │ 0,1454 │ 0,755
легкого типа │ │ │ │ │ │ │ │ │
То же, среднего │001.2 │0,702│ - │41824│ 9,6/4,0 │ 10 │ 0,0104 │ 0,1795 │ 0,755
типа │ │ │ │ │ │ │ │ │
То же, тяжелого │001.3 │0,790│ - │41824│ 9,6/4,0 │ 10 │ 0,0127 │ 0,2165 │ 0,755
типа │ │ │ │ │ │ │ │ │
Автопогрузчики │002.1 │0,625│ - │41741│16,0/9,6 │ 6 │ 0,0041 │ 0,0343 │ 0,755
грузоподъемностью │ │ │ │ │ │ │ │ │
до 2 т │ │ │ │ │ │ │ │ │
То же, 3 - 5 т │002.2 │0,625│ - │41741│16,0/9,6 │ 6 │ 0,0041 │ 0,0525 │ 0,755
То же, свыше 5 т │002.3 │0,625│ - │41741│16,0/9,6 │ 6 │ 0,0054 │ 0,0801 │ 0,755
Асфальтоукладчики │003 │0,702│ - │42102│12,0/7,0 │ 8 │ 0,0085 │ 0,1902 │ 0,755
самоходные │ │ │ │ │ │ │ │ │
Бетононасосы │004.1 │0,625│ - │42002│15,3/6,3 │ 6 │ 0,0058 │ 0,0103 │ 0,755
передвижные │ │ │ │ │ │ │ │ │
То же, стационарные│004.2 │0,625│ - │42002│15,3/6,3 │ 6 │ 0,0060 │ 0,0140 │ 0,679
Бетоносмесители │005.1 │0,555│ - │42001│11,0/9,8 │ 9 │ 0,0039 │ 0,0073 │ 0,679
передвижные │ │ │ │ │ │ │ │ │
вместимостью │ │ │ │ │ │ │ │ │
до 165 л │ │ │ │ │ │ │ │ │
То же, 330 л │005.2 │0,555│ - │42001│11,0/9,8 │ 9 │ 0,0039 │ 0,0092 │ 0,679
То же, 500 л │005.3 │0,625│ - │42001│11,0/9,8 │ 9 │ 0,0043 │ 0,0126 │ 0,679
То же, 800 - 1000 л│005.4 │0,625│ - │42001│11,0/9,8 │ 9 │ 0,0051 │ 0,0185 │ 0,679
То же, │005.5 │0,702│ - │42001│11,0/9,8 │ 9 │ 0,0056 │ 0,0236 │ 0,679
1600 - 2000 л │ │ │ │ │ │ │ │ │
То же, 3000 л │005.6 │0,702│ - │42001│11,0/9,8 │ 9 │ 0,0059 │ 0,0262 │ 0,679
Бетоносмесители │005.7 │0,625│ - │42003│12,0/13,3│ 8 │ 0,0046 │ 0,0135 │ 0,679
стационарные │ │ │ │ │ │ │ │ │
вместимостью │ │ │ │ │ │ │ │ │
до 500 л │ │ │ │ │ │ │ │ │
То же, 800 - 1000 л│005.8 │0,625│ - │42003│12,0/13,3│ 8 │ 0,0058 │ 0,0210 │ 0,679
То же, │005.9 │0,702│ - │42003│12,0/13,3│ 8 │ 0,0059 │ 0,0250 │ 0,679
1600 - 2000 л │ │ │ │ │ │ │ │ │
То же, 3000 л │005.10│0,702│ - │42003│12,0/13,3│ 8 │ 0,0063 │ 0,0276 │ 0,679
Бетоносмесительные │005.11│0,702│ - │42003│12,0/13,3│ 8 │ 0,0063 │ 0,0276 │ 0,679
установки с │ │ │ │ │ │ │ │ │
комплектом всех │ │ │ │ │ │ │ │ │
необходимых машин │ │ │ │ │ │ │ │ │
и оборудования │ │ │ │ │ │ │ │ │
стационарные │ │ │ │ │ │ │ │ │
То же, передвижные │005.12│0,702│ - │42001│11,0/9,8 │ 9 │ 0,0059 │ 0,0262 │ 0,679
Бетоноукладочные │006 │0,790│ - │42003│12,0/13,3│ 8 │ 0,0074 │ 0,1048 │ 0,679
машины, скорость │ │ │ │ │ │ │ │ │
до 55 м/ч │ │ │ │ │ │ │ │ │
Бетоноотделочные │007 │0,790│ - │42003│12,0/13,3│ 8 │ 0,0062 │ 0,0526 │ 0,679
машины, скорость │ │ │ │ │ │ │ │ │
до 25 м/ч │ │ │ │ │ │ │ │ │
Битумоплавильные │008 │0,790│ - │42103│ 32,0/- │ 3 │ 0,0257 │ 0,4122 │ 0,679
установки │ │ │ │ │ │ │ │ │
(УБ, УБК-81) │ │ │ │ │ │ │ │ │
Бульдозеры на базе │009.1 │0,625│ - │40617│16,6/3,0 │ 5 │ 0,0059 │ 0,0812 │ 0,755
пневмоколесного │ │ │ │ │ │ │ │ │
трактора │ │ │ │ │ │ │ │ │
грузоподъемностью │ │ │ │ │ │ │ │ │
1,4 т ("Беларусь") │ │ │ │ │ │ │ │ │
Бульдозеры на базе │009.2 │0,702│ - │41830│13,7/16,0│ 7 │ 0,0103 │ 0,1808 │ 0,755
гусеничного │ │ │ │ │ │ │ │ │
трактора класса 3 т│ │ │ │ │ │ │ │ │
(Т-74, Т-35, ДТ-75)│ │ │ │ │ │ │ │ │
То же, 4 т │009.3 │0,702│ - │41831│12,0/14,0│ 8 │ 0,0125 │ 0,2253 │ 0,755
(Т-4, Т-4М) │ │ │ │ │ │ │ │ │
Бульдозеры на базе │009.4 │0,702│ - │41831│12,0/14,0│ 8 │ 0,0115 │ 0,2175 │ 0,755
гусеничного │ │ │ │ │ │ │ │ │
трактора класса │ │ │ │ │ │ │ │ │
10 т (Т-100М, │ │ │ │ │ │ │ │ │
Т-130) │ │ │ │ │ │ │ │ │
То же, 15 т │009.5 │0,790│ - │41832│12,0/10,0│ 8 │ 0,0134 │ 0,3136 │ 0,755
(Т-140, Т-180) │ │ │ │ │ │ │ │ │
То же, 25 т │009.6 │0,893│ - │41833│10,6/10,0│ 9 │ 0,0126 │ 0,4136 │ 0,755
(ДЭТ-250, ДЭТ-250М)│ │ │ │ │ │ │ │ │
Бурильно-крановые │010.1 │0,702│ - │43416│12,0/4,0 │ 8 │ 0,0078 │ 0,1267 │ 0,755
машины на базе │ │ │ │ │ │ │ │ │
трактора класса 3 т│ │ │ │ │ │ │ │ │
То же, 10 т │010.2 │0,702│ - │43416│12,0/4,0 │ 8 │ 0,0086 │ 0,1595 │ 0,755
Бурильно-крановые │010.3 │0,702│ - │43416│12,0/4,0 │ 8 │ 0,0084 │ 0,1069 │ 0,755
машины на базе │ │ │ │ │ │ │ │ │
автомобиля ГАЗ │ │ │ │ │ │ │ │ │
То же, на базе │010.4 │0,702│ - │43416│12,0/4,0 │ 8 │ 0,0087 │ 0,1294 │ 0,755
автомобиля ЗИЛ │ │ │ │ │ │ │ │ │
То же, на базе │010.5 │0,702│ - │43416│12,0/4,0 │ 8 │ 0,0101 │ 0,1663 │ 0,755
автомобиля КрАЗ │ │ │ │ │ │ │ │ │
Вибраторы общего │011.1 │ │ - │60000│ 50/- │ 2 │ - │ - │ 0,625
назначения │ │ │ │ │ │ │ │ │
Вибраторы глубинные│011.2 │ │ │60000│ 50/- │ 2 │ - │ - │ 0,625
Вибропитатели │011.3 │ │ │42607│ 9,8/7,0 │ 10 │ - │ - │ 0,625
Виброплиты │011.4 │ │ │44175│19,4/10,1│ 5 │ - │ - │ 0,625
Виброплощадки │011.5 │ │ │44175│19,4/10,1│ 5 │ - │ - │ 0,625
Грейдер-элеваторы │012.1 │0,702│ - │41826│12,0/6,0 │ 8 │ 0,0134 │ 0,3135 │ 0,720
с двигателем │ │ │ │ │ │ │ │ │
мощностью │ │ │ │ │ │ │ │ │
до 180 л.с. │ │ │ │ │ │ │ │ │
То же, свыше │012.2 │0,702│ - │41827│ 9,6/4,0 │ 10 │ 0,0134 │ 0,3135 │ 0,720
180 л.с. │ │ │ │ │ │ │ │ │
Грохоты │013.1 │0,493│ - │42600│12,2/7,0 │ 8 │ 0,0036 │ 0,0041 │ 0,625
инерционные легкие │ │ │ │ │ │ │ │ │
То же, средние │013.2 │0,493│ - │42600│12,2/7,0 │ 8 │ 0,0039 │ 0,0081 │ 0,625
То же, тяжелые │013.3 │0,555│ - │42600│12,2/7,0 │ 8 │ 0,0046 │ 0,0144 │ 0,625
Грунтосмесительные │014 │0,790│ 1 │42110│16,0/8,3 │ 6 │ 0,0098 │ 0,2277 │ 0,625
однопроходные │ │ │----- │ │ │ │ │ │
машины │ │ │0,702 │ │ │ │ │ │
Дозаторы │015 │0,493│ - │43279│16,3/12,0│ 6 │ - │ - │ 0,755
непрерывного │ │ │ │ │ │ │ │ │
действия и │ │ │ │ │ │ │ │ │
цикличные │ │ │ │ │ │ │ │ │
Дробилки щековые │016.1 │0,493│ - │42602│ 8,2/6,4 │ 10 │ 0,0040 │ 0,0104 │ 0,625
с размерами │ │ │ │ │ │ │ │ │
загрузочного │ │ │ │ │ │ │ │ │
отверстия │ │ │ │ │ │ │ │ │
160 x 250 и │ │ │ │ │ │ │ │ │
250 x 240 мм │ │ │ │ │ │ │ │ │
То же, 600 x 400; │016.2 │0,493│ - │42602│ 8,2/6,4 │ 10 │ 0,0040 │ 0,0134 │ 0,625
250 x 900; │ │ │ │ │ │ │ │ │
600 x 900; │ │ │ │ │ │ │ │ │
400 x 900 мм │ │ │ │ │ │ │ │ │
То же, │016.3 │0,493│ - │42602│ 8,2/6,4 │ 10 │ 0,0040 │ 0,0174 │ 0,625
900 x 1200 мм │ │ │ │ │ │ │ │ │
То же, │016.4 │0,555│ - │42602│ 8,2/6,4 │ 10 │ 0,0040 │ 0,0216 │ 0,625
1200 x 1500 мм │ │ │ │ │ │ │ │ │
То же, │016.5 │0,555│ - │42602│ 8,2/6,4 │ 10 │ 0,0045 │ 0,0294 │ 0,625
1500 x 2100 мм │ │ │ │ │ │ │ │ │
То же, │016.6 │0,555│ - │42602│ 8,2/6,4 │ 10 │ 0,0050 │ 0,0424 │ 0,625
2100 x 2500 мм │ │ │ │ │ │ │ │ │
Дробильно- │017 │0,625│ 1 │42603│ 9,8/7,8 │ 10 │ 0,0051 │ 0,0585 │ 0,755
сортировочные │ │ │----- │ │ │ │ │ │
установки │ │ │0,555 │ │ │ │ │ │
передвижные │ │ │ │ │ │ │ │ │
производительностью│ │ │ │ │ │ │ │ │
до 10 м3/ч │ │ │ │ │ │ │ │ │
Землесосные снаряды│018.1 │0,790│ 1 │41901│10,0/9,0 │ 9 │ 0,0100 │ 0,0734 │ 0,755
производительностью│ │ │----- │ │ │ │ │ │
до 50 м3/ч │ │ │0,702 │ │ │ │ │ │
│ │ │ │ │ │ │ │ │
То же, до 100 │018.2 │0,790│ 1 │41902│ 6,5/9,5 │ 14 │ 0,0085 │ 0,0850 │ 0,755
│ │ │----- │ │ │ │ │ │
│ │ │0,702 │ │ │ │ │ │
│ │ │ │ │ │ │ │ │
То же, свыше 100 │018.3 │0,790│ 1 │41902│ 6,5/9,5 │ 14 │ 0,0099 │ 0,1248 │ 0,755
│ │ │----- │ │ │ │ │ │
│ │ │0,702 │ │ │ │ │ │
Землеройно- │019 │0,790│ - │41819│16,0/8,0 │ │ 0,0786 │ 0,1483 │ 0,755
фрезерные машины │ │ │ │ │ │ │ │ │
Катки прицепные, │020.1 │0,625│ - │42105│12,0/3,0 │ 8 │ 0,0094 │ 0,1644 │ 0,720
легкие, кулачковые,│ │ │ │ │ │ │ │ │
статические с │ │ │ │ │ │ │ │ │
тракторами класса │ │ │ │ │ │ │ │ │
3 т (Т-74, ДТ-75) │ │ │ │ │ │ │ │ │
Катки средние с │020.2 │0,702│ - │42105│12,0/3,0 │ 8 │ 0,0104 │ 0,1965 │ 0,720
тракторами класса │ │ │ │ │ │ │ │ │
10 т (Т-100М │ │ │ │ │ │ │ │ │
и Т-130) │ │ │ │ │ │ │ │ │
Катки тяжелые с │020.3 │0,702│ - │42105│12,0/3,0 │ 8 │ 0,0116 │ 0,2908 │ 0,720
тракторами класса │ │ │ │ │ │ │ │ │
15 т (Т-180) │ │ │ │ │ │ │ │ │
Катки легкие, │020.4 │0,625│ - │42105│12,0/3,0 │ 8 │ 0,0095 │ 0,1692 │ 0,720
прицепные, на │ │ │ │ │ │ │ │ │
пневматических │ │ │ │ │ │ │ │ │
шинах, статические │ │ │ │ │ │ │ │ │
с тракторами класса│ │ │ │ │ │ │ │ │
3 т (Т-74 и ДТ-75) │ │ │ │ │ │ │ │ │
Катки средние с │020.5 │0,702│ - │42105│12,0/3,0 │ 8 │ 0,0109 │ 0,2062 │ 0,720
тракторами класса │ │ │ │ │ │ │ │ │
10 т (Т-100М │ │ │ │ │ │ │ │ │
и Т-130) │ │ │ │ │ │ │ │ │
Катки полуприцепные│020.6 │0,702│ - │42105│12,0/3,0 │ 8 │ 0,0089 │ 0,1152 │ 0,720
на пневматических │ │ │ │ │ │ │ │ │
шинах, статические │ │ │ │ │ │ │ │ │
с одноосным тягачом│ │ │ │ │ │ │ │ │
МоАЗ-546 │ │ │ │ │ │ │ │ │
То же, с одноосным │020.7 │0,702│ - │42105│12,0/3,0 │ 8 │ 0,0094 │ 0,1464 │ 0,720
тягачом БелАЗ-531 │ │ │ │ │ │ │ │ │
Катки самоходные │020.8 │0,702│ - │42104│16,0/5,9 │ 6 │ 0,0071 │ 0,080 │ 0,720
средние с гладкими │ │ │ │ │ │ │ │ │
вальцами │ │ │ │ │ │ │ │ │
статические массой │ │ │ │ │ │ │ │ │
(без балласта) │ │ │ │ │ │ │ │ │
до 6 т │ │ │ │ │ │ │ │ │
То же, тяжелые │020.9 │0,702│ - │42104│16,0/5,9 │ 6 │ 0,0078 │ 0,0864 │ 0,720
массой 10 - 15 т │ │ │ │ │ │ │ │ │
Катки самоходные │020.10│0,625│ - │42104│16,0/5,9 │ 8 │ 0,0072 │ 0,0390 │ 0,720
легкие с гладкими │ │ │ │ │ │ │ │ │
вальцами, │ │ │ │ │ │ │ │ │
вибрационные массой│ │ │ │ │ │ │ │ │
(без балласта) │ │ │ │ │ │ │ │ │
до 2 т │ │ │ │ │ │ │ │ │
То же, средние │020.11│0,702│ - │42104│16,0/5,9 │ 8 │ 0,0078 │ 0,0550 │ 0,720
массой 6 т │ │ │ │ │ │ │ │ │
Катки прицепные, │020.12│0,702│ - │42106│10,7/6,2 │ 6 │ 0,0111 │ 0,2220 │ 0,720
вибрационные с │ │ │ │ │ │ │ │ │
гладкими вальцами │ │ │ │ │ │ │ │ │
и кулачковые с │ │ │ │ │ │ │ │ │
тракторами класса │ │ │ │ │ │ │ │ │
10 т │ │ │ │ │ │ │ │ │
Канавокопатели │021 │0,702│ - │41829│16,0/3,5 │ 6 │ 0,0116 │ 0,461 │ 0,625
плужные и фрезерные│ │ │ │ │ │ │ │ │ -----
│ │ │ │ │ │ │ │ │ 0,755
Каналоочистители │022 │0,702│ - │41822│12,0/12,0│ 8 │ 0,01082 │ 0,1919 │ 0,755
Комплекты машин для│023.1 │0,790│ 2 │42005│19,2/4,0 │ 5 │ 0,0101 │ 0,1604 │ 0,755
облицовки каналов │ │ │----- │ │ │ │ │ │
монолитным бетоном │ │ │0,702 │ │ │ │ │ │
глубиной до 1,5 м │ │ │ │ │ │ │ │ │
Комплекты машин для│023.2 │0,790│ 1 │42005│19,2/4,0 │ 5 │ 0,0086 │ 0,137 │ 0,755
облицовки каналов │ │ │----- │ │ │ │ │ │
монолитным бетоном │ │ │0,702 │ │ │ │ │ │
глубиной от 1,5 │ │ │ │ │ │ │ │ │
до 3,0 м │ │ │ │ │ │ │ │ │
То же, свыше 3 м │023.3 │0,790│ 1 │42005│19,2/4,0 │ 5 │ 0,0086 │ 0,137 │ 0,755
│ │ │----- │ │ │ │ │ │
│ │ │0,702 │ │ │ │ │ │
Компрессоры │024.1 │0,555│ - │41404│13,9/5,3 │ 7 │ 0,0175 │ 0,0276 │ 0,720
передвижные с │ │ │ │ │ │ │ │ │
электроприводом │ │ │ │ │ │ │ │ │
производительностью│ │ │ │ │ │ │ │ │
0,25 - 0,5 м3/мин │ │ │ │ │ │ │ │ │
То же, 1,2 м3/мин │024.2 │0,555│ - │41404│13,9/5,3 │ 7 │ 0,0125 │ 0,0362 │ 0,720
То же, 3 - 5 м3/мин│024.3 │0,555│ - │41404│13,9/5,3 │ 7 │ 0,0094 │ 0,0508 │ 0,720
Компрессоры │024.4 │0,625│ - │41404│13,9/5,3 │ 7 │ 0,0101 │ 0,0823 │ 0,720
передвижные │ │ │ │ │ │ │ │ │
с приводом │ │ │ │ │ │ │ │ │
от двигателя │ │ │ │ │ │ │ │ │
внутреннего │ │ │ │ │ │ │ │ │
сгорания │ │ │ │ │ │ │ │ │
производительностью│ │ │ │ │ │ │ │ │
5 - 6 м3/мин │ │ │ │ │ │ │ │ │
То же, 7 - 9 м3/мин│024.5 │0,625│ - │41404│13,9/5,3 │ 7 │ 0,0113 │ 0,1100 │ 0,720
Компрессоры │024.6 │0,493│ - │41404│13,9/5,3 │ 7 │ 0,0084 │ 0,0581 │ 0,720
стационарные с │ │ │ │ │ │ │ │ │
электроприводом │ │ │ │ │ │ │ │ │
производительностью│ │ │ │ │ │ │ │ │
3 - 5 м3/мин │ │ │ │ │ │ │ │ │
Компрессорные │024.7 │ │ │41404│13,9/5,3 │ 7 │ 0,0192 │ 0,7368 │ 0,720
станции типа │ │ │ │ │ │ │ │ │
УКП-20 и УКП-80 │ │ │ │ │ │ │ │ │
Котлованокопатели │025 │0,790│ - │41821│12,0/11,0│ 8 │ 0,0116 │ 0,3050 │ 0,755
(типа ВК, БМ, МКТС)│ │ │ │ │ │ │ │ │
Копровые установки │026 │0,702│ 2 │42204│8,2/10,0 │ 12 │ 0,0038 │ 0,0225 │ 0,625
(без молота │ │ │----- │ │ │ │ │ │
свайного) │ │ │0,555 │ │ │ │ │ │
Корчеватели │027.1 │0,702│ - │41842│16,0/5,8 │ 6 │ 0,0076 │ 0,1326 │ 0,625
навесные на базе │ │ │ │ │ │ │ │ │
тракторов класса │ │ │ │ │ │ │ │ │
3 т │ │ │ │ │ │ │ │ │
То же, 10 т │027.2 │0,702│ - │41842│16,0/5,8 │ 6 │ 0,0082 │ 0,1506 │ 0,625
То же, 15 т │027.3 │0,790│ - │41842│16,0/5,8 │ 6 │ 0,0095 │ 0,2220 │ 0,625
Кусторезы навесные │028.1 │0,702│ - │41842│16,0/5,8 │ 6 │ 0,0076 │ 0,1326 │ 0,625
на базе тракторов │ │ │ │ │ │ │ │ │
класса 3 т │ │ │ │ │ │ │ │ │
То же, 10 т │028.2 │0,790│ - │41842│16,0/5,8 │ │ 0,0101 │ 0,1506 │ 0,625
Краны автомобильные│029.1 │0,702│ - │41715│ 9,0/6,5 │ 10 │ 0,00512 │ 0,1144 │ 0,755
стреловые │ │ │ │ │ │ │ │ │
грузоподъемностью │ │ │ │ │ │ │ │ │
4 т │ │ │ │ │ │ │ │ │
То же, 6,3 т │029.2 │0,790│ - │41715│ 9,0/6,5 │ 10 │ 0,0055 │ 0,1328 │ 0,755
То же, 10 т │029.3 │0,790│ - │41715│ 9,0/6,5 │ 10 │ 0,0067 │ 0,1615 │ 0,755
То же, 16 т │029.4 │0,790│ - │41715│ 9,0/6,5 │ 10 │ 0,0079 │ 0,2200 │ 0,755
Краны башенные с │030.1 │0,702│ - │41700│ 9,6/2,3 │ 10 │ 0,0078 │ 0,1126 │ 0,720
грузовым моментом │ │ │ │ │ │ │ │ │
до 25 тм │ │ │ │ │ │ │ │ │
То же, 60 тм │030.2 │0,702│ - │41700│ 9,6/2,3 │ 10 │ 0,0077 │ 0,1156 │ 0,720
То же, 100 тм │030.3 │0,702│ - │41700│ 9,6/2,3 │ 10 │ 0,0079 │ 0,1232 │ 0,720
То же, 160 тм │030.4 │0,702│ - │41700│ 9,6/2,3 │ 10 │ 0,0097 │ 0,1382 │ 0,720
То же, 250 тм │030.5 │0,893│ - │41701│ 6,0/2,6 │ 16 │ 0,0100 │ 0,1703 │ 0,720
То же, 400 тм │030.6 │0,893│ - │41701│ 6,0/2,6 │ 16 │ 0,0096 │ 0,1852 │ 0,720
То же, 630 тм │030.7 │0,893│ - │41701│ 6,0/2,6 │ 16 │ 0,0099 │ 0,2308 │ 0,720
То же, 1000 тм │030.8 │0,955│ - │41701│ 6,0/2,6 │ 16 │ 0,0106 │ 0,2601 │ 0,720
То же, 1400 тм │030.9 │0,955│ - │41701│ 6,0/2,6 │ 16 │ 0,0116 │ 0,2858 │ 0,720
Краны гусеничные │031.1 │0,790│ - │41706│ 8,7/4,7 │ 11 │ 0,0104 │ 0,2716 │ 0,755
стреловые │ │ │ │ │ │ │ │ │
грузоподъемностью │ │ │ │ │ │ │ │ │
10 т │ │ │ │ │ │ │ │ │
То же, 16 т │031.2 │0,790│ - │41706│ 8,7/4,7 │ 11 │ 0,0111 │ 0,3128 │ 0,755
То же, 25 т │031.3 │0,790│ - │41707│ 8,0/4,5 │ 12 │ 0,0119 │ 0,3639 │ 0,755
То же, 40 т │031.4 │0,790│ - │41707│ 8,0/4,5 │ 12 │ 0,01230 │ 0,3929 │ 0,755
То же, 63 т │031.5 │0,790│ 1 │41708│ 6,9/4,0 │ 13 │ 0,0135 │ 0,4496 │ 0,755
│ │ │----- │ │ │ │ │ │
│ │ │0,702 │ │ │ │ │ │
│ │ │ │ │ │ │ │ │
То же, 100 т │031.6 │0,790│ 1 │41709│ 6,0/2,8 │ 16 │ 0,0147 │ 0,4953 │ 0,755
│ │ │----- │ │ │ │ │ │
│ │ │0,702 │ │ │ │ │ │
│ │ │ │ │ │ │ │ │
Краны │032.1 │0,790│ 1 │41703│ 8,7/4,0 │ 11 │ 0,0109 │ 0,2956 │ 0,755
пневмоколесные │ │ │----- │ │ │ │ │ │
стреловые │ │ │0,702 │ │ │ │ │ │
грузоподъемностью │ │ │ │ │ │ │ │ │
16 т │ │ │ │ │ │ │ │ │
То же, 25 т │032.2 │0,790│ 1 │41704│ 8,0/3,6 │ 12 │ 0,0116 │ 0,3348 │ 0,755
│ │ │----- │ │ │ │ │ │
│ │ │0,702 │ │ │ │ │ │
│ │ │ │ │ │ │ │ │
То же, 40 т │032.3 │0,790│ 1 │41704│ 8,0/3,6 │ 12 │ 0,0125 │ 0,3696 │ 0,755
│ │ │----- │ │ │ │ │ │
│ │ │0,702 │ │ │ │ │ │
│ │ │ │ │ │ │ │ │
То же, 63 т │032.4 │0,790│ 1 │41705│ 6,9/3,2 │ 13 │ 0,0130 │ 0,4091 │ 0,755
│ │ │----- │ │ │ │ │ │
│ │ │0,702 │ │ │ │ │ │
│ │ │ │ │ │ │ │ │
То же, 100 т │032.5 │0,790│ 1 │41705│ 6,9/3,2 │ 13 │ 0,0141 │ 0,4517 │ 0,755
│ │ │----- │ │ │ │ │ │
│ │ │0,702 │ │ │ │ │ │
│ │ │ │ │ │ │ │ │
Краны на │033.1 │0,790│ 1 │41703│ 8,7/4,0 │ 11 │ 0,0115 │ 0,3135 │ 0,755
специальном шасси │ │ │----- │ │ │ │ │ │
автомобильного типа│ │ │0,702 │ │ │ │ │ │
грузоподъемностью │ │ │ │ │ │ │ │ │
16 т │ │ │ │ │ │ │ │ │
То же, 25 т │033.2 │0,893│ 0,5 │41704│ 8,0/3,6 │ 12 │ 0,0122 │ 0,3551 │ 0,755
│ │ │----- │ │ │ │ │ │
│ │ │0,702 │ │ │ │ │ │
│ │ │ │ │ │ │ │ │
То же, 40 т │033.3 │0,893│ 0,5 │41704│ 8,0/3,6 │ 12 │ 0,0132 │ 0,3980 │ 0,755
│ │ │----- │ │ │ │ │ │
│ │ │0,702 │ │ │ │ │ │
│ │ │ │ │ │ │ │ │
То же, 63 т │033.4 │0,893│ 0,5 │41705│ 6,9/3,2 │ 13 │ 0,0138 │ 0,4339 │ 0,755
│ │ │----- │ │ │ │ │ │
│ │ │0,702 │ │ │ │ │ │
│ │ │ │ │ │ │ │ │
То же, 100 т │033.5 │0,955│ 0,5 │41705│ 6,9/3,2 │ 13 │ 0,0149 │ 0,4790 │ 0,755
│ │ │----- │ │ │ │ │ │
│ │ │0,702 │ │ │ │ │ │
Краны │034 │0,555│ - │41721│ 8,0/3,0 │ 12 │ 0,0055 │ 0,0087 │ 0,755
мачтово-стреловые │ │ │ │ │ │ │ │ │
Краны на базе │035 │0,790│ - │41716│ 10/11,2 │ 10 │ 0,0077 │ 0,1730 │ 0,755
тракторов класса │ │ │ │ │ │ │ │ │
10 т (Т-100М, │ │ │ │ │ │ │ │ │
Т-130) │ │ │ │ │ │ │ │ │
Краны стреловые │036 │0,555│ - │41722│ 12/7,0 │ 8 │ 0,0013 │ 0,0025 │ 0,625
переносные (типа │ │ │ │ │ │ │ │ │
КЛ "Пионер") │ │ │ │ │ │ │ │ │
Лебедки │037.1 │0,493│ - │41763│18,9/10,3│ 5 │ 0,0004 │ 0,0046 │ 0,622
электрические, │ │ │ │ │ │ │ │ │
реверсивные, │ │ │ │ │ │ │ │ │
однобарабанные │ │ │ │ │ │ │ │ │
с тяговым усилием │ │ │ │ │ │ │ │ │
0,5 - 1 т │ │ │ │ │ │ │ │ │
Лебедки │037.2 │0,555│ - │41763│18,9/10,3│ 5 │ 0,0004 │ 0,0046 │ 0,622
фрикционные, │ │ │ │ │ │ │ │ │
однобарабанные с │ │ │ │ │ │ │ │ │
тяговым усилием │ │ │ │ │ │ │ │ │
0,5 - 1,25 т │ │ │ │ │ │ │ │ │
Лебедки │037.3 │0,555│ - │41763│18,9/10,3│ 5 │ 0,0004 │ 0,0054 │ 0,622
двухбарабанные с │ │ │ │ │ │ │ │ │
тяговым усилием │ │ │ │ │ │ │ │ │
1,25 - 5 т │ │ │ │ │ │ │ │ │
Лебедки │037.4 │0,555│ - │41763│18,9/10,3│ 5 │ 0,0004 │ 0,0062 │ 0,622
трехбарабанные │ │ │ │ │ │ │ │ │
с тяговым усилием │ │ │ │ │ │ │ │ │
3 - 5 т │ │ │ │ │ │ │ │ │
Лебедки монтажные │037.5 │0,493│ - │41763│18,9/10,3│ 5 │ 0,0004 │ 0,0054 │ 0,622
однобарабанные с │ │ │ │ │ │ │ │ │
тяговым усилием │ │ │ │ │ │ │ │ │
3 - 5 т │ │ │ │ │ │ │ │ │
Лебедки монтажные │037.6 │0,493│ - │41763│18,9/10,3│ 5 │ 0,0004 │ 0,0068 │ 0,622
с тяговым усилием │ │ │ │ │ │ │ │ │
8 - 15 т │ │ │ │ │ │ │ │ │
Машины для очистки │038 │0,702│ - │42010│12,0/5,3 │ 8 │ 0,0092 │ 0,1080 │ 0,625
и разделки трещин │ │ │ │ │ │ │ │ │
Машины для │039 │0,555│ - │42110│16,0/8,3 │ 6 │ 0,0097 │ 0,1509 │ 0,625
приготовления │ │ │ │ │ │ │ │ │
и распределения │ │ │ │ │ │ │ │ │
шлаков │ │ │ │ │ │ │ │ │
Машины для │040 │0,790│ 1 │42102│12,0/7,0 │ 8 │ 0,0097 │ 0,1569 │ 0,625
устранения │ │ │----- │ │ │ │ │ │
неровностей │ │ │0,625 │ │ │ │ │ │
│ │ │ │ │ │ │ │ │
Машины для │041 │0,702│ 1 │42108│16,0/5,2 │ 6 │ 0,0127 │ 0,216 │ 0,755
устройства полос │ │ │----- │ │ │ │ │ │
уширения │ │ │0,436 │ │ │ │ │ │
│ │ │ │ │ │ │ │ │
Машины для │042 │0,790│ 1 │49010│10,0/4,2 │ 10 │ 0,0085 │ 0,1533 │ 0,755
укрепления откосов │ │ │----- │ │ │ │ │ │
│ │ │0,702 │ │ │ │ │ │
Монтажные машины │043.1 │0,702│ - │41749│12,0/7,5 │ 8 │ 0,007 │ 0,1233 │ 0,755
с шарнирной стрелой│ │ │ │ │ │ │ │ │
ММТС-2 СТ на базе │ │ │ │ │ │ │ │ │
трактора мощностью │ │ │ │ │ │ │ │ │
до 55 кВт (75 л.с.)│ │ │ │ │ │ │ │ │
То же, МШТС-2А на │043.2 │0,702│ - │41749│12,0/7,5 │ 8 │ 0,005 │ 0,1230 │ 0,755
базе автомобиля ЗИЛ│ │ │ │ │ │ │ │ │
Насосы диафрагмовые│044.1 │0,493│ - │41506│13,0/5,0 │ 3 │ 0,0135 │ 0,0125 │ 0,625
с электроприводом │ │ │ │ │ │ │ │ │
производительностью│ │ │ │ │ │ │ │ │
до 25 м3/ч │ │ │ │ │ │ │ │ │
Насосы │044.2 │0,493│ - │41503│11,1/8,0 │ 9 │ 0,0147 │ 0,0262 │ 0,625
самозасасывающие │ │ │ │ │ │ │ │ │
центробежные с │ │ │ │ │ │ │ │ │
электроприводом │ │ │ │ │ │ │ │ │
производительностью│ │ │ │ │ │ │ │ │
до 35 м3/ч │ │ │ │ │ │ │ │ │
То же, │044.3 │0,493│ - │41503│11,1/8,0 │ 9 │ 0,015 │ 0,0345 │ 0,625
36 - 120 м3/ч │ │ │ │ │ │ │ │ │
Насосы │044.4 │0,493│ - │41503│11,1/8,0 │ 9 │ 0,0147 │ 0,0300 │ 0,625
самовсасывающие │ │ │ │ │ │ │ │ │
центробежные │ │ │ │ │ │ │ │ │
с приводом от │ │ │ │ │ │ │ │ │
двигателя │ │ │ │ │ │ │ │ │
внутреннего │ │ │ │ │ │ │ │ │
сгорания │ │ │ │ │ │ │ │ │
производительностью│ │ │ │ │ │ │ │ │
до 35 м3/ч │ │ │ │ │ │ │ │ │
То же, │044.5 │0,493│ - │41503│11,1/8,0 │ 9 │ 0,0163 │ 0,0405 │ 0,625
36 - 120 м3/ч │ │ │ │ │ │ │ │ │
Оборудование для │045 │0,790│ 1 │41822│12,0/12,0│ 8 │ 0,0140 │ 0,4000 │ 0,720
очистки каналов │ │ │----- │ │ │ │ │ │
к одноковшовым │ │ │0,625 │ │ │ │ │ │
экскаваторам │ │ │ │ │ │ │ │ │
Планировщики с │046.1 │0,702│ - │42113│16,0/8,0 │ 6 │ 0,0864 │ 0,1560 │ 0,720
тракторами класса │ │ │ │ │ │ │ │ │
3 т │ │ │ │ │ │ │ │ │
То же, 10 т │046.2 │0,702│ - │42113│16,0/8,0 │ 6 │ 0,0946 │ 0,1870 │ 0,720
То же, 15 т │046.3 │0,790│ - │42113│16,0/8,0 │ 6 │ 0,1120 │ 0,2580 │ 0,720
Погрузчики │047.1 │0,625│ - │41830│13,7/16,0│ 7 │ 0,0069 │ 0,1181 │ 0,755
одноковшовые │ │ │ │ │ │ │ │ │
на базе тракторов │ │ │ │ │ │ │ │ │
класса 3 т (Т-74, │ │ │ │ │ │ │ │ │
ДТ-75) │ │ │ │ │ │ │ │ │
То же, класса 10 т │047.2 │0,625│ - │41831│12,0/14,0│ 8 │ 0,0072 │ 0,1373 │ 0,755
(Т-100М, Т-130) │ │ │ │ │ │ │ │ │
То же, класса 15 т │047.3 │0,702│ - │41832│12,0/10,6│ 8 │ 0,0082 │ 0,2025 │ 0,755
(Т-140, Т-180) │ │ │ │ │ │ │ │ │
Погрузчики │047.4 │0,702│ - │41746│10,0/12,0│ 10 │ 0,0065 │ 0,1053 │ 0,755
одноковшовые на │ │ │ │ │ │ │ │ │
пневмоколесном ходу│ │ │ │ │ │ │ │ │
грузоподъемностью │ │ │ │ │ │ │ │ │
до 2 т │ │ │ │ │ │ │ │ │
То же, 3 т │047.5 │0,702│ - │40610│11,1/5,5 │ 8 │ 0,0065 │ 0,1192 │ 0,755
То же, 4 т │047.6 │0,702│ - │40610│11,1/5,5 │ 8 │ 0,0071 │ 0,1331 │ 0,755
Погрузчики │048.1 │0,702│ - │41741│16,0/9,6 │ 6 │ 0,0062 │ 0,0952 │ 0,720
многоковшовые на │ │ │ │ │ │ │ │ │
пневмоколесном ходу│ │ │ │ │ │ │ │ │
Погрузчики │048.2 │0,702│ - │41746│10,0/12,0│ 10 │ 0,0065 │ 0,1045 │ 0,720
многоковшовые │ │ │ │ │ │ │ │ │
на гусеничном ходу │ │ │ │ │ │ │ │ │
Подъемники │049.1 │0,555│ - │41747│19,2/4,6 │ 5 │ 0,0038 │ 0,0073 │ 0,679
строительные │ │ │ │ │ │ │ │ │
мачтовые │ │ │ │ │ │ │ │ │
грузоподъемностью │ │ │ │ │ │ │ │ │
320 кг │ │ │ │ │ │ │ │ │
То же, 500 кг │049.2 │0,555│ - │41747│19,2/4,6 │ 5 │ 0,0041 │ 0,0084 │ 0,679
Плитоукладчики для │050 │0,702│ 1 │42005│19,2/4,0 │ 5 │ 0,008 │ 0,148 │ 0,755
облицовки каналов │ │ │----- │ │ │ │ │ │
сборным бетоном │ │ │0,625 │ │ │ │ │ │
Профилировщики │051 │0,790│ - │42113│16,0/8,0 │ 6 │ 0,0434 │ 0,0682 │ 0,755
основания │ │ │ │ │ │ │ │ │
(самоходные) │ │ │ │ │ │ │ │ │
производительностью│ │ │ │ │ │ │ │ │
до 48 м/ч │ │ │ │ │ │ │ │ │
Разгрузчики и │052 │0,625│ - │41508│ 8,2/1,9 │ 8 │ 0,0129 │ 0,0346 │ 0,625
подъемники цемента │ │ │ │ │ │ │ │ │
пневматические │ │ │ │ │ │ │ │ │
Разгрузчики │053 │0,702│ - │41740│12,0/8,0 │ 8 │ 0,0052 │ 0,0658 │ 0,625
нерудных материалов│ │ │ │ │ │ │ │ │
Распределители │054 │0,702│ - │42110│16,0/8,3 │ 6 │ 0,0052 │ 0,0658 │ 0,755
каменной мелочи │ │ │ │ │ │ │ │ │
Растворонасосы │055.1 │0,555│ - │42002│15,3/6,3 │ 6 │ 0,0044 │ 0,0154 │ 0,679
производительностью│ │ │ │ │ │ │ │ │
10 м3/ч │ │ │ │ │ │ │ │ │
Растворонасосы │055.2 │0,555│ - │42002│15,3/6,3 │ 6 │ 0,0044 │ 0,0171 │ 0,679
производительностью│ │ │ │ │ │ │ │ │
20 м3/ч │ │ │ │ │ │ │ │ │
То же, 40 м3/ч │055.3 │0,555│ - │42002│15,3/6,3 │ 6 │ 0,0029 │ 0,0131 │ 0,679
Растворосмесители │056.1 │0,555│ - │42001│11,0/9,8 │ 8 │ 0,0012 │ 0,0009 │ 0,679
вместимостью │ │ │ │ │ │ │ │ │
30 - 65 л │ │ │ │ │ │ │ │ │
То же, 125 - 250 л │056.2 │0,555│ - │42001│11,0/9,8 │ 8 │ 0,0098 │ 0,0019 │ 0,679
То же, 400 л │056.3 │0,625│ - │42001│11,0/9,8 │ 8 │ 0,0010 │ 0,0035 │ 0,679
То же, 800 л │056.4 │0,625│ - │42001│11,0/9,8 │ 8 │ 0,0040 │ 0,0136 │ 0,679
То же, 1200 л │056.5 │0,625│ - │42001│11,0/9,8 │ 8 │ 0,0047 │ 0,028 │ 0,679
Рыхлители на базе │057.1 │0,702│ - │41842│16,0/5,8 │ 6 │ 0,0184 │ 0,3329 │ 0,625
тракторов класса │ │ │ │ │ │ │ │ │
10 т │ │ │ │ │ │ │ │ │
То же, 15 т │057.2 │0,790│ - │41842│16,0/5,8 │ 6 │ 0,0206 │ 0,4737 │ 0,625
То же, 25 т │057.3 │0,790│ - │41842│16,0/5,8 │ 6 │ 0,0224 │ 0,633 │ 0,625
Дизель-молоты │058.1 │0,790│ - │42201│24,0/7,0 │ 4 │ 0,0135 │ 0,0325 │ 0,625
свайные с массой │ │ │ │ │ │ │ │ │
ударной части │ │ │ │ │ │ │ │ │
до 1800 кг │ │ │ │ │ │ │ │ │
То же, 2500 кг │058.2 │0,790│ - │42201│24,0/7,0 │ 4 │ 0,0157 │ 0,0450 │ 0,625
Копровые установки │058.3 │ │ │42204│8,2/10,0 │ 12 │ 0,0038 │ 0,0225 │ 0,625
(без молота │ │ │ │ │ │ │ │ │
свайного) │ │ │ │ │ │ │ │ │
Скреперы прицепные │059.1 │0,702│ - │41836│13,7/10,0│ 7 │ 0,0186 │ 0,2796 │ 0,755
с ковшом │ │ │ │ │ │ │ │ │
вместимостью │ │ │ │ │ │ │ │ │
3 - 5 м3 с │ │ │ │ │ │ │ │ │
тракторами класса │ │ │ │ │ │ │ │ │
3 т (Т-74, Т-75, │ │ │ │ │ │ │ │ │
ДТ-75) │ │ │ │ │ │ │ │ │
То же, 8 м3 с │059.2 │0,702│ - │41837│13,7/6,0 │ 7 │ 0,0199 │ 0,3926 │ 0,755
тракторами класса │ │ │ │ │ │ │ │ │
10 т (Т-100М, │ │ │ │ │ │ │ │ │
Т-130) │ │ │ │ │ │ │ │ │
То же, 10 м3 с │059.3 │0,790│ - │41837│13,7/6,0 │ 7 │ 0,0229 │ 0,5648 │ 0,755
тракторами класса │ │ │ │ │ │ │ │ │
15 т (Т-180 │ │ │ │ │ │ │ │ │
и Т-180Г) │ │ │ │ │ │ │ │ │
То же, 15 м3 с │059.4 │0,790│ - │41838│ 9,6/6,0 │ 10 │ 0,0249 │ 0,7215 │ 0,755
тракторами класса │ │ │ │ │ │ │ │ │
25 т (ДЭТ-250 │ │ │ │ │ │ │ │ │
и ДЭТ-250М) │ │ │ │ │ │ │ │ │
Скрепер самоходный │059.5 │0,790│ - │41836│13,7/10,0│ 7 │ 0,0199 │ 0,364 │ 0,755
с одноосным тягачом│ │ │ │ │ │ │ │ │
МАЗ-529Б │ │ │ │ │ │ │ │ │
То же, с одноосным │059.6 │0,790│ - │41837│13,7/6,0 │ 7 │ 0,0170 │ 0,267 │ 0,755
тягачом МоАЗ-546 │ │ │ │ │ │ │ │ │
То же, с одноосным │059.7 │0,790│ - │41838│ 9,6/6,0 │ 10 │ 0,0170 │ 0,333 │ 0,755
тягачом БелАЗ-531 │ │ │ │ │ │ │ │ │
Снегоочистители │069.1 │0,702│ - │49010│ 10/4,2 │ 9 │ 0,0166 │ 0,265 │ 0,755
шнекороторные │ │ │ │ │ │ │ │ │
Снегоочистители │069.2 │0,702│ - │49010│ 10/4,2 │ 9 │ 0,0234 │ 0,375 │ 0,755
газоструйные │ │ │ │ │ │ │ │ │
Тракторы │061.1 │0,625│ - │40616│12,5/4,5 │ 7 │ 0,0075 │ 0,082 │ 0,625
пневмоколесные Т-40│ │ │ │ │ │ │ │ │
и Т-40А │ │ │ │ │ │ │ │ │
Тракторы "Беларусь"│061.2 │0,625│ - │40616│12,5/4,5 │ 7 │ 0,0098 │ 0,1102 │ 0,625
и ЮМЗ всех │ │ │ │ │ │ │ │ │
модификаций │ │ │ │ │ │ │ │ │
Тракторы Т-150 │061.3 │0,625│ - │40612│12,5/6,0 │ 7 │ 0,0129 │ 0,1549 │ 0,625
и Т-150К │ │ │ │ │ │ │ │ │
Тракторы К-700, │061.4 │0,702│ - │40610│11,1/5,5 │ 8 │ 0,0149 │ 0,2559 │ 0,755
К-701, К-702 │ │ │ │ │ │ │ │ │
Тракторы гусеничные│061.5 │0,702│ - │40613│12,5/5,0 │ 7 │ 0,0131 │ 0,2117 │ 0,755
Т-74, ДТ-75 │ │ │ │ │ │ │ │ │
Тракторы гусеничные│061.6 │0,702│ - │40609│11,1/6,0 │ 8 │ 0,0154 │ 0,2832 │ 0,755
Т-100М, Т-130 и их │ │ │ │ │ │ │ │ │
модификации │ │ │ │ │ │ │ │ │
Тракторы гусеничные│061.7 │0,702│ - │40611│12,5/5,5 │ 7 │ 0,0189 │ 0,3129 │ 0,755
Т-4, Т-4М │ │ │ │ │ │ │ │ │
Т-140, Т-180 │061.8 │0,790│ - │40609│11,1/9,0 │ 8 │ 0,0204 │ 0,4944 │ 0,755
и Т-180Г │ │ │ │ │ │ │ │ │
ДЭТ-250 и ДЭТ-250М │061.9 │0,790│ - │40609│11,1/9,0 │ 8 │ 0,0228 │ 0,6615 │ 0,755
Трамбовочные машины│062 │0,790│ - │41828│11,2/7,2 │ 8 │ 0,010 │ 0,1910 │ 0,625
Транспортеры │063.1 │0,493│ - │41828│11,2/7,2 │ 8 │ 0,00605 │ 0,00654 │ 0,625
ленточные │ │ │ │ │ │ │ │ │
передвижные длиной │ │ │ │ │ │ │ │ │
5 м │ │ │ │ │ │ │ │ │
То же, 10 м │063.2 │0,493│ - │41828│11,2/7,2 │ 8 │ 0,00635 │ 0,01067 │ 0,625
То же, 15 м │064.1 │0,493│ - │41731│19,2/5,7 │ 5 │ 0,0664 │ 0,01476 │ 0,625
Транспортеры │064.2 │0,493│ - │41731│19,2/5,7 │ 5 │ 0,00707 │ 0,01938 │ 0,625
ленточные │ │ │ │ │ │ │ │ │
звеньевые длиной │ │ │ │ │ │ │ │ │
до 40 м │ │ │ │ │ │ │ │ │
То же, 80 м │064.3 │0,493│ - │41731│19,2/5,7 │ 5 │ 0,00778 │ 0,02297 │ 0,625
То же, свыше 200 м │064.4 │0,493│ - │41731│19,2/5,7 │ 5 │ 0,00841 │ 0,03198 │ 0,625
Транспортеры │064.5 │0,493│ - │41739│10,0/11,8│ 10 │ 0,00625 │ 0,0090 │ 0,625
шнековые диаметром │ │ │ │ │ │ │ │ │
300 - 500 мм длиной│ │ │ │ │ │ │ │ │
до 8 м │ │ │ │ │ │ │ │ │
То же, до 16 м │064.6 │0,493│ - │41739│10,0/11,8│ 10 │ 0,00676 │ 0,01373 │ 0,625
То же, до 32 м │064.7 │0,493│ - │41739│10,0/11,8│ 10 │ 0,00738 │ 0,01906 │ 0,625
Трубоочистные │064.1 │0,702│ - │43803│19,4/19,7│ 5 │ 0,0115 │ 0,0870 │ 0,625
машины с двигателем│ │ │ │ │ │ │ │ │
мощностью до │ │ │ │ │ │ │ │ │
29,4 кВт (40 л.с.) │ │ │ │ │ │ │ │ │
(ОМ-14, ОМЛ-8А) │ │ │ │ │ │ │ │ │
То же, │064.2 │0,702│ - │43803│19,4/19,7│ 5 │ 0,0125 │ 0,139 │ 0,755
47,8 - 55,2 кВт │ │ │ │ │ │ │ │ │
(65 - 75 л.с.) │ │ │ │ │ │ │ │ │
ОМЛ-10, ОМ-521 │ │ │ │ │ │ │ │ │
То же, │064.3 │0,790│ - │43804│16,2/12,9│ 6 │ 0,0135 │ 0,167 │ 0,755
73,6 - 95,7 кВт │ │ │ │ │ │ │ │ │
(100 - 130 л.с.) │ │ │ │ │ │ │ │ │
ОМ-1422 │ │ │ │ │ │ │ │ │
То же, │064.4 │0,790│ - │43805│ 14/10,8 │ 7 │ 0,0146 │ 0,148 │ 0,755
128,8 - 147,2 кВт │ │ │ │ │ │ │ │ │
(175 - 200 л.с.) │ │ │ │ │ │ │ │ │
(ОМЛ-12; ОМЛ-121) │ │ │ │ │ │ │ │ │
Трубоизоляционные │065.1 │0,702│ - │43806│24,5/21,1│ 4 │ 0,0055 │ 0,0342 │ 0,625
машины самоходные │ │ │ │ │ │ │ │ │
с двигателем │ │ │ │ │ │ │ │ │
мощностью до 29 кВт│ │ │ │ │ │ │ │ │
(40 л.с.) │ │ │ │ │ │ │ │ │
То же, 55 кВт │065.2 │0,702│ - │43806│24,5/21,1│ 4 │ 0,0059 │ 0,0696 │ 0,625
(75 л.с.) │ │ │ │ │ │ │ │ │
Трубоукладчики │066.1 │0,702│ - │41850│10,0/11,7│ 9 │ 0,0102 │ 0,1779 │ 0,755
гусеничные │ │ │ │ │ │ │ │ │
грузоподъемностью │ │ │ │ │ │ │ │ │
до 6,3 т │ │ │ │ │ │ │ │ │
То же, 10 - 12,5 т │066.2 │0,790│ - │41750│10,0/11,7│ 9 │ 0,0112 │ 0,1847 │ 0,755
То же, 15 - 20 т │066.3 │0,790│ - │41750│10,0/11,7│ 9 │ 0,0145 │ 0,4421 │ 0,755
То же, 25 - 35 т │066.4 │0,790│ - │41843│13,5/8,1 │ 7 │ 0,0187 │ 0,3247 │ 0,625
Траншеезасыпатели │067 │ │ - │41843│13,5/8,1 │ 7 │ 0,0187 │ 0,3247 │ 0,625
Фрезы дорожные │068 │ │ │42112│ 19,2/- │ 5 │ 0,007 │ 0,140 │ 0,755
(без трактора) │ │ │ │ │ │ │ │ │
Экскаваторы │069.1 │0,702│ - │41806│12,0/8,0 │ 8 │ 0,0144 │ 0,3627 │ 0,755
одноковшовые │ │ │ │ │ │ │ │ │
с механическим │ │ │ │ │ │ │ │ │
приводом на │ │ │ │ │ │ │ │ │
пневмоколесном │ │ │ │ │ │ │ │ │
ходу 3-й размерной │ │ │ │ │ │ │ │ │
группы, с ковшом │ │ │ │ │ │ │ │ │
вместимостью 0,4 м3│ │ │ │ │ │ │ │ │
Экскаваторы │069.2 │0,702│ - │41801│12,0/7,0 │ 8 │ 0,0144 │ 0,3636 │ 0,755
механические │ │ │ │ │ │ │ │ │
одноковшовые на │ │ │ │ │ │ │ │ │
гусеничном ходу, │ │ │ │ │ │ │ │ │
3-й размерной │ │ │ │ │ │ │ │ │
группы с ковшом │ │ │ │ │ │ │ │ │
вместимостью 0,4 м3│ │ │ │ │ │ │ │ │
То же, 4-й │069.3 │0,790│ 0,5 │41802│10,7/7,0 │ 9 │ 0,0142 │ 0,4014 │ 0,755
размерной группы с │ │ │----- │ │ │ │ │ │
ковшом вместимостью│ │ │0,395 │ │ │ │ │ │
0,65 м3 │ │ │ │ │ │ │ │ │
То же, 5-й │069.4 │0,790│ 0,5 │41803│ 9,6/7,0 │ 10 │ 0,0158 │ 0,4984 │ 0,755
размерной группы с │ │ │----- │ │ │ │ │ │
ковшом вместимостью│ │ │0,395 │ │ │ │ │ │
1 м3 │ │ │ │ │ │ │ │ │
То же, 6-й │069.5 │0,790│ 0,5 │41804│ 8,1/6,9 │ 12 │ 0,0169 │ 0,5737 │ 0,755
размерной группы с │ │ │----- │ │ │ │ │ │
ковшом вместимостью│ │ │0,395 │ │ │ │ │ │
1,25 - 1,6 м3 │ │ │ │ │ │ │ │ │
То же, 7-й │069.6 │0,790│ 1 │41804│ 8,1/6,9 │ 12 │ 0,0217 │ 0,6543 │ 0,755
размерной группы с │ │ │----- │ │ │ │ │ │
ковшом вместимостью│ │ │0,702 │ │ │ │ │ │
2 - 2,5 м3 │ │ │ │ │ │ │ │ │
Экскаваторы │069.7 │0,702│ - │41805│12,0/10,0│ 8 │ 0,0124 │ 0,2322 │ 0,755
одноковшовые с │ │ │ │ │ │ │ │ │
гидравлическим │ │ │ │ │ │ │ │ │
приводом на базе │ │ │ │ │ │ │ │ │
пневмоколесного │ │ │ │ │ │ │ │ │
трактора с ковшом │ │ │ │ │ │ │ │ │
вместимостью │ │ │ │ │ │ │ │ │
0,25 м3 │ │ │ │ │ │ │ │ │
Экскаваторы │069.8 │0,790│ - │41807│10,7/5,0 │ 9 │ 0,01147 │ 0,235 │ 0,755
одноковшовые │ │ │ │ │ │ │ │ │
с гидравлическим │ │ │ │ │ │ │ │ │
приводом на │ │ │ │ │ │ │ │ │
пневмоходу 3-й │ │ │ │ │ │ │ │ │
размерной группы с │ │ │ │ │ │ │ │ │
ковшом вместимостью│ │ │ │ │ │ │ │ │
0,4 - 0,65 м3 │ │ │ │ │ │ │ │ │
Экскаваторы │069.9 │0,790│ 0,5 │41803│ 9,6/7,0 │ 10 │ 0,0121 │ 0,3019 │ 0,755
одноковшовые с │ │ │----- │ │ │ │ │ │
гидравлическим │ │ │0,395 │ │ │ │ │ │
приводом на │ │ │ │ │ │ │ │ │
гусеничном ходу 4-й│ │ │ │ │ │ │ │ │
размерной группы с │ │ │ │ │ │ │ │ │
ковшом вместимостью│ │ │ │ │ │ │ │ │
0,65 - 1,25 м3 │ │ │ │ │ │ │ │ │
То же, 5-й │069.10│0,790│ 0,5 │41803│ 9,6/7,0 │ 10 │ 0,01287 │ 0,3641 │ 0,755
размерной группы с │ │ │----- │ │ │ │ │ │
ковшом вместимостью│ │ │0,395 │ │ │ │ │ │
1,25 - 2 м3 │ │ │ │ │ │ │ │ │
То же, 6-й │069.11│0,790│ 1 │41803│ 9,6/7,0 │ 10 │ 0,01467 │ 0,4383 │ 0,755
размерной группы с │ │ │----- │ │ │ │ │ │
ковшом вместимостью│ │ │0,702 │ │ │ │ │ │
1,6 - 3,2 м3 │ │ │ │ │ │ │ │ │
Экскаваторы │070.1 │0,702│ - │41817│16,0/7,0 │ 6 │ 0,00977 │ 0,1514 │ 0,755
многоковшовые │ │ │ │ │ │ │ │ │
траншейные цепные │ │ │ │ │ │ │ │ │
с глубиной копания │ │ │ │ │ │ │ │ │
до 1,6 м │ │ │ │ │ │ │ │ │
То же, 1,7 - 2 м │070.2 │0,790│ 1 │41817│16,0/7,0 │ 6 │ 0,01258 │ 0,1624 │ 0,755
│ │ │----- │ │ │ │ │ │
│ │ │0,702 │ │ │ │ │ │
│ │ │ │ │ │ │ │ │
То же, 2,5 м │070.3 │0,790│ 1 │41817│16,0/7,0 │ 6 │ 0,01082 │ 0,919 │ 0,755
и более │ │ │----- │ │ │ │ │ │
│ │ │0,702 │ │ │ │ │ │
│ │ │ │ │ │ │ │ │
Траншейные, │070.4 │0,790│ 1 │41818│12,0/7,0 │ 8 │ 0,01382 │ 0,3856 │ 0,755
роторные с глубиной│ │ │----- │ │ │ │ │ │
копания до 1,6 м │ │ │0,702 │ │ │ │ │ │
│ │ │ │ │ │ │ │ │
То же, 1,7 - 2 м │070.5 │0,790│ 1 │41818│12,0/7,0 │ 8 │ 0,01535 │ 0,4918 │ 0,755
│ │ │----- │ │ │ │ │ │
│ │ │0,702 │ │ │ │ │ │
│ │ │ │ │ │ │ │ │
То же, свыше 2 м │070.6 │0,790│ 1 │41818│12,0/7,0 │ 8 │ 0,01619 │ 0,5478 │ 0,755
│ │ │----- │ │ │ │ │ │
│ │ │0,702 │ │ │ │ │ │
Элеваторы цепные │071.1 │0,555│ - │41739│10,0/11,8│ 10 │ 0,01229 │ 0,01593 │ 0,625
вертикальные с │ │ │ │ │ │ │ │ │
наибольшей высотой │ │ │ │ │ │ │ │ │
подъема 10 м │ │ │ │ │ │ │ │ │
То же, 18 м │071.2 │0,555│ - │41739│10,0/11,8│ 10 │ 0,01312 │ 0,02916 │ 0,625
Элеваторы цепные с │071.3 │0,555│ - │41739│10,0/11,8│ 10 │ 0,01312 │ 0,02916 │ 0,625
наибольшей высотой │ │ │ │ │ │ │ │ │
подъема 10 м │ │ │ │ │ │ │ │ │
То же, 20 м │071.4 │0,555│ - │41739│10,0/11,8│ 10 │ 0,01375 │ 0,02917 │ 0,625
Элеваторы │071.5 │0,555│ - │41739│10,0/11,8│ 10 │ 0,01167 │ 0,01917 │ 0,625
ленточные │ │ │ │ │ │ │ │ │
вертикальные с │ │ │ │ │ │ │ │ │
наибольшей высотой │ │ │ │ │ │ │ │ │
подъема 17 м │ │ │ │ │ │ │ │ │
То же, 27 м │071.6 │0,555│ - │41739│10,0/11,8│ 10 │ 0,01187 │ 0,03125 │ 0,625
Передвижные │072.1 │0,625│ - │42500│19,0/11,0│ 5 │ 0,0258 │ 0,2014 │ 0,625
сварочные агрегаты │ │ │ │ │ │ │ │ │
с двигателем ГАЗ │ │ │ │ │ │ │ │ │
То же, ЗИЛ │072.2 │0,625│ - │42500│19,4/11,0│ 5 │ 0,0274 │ 0,2517 │ 0,625
То же, ЯАЗ │072.3 │0,625│ - │42500│19,4/11,0│ 5 │ 0,0312 │ 0,350 │ 0,625
мощностью │ │ │ │ │ │ │ │ │
147,2 - 176,6 кВт │ │ │ │ │ │ │ │ │
(200 - 240 л.с.) │ │ │ │ │ │ │ │ │
То же, с двигателем│072.4 │0,625│ - │42500│19,4/11,0│ 5 │ 0,0274 │ 0,2517 │ 0,625
тракторного типа │ │ │ │ │ │ │ │ │
мощностью до 55 кВт│ │ │ │ │ │ │ │ │
(75 л.с.) │ │ │ │ │ │ │ │ │
Электросварочные │072.5 │0,625│ - │42502│16,0/11,0│ 6 │ 0,01387 │ 0,0365 │ 0,625
агрегаты │ │ │ │ │ │ │ │ │
постоянного тока │ │ │ │ │ │ │ │ │
ПС-100 │ │ │ │ │ │ │ │ │
То же, ПС-300 │072.6 │0,625│ - │42502│16,0/11,0│ 6 │ 0,0144 │ 0,0431 │ 0,625
То же, ПС-500 │072.7 │0,625│ - │42502│16,0/11,0│ 6 │ 0,0149 │ 0,0496 │ 0,625
II. Автотранспортные средства
Автобетоновозы │073 │
<***>│ - │50412│15,5/6,5 │ 7 │ - │ - │ 0,755
Авторастворовозы │074 │
<***>│ - │50412│15,5/6,5 │ 7 │ - │ - │ 0,755
Автоцементовозы │075 │
<***>│ - │50412│15,5/6,5 │ 7 │ - │ - │ 0,755
Цементовозы- │076 │
<***>│ - │50412│15,5/6,5 │ 7 │ - │ - │ 0,755
распределители │ │ │ │ │ │ │ │ │
--------------------------------
<*> В числителе - количество человек; в знаменателе - часовая тарифная ставка.
<**> В числителе - на реновацию; в знаменателе - на капитальный ремонт,

равно сумме этих величин.
<***> Часовые тарифные ставки водителей специализированного транспорта принимаются в зависимости от грузоподъемности этого транспорта:
свыше 1,5 т до 3,0 т - 0,539 руб.
свыше 3,0 т до 5,0 т - 0,596 руб.
свыше 5,0 т до 10 т - 0,659 руб.
свыше 10 т до 20 т - 0,729 руб.
Таблица 14
Часовые тарифные ставки машинистов и их помощников,
нормы амортизации средств малой механизации
────────────────────────────────┬────┬────────────┬─────────────────┬──────
Наименование машин │Шифр│ Часовая │ Амортизационные │Норма-
│ │ тарифная │ отчисления │тивный
│ │ставка, руб.│ │срок
│ ├─────┬──────┼───────┬─────────┤службы
│ │маши-│помощ-│ шифр │норма, % │T ,
│ │ниста│ника │ │
<**> │ нс
│ │ │маши- │ │ │лет
│ │ │ниста │ │ │
────────────────────────────────┼────┼─────┼──────┼───────┼─────────┼──────
1 │ 2 │ 3 │ 4 │ 5 │ 6 │ 7
────────────────────────────────┼────┼─────┼──────┼───────┼─────────┼──────
Агрегаты для окраски фасадов │001 │0,555│ - │ 42009 │20,3/14,7│ 4,5
зданий │ │ │ │ │ │
Агрегаты для перекачки битумных │002 │0,555│ - │ 41507 │27,4/22,8│ 3,5
мастик │ │ │ │ │ │
Агрегаты штукатурные │003 │0,555│ - │ 42002 │15,3/6,3 │ 6
Агрегаты шпаклевочные │004 │0,555│ - │ 42009 │20,3/14,7│ 4,5
Аппараты для окраски фасадов │005 │0,555│ - │ 42009 │20,3/14,7│ 4,5
зданий │ │ │ │ │ │
Баки красконагнетательные │006 │ - │ - │ 42009 │20,3/14,7│ 4,5
Вибросита │007 │0,493│ - │ 60000 │50,0/- │ 2
Виброрейки │008 │0,555│ - │ 60000 │50,0/- │ 2
Диспергаторы │009 │0,555│ - │ 42009 │20,3/14,7│ 4,5
Катки для прикатки линолеума │010 │ - │ - │ 60000 │50,0/- │ 2
Клееварки │011 │0,555│ - │ 42001 │11,0/9,8 │ 8
Краскотерки │012 │0,555│ - │ 42006 │15,0/12,4│ 8
Машины для наклейки │013 │0,625│ 1 │ 42103 │32,0/- │ 3
наплавленного рубероида │ │ │----- │ │ │
│ │ │0,493 │ │ │
Машины для нанесения полимерных │014 │0,625│ - │ - │19,2/4,0 │ 5
мастик │ │ │ │ │ │
Машины для нанесения битумных │015 │0,625│ - │ 41507 │27,4/22,8│ 3,5
мастик │ │ │ │ │ │
Машины для нанесения битумных │016 │0,625│ - │ 42004 │25,0/5,3 │ 4
эмульсий │ │ │ │ │ │
Машины для очистки и перемотки │017 │0,555│ - │ - │24,0/5,3 │ 4
рулонных материалов │ │ │ │ │ │
Машины для приготовления │018 │0,555│ - │ 42002 │15,3/6,3 │ 6
и подачи жестких растворов │ │ │ │ │ │
Машины для приготовления и │019 │0,555│ - │ 42002 │15,3/6,3 │ 6
нанесения гипсовых растворов │ │ │ │ │ │
Машины для приклейки пленочных │020 │0,625│ - │ 42005 │19,2/4,0 │ 5
покрытий │ │ │ │ │ │
Машины для раскатки и приклейки │021 │0,555│ - │ 41609 │19,2/5,7 │ 5
рулонных материалов │ │ │ │ │ │
Машины для устройства стяжек │022 │0,555│ - │ 42005 │19,2/4,0 │ 4,5
Машины для сушки основания │023 │0,555│ - │ 42103 │ 32/- │ 3
кровли │ │ │ │ │ │
Машины самоходные │024 │0,555│ - │ 42009 │20,3/14,7│ 4,5
широкозахватные для шлифования │ │ │ │ │ │
бетонных полов │ │ │ │ │ │
Машины самоходные для укладки, │025 │0,555│ - │ 42005 │19,2/4,0 │ 4,5
выравнивания и уплотнения бетона│ │ │ │ │ │
Машины для уборки шлама │026 │0,555│ - │ 42009 │20,3/14,7│ 4,5
Машины для удаления воды │027 │0,555│ - │ 41505 │17,5/5,0 │ 5,5
с основания кровли │ │ │ │ │ │
Машины для устройства защитного │028 │0,625│ 1 │ 42005 │19,2/13,0│ 5
слоя │ │ │----- │ │ │
│ │ │0,493 │ │ │
Мелотерки │029 │0,555│ - │ 42006 │15,0/12,4│ 6
Мешалки для красочных составов │030 │ │ │ 42001 │11,0/9,8 │ 8
Преобразователи частоты │031 │ - │ - │ 40701 │ 3,5/2,9 │ 25
Приспособление для устройства │032 │0,555│ - │ 60000 │50,0/- │ 2
полов из керамических плиток │ │ │ │ │ │
Растворосмесители передвижные │033 │0,555│ - │ 42001 │11,0/9,8 │ 8
Смесители малярных колеров │034 │0,555│ - │ 42001 │11,0/9,8 │ 8
Станки для сверления алмазными │035 │ │ │ │ │ 12
сверлами │ │ │ │ │ │
Станки заточные │036 │ │ │ │ │
Станции штукатурные │ 37 │0,555│ - │ 42002 │15,3/6,3 │ 6
Станки для резки паркетной │ 38 │0,555│ - │ 60000 │50,0/- │ 2
клепки │ │ │ │ │ │
Станции передвижные для │ 39 │0,625│ - │ 50400 │15,0/5,3 │ 6
устройства наливных полимерных │ │ │ │ │ │
цементных полов │ │ │ │ │ │
Станции малярные │040 │0,555│ - │ 42003 │12,0/13,3│ 8
Установка для нанесения жидкой │ 41 │0,555│ - │ 42002 │15,3/6,3 │ 6
шпаклевки │ │ │ │ │ │
Установки компрессорные для │ 42 │0,555│ - │ 41404 │13,5/5,3 │ 7
малярных работ │ │ │ │ │ │
Установки для подачи и нанесения│ 43 │0,555│ - │ - │16,0/10,0│ 6
битумных эмульсий │ │ │ │ │ │
Установки для подачи и нанесения│ 44 │0,555│ - │ 41507 │27,4/22,8│ 3,5
полимерных мастик │ │ │ │ │ │
Устройство для приклейки │ 45 │0,555│ - │ 60000 │50,0/- │ 2
рулонных материалов в местах │ │ │ │ │ │
примыкания │ │ │ │ │ │
Устройства для разогрева │ 46 │0,555│ - │ - │19,2/5,7 │ 5
рубероида │ │ │ │ │ │
Устройства для хранения, │ 47 │ - │ - │ - │25,0/5,3 │ 4
подогрева и подачи мастик │ │ │ │ │ │
на кровлю │ │ │ │ │ │
Устройства загрузочные для │ 48 │0,493│ - │ 41736 │23,7/8,6 │ 4
растворонасосов │ │ │ │ │ │
--------------------------------
<*> В делителе - количество человек; в знаменателе - часовая тарифная ставка.
<**> В числителе - на реновацию, в знаменателе - на капитальный ремонт,

равно сумме этих величин.
Таблица 15
Коэффициент перевода

ресурса в средний ресурс
───────────────────────────────────┬────────┬──────────────────────────────
Вид распределения │гамма-% │ Коэффициент вариации
величины ресурса │ ├─────┬────┬────┬────┬────┬────
│ │ 0,2 │0,25│0,3 │0,4 │0,5 │0,6
───────────────────────────────────┼────────┼─────┼────┼────┼────┼────┼────
Нормальный закон │ 80 │1,20 │1,25│1,30│ │ │
│ 90 │1,35 │1,45│1,60│ │ │
Закон Вейбулла │ 80 │ │ │ │1,54│1,82│2,13
│ 90 │ │ │ │2,00│2,50│3,00
Логарифмически нормальный закон │ 80 │ │ │ │1,50│1,65│ -
│ 90 │ │ │ │1,75│2,05│ -
Примечание. Вид распределения величины ресурса определяется по расчетам надежности и данным эксплуатационной информации, предоставляемым для обоснования

ресурса машин.
Таблица 16
Коэффициенты

, учитывающие снижение заводской
себестоимости изготовления орудий труда
на второй, третий и т.д. годы выпуска
─────────────────────────────────────────────┬─────────────────────────────
Наименование орудий труда │ Годы выпуска
├────┬────┬────┬────┬────┬────
│ 1 │ 2 │ 3 │ 4 │ 5 │ 6
─────────────────────────────────────────────┼────┼────┼────┼────┼────┼────
Строительные и дорожные машины │ 1 │0,95│0,91│0,87│0,84│0,81
в том числе │ │ │ │ │ │
экскаваторы, краны башенные │ 1 │0,93│0,87│0,82│0,78│0,74
бульдозеры, дробилки │ 1 │0,95│0,91│0,87│0,84│0,81
скреперы │ 1 │0,98│0,96│0,95│0,93│0,92
автогрейдеры, бетоносмесители │ 1 │0,96│0,92│0,89│0,86│0,84
Механизированный инструмент │ 1 │0,92│0,86│0,82│0,79│0,76
в том числе │ │ │ │ │ │
для отделочных работ │ 1 │0,93│0,89│0,86│0,85│0,84
Таблица 17
Коэффициенты

, учитывающие снижение
заводской себестоимости изготовления орудий труда
в связи с увеличением серийности их выпуска
────────────────────────┬────┬────┬────┬────┬────┬────┬────┬────┬────┬─────
Количество машин │5 │10 │20 │30 │40 │50 │100 │200 │300 │400
────────────────────────┼────┼────┼────┼────┼────┼────┼────┼────┼────┼─────
Коэффициент изменения │1,0 │0,97│0,93│0,91│0,90│0,89│0,83│0,78│0,75│0,73
себестоимости │ │ │ │ │ │ │ │ │ │
────────────────────────┴────┴────┴────┴────┴────┴────┴────┴────┴────┴─────
────────────────────────┬────┬────┬────┬────┬────┬────┬────┬────┬────┬─────
Количество машин │500 │600 │750 │1000│1500│2000│2500│3000│3500│4000
────────────────────────┼────┼────┼────┼────┼────┼────┼────┼────┼────┼─────
Коэффициент изменения │0,71│0,70│0,68│0,66│0,64│0,62│0,60│0,59│0,57│0,57
себестоимости │ │ │ │ │ │ │ │ │ │
────────────────────────┴────┴────┴────┴────┴────┴────┴────┴────┴────┴─────
────────────────────────┬────┬────┬────┬────┬────┬────┬────┬────┬──────────
Количество машин │4500│5000│5500│6000│6500│7000│8000│9000│10000
────────────────────────┼────┼────┼────┼────┼────┼────┼────┼────┼──────────
Коэффициент изменения │0,57│0,56│0,56│0,56│0,55│0,54│0,54│0,53│0,53
себестоимости │ │ │ │ │ │ │ │ │
────────────────────────┴────┴────┴────┴────┴────┴────┴────┴────┴──────────
Таблица 18
Цена топлива, масел и смазочных материалов
───────────────────┬───────────┬─────────────┬──────────────┬──────────────
Наименование │ГОСТ или ТУ│N позиции │Цена по прейс-│ Объемная
│ │по прейску- │куранту за 1 т│масса, кг/дм3
│ │ранту │массы нетто │
│ │04-02-1980 г.│по I поясу │
│ │ │без стоимости │
│ │ │тары и │
│ │ │упаковки, руб.│
───────────────────┼───────────┼─────────────┼──────────────┼──────────────
1 │ 2 │ 3 │ 4 │ 5
───────────────────┼───────────┼─────────────┼──────────────┼──────────────
ИС МЕГАНОРМ: примечание.
Взамен ГОСТ 305-73 Постановлением Госстандарта СССР от 31.03.1982
N 1386 с 1 января 1983 года введен в действие ГОСТ 305-82.
Топливо дизельное │305-73 │ 1-013 │ 68-00 │0,790 - 0,825
зимнее северное │с Изм. N 3 │ │ │
ЗС-0,2 │ │ │ │
То же, ЗС-0,5 │305-73 │ 1-014 │ 66-00 │0,790 - 0,825
│с Изм. N 3 │ │ │
Топливо дизельное │305-73 │ 1-017 │ 68-00 │0,790 - 0,825
летнее Л-0,2 │с Изм. N 3 │ │ │
ИС МЕГАНОРМ: примечание.
Наименование дано в соответствии с официальным текстом документа.
То же, Л-05 │305-73 │ 1-018 │ 66-00 │0,790 - 0,825
│с Изм. N 3 │ │ │
Топливо для │4749-73 │ 1-019 │ 80-00 │0,790 - 0,825
быстроходных │с Изм. N 1 │ │ │
дизелей ДА │ │ │ │
То же, ДЗ │4749-73 │ 1-020 │ 76-00 │0,790 - 0,825
│с Изм. N 1 │ │ │
То же, ДС высшей │4749-73 │ 1-021 │ 74-00 │0,790 - 0,825
категории качества │с Изм. N 1 │ │ │
То же, ДС │4749-73 │ 1-022 │ 74-00 │0,790 - 0,825
│с Изм. N 1 │ │ │
То же, ДЛ │4749-73 │ 1-023 │ 68-00 │0,790 - 0,825
│с Изм. N 1 │ │ │
Топливо дизельное │ТУ │ 1-024 │ 69-00 │0,790 - 0,825
экспортное летнее │38001162-73│ │ │
ДЛЭ высшей │с Изм. N 5 │ │ │
категории качества │ │ │ │
Топливо дизельное │ТУ │ 1-027 │ 76-00 │0,790 - 0,825
экспортное зимнее │38001162-73│ │ │
ДЗЭ │с Изм. N 5 │ │ │
Керосин для │18499-73 │ 2-006 │ 63-00 │ 0,815
технических целей │с Изм. N 1 │ │ │
Масла моторные │ │ │ │
автомобильные для │ │ │ │
карбюраторных │ │ │ │
двигателей: │ │ │ │
М-8А │10541-78 │ 4-016 │ 225-00 │ 0,895
М-8Б │10541-78 │ 4-017 │ 235-00 │ 0,895
1 │ │ │ │
М-8В │10541-78 │ 4-018 │ 265-00 │ 0,895
1 │ │ │ │
М-8Г │10541-78 │ 4-019 │ 580-00 │ 0,948
1 │ │ │ │
М-6 /10Г │10541-78 │ 4-020 │ 770-00 │ 0,948
з 1 │ │ │ │
М-12Г │10541-78 │ 4-021 │ 555-00 │ 0,948
1 │ │ │ │
Масло автомобильное│ТУ │ 4-025 │ 255-00 │ 0,948
АСЗп-10 │38101267-72│ │ │
│с Изм. N 1 │ │ │
Масла моторные для │ │ │ │
автотракторных │ │ │ │
дизелей: │ │ │ │
М-8В │8581-78 │ 4-029 │ 270-00 │ 0,895
2 │ │ │ │
М-10В │8581-78 │ 4-030 │ 290-00 │ 0,905
2 │ │ │ │
М-8Г │8581-78 │ 4-031 │ 295-00 │ 0,895
2 │ │ │ │
М-10Г │8581-78 │ 4-032 │ 305-00 │ 0,890
2 │ │ │ │
М-М-8Г к │8581-78 │ 4-033 │ 500-00 │ 0,895
2 │ │ │ │
М-10Г к │8581-78 │ 4-034 │ 480-00 │ 0,890
2 │ │ │ │
Масло моторное │ТУ │ 4-044 │ 230-00 │ 0,900
М-12Б │38101264-72│ │ │
│с Изм. N 2 │ │ │
Масло МТ-14П │6360-58 │ 4-051 │ 255-00 │ 0,905
│с Изм. N 2 │ │ │
Масло МТ-16П │6360-58 │ 4-052 │ 255-00 │ 0,905
│с Изм. N 2 │ │ │
Масло МТ-16П │ТУ │ 4-053 │ 260-00 │ 0,905
│38001117-73│ │ │
│с Изм. N 6 │ │ │
Масла │23652-79 │ 4-072 │ 285-00 │ 0,910
трансмиссионные │ │ │ │
ТСп-14 │ │ │ │
ТСп-10 │23652-79 │ 4-073 │ 270-00 │ 0,910
ТСп-14,5 │23652-79 │ 4-074 │ 300-00 │ 0,910
ТАП-15В │23652-79 │ 4-076 │ 200-00 │ 0,910
ТЭп-15 │23652-79 │ 4-078 │ 135-00 │ 0,910
ИС МЕГАНОРМ: примечание.
Взамен ГОСТ 20799-75 Постановлением Госстандарта СССР от 29.09.1988
Масла │20799-75 │ 4-084 │ 170-00 │ 0,885
индустриальные │ │ │ │
И-30А │ │ │ │
И-40А │20799-75 │ 4-085 │ 170-00 │ 0,885
Масло компрессорное│1861-73 │ 4-108 │ 210-00 │ 0,890
К-12 │ │ │ │
К-19 │1861-73 │ 4-109 │ 260-00 │ 0,890
КС-19 │9243-75 │ 4-110 │ 260-00 │ 0,890
Масло │ТУ │ 4-119 │ 300-00 │ 0,875
трансформаторное │38101226-78│ │ │
Т-1500 │ │ │ │
Т-750 │5.1710-72 │ 4-120 │ 280-00 │ 0,875
│с Изм. N 1 │ │ │
Масло │982-68 │ 4-122 │ 215-00 │ 0,875
трансформаторное ТК│с Изм. N 3 │ │ │
Масло всесезонное │ТУ 38 │ 4-128 │ 710-00 │ 0,865
гидравлическое ВМГЗ│101479-74 │ │ │
Масло АМГ-10 │6794-75 │ 4-129 │ 600-00 │ 0,865
Масла │ТУ 38 │ 4-135 │ 190-00 │ 0,885
гидравлические │10150-79 │ │ │
для гидроприводов │ │ │ │
объемного типа │ │ │ │
МГ-20, МГ-30 │ │ │ │
Масло веретенное АУ│1642-75 │ 4-136 │ 200-00 │ 0,886
│с Изм. N 2 │ │ │
Масла веретенные АУ│ТУ 38 │ 4-137 │ 200-00 │ 0,886
│101586-75 │ │ │
Смазка солидол │
4366-76 │ 5-001 │ 215-00 │ -
синтетический │с Изм. N 1 │ │ │
марки пресс-солидол│ │ │ │
"С" │ │ │ │
То же, марки │
4366-76 │ 5-002 │ 215-00 │ -
солидол "С" │с Изм. N 1 │ │ │
Смазка ВНИИ НП-242 │20421-75 │ 5-007 │ 4000-00 │ -
ИС МЕГАНОРМ: примечание.
Взамен ГОСТ 21150-75 Постановлением Госстандарта СССР от 1.12.1987
Смазка Литол-24 │21150-75 │ 5-010 │ 1055-00 │ -
│с Изм. N 1 │ │ │
Смазка ЦИАТИМ-201 │6267-74 │ 5-037 │ 600-00 │ -
Смазка ЦИАТИМ-203 │8773-73 │ 5-039 │ 950-00 │ -
│с Изм. N 1 │ │ │
Смазка ЦИАТИМ-202 │
11110-75 │ 5-041 │ 620-00 │ -
Смазка канатная │ТУ 38 УССР │ 5-053 │ 210-00 │ -
N 39 у │201-335-80 │ │ │
Бензин │2084-67 │ пр-нт 083 │ 390-00 │0,715 - 0,725
автомобильный А-76 │ │ │ │
То же, А-72 │2084-67 │ пр-нт 083 │ 390-00 │0,710 - 0,720
То же, А-66 │2084-67 │ пр-нт 083 │ 312-00 │0,710 - 0,720
(для пусковых │ │ │ │
двигателей) │ │ │ │
Таблица 19
Коэффициент (

<*>), учитывающий изменение
расхода топлива в зависимости от коэффициента
использования двигателей по мощности
--------------------------------
<*> При отсутствии значения K в таблице его определяют на основании регулярной характеристики двигателя.
──────────┬───────┬───────────┬─────────────────────────────────────────────────────
Модель │Номи- │ Удельный │ Значение K при соответствующих значениях K
двигателя │нальная│ расход │ дм
│мощ- │ топлива, ├─────┬─────┬─────┬─────┬─────┬─────┬─────┬─────┬─────
│ность, │г/л.с. в ч │ 0,4 │0,45 │ 0,5 │0,55 │ 0,6 │0,66 │ 0,7 │ 0,8 │ 0,9
│л.с. │ │ │ │ │ │ │ │ │ │
──────────┼───────┼───────────┼─────┼─────┼─────┼─────┼─────┼─────┼─────┼─────┼─────
1 │ 2 │ 3 │ 4 │ 5 │ 6 │ 7 │ 8 │ 9 │ 10 │ 11 │ 12
──────────┴───────┴───────────┴─────┴─────┴─────┴─────┴─────┴─────┴─────┴─────┴─────
Тракторные дизели
Д-37М │ 40 │ 185 │1,19 │1,14 │1,09 │1,06 │1,025│1,0 │0,97 │0,94 │0,93
Д-48 │ 50 │ 200 │1,30 │1,25 │1,18 │1,14 │1,10 │1,075│1,04 │1,01 │1,0
Д-54 │ 54 │ 220 │1,195│1,16 │1,09 │1,05 │1,03 │1,07 │0,97 │0,94 │0,92
Д-50 │ 55 │ 195 │ - │ - │ - │ - │ - │ - │1,035│1,015│0,98
Д-75 │ 75 │ 198 │1,30 │1,22 │1,18 │1,13 │1,10 │1,08 │1,05 │1,01 │0,935
СМД-14 │ 80 │ 185 │1,28 │1,215│1,16 │1,12 │1,09 │1,07 │1,05 │1,015│0,99
Д-108; │ 108 │ 175 │1,26 │1,20 │1,14 │1,11 │1,08 │1,07 │1,05 │1,03 │1,02
Д-108м; │ │ │ │ │ │ │ │ │ │ │
Д-108Г; │ │ │ │ │ │ │ │ │ │ │
Д-108ГЛ │ │ │ │ │ │ │ │ │ │ │
Д-130, │ 140 │ 175 │1,68 │1,45 │1,35 │1,26 │1,16 │1,11 │1,06 │1,02 │1,02
СМД-17К │ │ │ │ │ │ │ │ │ │ │
Д-130, │ 100 │ 190 │1,68 │1,45 │1,35 │1,26 │1,16 │1,11 │1,06 │1,02 │1,02
СМД-17К │ │ │ │ │ │ │ │ │ │ │
Д-180 │ 180 │ 175 │ - │ - │ - │ - │1,06 │1,01 │0,97 │0,92 │0,87
У-2Д6 │ 130 │ 190 │ - │ │ │ │ │ │ │ │
СМД-7 │ 65 │ 200 │1,26 │1,20 │1,14 │1,10 │1,0 │1,035│1,0 │0,99 │0,98
СМД-14А │ 75 │ 198 │1,28 │1,215│1,16 │1,12 │1,09 │1,07 │1,05 │1,015│0,99
АМ-01 │ 110 │ 185 │1,30 │1,23 │1,18 │1,135│1,08 │1,06 │1,03 │0,99 │0,98
АМ-03 │ 130 │ 185 │1,30 │1,24 │1,19 │1,14 │1,10 │1,06 │1,03 │0,99 │1,0
АМ-41 │ 85 │ 185 │1,24 │1,22 │1,18 │1,135│1,08 │1,04 │1,03 │0,99 │0,98
Карбюраторные двигатели
ГАЗ-51 │ 70 │ 270 │1,074│1,037│1,018│1,0 │0,96 │0,96 │0,94 │0,948│0,951
ЗИЛ-164 │ 97 │ 250 │ - │ - │1,12 │1,08 │1,06 │1,048│1,032│1,02 │1,048
ЗИЛ-157 │ 104 │ 255 │ - │ - │1,058│1,035│1,019│1,0 │0,99 │1,019│1,078
ЗИЛ-130 │ 150 │ 240 │1,05 │1,04 │1,033│1,025│1,020│1,02 │1,025│1,033│1,045
ЗИЛ-375 │ 180 │ 240 │1,062│1,041│1,037│1,033│1,029│1,02 │1,025│1,037│1,05
Автомобильные дизели
ЯАЗ-М-204А│ 120 │ 195 │ - │ - │ - │ - │1,23 │1,18 │1,15 │1,13 │1,12
ЯАЗ-М-204В│ 135 │ 215 │ - │ - │1,05 │1,02 │1,01 │1,0 │0,98 │0,95 │1,05
ЯАЗ-М-204К│ 180 │ 195 │ - │ - │1,05 │1,02 │1,01 │1,0 │0,98 │0,95 │1,05
ЯАЗ-206Б │ 210 │ 230 │ - │ - │1,17 │1,13 │1,11 │1,09 │1,02 │1,0 │1,01
ЯМЗ-236 │ 180 │ 175 │0,97 │0,96 │0,95 │0,94 │0,94 │0,93 │0,92 │0,91 │0,92
ЯМЗ-238 │ 240 │ 175 │ - │ - │ - │ - │1,02 │1,01 │1,00 │1,00 │1,02
ЯМЗ-240 │ 215 │ 175 │ - │ - │1,02 │1,03 │1,02 │1,01 │1,02 │1,03 │1,04
ЯМЗ-240М │ 300 │ 175 │ - │ - │1,02 │1,03 │1,02 │1,01 │1,02 │1,03 │1,04
В-30Б │ 360 │ 175 │ │ │ │ │ │ │ │0,94 │0,91
В-31 │ 330 │ 175 │ │ │ │ │ │1,02 │1,01 │1,0 │0,97
| | ИС МЕГАНОРМ: примечание. Сноска дана в соответствии с официальным текстом документа. | |
--------------------------------
<**> Для перевода мощности, выраженной в л.с., в кВт пользуются коэффициентом 0,735.
Таблица 20
Значения коэффициента нагрузки электродвигателя
(коэффициент спроса

)
─────────────┬────────────────────────────────────────────┬─────────────────────────────
Коэффициент │ Коэффициент использования электродвигателя │ K
использования│ по времени │ дв
электродви- ├────┬────┬────┬────┬────┬────┬────┬────┬────┼────┬────┬────┬────┬────┬────
гателя │0,15│0,20│0,25│0,30│0,35│0,40│0,45│0,50│0,55│0,60│0,65│0,70│0,75│0,80│0,85
по мощности │ │ │ │ │ │ │ │ │ │ │ │ │ │ │
(K ) │ │ │ │ │ │ │ │ │ │ │ │ │ │ │
дм │ │ │ │ │ │ │ │ │ │ │ │ │ │ │
─────────────┼────┼────┼────┼────┼────┼────┼────┼────┼────┼────┼────┼────┼────┼────┼────
0,35 │0,07│0,09│0,10│0,12│0,14│0,15│0,17│0,19│0,21│0,23│0,25│0,27│0,28│0,31│0,31
0,40 │0,08│0,10│0,12│0,13│0,15│0,18│0,20│0,22│0,24│0,27│0,29│0,31│0,33│0,36│0,38
0,45 │0,08│0,11│0,13│0,15│0,17│0,20│0,22│0,25│0,27│0,30│0,32│0,35│0,37│0,40│0,42
0,50 │0,10│0,12│0,15│0,17│0,19│0,22│0,25│0,28│0,31│0,33│0,36│0,39│0,42│0,44│0,47
0,55 │0,11│0,13│0,16│0,18│0,21│0,24│0,27│0,31│0,33│0,36│0,40│0,43│0,46│0,49│0,52
0,60 │0,11│0,14│0,17│0,20│0,23│0,27│0,30│0,33│0,37│0,40│0,43│0,47│0,50│0,53│0,57
0,65 │0,13│0,16│0,19│0,22│0,25│0,29│0,33│0,36│0,40│0,43│0,47│0,51│0,54│0,58│0,61
0,70 │0,14│0,17│0,20│0,23│0,27│0,31│0,35│0,39│0,43│0,47│0,51│0,54│0,58│0,62│0,66
0,75 │0,15│0,18│0,22│0,25│0,29│0,33│0,37│0,42│0,46│0,50│0,54│0,58│0,62│0,67│0,71
0,80 │0,16│0,20│0,23│0,27│0,31│0,35│0,40│0,44│0,49│0,53│0,58│0,62│0,67│0,71│0,76
0,85 │0,17│0,21│0,25│0,28│0,33│0,36│0,42│0,46│0,52│0,56│0,61│0,66│0,70│0,75│0,79
0,90 │0,18│0,22│0,26│0,30│0,35│0,39│0,44│0,49│0,55│0,59│0,64│0,69│0,74│0,79│0,84
Таблица 21
Средняя скорость передвижения самоходных машин
─────────────────────────────────────────────┬─────────────────────────────
Наименование марки самоходных машин, │Средняя скорость передвижения
перебазируемых своим ходом │ машин по дорогам, км/ч
├────────┬─────────┬──────────
│I класса│II класса│III класса
─────────────────────────────────────────────┼────────┼─────────┼──────────
Краны пневмоколесные КС-4361А │ 3,6 │ 2,9 │ 2,41
КС-4362, МКП-25А, КС-7361, К-161С │ 3,0 │ 2,4 │ 2,01
КС-6362 (К-406); КС-5363 ХЛ │ 3,2 │ 2,56 │ 2,14
КС-6361 (К-401); КС-7362 │ 2,8 │ 2,24 │ 1,88
КС-5361 (К-255); КС-8361 (К-1001); К-255С │ 4,0 │ 3,2 │ 2,68
МКП-40 │ 5,0 │ 4,0 │ 3,35
Автогрейдеры │ │ │
ДЗ-99-1-4; ДЗ-99-1-2; ДЗ-99А-1-4; │ 19,0 │ 15,2 │ 12,73
ДЗ-99А-1-2; ДЗ-99А-1-1 │ │ │
ДЗ-99-1-1 │ 16,2 │ 13,0 │ 10,85
ДЗ-31-1 (Д-557-1) │ 18,4 │ 14,72 │ 12,33
ДЗ-31-2 │ 19,5 │ 15,6 │ 13,07
ДЗ-98; ДЗ-105; ДЗ-96 │ 20,0 │ 16,0 │ 13,4
ДЗ-98-01 │ 22,5 │ 18,0 │ 15,08
Автопогрузчики │ │ │
4008М │ 5,0 │ 4,0 │ 3,35
4045ЛМ, 4043М, 4014, 4045Н, 4045Р │ 7,5 │ 6,0 │ 5,03
4022, 4008, ВП-25 │ 10,0 │ 8,0 │ 6,7
4045Л, 4045М, 4049А │ 12,5 │ 10,0 │ 8,38
Краны автомобильные грузоподъемностью до 10 т│ 23 │ 23 │ 23
То же, свыше 10 т │ 21 │ 21 │ 21
Таблица 22
Исходные данные для расчета стоимости перебазировки машин
в кузове, на буксире автомобиля или на большегрузном прицепе
─────────────────────┬───────┬────────────────────┬────────┬───────┬───────
Наименование и марки │Грузо- │ Средняя скорость │Продол- │Продол-│Продол-
строительных машин, │подъем-│ передвижения, км/ч │житель- │житель-│житель-
перевозимых в кузове │ность ├─────┬──────┬───────┤ность │ность │ность
автомобиля, │автомо-│I кл.│II кл.│III кл.│погрузки│демон- │работы
на буксире или │биля, т│ │ │ │и раз- │тажа │вспомо-
на прицепе-тяжеловозе│ │ │ │ │грузки, │и мон- │гатель-
без разборки │ │ │ │ │ч │тажа, ч│ного
(или с частичной │ │ │ │ │ │ │крана,
разборкой) │ │ │ │ │ │ │маш.-ч
─────────────────────┼───────┼─────┼──────┼───────┼────────┼───────┼───────
1 │ 2 │ 3 │ 4 │ 5 │ 6 │ 7 │ 8
─────────────────────┼───────┼─────┼──────┼───────┼────────┼───────┼───────
Агрегаты │ 12 │13,5 │ 10,8 │ 9,1 │ 4 │ - │ -
вибровдавливающие │ │ │ │ │ │ │
на базе трактора │ │ │ │ │ │ │
для погружения свай │ │ │ │ │ │ │
длиной до 9 м │ │ │ │ │ │ │
Агрегаты сваебойные │ 7 │13,5 │ 10,8 │ 9,1 │ 6 │ - │ -
на базе трактора │ │ │ │ │ │ │
для погружения свай │ │ │ │ │ │ │
длиной до 10 м │ │ │ │ │ │ │
Бетононасосы │ 5 x 3 │13,5 │ 10,8 │ 9,1 │ 10 │ 23 │ 23
производительностью │ │ │ │ │ │ │
до 20 м3/ч │ │ │ │ │ │ │
То же, │ 7 x 6 │11,2 │ 9 │ 7,5 │ 30 │ 40 │ 40
производительностью │ │ │ │ │ │ │
20 - 40 м3/ч │ │ │ │ │ │ │
Бетоносмесители │ 2,5 │10,5 │ 8,4 │ 7 │ 2 │ - │ 2
передвижные емкостью │ │ │ │ │ │ │
до 250 л │ │ │ │ │ │ │
То же, стационарные │ 4 │13,5 │ 10,8 │ 9,1 │ 2 │ - │ 2
емкостью 250 - 500 л │ │ │ │ │ │ │
То же, до 1200 л │ 5 │13,5 │ 10,8 │ 9,1 │ 4 │ - │ 4
То же, │ 12 │10,5 │ 8,4 │ 7 │ 4 │ - │ 4
до 1200 - 2400 л │ │ │ │ │ │ │
Битумоплавильные │ 5 │13,5 │ 10,8 │ 9,1 │ 4 │ - │ 4
установки УБ-1, │ │ │ │ │ │ │
УБ-2, БК-4 │ │ │ │ │ │ │
Бульдозеры на базе │ 7 │11,2 │ 9 │ 7,5 │ 1,5 │ - │ -
трактора ДТ-54, ДТ-75│ │ │ │ │ │ │
То же, на базе │ 7 │11,2 │ 9 │ 7,5 │ 2,9 │ - │ -
трактора С-80, С-100 │ │ │ │ │ │ │
То же, на базе │ 12 │10,5 │ 8,4 │ 7 │ 3,4 │ - │ -
трактора Т-140, Т-180│ │ │ │ │ │ │
То же, на базе │ 14 │12,7 │ 10,2 │ 8,5 │ 3,4 │ - │ -
трактора ДЭТ-250 │ │ │ │ │ │ │
Бурильно-крановые │ 5 │13,5 │ 10,8 │ 9,1 │ 3,0 │ 2 │ 2
машины │ │ │ │ │ │ │
Воздуходувные машины │ 5 │13,5 │ 10,8 │ 9,1 │ 2 │ - │ 2
производительностью │ │ │ │ │ │ │
до 3000 м3/ч │ │ │ │ │ │ │
Гравиемоечные │ 5 │13,5 │ 10,8 │ 9,1 │ 2 │ - │ 2
сортировочные │ │ │ │ │ │ │
барабаны │ │ │ │ │ │ │
производительностью │ │ │ │ │ │ │
до 20 м3/ч │ │ │ │ │ │ │
То же, │ 7 │11,2 │ 9 │ 7,5 │ 4 │ - │ 4
производительностью │ │ │ │ │ │ │
21 - 45 м3/ч │ │ │ │ │ │ │
Грейдер-элеваторы │ 7 │11,2 │ 9 │ 7,5 │ 3,5 │ - │ -
прицепные с трактором│ │ │ │ │ │ │
С-80 (С-100) │ │ │ │ │ │ │
Грохоты инерционные │ 5 │13,5 │ 10,8 │ 9,1 │ 2 │ - │ 2
и вибрационные │ │ │ │ │ │ │
эксцентриковые │ │ │ │ │ │ │
производительностью │ │ │ │ │ │ │
13 - 60 м3/ч │ │ │ │ │ │ │
Грохоты вибрационные │ 7 │11,2 │ 9 │ 7,5 │ 4 │ - │ 4
тяжелого типа │ │ │ │ │ │ │
производительностью │ │ │ │ │ │ │
200 м3/ч и выше │ │ │ │ │ │ │
Дорожные │ 5 │13,5 │ 10,8 │ 9,1 │ 4 │ - │ 4
бетоноотделочные │ │ │ │ │ │ │
и бетоноукладочные │ │ │ │ │ │ │
машины │ │ │ │ │ │ │
Дробилки щековые │ 12 │10,5 │ 8,4 │ 7 │ 2 │ - │ 2
производительностью │ │ │ │ │ │ │
3,5 - 30 м3/ч │ │ │ │ │ │ │
То же, 35 - 120 м3/ч │ 14 │12,7 │ 10,2 │ 8,5 │ 6 │ - │ 6
То же, валковые │ 7 │11,2 │ 9 │ 7,5 │ 6 │ - │ 6
производительностью │ │ │ │ │ │ │
2 - 4 т/ч │ │ │ │ │ │ │
Катки моторные │ 4 │13,5 │ 10,8 │ 9,1 │ 2 │ - │ 2
вибрационные массой │ │ │ │ │ │ │
до 3 т │ │ │ │ │ │ │
То же, массой 3 - 8 т│5 - 12 │13,5 │ 10,8 │ 9,1 │ 3 │ - │ 3
То же, │ 7 │11,2 │ 9 │ 7,5 │ 4 │ - │ -
массой 10 - 15 т │ │ │ │ │ │ │
Компрессоры │ 2,5 │17,5 │ 14 │ 11,7 │ 0,5 │ - │ 0,5
стационарные │ │ │ │ │ │ │
давлением до 7 атм │ │ │ │ │ │ │
производительностью │ │ │ │ │ │ │
0,25 - 0,5 м3/мин │ │ │ │ │ │ │
То же, 3 - 9 м3/мин │ 2,5 │17,5 │ 14 │ 11,7 │ 2 │ - │ 2
То же, передвижные │ 4 │22,5 │ 18 │ 15,1 │ 0,5 │ - │ -
производительностью │ │ │ │ │ │ │
до 10 м3/мин │ │ │ │ │ │ │
Копры универсальные │ 5 │13,5 │ 10,8 │ 9,1 │ 4 │ 14 │ 14
Краны башенно- │ 7 │11,2 │ 9 │ 7,5 │ 4 │ 4 │ 9,3
стреловые гусеничные │ │ │ │ │ │ │
грузоподъемностью │ │ │ │ │ │ │
25 т (максимальная) │ │ │ │ │ │ │
То же, 30 т │ 14 │12,7 │ 10,2 │ 8,5 │ 4 │ 4 │ 9,3
То же, 50 т │ 14 │12,7 │ 10,2 │ 8,5 │ 4 │ 6 │ 11,2
То же, 63 т │ 14 │12,7 │ 10,2 │ 8,5 │ 6 │ 6 │ 13,2
То же, 100 т │ 14 │12,7 │ 10,2 │ 8,5 │ 6 │ 12 │ 19,2
То же, 160 т │ 14 │12,7 │ 10,2 │ 8,5 │ 6 │ 16 │ 23,2
Краны стреловые │ 7 │11,2 │ 9,0 │ 7,5 │ 2,1 │ - │ -
гусеничные │ │ │ │ │ │ │
грузоподъемностью │ │ │ │ │ │ │
(максимальная) │ │ │ │ │ │ │
5 - 6,3 т │ │ │ │ │ │ │
То же, 10 - 25 т │ 12 │10,5 │ 8,4 │ 7 │ 4 │ 6,4 │ 6,4
То же, 40 - 60 т │ 14 │12,7 │ 10,2 │ 8,5 │ 4 │ 9,3 │ 9,3
Краны стреловые │ 7 │18,7 │ 15 │ 12,6 │ 0,5 │ - │ -
пневмоколесные │ │ │ │ │ │ │
грузоподъемностью │ │ │ │ │ │ │
(максимальная) │ │ │ │ │ │ │
5 - 16 т │ │ │ │ │ │ │
То же, 25 т │ 12 │17,5 │ 14 │ 11,7 │ 0,5 │ 6,4 │ 6,4
То же, 40 т │ 12 │17,5 │ 14 │ 11,7 │ 1,5 │ 9,3 │ 9,3
То же, 63 т │ 14 │21,2 │ 17 │ 14,2 │ 1,5 │ 9,3 │ 9,3
То же, 100 т │ 14 │21,2 │ 17 │ 14,2 │ 2,5 │ 16 │ 16
Краны передвижные │ 2,5 │10,5 │ 8,4 │ 7 │ 0,5 │ - │ 1,5
и переносные │ │ │ │ │ │ │
грузоподъемностью │ │ │ │ │ │ │
0,3 - 1,0 т │ │ │ │ │ │ │
То же, монтажные │ 7 │11,2 │ 9 │ 7,5 │ 3 │ 1,0 │ 1,3
грузоподъемностью │ │ │ │ │ │ │
5 - 7 т │ │ │ │ │ │ │
Трубоукладчики │ 7 │11,2 │ 9 │ 7,5 │ 2,9 │ - │ -
грузоподъемностью │ │ │ │ │ │ │
3 - 15 т │ │ │ │ │ │ │
То же, 25 т │ 12 │10,5 │ 8,4 │ 7 │ 3,4 │ - │ -
Лебедки с тяговым │ 2,5 │10,5 │ 8,4 │ 7 │ 1 │ - │ 1
усилителем до 2 т │ │ │ │ │ │ │
То же, 3 - 5 т │ 4 │13,5 │ 10,8 │ 9,1 │ 1,5 │ - │ 1,5
То же, 8 - 15 т │ 7 │11,2 │ 9 │ 7,5 │ 2 │ - │ 2
Мачтовые строительные│ 5 │13,5 │ 10,8 │ 9,1 │ 5 │ 16 │ 10
подъемники │ │ │ │ │ │ │
грузоподъемностью 1 т│ │ │ │ │ │ │
(стоечные) │ │ │ │ │ │ │
Машины для устройства│ 5 │13,5 │ 10,8 │ 9,1 │ 0,5 │ - │ 0,5
швов при выполнении │ │ │ │ │ │ │
дорожных работ │ │ │ │ │ │ │
Насосы │ 2,5 │10,5 │ 8,4 │ 7 │ 0,5 │ - │ 0,5
производительностью │ │ │ │ │ │ │
35 м3/ч │ │ │ │ │ │ │
То же, 36 - 100 м3/ч │ 4 │13,5 │ 10,8 │ 9,1 │ 1 │ - │ 1
То же, свыше 100 м3/ч│ 5 │13,5 │ 10,8 │ 9,1 │ 2 │ - │ 2
Погрузчики │ 7 │18,7 │ 15 │ 12,6 │ - │ - │ -
одноковшовые │ │ │ │ │ │ │
пневмоколесные │ │ │ │ │ │ │
грузоподъемностью │ │ │ │ │ │ │
1,2 - 2 т │ │ │ │ │ │ │
То же, гусеничные │ 7 │11,2 │ 9 │ 7,5 │ 2,9 │ - │ -
до 5 т │ │ │ │ │ │ │
Растворосмесители │ 4 │13,5 │ 10,8 │ 9,1 │ 2 │ - │ 2
передвижные и │ │ │ │ │ │ │
стационарные │ │ │ │ │ │ │
вместимостью до 750 л│ │ │ │ │ │ │
Растворонасосы │ 5 │13,5 │ 10,8 │ 9,1 │ 1,5 │ 4 │ 3
производительностью │ │ │ │ │ │ │
1 - 3 м3/ч │ │ │ │ │ │ │
То же, │ 5 │13,5 │ 10,8 │ 9,1 │ 3 │ 6 │ 4
производительностью │ │ │ │ │ │ │
4 - 6 м3/ч │ │ │ │ │ │ │
Скреперы прицепные │ 7 │11,2 │ 9 │ 7,5 │ 2 │ - │ -
(с трактором) │ │ │ │ │ │ │
с ковшом вместимостью│ │ │ │ │ │ │
до 3 м3 │ │ │ │ │ │ │
То же, до 6 м3 │ 7 │11,2 │ 9 │ 7,5 │ 3,4 │ - │ -
То же, до 10 - 15 м3 │ 14 │12,7 │ 10,2 │ 8,5 │ 3,9 │ - │ -
Смесители │ 7 │11,2 │ 9 │ 7,5 │ 4 │ - │ -
асфальтобетона │ │ │ │ │ │ │
Транспортеры │ 2,5 │10,5 │ 8,4 │ 7 │ 1 │ - │ -
ленточные передвижные│ │ │ │ │ │ │
длиной до 5 м │ │ │ │ │ │ │
То же, длиной до 15 м│ 4 │13,5 │ 10,8 │ 9,1 │ 1 │ - │ 1
Транспортеры │ 4 x 4 │13,5 │ 10,8 │ 9,1 │ 3 │ - │ 3
ленточные звеньевые │ │ │ │ │ │ │
длиной до 40 м │ │ │ │ │ │ │
То же, длиной до 80 м│ 4 x 8 │13,5 │ 10,8 │ 9,1 │ 6 │ - │ 6
То же, длиной 240 м │ 4 x 24│13,5 │ 10,8 │ 9,1 │ 18 │ - │ 18
Транспортеры шнековые│ 4 │13,5 │ 10,8 │ 9,1 │ 2 │ - │ 2
диаметром │ │ │ │ │ │ │
300 - 500 мм │ │ │ │ │ │ │
Трубоочистные машины │ 4 │13,5 │ 10,8 │ 9,1 │ 2 │ - │ 2
ОМЛ-1 (С-238), │ │ │ │ │ │ │
ОМЛ-10, ОМЛ-4 │ │ │ │ │ │ │
То же, ОМЛ-12 │ 7 │11,2 │ 9 │ 7,5 │ 4 │ - │ 4
Укладчики │ 7 │11,2 │ 9 │ 7,5 │ 4 │ - │ -
асфальтобетона │ │ │ │ │ │ │
Установки │ 4 │13,5 │ 10,8 │ 9,1 │ 3 │ - │ 3
горизонтального │ │ │ │ │ │ │
бурения УГБ-2, УГБ-4,│ │ │ │ │ │ │
УГБ-5 │ │ │ │ │ │ │
Экскаваторы │ 7 │11,2 │ 9 │ 7,5 │ 2,1 │ - │ -
гусеничные │ │ │ │ │ │ │
одноковшовые │ │ │ │ │ │ │
вместимостью │ │ │ │ │ │ │
0,25 - 0,4 м3 │ │ │ │ │ │ │
То же, до 0,8 м3 │ 7 │11,2 │ 9 │ 7,5 │ 2,1 │ - │ -
То же, 1 - 1,25 м3 │ 12 │10,5 │ 8,4 │ 7 │ 4 │ - │ -
То же, 1,6 - 2,5 м3 │ 12 │10,5 │ 8,4 │ 7 │ 4 │ 4 │ 4
Экскаваторы │ 7 │18,7 │ 15 │ 12,6 │ 0,5 │ - │ -
пневмоколесные с │ │ │ │ │ │ │
ковшом вместимостью │ │ │ │ │ │ │
0,25 - 0,65 м3 │ │ │ │ │ │ │
Экскаваторы │ 7 │11,2 │ 9 │ 7,5 │ 2,9 │ - │ -
многоковшовые │ │ │ │ │ │ │
непрерывного действия│ │ │ │ │ │ │
для рытья траншей │ │ │ │ │ │ │
глубиной до 3,5 м │ │ │ │ │ │ │
Элеваторы цепные │ 4 │13,5 │ 10,8 │ 9,1 │ 2 │ - │ 2
вертикальные, │ │ │ │ │ │ │
наибольшая высота │ │ │ │ │ │ │
подъема 10 м │ │ │ │ │ │ │
То же, 18 м │ 5 │13,5 │ 10,8 │ 9,1 │ 3,5 │ - │ 3,5
Электросварочные │ 2,5 │17,5 │ 14 │ 11,7 │ 0,5 │ - │ -
агрегаты постоянного │ │ │ │ │ │ │
тока с двигателем │ │ │ │ │ │ │
внутреннего сгорания │ │ │ │ │ │ │
Электросварочные │ 4 │13,5 │ 10,8 │ 9,1 │ 1 │ - │ -
аппараты постоянного │ │ │ │ │ │ │
тока ПС-100, ПС-300, │ │ │ │ │ │ │
ПС-500 │ │ │ │ │ │ │
Электростанции │ 2,5 │17,5 │ 14 │ 11,7 │ 0,5 │ - │ -
передвижные мощностью│ │ │ │ │ │ │
до 21 кВт │ │ │ │ │ │ │
То же, мощностью │ 4 │22,5 │ 18 │ 15,1 │ 0,5 │ - │ -
22 - 150 кВт │ │ │ │ │ │ │
Таблица 23
Стоимость автомобиле-часа эксплуатации грузовых автомобилей
─────────────────────────────────────────┬───────────────┬─────────────────
Грузоподъемность автомобиля, т │ За один │ Дополнительная
│автомобиле-час,│ плата за каждый
│ руб.-коп. │километр пробега,
│ │ руб.-коп.
─────────────────────────────────────────┼───────────────┼─────────────────
До 0,5 т включительно │ 1-00 │ 0-06
Свыше 0,5 т до 1,5 т включительно │ 1-25 │ 0-07
Свыше 1,5 т до 3,0 т включительно │ 1-40 │ 0-08
Свыше 3,0 т до 5,0 т включительно │ 1-50 │ 0-11
10 т │ 2-30 │ 0-21
12 т │ 2-62 │ 0-25
Примечание. Свыше 5 т за каждую дополнительную тонну грузоподъемности доплачивается 16 коп. и 2 коп. за каждый километр пробега.
Таблица 24
Затраты и трудоемкость монтажа и демонтажа
кранов (на полную высоту с балластом)
─────────────────────┬───────────────────┬────────────────┬────────────────
Наименование и марки │ Затраты на 1 т │Зарплата на 1 т │ Трудоемкость
машин │массы без зарплаты,│массы, руб.-коп.│ на 1 т массы,
│ руб.-коп. (монтаж │ (монтаж │ чел.-ч (монтаж
│ и демонтаж) │ и демонтаж) │ и демонтаж)
─────────────────────┼───────────────────┼────────────────┼────────────────
1 │ 2 │ 3 │ 4
─────────────────────┼───────────────────┼────────────────┼────────────────
Краны башенные │ │ │
БКСМ-5-5 │ 7-26 │ 7-90 │ 11,7
БКСМ-7-5 │ 9-90 │ 7-50 │ 11,1
БКСМ-14 │ 16-50 │ 13-20 │ 19,4
КБ-160.1М │ 3-47 │ 2-26 │ 3,3
КБ-160.2 │ 4-62 │ 1-90 │ 2,8
КБ-160.4 │ 4-46 │ 2-70 │ 4,0
КБ-404 │ 3-63 │ 3-80 │ 5,4
БК-300 │ 9-24 │ 10-90 │ 15,6
КБ-405.2 │ 4-79 │ 1-50 │ 2,1
КБ-573 │ 2-97 │ 3-40 │ 5,0
КБ-674-4 │ 5-61 │ 4-80 │ 6,8
БК-180 │ 4-29 │ 3-50 │ 5,1
КБ-405.1 │ 4-62 │ 1-40 │ 1,9
Краны стреловые │ │ │
легкие │ │ │
КЛ-БТК-2, БТК-2А │ 0-10 │ 0-56 │ 0,8
"Пионер" │ 0-68 │ 4-10 │ 5,8
"ДИП", Т-108 │ 0-45 │ 4-00 │ 5,7
Таблица 25
Затраты на устройство 1 звена рельсовых путей
───────────────────────────┬───────────────────────────────────────────────
Марка машины │Затраты на устройство 1 звена рельсовых путей,
│ руб.-коп.
├────────┬───────────┬───────────────┬──────────
│основная│затраты │ затраты │ масса
│зарплата│на мате- │на эксплуатацию│ верхнего
│путейцев│риалы │вспомогательных│ строения
│ │ │ машин │рельсового
│ │ │ │ пути, т
───────────────────────────┼────────┼───────────┼───────────────┼──────────
МБТК-80, МСТК-90, КБ-60 │ 20-52 │ 61-04 │ 9-97 │ 2,3
МСК-5-20; КБК-100.1; │ 20-52 │ 68-39 │ 10-56 │ 2,8
МБСТК-80/100; КБ-100; │ │ │ │
МСК-8/20, МСК-7,5/20 │ │ │ │
КБ-100.0 решетч. КБ-100,0С;│ 21-10 │ 68-39 │ 10-56 │ 2,8
КБ-100.1 трубч. │ │ │ │
МСК-3-5-20 │ 21-67 │ 70-23 │ 10-80 │ 3,0
МСК-5-20А; КБ-100.0М; │ 21-10 │ 70-23 │ 10-80 │ 3,0
С-464; КБ-100.2 │ │ │ │
М-3-5-10 │ 21-10 │ 73-55 │ 11-27 │ 3,4
КБ-306 (С-981); С-981А; │ 27-41 │ 73-55 │ 11-27 │ 3,4
МСК-10-20 (МСК-7-25); │ │ │ │
БКСМ-5-5А │ │ │ │
БКСМ-7-9; МСК-250 │ 31-95 │ 73-55 │ 11-27 │ 3,4
БКСМ-5-9; КБ-160.2; │ 31-95 │ 77-36 │ 11-74 │ 3,8
КБ-160.4; КБ-404 (КС-250); │ │ │ │
БКСМ-5-10 (Т-223); │ │ │ │
КБК-160.2; │ │ │ │
БКСМ-7-5; КБ-405 │ │ │ │