Главная // Актуальные документы // Методические рекомендацииСПРАВКА
Источник публикации
М.: ФГБУ ВНИИПО МЧС России, 2013
Примечание к документу
Название документа
"Методические рекомендации к СП 7.13130.2013. Расчетное определение основных параметров противодымной вентиляции зданий"
(согласованы МЧС России 30.01.2013)
"Методические рекомендации к СП 7.13130.2013. Расчетное определение основных параметров противодымной вентиляции зданий"
(согласованы МЧС России 30.01.2013)
Департаментом надзорной
деятельности МЧС России
30 января 2013 года
РАСЧЕТНОЕ ОПРЕДЕЛЕНИЕ ОСНОВНЫХ ПАРАМЕТРОВ
ПРОТИВОДЫМНОЙ ВЕНТИЛЯЦИИ ЗДАНИЙ
МЕТОДИЧЕСКИЕ РЕКОМЕНДАЦИИ
К СП 7.13130.2013
Авторский коллектив: канд. техн. наук И.И. Ильминский, Д.В. Беляев, П.А. Вислогузов, Б.Б. Колчев.
Настоящие рекомендации, разработанные в рамках Государственного контракта N 36/3.3-77/А5-29 от 11.07.2011 по заказу Научно-технического управления МЧС России, устанавливают необходимый перечень исходных данных и порядок выполнения расчетов основных параметров приточно-вытяжной противодымной вентиляции зданий различного назначения. Методология расчетов ориентирована на вновь введенные нормативные документы, предусмотренные Федеральными законами от 22 июля 2008 г.
N 123-ФЗ "Технический регламент о требованиях пожарной безопасности" и от 10 июля 2012 г.
N 117-ФЗ "О внесении изменений в Федеральный закон "Технический регламент о требованиях пожарной безопасности".
Разработка рекомендаций произведена на базе подготовленного ранее и изданного в 2008 году методического документа согласно проведенной авторами апробации и анализу содержательной части замечаний в ходе публичного обсуждения последнего.
Издание предназначено для использования в практической деятельности сотрудников УГПН главных управлений МЧС России по субъектам Российской Федерации и проектных организаций.
Согласованы Департаментом надзорной деятельности МЧС России 30.01.2013.
1.1. Настоящие рекомендации разработаны в соответствии с вновь введенными нормативными документами по пожарной безопасности [
1,
2] и регламентируют порядок расчета основных параметров противодымной вентиляции зданий различного назначения - преимущественно жилых и общественных; производственных и складских, а также многофункциональных зданий и комплексов, закрытых подземных и надземных автостоянок.
1.2. Рекомендации предназначены для сотрудников УГПН главных управлений МЧС России по субъектам Российской Федерации, проектных организаций и предприятий, осуществляющих лицензированную деятельность по разработке и внедрению технических решений комплексной противопожарной защиты зданий и сооружений, а также могут быть использованы в деятельности проектных бюро широкого профиля и в государственных учреждениях соответствующих надзорных органов.
1.3. Положения настоящих рекомендаций не исключают возможности использования специалистами различного профиля иных документов подобного назначения, в том числе новых разработок, не противоречащих установленным нормативным требованиям [
1,
2].
1.4. Для предотвращения возможных искажений результатов практического применения разработанной методологии не допускается обобщение и упрощенная интерпретация расчетных данных в виде номограмм, таблиц и иных подобных материалов вторичного использования.
1.5. В целях сокращения текстового содержания необходимые по полученным разработчиками отзывам в период апробации изданных ранее рекомендаций примеры расчетов предусматриваются в качестве дополнения основных положений данной разработки в подготавливаемых к изданию методических пособиях.
Расчетное определение основных параметров противодымной вентиляции зданий должно производиться при использовании исходных данных следующего установленного перечня:
2.1. Проектные объемно-планировочные решения в составе комплекта чертежей архитектурно-строительной части должны соответствовать действующим нормативным противопожарным требованиям, в том числе по устройству эвакуационных путей и выходов, по требуемым пределам огнестойкости основных строительных конструкций и по разделению строительной части на отдельные пожарные отсеки. При необходимости указанные нормативные противопожарные требования должны быть дополнены положениями специальных технических условий на проектирование противопожарной защиты.
2.2. В качестве расчетных условий действия противодымной вентиляции следует принимать возможность возникновения пожара в одном из помещений в каждом из пожарных отсеков, на одном из его этажей, преимущественно нижнем, в надземной части здания. Для подземной части зданий или для подземных сооружений необходимо учитывать возможность возникновения пожара как на нижних, так и на верхних подземных этажах. Исходное положение оконных проемов - закрытое, дверных - согласно требованиям
[1].
Расчетный период действия противодымной вентиляции должен предусматриваться либо на время эвакуации людей из помещений, с этажа или из здания в целом, либо по условиям обеспечения действий пожарных подразделений при выполнении работ по спасанию людей, обнаружению и локализации очага пожара.
Проектное исполнение строительной части объекта должно приниматься в соответствии с требованиями установленного уровня качества и согласно нормированным
[3] показателям. Конструкции и оборудование противодымной вентиляции (воздуховоды, коллекторы, противопожарные клапаны, вытяжные вентиляторы, двери, в том числе противопожарные дымогазонепроницаемые, противодымные экраны и др.) должны соответствовать техническим данным предприятий-изготовителей и применяться в составе противодымной защиты объекта при наличии сертификатов соответствия и пожарной безопасности России.
2.3. Аэродинамические характеристики зданий определяются коэффициентами ветрового напора на различных фасадах. Распределение и значения аэродинамических коэффициентов ветрового напора для проектируемых зданий необходимо принимать согласно проектной документации или по экспериментальным данным, полученным в результате аэродинамических испытаний (продувка моделей в аэродинамической трубе). При отсутствии необходимых данных аэродинамические характеристики должны устанавливаться путем расчета в зависимости от направления ветрового воздействия на различные фасады зданий:

, (1)
где

- аэродинамический коэффициент ветрового напора при воздействии ветра под углом

к плоскости фасада;

,

- соответственно аэродинамические коэффициенты ветрового напора при воздействии ветра по нормали и по касательной к плоскости фасада.
Величины коэффициентов ветрового напора

и

могут быть приняты в соответствии с данными таблицы.
Аэродинамические коэффициенты ветрового напора
для различных фасадов зданий
Соотношение габаритных размеров фасадов | Перпендикулярный направлению ветра фасад | Наветренная сторона  | Боковая сторона или плоскость покрытия  | Заветренная сторона  |
| L x H | 0,8 | -0,4 | -0,6 |
l x H | 0,8 | -0,4 | -0,6 |
| L x H | 0,5 ... 0,8 | | |
l x H | 0,6 ... 0,8 | | -0,3 ... -0,2 |
Соответствующие числовые значения коэффициентов ветрового напора могут быть определены по следующим зависимостям:

при 0 < x < l,
где L, H - длина и высота фасада, перпендикулярного направлению ветрового воздействия, соответственно, м;
l - длина боковых фасадов, м;
x - удаление от плоскости данного фасада по поверхностям покрытия и фасадов, имеющих размеры l x H, м;

при

;

при y > 3H,
где y - удаление от плоскости фасада, имеющего размеры l x H, вдоль поверхностей покрытия и фасадов, имеющих размеры L x H, м;

при x = l.
Для конечного вычисления аэродинамических коэффициентов по
зависимости (1) должно использоваться соответствующее сочетание пар из коэффициентов

,

,

, приобретающих, таким образом, значения коэффициентов

и

.
Для выполнения расчетов основных параметров противодымной вентиляции с меньшей точностью допускается выбор аэродинамических характеристик по фиксированным величинам коэффициентов согласно табличным данным при

.
Для учета изменения аэродинамических коэффициентов ветрового напора по высоте зданий предусмотрена корреляция приведенных табличных значений по соотношению вида

,
где

- изменяемый по высоте здания параметр, приобретающий значения 0,95, 1,08 и 1,20 для нижней, средней и верхней трети указанной высоты соответственно.
2.4. Параметры наружного воздуха для проектируемых объектов должны соответствовать нормам [
1,
2,
4]. Величину скорости и направление ветра следует принимать по данным метеорологических наблюдений, относящихся к территории застройки. Температуру внутреннего воздуха следует определять согласно проектной технологии эксплуатации здания. Для систем вытяжной противодымной вентиляции с естественным побуждением тяги определение основных параметров должно производиться как для теплого, так и для холодного периода года. При этом итоговые параметры следует принимать по наиболее неблагоприятным условиям.
3. ВЫТЯЖНАЯ ПРОТИВОДЫМНАЯ ВЕНТИЛЯЦИЯ
Вытяжная противодымная вентиляция по функциональным признакам подразделяется на две основные группы, одна из которых объединяет системы, предназначенные для удаления продуктов горения непосредственно из помещений (из горящего помещения), другая - системы для удаления продуктов горения из смежных с горящим помещений.
3.1. Удаление продуктов горения непосредственно
из горящего помещения
Определение массового расхода удаляемых продуктов горения непосредственно из помещений осуществляется на основе уравнения неразрывности вида

, (2)
где

,

- массовый расход в конвективной колонке и удаляемых продуктов горения соответственно, кг/с;

- средняя плотность газа в дымовом слое, образующемся в верхней части горящего помещения, кг/м3;
h - толщина образующегося дымового слоя, м;

- эквивалентная площадь сечения дымового слоя в горизонтальной плоскости, м2.
Для решения указанного уравнения необходимо дополнительное использование зависимостей для мощности тепловыделения очага пожара и средней температуры дымового слоя:

; (3)

, (4)
где

- мощность тепловыделения очага пожара, кВт;

- полнота сгорания пожарной нагрузки;

,

- параметры пожарной нагрузки помещения
(Прил. 1);

- площадь горения пожарной нагрузки, м2;

,

- средняя температура дымового слоя и температура воздуха в помещении, К;

,

- удельная теплоемкость газа при температуре

,

, кДж/(кг) x град;

- коэффициент теплоотдачи дымового слоя в ограждающие конструкции, кВт/(м2 x град);
r - коэффициент, характеризующий теплопотери на излучение;

- максимальный периметр горизонтального сечения дымового слоя, м (для помещений прямоугольной формы с размерами пола и потолка a x b указанный периметр составляет

).
Для определения температуры в конвективной колонке может быть реализована следующая зависимость:

.
Зависимость коэффициента теплоотдачи от температуры дымового слоя может быть принята в виде

.
Приведенные зависимости замыкаются уравнением состояния газа и функциональной связью массового расхода в конвективной колонке с мощностью тепловыделения и толщиной дымового слоя:

; (5)

, (6)
где

- плотность воздуха, кг/м3.
Зависимость теплоемкости от температуры устанавливается согласно
Прил. 2 настоящих рекомендаций.
Порядок и содержание расчета с учетом специфики защищаемых помещений определяются выбором функциональной зависимости (6).
3.1.1. Для зальных помещений различного назначения, в том числе зрительных и торговых, конференц-залов, спортзалов с местами для зрителей и других подобных помещений, зависимость (6) может быть использована согласно стандарту
[5] в виде

, (7)
где H - высота помещения, м.
3.1.2. Для атриумов различного архитектурного исполнения, при наличии в их объемах галерей на нескольких уровнях или при конструктивном отделении этих объемов от этажей зданий, принимаются соответственно отличающиеся расчетные схемы газообмена при пожаре. При этом для атриумов галерейного типа
зависимость (6) используется в виде зависимости (7), а для атриумов, конструктивно изолированных от этажей зданий,
зависимость (6) может быть принята в соответствии со стандартом
[5] в следующем виде:

. (8)
Частным случаем первого из указанных вариантов является газообмен в объеме атриума при возникновении пожара непосредственно под галереей в уровне основания этого атриума. В данном случае функциональная
зависимость (6) может быть использована согласно тому же стандарту
[5] в виде

, (9)
где W - начальная ширина струи газообразных продуктов горения, истекающей из-под ограждений галереи атриума, м;
z - высота от уровня ограждения галереи, омываемого истекающей струей, до нижней границы дымового слоя, м;
H - высота от основания атриума до уровня указанного ограждения галереи, м.
Вышеуказанная область применения
зависимости (8) приемлема и для закрытых надземных и подземных автостоянок, в том числе помещений хранения автомобилей и изолированных рамп таких автостоянок. Причем в помещениях хранения автомобилей с манежным типом парковки расчетная мощность тепловыделения очага пожара составляет до

(по условию возгорания и полного охвата пламенем одного автомобиля на любом одном из парковочных м/мест защищаемого помещения), а толщина дымового слоя определяется расположением его нижней границы не ниже верхнего уровня дверных проемов эвакуационных выходов из данного помещения. В помещениях двух- или трехъярусного хранения автомобилей с подъемно-поворотными устройствами парковки мощность тепловыделения очага пожара, соответственно, удваивается или утраивается от указанного значения (по условию возможного возгорания автомобилей, установленных во всех ярусах одного из парковочных устройств). При этом расчетная толщина дымового слоя должна быть ограничена уровнем расположения верхней оконечности корпусов автомобилей, установленных в верхнем ярусе парковочных устройств (для предотвращения катастрофического развития пожара, обусловленного возможностью возгорания большей части или всех автомобилей верхнего яруса на различных парковочных устройствах под тепловым воздействием нагретых продуктов горения в "омывающем" дымовом слое).
Применение
зависимостей (7) и
(8) обусловливается взаиморасположением нижней границы дымового слоя и факела пламени над очагом пожара:
если

(уровень нижней границы дымового слоя расположен выше факела пламени), то следует применять
зависимость (7);
если

(факел пламени входит в дымовой слой), то применяется
зависимость (8).
При этом высота факела пламени определяется соотношением вида

.
Согласно
разд. 2 настоящих рекомендаций расчетное определение основных параметров вытяжной противодымной вентиляции данной группы должно производиться по условиям защиты только на период эвакуации людей из помещений либо для обеспечения действий пожарных подразделений.
Первое из указанных условий удовлетворяет соотношениям вида

; (10)

, (11)
где

,

- текущее время и расчетное время эвакуации из помещений;

- предельно допустимая толщина дымового слоя, при которой сохраняется свободная от задымления воздушная зона на горизонтальных путях эвакуации.
В этом случае

.
Для другого из указанных условий справедливы соотношения вида

, (12)
где

,

- текущее время и время окончания спасательных работ.
В этом случае

и расчет параметров вытяжной противодымной вентиляции осуществляется без интегрирования
уравнения (2).
3.2. Удаление продуктов горения из смежных
с горящим помещений
Расчетное определение параметров систем данной группы производится в зависимости от вида объемного пожара в помещении, сообщающемся со смежными с ним помещениями, в том числе вестибюлями, холлами, коридорами, торговыми моллами, атриумами и т.п. Согласно положениям
стандарта [6] и содержанию монографии
[7] определение вида объемного пожара в помещении осуществляется при сравнении величины приведенной удельной пожарной нагрузки помещения с ее критическим значением:
если

, то в помещении будет пожар, регулируемый вентиляцией (здесь и далее - ПРВ);
если

, то в помещении будет пожар, регулируемый нагрузкой (здесь и далее - ПРН).
При ПРВ максимальная среднеобъемная температура в горящем помещении согласно монографии
[7] соответствует зависимости вида

, (13)
где

- максимальная среднеобъемная температура в помещении, К;

- начальная температура воздуха в помещении, К;

- пожарная нагрузка помещения согласно
п. 1 Прил. 1.
Значение максимальной среднеобъемной температуры в горящем помещении при ПРН определяется согласно монографии
[7] зависимостью следующего вида:

, (14)
где

- пожарная нагрузка помещения согласно
п. 2 Прил. 1.
Указанные зависимости используются для определения параметров вытяжной противодымной вентиляции систем данной группы.
3.2.1. Для определения температуры в потоке газов, вытекающем из горящего помещения в коридор, согласно монографии
[7] должно быть использовано соотношение вида

, (15)
где

- искомое значение температуры газов, поступающих из горящего помещения в коридор, К;

- максимальная среднеобъемная температура в горящем помещении (в зависимости от вида пожара - ПРВ или ПРН), К.
Для определения усредненной температуры дымового слоя в коридоре используется следующая зависимость, полученная интегрированием эмпирического уравнения, характеризующего изменение температуры в дымовом слое по длине коридора:

, (16)
где

,

- средняя температура дымового слоя и температура воздуха в коридоре соответственно, К;

- предельная толщина дымового слоя, м;

- площадь коридора, м2;

- длина коридора, м.
При использовании в расчетах данной зависимости предельная толщина дымового слоя должна удовлетворять условию:

,
где H - высота коридора.
Расчет заканчивается определением массового расхода удаляемых из коридора продуктов горения при пожаре согласно зависимости

, (17)
где

- массовый расход удаляемых непосредственно из коридора продуктов горения, кг/с;

- площадь двери при выходе из коридора по путям эвакуации, м2;

- высота этой двери, м.
Значения коэффициента

в данной зависимости составляют 1,0 и 1,2 для жилых и общественных зданий соответственно.
Приведенные
зависимости (16) и (17) могут быть использованы для определения параметров вытяжной противодымной вентиляции, предназначенной также для защиты и других смежных с горящим помещений: холлов и одноуровневых вестибюлей.
3.2.2. Для вестибюлей, сообщающихся с двумя и более уровнями, а также для торговых моллов (закрытых галерей, сообщающихся с торговыми залами различной площади) и атриумов может быть использована регламентированная стандартом
[5] зависимость вида

, (18)
где

- массовый расход в конвективной колонке, кг/с;

- площадь проема горящего помещения, сообщающегося с защищаемым вестибюлем, моллом, атриумом, м2;

- высота этого проема, м;

- расстояние от верха данного проема до нижней границы дымового слоя, м.
Входящий в данную зависимость геометрический комплекс соответствует соотношению вида

.
С учетом сложности применяемых в настоящее время проектных объемно-планировочных решений и технологии эксплуатации современных зданий при необходимом и достаточном обосновании допускается модификация расчетных
зависимостей (4),
(7) -
(9),
(16) -
(18). Модифицированные таким образом зависимости не должны противоречить физическим закономерностям процессов тепломассообмена помещений при пожаре и установленным нормативным требованиям [
1,
2].
4. ПРИТОЧНАЯ ПРОТИВОДЫМНАЯ ВЕНТИЛЯЦИЯ
Системы приточной противодымной вентиляции предназначены для подачи наружного воздуха и создания избыточного давления в защищаемых лестнично-лифтовых узлах и тамбур-шлюзах, а также для компенсирующей подачи воздуха в помещения и коридоры, защищаемые вытяжной противодымной вентиляцией. Кроме того, системы приточной противодымной вентиляции необходимы для защиты помещений безопасных зон. Принцип действия каждой такой системы существенно различается в зависимости от ее вида, что обусловливает особенности определения ее параметров.
Согласно
разд. 2 настоящих рекомендаций распределение давления по противоположным фасадам надземной части здания определяется соотношениями вида

; (19)

, (20)
где

- перепад давления на наружных ограждающих конструкциях здания по высоте с наветренной стороны, Па;

- то же, с заветренной стороны, Па;

- высота i-го этажа (от уровня планировочной отметки нижнего надземного этажа до уровня отметки пола i-го этажа), Па;

- коэффициент ветрового напора для наружных ограждающих конструкций, расположенных под углом

к направлению ветра;

- то же, для противоположного фасада;

,

- плотность наружного воздуха при температуре

и плотность воздуха в помещениях здания при температуре

соответственно, К;

- величина скорости ветра, м/с.
Температуру воздуха внутри здания, кроме коридоров и холлов на этаже пожара, а также вестибюля главного входа (помещений входной группы), следует принимать в соответствии с проектной технологией эксплуатации.
В свою очередь, температура воздуха в защищаемых лестнично-лифтовых узлах определяется соотношением вида

. (21)
Соответствующее распределение давления внутри надземной части здания определяется соотношением вида

. (22)
Определение параметров приточной противодымной вентиляции для лестнично-лифтовых узлов надземной части зданий осуществляется в зависимости от их размещения: при примыкании к наружным ограждающим конструкциям или в центральном ядре.
4.1. Подача воздуха в лестничные клетки
4.1.1. Для лестничных клеток надземной части, примыкающих к наружным ограждающим конструкциям с устройством обособленного наружного выхода, ввиду отсутствия внутренней связи (дверных проемов, сообщающихся с прилегающими коридорами, холлами, вестибюлями) на уровне нижнего надземного (первого) этажа, внутреннее давление на уровне геометрического центра двери лестничной клетки вышележащего этажа должно составлять:

. (23)
При этом расход воздуха, истекающего через наружный выход лестничной клетки, определяется зависимостью вида
где

- массовый расход воздуха через наружный выход лестничной клетки, кг/с;

- площадь двери наружного выхода лестничной клетки, м2;

- площадь горизонтальной проекции маршей и площадок лестничной клетки, м2;
| | ИС МЕГАНОРМ: примечание. Обозначение дано в соответствии с официальным текстом документа. | |

- высота двери наружного выхода лестничной клетки, м;

- высота двери лестничной клетки на 2-м надземном этаже, м;
n - количество последовательно расположенных дверей наружного выхода лестничной клетки;
z - коэффициент сопротивления маршей лестничной клетки (z = 1 для двух маршей лестничной клетки в подъеме на 2-й этаж здания);

- коэффициент местного сопротивления проема;

- коэффициент местного сопротивления тамбура наружного выхода.
Числовые значения коэффициентов местного сопротивления составляют:

;

(для прямого тамбура);

(для прямоугольного тамбура);

(для z-образного тамбура).
Массовый расход воздуха через открытый проем лестничной клетки на уровне второго надземного этажа здания определяется по соотношению

, (25)
где

- массовый расход воздуха, поступающего через открытый дверной проем на этаже пожара, кг/с;
q - расчетное количество лестничных клеток, имеющих выходы в тот же коридор (помещение) того же этажа и защищаемых приточной противодымной вентиляцией (при одной лестничной клетке: q = 1, при двух и более лестничных клетках: q = p - 1, где p - фактическое количество лестничных клеток).
Если

, то на последующих этапах расчета принимается значение

, в противном случае дальнейший расчет осуществляется по значению

.
Последовательно для каждого вышележащего этажа определяемое давление и массовый расход воздуха соответствуют зависимостям:

; (26)

, (27)
где

- давление в лестничной клетке на уровне i-го этажа, Па;

- то же, в уровне (i + 1)-го этажа, Па;

- коэффициент местного сопротивления лестничной клетки;

- скорость воздуха в уровне i-го этажа лестничной клетки, м/с;

- массовый расход воздуха в уровне i-го этажа лестничной клетки, кг/с;

- то же, в уровне (i + 1)-го этажа, кг/с;

- утечки воздуха через неплотности проемов в уровне (i + 1)-го этажа лестничной клетки, кг/с.
Значение коэффициента сопротивления лестничной клетки может быть принято

(при отсутствии дополнительных данных в составе проектной документации).
Скорость воздуха в уровне i-го этажа лестничной клетки определяется соотношением вида

. (28)
Утечки воздуха через неплотности дверных проемов в уровне (i + 1)-го этажа лестничной клетки определяются зависимостью следующего вида:

, (29)
где

- площадь двери лестничной клетки на (i + 1)-м этаже;

- характеристика удельного сопротивления воздухопроницанию закрытой двери лестничной клетки, м3/кг.
При устройстве дымогазонепроницаемых дверей лестничной клетки утечки воздуха через них определяются зависимостью

, (30)
где

- характеристика удельного сопротивления дымогазопроницанию закрытой двери лестничной клетки, м3/кг.
Величины характеристик удельных сопротивлений воздухопроницанию и дымогазопроницанию должны определяться в соответствии с техническими данными изделий (конструкций дверей, предусмотренных проектной документацией) на основе результатов стандартных испытаний образцов серийной продукции. Для расчетов меньшей точности могут быть приняты значения:

;

.
Утечки воздуха через оконный проем лестничной клетки на уровне (i + 1)-го этажа определяются зависимостью вида

, (31)
где

- сопротивление воздухопроницанию заполнений оконных проемов, определяемое согласно
нормам [3], м2 x ч x Па/кг.
Суммарные утечки воздуха через дверной и оконный проемы лестничной клетки на уровне (i + 1)-го этажа составляют:

. (32)
Расчет по приведенным
зависимостям (23) - (32) должен производиться до достижения верхнего этажа лестничной клетки:
i = N,
где N - порядковый номер верхнего этажа лестничной клетки.
При этом перепад давления на закрытых дверях лестничной клетки не должен превышать максимально допустимое значение 150 Па. Если в ходе расчета определяемая величина перепада давления достигает указанного максимально допустимого значения или превышает его, то лестничная клетка не выше уровня данного этажа подлежит разделению рассечкой на зоны. Для вышележащей зоны лестничной клетки должен быть произведен расчет в аналогичной последовательности без учета выброса воздуха через наружный выход нижнего этажа этой зоны.
Взамен сосредоточенной подачи воздуха в верхнюю часть защищаемой лестничной клетки или каждой конструктивно выделенной зоны этой лестничной клетки может быть предусмотрена распределенная подача воздуха на различных уровнях (этажах).
Приведенная выше последовательность расчета не может быть воспроизведена в вариантах подачи наружного воздуха с нижележащих уровней относительно верхнего уровня (этажа) защищаемой лестничной клетки или относительно верхних уровней конструктивно выделенных зон этой лестничной клетки.
4.1.2. Для лестничных клеток по
п. 4.1.1 при дополнительном их сообщении с холлами, вестибюлями нижнего надземного этажа, например, через тамбур-шлюзы, которые защищены автономными системами приточной противодымной вентиляции, рекомендованные выше последовательность и содержание расчетов остаются неизменными.
В случае устройства поэтажных выходов в подобные лестничные клетки через тамбур-шлюзы с аналогичной защитой последних приточной противодымной вентиляцией из изложенной последовательности расчета исключается
зависимость (25).
Если взамен тамбур-шлюза при дополнительном выходе в такую же лестничную клетку из вестибюля, холла или коридора нижнего этажа предусмотрена одинарная дверь, то в последовательности и содержании расчета должны быть предусмотрены следующие изменения.

. (33)

. (34)
4.1.3. Для лестничных клеток надземной части, расположенных в центральном ядре и имеющих изолированные наружные выходы (без дополнительного сообщения с вестибюлем, холлом или коридором нижнего надземного этажа), внутреннее давление на уровне вышележащего этажа должно составлять:

. (35)
При этом расход воздуха, истекающего через наружный выход такой лестничной клетки, определяется по вышеприведенной
зависимости (24).
Для лестничных клеток надземной части, расположенных в центральном ядре и не имеющих непосредственного выхода наружу, необходимо нормативно требуемое устройство тамбур-шлюза, автономно защищаемого приточной противодымной вентиляцией и отделяющего внутренние выходы таких лестничных клеток от вестибюля (помещений входной группы здания). В этом случае значение расхода воздуха на уровне второго этажа лестничной клетки определяется зависимостью
(25), используется на последующих этапах расчета согласно
формулам (26) -
(28),
(32) и в сочетании с зависимостями вида

; (36)

. (37)
Ввиду отсутствия в лестничных клетках центрального ядра оконных проемов утечки воздуха через заполнения этих проемов в расчете исключаются, и
соотношение (32) становится тождественным зависимости (36) либо (37).
4.1.4. Лестничные клетки подземной части должны выполняться согласно нормативным требованиям с непосредственным и конструктивно изолированным выходом наружу на уровне нижнего этажа надземной части здания.
Соответствующее распределение давления внутри подземной части здания соответствует следующей зависимости:

, (38)
где

- давление в помещениях на уровне пола минус i-го подземного этажа здания, Па;

- глубина подземной части или уровень отметки пола нижнего подземного этажа относительно уровня отметки пола нижнего надземного этажа (отрицательная величина), м;

- уровень отметки пола минус i-го подземного этажа относительно уровня отметки пола нижнего надземного этажа (отрицательная величина), м.
Перепад давления в уровне геометрического центра дверей внутренних выходов лестничной клетки на каждом подземном этаже должен соответствовать условию:

.
При этом минимально необходимое давление в лестничной клетке в уровне геометрического центра ее дверей на верхнем подземном этаже должно быть не менее:

. (39)
Соответствующее минимальное значение расхода воздуха через наружный выход лестничной клетки определяется зависимостью вида

. (40)
Давление и расход воздуха на нижележащих этажах определяются последовательно согласно
зависимостям (26) -
(28) и соотношениям следующего вида:

; (41)

. (42)
Массовый расход воздуха через открытый дверной проем лестничной клетки определяется на уровне верхнего подземного этажа с использованием
соотношения (25). Величина

при этом определяется по одной из
зависимостей (7),
(8),
(17). По аналогии с лестничными клетками надземной части в случае, если

, то на последующих этапах расчета принимается значение

; в противном случае дальнейший расчет осуществляется по значению

.
4.2. Подача воздуха в лифтовые шахты
4.2.1. В лифтовых шахтах центрального ядра надземной части зданий, с остановками лифтов на уровнях только надземных этажей и с выгороженными лифтовыми холлами на каждом этаже, кроме нижнего, величина давления воздуха в уровне геометрического центра дверей вышерасположенного относительно основного посадочного этажа должна составлять:

. (43)
Расход воздуха из лифтовой шахты на уровне нижнего надземного (первого) этажа определяется зависимостью вида

, (44)
где

- массовый расход воздуха из лифтовой шахты на уровне нижнего надземного этажа, кг/с;
n - количество кабин лифтов в шахте;

- площадь дверей лифтовой шахты при выходе из кабины, м2;

- коэффициент местного сопротивления узла "кабина-шахта" при открытых дверях кабины и шахты на основном посадочном этаже.
Числовые значения коэффициента

должны приниматься согласно технической документации на лифтовые установки здания. Для вычисления указанного коэффициента может быть использовано соотношение вида

, (45)
где

- площадь поперечного сечения кабины лифта (по внешнему контуру ограждений кабины), м2;

- площадь поперечного сечения лифтовой шахты (по внутреннему контуру ограждений), м2.
Расход воздуха, последовательно фильтрующегося через закрытые двери лифтовой шахты и лифтовых холлов на каждом i-м этаже, включая этаж конечной (верхней) остановки лифта, определяется следующими зависимостями:

; (46)

; (47)

, (48)
где

- давление в лифтовой шахте на уровне геометрического центра дверей i-го этажа, Па;

,

- соответственно количество и площадь дверей лифтовой шахты на промежуточном (i-м) посадочном этаже, м2;

,

- соответственно количество и площадь дверей лифтового холла на промежуточном (i-м) посадочном этаже, м2;

- характеристика удельного сопротивления воздухопроницанию дверей лифтовой шахты, м3/кг;

- характеристика удельного сопротивления воздухопроницанию дверей лифтового холла, м3/кг;

- суммарная характеристика удельного сопротивления воздухопроницанию дверей лифтовой шахты и лифтового холла на (i-м) посадочном этаже,

.
Величины удельного сопротивления воздухопроницанию дверей лифтовых шахт и лифтовых холлов должны соответствовать техническим данным предприятий - изготовителей указанных изделий. Допускается расчетное определение этих величин по соотношениям вида

;

.
Таким образом, суммарный расход воздуха, необходимый для подачи в защищаемую лифтовую шахту, составит:

, (49)
где

- требуемый по расчету суммарный расход воздуха, подаваемого в защищаемую лифтовую шахту, кг/с.
4.2.2. Для лифтовых шахт по
п. 4.2.1 с дополнительным устройством выгороженного лифтового холла на основном посадочном этаже определение расхода воздуха, поступающего из лифтовой шахты на нижнем надземном (первом) этаже зданий, должно осуществляться по зависимости следующего вида:

. (50)
4.2.3. Лифтовые шахты, размещенные у наружных ограждений здания и сообщающиеся только с надземными этажами, при устройстве выгороженного лифтового холла на нижнем надземном этаже, характеризуются расчетными значениями расхода воздуха через открытые двери нижнего этажа, определяемого согласно зависимости вида
При этом давление в лифтовой шахте определяется зависимостью вида

. (52)
Для определения утечек воздуха через закрытые двери лифтовой шахты и лифтовых холлов каждого вышележащего (i-го) этажа применима зависимость вида

. (53)
Итоговое определение суммарного расхода воздуха, подлежащего подаче в лифтовую шахту рассматриваемой разновидности, производится по вычисленным таким образом значениям с дополнительным применением
зависимостей (45),
(46),
(49).
4.2.4. Для лифтовых шахт по
п. 4.2.3, но без выгороженных лифтовых холлов на нижнем надземном этаже, расчетный расход воздуха через открытые двери лифтовой шахты на этом этаже определяется зависимостью вида
При этом давление в защищаемой лифтовой шахте, утечки из нее воздуха через закрытые двери на вышележащих этажах и требуемый суммарный расход подаваемого в эту шахту воздуха устанавливаются по
зависимостям (52) и
(53) с учетом необходимого дополнительного применения
зависимостей (45),
(46),
(49).
4.2.5. Для шахт лифтов подземной части, с остановками на подземных этажах и нижнем надземном этаже, с выгороженными лифтовыми холлами на каждом этаже, включая основной посадочный (нижний надземный), последовательность и содержание расчета требуемых значений давления и суммарного расхода подаваемого воздуха следует принимать согласно зависимостям вида

; (55)

; (57)

. (58)
4.2.6. При устройстве лифтовых шахт, сообщающихся с подземной и надземной частью, необходимо предусматривать раздельную подачу воздуха соответственно в верхнюю и нижнюю части защищаемых лифтовых шахт. Расчетные значения параметров при этом подлежат определению как по
зависимостям (43) -
(54), так и по
зависимостям (55) - (58) - с учетом проектного размещения защищаемых лифтовых шахт и устройства этажных лифтовых холлов в надземной и подземной частях зданий. Причем давление в подземно-надземных частях защищаемых лифтовых шахт следует определять только по
зависимости (55), а вычисленные значения расхода воздуха через открытые двери лифтовой шахты на основном посадочном этаже должны быть распределены в произвольном соотношении между обеими системами, обеспечивающими подачу воздуха в надземную и подземную части защищаемой лифтовой шахты.
4.3. Подача воздуха в тамбур-шлюзы
4.3.1. Расход воздуха, подаваемого в тамбур-шлюзы, расположенные при выходах в незадымляемые лестничные клетки типа Н3 или Н2 (в высотных многофункциональных зданиях и комплексах, в жилых зданиях высотой более 75 м, в общественных зданиях высотой более 50 м), во внутренние открытые лестницы 2-го типа, на входах в атриумы и пассажи с уровней подвальных и цокольных этажей, перед лифтовыми холлами подземных автостоянок, а также в тамбур-шлюзы при выходах в вестибюли из незадымляемых лестничных клеток типа Н2, сообщающихся с надземными этажами зданий различного назначения, определяется соотношением вида

, (59)
где

- массовый расход воздуха, подаваемого в защищаемый тамбур-шлюз, кг/с;

- минимально допустимая скорость истечения воздуха через одну открытую дверь защищаемого тамбур-шлюза, м/с;

- площадь двери защищаемого тамбур-шлюза, м2;

- плотность наружного воздуха при расчетной температуре

.
Нормированная минимально допустимая скорость истечения воздуха через одну открытую дверь защищаемого тамбур-шлюза составляет:

.
4.3.2. Расход воздуха, подаваемого в тамбур-шлюзы, отделяющие помещения для хранения автомобилей закрытых надземных и подземных автостоянок от помещений иного назначения, в тамбур-шлюзы, отделяющие помещения хранения автомобилей от изолированных рамп подземных автостоянок, определяется по зависимости вида

, (60)
где

- характеристика удельного сопротивления воздухопроницанию дверей защищаемого тамбур-шлюза, м3/кг;
n - количество дверей защищаемого тамбур-шлюза.
Расчетные значения характеристики удельного сопротивления воздухопроницанию дверей защищаемых тамбур-шлюзов могут быть определены по соотношению вида

.
При применении настильных воздушных завес взамен тамбур-шлюзов, отделяющих помещения хранения автомобилей от изолированных рамп закрытых надземных и подземных автостоянок, требуемый расход воздуха, подаваемого в сопловой аппарат воздушной завесы данного типа, следует определять по зависимости

, (61)
где

- скорость истечения воздуха из соплового аппарата, м/с;
b,

- соответственно длина и ширина сопла в горизонтальной проекции, м.
Нормированные параметры сопловых аппаратов соответствуют следующим значениям:

;

,

,
где

- ширина защищаемых ворот изолированной рампы автостоянки.
4.3.3. Расход воздуха, подаваемого в тамбур-шлюзы (лифтовые холлы) при выходах из лифтов с режимом управления "пожарная опасность" в цокольные, подвальные, подземные этажи зданий различного назначения, определяется зависимостью вида

, (62)
где

- характеристика удельного сопротивления воздухопроницанию дверей защищаемого тамбур-шлюза (лифтового холла), м3/кг;
n - количество дверей защищаемого тамбур-шлюза (лифтового холла);

- характеристика удельного сопротивления воздухопроницанию дверей лифтовой шахты, м3/кг;
m - количество дверей лифтовой шахты.
Расход воздуха, подаваемого в холлы лифтов, имеющих режим управления "перевозка пожарных подразделений", на цокольных, подвальных, подземных этажах зданий следует определять согласно
зависимости (59), исключая при этом защищаемые холлы таких лифтов, отделенные тамбур-шлюзами от помещений хранения автомобилей подземных автостоянок.
4.3.4. Величину давления в защищаемых тамбур-шлюзах необходимо определять согласно следующим зависимостям:
в надземной части

; (63)
в подземной части

, (64)
где

- высота дверных проемов защищаемых тамбур-шлюзов на i-м этаже надземной части, м;

- высота дверных проемов защищаемых тамбур-шлюзов на минус i-м этаже подземной части, м.
4.4. Компенсирующая подача воздуха
Возмещение объемов удаляемых продуктов горения из помещений при пожаре обеспечивается посредством подачи наружного воздуха в нижнюю часть таких помещений.
Расход компенсирующей подачи воздуха определяется соотношением

, (65)
где

- расход удаляемых продуктов горения непосредственно из защищаемого помещения, кг/с;
n - коэффициент дисбаланса.
Нормируемый диапазон допускаемого дисбаланса:

.
Для определения требуемого объемного расхода подаваемого воздуха непосредственно в защищаемое помещение применяется зависимость

, (66)
где

- объемный расход подаваемого воздуха, м3/с.
Способы подачи воздуха могут быть различными и в основном подразделяются на использование принудительной и естественной вентиляции. Последняя может быть предусмотрена с использованием дверей наружных выходов помещения или специально выполненных воздухоприточных каналов. Требуемые размеры проходных сечений таких дверей и каналов определяются с учетом их фактического гидравлического сопротивления, соотносимого с установленным статическим давлением вытяжной противодымной вентиляции.
4.5. Подача воздуха в помещения зон безопасности
Защита приточной противодымной вентиляцией помещений зон безопасности должна осуществляться посредством подачи наружного воздуха непосредственно в эти помещения для создания в них избыточного давления при закрытых дверях и обеспечения минимально допустимой скорости истечения воздуха через одну открытую дверь защищаемого помещения. С учетом нормированно обусловленной необходимости поддержания температуры воздуха в защищаемых помещениях в диапазоне значений, установленных проектной технологией эксплуатации здания, целесообразно применение различных систем приточной противодымной вентиляции для подачи наружного воздуха в эти помещения.
Системы одной из таких разновидностей должны обеспечивать подачу наружного воздуха в защищаемое помещение в количестве, достаточном для его истечения через одну открытую дверь с минимально допустимой скоростью (в период эвакуации людей в помещение пожаробезопасной зоны). Величина расхода подаваемого в защищаемое помещение наружного воздуха определяется
зависимостью (59). Причем нормированная минимально допустимая скорость истечения воздуха через одну открытую дверь защищаемого помещения составляет:

.
Системы другой разновидности предназначены для подачи дополнительно нагреваемого наружного воздуха в защищаемые помещения при их закрытых дверях (в период с момента завершения эвакуации людей в помещение зоны безопасности и в течение времени их пребывания в этом помещении до начала спасательных работ пожарными подразделениями). Требуемые значения давления в защищаемом помещении и расхода подаваемого в него подогретого воздуха определяются при этом зависимостями вида

; (67)

; (68)

, (69)
где

- давление в защищаемом помещении на i-м надземном этаже, Па;

- давление в защищаемом помещении на минус i-м подземном этаже, Па;

- плотность воздуха при расчетной температуре

или

, кг/м3;

- плотность воздуха при расчетной температуре

, кг/м3;

- расход воздуха, подаваемого в защищаемое помещение, кг/с;

- характеристика удельного сопротивления воздухопроницанию закрытых дверей защищаемого помещения, м3/кг;

- площадь дверного проема защищаемого помещения, м2;
n - количество дверных проемов защищаемого помещения;

- высота дверей защищаемого помещения на i-м надземном этаже, м;

- высота дверей защищаемого помещения на минус i-м подземном этаже, м.
Температура подогреваемого воздуха в защищаемом помещении должна быть не ниже 18 °C

.
5. ТЕХНИЧЕСКИЕ ХАРАКТЕРИСТИКИ ОБОРУДОВАНИЯ
Для систем вытяжной и приточной противодымной вентиляции в качестве основных параметров, подлежащих учету, рассматриваются величины давления и подачи вентиляторов.
5.1. Оборудование систем вытяжной противодымной вентиляции
5.1.1. С учетом полученных расчетных значений

и

для помещений, защищаемых вытяжной противодымной вентиляцией, согласно принятым исходным данным определяется необходимое количество дымоприемных устройств и их размещение. В соответствии со структурной схемой систем намечается трассировка этажных вытяжных каналов, вертикальных коллекторов. Предусматриваются места установки вентиляторов с фиксированным наружным выбросом продуктов горения.
Предварительный выбор размеров проходных сечений сборных элементов вытяжных каналов и оборудования (решеток, клапанов) производится, исходя из условия обеспечения максимальной скорости течения газов не более 11 м/с (предпочтительно в диапазоне 9 - 11 м/с). Если указанное условие является невыполнимым, ввиду ограниченной возможности прокладки конструкций вытяжных каналов с соответствующими размерами на всем протяжении или локально, выбирается иной типоразмер сечений с возможно меньшим увеличением скорости.
5.1.2. На начальном участке вытяжного канала (в защищаемом помещении) определяется требуемая величина давления посредством зависимости вида

, (70)
где

- статическое давление в вытяжном канале в конце начального участка, Па;

- добавочное статическое давление, Па;

- коэффициент i-го местного сопротивления на начальном участке вытяжного канала;

- коэффициент сопротивления трения i-го элемента вытяжного канала на начальном участке;

- длина i-го элемента вытяжного канала на начальном участке, м;

- эквивалентный гидравлический диаметр i-го элемента вытяжного канала на начальном участке, м;

- плотность газа при расчетной температуре

дымового слоя в защищаемом помещении, кг/м3;

- скорость газа, перемещаемого в i-м элементе вытяжного канала на начальном участке, м/с.
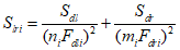
Величина добавочного статического давления в вытяжном канале определяется по суммарным потерям давления в приточных устройствах компенсирующей подачи воздуха с естественным побуждением тяги:

,
где

- эквивалентное сопротивление воздухоприточного канала,

;
Локальная скорость перемещаемого в канале газа определяется соотношением

, (71)
где

- площадь проходного сечения i-го элемента вытяжного канала на начальном участке, м2.
Для определения эквивалентного гидравлического диаметра прямоугольного сечения i-го элемента канала на начальном участке используется соотношение

, (72)
где a, b - размеры сторон сечения, м.
Коэффициенты местного сопротивления определяются по справочным данным
[8], а коэффициенты сопротивления трения - по известной зависимости А.Д. Альтшуля:

, (73)
где k - эквивалентная шероховатость внутренней поверхности канала (для воздуховодов из стали k = 0,1 мм).
При этом критерий

определяется по теплофизическим параметрам дымовых газов, приведенным в
Прил. 2 настоящих рекомендаций:

, (74)
где

- динамическая вязкость газа при температуре

, кг x м/с.
5.1.3. Если между вертикальным коллектором и начальным участком канала рассматриваемой системы существует промежуточный транзитный участок, то соответствующая величина давления в нем может быть определена по
зависимости (70) при соответствующей замене

на

,

на

. Поправка на изменение величины массового расхода в конце такого промежуточного транзитного участка определяется зависимостью

, (75)
где

- массовый расход газа в конечном сечении промежуточного участка канала, кг/с;

- подсосы воздуха через конструкции промежуточного участка канала, кг/с.
Величина

определяется согласно зависимостям по
п. 1 Прил. 3 настоящих рекомендаций.
Изменение температуры газа в конечном сечении промежуточного участка канала определяется зависимостью

, (76)
где

- потери тепла на единицу длины канала, Вт/м;
l - суммарная длина промежуточного участка вытяжного канала, м.
Удельные потери тепла определяются зависимостями вида

; (77)

, (78)
где

- коэффициент теплопередачи, Вт/(м x град);

,

- коэффициенты теплоотдачи от газа к внутренней поверхности и от внешней поверхности канала к окружающему воздуху, Вт/(м2 x град);

,

- коэффициенты теплопроводности материалов собственно конструкции канала (воздуховода) и огнезащитного покрытия, Вт/(м x град);

,

,

- эквивалентный гидравлический диаметр, соответствующий внутренней поверхности, внешней поверхности канала (внутренней поверхности огнезащитного слоя) и внешней поверхности этого слоя, м.
Коэффициенты теплопроводности

и

находятся по справочным данным для конкретных материалов. Значение

определяется из критериальной зависимости вида

, (79)
где Nu, Re, Pr - критерии Нуссельта, Рейнольдса и Прандтля соответственно;

,

- поправочные коэффициенты;

. (80)
Количественные значения коэффициента

устанавливаются по табличным справочным данным, а значения коэффициента

определяются соотношением

, (81)
где R - радиус изгиба канала, м.
Ввиду того, что температура на внешней поверхности огнезащитного слоя (покрытия) вытяжного канала является неизвестной величиной, расчет значения

производится последовательными приближениями, на первом шаге которых задается значение

.
5.1.4. Для узла присоединения к вертикальному коллектору начального участка вытяжного канала (с упомянутым выше промежуточным транзитным участком) определяется давление в конечном сечении этого узла (на входе в вертикальный коллектор):

, (82)
где

- скорость газового потока, м/с;
| | ИС МЕГАНОРМ: примечание. Единица измерения дана в соответствии с официальным текстом документа. | |

- плотность перемещаемого газа при температуре

, К;

- коэффициент местного сопротивления.
Для определения скорости

и температуры

могут быть использованы
зависимости (71),
(75) и
(76). Значение

определяется по справочным данным
[8] с учетом геометрических характеристик узла присоединения этажного канала к вертикальному коллектору при наличии противопожарного клапана. Коэффициент местного сопротивления для этого клапана определяется по техническим данным предприятия-изготовителя.
5.1.5. Далее производится условное разделение вертикального коллектора на участки с границами в уровнях межэтажных перекрытий здания. В качестве входных параметров для первого такого участка принимаются вычисленные выше значения:
В соответствии с данными параметрами и геометрическими характеристиками вертикального коллектора дополнительно определяются величины

,

,

,

,

,

, при использовании которых вычисляются значения изменяемых параметров в конце данного участка вытяжного канала по зависимостям следующего вида:

; (83)

; (84)

; (85)

; (86)

, (87)
где

- подсосы воздуха через конструкции данного участка вытяжного канала (согласно
п. 1 Прил. 3 настоящих рекомендаций), м;

- подсосы воздуха через закрытый противопожарный клапан данного участка вытяжного канала (согласно
п. 2 Прил. 3 настоящих рекомендаций), м;

- суммарная длина горизонтально ориентированных элементов вытяжного канала на данном участке, м;

- суммарная длина вертикально ориентированных элементов вытяжного канала на данном участке, м;

- площадь проходного сечения вытяжного канала на данном участке, м2;

- площадь проходного сечения закрытого клапана данного участка вытяжного канала, м2;

- характеристика удельного сопротивления дымогазопроницанию закрытого клапана данного участка вытяжного канала при температуре

(согласно
п. 2 Прил. 3 настоящих рекомендаций), м3/кг;

- плотность воздуха при температуре

, К.
Удельные теплопотери

определяются согласно вышеприведенным
зависимостям (77) -
(81). Необходимость определения указанных теплопотерь должна быть установлена расчетной оценкой по
зависимости (87) при условном исключении подсосов воздуха в вытяжной канал на рассматриваемом участке (при

,

): если расчетное падение температуры при этом в конце данного участка составит менее 1 К, то последовательность выполнения расчета на всех участках вытяжного канала может быть воспроизведена без учета этих теплопотерь.
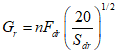
5.1.6. Вычисленные значения изменяемых параметров в конце участка вытяжного канала по
п. 5.1.5 принимаются в качестве входных параметров для следующего участка этого канала. Полученные в итоге аналогичных вычислений (для всех последующих участков вытяжного канала) значения

,

,

используются для конечного определения требуемых параметров вентилятора системы:

; (88)

, (89)
где

- подача вентилятора, м3/ч;

- приведенное к стандартным условиям статическое давление вентилятора, Па;

- суммарное сопротивление присоединительных воздуховодов (от коллектора до устройства наружного выброса, включая воздуховоды обвязки вентилятора), Па.
При устройстве наружного выброса продуктов горения на фасаде здания в соответствии с нормативными требованиями
[1] приведенное статическое давление вентилятора следует определять по зависимости вида

, (90)
где

- минимально необходимая скорость истечения продуктов горения через устройство наружного выброса в перпендикулярном фасаду направлении, м/с.
Нормированное значение указанной скорости составляет:

.
5.1.7. Для систем вытяжной противодымной вентиляции с естественным побуждением тяги минимально необходимое проходное сечение дымовых люков, устанавливаемых в покрытиях зданий, определяется зависимостью

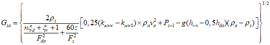
, (91)
где

- площадь проходного сечения i-го дымового люка, м2;

- коэффициент аэродинамического сопротивления i-го дымового люка;

- плотность газа в дымовом слое при температуре

, кг/м3;

- толщина дымового слоя, м;

- массовый расход газа через i-й дымовой люк, кг/с;

- плотность наружного воздуха при температуре

, кг/м3;

- скорость ветра, м/с;

,

,

- аэродинамические коэффициенты ветрового напора согласно
п. 2.3 настоящих рекомендаций.
Для выбора значений

,

следует руководствоваться данными
разд. 3, а значения

,

,

,

,

следует принимать согласно
разд. 2 настоящих рекомендаций. Значения коэффициентов

должны соответствовать техническим данным предприятий-изготовителей.
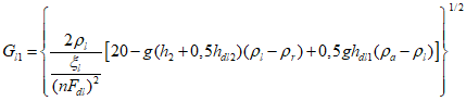
5.1.8. Минимально необходимая площадь проходного сечения дымовых люков, устанавливаемых в наружных ограждениях фасадов зданий (в том числе в оконных проемах фрамуг с автоматически и дистанционно управляемыми приводами), определяется зависимостью вида

, (92)
где

- суммарная площадь проходного сечения принудительно открываемых фрамуг, м2;

- коэффициент аэродинамического сопротивления однотипных фрамуг;

- плотность газа в дымовом слое при температуре

, кг/м3;

- высота от расчетного уровня расположения нижней границы дымового слоя до геометрического центра фрамуг однорядного расположения, м;

- суммарный массовый расход газа через открытые фрамуги, кг/с.
Выбор необходимых для расчета параметров и коэффициентов следует производить по аналогии с
п. 5.1.7 настоящих рекомендаций.
5.2. Оборудование систем приточной противодымной вентиляции
Основные параметры систем приточной противодымной вентиляции определяются согласно следующим зависимостям.
Для лестничных клеток

; (93)

, (94)
где

- подача вентилятора, м3/ч;

- приведенное статическое давление вентилятора, Па;

- расход воздуха, подаваемого в лестничную клетку или ее конструктивно выделенную зону, кг/с;

- давление в оголовке лестничной клетки или в верхней части ее конструктивно выделенной зоны, Па;

- суммарное сопротивление присоединительных воздуховодов (от защищаемой лестничной клетки или ее конструктивно выделенной зоны до приемного устройства наружного воздуха, включая воздуховоды обвязки вентилятора), Па;

- плотность воздуха при температуре

, кг/м3;

- плотность воздуха при температуре

, кг/м3;

- плотность воздуха при температуре

, кг/м3;

- высота лестничной клетки или ее конструктивно выделенной зоны между уровнями нижнего и верхнего этажей, м;

- разность между уровнями расположения приемного устройства наружного воздуха и оголовка лестничной клетки или верхней части ее конструктивно выделенной зоны, м.
Для лифтовых шахт

; (95)

, (96)
где

- расход воздуха, подаваемого в лифтовую шахту, кг/с;

- давление в оголовке лифтовой шахты, Па;

- суммарное сопротивление присоединительных воздуховодов (от защищаемой лифтовой шахты до приемного устройства наружного воздуха, включая воздуховоды обвязки вентилятора), Па;

- плотность воздуха при температуре

, кг/м3;

- высота лифтовой шахты между уровнями нижнего и верхнего этажей, м;

- разность между уровнями расположения приемного устройства наружного воздуха и оголовка лифтовой шахты, м.
1.
СП 7.13130.2013. Отопление, вентиляция и кондиционирование. Требования пожарной безопасности.
2.
СП 60.13330.2012. Отопление, вентиляция и кондиционирование (актуализированная редакция СНиП 41-01-2003).
3.
СНиП II-3-79**. Строительная теплотехника/Госстрой СССР. М.: ЦИТП Госстроя СССР, 1986. 32 с.
4.
СНиП 23-01-99. Строительная климатология/Госстрой России. М.: ГУП ЦПП, 2000. 57 с.
5. NFPA 92B. Standard for Smoke Management Systems in Malls, Atria and Large Spaces, 2009 Edition.
7. Молчадский И.С. Пожар в помещении. М.: ВНИИПО, 2005. 456 с.
8. Идельчик И.Е. Справочник по гидравлическим сопротивлениям. М.: Машиностроение, 1975. 559 с.
9. Кошмаров Ю.А. Прогнозирование опасных факторов пожара в помещении: учеб. пособие. М.: Академия ГПС МВД России, 2000. 118 с.
10. Михеев М.А. Основы теплопередачи. М.: Госэнергоиздат, 1956. 392 с.
(справочное)
ОПРЕДЕЛЕНИЕ ОСНОВНЫХ ПАРАМЕТРОВ ПОЖАРНОЙ НАГРУЗКИ ПОМЕЩЕНИЙ
В перечень основных параметров пожарной нагрузки входят удельные, в том числе приведенные и критические величины, а также усредненные показатели теплофизических свойств. Для определения данных параметров используются соотношения и зависимости следующего вида:
1. Удельная приведенная пожарная нагрузка, отнесенная к площади пола помещения, соответствует зависимости

,
где

- пожарная нагрузка, кг/м2;

,

- соответственно теплота сгорания i-го вещества или материала в составе пожарной нагрузки и теплота сгорания древесины, Дж/кг;

- относительная массовая доля i-го вещества или материала в составе пожарной нагрузки;

- площадь пола помещения, м2;
M - масса пожарной нагрузки помещения, кг.
Значения

,

определяются по справочным данным, приведенным в
стандарте [6] и монографии
[7].
2. Удельная приведенная пожарная нагрузка, отнесенная к площади тепловоспринимающей поверхности ограждающих строительных конструкций помещения, соответствует следующим зависимостям:

;

;

,
где

- пожарная нагрузка, кг/м2;

- суммарная площадь внутренней поверхности ограждающих строительных конструкций помещения, м2;

,

- площадь i-го проема и суммарная площадь проемов помещения соответственно, м2;
V - объем помещения, м3;
M - масса пожарной нагрузки помещения, кг.
3. Удельное критическое количество пожарной нагрузки соответствует зависимостям

;

;

,
где

- удельное критическое количество пожарной нагрузки, кг/м2;
П - проемность помещения,

;

- высота i-го проема помещения, м;

- удельное количество воздуха, необходимое для полного сгорания пожарной нагрузки помещения, м3/кг.
4. Средняя теплота сгорания пожарной нагрузки соответствует соотношению

.
5. Средняя скорость потери массы пожарной нагрузки соответствует соотношению

,
где

- скорость потери массы i-го материала пожарной нагрузки, кг/(м2 x с).
6. Линейная скорость распространения пламени по поверхности пожарной нагрузки может приниматься по максимальной величине, характерной для составляющих эту нагрузку материалов:

,
где

- максимальное значение скорости распространения пламени по поверхности i-го материала пожарной нагрузки помещения, м/с.
Значения теплоты сгорания, скорости потери массы и скорости распространения пламени по поверхности для различных материалов, которые могут находиться в составе пожарной нагрузки помещений, приведены в
стандарте [6] и монографии
[7].
Характерные усредненные значения этих параметров для пожарной нагрузки различных помещений соответствуют нижеприведенным табличным данным пособия
[9].
Усредненные значения параметров пожарной нагрузки
различных помещений
Пожарная нагрузка | Низшая рабочая теплота сгорания, МДж/кг | Линейная скорость распространения пламени, м/с | Удельная скорость выгорания, кг/(м2 x с) |
Здания I и II степени огнестойкости: мебель + бытовые изделия | 13,8 | 0,0108 | 0,0145 |
Здания I и II степени огнестойкости: мебель + ткани | 14,7 | 0,0108 | 0,0145 |
Здания I степени огнестойкости: мебель + ткани (0,75 + 0,25) | 14,9 | 0,0125 | 0,0162 |
Кабинет: мебель + бумага (0,75 + 0,25) | 14,0 | 0,0420 | 0,0129 |
Помещения, облицованные панелями ДВП | 18,1 | 0,0405 | 0,0130 |
Административное помещение: мебель + бумага (0,75 + 0,25) | 14,0 | 0,0220 | 0,0210 |
Общественные здания: мебель + линолеум ПВХ (0,9 + 0,1) | 14,0 | 0,0150 | 0,0137 |
Библиотеки, архивы: книги, журналы на стеллажах | 14,5 | 0,0103 | 0,0110 |
Сценическая часть зрительных залов: древесина | 13,8 | 0,0368 | 0,0145 |
Верхняя одежда: ворс, ткани (шерсть + нейлон) | 23,3 | 0,0835 | 0,0130 |
Резинотехнические изделия: резина, изделия из нее | 36,0 | 0,0184 | 0,0112 |
Окрашенные полы, стены: дерево + краска РХО (0,9 + 0,1) | 14,1 | 0,0151 | 0,0145 |
Выставочные залы, мастерские: дерево + ткани + краска (0,9 + 0,09 + 0,01) | 14,0 | 0,0163 | 0,0152 |
Издательства, типографии | 15,4 | 0,0040 | 0,0061 |
Мебель: дерево + облицовка | 14,4 | 0,0154 | 0,0135 |
Промтовары: текстильные изделия | 16,7 | 0,0071 | 0,0244 |
Кабельный подвал/лоток: кабели АВВГ + АПВГ | 30,7 | 0,0071 | 0,0244 |
Радиоматериалы: полиэтилен, стирол, пропилен, гетинакс | 34,8 | 0,0137 | 0,0177 |
Электротехнические материалы: текстолит, карболит | 20,9 | 0,0125 | 0,0076 |
Электрокабель АВВГ: ПВХ оболочка + изоляция | 25,0 | 0,0071 | 0,0244 |
Электрокабель АПВГ: ПВХ оболочка + полиэтилен | 36,4 | 0,0071 | 0,0244 |
Телефонный кабель ТПВ: ПВХ + полиэтилен | 34,6 | 0,0062 | 0,0085 |
Лиственные древесные стройматериалы: штабель | 13,8 | 0,0585 | 0,0140 |
Клееные стройматериалы: фанера | 18,4 | 0,0167 | 0,0089 |
(справочное)
ТЕПЛОФИЗИЧЕСКИЕ СВОЙСТВА ДЫМОВЫХ ГАЗОВ
Теплофизические свойства газообразных продуктов горения, необходимые для расчетов зависимости различных параметров от температуры данной газовой среды, могут быть установлены на основе приведенных в таблице значений. В частности, указанные зависимости для теплоемкости газа получены в виде

,
где a = 1,3615803; b = 7,0065648; c = 0,0053034712; d = 20,761095;

,
где a = 0,94426057; b = 0,00035133267; c = -0,0000000539.
Первая зависимость является предпочтительной по точности аппроксимации, вторая зависимость может быть принята для проведения расчетов меньшей точности.
Физические параметры дымовых газов при P = 0,0981 МПа
[10]
t, °C |  , кг/м3 |  , кДж/(кг x град) |  , Вт/(м x град) |  , м2/с |  , кг/(м x с) |  , м2/с | Pr |
0 | 1,296 | 1,04 | 2,28 | 16,89 | 15,78 | 12,20 | 0,72 |
100 | 0,951 | 1,07 | 3,13 | 30,83 | 20,39 | 21,54 | 0,69 |
200 | 0,749 | 1,10 | 4,01 | 48,89 | 24,50 | 32,80 | 0,67 |
300 | 0,618 | 1,12 | 4,84 | 69,89 | 28,23 | 45,81 | 0,65 |
400 | 0,526 | 1,15 | 5,70 | 94,28 | 31,69 | 60,38 | 0,64 |
500 | 0,457 | 1,18 | 6,56 | 121,14 | 34,85 | 76,30 | 0,63 |
600 | 0,405 | 1,21 | 7,42 | 150,89 | 37,87 | 93,61 | 0,62 |
700 | 0,363 | 1,24 | 8,27 | 183,81 | 40,69 | 112,10 | 0,61 |
800 | 0,330 | 1,26 | 9,15 | 219,69 | 43,38 | 131,80 | 0,60 |
900 | 0,301 | 1,29 | 10,01 | 257,97 | 45,91 | 152,50 | 0,59 |
1000 | 0,275 | 1,31 | 10,90 | 303,36 | 48,36 | 174,30 | 0,58 |
1100 | 0,257 | 1,32 | 11,75 | 345,47 | 40,90 | 197,10 | 0,57 |
1200 | 0,240 | 1,34 | 12,62 | 392,42 | 52,99 | 221,00 | 0,56 |
(обязательное)
ВОЗДУХОПРОНИЦАЕМОСТЬ И ДЫМОГАЗОПРОНИЦАЕМОСТЬ
ВОЗДУХОВОДОВ И КЛАПАНОВ
1. Определение утечек или подсосов воздуха через каналы систем противодымной вентиляции должно производиться с использованием следующих основных зависимостей.
Для вентиляционных каналов различного, в том числе строительного, исполнения систем приточно-вытяжной противодымной вентиляции согласно нормированной [
1,
2] плотности конструкций этих каналов по классу герметичности "B" (кроме воздухозаборных каналов систем приточной противодымной вентиляции):

,
где

- утечки или подсосы воздуха через неплотности конструкций вентиляционного канала или участка этого канала, кг/с;

- плотность воздуха при температуре

или

при определении утечек или подсосов воздуха соответственно, кг/м3;

- давление во входном сечении вентиляционного канала или участка этого канала, Па;

- давление в выходном сечении вентиляционного канала или участка этого канала, Па;

- площадь проходного сечения вентиляционного канала или участка этого канала, м2;

- эквивалентный гидравлический диаметр проходного сечения вентиляционного канала или участка этого канала, м;

- длина вентиляционного канала или участка этого канала, м.
Для воздухозаборных каналов строительного исполнения систем приточной противодымной вентиляции (в диапазоне давлений 200 - 1400 Па):

,
где

- подсосы воздуха через неплотности конструкций вентиляционного канала или участка этого канала, кг/с;
P - давление в выходном сечении вентиляционного канала или участка этого канала, Па;

- плотность воздуха при температуре

, кг/м3;
a = 10,752331; b = 0,0069397038; c = 0,66419906.
2. Для противопожарных нормально закрытых клапанов числовые значения удельной характеристики сопротивления дымогазопроницанию в зависимости от температуры газа соответствуют нижеприведенным табличным данным, полученным при обработке результатов стандартных сертификационных испытаний на экспериментальной базе ВНИИПО образцов продукции различных предприятий-изготовителей.
Температура, °C | Характеристика удельного сопротивления дымогазопроницанию, м3/кг |
20 | 29900 |
20 - 100 | 30300 |
100 - 200 | 38300 |
200 - 300 | 37900 |
300 - 500 | 29300 |