Главная // Актуальные документы // Лист (форма)СПРАВКА
Источник публикации
М., 2022
Примечание к документу
Документ включен в
Перечень документов в области стандартизации, в результате применения которых на добровольной основе обеспечивается соблюдение требований Федерального
закона от 30.12.2009 N 384-ФЗ "Технический регламент о безопасности зданий и сооружений" (
Приказ Росстандарта от 02.04.2020 N 687).
Документ
введен в действие с 25.02.2022.
Название документа
"СП 508.1325800.2022. Свод правил. Мощение с применением бетонных вибропрессованных изделий. Правила проектирования, строительства и эксплуатации"
(утв. и введен в действие Приказом Минстроя России от 24.01.2022 N 38/пр)
"СП 508.1325800.2022. Свод правил. Мощение с применением бетонных вибропрессованных изделий. Правила проектирования, строительства и эксплуатации"
(утв. и введен в действие Приказом Минстроя России от 24.01.2022 N 38/пр)
Утвержден и введен в действие
и жилищно-коммунального хозяйства
Российской Федерации
от 24 января 2022 г. N 38/пр
СВОД ПРАВИЛ
МОЩЕНИЕ С ПРИМЕНЕНИЕМ БЕТОННЫХ ВИБРОПРЕССОВАННЫХ ИЗДЕЛИЙ
ПРАВИЛА ПРОЕКТИРОВАНИЯ, СТРОИТЕЛЬСТВА И ЭКСПЛУАТАЦИИ
Paving with concrete blocks and slabs.
Design, construction and maintenance
СП 508.1325800.2022
Дата введения
25 февраля 2022 года
Сведения о своде правил
1 ИСПОЛНИТЕЛИ - Ассоциация производителей мелкоштучных бетонных изделий (Ассоциация ПМБИ), Ассоциация производителей вибропрессованных изделий для строительства, мощения и благоустройства (АПВИ)
2 ВНЕСЕН Техническим комитетом по стандартизации ТК 465 "Строительство"
3 ПОДГОТОВЛЕН к утверждению Департаментом градостроительной деятельности и архитектуры Министерства строительства и жилищно-коммунального хозяйства Российской Федерации (Минстрой России)
4 УТВЕРЖДЕН
приказом Министерства строительства и жилищно-коммунального хозяйства Российской Федерации от 24 января 2022 г. N 38/пр и введен в действие с 25 февраля 2022 г.
5 ЗАРЕГИСТРИРОВАН Федеральным агентством по техническому регулированию и метрологии (Росстандарт)
6 ВВЕДЕН ВПЕРВЫЕ
В случае пересмотра (замены) или отмены настоящего свода правил соответствующее уведомление будет опубликовано в установленном порядке. Соответствующая информация, уведомление и тексты размещаются также в информационной системе общего пользования - на официальном сайте разработчика (Минстрой России) в сети Интернет
Настоящий свод правил разработан в целях обеспечения соблюдения требований Федерального
закона от 30 декабря 2009 г. N 384-ФЗ "Технический регламент о безопасности зданий и сооружений".
Свод правил разработан авторским коллективом Ассоциации производителей мелкоштучных бетонных изделий и Ассоциации производителей вибропрессованных изделий для строительства, мощения и благоустройства (руководитель разработки - канд. техн. наук Ю.Б. Костиков, А.В. Логвинов, Е.Е. Любомирова, С.Ю. Юшта, О.Е. Евдокимова, Г.А. Кочубей, А.С. Новиков, Р.М. Чижов, А.Р. Хахамов).
При подготовке свода правил использованы предложения и материалы ООО "Миаком СПб" (канд. техн. наук А.В. Мошенжал, И.П. Резяпкин, Д.Е. Ерченко), ООО "АзъПроектСтрой" (канд. техн. наук С.О. Гунин), СПбГАСУ (канд. техн. наук В.Д. Староверов), АО "Зиверт Рус" (О.В. Ермолаев).
Настоящий свод правил устанавливает правила проектирования, устройства и эксплуатации дорожных покрытий из бетонных вибропрессованных камней/плит мощения:
- тротуаров, пешеходных улиц и площадей;
- дорожно-тропиночной сети парков, садов и ландшафтно-рекреационных территорий;
- проезжих частей улиц и дорог местного значения, проездов, площадок парковок и стоянок автомобилей;
- площадок и проездов, открытых складских площадок, внутриплощадочных дорог морских и речных портов, контейнерных терминалов, коммунальных и складских объектов;
- перронов аэродромов, мест стоянок воздушных судов, площадок специального назначения и площадок хранения спецавтотехники;
- пассажирских перронов железнодорожных вокзалов;
- временных и объездных дорог;
- эксплуатируемых кровель зданий и сооружений.
В своде правил не рассматриваются покрытия из камней/плит мощения, швы и подстилающий слой которых выполняют с применением растворов на основе трассово-цементных, полимерных вяжущих или вяжущих из синтетических смол.
В настоящем своде правил использованы нормативные ссылки на следующие документы:
ГОСТ 8267-93 Щебень и гравий из плотных горных пород для строительных работ. Технические условия
ГОСТ 13015-2012 Изделия железобетонные и бетонные для строительства. Общие технические требования. Правила приемки, маркировки, транспортирования и хранения
ГОСТ 22856-89 Щебень и песок декоративные из природного камня. Технические условия
ГОСТ 30108-94 Материалы и изделия строительные. Определение удельной эффективной активности естественных радионуклидов
ГОСТ 31424-2010 Материалы строительные нерудные из отсевов дробления плотных горных пород при производстве щебня. Технические условия
ГОСТ 32960-2014 Дороги автомобильные общего пользования. Нормативные нагрузки, расчетные схемы нагружения
ГОСТ Р 52875-2018 Указатели тактильные наземные для инвалидов по зрению. Технические требования
ГОСТ Р 55028-2012 Дороги автомобильные общего пользования. Материалы геосинтетические для дорожного строительства. Классификация, термины и определения
СП 20.13330.2016 "СНиП 2.01.07-85* Нагрузки и воздействия" (с изменениями N 1, N 2, N 3)
СП 45.13330.2017 "СНиП 3.02.01-87 Земляные сооружения, основания и фундаменты" (с изменениями N 1, N 2)
СП 59.13330.2020 "СНиП 35-01-2001 Доступность зданий и сооружений для маломобильных групп населения"
СП 78.13330.2012 "СНиП 3.06.03-85 Автомобильные дороги" (с изменениями N 1, N 2)
СП 82.13330.2016 "СНиП III-10-75 Благоустройство территорий" (с изменениями N 1, N 2)
Примечание - При пользовании настоящим сводом правил целесообразно проверить действие ссылочных документов в информационной системе общего пользования - на официальном сайте федерального органа исполнительной власти в сфере стандартизации в сети Интернет или по ежегодному информационному указателю "Национальные стандарты", который опубликован по состоянию на 1 января текущего года, и по выпускам ежемесячного информационного указателя "Национальные стандарты" за текущий год. Если заменен ссылочный документ, на который дана недатированная ссылка, то рекомендуется использовать действующую версию этого документа с учетом всех внесенных в данную версию изменений. Если заменен ссылочный документ, на который дана датированная ссылка, то рекомендуется использовать версию этого документа с указанным выше годом утверждения (принятия). Если после утверждения настоящего свода правил в ссылочный документ, на который дана датированная ссылка, внесено изменение, затрагивающее положение, на которое дана ссылка, то это положение рекомендуется применять без учета данного изменения. Если ссылочный документ отменен без замены, то положение, в котором дана ссылка на него, рекомендуется применять в части, не затрагивающей эту ссылку. Сведения о действии сводов правил целесообразно проверить в Федеральном информационном фонде стандартов.
В настоящем своде правил применены следующие термины с соответствующими определениями:
3.1 бетонные вибропрессованные изделия для мощения: Плиты бетонные тротуарные мелкоштучные (камни мощения) и плиты бетонные тротуарные крупноразмерные (плиты мощения, в т.ч. крупноформатные).
3.2 бетонные тактильные плиты: Камни/плиты мощения с продольными или конусообразными рифами.
3.3 бортовой камень: Строительное изделие, изготовленное из бетона или из естественных каменных материалов и предназначенное для отделения проезжей части улиц и дорог от тротуаров, газонов, площадок и т.п.
3.4
выцветы (высолы): Отложение на поверхности плит кристаллов растворимых соединений из состава бетона. |
3.5
геосинтетический материал: Материал из синтетических или природных полимеров и неорганических веществ, контактирующий с грунтом или другими средами, применяемый в дорожном строительстве. |
3.6 дренажный слой: Слой для отвода воды, выполненный из песка, гравия, щебня либо из дренажных профилированных мембран и геокомпозитов.
3.7 дренирующий (дренажный) бетон (раствор): Бетон, содержащий крупный заполнитель при отсутствии или минимальном содержании мелкого заполнителя, а также недостаточное для заполнения пор и пустот количество цементного теста.
3.8
доборная плита: Изделие, иногда часть плиты, применяемое для заполнения промежутков между элементами дорожного покрытия и обеспечивающее сплошное (полное) покрытие поверхности. |
3.9 дорожная одежда с покрытием из камней/плит мощения: Многослойная конструкция, воспринимающая внешнюю нагрузку и передающая ее на подстилающий массив грунта - земляное полотно.
3.10 зеленые швы: Швы между камнями/плитами для образования травяного покрова.
3.11 камень мощения: Строительное изделие, изготовленное из бетона и предназначенное для устройства дорожных покрытий, у которого отношение длины к толщине не превышает четырех.
3.12
колормикс: Технология производства многоцветных плит путем смешивания бетонной смеси двух и более цветов. |
3.13 лицевая поверхность: Видимая при эксплуатации поверхность камня или плиты, подвергающаяся воздействию факторов внешней среды, в т.ч. противогололедных реагентов, и предназначенная для образования поверхности дорожного покрытия.
3.14 морозное пучение дорожной одежды: Неравномерное поднятие поверхности дорожной одежды по причине замерзания влаги, накапливающейся в зоне промерзания.
3.15 морозоустойчивость дорожной одежды: Способность дорожной одежды ограничивать морозное пучение допустимыми пределами.
3.16 мощение: Устройство покрытия территории земельного участка способом укладки бетонных вибропрессованных изделий.
3.17 мультиформат (смешанная коллекция): Камни/плиты нескольких типоразмеров в одной упаковочной единице.
3.18 основание: Часть дорожной одежды, обеспечивающая совместно с покрытием перераспределение и снижение давления на расположенные ниже дополнительные слои или грунт земляного полотна.
3.19 плита мощения: Строительное изделие, изготовленное из бетона и предназначенное для устройства дорожных покрытий, длина которого превышает его толщину в четыре и более раза.
3.20 плита мощения крупноформатная: Строительное изделие, изготовленное из бетона и предназначенное для устройства дорожных покрытий, длина которого составляет от 400 до 1250 мм, а минимальная номинальная толщина составляет не менее 120 мм; при этом отношение длины к ширине должно быть не более 2.
3.21 подстилающий слой: Нижняя часть покрытия из камней/плит мощения, необходимая для выравнивания неровностей основания и компенсации допусков по толщине изделий для мощения.
3.22 покрытие из камней/плит мощения: Верхняя часть дорожной одежды, воспринимающая воздействия от автомобильного и/или пешеходного движения (истирающие, ударные и сдвигающие нагрузки) и подвергающаяся непосредственному воздействию атмосферных факторов.
3.23 растровый размер камней/плит: Размер камней/плит в плане (длина, ширина) с учетом минимального необходимого шва в укладке.
3.24 рисунок мощения (раскладка камней/плит мощения): Геометрическая схема, по которой укладываются изделия для мощения.
3.25 упаковка: Совокупность материалов (транспортный поддон, полиэтиленовая пленка, стретч-пленка, лента из полиэстера и пр.), обеспечивающая целостность и сохранность изделий при транспортировании и хранении.
3.26
шовообразователь: Выступающий профиль на боковой поверхности плиты для создания зазора при укладке смежных изделий. |
Требования к бетонным вибропрессованным камням/плитам мощения приведены в
ГОСТ 17608.
Примеры бетонных вибропрессованных изделий приведены в
приложении А.
Совместно с бетонными вибропрессованными камнями/плитами применяют сопутствующие изделия: доборные камни/плиты; бетонные тактильные плиты по
ГОСТ Р 52875; бортовые бетонные камни, металлические и пластиковые полосы для фиксации краев мощения; элементы водосборной системы; осветительное оборудование; элементы системы снеготаяния; якоря для фиксации плит от смещения при воздействии нагрузки от автотранспорта; фиксаторы одинаковой ширины шва (для "зеленых" и дренирующих швов); камни/плиты из естественных каменных материалов; элементы подпорных стен; элементы ступеней лестниц; палисады; газонные решетки.
5 Проектирование конструкций мощения
Порядок проектирования включает:
- выбор конструкции покрытия (камень/плита мощения, форма, размеры, материал и толщина подстилающего слоя, материал заполнения швов, закрепление краев покрытия);
- назначение числа конструктивных слоев с выбором материалов для устройства слоев;
- размещение слоев в конструкции и назначение их ориентировочных толщин;
- расчет конструкции дорожной одежды с покрытием из камней/плит мощения на прочность, морозоустойчивость и осушение.
Проектирование дренажа для дорожных одежд с покрытием из камней/плит следует выполнять согласно требованиям
СП 250.1325800.
5.2 Назначение параметров покрытия
Размеры и формы камней/плит мощения
Размеры камней/плит мощения определяются в техническом задании заказчика, проектом строительства или ремонта покрытия.
При проектировании покрытия необходимо стремиться к тому, чтобы ширина покрытия была кратна размерам в плане используемых камней/плит мощения с учетом ширины швов.
Камни мощения применяют для устройства покрытий пешеходных дорожек (зон) и покрытий, подвергающихся динамическим нагрузкам от движения автомобилей, технологического транспорта и т.п.
Плиты мощения применяют для покрытий пешеходных дорожек (зон) и покрытий улиц и дорог с ограничением скорости движения автотранспорта до 20 км/ч.
Толщина камней/плит назначается для каждого конкретного случая применения мощения с учетом особенностей объекта, интенсивности и состава движения, опыта строительства и эксплуатации аналогичных участков мощения.
Минимальная толщина камней мощения для устройства покрытий:
- тротуаров улиц и дорог - 60 мм;
- для заезда автомобилей - 80 мм;
- площадок и проездов, открытых складских площадок, внутриплощадочных дорог морских и речных портов, контейнерных терминалов, коммунальных и складских объектов, проезжих частей улиц и дорог местного значения, временных и объездных дорог, перронов аэродромов, мест стоянок воздушных судов, площадок специального назначения и площадок хранения спецавтотехники - 100 мм.
Толщина плит определяется исходя из расчетов на прочность в зависимости от их габаритных размеров, действующих на покрытие нагрузок и вида основания. При определении допустимой толщины плит следует использовать данные
таблицы 1.
Таблица 1
Область применения | Длина (наибольший размер) плиты | Толщина плиты, мм |
Тротуары, пешеходные улицы и площади; дорожно-тропиночная сеть парков, садов и ландшафтно-рекреационных территорий | До 400 мм | >= 40 - 50 |
> 400 мм до <= 600 мм | >= 60 |
> 600 мм до <= 800 мм | >= 80 |
> 800 мм до <= 1 000 мм | >= 80 |
Тротуары, пешеходные улицы и площади; дорожно-тропиночная сеть парков, садов и ландшафтно-рекреационных территорий с возможностью заезда специального (обслуживающего) транспорта с полной массой до 3,5 т (или 0,875 т/колесо) | До 400 мм | >= 80 |
> 400 мм до <= 600 мм | >= 80 |
> 600 мм до <= 800 мм | >= 100 |
> 800 мм до <= 1 000 мм | >= 100 |
Тротуары, пешеходные улицы и площади; дорожно-тропиночная сеть парков, садов и ландшафтно-рекреационных территорий с возможностью заезда специального (обслуживающего) транспорта с полной массой до 9 т (или 2, 25 т/колесо) | До 400 мм | >= 100 |
> 400 мм до <= 600 мм | >= 120 |
> 600 мм до <= 800 мм | >= 120 мм |
> 800 мм до <= 900 мм | >= 120 мм |
> 900 мм до <= 1 000 мм | >= 140 мм |
Проезжая часть улиц и дорог местного значения в зонах жилой застройки для движения автотранспорта с полной массой до 9 т (или 2,25 т/колесо) | > 400 мм до <= 600 мм | >= 140 мм |
> 600 мм до <= 800 мм | >= 160 мм |
Проезжая часть улиц и дорог местного значения в зонах общественно-деловой застройки для движения автотранспорта с полной массой до 9 т (или 2,25 т/колесо) | > 400 мм до <= 600 мм | >= 160 мм |
> 600 мм до <= 800 мм | >= 180 мм |
Проезжая часть улиц и дорог местного значения в зонах общественно-деловой застройки для движения автобусов и автомобилей с полной массой до 18 тонн (или 4,5 т/колесо) (до 65 автобусов в день) | > 400 мм до <= 600 мм | >= 180 мм |
При выборе толщины камней/плит мощения необходимо учитывать возможные дополнительные нагрузки, возникающие:
- при движении транспортных средств по колее, в узких поворотах и пространстве;
- на перекрестках и примыканиях дорог и на участках дорог и площадях с продольным уклоном более 50%;
- при воздействии статических сосредоточенных нагрузок (выносные опоры строительно-дорожной техники, фитинги контейнеров).
Для дорожных покрытий, подвергающихся дополнительным нагрузкам, требуется принимать следующие меры при проектировании:
- увеличение толщины камней/плит выше рекомендованных значений;
- уменьшение общей длины плит;
- применение камней/плит с фигурными боковыми гранями или с ребристой боковой поверхностью
(приложение А).
При статических точечных нагрузках, например, от опор кранов или опор какого-либо оборудования следует применять распределяющую нагрузку промежуточной прокладки, которая укладывается по возможности на несколько камней/плит.
Фигурные камни мощения (с зацеплением) или камни/плиты мощения с ребристой боковой поверхностью
(приложение А) следует использовать на участках дорог с продольным уклоном свыше

и на участках дорог с движением автомобильного или технологического транспорта.
Камни/плиты с рифленой (мелкоребристой) опорной поверхностью имеют повышенные сцепные свойства с основанием.
При автомобильном движении следует исключать возможность применения в покрытии камней/плит, более чем в два раза различающихся размерами в плане.
Боковые грани камней могут быть прямыми, наклонными или фигурными. В случае использования элементов с наклонными или фигурными гранями осложняется устройство и разборка покрытия.
Рисунок мощения
Раскладки камней/плит, особенно смешанной коллекции (мультиформат), должны быть запрошены у изготовителя.
При автомобильном движении продольная ось мощения не должна совпадать с направлением движения.
Следует заблаговременно увязывать форму, размеры и раскладку камней/плит с конкретным участком мощения для уменьшения количества пиленых стыков. При проектировании покрытия необходимо стремиться к тому, чтобы ширина покрытия была кратна растровым размерам используемых камней/плит мощения, чтобы сократить необходимость обрезки или образование неровных кромок реза.
Предпочтительно использовать доборные камни/плиты для уменьшения работ по подрезке или колке изделий на месте строительства.
Различные типы камней/плит не согласуются между собой габаритами и формой. На границе их стыков можно использовать бортовой камень, металлические или пластиковые полосы, натуральные мелкоштучные колотые или пиленые брусчатые камни (шашку), булыжник.
На стадии проектирования должен быть определен способ укладки покрытия - ручной или механизированный. Механизированная укладка, как правило, используется при мощении протяженных территорий с однотипным рисунком мощения.
Количество камней/плит, необходимое для мощения, определяется по растровым размерам изделий.
Подстилающий слой
Материал подстилающего слоя должен быть со следующими свойствами:
- легко уплотняться (проседать) под действием вибрации для обеспечения посадки камней/плит при мощении и проникать в швы снизу, частично обеспечивая их заполнение;
- пропускать сквозь себя воду, не накапливая ее;
- обладать наименьшим объемом межзерновых пустот, в связи с чем предпочтение следует отдавать материалам с разнофракционным гранулированным составом (непрерывным).
Для подстилающего слоя в зависимости от особенностей объекта применяют:
- пески для строительных работ I или II класса по
ГОСТ 8736 крупностью не ниже мелкого (мелкий, средний, крупный, повышенной крупности);
- песок, укрепленный 8% - 12% цемента;
- пески из отсевов дробления по
ГОСТ 31424 крупностью не ниже мелкого (мелкий, средний, крупный, повышенной крупности, очень крупный) марки по дробимости не ниже 600;
- щебень и гравий из плотных горных пород по
ГОСТ 8267 фракций от 5 (3) до 10 мм;
- щебень, извлекаемый при рассеве отсевов дробления по
ГОСТ 31424, фракции от 5 (3) до 10 мм марки по дробимости не ниже 600.
Содержание пылевидных и глинистых частиц во всех материалах не более 3%, а также глины в комках не должно превышать 0,35%.
Содержание частиц менее 0,05 мм в материалах подстилающего слоя должно быть не более 4%.
Допустимое содержание пород и минералов, относимых к вредным компонентам и примесям, в материале подстилающего слоя должно не превышать значений, указанных в
приложении А ГОСТ 8736-2014.
Коэффициент фильтрации материалов подстилающего слоя должен быть не менее 1 м/сут.
Материалам подстилающего слоя должна быть дана радиационно-гигиеническая оценка, по результатам которой устанавливают область их применения в соответствии с
приложением А ГОСТ 30108-94.
Применять для подстилающего слоя щебень и крупные, повышенной крупности, очень крупные пески целесообразно для дренирующих покрытий
(5.5).
Толщина подстилающего слоя в уплотненном состоянии должна быть 3 - 5 см для камней/плит толщиной до 12 см и 4 - 6 см - для камней/плит толщиной свыше 12 см. Чем выше нагрузка на покрытие, тем меньше должна быть толщина подстилающего слоя. Минимальная толщина подстилающего слоя - 3 см.
Дренирующая способность подстилающего слоя должна быть больше дренирующей способности швов.
Для устройства подстилающего слоя не следует применять сухую песчано-цементную смесь. Кроме этого, применение цемента в подстилающем слое может быть дополнительным источником высолов на поверхности мощения.
В обоснованных случаях (например, при устройстве водосборных лотков) для подстилающего слоя могут применяться дренажные растворы заводского изготовления.
Швы
Ширину швов между камнями/плитами принимают в зависимости от их толщины
(таблица 10). На путях движения маломобильных групп населения ширина швов должна быть не более 5 мм. Ширину дренирующих и "зеленых" швов (швов, заполненных растительным грунтом) устанавливают проектом. Предпочтительная ширина дренирующих швов 15 мм, "зеленых" - не менее 50 мм.
Для заполнения швов применяют следующие материалы:
- пески для строительных работ I или II класса по
ГОСТ 8736 крупностью не ниже мелкого (мелкий, средний, крупный, повышенной крупности);
- пески из отсевов дробления по
ГОСТ 31424 крупностью не ниже мелкого (мелкий, средний, крупный, повышенной крупности, очень крупный) марки по дробимости не ниже 600;
- песок декоративный из природного камня по
ГОСТ 22856;
- щебень декоративный из природного камня по
ГОСТ 22856 фракции от 5 до 10 мм.
Содержание пылевидных и глинистых частиц во всех материалах не более 3%, при этом не допускается содержание глины в комках.
Содержание частиц менее 0,05 мм в песках должно быть не более 4%.
Допустимое содержание пород и минералов, относимых к вредным компонентам и примесям, в материале для заполнения швов не должно превышать значений, указанных в
приложении А ГОСТ 8736-2014.
Материалам для заполнения швов должна быть дана радиационно-гигиеническая оценка, по результатам которой устанавливают область их применения в соответствии с
приложением А ГОСТ 30108-94.
Коэффициент фильтрации материалов для заполнения должен быть не менее 1 м/сут.
Применение для заполнения швов сухой песчано-цементной смеси недопустимо.
Максимальный размер зерна материала для заполнения швов должен быть меньше ширины шва не менее чем на 20%.
Материал для заполнения швов может быть дополнительно обработан стабилизатором на основе полимеров.
Объем материала для заполнения швов в покрытии P, м3, в первом приближении определяют по формуле
P = [S/(a·b)]·(a + b)·h·t, (1)
где S - площадь дорожного покрытия, м2;
a - длина элемента мощения, м;
b - ширина элемента мощения, м;
h - толщина элемента мощения, м;
t - ширина шва, м.
Расчетную ширину швов между вибропрессованными камнями/плитами принимают в зависимости от толщины камней/плит
(таблица 10).
В покрытиях из вибропрессованных камней/плит температурные швы не устраивают.
Деформационные швы выполняют над швами в несущей конструкции и основании. Для их устройства могут быть использованы специальные профили заводского изготовления.
5.3 Уклоны. Водоотвод. Гидроизоляция
Дорожные покрытия из камней/плит мощения должны быть с минимальным и достаточным наклоном, что особенно актуально для протяженных покрытий с несколькими высотными отметками. Наклон свыше

может быть причиной вымывания материала для заделки швов при сильном дожде.
При проектировании поперечных уклонов следует учитывать, что водоотводящая способность дорожных покрытий из камней/плит мощения (за исключением комбинированных покрытий, см.
5.5) ниже, чем асфальтобетонных. Результирующий уклон к лоткам или другим водоотводящим устройствам должен быть не менее

. На путях движения маломобильных групп населения поперечный уклон пешеходных путей должен составлять от

до

(от 1:200 до 1:50 по
СП 59.13330).
Уклоны эксплуатируемой кровли с защитным слоем из камней/плит должны быть 1,5% - 3%

по
СП 17.13330.
Предпочтительна установка линейно проложенного водосборного желоба или строительство мощеного желоба. Швы между камнями желоба могут быть заполнены водонепроницаемыми растворами на основе вяжущих. Поверхность мощения должна быть выше кромки водосборного лотка на 3 - 10 мм.
Для обеспечения отвода воды от водосточных труб и предотвращения вымывания материала заполнения швов дождевыми стоками необходимо предусматривать: приемные лотки, короба, желоба, которые встраиваются в мощение.
Встроенные элементы водосборной системы следует тщательно проектировать и исполнять.
Учитывая водопроницаемость покрытия из камней/плит мощения за счет швов, ограждающие конструкции зданий необходимо гидроизолировать. Гидроизоляция должна соответствовать требованиям
СП 71.13330.
Конструктивные решения эксплуатируемых кровель (водоизоляционного ковра, защитного слоя из камней/плит мощения) должны соответствовать требованиям
СП 17.13330.
Для эксплуатируемых инверсионных кровель следует применять воронки внутреннего водостока с дренажными кольцами для отвода воды, попавшей под покрытие через швы в мощении и теплоизоляционные плиты. Для предотвращения попадания сыпучих материалов из слоев мощения в водоотводящую систему следует применять фильтры из нетканого геотекстиля.
Проектирование дренажа при устройстве покрытий из камней/плит мощения обязательно.
5.4 Закрепление краев мощения. Примыкания
Для предотвращения вымывания или выноса материала подстилающего слоя и разрушения мощения, края покрытия из камней/плит мощения должны быть зафиксированы бортовыми гранитными или бетонными камнями, пластиковыми или металлическими полосами, натуральными камнями.
Пластиковые или металлические полосы для закрепления краев используют, как правило, при устройстве дорожных покрытий пешеходных зон. К основанию полосы закрепляются штырями.
Толщина пластиковых полос должна быть не менее 2 мм, а металлических - не менее 3 мм.
В местах примыкания мощения к асфальтовому покрытию или в местах перехода покрытий различных типов следует закреплять край покрытия.
Места примыканий покрытий из камней/плит мощения к колодцам, опорам и другим, встраиваемым в покрытие элементам, могут быть выполнены гранитными или бетонными мелкоштучными камнями.
Бортовые камни должны устанавливаться в бетонную обойму из бетона класса B15. Требования к закреплению бортовых камней приведены в
таблице 2.
Таблица 2
Требования к закреплению бортовых камней
Применение покрытия из камней/плит мощения | Толщина основания бетонной обоймы, см | Ширина бетонной обоймы с каждой стороны бортового камня, см |
Тротуары, пешеходные улицы и площади; дорожно-тропиночная сеть парков, садов и ландшафтно-рекреационных территорий | >= 8 | >= 8 |
Проезжие части улиц и дорог местного значения, проезды, площадки парковок и стоянок автомобилей, временные и объездные дороги | >= 10 | >= 10 |
Площадки и проезды, открытые складские площадки, внутриплощадочные дороги морских и речных портов, контейнерных терминалов, коммунальных и складских объектов | >= 15 | >= 15 |
Перроны аэродромов, места стоянок воздушных судов, площадки специального назначения и площадки хранения спецавтотехники | >= 15 | >= 15 |
Вокруг колодцев должно выполняться обрамление из камней (бетонных, натуральных), по возможности, в форме трапеции и квадратов. Подгонка (подрезка) рисунка мощения проводится за пределами обрамления.
5.5 Комбинированные и дренирующие покрытия
Комбинированные покрытия представляют собой сочетание камней/плит мощения с газонным покрытием или с природными сыпучими материалами (песок, щебень, песок из отсевов дробления щебня и др.).
Не допускается применение комбинированных покрытий на основных путях движения маломобильных групп населения (МГН). Покрытия с применением "зеленых" швов допускаются на второстепенных путях движения, дублирующих основные пути движения маломобильных групп населения.
На площадках с пешеходным движением малой интенсивности или как элемент укрепления допускается устройство покрытий из камней мощения с "зелеными" швами. "Зеленые" швы следует заполнять щебеночно-песчаной, гравийно-песчаной или щебеночно-гравийно-песчаной смесью, песчано-гравийной смесью, перемешанной с растительным грунтом с примерным отношением 1:1.
При использовании покрытия с "зелеными" швами их ширина назначается проектировщиком. Ширина таких швов - не менее 50 мм. Для устройства "зеленых" швов могут использоваться специальные фиксаторы (из дерева, пластмассы) для обеспечения одинаковой ширины швов.
Для устройства комбинированных покрытий и "зеленых" швов используют травы, образующие плотную дернину, устойчивые к неблагоприятным условиям и вытаптыванию.
Для уменьшения нагрузки на канализационную систему, а также для сбора и последующего использования дождевой воды могут устраиваться дренирующие покрытия из камней/плит мощения.
Дренирующие дорожные покрытия могут быть выполнены:
- из специальных решетчатых камней/плит мощения
(приложение А) с заполнением пустот (ячеек) мелким гранитным щебнем, галькой или песком из отсевов дробления щебня; другими мелкозернистыми материалами; материалы могут быть дополнительно закреплены эпоксидными вяжущими;
- из камней мощения с увеличенными выступами на ребрах
(приложение А) с заполнением швов мелкозернистыми материалами (например, гранитная крошка) или водопроницаемыми растворами на основе вяжущих;
- из проницаемых камней/плит мощения, обладающих свойством фильтрации воды атмосферных осадков.
Комбинированные и дренирующие покрытия используются на улицах и дорогах местного значения.
5.6 Конструирование основания
При конструировании оснований для покрытий из камней/плит следует руководствоваться следующими принципами:
а) конструкция одежды в целом должна удовлетворять транспортным, эксплуатационным и экологическим требованиям, предъявляемым к территориям той или иной застройки;
б) конструкция дорожной одежды должна быть дренируемой;
в) при технико-экономической необходимости взамен стандартных (традиционных) "каменных" материалов применяют малопрочные "каменные" материалы (слабые известняки, опока, гравийные материалы, дресва, отсевы горных пород), побочные продукты промышленности и грунты, свойства которых могут быть улучшены обработкой их вяжущими (цемент, цемент с полимерной добавкой, битум, битумная эмульсия, известь, активные золы уноса, нефелиновый шлам, смеси щебеночно-песчаные шлаковые и др.) и полимерными добавками;
г) конструкция должна быть технологичной и обеспечивать возможность максимальной механизации и индустриализации дорожно-строительных процессов, число слоев и видов материалов в конструкции должны быть минимальными;
д) при конструировании дорожных одежд необходимо применять местные материалы с предварительной их переработкой или укреплением;
е) минимальный модуль упругости у грунта земляного полотна, независимо от типа грунта, должен быть равен 45 МПа.
Принципиальные схемы дорожных конструкций с применением камней/плит приведены в
приложении Б.
Основание должно быть, как правило, двухслойным:
- несущий слой из прочных, жестких и сдвигоустойчивых слоев и материалов (тощий, малоцементный и легкий бетоны, дренажные бетоны, щебень, гравий, щебеночно- или гравийно-песчаные смеси неармированные и армированные геосинтетическими материалами, материалы и грунты, укрепленные неорганическими вяжущими и добавками);
- дополнительный слой, выполняющий морозозащитные и дренирующие функции (из песка, гравийно-песчаных смесей, щебня, гравия).
Дополнительные слои основания совместно с верхними слоями и покрытием должны обеспечивать необходимую прочность конструкции, морозоустойчивость и дренирующую способность.
Дренирующие слои устраивают из песка, гравийных материалов, щебня, дренажного бетона, дренажных профилированных мембран и других материалов, обладающих высокими показателями фильтрации.
Коэффициент фильтрации слоев основания должен быть не ниже 1 м/сут.
При использовании в конструкции дренажных композитов или профилированных мембран требуется предусматривать место сброса воды.
В случае использования водонепроницаемого основания (например, бетона) необходимо обеспечивать отвод воды с его поверхности, проникающей через швы в мощении. Результирующий уклон поверхности бетонного основания в сторону водосборных устройств должен быть не менее 2,5%. В водосборных устройствах должны быть установлены фильтры из геотекстильного материала для предотвращения вымывания подстилающего слоя.
Для предотвращения переувлажнения земляного полотна, а также для осушения дорожной конструкции следует укреплять верхние слои подстилающих грунтов различными органическими и неорганическими вяжущими.
Для обеспечения возможности устройства однотипной дорожной одежды на участках большой длины или площади при различных грунтово-гидрогеологических условиях и при воздействии разных нагрузок рекомендуется:
- укреплять верхние слои грунтов;
- использовать в дорожных одеждах армирующие геосинтетические материалы по
ГОСТ Р 55028;
- использовать легкие бетоны (газофибробетон).
Подстилающий слой в качестве несущего конструктивного слоя не рассматривается и в расчетах не учитывается.
Толщину слоев основания в уплотненном состоянии следует принимать не менее значений, приведенных в
таблице 3.
Таблица 3
Толщина конструктивных слоев
Материалы конструктивных слоев дорожной одежды | Толщина слоя, см |
Легкие, тощие, малоцементные бетоны, дренажные бетоны | 10 |
Щебеночно-гравийно-песчаные смеси | 15 |
Щебеночные смеси | 15 |
Гравийные смеси | 15 |
Шлаковая щебеночно-песчаная смесь | 15 |
Щебеночные (гравийные) материалы, обработанные органическими вяжущими | 8 |
Щебень, обработанный органическим вяжущим по способу пропитки | 8 |
Щебеночные и гравийные материалы, не обработанные вяжущими: | |
- на песчаном основании | 15 |
- на прочном основании (каменном или из укрепленного грунта) | 8 |
Каменные материалы и грунты, обработанные органическими или неорганическими вяжущими | 10 |
Песок | 20 |
Примечания 1 Толщину конструктивного слоя следует принимать во всех случаях не менее 1,5 размера наиболее крупной фракции применяемого в слое минерального материала. 2 В случае укладки каменных материалов на глинистые и суглинистые грунты следует предусматривать прослойку из песка, высевок, укрепленного (стабилизированного грунта), толщиной не менее 10 см или геосинтетические материалы (геосетки, тканые и нетканые геотекстили, геомембраны и т.п.). |
Порядок расчета
Расчет выполняется в следующем порядке.
1) Определяется давление от расчетной нагрузки на несущее основание с учетом покрытия из камней/плит мощения или покрытие моделируется сплошным слоем, например, из асфальтобетона.
2) В зависимости от вида покрытия (камни/плиты) и конструктивных слоев основания выполняется расчет дорожной одежды по действующим методикам расчета жестких или нежестких дорожных одежд.
3) Плиты мощения дополнительно рассчитываются на изгиб.
Конструкция дорожной одежды назначается по результатам расчета, опыта строительства и эксплуатации аналогичных покрытий с учетом особенностей объекта.
Если проектирование ведется для эксплуатируемой кровли, то крыша должна быть проверена расчетом на действие дополнительных нагрузок от оборудования, транспорта, людей и т.п. в соответствии с
СП 20.13330.
Определение давления на основание
Расчетные нагрузки принимают в зависимости от назначения территории, на которой устраивается мощение, по
ГОСТ 32960 или на основе фактических данных.
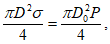
Для определения давления, которое воздействует на несущий слой основания, находящийся под покрытием, рассматривается расчетная схема
(рисунок 1).
D0 - диаметр отпечатка колеса на покрытие; D - диаметр
отпечатка на несущее основание с учетом распределяющей
способности покрытия; P - давление на покрытие от колеса;

- давление на поверхности несущего основания (легкий
бетон, тощий бетон, асфальтобетон, асфальтогранулобетон,
цементобетон и т.п.); hпл - толщина покрытия из камней/плит
мощения;

- угол распределения вертикального
давления

Рисунок 1 - Расчетная схема
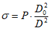
Если давление от колеса
P передается через отпечаток диаметром
D0, то благодаря распределяющему действию покрытия, на поверхности подстилающего основания действует напряжение

, передающееся через штамп диаметром
D. Из условий статического равновесия следует

(2)
откуда давление на поверхности несущего основания

, где
D =
D0 + 2
hпл·tg45° =
D0 + 2
hпл. (3)
Давление

на несущее основание может быть определено с учетом реакции слоя камней
Rбп в зависимости от их высоты (толщины):
при | hбп = 60 мм - Rбп = 0,50P; |
| hбп = 80 мм - Rбп = 0,62P; |
| hбп = 100 мм - Rбп = 0,74P. |
Предполагается, что прикладываемая нагрузка P распределяется на нижележащее грунтовое основание под углом в 45° по площади F1. Интенсивность нагрузки, действующей на несущее основание, учитывая реакцию слоя блоков Rбп равна

(4)
Расчетные характеристики покрытия
Покрытие из камней/плит может моделироваться сплошным слоем. При таком подходе:
- модуль упругости покрытия равен модулю упругости нижележащего несущего основания или асфальтобетона;
- модуль упругости покрытия выбирают по
таблице 4.
Таблица 4
Расчетные модули упругости покрытия из камней/плит мощения
в зависимости от категории дороги и улицы
Kпр | 0,63 | 0,84 | 0,87 | 0,90 | 0,94 | 1,0 | 1,05 |
E1 | 2790 | 2437 | 2290 | 2126 | 1920 | 1620 | 1350 |
E2 | 3160 | 2762 | 2600 | 2410 | 2180 | 1840 | 1534 |
Обозначения: Kпр - коэффициент прочности для дорог и улиц (таблица 5); E1 - расчетный модуль упругости для камней/плит простой формы с плоскими гранями; E2 - то же, для камней/плит с горизонтальной связью. Средние значения модулей упругости по результатам испытаний: E1 = 3000 МПа; E2 = 3400 МПа. |
Таблица 5
Коэффициенты прочности для дорог и улиц
Категория дорог и улиц | Kпр |
Улицы и дороги местного значения: | |
- улицы в зонах жилой застройки; | 1,05 |
- улицы в общественно-деловых и торговых зонах; | 1,00 |
- улицы и дороги в производственных зонах; | 0,94 |
- пешеходные улицы и площади | 0,90 |
Дорожно-тропиночная сеть парков, садов и ландшафтно-рекреационных территорий | 0,84 |
Временные и объездные дороги | 0,63 |
Прочностные расчеты покрытия из плит
Прочностные расчеты покрытия из плит мощения ведут исходя из их категории по жесткости, характеризуемой показателем жесткости S:
- при S <= 0,5 или при r/hпл <= 2,5 плиты относят к категории абсолютно жестких и на прочность, т.е. на сопротивление растяжению при изгибе (предельный изгибающий момент) не рассчитывают;
- при 0,5 < S <= 10 плиты относят к категории плит конечной жесткости и их рассчитывают на прочность.
Показатель жесткости S плиты определяют по формуле

(5)
где r - радиус круглой плиты; радиус круга равновеликого многоугольной плите, половина квадратной стороны или полудлина прямоугольной, м;
hпл - толщина плиты, м;
E - расчетный модуль упругости бетона, МПа, принимаемый по
таблице 6;

- эквивалентный модуль упругости основания, МПа, определяемый по
формуле (6).
Таблица 6
Расчетный модуль упругости бетона
Класс бетона по прочности на растяжение при изгибе | Средняя прочность бетона на растяжение при изгибе Rpu, МПа | Расчетный (начальный) модуль упругости бетона E, МПа |
тяжелого | мелкозернистого |
Btb 4,4 | 5,76 | 36 000 | 28 000 |
Btb 4,0 | 5,24 | 33 000 | 26 500 |
Btb 3,6 | 4,71 | 32 000 | 25 500 |
Btb 3,2 | 4,19 | 30 000 | 24 000 |
Примечание - Для определения расчетного модуля упругости мелкозернистого бетона, приготовленного из песков с модулем крупности менее 2,0, следует соответствующие табличные значения умножить на 0,9. |
Расчет конструкций с покрытием из камней/плит мощения
В зависимости от типа покрытия (камни/плиты), применяемых материалов в конструктивных слоях, их прочностных и деформативных характеристик дорожную одежду по характеру работы под внешней нагрузкой относят к жесткой и нежесткой.
Жесткая дорожная одежда обладает способностью воспринимать растягивающие напряжения при изгибе. Покрытие или монолитное несущее основание под нагрузкой работает как плита на упругом основании.
К жестким следует относить дорожные одежды:
- из плит мощения конечной жесткости на всех типах оснований;
- из камней/плит мощения с несущим основанием из монолитных слоев (тощий и легкие ячеистые бетоны, дренажные бетоны и т.п.) прочностью на растяжение при изгибе не менее 0,8 МПа.
Нежесткие дорожные одежды воспринимают растягивающие напряжения в меньшей мере.
К нежестким следует относить дорожные одежды с покрытиями из камней мощения или "абсолютно жестких" плит на слабосвязных или монолитных основаниях, не способных воспринимать растягивающие напряжения при изгибе (легкие ячеистые бетоны прочностью на растяжение при изгибе менее 0,8 МПа, укрепленные грунты, пески, отсевы дробления горных пород и т.п.). К нежестким следует относить дорожные одежды с покрытиями из камней мощения или плит на монолитных основаниях из асфальтобетона, асфальтогранулобетона и т.п.
Эквивалентный модуль упругости основания, как многослойной конструкции, определяется последовательным приведением слоистой системы к двухслойной по формуле

(6)
где Eн - модуль упругости нижнего слоя дорожной конструкции, МПа;
Eв - модуль упругости вышележащего слоя дорожной конструкции, МПа;
h - толщина верхнего слоя, м;
D - диаметр круга, равновеликого площади отпечатка пневматика колеса, м, определяется по формуле

(7)
где R - радиус круга, равновеликого площади отпечатка пневматика колеса, м;
Fd - расчетная величина нагрузки на колесо, кН;
p - внутреннее давление воздуха в пневматиках колес, кПа.
При выполнении конструирования и расчета дорожной одежды, в независимости от типа грунта должна быть принята минимальная величина модуля упругости у земляного полотна равная 45 МПа.
Методики расчета земляного полотна и слоев жестких и нежестких дорожных одежд из условий обеспечения необходимой морозоустойчивости приведены в соответствующих нормативных документах.
Методы расчета конструкций с покрытием из камней/плит приведены в
приложении Б.
6 Строительство и контроль качества
Подготовка земляного полотна и основания
Каждый слой следует разравнивать с уклоном 2% - 4% и уплотнять. Разновидности и состояния грунтов, отсыпаемых в несущий слой, плотность слоя должны соответствовать требованиям, установленным
СП 34.13330 для дорог категорий II - IV.
При устройстве основания из щебня методом заклинки необходимо, чтобы расклинцовка была выполнена в соответствии с требованиями
СП 78.13330. Песок из подстилающего слоя не должен диффундировать в слой основания, из-за чего может произойти потеря устойчивости камней/плит в покрытии.
На ограждающих конструкциях зданий (стены, фундаменты) гидроизоляция должна быть выполнена до начала работ по устройству основания и покрытия.
Основание для мощения должно быть выполнено с тем же уклоном, что и покрытие. В случае водонепроницаемого основания (например, бетона) необходимо обеспечивать отвод воды с его поверхности, проникающей через швы в мощении. В водосборных устройствах должны быть установлены фильтры из геотекстильного материала.
Работу по устройству дренажей, водосборных колодцев и других сооружений, предназначенных для перехвата и отвода от дорожного покрытия ливневых, паводковых и талых вод, прокладке инженерных коммуникаций в основании земляного полотна следует выполнять до начала работ по устройству слоев основания дорожной одежды.
Уплотнение грунтовых оснований и конструктивных слоев
С учетом возможности попадания влаги через швы между камнями/плитами мощения в нижележащие слои дорожной одежды, нормы плотности несущего слоя грунта должны быть в пределах

, где

- максимальная стандартная плотность.
Достижение высокой плотности (Ky >= 0,98 - 1,00) обусловлено параметрами уплотняющих машин, выбором рациональной толщины уплотняемого слоя, поддержанием влажности близкой к оптимальной, увеличением количества проходов уплотняющих машин по следу.
Уплотнение выполняется разнообразными типами машин с разными режимами их работы, которые зависят от вида, состояния грунта и конструктивных параметров уплотняемого слоя.
Тип и режим работы уплотняющих машин следует выбирать в зависимости от особенностей объекта строительства (реконструкции) и условий производства работ.
Уплотнение грунта проводят при влажности близкой к оптимальной. При малой и большой влажности грунт уплотняется плохо. Грунты, уплотненные при повышенной влажности, могут позже давать усадку, проваливаться или менять свое положение. В зависимости от разновидности грунта его влажность должна находиться в пределах: глина - 16% - 26%; суглинок - 12% - 18%; песок - 8% - 14%; супесь - 9% - 15%.
Отсутствие стесненных условий производства работ
При отсутствии стесненных условий используются дорожные вибрационные катки массой от 3 т. Максимальная толщина уплотняемого слоя в зависимости от массы катка и проходов по следу приведена в
таблице 7.
Таблица 7
Максимальная толщина уплотняемого слоя, см, в зависимости
от массы катка и проходов по следу
Вид и состояние грунта | Требуемая степень уплотнения | Масса вибровальцового модуля или прицепного виброкатка, т | Количество проходов катка по следу |
3 - 4 | 5 - 6 | 7 - 8 | 9 - 11 | 12 - 14 |
Скальный крупнообломочный с несвязным заполнителем, валунно-галечный | 0,95 | - | 55 - 65 | 75 - 85 | 95 - 120 | 130 - 150 | 8 - 10 |
Моренный несвязный и малосвязный | 0,98 | - | 30 - 35 | 40 - 45 | 50 - 55 | 60 - 70 | 8 - 10 |
Песок обычный, пылеватый, песчано-гравийная смесь | 0,98 | 20 - 30 | 40 | 50 | 55 - 60 | 65 - 75 | 8 - 10 |
Песок одноразмерный влажностью: | | | | | | | |
4% - 5% | 0,98 | 20 | 30 | 35 | 40 | 45 | 4 - 6 |
6% - 7% | 0,98 | 20 - 25 | 30 - 35 | 40 - 45 | 50 | 60 | 6 - 8 |
Супесь пылеватая оптимальной влажности <*> | 0,98 | - | 20 - 25 | 25 - 30 | 30 - 40 | 40 - 45 | 8 - 10 |
Суглинок влажностью близкой к оптимальной <*> | 0,95 | - | 20 - 25 | 25 - 35 | 30 - 35 | 40 - 45 | 10 - 12 |
<*> Для кулачковых катков. |
Для повышения производительности и качества работ по уплотнению рыхло отсыпанного слоя грунта, первые проходы следует производить легкими катками статического действия, пневмокатками или вибрационными катками массой до 6 т с выключенной вибрацией. Окончательное уплотнение слоя грунта, доведение его до высокой плотности выполняют тяжелыми катками статического действия или вибрационными катками
(таблица 7). На завершающем этапе - выполняют 1 - 2 прохода статическим или пневмокатком для ликвидации разрушений верхней тонкой части уплотняемого слоя.
Для достижения высокой степени уплотнения, требуемой для конструкций с покрытием из камней/плит мощения, толщина уплотняемого слоя должна быть уменьшена в 1,5 - 2,0 раза относительно величины, приведенной в
таблице 7, или следует увеличить в три раза количество проходов катков.
На больших площадях уплотнение щебеночных оснований следует выполнять поэтапно (
пункт 6.5 СП 82.13330.2016) - катками на пневматических шинах массой не менее 15 т с давлением воздуха в шинах до 0,6 - 0,8 МПа или самоходными гладковальцовыми катками массой не менее 10 т, или вибрационными катками с возмущающей силой более 60 кН.
Стесненные условия работы
При стесненных условиях применяют легкое уплотняющее оборудование: поверхностные вибрационные плиты массой от 80 кг, легкие вибротрамбовки (50 - 70 кг), а также малогабаритные катки различных типов массой до 1,5 - 3 т.
Толщина уплотняемого виброплитами слоя зависит от параметров машины, вида и влажности грунта, количества проходов по одному следу.
Для достижения высокой степени уплотнения, требуемой для дорожных одежд с покрытием из камней/плит мощения, толщина отсыпаемого слоя должна быть не более 15 см (
пункт 6.8 СП 82.13330.2016) для грунта и песка 5 - 6 см, для щебня - 10 - 15 см.
Уплотнение щебеночного слоя следует выполнять в два этапа. На первом этапе проводится предварительное уплотнение основной фракции щебня за 4 - 10 проходов по одному следу (первая цифра для малогабаритных вибрационных катков, вторая - для виброплит). На втором этапе проводится уплотнение после россыпи расклинивающей фракции. Общее количество проходов по одному следу составляет 8 - 20 (первая цифра для малогабаритных вибрационных катков, вторая для виброплит). Приведенные типы машин применяют для уплотнения слоя минимальной толщины 15 см. Схема уплотнения - от краев к центру.
Толщина уплотняемого слоя гладковальцовым малогабаритным виброкатком конструктивного слоя дорожной одежды (при влажности грунта, близкой к оптимальной) может быть примерно определена по
таблице 8.
Таблица 8
Толщина слоя уплотняемого грунта
Разновидности грунта или конструктивный слой | Толщина слоя уплотняемого грунта, приходящаяся на 1 т массы вибровальцового модуля, см |
Пески крупные, средние, ПГС | 9 - 10 |
Пески мелкие, в том числе и пылеватые | 6 - 7 |
Супеси легкие и средние | 4 - 5 |
Легкие суглинки | 2 - 3 |
Щебень с расклинцовкой (при максимальном диаметре камня Dmax 40 мм) | 10 - 12 |
Уплотнения грунта при обратной засыпке траншей
Уплотнение грунта в траншеях следует проводить в соответствии с
СП 45.13330.
Для уплотнения грунта при обратной засыпке траншей используют вибротрамбовки, виброплиты, электротрамбовки и легкие катки. Выбор оборудования осуществляется в зависимости от условий производства работ: размеров траншеи, места ее расположения (проезжая часть дороги, тротуар и т.п.), вида и состояния грунта и др.
Перед укладкой инженерных коммуникаций дно котлована тщательно трамбуется виброплитой или вибротрамбовкой. После уплотнения грунта насыпают тонкий слой песка, немного смочив его водой, и трамбуют. Поверх всей подушки следует выполнить уплотнение. Для этой работы используются виброплита, вибротрамбовка массой порядка 100 кг.
Засыпка траншей с уложенными подземными коммуникациями проводится в следующей последовательности:
1) Послойно засыпаются и подбиваются (уплотняются) вручную пазухи между трубой и стенками траншеи (лопаты, совки, деревянные трамбовки). По возможности используются ручные механизмы (виброплиты, вибротрамбовки).
2) Присыпаются трубопроводы. Толщина защитного слоя над трубопроводами должна быть не менее 0,20 - 0,25 м для металлических и железобетонных труб и не менее 0,4 - 0,5 м для керамических, асбестоцементных и пластмассовых труб. Защитный слой непосредственно над коммуникациями уплотняется с применением ручных механизмов (виброплиты, вибротрамбовки). Уплотнение производится равномерно с двух сторон.
3) Проводится послойная дальнейшая засыпка и уплотнение грунта над уложенными трубопроводами.
Контроль качества устройства слоев основания
Контроль и приемка работ по устройству земляного полотна и слоев основания должны осуществляться согласно
СП 78.13330. По контролируемым параметрам каждого слоя для оценки его качества выполняют соответствующие измерения (например, толщин слоев, ровности и т.д.), результаты которых должны быть документально оформлены.
При визуальной оценке, в щебеночном несущем слое не должно быть пустот, через которые материал подстилающего слоя может проникать в основание и вызывать местную деформацию покрытия. Признаками окончательного уплотнения служат: отсутствие подвижности щебня или гравия, отсутствие вдавливания щебенок или зерен гравия в верхний слой.
Для инструментального контроля качества (достижения проектных деформативных характеристик и коэффициентов уплотнения) подстилающего грунта (грунта земляного полотна) и конструктивных слоев дорожной одежды (песчаного, щебеночного и других слоев) должны быть выполнены штамповые испытания и/или испытания с применением малогабаритных установок динамического нагружения
(приложение В).
Контроль качества устройства подстилающего грунта, а также песчаных, щебеночных и других слоев проводится путем сопоставления фактического статического поверхностного модуля упругости конструктивных слоев дорожных одежд с расчетным статическим эквивалентным модулем упругости по методике, изложенной в
приложении В.
Подстилающий слой
Материал подстилающего слоя распределяют по поверхности основания вручную или механизированным способом. При отсыпке подстилающего слоя дополнительно следует иметь запас по толщине на просадку камней/плит. Величина этого запаса зависит от формы и размера камней/плит и материала подстилающего слоя. Она устанавливается по месту (примерно 20% - 30% толщины подстилающего слоя). Для песка запас составляет примерно 1,0 - 1,5 см.
Перед мощением на основной площади рекомендуется отработать технологию укладки на тестовом участке.
Подстилающий слой должен быть спрофилирован до укладки камней/плит. Он устраивается с теми же уклонами, которые предусмотрены для поверхности покрытия.
При механизированной укладке камней/плит подстилающий слой следует прикатать ручным или легким катком с гладкими вальцами за 1 - 2 прохода.
Толщина подстилающего слоя в уплотненном состоянии зависит от вида и толщины изделий и устанавливается по
таблице 10. Превышение толщины подстилающего слоя может стать причиной дополнительных пластических деформаций и местных просадок покрытия при эксплуатации. Для проезжих частей дорог, аэродромных покрытий и контейнерных терминалов следует стремиться к минимальной толщине подстилающего слоя - 3 см.
При устройстве подстилающего слоя следует учитывать, что после строительной операции посадки камней/плит поверхность покрытия должна возвышаться над верхом борта (бордюра) примерно на 3 - 5 мм, как запас на осадку покрытия в ходе эксплуатации.
Для устройства подстилающего слоя, особенно на больших площадях, рекомендуется применять специальные машины и оборудование - планировщики основания, планировочные рубанки, в которых распределение материала и выравнивание объединены в единый процесс. Это позволяет достигать большой производительности и точности высотных отметок.
Укладка камней/плит мощения
Перед укладкой все изделия для мощения должны быть приняты потребителем согласно
приложению Г. В случае возникновения разногласий по качеству изделий осуществляется отбор образцов для контрольных испытаний согласно
приложению Д.
Плиты с транспортных поддонов следует брать и приподнимать одновременно со всех сторон, чтобы не повреждать поверхность изделий нижнего ряда.
Камни/плиты мощения следует укладывать в направлении "от себя" на подготовленный подстилающий слой соблюдая ширину швов согласно рисунку, установленному проектом. Для укладки плит, особенно крупноформатных толщиной 120 мм и более, следует использовать специальные механические или вакуумные захваты. Укладка крупноформатных плит без использования захватов запрещена.
Камни/плиты следует брать и укладывать сразу с нескольких транспортных поддонов вперемешку для создания равномерного цвета по всей площади покрытия. Разборку пакета следует вести в вертикальном направлении, а не послойно.
Ширина швов зависит от вида и толщины изделий
(таблица 10). За соблюдение требуемой ширины шва отвечают исполнители работ. Для фиксации швов на боковых гранях бетонных вибропрессованных камней/плит, как правило, имеются шовообразователи. Следует учитывать, что шовообразователи не определяют ширину шва, а служат защитой от сколов граней камней/плит при их изготовлении и транспортировании. На некоторых видах изделий шовообразователи могут не выполняться или быть меньше требуемого размера шва. Следует избегать укладки камней/плит с сильным прижимным усилием.
Ширина "зеленых" и дренирующих швов назначается проектом с учетом настоящего свода правил (см.
5.5).
После укладки первого ряда камней/плит следует проверить соответствие укладки предварительной разметке, натянуть направляющий шнур в направлении наращивания рядов, а при сложном рисунке укладки - и в поперечном направлении.
Для выравнивания укладываемых камней/плит на широких покрытиях направляющие шнуры следует натягивать на расстоянии примерно 3 м друг от друга. При укладке больших площадей целесообразно устанавливать направляющие шнуры в перпендикулярных направлениях.
Следует строго соблюдать прямой угол пересечения продольных и поперечных рядов, используя теодолит или простейшие инструменты (оптический зеркальный экер, длинный шнур-петлю с 12 узлами на равном расстоянии, треугольник со сторонами 3, 4 и 5 - и т.п.). Точность соблюдения угла следует проверять через каждые 1 - 3 м укладки покрытия.
Для работ по устройству покрытия рекомендуется применять профессиональный инструмент и средства механизации работ: захваты для камней/плит, разметчики, прямые углы, захваты для выемки камня/плиты, направляющие ломы для выравнивания положения камней/плит. Применение соответствующего инструмента предотвращает повреждение поверхности изделий, скалывание кромок у камней/плит и ускоряет выполнение работ.
Для мощения больших и протяженных территорий простых конфигураций, а также при мощении крупноформатными плитами следует использовать механизированные укладчики.
Участки мощения, которые находятся в зоне производства смежных работ следует предохранять от возможных загрязнений.
В качестве защитных материалов не подходят гофрокартон, бумага, фанера, доски, геотекстиль. Эти материалы при длительном контакте с мощением могут способствовать образованию трудно устранимых пятен и следов. Для защитных целей иногда используется песок. Следует иметь ввиду, что при длительном нахождении на покрытии он может оставлять пятна. Полиэтиленовая пленка при длительном нахождении также может нарушить цвет мощения.
Заполнение швов и уплотнение покрытия
Заполнение швов должно проводиться параллельно с укладкой. Требования к материалам заполнения швов приведены в
5.2.
Песок в сухом состоянии следует равномерно распределить по поверхности уложенного покрытия и с помощью мягкой щетки ввести в швы до полного их заполнения. Лишний материал заполнения следует удалить с покрытия перед окончательной посадкой камней/плит. Операция заполнения швов может быть выполнена несколько раз до полного и прочного заполнения швов.
После укладки камней/плит в покрытие и заполнения швов следует посадить их на место вручную (ударами через деревянную, пластиковую или резиновую прокладку) либо с помощью кратковременной вибрации ручной виброплиты.
Для сохранения внешнего вида камней/плит и предотвращения на них трещин, царапин и сколов на основание виброплиты закрепляют полиуретановый коврик. Для таких работ целесообразно применять виброплиты параметрами, принимаемыми по
таблице 9.
Таблица 9
Параметры виброплит для посадки покрытия
Толщина камня/плиты, см | Масса, кг | Центробежная сила, кН |
6 | до 110 | 18 - 20 |
8 - 10 | 110 - 200 | 20 - 30 |
10 | 200 - 600 | 30 - 60 |
Предварительную посадку следует выполнять от краев покрытия к середине. Вибропосадка должна быть проведена до занятия камнями/плитами прочного устойчивого положения.
Использование виброкатков для посадки запрещается. Также запрещается использование тяжелой виброплиты из-за светлых продольных полос, образующихся на покрытии из-за ее перемещения. При образовании таких полос вибропосадку следует немедленно прекратить и сменить виброплиту на виброплиту меньшей массы.
Перед проведением вибропосадки покрытие и подошва виброплиты должны быть вычищены. Вибропосадку (особенно цветных камней/плит с поверхностной обработкой лицевого слоя) не следует проводить при влажном покрытии.
Недопустимо подвергать вибропосадке покрытие, устанавливая виброплиту:
- на линию перелома в месте сопряжения плоскостей с разными уклонами;
- на зону стыка камней/плит, уложенных на песок, с камнями/плитами, уложенными на раствор или бетон (в месте сопряжения с люками подземных коммуникаций и т.д.);
- на камни/плиты, с частичным обнажением боковых граней (на съездах, примыканиях и т.п.).
Окончательную посадку покрытия следует проводить, осторожно подводя к ним виброплиту с разных сторон, а также вручную.
После окончательной посадки необходимо снова заделать швы.
Швы могут заполняться водно-песчаной эмульсией, что обеспечивает их быстрое и полное заполнение на всю высоту. Такая технология применяется только при устройстве покрытия на водопроницаемых основаниях из зернистых материалов.
Не следует оставлять излишний песок на покрытии, так как он может оставлять трудноустранимые пятна на поверхности изделий.
Подрезка
Примыкания выполняют путем подрезки камней/плит. Неточно подогнанные или плохо закрепленные доборные элементы (части камня/плиты после подрезки) под действием внешних нагрузок могут потерять устойчивое положение и быть вынесены с дорожного покрытия.
Значительно уменьшить количество доборных камней/плит и как следствие, сократить операции по резке камней/плит можно на этапе проектирования, назначая оптимальный рисунок раскладки и ширину мощения с учетом размеров применяемых камней/плит.
При подрезке следует выполнять следующие правила:
- для камней: наименьшая сторона отрезанного камня должна быть не менее одной трети длины целого изделия;
- для плит: соотношение длины и ширины отрезанной части должно составлять не более 2,0, а оставшаяся короткая сторона должна минимум в два раза превышать толщину изделия;
- обрезанные камни/плиты не должны иметь острых углов (менее 45°).
При устройстве орнаментов, знаков и символов на поверхности дорожного покрытия с применением камней/плит мощения могут быть отступления от правил подрезки, которые фиксируются в проектной документации.
На отрезанных частях камней/плит может выполняться фаска.
Вокруг колодцев сначала выполняется обрамление из камней (бетонных или натуральных) в форме трапеции или небольших квадратов размерами в плане 50 x 50 мм.
Резка камней/плит осуществляется калиберными резаками (гильотинами, камнекольными станками), отрезными станками или машинками.
При устройстве аэродромных покрытий используются только отрезные станки или машинки. Колка камней запрещена.
Установка бортовых камней
Стыки между бортовыми камнями или другими фиксирующими край мощения элементами (металлическими полосами, природными камнями и т.п.) должны быть тщательно заполнены.
Швы между бортовыми камнями должны быть не более 10 мм (
пункт 6.25 СП 82.13330.2016). Для предотвращения загрязнения лицевой поверхности камней (особенно цветных) стыки между ними следует заделывать с их внутренней стороны.
При изменении направления бортовых камней их углы должны быть запилены. Предпочтительно использовать соответствующие бортовые камни: угловые, радиусные.
Ширина шва между покрытием из камней/плит и бортовым камнем должна быть не более 10 мм.
Поверхность покрытия должна возвышаться над бортовым камнем примерно на 3 - 5 мм, как запас на осадку покрытия в ходе эксплуатации.
Поверхностная обработка мощения
Для улучшения эксплуатационных и эстетических показателей покрытия могут использоваться различные средства: очистители, гидрофобизаторы, цветные пропитки (восстановители или интенсификаторы цвета).
При использовании средств для поверхностной обработки мощения следует соблюдать указания по их применению и перед началом обработки всего покрытия выполнять пробную обработку на тестовом участке.
Особенности мощения в зимнее время
Выполнять работы по устройству покрытия в зимнее время не рекомендуется.
При необходимости устройства покрытий в зимнее время следует до наступления заморозков подготовить земляное полотно и основание под покрытие. Устройство покрытия из камней/плит мощения на замерзшем грунте земляного полотна не допускается. Для ускорения оттаивания основания следует избегать применения составов, которые могут дополнительно способствовать возникновению высолов на поверхности камней/плит мощения. Укладывать камни/плиты при температуре ниже минус 15 °C не разрешается.
На предварительно очищенное от снежного покрова основание устанавливается тепляк-укрытие высотой 1,5 м, внутри которого устанавливаются теплогенераторы для прогрева основания. Прогрев основания ведется в течение двух суток при температуре внутри тепляка не менее плюс 15 °C. В ходе процесса слой основания должен быть полностью прогрет на глубину 0,4 - 0,5 м. Факт прогрева основания устанавливается устройством шурфов по всей площади прогрева с шагом 2 x 2 м. Материалы, необходимые для мощения на этой площади, завозятся вовнутрь тепляка и также прогреваются до плюсовой температуры.
По окончании прогрева основания тепляк высотой 1,5 м заменяется на тепляк высотой 2,5 м с установкой теплогенератора для поддержания внутри тепляка температуры в пределах 5 °C. В этом укрытии выполняются работы по мощению.
По завершении работ тепляк переставляется на следующую (после прогрева основания) захватку для последующего мощения.
Над замощенной площадью устанавливается укрытие-тепляк высотой 1,5 м, внутри которого с помощью теплогенератора поддерживается температура 5 °C. Такой тепловой режим поддерживается для проведения операций по окончательному заполнению швов.
При укладке камней/плит на бетонное основание поверхность его должна быть тщательно очищена от грязи, снега и льда и прогрета. Очистку и прогрев бетонного основания выполняют с помощью газовых горелок.
По очищенному и подогретому бетонному основанию выполняют подстилающий слой из подогретого песка и выполняют мощение.
За участками, выполненными в зимнее время, устанавливается наблюдение. В теплое время года покрытие должно быть обязательно проверено.
6.3 Контроль качества камней/плит
Правила приемки изделий на объекте строительства приведены в
приложении Г.
Отбор образцов на объекте строительства для дополнительных испытаний осуществляется согласно
приложению Д.
При использовании цветных камней/плит все камни/плиты должны соответствовать цвету, установленному проектом, и образцам, на основании которых заключается договор на изготовление и поставку камней/плит. Автор проекта и заказчик должны учитывать реальные возможности выдерживания оттенков цветовой характеристики при изготовлении камней/плит, в связи с чем цвет образцов должен рассматриваться как примерный.
6.4 Приемка дорожного покрытия
При приемке покрытия следует контролировать высотные отметки, ровность и ширину швов. Контрольный лист по устройству покрытия приведен в
приложении Е.
Контролируемые параметры, их допустимые значения и величины отклонений при устройстве покрытия из искусственных камней/плит приведены в
таблице 10.
Таблица 10
Контролируемые параметры при устройстве покрытий
из камней/плит
Требования | Допустимые значения |
Расположения границ или осей мощения | +/- 20 мм |
Соответствие вертикальных отметок проектным | +/- 20 мм |
Бортовые камни: | |
- прямолинейность линии бортового камня на участках длиной 3 м | +/- 5 мм |
- превышение одного бортового камня над другим | +/- 5 мм |
Ровность для различных типов конструкций | |
Разность высот: | |
- между смежными камнями/плитами с плоской поверхностью | +/- 2 мм |
- между камнями/плитами с рельефной поверхностью | +/- 5 мм |
- рядом с желобами | 3 - 10 мм |
- рядом со встраиваемыми элементами | 3 - 5 мм |
- рядом с прилегающими покрытиями | 3 - 5 мм |
Наклон (для плит) | +/- 0,4% |
Ширина шва: | |
- камни мощения толщиной до 12 см | 3 - 5 мм |
- камни мощения толщиной от 12 см | 5 - 8 мм |
- плиты мощения толщиной до 12 см | 3 - 5 мм |
- плиты мощения толщиной более 12 см | 5 - 10 мм |
Толщина <*> подстилающего слоя в уплотненном состоянии: | |
- камни мощения толщиной до 12 см | 30 - 50 мм |
- камни мощения толщиной от 12 см | 40 - 60 мм |
- плиты мощения толщиной до 12 см | 30 - 50 мм |
- плиты мощения толщиной более 12 см | 40 - 60 мм |
Продольный уклон желобов | > 0,5% |
Плоскостность желобов | |
<*> С учетом запаса на вибропросадку камней/плит должна быть увеличена на 10 - 15 мм. <**> Измерения выполняются с применением четырехметровой рейки. |
При сдаче тротуара в эксплуатацию швы должны быть заполнены на всю высоту. Камни/плиты должны занимать устойчивое положение в покрытии - не расшатываться.
Проектные прямолинейные в плане швы в натуре должны быть без видимых отклонений от прямой линии.
Результирующий общий уклон поверхности покрытия в сторону водоприемных устройств должен быть не менее 2,5%
(таблица 11). На путях движения МГН поперечный уклон пешеходных путей должен составлять от

до

(от 1:200 до 1:50,
СП 59.13330).
Таблица 11
Контроль ровности дорожных покрытий из камней/плит мощения
Назначение покрытия | Вид покрытия | Уклон, % | Максимальный просвет под рейкой, мм |
1 м | 2 м | 3 м |
Тротуары, пешеходные улицы и площади; дорожно-тропиночная сеть парков, садов и ландшафтно-рекреационных территорий | Камни/плиты | >= 2,0 - 2,5 | <= 4 | <= 6 | <= 10 |
Проезжие части улиц и дорог местного значения, проезды, площадки парковок и стоянок автомобилей, временные и объездные дороги. Площадки и проезды, открытые складские площадки, внутриплощадочные дороги морских и речных портов, контейнерных терминалов, коммунальных и складских объектов. Перроны аэродромов, места стоянок воздушных судов, площадки специального назначения и площадки хранения спецавтотехники | Камни/плиты | >= 2,5 | <= 4 | <= 6 | <= 10 |
Тротуары, пешеходные улицы и площади; дорожно-тропиночная сеть парков, садов и ландшафтно-рекреационных территорий. Проезжие части улиц и дорог местного значения, проезды, площадки парковок и стоянок, временные и объездные дороги. Площадки и проезды, открытые складские площадки, внутриплощадочные дороги морских и речных портов, контейнерных терминалов, коммунальных и складских объектов. Перроны аэродромов, места стоянок воздушных судов, площадки специального назначения и площадки хранения спецавтотехники | Водопроницаемые покрытия | >= 1 | <= 5 | <= 8 | <= 10 |
Комбинированные покрытия | >= 1 | <= 15 | <= 17 | <= 20 |
Результирующий уклон должен определяться на каждом проектном поперечнике, но не реже, чем через 10 м по длине покрытия.
На поверхности покрытия не должно быть местных углублений, в которых может застаиваться вода. Поперечный уклон, измеренный на базе 0,5 м, в любом месте покрытия должен быть не менее 2,5 мм или 0,5%.
Соответствие вертикальных отметок проектным должно проверяться на каждом проектном поперечнике и не реже чем через 20 м. Отклонение не должно превышать +/- 20 мм.
Максимальный просвет под рейкой приведен в
таблице 11.
Несущее основание устраивается с такими же уклонами, что и покрытие.
Определение ровности и поперечного уклона
Перед определением ровности необходимо очищать покрытие от излишков песка, раствора и других загрязнений.
При определении просветов под четырехметровой рейкой в расчет не принимаются просветы под свисающим краем. После измерения максимального просвета рейку перемещают вдоль тротуара на 2 м с перекрытием предыдущего положения рейки на 2 м.
Под трехметровой рейкой просветы определяют в 5 точках, расположенных на расстоянии 0,5 м между собой и от концов рейки. После измерения пяти просветов рейку перемещают вдоль тротуара на 3 м.
Ровность в поперечном направлении для односкатных тротуаров, ширина которых равна или превышает длину рейки, определяют аналогичным образом. При измерении ровности в поперечном направлении на тротуарах другой ширины рейку укладывают по диагонали так, чтобы ее края совпадали с краями покрытия - положение
1 (см.
рисунок 2). Измерения выполняют по изложенной выше методике, после чего рейку поворачивают вокруг центра в положение
2 и измерения повторяют. Затем рейку перемещают вдоль тротуара, как указано выше.
B - ширина тротуара, меньше длины рейки
Рисунок 2 - Измерение ровности в поперечном направлении
Результирующий уклон определяется по формуле
i = (iпоп2 + iпрод2)1/2, (8)
где iпоп - поперечный уклон покрытия;
iпрод - продольный уклон покрытия.
Поперечный уклон определяют по данным нивелирования точек, расположенных по краям покрытия, или специальным уклономером. Продольный уклон определяют нивелированием или уклономером по оси, или по краю тротуара. Если по условиям водоотвода покрытие тротуара предусмотрено с пилообразным продольным профилем, то при приемке проверяют продольный уклон по краю, по которому предусмотрен пилообразный профиль.
Поперечный уклон на базе 0,5 м следует проверять точным нивелированием или соответствующим уклономером. Может быть использован уровень с рейкой длиной 0,5 м. Схема проверки поперечного уклона для этого случая приведена на
рисунке 3.
Рисунок 3 - Пример проверки поперечного уклона
По согласованию между заказчиком, подрядчиком и поставщиком изделий для мощения могут быть выполнены измерения сцепных свойств дорожного покрытия. При этом заинтересованными сторонами должна быть разработана и утверждена методика измерения коэффициента сцепления (выбран прибор, определено количество измерений, критерии качества и т.д.).
Примыкания к канализационным люкам, водосборным лоткам, каким-либо другим встроенным в покрытие элементам, изменение направления рисунка мощения должны быть выполнены с учетом правил выполнения подрезки. В течение 1 - 3 мес с начала эксплуатации должен быть организован контроль покрытия для проверки заполнения швов, функционирования ливневой системы и устранения возможных местных деформаций.
7 Эксплуатация дорожных покрытий из камней/плит мощения
Начало эксплуатации
В начальный период эксплуатации (1 мес), когда происходит дополнительная осадка камней/плит, следует ограничивать возможность движения по покрытию подвижной нагрузки. Для этого дорожные службы и Государственная инспекция по безопасности дорожного движения должны запретить въезд на тротуар грузовым автомобилям, обслуживающим прилегающие магазины, уборочной технике, давление колеса которой на покрытие превышает 0,2 МПа. Водители уборочной техники должны быть предупреждены о необходимости избегать движения по одной колее.
Не следует оставлять песок на поверхности мощения в течение длительного срока, так как это приводит к изменению цвета поверхности мощения и пятнам, пылеобразованию и загрязнению окружающей среды.
При применении для заполнения швов между камнями/плитами стабилизаторов песка нельзя передвигаться по покрытию до тех пор, пока поверхность не высохнет после нанесения материала. Въезд автомобильного транспорта на обработанную поверхность запрещен в течение 24 ч.
Нагрузка на оси автомобильного транспорта должна быть регламентирована в каждом конкретном проекте строительства. Запрещается воздействие на дорожное покрытие большей нагрузки, которая может повлечь за собой нарушение ровности покрытия и разрушение камней/плит мощения.
При нанесении гидрофобизаторов и других составов на поверхность изделий эксплуатацию покрытия следует разрешать только после завершения их высыхания (закрепления, стабилизации) согласно инструкции изготовителя.
Оценка технического состояния
Регулярный контроль и технический уход повышают срок службы дорожных покрытий из камней/плит мощения. Минимум один раз в год проводят визуальный контроль для заблаговременного выявления начинающихся разрушений (см.
таблицу 12). Следует устранять обнаруженные разрушения, так как они способствуют быстрейшему износу и разрушению соседних участков покрытия.
Таблица 12
Периодичность осмотра и ремонта дорожных покрытий
из камней/плит мощения
Периодичность осмотра | Мероприятия |
Не менее одного раза в год | Визуальный осмотр покрытия. Проверить: заполнение швов, примыкания к различным элементам (например, колодцам), состояние лицевой поверхности мощения, ровность, работоспособность ливневой системы |
Весна | Ремонт: перемощение отдельных участков с заменой подстилающего слоя |
Осень | Ремонт: перемощение отдельных участков с заменой подстилающего слоя |
Текущий ремонт дорожных покрытий из камней/плит необходимо проводить два раза: весной и осенью - перед началом зимы. В течение всего времени эксплуатации покрытия следует следить за заполнением швов. Швы должны быть заполнены материалом заполнителя на всю высоту.
Оценка технического состояния мощения осуществляется в рамках работ по содержанию. Систематическое выполнение работ по оценке технического состояния - база для эффективного использования средств и материальных ресурсов.
Мероприятия по содержанию
Дорожные покрытия из камней/плит мощения обычно светлее, чем, например, асфальтобетонные. Поэтому кроме санитарно-гигиенического значения их очистка обусловливается эстетическими требованиями. Очистку покрытий от пыли и грязи можно выполнять с помощью тротуароуборочных машин и, при необходимости, использовать уличные пылесосы и системы для очистки под высоким давлением. При очистке водой следует следить, чтобы не размывался материал заполнения швов.
Для сохранения однотонности цвета камней/плит мощения необходимо следить, чтобы на дорожном покрытии не было разливов маслянистых жидкостей и химических реактивов.
Для защиты поверхности от пятнообразующих жидкостей и других загрязнений применяют соответствующие составы - гидрофобизаторы, которые обеспечивают:
- продолжительный грязе- и пятнозащитный эффект в случае масляных и водных загрязнений; упрощение удаления грязи и пятен;
- улучшение внешнего вида поверхности со сдержанным глянцевым эффектом;
- повышение интенсивности цвета (небольшой эффект мокрой поверхности);
- уменьшение склонности к выцветанию, загрязнению;
- упрощение удаления наледи.
Зимой, во избежание разрушения лицевой поверхности камней/плит, не допускается использовать для уборки инструменты с металлической рабочей частью или поверхностью. Отвалы снегоуборочных машин должны быть снабжены резиновыми отбойниками. Противогололедные материалы могут использоваться в ограниченном количестве для труднодоступных мест, где уборка щетками может быть затруднена. При их использовании, по возможности, рекомендуется оценивать в лабораторных условиях их коррозионное воздействие на камень/плиту мощения. Рекомендуется применять противогололедные материалы на основе магния и кальция. Наибольшее разрушающее воздействие на камень/плиту мощения, при его замораживании и оттаивании, оказывает хлорид натрия. В качестве противогололедных материалов рекомендуется использовать мытую (очищенную от посторонних примесей) мраморную (предпочтительно) или гранитную крошку фракции 0,16 - 3 мм. После таяния снега/льда крошка должна быть обязательно удалена с покрытия, так как может оказывать на него абразивное воздействие.
Для предотвращения применения скалывания льда покрытия следует предохранять от образования на них наледей, для чего уборка снега с покрытий в зимний период должна проводиться вслед за каждым снегопадом, а при значительной его продолжительности - и в период снегопада. При несвоевременном удалении с покрытий тротуаров снег слеживается, образуя плотный накат.
Некоторые условия эксплуатации можно предусматривать на стадии проектирования. Например, применение систем снеготаяния исключает механическое воздействие на дорожное покрытие из камней/плит мощения при уборке и вывозе снега, снижает травматизм и аварийность.
Для борьбы с сорняками в швах между камнями/плитами используют гербициды сплошного действия.
Обработку следует проводить в сухую безветренную погоду в период интенсивной вегетации (май - август). Гербицид попадает на зеленую часть растения и через 5 - 10 дней травянистое растение погибает. Через месяц обработку можно повторить. С мхом в швах между камнями/плитами следует бороться с помощью извести (осень, ранняя весна) или механическим способом.
Применение соответствующих материалов заводского изготовления для заполнения швов существенно снижает риск зарастания швов сорняками.
Весной комбинированные покрытия с газонной травой следует тщательно промести; подготовленным заранее легким грунтом (раскисленный торф, супесь (2:1) и весеннее газонное удобрение) забить осевшие или пустые швы, подсеять райграс однолетний или любую смесь для восстановления газона с большим процентом райграса и овсяницы, замульчировать семена подготовленным грунтом. Летом покрытие следует своевременно косить, удобрять и поливать.
Используются средства для удаления следов ржавчины, высолов и остатков цемента, пасты для удаления масляных загрязнений, цветные пропитки для восстановления цвета.
Общий перечень необходимых мероприятий по содержанию покрытий из камней/плит мощения приведен в
таблице 13.
Таблица 13
Перечень необходимых мероприятий по содержанию покрытий
из камней/плит мощения
Срок с момента начала эксплуатации | Мероприятия |
1 - 3 месяца | Проверка заполнения швов. Устранение возможных местных деформаций (просадок, сдвигов). Проверка функционирования ливневой системы. При появлении высолов (белых налетов), для улучшения внешнего вида покрытия, проведение поверхностной обработки соответствующими средствами - очистителями и гидрофобизаторами. Рекомендуется проведение предварительной обработки на тестовом участке покрытия. Соблюдение минимального скоростного режима и ограничения интенсивности движения (при мощении дорог) |
От 3-х месяцев до 1 года | Удаление семян, сорной травы из швов (прометание, механическое удаление) |
1 год и более | Один раз в месяц тщательная уборка покрытия щетками или мойка. При мойке покрытия рекомендуется направлять струю воды под малым углом к покрытию, чтобы снизить до минимума любой риск повреждения швов. После уборки покрытия или мойки следует убедиться, что материал заполнения швов не поврежден. При необходимости восстановление заполнения швов. Обработка швов гербицидом, при наличии нежелательного роста в швах сорняков, лишайников, мхов и т.д. Обработка швов мощения средствами от насекомых (при необходимости). Визуальный осмотр покрытия (не менее одного раза в год) и, при необходимости, его ремонт |
Удаление высолов и белых налетов
Во время эксплуатации (как правило, в начальный период) возможно выветривание (выцветание) бетонных камней/плит, подвергающихся воздействию влаги с переменной интенсивностью и входящего в состав воздуха углекислого газа. Поверхность мощения покрывается белыми инееобразными, кристаллическими солевыми налетами (высолами). Декоративные свойства покрытия при этом нарушаются. Сам по себе белый налет не дефект и относится к ненормируемым параметрам при приемке покрытий.
| | ИС МЕГАНОРМ: примечание. Текст дан в соответствии с официальным текстом документа. | |
Механизм высолообразования на камней/плит заключается в следующем. Свежеприготовленное изделие из бетона обладает системой капиллярных пор, заполненных раствором гидроксида кальция, образовавшегося в результате гидролиза и гидратации. Гидроксид кальция, находящийся на выходе пор, вступает в реакцию с углекислым газом воздуха. При этом образуется карбонат кальция нерастворимый в воде. Некоторое время карбонат препятствует выходу на поверхность гидроксида кальция, накапливающегося в поровом пространстве материала. Однако дальнейшее взаимодействие карбоната кальция с углекислым воздухом и атмосферной влагой приводит к образованию растворимого гидрокарбоната, что не препятствует миграции гидроксида кальция на открытую поверхность мощения, поэтому образование солевых налетов продолжается.
В процессе высолообразования участвуют и иные факторы - сернистый газ, присутствующий в атмосфере, который может изменять состав кристаллизующихся солевых налетов. В качестве вторичных продуктов на поверхности тротуарной плитки могут образовываться карбонаты и сульфаты металлов с переменным содержанием кристаллизационной воды. Следует учитывать также воздействие на дорожное покрытие кислотных дождей и общее количество атмосферных осадков. Отсутствие дренажа или затрудненное дренирование основания также может быть причиной появления высолов на поверхности мощения.
В процессе эксплуатации мощения дополнительными источниками растворимых солей могут быть бетонное основание и цементно-песчаная смесь, на которых может выполняться укладка камней/плит. Поэтому, укладка камней/плит на подстилающий слой из цементно-песчаной смеси не допускается.
Противогололедные мероприятия, связанные с использованием смеси песка с поваренной солью, могут вызывать не только образование высолов, но и разрушать камни/плиты.
Для удаления высолов и их профилактики, а также для устранения других загрязнений с поверхности мощения, применяют соответствующие чистящие средства. Средства следует использовать в соответствии с указаниями изготовителя. При воздействии чистящих средств возможно изменение цвета лицевой поверхности камней/плит. Перед началом обработки всего покрытия следует провести пробную обработку на небольшом (тестовом) участке. Следует избегать контакта чистящих средств с растениями.
Для предотвращения образования высолов необходимо исключить возможность вымывания солей из камней/плит мощения. Этого достигают, обрабатывая очищенную поверхность соответствующими составами - гидрофобизаторами, придающими материалам водоотталкивающие свойства. После обработки вода и загрязняющие жидкости (кофе, масло, нефтяные продукты) не впитываются в поверхность, а стекают с нее. Расход составов зависит от впитывающей способности строительного материала и определяется экспериментально. Некоторые гидрофобизаторы (так называемые - с мокрым эффектом) придают поверхности вид от шелково-матового до блестящего, а также легкий влажный эффект. На обработанной гидрофобизаторами поверхности мощения меньше образуется и легко удаляется наледь.
При использовании очистителей и гидрофобизаторов следует соблюдать указания их изготовителей. Перед началом обработки всего покрытия следует провести пробную обработку на небольшом (тестовом) участке.
Ремонт и восстановление после вскрытий
При ремонте участков дорожного покрытия из камней/плит мощения, разборке и восстановлении дорожных покрытий из камней/плит после прокладки и ремонта располагаемых под ними подземных коммуникаций следует выполнять следующие мероприятия.
Следует использовать максимальное количество старых камней/плит мощения. Перед укладкой очищать снятые камни/плиты от старого налипшего материала заполнителя швов и основания.
Края мощения, примыкающие к ремонтируемому участку, должны быть надежно зафиксированы; при этом должен быть необходимый запас для устройства подстилающего слоя от края существующего мощения до ремонтируемого участка.
Толщина подстилающего слоя должна обеспечивать высотные отметки восстанавливаемого дорожного покрытия.
Покрытия следует разбирать на такую ширину, чтобы при откапывании траншей сохраняемое покрытие не могло быть повреждено и грунт под ним не потерял устойчивость. При глубине траншей более 0,75 - 1 м, а также при несвязных грунтах стенки траншеи должны укрепляться во избежание обрушения грунта.
Засыпку и уплотнение грунта в траншеях должны выполнять послойно, чтобы обеспечивалось равномерное уплотнение грунта и плотность его достигала не менее 0,98 оптимальной.
После уплотнения грунта в траншее проводят восстановление основания и дорожного покрытия. Если ширина разрытой полосы близка к ширине тротуара, целесообразно восстанавливать покрытие по всей ширине тротуара.
При замощении вскрытого места необходимо установить за ним наблюдения в течение 1 - 3 мес и при деформациях покрытия его восстанавливать.
Технически правильное восстановление мощения характеризуется одинаковым количеством камней/плит, с одинаковой шириной шва, как и на площади, не затронутой ремонтом. Широкие швы и отрезанные камни/плиты (добавки) недопустимы. Разность высот между восстанавливаемой и не затронутой ремонтом частями мощения не должна превышать (или превышать незначительно) общие допуски для разности высот.
Работы по восстановлению покрытий при капитальном ремонте или их переустройству выполняют по
разделу 6. Приемку восстановленных покрытий выполняют согласно
пункту 6.4.
Дефекты
Наиболее часто встречаемые дефекты дорожных покрытий из камней/плит мощения и причины их возникновения:
- отшелушивание декоративного поверхностного слоя: до начала эксплуатации - производственный дефект, после начала эксплуатации - производственный дефект или неправильная эксплуатация (обильное применение противогололедных средств, металлических инструментов для очистки от льда и т.п.);
- разрушение лицевого слоя камней/плит мощения в период зимней эксплуатации дорожных покрытий из-за их очистки от ледовой корки с помощью ледоколов и ледорубов;
- разрушение камней/плит мощения в местах расположения смотровых и канализационных люков; объясняется недостаточной подготовкой основания перед укладкой камней/плит, наличием динамических усилий в местах примыканий;
- преждевременные деформации, возникающие из-за повышенной нагрузки от трафика. Обычно, такие деформации становятся очевидными после длительной эксплуатации, их причины следует предусматривать, как правило, на этапе проектирования. Должна быть выполнена точная оценка ожидаемой нагрузки на дорожную одежду и дан ее надежный прогноз в зависимости от трафика движения и подтвержденных особенностей условий эксплуатации проектируемого объекта. Только соблюдение этих требований приводит к корректному проектированию конструкции, выбор ее толщины, минеральных заполнителей для швов, элементов мощения и вида укладки;
- горизонтальное смещение камней/плит мощения, вызванное несоответствующими материалами швов или не полностью заполненными швами. Горизонтальная нагрузка от трафика может компенсироваться только полностью заполненными швами. Если швы не полностью заполнены или заполнитель швов не соответствует требованиям, относящимся к фракциям, форме элементов или стабильности при раздавливании, элементы мощения смещаются в горизонтальном направлении;
- пластические деформации покрытия вследствие периодических нагрузок сжатия с сильными осевыми нагрузками на недостаточно уплотненные слои основания, ведущих к образованию неровностей поверхности. Длительные постоянные деформации следует отличать от точечных (локализованных или неравномерно распределенных) деформаций, вызванных неравномерно уложенным и/или слишком толстым слоем основания.
Кроме рассмотренных выше видов повреждения мощения существует широкий ряд ошибок, связанных с несоответствием высотных отметок проектным значениям, нарушением ровности, уклонов и прямолинейности рядов.
ВИДЫ ВИБРОПРЕССОВАННЫХ КАМНЕЙ/ПЛИТ МОЩЕНИЯ
Таблица А.1
Общий вид изделия | Габаритные размеры (длина x ширина x высота) | | Общий вид изделия | Габаритные размеры (длина x ширина x высота) |
Камни мощения с прямолинейными боковыми гранями (без зацепления) | Камни мощения с криволинейными боковыми гранями (с зацеплением) |
| 200 x 100 x 40 200 x 100 x 60 200 x 100 x 80 200 x 100 x 100 | | 197 x 197 x 100 |
| 180 x 120 x 60/80 120 x 120 x 60/80 120 x 60 x 60/80 | Плиты мощения |
| 300 x 300 x 40 300 x 300 x 50 300 x 300 x 60 |
| 160 x 160 x 60/80 260 x 160 x 60/80 100 x 160 x 60/80 |
| 600 x 300 x 60 600 x 300 x 80 |
| 160 x 160 x 60 240 x 160 x 60 80 x 160 x 60 |
| 1000 x 500 x 100 |
| 200 x 200 x 60 |
Камни мощения с криволинейными боковыми гранями (с зацеплением) | | Плиты мощения крупноформатные |
| 222 x 109,5 x 60 222 x 109,5 x 80 222 x 109,5 x 100 | 1000 x 1000 x 160 |
| 197 x 162 x 60 197 x 162 x 80 |
Плиты и камни для устройства комбинированных покрытий |
Камни мощения для устройства дренирующих покрытий |
| 596 x 396 x 80 |
| 239 x 119 x 80 |
| 500 x 500 x 80 |
Камни и плиты мощения с тактильными указателями |
| 300 x 300 x 80 300 x 300 x 80 200 x 100 x 80 |
| 300 x 150 x 80 450 x 225 x 80 |
| 197 x 197 x 80 97 x 97 x 80 |
МЕТОДЫ РАСЧЕТА ДОРОЖНЫХ ОДЕЖД С ПОКРЫТИЕМ
ИЗ КАМНЕЙ/ПЛИТ МОЩЕНИЯ
Б.1 Методы расчета жестких дорожных одежд
Метод расчета 1
Применяют для конструкций дорожных одежд
(рисунок Б.1) с покрытиями из плит мощения конечной жесткости с основаниями, не способными воспринимать растягивающие напряжения при изгибе.
1 - покрытие из плит мощения конечной жесткости; 2 - подстилающий слой (песок, отсевы дробления горных пород); 3 - несущее основание (щебень, гравийно-песчаные смеси, щебень с расклинцовкой, щебеночные смеси, щебень, обработанный органическими и неорганическими вяжущими, отсевы дробления горных пород, побочные продукты промышленного производства, обработанные и необработанные вяжущими, тощий (малоцементный) укатываемый и ячеистые бетоны; 4 - дополнительный слой (песок, гравийно-песчаные смеси, щебень однофракционный (открытая смесь), гравий, укрепленный грунт, легкие бетоны)
Рисунок Б.1 - Принципиальная схема дорожной одежды
Критерии прочностного расчета:
- на сопротивление растяжению при изгибе (предельный изгибающий момент) плит мощения;
- сопротивление сдвигу слабосвязных слоев основания и подстилающего грунта.
Расчет выполняют по методикам для жестких дорожных одежд.
Условие прочности плит покрытия конечной жесткости проверяют по неравенству

(Б.1)
где Kпр - коэффициент прочности, Kпр = 1,0;

- расчетная прочность плит мощения на растяжение при изгибе, МПа, определяют по формуле

(Б.2)
где
Btb - класс бетона по прочности на растяжение при изгибе, МПа (
5.7,
таблица 9);
Kнп - коэффициент набора прочности бетона со временем, Kнп = 1,2;

- расчетное напряжение растяжения при изгибе, возникающее в плите покрытия от действия нагрузки и изменений температуры по толщине плиты, МПа, определяется по формуле

(Б.3)
где Qн - нормативная нагрузка на колесо, кН;
Kусл - коэффициент, учитывающий условия работы, Kусл = 0,80;
MA - безразмерный единичный момент, определяемый по
таблице Б.1 в зависимости от показателя жесткости плиты;
hпл - толщина плиты, м;

- коэффициент, учитывающий конфигурацию плит:

- для круглых и квадратных;

- для плит с числом сторон более четырех;

- для прямоугольных плит;
nс - число сторон правильного многоугольника;
c - отношение сторон (большей к меньшей) прямоугольника.
S | До 0,5 включ. | 0,75 | 1 | 1,5 | 1,75 | 2 | 2,5 | 3 | 3,5 |
MA | -0,0521 | -0,0544 | -0,0567 | -0,0611 | -0,0632 | -0,0653 | -0,0693 | -0,0731 | -0,0767 |
S | 4 | 4,5 | 5 | 6 | 7 | 8 | 9 | 10 |
MA | -0,0801 | -0,0833 | -0,0863 | -0,0917 | -0,0963 | -0,1001 | -0,1031 | -0,1053 |
Минимально допустимая толщина плит независимо от результатов расчета не должна быть меньше указанной в
таблице 1.
Метод расчета 2
Применяют для конструкций дорожных одежд
(рисунок Б.2) с покрытиями из камней мощения и плит (с конечной жесткостью или "абсолютно жестких плит") с монолитными основаниями, способными воспринимать растягивающие напряжения при изгибе.
1 - покрытие (камни/плиты); 2 - подстилающий слой (песок, отсевы дробления горных пород); 3 - несущее монолитное основание (цементобетон, легкий бетон, тощий бетон, дренажные бетоны с прочностью на растяжение при изгибе не менее 0,8 МПа); 4 - щебень, гравийно-песчаные смеси, щебень с расклинцовкой, щебеночные смеси, щебень, обработанный органическими и неорганическими вяжущими, отсевы дробления горных пород, побочные продукты промышленного производства, обработанные и необработанные вяжущими, тощий (малоцементный) укатываемый и ячеистые бетоны, грунт, обработанный вяжущими, песок, гравий
Рисунок Б.2 - Принципиальная схема дорожной одежды
Критерии прочностного расчета:
- на сопротивление растяжению при изгибе (предельный изгибающий момент) плит мощения конечной жесткости;
- на сопротивление растяжению при изгибе монолитных слоев несущего основания;
- сопротивление сдвигу слабосвязных слоев основания и подстилающего грунта.
Расчет выполняют по методикам для жестких дорожных одежд.
Давление на поверхности несущего основания определяют с учетом распределительной способности покрытия (см.
5.7).
Покрытие из камней/плит мощения может моделироваться сплошным слоем (см.
5.7).
Б.2 Методы расчета нежестких дорожных одежд
Метод 1
Применяют для конструкций дорожных одежд
(рисунок Б.3) с покрытиями из камней мощения или "абсолютно жестких" плит с основаниями, не способными воспринимать растягивающие напряжения при изгибе.
1 - покрытие (камни мощения, "абсолютно жесткие" плиты); 2 - подстилающий слой (песок, отсевы дробления горных пород); 3 - несущее основание (щебень, гравийно-песчаные смеси, щебень с расклинцовкой, щебеночные смеси, щебень, обработанный органическими и неорганическими вяжущими, отсевы дробления горных пород, побочные продукты промышленного производства, обработанные и необработанные вяжущими, тощий (малоцементный) укатываемый и ячеистые бетоны, грунт, обработанный вяжущими); 4 - дополнительный слой (песок, гравийно-песчаные смеси, щебень однофракционный (открытая смесь), гравий)
Рисунок Б.3 - Принципиальная схема дорожной одежды
При расчете дорожной одежды с покрытием из камней мощения или "абсолютно жестких" плит расчет покрытия на прочность не производят.
Критерии прочностного расчета:
- сопротивление сдвигу слабосвязных слоев основания и подстилающего грунта.
Расчет выполняют по методикам для нежестких дорожных одежд.
Давление на поверхности несущего основания определяют с учетом распределительной способности покрытия (см.
5.7).
Покрытие из камней/плит мощения может моделироваться сплошным слоем (см.
5.7).
Метод 2
Применяют для конструкций дорожных одежд
(рисунок Б.4) с покрытиями из камней мощения или "абсолютно жестких" плит с несущими основаниями способными воспринимать растягивающие напряжения при изгибе.
1 - покрытие (камни мощения, плиты); 2 - подстилающий слой (песок, отсевы дробления горных пород); 3 - асфальтобетон, асфальтогранулобетон и т.п.; 4 - щебень, гравийно-песчаные смеси, щебень с расклинцовкой, щебеночные смеси, щебень, обработанный органическими и неорганическими вяжущими, отсевы дробления горных пород, побочные продукты промышленного производства, обработанные и необработанные вяжущими, тощий (малоцементный) укатываемый и ячеистые бетоны, грунт, обработанный вяжущими, песок, гравий
Рисунок Б.4 - Принципиальная схема дорожной одежды
При расчете дорожной одежды с покрытием из камней/плит мощения расчет покрытия на прочность не проводят.
Критерии прочностного расчета:
- сопротивление монолитных слоев основания (асфальтобетона, асфальтогранулобетона) растяжению при изгибе;
- сопротивление сдвигу слабосвязных слоев основания и подстилающего грунта.
Расчет выполняют по методикам для нежестких дорожных одежд.
Давление на поверхности несущего основания определяют с учетом распределительной способности покрытия (см.
5.7).
Покрытие из камней/плит мощения может моделироваться сплошным слоем (см.
5.7).
МЕТОДИКА ДЛЯ КОНТРОЛЯ КАЧЕСТВА УСТРОЙСТВА
КОНСТРУКТИВНЫХ СЛОЕВ ДОРОЖНЫХ ОДЕЖД
С ПОКРЫТИЕМ ИЗ КАМНЕЙ/ПЛИТ МОЩЕНИЯ
В.1 За основной критерий оценки качества уплотнения грунтов земляного полотна и конструктивных слоев дорожных одежд принимают обеспечение требуемой величины упругого прогиба слоев. Это проверяется путем сопоставления фактически измеренных эквивалентных (общих) поверхностных модулей упругости грунтов в период строительства с величинами, удовлетворяющими условиям надежной эксплуатации покрытий.
В.2 Контроль осуществляют путем сопоставления теоретических значений эквивалентных (общих) модулей упругости

с модулями упругости, полученными при фактических испытаниях в процессе строительства

:
В.3 Теоретические значения эквивалентных модулей упругости

, определяются на основе проектных решений (см.
5.7,
формула (6)), а также с помощью номограмм (
рисунки В.5,
В.6,
В.7).
В.4 Фактические значения модулей упругости

определяют с помощью малогабаритных установок динамического нагружения.
В.5 В качестве малогабаритной установки динамического нагружения может использоваться оборудование, имеющее в своей конструкции датчик измерения силы и датчик измерения перемещения
(рисунок В.1). Подобное оборудование предназначено для измерения модуля упругости на основе прямых измерений амплитуды перемещения штампа и ударной силы, действующей на круглый, жесткий штамп.
Рисунок В.1 - Общая (принципиальная) схема
малогабаритной установки динамического нагружения
В.6 Диапазон измерений силы с помощью малогабаритной установки динамического нагружения: 0,1 - 19,0 кН.
В.7 Диапазон измерений перемещения штампа малогабаритной установки динамического нагружения: 50 - 9999 мкм.
В.8 Значения модулей упругости у конструктивных слоев назначают в соответствии с типом грунта, заложенного в проектной документации и применяемого в процессе строительства по данным лабораторных испытаний или табличным данным, приведенным в соответствующих нормативных документах.
В.9 Методика применима для нового строительства и для реконструкции дорожных одежд с покрытием из искусственных камней/плит мощения.
В.10 При выполнении контроля поверхностного модуля упругости, толщины слоев не должны превышать значения 0,45 м.
В.11 При новом строительстве для определения теоретических значений эквивалентных модулей упругости необходимо использовать номограммы 1 или 2 (
рисунки В.5,
В.6). Последовательность определения приведена на
рисунке В.2.
Рисунок В.2 - Последовательность определения
эквивалентного модуля групп слоев по номограммам
при новом строительстве (пример)
В.12 При выполнении работ по реконструкции
(рисунок В.3), контроль модуля упругости земляного полотна (подстилающего грунта) допускается не выполнять, в случае, когда толщина первого отсыпаемого слоя меньше диаметра плиты малогабаритной установки динамического нагружения, т.е. при
hi+1 < dшт = 0,30 м.
Рисунок В.3 - Последовательность использования номограмм
при реконструкции (пример)
В.13 При реконструкции для определения теоретических значений эквивалентных модулей упругости для первой пары грунтов
(рисунок В.3) необходимо использовать номограмму 3
(рисунок В.7). Для последующих групп слоев, при послойной отсыпке - необходимо использовать номограмму 1 или 2 (
рисунки В.5,
В.6). В случае, когда толщина нижнего слоя больше одного диаметра плиты измерителя модуля упругости, т.е. при
hi+1 >= dшт = 0,30 м,
то определение всех теоретических значений общих модулей упругости следует вести с использованием номограммы 1 или 2 с первой группы слоев
(рисунок В.4).
Рисунок В.4 - Последовательность использования номограмм
при реконструкции (пример)
Рисунок В.5 - Номограмма 1 для определения теоретических
значений эквивалентного модуля упругости
для нового строительства
Рисунок В.6 - Номограмма 2 (увеличенная) для определения
теоретических значений эквивалентного модуля упругости
для нового строительства
Eэ - эквивалентный модуль упругости группы слоев, МПа;
Eн - модуль упругости нижнего слоя, МПа;
Eв - модуль упругости верхнего слоя, МПа;
hв - толщина верхнего слоя, м;
hн - толщина нижнего слоя, м
Рисунок В.7 - Номограмма 3 для определения теоретических
значений эквивалентного модуля упругости для реконструкции
В.14 При устройстве дорожной одежды на бетонном фундаменте или на иных искусственных основаниях, модуль упругости которых превышает значение 400 МПа, контроль модуля упругости первого отсыпаемого слоя допускается не выполнять, в случае, когда толщина этого слоя меньше 0,30 м
(рисунок В.3).
В.15 По результатам выполненных испытаний разница в теоретических и фактически измеренных значениях общих модулей упругости не должна превышать 10%.
В.16 В случае, когда при проведении трех промежуточных измерений в одной точке выявлен большой размах результатов измерений (> 20 МПа), необходимо изменить положение исследуемой точки для повторного испытания. Если при выполнении повторного испытания снова возникает большой размах результатов измерений - требуется выполнение рекомендаций, приведенных ниже.
В.17 В качестве рекомендаций по устранению выявленных несоответствий следует принимать следующее:
- в случае, когда значения фактически выполненных измерений меньше теоретических значений по модулю упругости, выполняют дополнительное уплотнение грунта;
- если конструктивный слой представлен малосвязным грунтом, то перед уплотнением его влажность увеличивают до оптимальной;
- если слой грунта обработан неорганическими вяжущими, увеличивают процентное содержание в смеси связующего той же марки или изменяют марку связующего в большую сторону, с последующим уплотнением.
В.18 Частота расположения точек исследований вдоль линейного объекта должна регламентироваться техническим заданием, но не реже чем через 10 м, поперек - с шагом через 3 - 5 м.
В.19 Располагать точки исследований необходимо не ближе 1 м к краю покрытия.
В.20 В процессе устройства конструктивных слоев должна обязательно контролироваться их толщина.
В.21 Границы применимости методики:
- в каждом случае для определения использования конкретной номограммы 1, 2 или 3 необходимо выполнять тестовое испытание земляного полотна (подстилающего грунта). Если значение модуля упругости подстилающего грунта выше значения модуля упругости нижнего слоя конструкции дорожной одежды, то необходимо использовать для первой пары слоев номограмму 3 с учетом
В.13 и
В.14. Если значение модуля упругости подстилающего грунта ниже значения модуля упругости первого слоя дорожной одежды снизу, то необходимо использовать номограммы 1 или 2 с учетом
В.12;
- значения поверхностных модулей упругости контролируемых конструктивных слоев должны находиться в диапазоне от 10 до 370 МПа;
- толщины контролируемых конструктивных слоев должны быть не более 0,45 м;
- эквивалентный модуль упругости определяется для каждой группы слоев.
В.22 При использовании малогабаритных установок динамического нагружения не допускается снижение высоты падающего груза. Нормальное положение - это положение, в котором груз максимально, исходя из конструктивных особенностей инструмента, поднят и зафиксирован относительно поверхности конструктивного слоя.
В.23 Для приближенного определения значений эквивалентных модулей упругости на поверхности несущего слоя основания - слое щебня, допускается применение значений из
таблицы В.1.
Таблица В.1
Минимальные значения эквивалентных модулей
на несущем слое основания (слой щебня)
Принципиальная схема | Эквивалентные модули упругости, МПа, в зависимости от класса нагрузок |
Пешеходные площадки, тротуары | Дороги за пределами проезжей части | Автомобильные дороги | Портовые территории, контейнерные терминалы |
Камни/плиты мощения Монтажный слой Несущий слой основания (щебень фракционированный 20 - 40 мм с заклинкой) Дополнительный слой основания Грунт земляного полотна | 105 | 180 | 195 | 240 |
Примечание - В настоящей таблице не учитываются конструкции с горизонтальными связями между блоками и возможное армирование с помощью геосинтетических материалов. |
В.24 Минимально допустимое значение модуля упругости у подстилающего грунта (грунт основания) конструкции дорожной одежды должно составлять 45 МПа.
ПРАВИЛА ПРИЕМКИ ВИБРОПРЕССОВАННЫХ ИЗДЕЛИЙ ДЛЯ МОЩЕНИЯ
НА СТРОИТЕЛЬНОМ ОБЪЕКТЕ
Г.1 Поступающие на объект поддоны (транспортные пакеты) с продукцией должны сопровождаться документами, подтверждающими ее соответствие нормативным документам (документ о качестве (паспорт), сертификат соответствия, при наличии). Сразу после прибытия продукции на строительную площадку необходимо: проверить, на основании накладной, соответствие поставки заказу, произвести ее осмотр на предмет наличия дефектов. В случае возникновения вопросов, работы по укладке камней/плит не могут быть начаты до их решения.
Г.2 Каждый транспортный пакет должен иметь соответствующую этикетку с маркировочными надписями и знаками согласно
разделу 5 ГОСТ 17608-2017.
Г.3 Транспортные пакеты не должны иметь нарушения целостности и значительных повреждений упаковочного материала.
Г.4 Погрузка и выгрузка вибропрессованных изделий должна осуществляться способами, исключающими повреждения изделий и упаковки, погрузка плит навалом и разгрузка их сбрасыванием не допускаются. Пакеты необходимо складировать на выровненное твердое покрытие с уклоном 1% - 2% в сторону внешнего контура с устройством водостоков. Высота штабеля изделий при хранении должна быть не более высоты двух пакетов. В условиях хранения на неподготовленном основании обязательно обеспечение горизонтально устойчивого положения штабеля с плотным прилеганием нижнего пакета по всему периметру основания. Высота штабеля при этом должна быть не более высоты одного пакета.
Г.5 Необходимо проводить визуальный контроль верхних рядов изделий в поступивших транспортных пакетах на наличие (отсутствие) дефектов внешнего вида, соответствие цвета лицевой поверхности паспортным данным. Допускается наличие раковин, сколов и иных дефектов, размеры которых не превышают значений, указанных в
пункте 8.11 ГОСТ 17608-2017.
Г.6 При приемке потребителем вибропрессованных изделий на объекте, изготовитель не несет ответственность за дефекты (потертости, трещины, сколы) в количестве до 3% числа изделий (
пункт 8.11 ГОСТ 17608-2017).
Г.7 Допускается запыленность верхних рядов изделий - следствие хранения продукции на открытой площадке.
Г.8 Допускается наличие высолов (выцветов) на поверхности изделий, как результат процесса гидратации цемента, не оказывающих влияние на эксплуатационную пригодность покрытия.
Г.9 При использовании цветных камней/плит все камни/плиты должны соответствовать цвету, установленному проектом, и образцам, на основании которых заключается договор на изготовление и поставку камней/плит. Автор проекта и заказчик должны иметь в виду реальные возможности выдерживания оттенков цветовой характеристики при производстве камней/плит, в связи с чем цвет образцов должен рассматриваться как примерный.
Г.10 Оценка равномерности окрашивания лицевого слоя продукции со смешанными и переходными оттенками (колормикс) не проводится ввиду того, что равномерность распределения цвета достигается при правильной укладке камней/плит мощения (
пункт 10.4 ГОСТ 17608-2017).
Г.11 При входном контроле партии продукции на объекте следует выборочно осуществлять проверку геометрических размеров (в частности, толщины изделия). Значения предельных отклонений геометрических параметров камней/плит приведены в
пункте 4.5.1 ГОСТ 17608-2017.
Для определения толщины изделия необходимо из транспортного пакета отобрать в произвольном порядке не менее 10 изделий и линейкой с ценой деления 1 мм или штангенциркулем выполнить измерения.
Если более трех единичных значений толщины превышают предельные отклонения, то необходимо отобрать дополнительно 10 изделий и повторить процедуру определения толщины. В случае, если в этих дополнительно отобранных образцах более трех единичных значений толщины превышают предельные отклонения, то запрещается укладка изделий из пакета. В этом случае дополнительно проводится оценка геометрических размеров изделий в поступившей партии еще из двух транспортных пакетов (по десять изделий). В случае подтверждения значительного колебания толщины партия бракуется и составляется рекламация поставщику.
Г.12 В случае возникновения претензий по качеству, отсутствия документов о качестве, нарушения целостности упаковки данную продукцию использовать для мощения не допускается, необходимо обратиться к поставщику для решения спорных вопросов.
ПОРЯДОК ОТБОРА ВИБРОПРЕССОВАННЫХ ИЗДЕЛИЙ ДЛЯ МОЩЕНИЯ
НА ОБЪЕКТЕ СТРОИТЕЛЬСТВА ДЛЯ ПРОВЕРКИ КАЧЕСТВА
И ПРОВЕДЕНИЯ ИСПЫТАНИЙ
Д.1 Отбор изделий для проверки качества должен выполняться на объекте мощения непосредственно из поддонов (транспортных пакетов) перед укладкой.
Д.2 Отбор изделий для проведения испытаний осуществляется при совместном участии поставщика продукции и заказчика с составлением акта отбора в двух экземплярах для каждой из участвующих сторон. Испытания изделий осуществляются при участии поставщика (см.
В.8).
Д.3 Отбор изделий из одного и того же ряда одного и того же транспортного пакета не допускается.
Д.4 В акте отбора образцов рекомендуется указывать наименование лаборатории, в которую направляются отобранные изделия для испытаний.
Д.5 Для испытаний отбирают не менее пяти изделий классов А и Б - с каждых 150 м2 камней/плит (3 точки), классов В и Г - с каждых 100 м2 камней/плит (2 точки). Не допускается отбор изделий из одного и того же ряда транспортного пакета. Количество изделий должно обеспечивать проведение испытаний по всем нормируемым показателям качества, но не более 50 шт.
Д.6 Отобранные изделия в выборке должны быть одинаковой толщины, мм. Наличие сколов, шероховатостей, дефектов поверхностей (свыше установленных требованиями
ГОСТ 13015 к нормируемой категории поверхности) на отобранных образцах не допускается.
Д.7 Отобранные таким образом образцы необходимо передавать на испытания в независимый аккредитованный испытательный центр (лабораторию).
Д.8 Заказчик обязан заблаговременно уведомить поставщика продукции о месте и дате проведения испытаний изделий и обеспечить возможность его присутствия при испытаниях.
КОНТРОЛЬНЫЙ ЛИСТ ЭТАПА РАБОТ: УСТРОЙСТВО ПОКРЫТИЯ
ИЗ ВИБРОПРЕССОВАННЫХ ИЗДЕЛИЙ (КАМНЕЙ/ПЛИТ МОЩЕНИЯ)
Информация об объекте |
Ежедневный отчет N ______ | Дата _______________ |
Объект __________________ | Захватка (площадь, расположение) ________________ |
Изделия для мощения |
Изготовитель ___________ Маркировка ___________ Паспорт качества __________ |
Наличие видимых повреждений: Да  Нет |
Выборочная проверка толщины изделий: Да  Нет |
Изделия соответствуют проектной документации: Да  Нет |
Несущее основание для мощения |
Визуальное обследование. Пустоты, трещины, неровности: Да  Нет |
Высотные отметки соответствуют проекту: Да  Нет |
Контроль уплотнения. |
Проектный эквивалентный (общий) модуль упругости Et на поверхности несущего слоя (из проектной документации на дорожные покрытия): Есть  Нет. |
Значение Et ______________ МПа |
Рекомендуемый общий модуль упругости на поверхности несущего слоя <*> |
Значение _____________ МПа |
Фактически измеренный общий модуль упругости на поверхности несущего слоя Eстр |
Прибор для измерения __________________ |
Значение ______________ МПа |
Соответствует ли основание требованиям для мощения ( Eстр >= Et): Да  Нет |
Приняты меры _________________________________________________________ |
|
Устройство подстилающего слоя |
Материал подстилающего слоя соответствует проектной документации <*>: Да  Нет |
Толщина подстилающего слоя в уплотненном состоянии <**> _________________ |
Толщина подстилающего слоя не превышает установленные значения: Да  Нет |
|
Укладка камней/плит |
Сведения о квалификации рабочих (разряд мостовщика) ______________________ |
Контроль ровности <*>. Рейка ___ м. Среднее значение ____ мм. Ширина швов ___ |
Окончательная посадка камней/плит. Виброплита ___________ Масса _________ |
Полиуретановый коврик на подошве виброплиты: Да  Нет |
Повторное заполнение швов <**>: Да  нет |
Запас на осадку покрытия в процессе эксплуатации 3 - 5 мм <*>: Да  Нет |
Превышение уровня мощения над элементами водосборной системы 3 - 10 мм <*>: Да  нет |
Соблюдаются ли правила подрезки камней/плит <***>: Да  Нет |
|
Отметки инженерно-технического персонала |
Площадь мощения, завершенная сегодня _______________ |
Дата __________ Прораб ___________ Руководитель строительства _____________ |