Главная // Актуальные документы // КонцепцияСПРАВКА
Источник публикации
Менделеево, 2015
Примечание к документу
Документ
введен в действие с 1 марта 2016 года.
Название документа
"МИ 2453-2015. Рекомендация. Государственная система обеспечения единства измерений. Методики радиационного контроля. Общие требования"
(утв. ФГУП "ВНИИФТРИ" 30.12.2015)
"МИ 2453-2015. Рекомендация. Государственная система обеспечения единства измерений. Методики радиационного контроля. Общие требования"
(утв. ФГУП "ВНИИФТРИ" 30.12.2015)
Первый заместитель
генерального директора
ФГУП "ВНИИФТРИ" -
заместитель
по научной работе
Л.Н.ЩИПУНОВ
30 декабря 2015 года
РЕКОМЕНДАЦИЯ
ГОСУДАРСТВЕННАЯ СИСТЕМА ОБЕСПЕЧЕНИЯ ЕДИНСТВА ИЗМЕРЕНИЙ
МЕТОДИКИ РАДИАЦИОННОГО КОНТРОЛЯ. ОБЩИЕ ТРЕБОВАНИЯ
МИ 2453-2015
1. РАЗРАБОТАНА: Всероссийским научно-исследовательским институтом физико-технических и радиотехнических измерений (ВНИИФТРИ)
2. УТВЕРЖДЕНА: ВНИИФТРИ 30 декабря 2015 года
3. ЗАРЕГИСТРИРОВАНА: Всероссийским научно-исследовательским институтом метрологической службы (ВНИИМС) 26 января 2016 года
5. ДАТА ВВЕДЕНИЯ: 1 марта 2016 года
1.1. Настоящая рекомендация разработана с целью обеспечить единообразное изложение документов на методики радиационного контроля (МРК), полноту процедур и сведений для подтверждения метрологической прослеживаемости измерений и оценки их неопределенностей.
1.2. Рекомендация распространяется на вновь разрабатываемые и пересматриваемые МРК и определяет общие требования, относящиеся к их разработке и применению.
2. ОСНОВНЫЕ ПОНЯТИЯ И СОКРАЩЕНИЯ
В настоящей рекомендации использованы следующие обозначения и сокращения:
ФЗ ОЕИ - Федеральный
закон "Об обеспечении единства измерений" от 26.06.2008 N 102-ФЗ;
МТ ИАЭ - "Метрологические
требования к измерениям, эталонам единиц величин, стандартным образцам, средствам измерений, их составным частям, программному обеспечению, методикам (методам) измерений, применяемым в области использования атомной энергии" (утверждены приказом Госкорпорации по атомной энергии "Росатом" от 31.10.2013 N 1/10-НПА, зарегистрированы в Минюсте 27.02.2014 N 31442);
НРБ - "
Нормы радиационной безопасности НРБ-99/2009" (утверждены постановлением Главного государственного санитарного врача N 47 от 07.07.2009, зарегистрированы в Минюсте 14.08.2009 N 14534);
ГОСТ 8.010 -
ГОСТ 8.010-2013 "ГСИ. Методики выполнения измерений. Основные положения";
ГОСТ 8.638 -
ГОСТ 8.638-2013 "ГСИ. Метрологическое обеспечение радиационного контроля. Основные положения";
ГОСТ Р 8.820 -
ГОСТ Р 8.820-2013 "ГСИ. Метрологическое обеспечение. Основные положения";
ПМГ 126 - ПМГ 126-2013 "ГСИ. Порядок аттестации методик выполнения измерений и их применения в сферах законодательной метрологии государств - участников содружества независимых государств";
РМГ 29 -
РМГ 29-2013 "ГСИ. Метрология. Основные термины и определения";
ФИФ - Федеральный информационный фонд по обеспечению единства измерений;
ГСИ - государственная система обеспечения единства измерений;
ИАЭ - использование атомной энергии;
ЛРК - лаборатория радиационного контроля;
МРК - методика радиационного контроля;
МХ - метрологическая характеристика;
ОЕИ - обеспечение единства измерений;
РК - радиационный контроль;
СИ - средство измерений;
СКО - среднее квадратическое отклонение.
Ниже приведены основные понятия, применяемые в рамках настоящей рекомендации.
2.1. радиационные измерения (измерения ионизирующих излучений):
Измерения величин, характеризующих источники (радиоактивные образцы) и поля ионизирующих излучений, а также радиационное облучение объектов.
[ГОСТ 8.638]
Примечание - Объекты радиационного контроля: объекты окружающей среды, среды обитания и деятельности людей, население, персонал, пациенты медицинских учреждений, материалы, процессы, изделия, продукты, отходы и пр.
2.2. радиационный контроль (РК): Радиационные измерения, выполняемые для контролируемого объекта с целью определения степени соблюдения установленных норм или с целью наблюдения за состоянием объекта.
[ГОСТ 8.638]
2.3. измерительная информация: Информация о количественных значениях измеряемой величины, обладающая свойствами, необходимыми для принятия управляющих решений.
[ГОСТ Р 8.820]
2.4. методика радиационного контроля (МРК): Установленная совокупность операций и правил при подготовке и выполнении радиационных измерений и обработке их результатов для получения измерительной информации об объекте радиационного контроля в соответствии с установленными требованиями.
[ГОСТ 8.638]
2.5. неопределенность измерений: Неотрицательный параметр, характеризующий рассеяние значений величины, приписываемых измеряемой величине на основании измерительной информации.
[РМГ 29]
2.6. целевая неопределенность (измерений): Верхняя граница неопределенности измерений, заранее установленная, исходя из предполагаемого использования результатов измерений.
[РМГ 29]
2.7. бюджет неопределенности: Отчет о составляющих неопределенности их вычислении и суммировании.
[ГОСТ 8.638] [РМГ 29]
2.8. показатель точности измерений: Установленная характеристика точности любого результата измерений, полученного при соблюдении требований и правил данной методики измерений.
[ГОСТ 8.010]
Примечание:
В МРК установленным показателем точности измерений является целевая (консервативная или максимальная) неопределенность, в качестве которой используется расширенная неопределенность измерений для доверительной вероятности Р = 0,95.
В МРК должна предусматриваться оценка неопределенности результата измерений для реальных условий измерений.
2.9. контролируемая величина: Величина, подлежащая измерению или определению по результатам измерений для данного вида РК.
[ГОСТ 8.638]
2.10. операционная величина: Величина, назначаемая для измерений в РК и используемая для оценки обычно сложно определяемой контролируемой (или нормируемой) величины.
[ГОСТ 8.638]
2.11. контрольная точка: Небольшая область (участок) объекта радиационного контроля, назначенная для измерений в ней контролируемых величин (непосредственно или через взятия проб).
2.12. метрологическая прослеживаемость: Свойство результата измерений, в соответствии с которым он может быть соотнесен с эталоном соответствующей величины (эталонами величин - при косвенных измерениях) через документированную непрерывную цепь калибровок и применения аттестованных методик измерений, обеспечивающих корректную оценку неопределенности.
[РМГ 29]
2.13. поверка средств измерений: Совокупность операций, выполняемых в целях подтверждения соответствия средства измерений метрологическим требованиям.
[ФЗ ОЕИ]
2.14. калибровка средств измерений: Совокупность операций, выполняемых в целях определения действительных значений метрологических характеристик средств измерений.
[ФЗ ОЕИ]
2.15. В разрабатываемых МРК рекомендуется использовать и другие термины в соответствии с
РМГ 29.
3.1. Радиационные измерения, относящиеся к сфере государственного регулирования обеспечения единства измерений, должны выполняться по методикам измерений, аттестованным в соответствии с законодательством РФ по обеспечению единства измерений. Аттестованные методики измерений регистрируются в ФИФ.
Методики измерений ионизирующих излучений, выполняемых для целей обеспечения радиационной безопасности, регламентируются в МРК.
3.2. Концептуально статус МРК определяется содержанием радиационного контроля согласно официального термина по
[НРБ] контроль радиационный: Получение информации о радиационной обстановке в организации, в окружающей среде и об уровнях облучения людей (включает в себя дозиметрический и радиометрический контроль), а также положениями документов: ФЗ ОЕИ (
ст. 1.3.18;
ст. 1.7;
ст. 5.1;
ст. 5.2;
ст. 5.3),
МТ ИАЭ,
ГОСТ Р 8.820 и
ГОСТ 8.638.
3.3. МРК, как правило, разрабатываются для применения в конкретной организации (ЛРК, службе) с учетом ее оснащенности и возможности реализации методики.
Методики в форме ГОСТ, СТО, МУ и других нормативных и методических документов общего характера для применения в организации для целей РК требуют разработки методических документов (дополнений), конкретизирующих их использование на конкретном предприятии.
При разработке МРК учитываются Нормы и Правила (СанПиН, СП, СНиП, НП и др.), утвержденные в установленном порядке для применения в РК.
Методики прямых измерений с применением СИ утвержденного типа, входящие в состав эксплуатационной документации на СИ, не могут рассматриваться как МРК и согласно
ФЗ ОЕИ аттестации не подлежат.
3.4. МРК должна быть четко ориентирована на определенный вид РК в соответствии с
ГОСТ 8.638.
3.5. В документе на МРК для конкретного объекта (вида) РК должны указываться:
- номенклатура измеряемых (контролируемых, операционных) величин и диапазоны их измерений;
- целевая (консервативная или максимальная) неопределенность измерений по данной МРК;
- алгоритм проведения РК, включая выбор контрольных точек и объемы измерений в них, а также процедуры отбора проб (если таковая предусмотрена);
- процедуры выполнения измерений, включая используемые СИ и подготовительные процедуры;
- правила обработки результатов измерений и их интерпретации применительно к объекту РК с указанием составляющих неопределенности (бюджета неопределенностей) измерений.
Примечание - При необходимости правила и процедуры определения (расчета) контролируемых величин по результатам измерений операционных величин могут разрабатываться как отдельные (специальные) методики расчета.
3.6. Средства измерений для РК должны быть метрологически обеспечены в ГСИ, т.е. подлежат испытаниям с целью утверждения типа с регистрацией в ФИФ в установленном порядке и последующей поверке при эксплуатации.
3.7. МРК должна регламентировать форму представления результатов РК. При этом обязательным является указание:
- измеренного (рассчитанного по измерению) значения контролируемой величины;
- оценки неопределенности результата измерений для доверительной вероятности Р = 0,95.
Концепция оценивания и представления результатов РК приведена в Приложении А к настоящей рекомендации.
3.8. Аттестация методик измерений, регламентированных МРК, проводится в порядке, рекомендованном
ГОСТ Р 8.563 и
ПМГ 126.
3.9. МРК утверждается руководителем организации - пользователя МРК. Утверждение МРК означает ответственность за реализацию МРК в организации.
Организация, утверждающая МРК, имеет право актуализировать методику в установленном порядке.
3.10. Организация, применяющая МРК (метрологическая служба, уполномоченное лицо), должна осуществлять метрологический надзор за применением методики организации с целью их своевременной актуализации. Рекомендуемая периодичность - не более 5 лет.
4. ПОСТРОЕНИЕ И ИЗЛОЖЕНИЕ ДОКУМЕНТОВ НА МРК
4.1. Изложение МРК (документа на МРК) должно быть ориентировано на прямое (непосредственное) использование методики оператором при выполнении РК, т.е. содержать последовательность операций РК и необходимые пояснения к ним.
4.2. Описание обособленных процедур, таких, как пробоотбор, пробоподготовка, приготовление счетных образцов, калибровочная процедура и др., целесообразно давать в приложениях к МРК.
4.3. Документ на МРК должен содержать вводную часть и изложение следующих основных вопросов для соответствующего вида РК:
- специальные термины и определения;
- информацию об объекте РК и общие правила (метод) данного РК;
- условия выполнения РК;
- обеспечение безопасности работ при РК и квалификационные требования к оператору;
- алгоритм (план) проведения РК, выбор контрольных точек и число измерений в них или процедуры отбора проб в этих точках;
- процедуры выполнения измерений, включая используемые СИ, вспомогательные устройства и материалы, подготовительные процедуры, обработку результатов измерений и оценивание неопределенности измерений;
- оформление результатов РК;
- контроль качества измерений.
Для методик расчетов, оформленных отдельным документом, принципиально важным является:
- регламентация требований к исходным данным для расчета и информация об их источниках;
- изложение принятой модели с указанием ограничительных условий и оценки неопределенности.
4.4. Документ на МРК может разрабатываться по форме, принятой в соответствующей организации с учетом требований настоящей рекомендации.
4.5. Ниже даны пояснения к изложению отдельных вопросов МРК.
4.5.1. Документ на МРК должен содержать информационный лист с указанием:
- организации-разработчика и исполнителей (авторов);
- согласования (при наличии);
- организации, аттестовавшей методику измерений, и номера свидетельства об аттестации;
- федерального номера методики измерений (по ФИФ);
- информации о введении МРК (впервые, взамен...).
4.5.2. В вводной части (преамбуле) устанавливаются назначение и область применения МРК с указанием измеряемых величин и общей характеристики МРК (диапазоны измерений и целевая неопределенность измерений).
4.5.3. При описании объекта РК следует указывать вид РК, операционные величины и типичные диапазоны их значений, ссылки на нормативно-организационные документы по РК и ограничительные условия применения МРК.
4.5.4. В общих правилах РК по данной методике излагаются:
- физические и организационные основы метода РК с основными расчетными соотношениями с обозначением величин и поправок, обосновывающими метрологическую прослеживаемость измерений. При необходимости описания методики обработки измерительной информации в применяемом компьютезированном СИ его целесообразно выносить в приложение;
- правила назначения контрольных точек для выполнения РК и объема измерений в них со ссылкой на нормативные документы (при их наличии);
- правила протоколирования объекта РК.
4.5.5. При оценивании неопределенностей измерений следует руководствоваться
концепцией, приведенной в Приложении А.
4.5.6. Для СИ, применяемых в МРК, должны указываться сведения об их утверждении и основные МХ согласно описания типа СИ, зарегистрированного в ФИФ.
При необходимости для обеспечения измерений в реальных условиях должна разрабатываться, как составная часть МРК, калибровочная процедура с использованием эталонов соответствующих единиц величин.
Для СИ, имеющих встроенное программное обеспечение, должны указываться идентификационные данные программного обеспечения.
Должно регламентироваться требование поверки СИ с необходимостью указания в Свидетельстве о поверке требуемых для выполнения измерений метрологических характеристик СИ.
В данном разделе должны указываться также средства контроля исправности СИ при его текущем использовании.
4.5.7. В условиях выполнения РК кроме условий измерений для применяемых СИ должны указываться условия выполнения РК, включая ограничительные условия по влияющим факторам.
4.5.8. Подготовка к выполнению РК, порядок выполнения РК и обработки результатов измерений должны излагаться как перечень конкретных операций, последовательно выполняемых оператором, с краткими пояснениями и отсылкой (при необходимости) к соответствующим разделам МРК.
При использовании СИ, имеющих встроенное программное обеспечение, в операциях, выполняемых оператором, должна предусматриваться ссылка на соответствующий пункт инструкции к программному обеспечению.
Подготовка к выполнению РК должна предусматривать процедуры контроля правильности работы СИ (сохранности МХ).
4.5.9. Документ на МРК должен регламентировать форму представления результатов РК в соответствии с требованиями, предъявляемыми к соответствующему виду РК с обязательным указанием оценки неопределенности измерений.
4.5.10. При необходимости в документе на МРК могут излагаться рекомендации по оценке качества полученной измерительной информации для принятия управляющих решений, включая необходимость выполнения повторных измерений. При оценке качества результатов измерений можно руководствоваться
Приложением Б.
4.5.11. МРК должна предусматривать процедуру контроля качества измерений по данной методике в соответствии с рекомендациями
ГОСТ 8.638, включая контроль точности измерений в соответствии с рекомендациями
ГОСТ Р 8.563.
ОЦЕНИВАНИЯ И ПРЕДСТАВЛЕНИЯ РЕЗУЛЬТАТОВ
РАДИАЦИОННЫХ ИЗМЕРЕНИЙ
1. Настоящая концепция основывается на применении терминов и понятий в соответствии с:
-
ГОСТ 8.638-2013 "ГСИ. Метрологическое обеспечение радиационного контроля. Основные положения";
-
ГОСТ Р 54500.3-2011/Руководство ИСО/МЭК 98-3:2008 "Неопределенность измерения. Часть 3. Руководство по выражению неопределенности измерения";
-
РМГ 29-2013 "ГСИ. Метрология. Основные термины и определения".
2. Результат измерения величины - множество значений величины, приписываемых измеряемой величине вместе с любой доступной и существенной информацией.
Форма представления результатов радиационных измерений регламентируется методикой радиационного контроля. При этом обязательным является указание:
- измеренного (рассчитанного по результату измерений) значения контролируемой величины;
- оценки неопределенности измерений для доверительной вероятности P = 0,95.
3. При РК измерениям подлежат операционные величины, назначаемые для оценки нормируемых (контролируемых) величин на основе тех или иных дозиметрических моделей и их параметров. При этом особенностями радиационных измерений являются:
- существенный вклад статистической составляющей неопределенности измерений, которую следует оценивать в конкретном измерении;
- наличие существенных факторов, влияющих на достоверность показаний средств измерений;
- особенности самого объекта РК.
4. Значение измеряемой величины в РК в общем виде определяется уравнением измерений (математической моделью):
D = R · f(cj),
где R - показание средства измерений; f(cj) - функция, устанавливающая введение поправочных коэффициентов cj, учитывающих влияние j-го фактора, в том числе особенности объекта РК и условия нормирования.
5. Неопределенность измерений - характеристика точности измерений искомой величины, определяющая разброс возможных при данном измерении значений, которые могли бы быть обоснованно приписаны измеряемой величине.
В РК неопределенность измерений, как правило, оценивается как интервал вокруг измеренного значения величины, внутри которого с вероятностью P = 0,95 находится действительное значение измеряемой величины.
6. В практике радиационных измерений используются:
- стандартная неопределенность измерений - оценка неопределенности для отдельных j-х составляющих, выраженная в виде среднего квадратического отклонения СКО - uj;
- суммарная стандартная неопределенность измерений - оценка неопределенности для совокупности всех составляющих, выраженная в виде СКО - uc;
- расширенная неопределенность измерений U - произведение суммарной стандартной неопределенности и коэффициента охвата k, принимаемого для учета выбранной доверительной вероятности.
7. Стандартные неопределенности оцениваются отдельно для каждой составляющей, и вместе они образуют бюджет неопределенности измерений. Суммарная стандартная неопределенность измерений рассчитывается суммированием j-х составляющих неопределенностей с учетом их вкладов в соответствии с уравнением измерений:
где

весовой коэффициент, определяемый через частную производную функции f(c
j) по параметру c
j.
8. Расширенная неопределенность измерений рассчитывается как
U = k · uc,
где: k - коэффициент охвата (в РК для доверительной вероятности P = 0,95 принимается k = 2).
9. Способы оценивания неопределенностей измерений
9.1. Различают два способа оценивания:
- по типу A - оценивание составляющих неопределенности путем статистического анализа измеренных значений величин, полученных при определенных условиях;
- по типу B - оценивание составляющих неопределенности способами, отличными от оценивания по типу A.
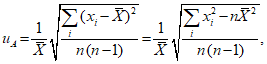
9.2. При оценивании неопределенности по типу A стандартная неопределенность рассчитывается как среднее квадратическое отклонение для среднего арифметического значения для ряда значений величины в данных измерениях. Относительная стандартная неопределенность:
где: x
i - значение в i-ом наблюдении (i = 1, 2, ..., n),

среднее арифметическое значение.
Для средства измерений, показания которого основываются на числе зарегистрированных отсчетов N (т.е.

где

коэффициент преобразования), в качестве относительного СКО может приниматься равным

Однако следует иметь в виду, что для получения надежного результата предпочтительно вместо выполнения одного наблюдения с большим N выполнять многократные наблюдения с меньшими N с последующей обработкой по выше указанному алгоритму.
9.3. При оценивании неопределенности по типу B используют оценки максимальных погрешностей

или неопределенностей u составляющих величин (погрешности средств измерений, неопределенности поправочных коэффициентов, погрешность метода измерений и др.). Стандартная неопределенность для составляющих величин в этом случае оценивается как СКО в предположении равномерного распределения их погрешностей:
10. Неопределенности радиационных измерений
10.1. При РК назначаются следующие составляющие неопределенности:
Инструментальная (приборная) неопределенность, обусловленная основной погрешностью средства измерений (оценивается по типу B);
Измерительная неопределенность, связанная с условиями измерений:
- статистическая составляющая неопределенности измерений (оценивается по типу A);
- обусловленные погрешностями (неопределенностями) поправочных коэффициентов Cj, вводимых для учета дополнительных погрешностей средств измерений (оцениваются по типу B).
Интерпретационная составляющая неопределенности, обусловленная особенностями объекта РК и представительностью РК (оцениваются по типу A и B в зависимости от задачи РК).
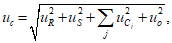
10.2. Суммарная стандартная неопределенность измерений оценивается по соотношению:
где: u
R - инструментальная неопределенность, обусловленная основной погрешностью средства измерений

u
S - статистическая неопределенность измерений в соответствии с
п. 9.2;

неопределенность, обусловленная погрешностью поправочного коэффициента C
j или j-ой дополнительной погрешностью средства измерения:
uo - неопределенность интерпретации результата измерения в контрольной точке объекта применительно к объекту в целом или к заданным условиям нормирования.
10.3. При оценке неопределенности измерений операционных величин не следует учитывать неопределенности принятых в их обоснование моделей и их параметров.
(информационное)
ИСПОЛЬЗОВАНИЕ РЕЗУЛЬТАТОВ РАДИАЦИОННОГО КОНТРОЛЯ
1. Множество значений контролируемой величины, представляющее результат РК задается диапазоном:
{Dмин, Dмакс}
Здесь: Dмин = D - U = D(1 - u); Dмакс = D + U = D(1 + u),
где: D - измеренное значение; U - абсолютная (в единицах измеряемой величины) неопределенность; u - относительная неопределенность.
2. Радиационному контролю присущи существенные неопределенности. Критерии подтверждения соответствия результатов РК установленным требованиям должны назначаться с учетом неопределенностей измерений и риска от принятия недостоверного решения. Критерии устанавливаются применительно к конкретным измерительным задачам.
3. Следует различать использование результатов РК для:
3.1. Достижения четко детерминируемых эффектов с жесткими точностными требованиями.
3.2. Подтверждения гарантированного непревышения (превышения) установленных нормативов (предельно допустимых уровней).
3.3. Регулирования радиационной безопасности (РБ) с регистрацией официальных результатов РК.
4. В случаях решения задач по
п. п. 3.1 и
3.2 для принятия решения по результатам РК используются D
макс и D
мин например, D
макс <= L или D
мин >= L, где L - установленный норматив.
5. Для задач по
п. 3.3 регистрируются и используются в учетных документах измеренные значения D с отдельным указанием неопределенности U.
При оценке соблюдения принципа нормирования РБ следует руководствоваться максимальным значением Dмакс с учетом неопределенности нормативов и риска принятия недостоверного решения.
Оценивание соответствия при многофакторном
радиационном контроле
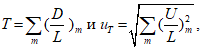
6. Нормативы для контролируемых (операционных) величин устанавливаются исходя из монофакторного воздействия. При наличии нескольких параметров для РК объекта для оценивания соответствия объекта нормативным требованиям используется параметр соответствия T и неопределенность его определения uT, рассчитываемые по совокупности результатов измерений всех нормируемых параметров:
где m - индекс для обозначения соответствующего параметра.