Главная // Актуальные документы // ИнструкцияСПРАВКА
Источник публикации
Документ опубликован не был
Примечание к документу
Название документа
"Инструкция по проведению вибродиагностики высоких насыпей на железных дорогах ОАО "РЖД"
(утв. Распоряжением ОАО "РЖД" от 29.10.2014 N 2561р)
"Инструкция по проведению вибродиагностики высоких насыпей на железных дорогах ОАО "РЖД"
(утв. Распоряжением ОАО "РЖД" от 29.10.2014 N 2561р)
от 29 октября 2014 г. N 2561р
ИНСТРУКЦИЯ
ПО ПРОВЕДЕНИЮ ВИБРОДИАГНОСТИКИ ВЫСОКИХ НАСЫПЕЙ
НА ЖЕЛЕЗНЫХ ДОРОГАХ ОАО "РЖД"
Протяжение деформирующегося и дефектного земляного полотна на железных дорогах ОАО "РЖД" составляет 6,9% от эксплуатационной длины сети. При этом прослеживается устойчивая тенденция роста деформирующегося земляного полотна с 2008 года.
Существенное изменение первоначальных геометрических размеров и свойств высоких насыпей в процессе длительной эксплуатации приводит к образованию их дефектов в виде зауженной основной площадки и завышенной крутизны откосов, в том числе с наличием балластных шлейфов. На многих насыпях имеются деформации, вызванные наличием балластных углублений в основной площадке. Длительно эксплуатируемые высокие насыпи становятся предрасположенными к деформациям в виде сплывов и оползаний их откосных частей. На сети дорог ОАО "РЖД" ежегодно возникает несколько случаев таких деформаций, приводящих к ограничению скоростей движения поездов, а не редко и к перерывам в движении.
Поэтому задача развития методов и способов диагностики высоких насыпей, и проведения режимных наблюдений за их состоянием является актуальной.
Анализ применяемых в настоящее время методов и способов диагностики высоких насыпей показал, что они не позволяют дать оценку деформативности высоких насыпей под фактической динамической нагрузкой от проходящих поездов. Поэтому перспективным является применение вибрационного метода диагностики, при котором сейсмической аппаратурой фиксируются процессы колебаний грунтов насыпи непосредственно при проходе поездов. Анализ параметров процессов колебаний позволяет определить состояние насыпи. Применение метода вибродиагностики позволит повысить информативность и достоверность диагностики земляного полотна.
Инструкция разработана на кафедре "Путь и путевое хозяйство" МГУПС (МИИТ) по заказу Центра обследования и диагностики инженерных сооружений - филиала открытого акционерного общества "Российские железные дороги".
1.1. Инструкция предназначена для использования Московской обследовательской станцией по земляному полотну и Мерзлотной станцией Центра ИССО ОАО "РЖД", а также другими организациями, привлекаемыми к проведению диагностики высоких насыпей.
1.2. Инструкция определяет методическую и технологическую последовательность, состав и объем работ по проведению вибродиагностики высоких насыпей, расположенных на прочном основании, а также требования к аппаратно-программному комплексу вибродиагностики.
1.3. Назначением вибродиагностики является диагностика состояния высоких насыпей при проходе по ним поездов с выявлением участков, где эти насыпи могут переходить в неустойчивое состояние, в результате которого возникают деформации в виде просадок рельсовых нитей, либо потери устойчивости откосов насыпей.
1.4. Вибродиагностика выполняется при прохождении по насыпи поездов с эксплуатационными нагрузками и скоростями движения во всем диапазоне их изменения. В том числе в условиях движения тяжеловесных и длинносоставных поездов, поездов с повышенными осевыми нагрузками, а также скоростного и высокоскоростного движения пассажирских поездов.
1.5. Вибродиагностика выполняется для высоких насыпей без каких-либо ограничений по их высоте и конструкции, в том числе на насыпях с выполненными противодеформационными мероприятиями (контрбанкетами, подпорными стенками и др.).
1.6. Выполнение работ по вибродиагностике не должно создавать помех для движения поездов и требовать перерыва в их движении или ограничения скоростей движения.
1.7. По результатам вибродиагностики должно быть выдано заключение о техническом состоянии высокой насыпи, с одновременной выдачей рекомендаций о порядке дальнейшей эксплуатации объекта или его усиления.
1.8. Вибродиагностика высоких насыпей производится в дополнение к надзору за их состоянием, который должен проводиться в соответствии с положениями
Инструкции по содержанию земляного полотна железнодорожного пути.
Требования настоящей Инструкции составлены на основе указаний и положений следующих нормативных документов:
2.1. Технический
регламент "О безопасности инфраструктуры железнодорожного транспорта" (ТР ТС 003/2011), утвержденный решением Комиссии Таможенного союза от 15.07.2011 N 710
2.2.
СП 32-104-98 Проектирование земляного полотна железных дорог колеи 1520 мм
2.3.
СП 11-105-97 Инженерно-геологические изыскания для строительства. Часть 1. Общие правила производства работ
2.4.
СП 47.13330.2012 Инженерные изыскания для строительства. Основные положения. Актуализированная редакция СНиП 11-02-96, дата введения 2013-01-01
2.5.
СП 119.13330.2012 Железные дороги колеи 1520 мм. Актуализированная редакция СНиП 32-01-95
2.6. СТН Ц-01-95 Железные дороги колеи 1520 мм
2.7.
Правила технической эксплуатации железных дорог Российской Федерации (далее - ПТЭ), утверждены приказом Минтранса России от 21.12.2010 N 286 (с изменениями и дополнениями от 12.08.2011 N 210, от 04.06.2012 N 162, от 13.06.2012 N 164)
2.8.
Инструкция по сигнализации на железнодорожном транспорте Российской Федерации (Приложение 7 к ПТЭ), введенная в действие
Приказом Минтранса России от 04.06.2012 N 162
2.9.
Инструкция по движению поездов и маневровой работе на железнодорожном транспорте Российской Федерации (Приложение 8 к ПТЭ), введенная в действие
Приказом Минтранса России от 04.06.2012 N 162
2.10.
Стандарт ОАО "РЖД" 1.07.002-2010 Инфраструктура железнодорожного транспорта на участках обращения грузовых поездов повышенного веса и длины. Технические требования, утвержденный
распоряжением ОАО "РЖД" от 25.11.2010 N 2412р
2.11.
Положение о системе ведения путевого хозяйства ОАО "РЖД", утвержденное распоряжением ОАО "РЖД" от 02.05.2012 N 857р
2.12. Положение о проведении реконструкции (модернизации) железнодорожного пути, введенное в действие
распоряжением ОАО "РЖД" от 01.07.2009 N 1374р
2.13.
Инструкция по содержанию земляного полотна железнодорожного пути, утвержденная МПС России от 30.03.1998 N ЦП-544
2.14. Технологический регламент диагностики и режимных наблюдений объектов земляного полотна для постоянной эксплуатации (далее - Технологический регламент), утвержденный Департаментом пути и сооружений ОАО "РЖД" от 04.12.2006
| | ИС МЕГАНОРМ: примечание. В официальном тексте документа, видимо, допущена опечатка: имеется в виду Распоряжение ОАО "РЖД" N 2663р от 12.12.2011, а не от 12.11.2012. | |
2.15.
Инструкция по проведению диагностики земляного полотна на железных дорогах ОАО "РЖД", утвержденная распоряжением ОАО "РЖД" от 12.11.2012 N 2663р;
2.16. Инструкция по оценке деформаций основной площадки земляного полотна по данным диагностических комплексов, утвержденная распоряжением ОАО "РЖД" от 09.12.2011 N 2659р;
2.17.
Инструкция по устройству подбалластных защитных слоев при реконструкции (модернизации) железнодорожного пути, утвержденная распоряжением ОАО "РЖД" от 12.12.2012 N 2544р;
2.18.
Правила эксплуатации объектов инфраструктуры, подвижного состава и организации движения на участках обращения скоростных и высокоскоростных пассажирских поездов со скоростями более 140 до 250 км/ч включительно, утвержденные распоряжением ОАО "РЖД" от 13.02.2012 N 283р;
2.19.
Правила по охране труда, экологической, промышленной и пожарной безопасности при техническом обслуживании и ремонте объектов инфраструктуры путевого комплекса ОАО "РЖД", утвержденные распоряжением ОАО "РЖД" от 04.02.2014 N 255р
2.20.
Инструкция по обеспечению безопасности движения поездов при производстве путевых работ, утвержденная
распоряжением ОАО "РЖД" от 29.12.2012 N 2790р.
Примечание: При пользовании настоящей Инструкцией целесообразно проверить действие ссылочных нормативных документов по информационному указателю "Национальные стандарты", и по информационным базам ОАО "РЖД". Если ссылочный документ заменен (изменен), то при пользовании настоящей инструкцией следует руководствоваться замененным (измененным) документом. Если ссылочный документ отменен без замены, то положение, в котором дается ссылка на него, применяется в части, не затрагивающей эту ссылку.
В настоящей Инструкции приняты следующие основные термины и определения:
аппаратно-программный комплекс - совокупность измерительных и регистрирующих технических средств и программного обеспечения, применяемых при вибродиагностики высоких насыпей;
балластные углубления - углубления в недренирующих (в основном в глинистых) грунтах, слагающих основную площадку, заполненные балластными или другими дренирующими материалами;
вибродиагностический комплекс (ВДК) - аппаратно-программный комплекс, обеспечивающий регистрацию и последующую обработку записей виброскоростей от проходящих поездов, параметры которого соответствуют требованиям
п. 7.2 настоящей Инструкции;
высокая насыпь - участок железнодорожной насыпи протяжением не менее 25 м и рабочими отметками более 6 м.
детальное диагностирование объектов земляного полотна - выполнение комплекса диагностических работ, с целью получения объективной информации о техническом состоянии объектов, с разработкой рекомендаций по управлению их надежностью;
дефект земляного полотна железнодорожного пути - несоответствие геометрических очертаний земляного полотна требованиям современных норм и/или отсутствие и нарушение водоотводов в период строительства и эксплуатации (в соответствии с классификацией, принятой в
Инструкции по проведению диагностики земляного полотна на железных дорогах ОАО "РЖД");
деформация земляного полотна железнодорожного пути - изменения во времени первоначальной формы, размеров и литологического строения земляного полотна, вызванные неблагоприятными воздействиями природных и антропогенных факторов (в соответствии с классификацией, принятой в
Инструкции по проведению диагностики земляного полотна на железных дорогах ОАО "РЖД");
кондиционность измерений - соответствие качества записи виброскоростей (наличие сигнала по соответствующим каналам записи, возможность обработки программным комплексом);
основная площадка - верхняя поверхность земляного полотна, на которой располагается верхнее строение пути и через, которую передаются воздействия подвижного состава;
поезд повышенного веса - грузовой поезд, масса которого свыше 6000 тонн (
п. 3.16 СТО РЖД 1.07.002-2010);
поезд повышенного веса и длины - грузовой поезд, масса которого превышает 6000 т, а длина более 284 осей (
п. 3.18 СТО РЖД 1.07.002-2010);
предварительное диагностирование объектов земляного полотна - выполнение комплекса диагностических работ, с целью определения потенциальной опасности объекта к возникновению деформаций;
прочное основание - естественное основание насыпи, представленное скальными и крупнообломочными грунтами (независимо от условий увлажнения), а также маловлажными и влажными песками и глинистыми грунтами твердой и полутвердой консистенции, преимущественно сухое (
п. 4.22, таблица 4.4 и
п. 4.23 СП 32-104-98), при котором не наблюдается деформаций основания под нагрузкой, требующих осуществления специальных мероприятий;
рабочая зона земляного полотна - слои грунтов в зоне, условно принимаемой в пределах от уровня подошвы балластного слоя нормируемой толщины до глубины 3 м;
режимные наблюдения - надзор и инструментальные наблюдения за состоянием насыпей, позволяющие провести оценку их состояния (стабильности) в заданном интервале времени.
4. Общие принципы и сфера применения метода
вибродиагностики высоких насыпей
4.1. Метод вибросейсмической диагностики относится к геофизическим методам диагностики земляного полотна, где в качестве источника возбуждения упругих волн используется поездная нагрузка, создающая в насыпи динамическое (вибрационное) поле.
4.2. В основу метода вибродиагностики положено измерение параметров колебательных (вибрационных) процессов грунтов, слагающих насыпь, происходящих при проходе поезда, с последующей оценкой в зависимости от значений величин этих параметров состояния насыпи, а также оценкой возможности перехода насыпи в нестабильное состояние.
4.3. В качестве параметров колебаний грунта, по которым производится диагностирование насыпи, принимаются значения величин скоростей колебаний (виброскоростей в мм/сек) и соответствующие им частоты f (Гц), а также их изменение от бровки по откосу насыпи.
4.4. Вибродиагностика выполняется с целью выявления потенциально-опасных участков высоких насыпей, которые могут при существующих эксплуатационных параметрах движения (осевые нагрузки, скорости движения, грузонапряженность, наличие тяжеловесных и длинносоставных поездов) либо в случае их изменения в сторону увеличения переходить в неустойчивое состояние, характеризующееся возникновением деформаций в рабочей зоне или в откосных частях насыпи.
4.5. Вибродиагностика выполняется в общем комплексе диагностических работ, в порядке, предусмотренном Технологическим регламентом и может быть использована на этапах:
предварительного диагностирования высоких насыпей;
детального диагностирования высоких насыпей;
режимных наблюдений за высокими насыпями.
5. Выбор объектов для диагностирования.
Периодичность и порядок выполнения работ
5.1. Вибродиагностика выполняется на участках высоких насыпей, с рабочими отметками более 6 м, протяжение которых составляет не менее 25 м.
5.2. При выборе объектов для вибродиагностики в приоритетном порядке должны рассматриваться полигоны обращения грузовых поездов повышенного веса и длины.
Вибродиагностика должна проводиться на высоких насыпях, расположенных на участках пути, где планируется повышение скоростей движения или обращение тяжеловесных и длинносоставных грузовых поездов, а также грузовых поездов, составленных из вагонов с повышенными осевыми и погонными нагрузками, с целью выдачи заключений о возможности перехода насыпей в неустойчивое состояние.
5.3. При проведении предварительного диагностирования объектов вибродиагностика может выполняться дополнительно к общему комплексу работ, предусмотренных Технологическим регламентом. При этом в первую очередь должна проводиться вибродиагностика высоких насыпей, которые состоят на учете в дистанциях пути, как неустойчивые или деформирующиеся, а также на объектах, где по показаниям путеизмерительных вагонов выявлены нестабильные участки пути.
5.4. На этапе детального диагностирования высоких насыпей вибродиагностика дополняет другие виды диагностических работ, позволяя сделать комплексное заключение по их эксплуатационной надежности. При этом выбор объектов, подлежащих детальному диагностированию, проводится в соответствии с требованиями Технологического регламента.
5.5. Повторная вибродиагностика выполняется на насыпях, которые в ходе диагностических работ были отнесены к группам деформирующихся или потенциально-опасных при появлении на этих объектах деформаций или участков пути с нестабильностью геометрии рельсовой колеи, а также изменении параметров движения более чем на 10%.
5.6. В составе режимных наблюдений вибродиагностика проводится на участках насыпей, где выявлена нестабильность рельсовой колеи, наблюдаются просадки рельсовых нитей, или выявлены признаки возникновения деформаций откосных частей насыпей.
5.7. В плановом порядке измерения выполняются в весенний период, после схода снежного покрова, а также в периоды, когда на конкретных объектах были зафиксированы деформации или наблюдалась нестабильность геометрии рельсовой колеи, выявленная по показаниям вагонов путеизмерителей.
6. Критерии диагностических признаков
6.1. В качестве критериев состояния высоких насыпей, расположенных на прочном основании для вибродиагностики принимаются следующие критерии:
- действующая амплитуда полного вектора скорости колебаний (виброскорость) на бровке насыпи - v0, мм/сек;
- коэффициент затухания колебаний по откосу насыпи -

, 1/м;
- интенсивность колебаний в полосе частот 0,1 - 10 Гц, как характеристика спектра колебаний.
6.2. Действующая амплитуда (двойной размах колебания, регистрируемый датчиком под каждой осью подвижного состава) полного вектора виброскорости колебаний определяется для однородной записи
(рисунок 6.1) из соотношения энергий сигналов по формуле:

,
где A
i - амплитуда виброскорости колебаний с временным шагом

, T - временной интервал наблюдения вибраций, i - текущий индекс суммирования, n - количество отсчетов.
Рисунок 6.1 Участок однородной записи
для определения амплитуды
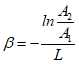
6.3. Коэффициент затухания колебаний по откосу насыпи

определяется по каждому направлению регистрации колебаний, исходя из экспоненциальной зависимости, по формуле:
где A1 и A2 - амплитуда виброскорости соответственно на верхнем и на нижнем датчиках; L - расстояние по откосу между датчиками.
6.4. Интенсивность колебаний в полосе 0,1 - 10 Гц соответствует процентному содержанию энергии колебаний попадающих в данную спектральную полосу и определяется следующим образом:

,
где S10 и S100, соответственно площадь спектра сигнала в полосе 0,1 - 10 Гц и в полосе 0,1 - 100 Гц.
6.5. Критерии по коэффициенту затухания и интенсивности колебаний в полосе от 0,1 - 10 Гц учитываются в диапазоне виброскоростей величиной значений более 2 мм/с.
6.6. Все диагностируемые высокие насыпи по результатам проведения вибродиагностики классифицируются на три категории:
- устойчивая;
- относительно устойчивая;
- неустойчивая.
Оценка делается отдельно для каждого откоса насыпи (однопутной или многопутной), каждого измерительного сечения, под каждой группой однородных поездов. Величины критериев, по которым выполняется классификация, приведены в Таблице 6.1.
Таблица 6.1
для категорирования состояния высокой насыпи
Наименование критерия | Величина критерия для состояния насыпи |
Устойчивое | Относительно устойчивое | Неустойчивое |
Действующая амплитуда полного вектора виброскорости на бровке насыпи v0, мм/сек; | v0 < 4 | 4 <= v0 <= 30 | v0 > 30 |
Коэффициент затухания колебаний по откосу насыпи  , 1/м | | | |
Интенсивность колебаний в полосе 0,1 - 10 Гц, % | Низкие частоты вносят незначительный вклад в колебания (I < 20%) | Низкие частоты вносят значительный вклад в колебания (20% < I < 50%) | Низкие частоты вносят основной вклад в колебания (I > 50%) |
6.7. Отнесение насыпи к одной из перечисленных выше категорий осуществляется по критерию
Таблицы 6.1, имеющему худший показатель.
7. Аппаратно-программный комплекс для вибродиагностики
Для вибродиагностики (измерения колебаний грунта насыпи под воздействием поездной нагрузки) применяется аппаратно-программный комплекс, состоящий из:
- сейсмостанции (блока регистратора показаний сейсмоприемников);
- сейсмоприемников (датчиков колебаний грунта с тремя компонентами: 1 - вертикальная - z, 2 и 3 горизонтальные - x, y);
- блока питания;
- комплекта соединительных кабелей;
- полевого компьютера;
- программного обеспечения (ПО) для управления сейсмостанцией, преобразования и хранения информации от датчиков и обработки результатов измерений.
7.2. Требования к аппаратно-программному комплексу
7.2.1. Для проведения вибродиагностики должны быть использованы приборы и датчики, имеющие серийное изготовление и сертификат о поверке измерительной аппаратуры.
7.2.2. Аппаратно-программный комплекс должен:
- иметь широкий диапазон регистрируемых частот от 0,1 Гц до 100 Гц;
- иметь возможность регистрировать амплитуды виброскоростей от 0,001 мм/с до 100 мм/с.
- иметь возможность работать как под управлением оператора, так и автономно <1>;
--------------------------------
<1> В автономном режиме запись колебаний грунта производится автоматически при проходе поезда, при этом не требуется вмешательство оператора. Данный режим (совместно с проведением видеозаписи) может быть использован при работе нескольких комплексов на достаточно протяженном участке насыпи.
- обладать понятным интерфейсом;
- обеспечивать возможность получения достоверной информации в не зависимости от квалификации рабочих, устанавливающих комплекс.
7.2.3. Аппаратура, используемая при вибродиагностике должна иметь автономное питание, обеспечивающее время ее непрерывной работы на протяжении не менее 8 часов.
7.2.4. Приборы и датчики должны иметь:
- защиту от пыли и влаги не ниже IP67;
- защиту от воздействий тяговых токов, атмосферных и коммутационных перенапряжений;
- функционирование при любых видах электротяги, путевой блокировки и системах электрической централизации на станциях.
7.2.5. Датчики и аппаратура комплекса должны соответствовать классу К3 по
ОСТ 32.146-2000, исполнения УХЛ, категория размещения 2 по
ГОСТ 15150-69 и выдерживать воздействия с параметрами:
- верхнее значение предельной рабочей температуры +50 °C;
- нижнее значение предельной рабочей температуры -20 °C;
- характер изменения температуры - быстрый.
При этом интегральная плотность вибродатчиков должна в первом приближении соответствовать плотности вмещающего грунта.
7.2.6. По требованиям устойчивости к воздействию химических веществ датчики должны быть устойчивы к химическому воздействию в грунтовой среде при pH от 4 до 8, и иметь биологическую стойкость к микроорганизмам и бактериям.
7.2.7. Программное обеспечение системы должно быть лицензировано и включать программное обеспечение для обработки и анализа результатов диагностики, а также обладать понятным интерфейсом, обеспечивать возможность получения достоверной информации.
7.2.8. Программное обеспечение должно обеспечивать возможность определения следующих параметров:
- коэффициент затухания упругих волн;
- виброскорость;
- спектральный состав записи.
7.2.9. Граф обработки полученного материала (сейсмических данных), который должен быть реализован в программном комплексе, должен обеспечивать:
- создание архива исходных данных;
- пересчет амплитуд сигнала в виброскорости;
- визуальный анализ данных на предмет наличия псевдостоячих волн, однородности записи, характера изменения амплитуд виброскорости по мере прохождения поезда;
- анализ виброскоростей для каждой записи: оценка максимальной и средней виброскорости <2>;
--------------------------------
<2> В данном случае речь идет об обработке неоднородных по составу записей, когда требуется проведение оценки средних виброскоростей для различных участков записи (например, при наличии участков записи с псевдостоячими волнами, или при резко неравномерной нагрузки на насыпь от подвижного состава)
- анализ спектрального состава записи: оценка центральной частоты записи, определение частот, вносящих основной вклад в формирование волн разной природы, построение частотных спектров для оценки линейности или нелинейности изменения спектральных характеристик по мере движения состава <3>;
--------------------------------
<3> Рекомендуется производить анализ на основе, как традиционного преобразования Фурье, так и непараметрического (метод Уэлча) и параметрического (метод MUSIC) оценивания, позволяющее выделить регулярную часть процесса на фоне случайного сигнала.
- оценка скорости и затухания упругих волн на обследуемом участке <4>.
--------------------------------
<4> Обязательным условием такого анализа является синхронизация данных, полученных на разных удалениях от оси пути.
7.2.10. Информационные носители аппаратуры должны иметь память, не менее 64 Гбайт, обеспечивающую запись и хранение информации не менее чем на 2-х дневный объем работы, а также иметь скорость записи/чтения класса не ниже 6.
7.2.11. Применяемая измерительная и регистрирующая аппаратура должна иметь метрологическое подтверждение пригодности.
7.2.12. Приборы должны поверяться в сроки, предусмотренные инструкциями по их эксплуатации.
8. Методика и технологическая последовательность
проведения вибродиагностики
8.1. Работы по вибродиагностике высоких насыпей должны проводиться в следующем порядке:
- подготовительные работы;
- полевые работы на объекте по измерению колебаний грунта под поездами;
- камеральная обработка результатов измерений;
- выдача заключения о состоянии объекта с одновременной разработкой сценариев по управлению надежностью участков пути, и рекомендаций по проведению ремонтных или реконструкционных работ при необходимости.
8.2. В состав подготовительных работ входит:
- сбор, изучение и анализ материалов с характеристиками насыпи, материалов ранее выполненных диагностических работ и результатов изысканий прошлых лет <5>;
--------------------------------
<5> В соответствии с требованиями Технологического регламента перечисленные материалы должны быть представлены в карточке высокой насыпи.
- сбор материалов с характеристиками верхнего строения пути, в том числе данных о проведении реконструкции (модернизации) и ремонтов на данном участке пути;
- сбор данных по параметрам движения поездов: грузонапряженность, нагрузка на ось, скорости движения пассажирских и грузовых поездов, вес и длина грузового состава;
- проведение натурного осмотра насыпи;
- выбор поперечных сечений для измерений и схем расстановки аппаратуры;
- подготовка измерительной аппаратуры и датчиков к полевым работам;
- ознакомление с графиком движения поездов и их характеристиками и составление плана полевых работ с определением однородных групп и количества поездов для записи и времени их прохождения по участку.
8.3. Полевые работы на объекте выполняются в следующем порядке:
- установка сейсмоприемников в грунт на основной площадке и по образующей откоса насыпи в намеченных поперечных сечениях;
- подключение кабелей между датчиками, аппаратурой, блоком питания и компьютером;
- включение и проверка и тестирование измерительной аппаратуры и компьютера;
- запись колебаний грунта насыпи под выбранными проходящими поездами и первичная проверка кондиционности измерений;
- демонтаж датчиков и аппаратуры и переход в соответствии с программой на другие сечения.
8.4. Сейсмоприемники устанавливаются на выровненную площадку с заглублением в грунт на 15 см - 20 см с точным соблюдением направлений измерения (вертикаль, горизонталь поперек и вдоль пути).
8.5. Работу с измерительной аппаратурой выполняют в соответствии с руководством выполнения работ для данного типа оборудования. Порядок работы с измерительной аппаратурой приведен в
приложении А на примере аппаратного комплекса "Дельта-03".
8.6. Выбор поперечных сечений, в которых выполняются измерения колебаний от поездов, должен производиться с учетом материалов ранее выполненных диагностических работ. Поперечные сечения назначаются на участках, где ранее наблюдались деформации или была зафиксирована нестабильность рельсовой колеи. При этом следует учитывать результаты георадиолокационной съемки, назначая измерительные сечения в местах развития балластных углублений. Кроме этого, для вибродиагностики могут быть приняты также сечения, где имеются какие-либо характерные особенности насыпи (например, максимальная высота, развитые балластные шлейфы, наличие дефектов в виде зауженной основной площадки или завышенной крутизны откосов, наличие признаков переувлажнения грунтов откосных частей и пр.).
8.7. Схема расстановки сейсмоприемников в общем случае зависит от конкретных параметров насыпи (ширина основной площадки, наличие и ширина обочины, длина образующей откоса).
Основная (рекомендуемая) схема расстановки сейсмоприемников приведена на
рисунке 8.1.
При этом верхний сейсмоприемник устанавливается на бровке насыпи, а второй на расстоянии 5 м - 7 м от первого. Конкретное расстояние может назначаться исходя из местных условий.
Для насыпей с бермами и контрбанкетами вторая наблюдательная точка устраивается у подошвы откоса насыпи.
Рисунок 8.1. Рекомендуемая схема
расстановки сейсмоприемников
В частных случаях, когда в нижней части откоса насыпи имеются признаки деформаций (например, уступы оползания балластного шлейфа, трещины или надрывы дернового покрова на откосе насыпи, взбугривание откоса) необходимо предусматривать устройство дополнительных наблюдательных точек.
8.8. В каждой наблюдательной точке производится измерение виброскоростей по трем направлениям: z - вертикальному; y - горизонтальному поперек пути; x - горизонтальному вдоль пути.
8.9. В общем случае измерения виброскоростей осуществляются под графиковыми поездами. Измерения могут также проводиться под поездами опытных поездок, если необходима оценка возможности пропуска поездов с повышенными нагрузками, весом или требуется повышение скоростей движения.
8.10. Измерения должны выполняется для однородных групп поездов в количестве не менее 3 - 5 поездов. При этом однородной считается группа поездов, имеющих однотипные вагоны. Вес поезда в группе должен отличаться не более чем на +/- 150 т, а скорость движения не более чем на +/- 10 км/ч.
8.11. С целью повышения точности обработки записанных данных необходимо, с помощью дополнительного оборудования, производить замер скорости движения <6> и видеозапись прохождения подвижного состава через исследуемое поперечное сечение.
--------------------------------
<6> Скорость движения поездов, так же может быть определена по записи вибрационного процесса.
8.12. При производстве полевых работ необходимо обеспечить безусловное выполнение правил и норм безопасности движения поездов и охраны труда, руководствуясь
Правилами технической эксплуатации железных дорог Российской Федерации,
Инструкцией по сигнализации на железных дорогах Российской Федерации,
Инструкция по движению поездов и маневровой работе на железнодорожном транспорте Российской Федерации,
Инструкцией по обеспечению безопасности движения поездов при производстве путевых работ,
Правилами эксплуатации объектов инфраструктуры, подвижного состава и организации движения на участках обращения скоростных и высокоскоростных пассажирских поездов со скоростями более 140 до 250 км/ч,
Правилами по охране труда, экологической, промышленной и пожарной безопасности при техническом обслуживании и ремонте объектов инфраструктуры путевого комплекса ОАО "РЖД" и другими нормативными документами, действующими в ОАО "РЖД".
Все полевые работы должны производиться по согласованию с дистанцией пути. Установка аппаратуры в пределах основной площадки насыпей должна выполняться с обеспечением требований безопасности (после проведения инструктажей, ограждении места производства работ, с соблюдением габарита приближения строений и др.).
Все работники должны быть обеспечены спецодеждой и средствами индивидуальной защиты.
Все используемые технические средства подлежат предварительной сертификации и поверке.
8.13. После завершения полевых работ производится сбор данных о характеристиках поездов проследовавших по участку работ. Данные в составе общих характеристик и натурных листов поездов могут быть получены из графика исполнения движения АСУ ГИД "Урал-ВНИИЖТ".
8.14. В ходе камеральной обработки для каждой однородной группы поездов по каждой наблюдательной точке должны быть определены значения величин критериев вибродиагностики высоких насыпей.
8.15. Камеральная обработка результатов измерений осуществляется программно-вычислительным комплексом, входящим в аппаратно-программный комплекс для вибродиагностики.
Пример обработки результатов измерений, проведенных аппаратным комплексом "Дельта-03" с использованием программного обеспечения "Дельта-02М" приведен в
Приложении А к настоящей Инструкции.
9. Разработка сценариев по управлению надежностью
участков пути по результатам вибродиагностики
9.1. По результатам вибродиагностики высоких насыпей принимается решение по дальнейшим мероприятиям:
для насыпей, где зафиксировано неустойчивое состояние, рекомендуется проведение детального диагностирования объекта (и/или инженерных изысканий), в соответствии с требованиями Технологического регламента [12], по результатам которого производится разработка проекта по усилению основной площадки и/или откосов насыпи, с повторным проведением работ по вибродиагностики после проведения мероприятий;
для насыпей, где зафиксировано относительно устойчивое состояние, рекомендуется установить мониторинг за состоянием объекта и по его результатам принимать решение о необходимости детального диагностирования и проведения усиления насыпи;
насыпи в устойчивом состоянии могут эксплуатироваться в обычном режиме.
9.2. На объектах, где зафиксировано неустойчивое состояние высокой насыпи, должны быть приняты неотложные меры по обеспечению безопасности движения поездов (введение временного ограничения скоростей движения поездов, ограничение веса поезда, путем уменьшения количества осей и пр.). Конкретные меры должны назначаться в соответствии с положениями
Инструкции по содержанию земляного полотна железнодорожного пути.
9.3. Разработка сценариев по управлению надежности участков пути должна производиться с учетом результатов всего комплекса диагностических работ, предусмотренных к выполнению соответствующими нормативными документами.
(справочное)
МЕТОДИКА ВИБРОДИАГНОСТИКИ ВЫСОКИХ НАСЫПЕЙ
(НА ПРИМЕРЕ АППАРАТНОГО КОМПЛЕКСА "ДЕЛЬТА-03")
А.1. Состав аппаратурного комплекса
и его основные характеристики
Для проведения вибродиагностики на высоких насыпях используется следующий комплект оборудования на базе РСС "Дельта-03", который состоит из:
- Блока регистрации "Дельта-03" (в дальнейшем - БР) БР ИТЛЯ.416613.004-01 (8-ми канальный вариант -
таблица А.1);
- Кабель питания ИТЛЯ.685621.060 (кабель 1);
- Кабель RS-232 ИТЛЯ.685621.087 (кабель 2);
- Кабель порта Ethernet ИТЛЯ.685621.089 (кабель 3);
- Антенна магнитная MCX для GPS-приемника Lassen - iQ;
- Устройство сменной памяти (Flash-диск фирмы "SanDisk" или "SimpleTech", подключаемый с помощью интерфейса PCMCIA тип II) емкостью до 32 Гбайт;
- GSM/GPRS модем совместимый с SIEMENS ES75 (для работ в варианте мониторинга);
--------------------------------
<7> В зависимости от схемы измерений могут быть использованы вместо геофонов дополнительно два сейсмоприемника типа велосиметр СПВ-3К.
- Батарея аккумуляторная напряжением 12 В (возможно использование автомобильного аккумулятора);
- Компьютер совместимый с IBM-PC с характеристиками, не ниже:
- процессор Pentium IV - 1600;
- объем ОЗУ - 256 Мбайт;
- объем жесткого магнитного диска 64 Гбайт;
- наличие сетевой карты Ethernet 100Base-T или COM-порта;
- наличие интерфейса PCMCIA в случае применения переносного компьютера типа notebook.
Таблица А.1
Основные характеристики блока регистрации
(БР ИТЛЯ.416613.004-01 - 8 каналов)
Наименование характеристики | Значение характеристики |
Количество каналов | 8 |
Мгновенный динамический диапазон | 120 Дб |
Диапазон регистрируемых частот | 0,05 (0,1)... 7,5 Гц; 0,05 (0,1)...15 Гц; 0,05 (0,1)... 30 Гц; 0,05 (0,1)... 60 Гц; 0,05 (0,1) ... 120 Гц; 0,05 (0,1)... 240 Гц |
Коэффициент нелинейных отражений | 0,005% |
Уровень шумов, приведенных ко входу | 0,07 мкВ |
Величина подавления встроенных аттенюаторов | -20; 0; 20; 40 дБ |
Емкость ATA Flash-диска | до 32 Гб |
Напряжение питания | 9 .. 27 В Увязать с напряжением для СПВ-3К |
Потребляемая мощность | 1,6 Вт |
Диапазон рабочих температур | -40 °C ... +60 °C |
Габаритные размеры | 257 x 169 x 61 |
Масса | 1,8 кг |
Нестабильность опорного термостированного генератора | 5·10-7 |
Установка и проверка точного времени | по GPS автоматически |
Подстройка частоты | по GPS автоматически |
Таблица А.2
Технические характеристики велосиметра СПВ-3К
Наименование характеристики | Значение характеристики |
Тип преобразователя | емкостный |
Число компонент | 3 (одна вертикальная, две горизонтальные) |
Диапазон рабочих частот по уровню 3 Дб | 0,1...65 Гц |
Неравномерность АЧХ не более 1 Дб в диапазоне частот | 0,6...45 Гц |
Динамический диапазон | не менее 100 Дб |
Коэффициент преобразования | 400 В*сек/м |
Максимальная амплитуда сигнала на симметричных выходах | +/- 3,5 В |
Постоянная составляющая на выходе | не более +/- 10 мВ |
Обеспечивается работа при наклонах от вертикали | +/- 15 градусов |
Встроенный генератор калибровочных импульсов | запуск по команде от сейсмостанции |
Питание: |
вариант 1. Двухполярное стабилизированное | +/- 6 В +/- 10% |
потребляемая мощность | 0,55 Вт |
потребляемая мощность | 0,65 Вт |
Диаметр | 160 мм |
Высота (с ручкой) | 135 мм |
Масса (без кабеля) | 2.9 кг |
Диапазон рабочих температур | -30... +50 °C |
Пылевлагозащищенность | IP67 |
Таблица А.3
Технические характеристики геофонов "ООО-Геоимпульс"
Технические характеристики | GS-20DX (вертикальный) | GS-20DX-2B (горизонтальный) |
Собственная частота, Гц | 10 +- 0.5 |
Коэффициент преобразования без шунта, В/м/с | 28 +- 2.8 |
Коэффициент преобразования с шунтом 1 Ком, В/м/с | 19.6 +- 2.0 |
Степень затухания в открытой цепи, % | 30 +- 1.0 |
Степень затухания с шунтом, % | 70 +- 10 |
Омическое сопротивление катушки, Ом | 395 +- 20 |
Коэффициент нелинейных искажений в %, не более | 0.2 | 0.3 |
Диапазон пропускаемых частот, Гц | 10 - 250 |
Допускаемый угол наклона в град., не более | +- 20 | +- 10 |
Диапазон рабочих температур в град. C, не более | от -35 до +70 °C |
Габаритные размеры: диаметр, мм | 25.4 |
высота, мм | 33.0 |
Масса, г | 87.5 |
Блок регистрации управляется с помощью компьютера через организованный канал связи. Канал связи может быть как простым (при непосредственном подключении с помощью кабеля) так и сложным (при подключении через локальную или глобальную сети, при подключении через телефонные, GSM или спутниковые модемы). Для построения физического канала связи могут быть использованы два интерфейса:
1) интерфейс "Ethernet", обеспечивает построение канала при непосредственном подключении к компьютеру или при подключении к компьютеру через локальную сеть, обеспечивающего скорость обмена 10 или 100 Мбит/сек;
2) интерфейс "RS232", обеспечивающий построение канала связи при непосредственном подключении к компьютеру, при дистанционном подключении к компьютеру с помощью модемов (соединение CSD) и при дистанционном подключении к компьютеру через Internet с помощью модемов (соединение GPRS).
Для проведения работ рекомендуется использовать соединение непосредственно кабелем через "Ethernet"-порт.
А.2. Работа с блоком регистрации
На передней панели (
рисунок А.1.) установлены два светодиодных индикатора "ЛИНИЯ" и "КОНТР", а также кнопочный переключатель "ВКЛ".
Переключатель "ВКЛ" предназначен для включения и выключения БР. Задержка при выключении БР может достигать 3 секунд.
Индикатор "ЛИНИЯ" отображает подключение к интерфейсу Ethernet. Зажигание индикатора "Линия" отображает наличие подключения через интерфейс "Ethernet". При обрыве подключения индикатор гаснет. Периодическое зажигание индикатора "Линия" означает режим инициализации интерфейса "Ethernet".
Индикатор "КОНТР" отображает режим работы БР частотой зажигания. После включения БР выполняет следующие операции:
- инициализация и тестирование устройств;
- в случае работы с модемом проверить наличие успешного соединения с удаленным сервером, индицирование успешной операции в течение 1 сек (частота 17 Гц);
- если разрешена автоматическая запись, то перед началом записи БР переходит в режим установки точного времени (сдвоенное зажигание, счетверенное зажигание индицирует неисправность антенного фидера), после установки времени индицирование успешной операции в течение 2 сек (частота 25 Гц);
- переход в штатный режим работы (частота 1 Гц).
Рисунок А.1. Внешний вид передней крышки БР.
Далее необходимо выполнить следующие действия:
- Соединить БР с устройствами в соответствии со схемой указанной на
рисунке А.4. При этом при использовании интерфейса "Ethernet" подключить БР с помощью кабеля 3 к компьютеру или HUB локальной сети. При использовании интерфейса "RS232" подключить БР с помощью кабеля 2 к модему.
- Подготовить сейсмоприемники велосиметров СПВ-3К к работе, сейсмоприемники необходимо устанавливать на выровненную площадку, рекомендуется заглубить приемники на 15 - 20 см, чтобы избежать влияния микросейсмов, выставить уровень (на сейсмоприемнике есть индикатор уровня), сориентировать ось X приемника параллельно оси пути.
- При работе с геофонами установить геофоны (вертикальная компонента), в непосредственной близости от велосиметра. Геофоны должны иметь хороший контакт с поверхностью.
- При работе с датчиками давления сделать скважины, глубиной порядка 0,5 метров, залить их водой.
- Открутить крепежные винты крышки, закрывающей слот PCMCIA (рисунок А.2.).
Рисунок А.2. Внешний вид задней крышки БР.
- Установить Flash-диск (рисунок А.3) в слот "PCMCIA". Если Flash-диск не отформатирован, то предварительно отформатировать его с помощью устройства, поддерживающего интерфейс PCMCIA. При этом установить тип файловой системы: FAT16 или FAT32. Другие файловые системы не поддерживаются.
Рисунок А.3. Подключение Flash-диска к БР
- Установить магнитную антенну GPS горизонтально так, чтобы над ней было открытое пространство, и окружающие объекты не препятствовали прохождению радиоволн со спутников до антенны.
- При использовании модема включить модем и дождаться завершения инициализации модема.
- Ожидать в течение 5 сек переход в режим анализа подключения внешнего модема.
- Ожидать перехода в штатный режим работы.
- При подключении через интерфейс "Ethernet" убедиться, что включился светодиод "Линия".
- В соответствии с руководством оператора на программу управления "Дельта-02М" ИТЛЯ.00019.01 01 34 01РО (в дальнейшем РО) осуществить связь с БР, установить точное время БР (по GPS). В режиме автоматической записи время будет установлено автоматически.
- С помощью режима "прямой просмотр" программы управления "Дельта-02М" убедиться в работоспособности подключенных сейсмоприемников.
Схема подключения 8-ми канального БР к внешним устройствам приведена на
рисунке А.4.
А.3. Схемы расстановки датчиков
По одному сечению можно выполнять обследование при помощи одной многоканальной сейсмостанции "Дельта-03". В качестве основных регистраторов сигнала необходимо использовать 2 трехкомпонентных велосиметра СПВ-3К. Так как сейсмостанция "Дельта-03" имеет 8 каналов, оставшиеся 2 канала рекомендуется для изучения высокочастотных малоамплитудных колебаний с установкой на них геофонов.
Велосиметры следует устанавливать в соответствии
п. 8.7 настоящей инструкции.
При установке велосиметров важно соблюдать ориентацию, выравнивать их в вертикальной и горизонтальной плоскостях. Ось x (указана на датчике в виде стрелки) всегда ориентируется параллельно оси пути. Велосиметры устанавливаются на выровненную горизонтальную поверхность и при необходимости заглубляются на 15 - 20 см, для избегания влияния микросейсмов (ветер, дождь и т.д.).
При установке геофонов (вертикальная компонента) необходимо обеспечить хороший контакт с поверхностью, при необходимости создать искусственные условия или заглубить.
Рисунок А.4. Схема подключения 8-ми канального БР
к внешним устройствам.
Рекомендуется в процессе обследования сравнивать участки, попадающие под категорию потенциально-опасные, с заранее известными участками в устойчивом состоянии. Для этого измерения проводятся двумя комплексами, синхронизированными по абсолютному времени при помощи GPS-приемников.
При необходимости сравнения 2-х участков описанная выше схема наблюдений организовывается на каждом участке. Расстояние от ближнего рельса до велосиметра находящегося на бровке должно быть одинаковым для обеих расстановок и быть не менее 1,5 метров. Второй велосиметр всегда ставится на откосе насыпи на расстоянии L от первого.
Обязательно фиксировать параметры расстановки, указывая в полевом журнале положение сейсмоприемников и расстояния между ними. Эти данные в последующем будут необходимы для расчета скоростей и затухания.
В случае необходимости детального анализа состояния обоих откосов насыпи, то на объекте может быть реализован вариант наблюдения с использованием 2-х и более вибродиагностических комплексов (ВДК).
Для работы с 2-мя и более ВДК обязательным условием является их синхронизация между собой. Такие наблюдения необходимо выполнять, когда требуется определить распределение вибрационных и динамических нагрузок, и характер их изменения по мере удаления от оси пути. При проведении таких обследований важно соблюсти равный шаг между велосиметрами.
По аналогии при необходимости можно организовывать расстановки с использованием 3-х, 4-х и более вибродиагностических комплексов. Основными условиями организации системы наблюдения является регулярный шаг между датчиками и синхронизация сейсмостанций по абсолютному времени при помощи GPS-приемников.
А.4. Требования к сбору данных
В процессе наблюдения на каждом из выбранных участков необходимо организовать оптимальные условия работы. Наблюдения лучше проводить в сухую, не ветреную погоду, чтобы избежать наводок на кабели и соединительные линии, а также свести количество возможных микросейсмов к минимуму.
Основные компоненты ВДК (сейсмостанция, коммутаторы и компьютер) должны быть укрыты от возможных осадков.
В процессе наблюдения необходимо организовать систему накопления данных, с целью увеличения достоверности и качества полученного материала.
Для этого необходимо выполнять измерения от 3 и более поездов одинаковым весом, создающих равномерную или циклическую нагрузку (рисунки А.5. и
А.6).
Рисунок А.5. Пример записи поезда повышенного веса,
создающего равномерную динамическую нагрузку
Рисунок А.6. Пример записи поезда весом менее 3000 тонн,
создающего равномерную циклическую нагрузку
А.5. Обработка и интерпретация данных
На этапе камеральных работ необходимо выполнить анализ и сопоставление материалов, полученных в ходе обследования. Описанная выше система наблюдений позволяет получить основные сейсмические и вибрационные параметры:
- скорости распространений упругих волн;
- коэффициент затухания упругих волн;
- виброскорость;
- оценить спектральный состав записи.
Последующую обработку и анализ материалов можно проводить в программе "Дельта-02М", или в любой другой альтернативной программе позволяющей снимать значения амплитуд колебаний и оценивать их частотный состав.
Рекомендуемый граф обработки полученного материала:
1. Создание архива исходных данных.
2. Пересчет амплитуд сигнала в виброскорости. Коэффициент преобразование для СПВ-3К 400 В*сек/м.
3. Визуальный анализ данных на предмет наличия псевдостоячих волн, однородности записи, характера изменения амплитуд виброскорости по мере прохождения поезда.
4. Анализ виброскоростей для каждой записи: оценка максимальной и средней виброскорости. Если запись неоднородна по составу (например, имеются участки записи с псевдостоячими волнами или подвижной состав оказывал неравномерную нагрузку на насыпь) отдельно произвести оценки средних скоростей для разных участков записи (
рисунок А.7.).
5. Анализ спектрального состава записи. Оценка центральной частоты записи, определение какие частоты вносят основной вклад в формирование волн разной природы. Рекомендуется производить анализ на основе, как традиционного преобразования Фурье, так и непараметрического (метод Уэлча) и параметрического метода (метод MUSIC) оценивания, позволяющие выделить регулярную часть процесса на фоне случайного сигнала. Построение частотных спектров для оценки линейности или нелинейности изменения спектральных характеристик по мере движения состава (
рисунок А.7.).
6. Оценка скорости и коэффициента затухания упругих волн на обследуемом участке. Обязательным условием такого анализа является синхронизация данных полученных на разных удалениях от оси пути.
7. Выполнить качественную оценку категории насыпи.
При регистрации колебаний от проходящих поездов создающих неравномерную нагрузку для определения значений действующих амплитуд виброскоростей следует пользоваться следующей оценкой, получаемой из соотношения энергий сигналов:

,
где

- амплитуда записи с шагом

, T - время прохождения поезда. Если запись имеет неоднородный состав, то за T принимается интервал, в котором производится оценка амплитуды (рисунок А.7.).
Рисунок А.7. Оценка максимальных и средних значений
амплитуд виброскорости
Пример спектрограммы с нелинейным изменением частоты по мере прохождения поезда представлен на рисунке А.8.
Рисунок А.8. Пример спектрограммы с нелинейным
изменением частоты по мере прохождения поезда
Если наблюдения проводились только на одном участке необходимо составить сводные таблицы изменения скоростных и частотных характеристик для него. Если наблюдения проводились на нескольких сечениях (участках), необходимо составить общие сводные таблицы позволяющие сравнивать изменения параметров от участка к участку в зависимости от типа и классификации подвижного состава.
Для неустойчивой насыпи характерны следующие признаки колебательного процесса (
рисунок А.9 а):
- большие амплитуды колебаний как на бровке насыпи (более 30 мм/с) (1,5 - 1,8 метра от оголовка ближайшего рельса), так и в других частях откоса;
- фактически полное отсутствие на спектре высоких частот (10 - 100 Гц);
- низкие коэффициенты затухания

.
Рисунок А.9. Запись вертикальной компоненты колебательной
скорости и оценка ее спектра методом Уэлча на:
а) неустойчивом и б) устойчивом участках насыпи
при прохождении одного и того же поезда
Для устойчивой насыпи характерны следующие признаки колебательного процесса (
рисунок А.9 б):
- небольшие амплитуды колебаний, как на бровке насыпи, так и в других частях откоса;
- плавное затухание амплитуд колебаний от бровки вниз по откосу насыпи, по закону, близкому к экспоненте;
- повышенные коэффициенты затухания

;
- пологий спектр колебательного процесса с преобладанием максимума амплитуд в полосе более высоких частот.