Главная // Актуальные документы // ИнформацияСПРАВКА
Источник публикации
М.: ФБУЗ ФЦГиЭ Роспотребнадзора, 2023
Примечание к документу
Название документа
"МУК 4.3.3922-23. 4.3. Методы контроля. Физические факторы. Методические указания по проведению измерений и оценке микроклимата в помещениях жилых и общественных зданий. Методические указания"
(утв. Роспотребнадзором 30.06.2023)
"МУК 4.3.3922-23. 4.3. Методы контроля. Физические факторы. Методические указания по проведению измерений и оценке микроклимата в помещениях жилых и общественных зданий. Методические указания"
(утв. Роспотребнадзором 30.06.2023)
Руководитель Федеральной
службы по надзору в сфере
защиты прав потребителей
и благополучия человека,
Главный государственный
санитарный врач
Российской Федерации
А.Ю.ПОПОВА
30 июня 2023 года
4.3. МЕТОДЫ КОНТРОЛЯ. ФИЗИЧЕСКИЕ ФАКТОРЫ
МЕТОДИЧЕСКИЕ УКАЗАНИЯ
ПО ПРОВЕДЕНИЮ ИЗМЕРЕНИЙ И ОЦЕНКЕ МИКРОКЛИМАТА
В ПОМЕЩЕНИЯХ ЖИЛЫХ И ОБЩЕСТВЕННЫХ ЗДАНИЙ
МЕТОДИЧЕСКИЕ УКАЗАНИЯ
МУК 4.3.3922-23
1. Разработаны ФБУН "Северо-Западный научный центр гигиены и общественного здоровья" (В.Е. Крийт, Ю.Н. Сладкова, О.В. Волчкова, В.П. Плеханов, Д.Н. Скляр, М.Д. Петрова).
2. Утверждены руководителем Федеральной службы по надзору в сфере защиты прав потребителей и благополучия человека, Главным государственным санитарным врачом Российской Федерации А.Ю. Поповой 30 июня 2023 г.
3. Введены впервые.
I. Область применения и общие положения
1.1. Настоящие методические указания (далее - МУК) устанавливают порядок проведения инструментального контроля микроклимата в обслуживаемой зоне (зоне обитания) помещений жилых и общественных зданий для оценки соответствия санитарно-эпидемиологическим требованиям
<1>.
--------------------------------
<1>
СанПиН 1.2.3685-21 "Гигиенические нормативы и требования к обеспечению безопасности и (или) безвредности для человека факторов среды обитания", утвержденных постановлением Главного государственного санитарного врача Российской Федерации от 28.01.2021 N 2 (зарегистрировано Минюстом России 29.01.2021, регистрационный N 62296), с изменениями, внесенными постановлением Главного государственного санитарного врача Российской Федерации от 30.12.2022 N 24 (зарегистрировано Минюстом России 09.03.2023, регистрационный N 72558) (далее - СанПиН 1.2.3685-21).
1.2. Объектами инструментального контроля являются помещения жилых зданий, организаций социального обслуживания и зданий общежитий, общественных зданий 1 - 6 категорий (в том числе ванные и душевые), помещения организаций, осуществляющих медицинскую деятельность, закрытых плавательных бассейнов, бассейнов аквапарков, бань, организаций коммунально-бытового назначения, организаций, оказывающих парикмахерские и косметические услуги, организаций воспитания и обучения, отдыха и оздоровления детей и молодежи.
1.3. МУК не распространяются на проведение измерений показателей микроклимата на рабочих местах.
1.4. МУК применяются при:
- осуществлении федерального государственного санитарно-эпидемиологического контроля (надзора);
- осуществлении санитарно-эпидемиологических экспертиз, обследований, исследований, испытаний, оценок;
- осуществлении производственного контроля;
- вводе объектов в эксплуатацию после окончания их строительства, капитального ремонта, реконструкции;
- обращениях граждан с жалобами на неблагоприятный микроклимат;
- оценке микроклимата в помещениях жилых и общественных зданий.
1.5. Контролируемыми показателями микроклимата в помещениях жилых и общественных зданий являются:
- температура воздуха;
- относительная влажность воздуха;
- скорость движения воздуха;
- комплексный показатель - результирующая температура помещения.
1.6. В
приложении 1 к настоящим МУК представлен порядок расчета комплексного показателя микроклимата - результирующей температуры помещения
<2>.
--------------------------------
<2>
Приложение А ГОСТ 30494 "Здания жилые и общественные. Параметры микроклимата в помещениях", введенного приказом Госстандарта от 12.07.2012 N 191-ст (далее - ГОСТ 30494).
1.7. МУК носят рекомендательный характер.
II. Основные критерии выбора помещений и условия
для проведения измерений показателей микроклимата
в помещениях жилых и общественных зданий
2.1. В холодный период года измерения показателей микроклимата рекомендуется проводить при температуре наружного воздуха не выше минус 5 °C. В теплый период года измерения показателей микроклимата рекомендуется проводить при температуре наружного воздуха не ниже плюс 15 °C.
2.1.1. Измерения показателей микроклимата в холодный или теплый периоды года при проведении производственного контроля в залах ванн закрытых плавательных бассейнов, бассейнов аквапарков проводятся независимо от температуры наружного воздуха.
2.1.2. При рассмотрении обращений граждан с жалобами на неблагоприятный микроклимат в холодный или теплый периоды года измерения его показателей проводятся независимо от температуры наружного воздуха при погодных условиях, идентичных существовавшим на момент обращения.
2.1.3. При осуществлении федерального государственного санитарно-эпидемиологического контроля (надзора) и при вводе объектов в эксплуатацию после окончания их строительства (капитального ремонта, реконструкции) измерения показателей микроклимата могут проводиться при характерных для территории размещения обследуемого объекта температурах наружного воздуха в холодный и теплый периоды года с соблюдением следующих условий.
2.1.3.1. В холодный период года измерения показателей микроклимата в помещениях жилых и общественных зданий проводятся при температуре наружного воздуха, находящейся в диапазоне:
- верхняя граница температуры наружного воздуха, определяющая возможность проведения измерений, не превышает среднюю минимальную температуру наиболее холодного месяца зимы, характерную для данной территории, более чем на 5 °C;
- нижняя граница температуры наружного воздуха, при которой возможно проведение измерений, не ограничивается.
2.1.3.2. В теплый период года измерения показателей микроклимата в помещениях жилых и общественных зданий проводятся при температуре наружного воздуха, находящейся в диапазоне:
- нижняя граница температуры наружного воздуха, при которой возможно проведение измерений, не ниже средней максимальной температуры наиболее жаркого месяца, характерной для данной территории, более чем на 5 °C;
- верхняя граница температуры наружного воздуха, при которой возможно проведение измерений, не ограничивается.
2.1.3.3. Официальная информация о средней максимальной температуре воздуха (°C) наиболее жаркого месяца и средней минимальной температуре воздуха (°C) наиболее холодного месяца запрашивается в территориальном управлении по гидрометеорологии и мониторингу окружающей среды (справка о краткой климатической характеристике). Данные о климатических параметрах также представлены в своде правил по строительной климатологии
<3>.
--------------------------------
<3>
СП 131.13330.2020 "Строительная климатология СНиП 23-01-99*", утвержденный приказом Минстроя России 24.12.2022 N 859/пр.
2.2. Измерения показателей микроклимата в помещениях жилых и общественных зданий проводят выборочно (за исключением случаев, когда измерения проводятся по требованию заказчика или при рассмотрении обращений граждан с жалобами на неблагоприятный микроклимат). При этом общий объем контроля определяется с целью выявления в здании помещений, в которых могут быть несоответствия санитарно-эпидемиологическим требованиям
<4>, а также для оценки значений в типичных помещениях (по функциональному назначению, площади, на этаже, в подъезде). В программу обследования рекомендуется включать помещения на первом и последнем этажах, угловые комнаты (помещения), в холодный период года - комнаты (помещения) с наибольшей площадью. Для обследования рекомендуется выбирать помещения с постоянным пребыванием людей.
--------------------------------
В организациях воспитания и обучения, отдыха и оздоровления детей и молодежи оценка показателей микроклимата проводится в холодный и теплый периоды года в классах, кабинетах, спортивном зале, мастерских. В программу обследования включается не менее 10% помещений
<5>.
--------------------------------
<5>
Приложение 1 к МР 2.4.0242-21 "Методические рекомендации по обеспечению санитарно-эпидемиологических требований к организациям воспитания и обучения, отдыха и оздоровления детей и молодежи", утвержденным руководителем Федеральной службы по надзору в сфере защиты прав потребителей и благополучия человека, Главным государственным санитарным врачом Российской Федерации 17.05.2021.
При обращениях граждан с жалобами на неблагоприятный микроклимат измерения показателей микроклимата проводят в помещениях заявителя.
2.3. В число контролируемых помещений рекомендуется включать квартиры (помещения) в соответствии с табл.
Таблица
Критерии выбора помещений
Здания и помещения | Минимальный объем проводимых измерений |
Жилые одноквартирные | Не менее чем в двух комнатах площадью более 5 м2 каждая, имеющих две наружные стены, или в комнатах с большими окнами, площадь которых составляет 30% и более площади наружных стен |
Жилые многоквартирные | Не менее чем в двух комнатах площадью более 5 м 2 каждая в квартирах на первом и последнем этажах <*> |
Гостиницы, мотели, хостелы и другие средства размещения | В одной угловой комнате первого и последнего этажей |
Другие общественные и административно-бытовые | В каждом представительном помещении <**> |
Примечание: <*> измерения рекомендуется проводить в комнатах с наибольшей площадью, в угловых квартирах, с учетом ориентации окон; <**> обследуются по возможности все типы (категории) помещений, имеющие различное функциональное назначение. |
III. Подготовка к проведению измерений
3.1. При подготовке к проведению измерений осуществляется:
- ознакомление с документацией по объекту и его обследование, определение факторов, влияющих на микроклимат в помещениях (например, оборудование, работа систем отопления, вентиляции, кондиционирования);
- выбор помещений для проведения инструментального контроля микроклимата в соответствии с
п. 2.2,
2.3;
- определение мест проведения измерений показателей микроклимата в обслуживаемой зоне (зоне обитания) помещений (участков помещений) в соответствии с
п. 4.3,
4.4;
- определение высот проведения измерений показателей микроклимата в соответствии с
п. 4.5 -
4.7;
- подготовка средств измерений (далее - СИ) в соответствии с эксплуатационной документацией.
3.2. Перед проведением измерений показателей микроклимата в обследуемых помещениях по данным из официальных источников
<6> уточняются метеопараметры наружного воздуха.
--------------------------------
<6> Официальный сайт Росгидромета - www.meteorf.gov.ru (в свободном доступе); официальный сайт ФГБУ "Гидрометцентр России" - www.meteoinfo.ru (в свободном доступе).
3.3. Допускается проведение измерений температуры наружного воздуха непосредственно на прилегающей к обследуемому объекту территории при соблюдении следующих условий.
3.3.1. Измерения проводятся на открытой территории с подветренной стороны здания на высоте (2,0 +/- 0,1) м над поверхностью земли вне зоны действия солнечных лучей. При выборе площадки для проведения измерений предпочтение рекомендуется отдавать незамощенным участкам прилегающей к зданию территории.
3.3.2. Рекомендуемое расстояние между местом измерения и обследуемым зданием, а также между местом измерения и близлежащими зданиями составляет не менее одной высоты соответствующего здания. При невозможности выполнения данного условия на территории с высокой плотностью застройки расстояние между местом измерения и зданиями сокращается до максимально возможного в сложившейся ситуации, но не менее чем до 10 м. Расстояние между местом измерения и обследуемым зданием не должно превышать 5 высот здания.
3.3.3. Подготовка прибора к проведению измерений и прямые измерения температуры наружного воздуха проводятся в соответствии с эксплуатационной документацией СИ.
3.3.4. При использовании вне помещений СИ защищается от воздействия осадков, пыли и прямых солнечных лучей.
3.3.5. Для получения устойчивого значения температуры наружного воздуха проводится не менее 4 последовательных измерений в течение не менее 10 минут. Рекомендуется проводить измерения в режиме усреднения результатов измерения текущих значений температуры наружного воздуха за выбранный интервал времени (не менее 10 минут), если такой режим предусмотрен во встроенном программном обеспечении применяемого СИ.
4.1. При выполнении измерений руководствуются рекомендациями, изложенными в настоящем разделе, и эксплуатационной документацией применяемого СИ.
4.2. Прямые измерения проводятся в соответствии с эксплуатационной документацией СИ.
4.3. В помещениях площадью менее 100 м
2 измерения температуры, относительной влажности и скорости движения воздуха проводятся в центре обслуживаемой зоны (зоны обитания) и на расстоянии (0,5 +/- 0,05) м от внутренней поверхности наружных стен и стационарных отопительных приборов.
4.4. В помещениях площадью более 100 м
2 измерения температуры, относительной влажности и скорости движения воздуха проводятся на равновеликих участках площадью не более 100 м
2, для каждого из которых выполняется условие
п. 4.3.
4.5. Измерение каждого показателя микроклимата (температуры, относительной влажности и скорости движения воздуха) проводится на заданной высоте (+/- 0,05 м) над уровнем пола (но не ближе чем 1 м от потолка при потолочном отоплении):
- 0,1; 0,4 и 1,7 м от поверхности пола - в помещениях для пребывания детей в возрасте до 7 лет в организациях воспитания, обучения, отдыха и оздоровления детей;
- 0,1; 0,6 и 1,7 м от поверхности пола - при пребывании людей в помещении преимущественно в сидячем положении;
- 0,1; 1,1 и 1,7 м от поверхности пола - в помещениях, где люди преимущественно стоят или ходят.
4.6. Измерения результирующей температуры с использованием соответствующего СИ утвержденного типа в комплекте с шаровым термометром (черный шар) для измерения результирующей температуры и встроенным программным обеспечением, дающим возможность оценки результирующей температуры, проводятся в центре помещения на высоте (0,6 +/- 0,05) м от поверхности пола для помещений с пребыванием людей в положении сидя и на высоте (1,1 +/- 0,05) м в помещениях с пребыванием людей в положении стоя.
4.7. Измерения температуры воздуха, скорости движения воздуха и температуры по шаровому термометру с целью применения результатов в расчетах радиационной и результирующей температур проводятся в центре помещения на высоте (0,6 +/- 0,05) м от поверхности пола для помещений с пребыванием людей в положении сидя и на высоте (1,1 +/- 0,05) м в помещениях с пребыванием людей в положении стоя. Результирующая температура помещения вычисляется по формулам, указанным в
приложении 1 к настоящим МУК.
4.8. При проведении измерений с применением шарового термометра рекомендуется использовать штатив.
4.9. Время между расположением шарового термометра в точке измерений и считыванием результата измерения составляет не менее 20 минут
<7>, если иное не указано в эксплуатационной документации СИ.
--------------------------------
4.10. Измерение температуры внутренней поверхности стен, перегородок, пола, потолка проводится в центре соответствующей поверхности. Для наружных стен со световыми проемами и отопительными приборами температура на внутренней поверхности измеряется в центре одного из участков внутренней поверхности наружной стены, а также в центре остекления и отопительного прибора. Результаты измерений применяются для расчета радиационной температуры (
п. 1.1.2 приложения 1 к настоящим МУК).
4.11. Измерения показателей микроклимата проводятся при закрытых окнах и дверях не ранее чем через час после проветривания помещения. Дополнительных мер по герметизации окон и дверных проемов не принимается.
4.12. Измерения показателей микроклимата проводятся при выключенных бытовых обогревательных приборах не ранее чем через час после их отключения.
4.13. При проведении измерений показателей микроклимата в помещениях с механической вентиляцией, кондиционированием воздуха, дополнительными системами отопления, рекомендуется обеспечить работу систем в соответствии с проектными решениями по обследуемому объекту.
4.14. Измерения показателей микроклимата в помещениях проводятся на регламентированных высотах - не менее трех последовательных измерений на каждом уровне. Если СИ обеспечивает усреднение результатов текущих значений, то выбранный интервал времени усреднения составляет не менее 3 минут.
4.15. Во время проведения измерений регистрируется информация в соответствии с методическими документами
<8> и в соответствии с системой менеджмента качества (далее - СМК) лаборатории к первичным записям и возможности записи результатов в энергонезависимую память СИ в соответствии с эксплуатационной документацией СИ.
--------------------------------
<8>
ГОСТ ISO/IEC 17025 "Общие требования к компетентности испытательных и калибровочных лабораторий", введенный приказом Госстандарта от 15.07.2019 N 385-ст.
Дополнительно регистрируется следующая информация: период года, температура наружного воздуха, отопительный (межотопительный) период, облачность, расположение и наименование обследуемого помещения, его назначение, условия использования и площадь, ориентация окон, работа системы вентиляции, отопления, наличие потолочного отопления и системы "Теплый пол", дата и время проведения измерений, заданные высоты проведения измерений, а также сведения о лицах, присутствующих при проведении измерений.
V. Средства измерений и порядок их применения
5.1. Для проведения измерений параметров микроклимата, температуры поверхностей, а также расстояний и временных интервалов используются СИ утвержденного типа, имеющие действующую поверку и соответствующую проводимым исследованиям область применения и диапазон измерений, в соответствии с законодательством Российской Федерации
<9>.
--------------------------------
<9>
Статья 9 Федерального закона от 26.06.2008 N 102-ФЗ "Об обеспечении единства измерений";
постановление Правительства Российской Федерации от 16.11.2020 N 1847 "Об утверждении перечня измерений, относящихся к сфере государственного регулирования обеспечения единства измерений".
5.2. Сведения об утвержденных типах СИ, о внесенных в них изменениях включены в информационный фонд
<10>.
--------------------------------
<10> Федеральный информационный фонд по обеспечению единства измерений - fgis.gost.ru/fundmetrology/registry/4 (в свободном доступе).
5.3. Измерения проводятся в условиях, соответствующих рабочим условиям эксплуатации, изложенным в эксплуатационной документации используемых СИ.
5.4. Эксплуатация, хранение и транспортирование СИ осуществляется в соответствии с эксплуатационной документацией данного СИ.
5.5. Измерения не проводятся после резкого изменения условий окружающей среды, в которых находятся применяемые СИ. В подобных случаях для установления теплового равновесия с окружающей средой СИ выдерживаются в измененных условиях в течение времени, указанного в эксплуатационной документации СИ.
5.6. При проведении измерений соблюдаются установленные в эксплуатационной документации СИ требования безопасности.
VI. Обработка и оформление результатов измерений
6.1. Результат измерений каждого показателя микроклимата в каждой точке измерений представляется как среднее арифметическое значение не менее 3 последовательных измерений. При проведении измерений в режиме усреднения результатов текущих значений показателей микроклимата представляется результат измерения за выбранный интервал времени (не менее 3 минут).
6.2. Результат измерений температуры наружного воздуха в точке измерения на регламентированной высоте представляется как среднее арифметическое значение группы результатов измерений (не менее 4 последовательно проведенных измерений) в течение не менее 10 минут. При проведении измерений в режиме усреднения результатов измерения текущих значений показателей микроклимата представляется результат измерения за выбранный интервал времени (не менее 10 минут).
6.3. Результаты измерений представляются с расширенной неопределенностью. В
приложении 2 к настоящим МУК представлен алгоритм расчета расширенной неопределенности измерений, применяемый в случаях проведения измерений с использованием СИ без встроенного программного обеспечения с автоматическим расчетом расширенной неопределенности в процессе измерений.
6.4. Перепад показателей микроклимата по высоте от уровня пола для каждого места проведения измерений рассчитывается как разность между максимальным и минимальным результатами измерений по высоте от уровня пола.
6.5. Перепад показателей микроклимата по горизонтали рассчитывается по каждой высоте как разность между результатом измерения в центре обслуживаемой зоны (зоны обитания) и на расстоянии 0,5 м от внутренней поверхности наружных стен, окон и отопительных приборов.
6.6. Результаты измерений оформляют в виде протокола измерений в соответствии с методическими документами
<11> и в соответствии с СМК лаборатории.
--------------------------------
Дополнительно рекомендуется вносить информацию согласно
п. 4.15 настоящих МУК, а также данные о СИ (тип СИ и его наименование, заводской номер, регистрационный номер типа СИ в Государственном реестре средств измерений, номер свидетельства о поверке или номер записи сведений о результатах поверки в Федеральном информационном фонде по обеспечению единства измерений (ФИФ ОЕИ)
<12>, срок действия поверки).
--------------------------------
<12> Официальный сайт Федерального информационного фонда по обеспечению единства измерений - fgis.gost.ru/fundmetrology/cm/results (в свободном доступе).
К протоколу измерений рекомендуется прилагать графические материалы с обозначением мест проведения измерений.
VII. Гигиеническая оценка микроклимата в помещениях жилых
и общественных зданий по результатам проведенных измерений
7.1. Средние значения измеренных величин показателей микроклимата в каждой точке измерений соответствуют гигиеническим нормативам, если не выходят за пределы области допустимых значений, установленных санитарно-эпидемиологическими требованиями
<13>.
--------------------------------
7.2. Перепады при обеспечении оптимальных или допустимых параметров микроклимата в различных точках обслуживаемой зоны (зоны обитания) соответствуют гигиеническим нормативам, если не превышают значений, установленных санитарно-эпидемиологическими требованиями
<14>.
--------------------------------
к МУК 4.3.3922-23
РАСЧЕТ РЕЗУЛЬТИРУЮЩЕЙ ТЕМПЕРАТУРЫ ПОМЕЩЕНИЯ <15>
--------------------------------
1. Определение радиационной температуры
1.1. Радиационная температура (tr, °C) вычисляется:
1.1.1. По температуре шарового термометра по
формуле (1):

(1)
где tb - температура по шаровому термометру, °C;
tp - температура воздуха в помещении, °C;
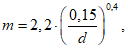
m - константа, равная 2,2 при диаметре сферы 0,15 м (150 мм);
V - скорость движения воздуха, м/с.
При использовании сферы другого диаметра константа определяется по
формуле (2):

(2)
где d - диаметр сферы, м.
1.1.2. По температурам внутренних поверхностей ограждений и отопительных приборов по
формуле (3):

(3)
где Ai - площадь внутренней поверхности ограждений и отопительных приборов, м2;
ti - температура внутренней поверхности ограждений и отопительных приборов, °C.
2. Определение результирующей температуры
2.1. Комплексный показатель - результирующая температура помещения (
tsu, °C) - сочетает в себе радиационную температуру помещения (
tr, °C) и температуру воздуха (
tp, °C) и определяется как взвешенная сумма температуры воздуха (
tp) и радиационной температуры (
tr) по
формуле (4):

(4)
где tp - температура воздуха в помещении, °C;
tr - радиационная температура помещения, °C;
- величина, значение которой меняется в зависимости от скорости движения воздуха (
V):

при
V < 0,2 м/с;

при 0,2 <
V < 0,6 м/с.
2.1.1. При скорости движения воздуха до 0,2 м/с результирующая температура равна средней между температурами воздуха и радиационной и определяется по
формуле (5):
| | ИС МЕГАНОРМ: примечание. Текст дан в соответствии с официальным текстом документа. | |
где
2.1.2. При скорости движения воздуха от 0,2 м/с до 0,6 м/с учитывается преимущественное воздействие на человека конвективной составляющей теплообмена и результирующая температура помещения определяется по
формуле (6):
tsu = 0,6·
tp + 0,4·
tr. (6)
к МУК 4.3.3922-23
АЛГОРИТМ РАСЧЕТА РАСШИРЕННОЙ НЕОПРЕДЕЛЕННОСТИ ИЗМЕРЕНИЙ
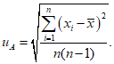
1. Оценка неопределенности результатов измерений с уровнем доверия N = 95% проводится в 4 этапа по следующей схеме:
1.1. Оценивается стандартная неопределенность по типу A (
uA) результата, вычисленного как среднее арифметическое

из
n измерений, по
формуле (7):

(7)
1.2. Оценивается стандартная неопределенность по типу B (
uB), обусловленная приборной погрешностью (
b), по
формуле (8):

(8)
Если приборная погрешность
b выражена в процентах, то стандартная неопределенность по типу B (
uB) вычисляется по
формуле (9):

(9)
1.3. Вычисляется суммарная стандартная неопределенность (
uC) по
формуле (10):

(10)
1.4. Вычисляется расширенная неопределенность (
Up) по
формуле (11):
где k - коэффициент охвата, равный 2 для двустороннего интервала.
2. Результат измерения представляется в виде:

.
1. Федеральный
закон от 30.03.1999 N 52-ФЗ "О санитарно-эпидемиологическом благополучии населения".
2. Федеральный
закон от 28.12.2013 N 412-ФЗ "Об аккредитации в национальной системе аккредитации".
3. Федеральный
закон от 26.06.2008 N 102-ФЗ "Об обеспечении единства измерений".
4. Федеральный
закон от 30.12.2009 N 384-ФЗ "Технический регламент о безопасности зданий и сооружений".
5. Федеральный
закон от 02.05.2006 N 59-ФЗ "О порядке рассмотрения обращений граждан Российской Федерации".
6.
Постановление Правительства Российской Федерации от 06.05.2011 N 354 "О предоставлении коммунальных услуг собственникам и пользователям помещений в многоквартирных домах и жилых домов" (вместе с "Правилами предоставления коммунальных услуг собственникам и пользователям помещений в многоквартирных домах и жилых домов").
7.
Постановление Правительства Российской Федерации от 25.12.2015 N 1434 "О внесении изменений в некоторые акты Правительства Российской Федерации".
8.
Постановление Правительства Российской Федерации от 16.11.2020 N 1847 "Об утверждении перечня измерений, относящихся к сфере государственного регулирования обеспечения единства измерений".
9.
СанПиН 1.2.3685-21 "Гигиенические нормативы и требования к обеспечению безопасности и (или) безвредности для человека факторов среды обитания".
10.
СанПиН 2.1.3684-21 "Санитарно-эпидемиологические требования к содержанию территорий городских и сельских поселений, к водным объектам, питьевой воде и питьевому водоснабжению, атмосферному воздуху, почвам, жилым помещениям, эксплуатации производственных, общественных помещений, организации и проведению санитарно-противоэпидемических (профилактических) мероприятий".
11.
СП 2.1.3678-20 "Санитарно-эпидемиологические требования к эксплуатации помещений, зданий, сооружений, оборудования и транспорта, а также условиям деятельности хозяйствующих субъектов, осуществляющих продажу товаров, выполнение работ или оказание услуг".
12.
СП 2.3.6.3668-20 "Санитарно-эпидемиологические требования к условиям деятельности торговых объектов и рынков, реализующих пищевую продукцию".
13.
СанПиН 2.3/2.4.3590-20 "Санитарно-эпидемиологические требования к организации общественного питания населения".
14.
СП 2.4.3648-20 "Санитарно-эпидемиологические требования к организациям воспитания и обучения, отдыха и оздоровления детей и молодежи".
16.
СП 60.13330.2020 "Отопление, вентиляция и кондиционирование воздуха СНиП 41-01-2003".
17.
МУК 4.3.2756-10 "Методические указания по измерению и оценке микроклимата производственных помещений".
18.
МР 2.4.0242-21 "Методические рекомендации по обеспечению санитарно-эпидемиологических требований к организациям воспитания и обучения, отдыха и оздоровления детей и молодежи".
19.
ГОСТ 30494 "Здания жилые и общественные. Параметры микроклимата в помещениях".
20.
ГОСТ ISO/IEC 17025 "Общие требования к компетентности испытательных и калибровочных лабораторий".
21.
ГОСТ Р ИСО/МЭК 17020 "Оценка соответствия. Требования к работе различных типов органов инспекции".
22.
ГОСТ 34100.1 "Неопределенность измерения. Часть 1. Введение в руководства по выражению неопределенности измерения".
23.
ГОСТ 34100.3 "Неопределенность измерения. Часть 3. Руководство по выражению неопределенности измерения".
24.
ГОСТ Р 8.736 "Государственная система обеспечения единства измерений (ГСИ). Измерения прямые многократные. Методы обработки результатов измерений. Основные положения".
25.
ГОСТ Р ИСО 10576-1 "Статистические методы. Руководство по оценке соответствия установленным требованиям. Часть 1. Общие принципы".
26.
ГОСТ Р 56501 "Услуги жилищно-коммунального хозяйства и управления многоквартирными домами. Услуги содержания внутридомовых систем теплоснабжения, отопления и горячего водоснабжения многоквартирных домов. Общие требования".
27. МИ М.ИНТ-01.01-2018 "Методика измерений показателей микроклимата для целей специальной оценки условий труда".
28. МИ М.08-2021 "Методика измерений показателей микроклимата на рабочих местах в помещениях (сооружениях, кабинах), в помещениях жилых зданий (в том числе зданий общежитий), помещениях общественных, административных и бытовых зданий (сооружений), помещениях специального подвижного состава железнодорожного транспорта и метрополитена, в системах вентиляции промышленных, общественных и жилых зданий (сооружений), на открытом воздухе".
В МУК используются следующие термины и определения:
Теплый период года - период года, характеризующийся среднесуточной температурой наружного воздуха выше 10 °C.
Холодный период года - период года, характеризующийся среднесуточной температурой наружного воздуха, равной 10 °C и ниже.
Отопительный период - период, начинающийся не позднее и заканчивающийся не ранее дня, следующего за днем окончания 5-дневного периода, в течение которого соответственно среднесуточная температура наружного воздуха ниже 8 °C или среднесуточная температура наружного воздуха выше 8 °C.
Межотопительный период - промежуток времени между официальным окончанием отопительного периода и началом нового отопительного периода.
Среднесуточная температура наружного воздуха - средняя величина температуры наружного воздуха, измеренная в определенные часы суток через одинаковые интервалы времени, которая определяется по данным службы по гидрометеорологии и мониторингу окружающей среды.
Помещение с постоянным пребыванием людей - помещение, в котором люди находятся не менее 2 ч непрерывно или 6 ч суммарно в течение суток.
Обслуживаемая зона помещения (зона обитания) - пространство в помещении, ограниченное плоскостями, параллельными полу и стенам: на высоте 0,1 и 2,0 м над уровнем пола - для людей, стоящих или двигающихся, на высоте 0,1 и 1,5 м над уровнем пола - для сидящих людей (но не ближе чем 1 м от потолка при потолочном отоплении) и на расстоянии 0,5 м от внутренних поверхностей наружных и внутренних стен, окон и отопительных приборов.
Микроклимат помещения - состояние внутренней среды помещения, оказывающее воздействие на человека, характеризуемое показателями температуры воздуха и ограждающих конструкций, влажностью и подвижностью воздуха.
Показатели, характеризующие микроклимат в помещениях жилых и общественных зданий, - температура воздуха, скорость движения воздуха, относительная влажность воздуха, результирующая температура помещения.
Результирующая температура помещения - комплексный показатель сочетания радиационной температуры помещения и температуры воздуха помещения.
Радиационная температура помещения - осредненная по площади температура внутренних поверхностей ограждений помещения и отопительных приборов.
Оптимальные параметры микроклимата - сочетание значений показателей микроклимата, которые при длительном и систематическом воздействии на человека обеспечивают нормальное тепловое состояние организма при минимальном напряжении механизмов терморегуляции и ощущение комфорта не менее чем у 80% людей, находящихся в помещении.
Допустимые параметры микроклимата - сочетания значений показателей микроклимата, которые при длительном и систематическом воздействии на человека могут вызвать общее и локальное ощущение дискомфорта, ухудшение самочувствия и понижение работоспособности при усиленном напряжении механизмов терморегуляции и не вызывают повреждений или ухудшения состояния здоровья.
Категории помещений общественного и административного назначения:
- помещения 1-й категории: помещения, в которых люди в положении лежа или сидя находятся в состоянии покоя и отдыха;
- помещения 2-й категории: помещения, в которых люди заняты умственным трудом, учебой;
- помещения 3а категории: помещения с массовым пребыванием людей, в которых люди находятся преимущественно в положении сидя без уличной одежды;
- помещения 3б категории: помещения с массовым пребыванием людей, в которых люди находятся преимущественно в положении сидя в уличной одежде;
- помещения 3в категории: помещения с массовым пребыванием людей, в которых люди находятся преимущественно в положении стоя без уличной одежды;
- помещения 4-й категории: помещения для занятий подвижными видами спорта;
- помещения 5-й категории: помещения, в которых люди находятся в полураздетом виде (например, раздевалки, процедурные кабинеты, кабинеты врачей);
- помещения 6-й категории: помещения с временным пребыванием людей (вестибюли, гардеробные, коридоры, лестницы, санузлы, курительные, кладовые).
Точка измерений - точка пространства, в которой осуществляется измерение и размещается датчик щупа (зонда) средства измерения.
Группа результатов измерений величин - несколько результатов измерений (не менее четырех, n >= 4), полученных при измерениях одной и той же величины, выполненных с одинаковой тщательностью, одним и тем же средством измерений, одним и тем же методом и одним и тем же оператором.