Главная // Актуальные документы // ГрафикСПРАВКА
Источник публикации
М.: Стройиздат, 1981
Примечание к документу
Название документа
"Руководство по определению кренов инженерных сооружений башенного типа геодезическими методами"
"Руководство по определению кренов инженерных сооружений башенного типа геодезическими методами"
ПО ОПРЕДЕЛЕНИЮ КРЕНОВ ИНЖЕНЕРНЫХ СООРУЖЕНИЙ
БАШЕННОГО ТИПА ГЕОДЕЗИЧЕСКИМИ МЕТОДАМИ
Рекомендовано к изданию решением секции строительного производства НТС ЦНИИОМТП Госстроя СССР.
Руководство по определению кренов инженерных сооружений башенного типа геодезическими методами/Центр. н.-и. и проект.-эксперим. ин-т организации, механизации и техн. помощи стр-ву Госстроя СССР. - М.: Стройиздат, 1981. - 56 с.
Рассмотрены вопросы организации геодезических наблюдений за кренами высоких сооружений, построения опорной сети, расчета требуемой точности геодезических измерений, учета влияния факторов внешней среды на результаты определения крена и вопросы цикличности наблюдений. Детально изложена методика определения крена различными геодезическими способами с указанием области их целесообразного применения, а также методика обработки результатов наблюдений.
Для инженерно-технических работников, занимающихся наблюдениями за деформациями инженерных сооружений башенного типа и обеспечением безаварийной эксплуатации этих сооружений.
Крен является наиболее характерным показателем совместной деформации сооружения башенного типа и его основания. В таких сооружениях, обладающих повышенной чувствительностью к деформациям грунтов основания, крен вызывает развитие дополнительного момента, который в свою очередь способствует увеличению крена и может привести к потере устойчивости сооружения.
Поэтому в проектах высоких сооружений предусматривается наряду с наблюдениями за осадками оснований и фундаментов проведение натурных измерений кренов как в процессе строительства, так и особенно в процессе эксплуатации.
К настоящему времени разработано немало способов решения указанной задачи, о чем свидетельствуют многочисленные публикации. Возникла необходимость в обобщении накопленного опыта, в разработке пособия инструктивного и вместе с тем обобщающего характера, которое бы охватывало весь комплекс вопросов, возникающих при определении кренов, и регламентировало производство геодезических работ.
Руководство разработано на основе обобщения результатов научно-исследовательских и опытно-производственных работ, выполненных вузами, научно-исследовательскими и проектными институтами и производственными организациями.
Разработано кафедрой Днепропетровского института инженеров железнодорожного транспорта им. М.И. Калинина (кандидаты техн. наук Е.Н. Губенко, А.С. Ким, ст. инж. М.А. Красавцев) и отделом метрологии, геодезии, стандартизации ЦНИИОМТП (канд. техн. наук В.С. Сытник).
1.1. Настоящее Руководство составлено к главе
СНиП III-2-75 "Геодезические работы в строительстве" и "
Руководству по производству геодезических работ в промышленном строительстве" и содержит методические указания по организации, проведению и обработке геодезических наблюдений за кренами промышленных и гражданских сооружений башенного типа.
1.2. Наблюдения за кренами и осадками сооружений в период строительства производятся специализированными геодезическими организациями по договору с организациями, осуществляющими строительство.
В период эксплуатации определение кренов и осадок промышленных сооружений выполняется геодезическими службами промышленных предприятий или специализированными организациями, а гражданских сооружений - специализированными организациями по договору с учреждениями, осуществляющими эксплуатацию.
1.3. Крен сооружения может быть выражен в линейной, угловой и относительной мере.
Под линейной величиной абсолютного крена в i-м цикле наблюдений понимается отрезок между проекциями центра подошвы фундамента и положения центра верхнего сечения сооружения на координатную (горизонтальную) плоскость. Приращение крена в линейной мере представляет собой расстояние (отрезок) между проекциями положений центра верхнего сечения сооружения в двух циклах наблюдений на координатную плоскость.
Абсолютный крен в угловой мере определяется острым углом между отвесной линией в центре подошвы фундамента и положением оси сооружения в i-м цикле.
Относительным креном называют отношение абсолютного крена сооружения в i-м цикле к высоте сооружения.
Примечание. Под координатной плоскостью в строгом смысле подразумевается плоскость, перпендикулярная к отвесной линии в центре подошвы фундамента.
1.4. Наблюдения за кренами сооружений, так же как и за остальными видами деформаций, проводятся в соответствии с требованиями главы
СНиП II-15-74 "Основания зданий и сооружений". Эти нормы ограничивают совместную деформацию основания и сооружения предельно допустимой величиной, соответствующей пределу эксплуатационной пригодности сооружения.
| | ИС МЕГАНОРМ: примечание. В официальном тексте документа, видимо, допущена опечатка: пункт 3.69 отсутствует. | |
Для промышленных дымовых труб (п. 3.69) предельные относительные крены:

(1.1)
для прочих жестких сооружений высотой до 100 м

.
Допуски для кренов других инженерных сооружений башенного типа высотой более 100 м устанавливаются обычно индивидуально на основании расчетов их оснований по несущей способности и деформациям. Но они, как правило, не ниже требований
(1.1).
1.5. Основная задача геодезической службы наблюдений за кренами сооружений башенного типа состоит в предупреждении возможного появления недопустимых величин кренов.
Решение этой задачи является необходимым условием нормальной эксплуатации сооружения.
Геодезическая служба осуществляет:
построение (или развитие на основе существующей) опорной планово-высотной геодезической сети для высокоточных систематических наблюдений за кренами и осадками высотных инженерных сооружений, находящихся в эксплуатации (для наблюдений за деформациями строящегося сооружения используется геодезическая разбивочная сеть);
геодезический контроль (выверку) вертикальности главных осей (т.е. определение крена возведенной части) строящихся высотных сооружений и наблюдения за их осадками в процессе строительства;
наблюдения за кренами и осадками действующих высотных сооружений и обработку результатов наблюдений;
составление технического отчета.
1.6. Измерения крена и осадок сооружения должны производиться в соответствии с техническим заданием, составленным проектной организацией, разработавшей проект сооружения. В задании указываются: точность определения кренов и осадок, схема размещения визирных и осадочных марок, периодичность и сроки наблюдений, требования к построению геодезической плановой и высотной основы.
1.7. На основании технического задания геодезическая служба, ведущая наблюдения за кренами и осадками, разрабатывает проект производства геодезических работ, включающий в себя:
расчет необходимой точности геодезических измерений, выполняемых в каждом цикле наблюдений за кренами и осадками сооружения;
выбор и обоснование планово-высотной геодезической основы, а также схему ее построения с указанием типов реперов знаков и центров опорных пунктов;
конструкции осадочной и визирной марок и способ их закрепления;
выбор и обоснование методов и инструментов для определения крена и осадок изучаемого сооружения;
методику геодезических измерений, соответствующую выбранному методу;
перечень необходимых инструментов и оборудования;
календарный план выполнения работ;
обработку результатов измерений;
расчет численности и штатов исполнителей;
смету на производство работ.
При составлении проекта должны быть в максимальной степени использованы все имеющиеся на территории строительной площадки или находящегося в эксплуатации сооружения геодезические и топографические материалы.
1.8. Проект производства геодезических работ уточняют рекогносцировкой на месте.
В процессе рекогносцировки выбирают окончательное местоположение пунктов опорной сети, обращая основное внимание на обеспечение наиболее выгодных визуальных и геометрических условий наблюдения исследуемого сооружения и максимальной сохранности этих пунктов. При этом в качестве опорных пунктов для наблюдений строящегося сооружения должны быть использованы пункты геодезической разбивочной основы строительной площадки. Окончательно решается и вопрос о способе определения крена, а также вопрос о целесообразности установки визирных марок или выборе мест их установки в зависимости от конкретных условий площадки. Кроме того, в ходе рекогносцировки календарный план геодезических работ согласовывается с календарными графиками строительно-монтажных работ.
Для сооружений, находящихся в эксплуатации, при выборе окончательного местоположения опорных пунктов необходимо выяснить возможность максимального использования пунктов существующей геодезической сети и развития на ее основе специальной опорной сети для наблюдений за кренами и осадками. Необходимо также собрать сведения о состоянии сооружения, ранее выполненных работах по определению его деформаций и инженерно-геологических условиях.
1.9. По результатам рекогносцировки составляются следующие документы:
схема расположения окончательно выбранных пунктов опорной сети в масштабе 1:2000 - 1:5000 или в масштабе генплана стройплощадки, на которой должны быть показаны проектируемая опорная сеть и ее привязка к существующей геодезической сети, названия или номера пунктов, направления между пунктами, подлежащие измерениям, типы центров и знаков;
краткая характеристика состояния сооружения и инженерно-геологических условий участка его расположения;
результаты ранее выполненных наблюдений за деформациями оснований, фундаментов и самого сооружения;
пояснительная записка, в которой приводится обоснование выбора местоположения опорных пунктов типов центров и знаков и соображения о выборе способа определения крена;
уточненная смета на производство работ;
рабочая программа, являющаяся заключительным документом, в котором определяются мероприятия по изготовлению и установке знаков и центров выбранного типа, порядок измерений в опорной сети и обработки их результатов; дается детальное описание методики наблюдений в каждом цикле определения крена, соответствующей выбранному способу и учитывающей влияние факторов внешней среды; приводится увязанный с техническим заданием или с графиком строительства календарный план производства всех видов работ; устанавливается порядок обработки результатов наблюдений за креном и даются указания по составлению отчета.
1.10. Наблюдения исследуемого сооружения следует выполнять способом, обеспечивающим требуемую точность и надежность определения крена и вместе с тем экономически наиболее выгодным, по возможности не требующим особого оборудования сооружения.
1.11. В период строительства выверка вертикальности в зависимости от высоты возведенной части сооружения и требуемой точности может быть выполнена: при помощи тяжелого отвеса; с помощью зенит-прибора; способом направлений (горизонтальных углов); способом малых углов; способом вертикального проектирования.
1.12. Определение крена эксплуатируемого сооружения в зависимости от требуемой точности и высоты, а также местных условий может быть осуществлено одним из следующих способов:
координат;
направлений (горизонтальных углов);
малых углов;
вертикального проектирования;
зенитных расстояний;
высокоточного нивелирования осадочных марок;
направления с одного опорного пункта;
стереофотограмметрии.
В современной практике наибольшее распространение имеют первые четыре способа, как наиболее доступные и обеспечивающие достаточную точность и надежность определения крена. Наиболее универсальным и строгим из них является способ координат. Эти способы одинаковы по составу измерений и основаны на принципе измерения или проектирования направлений "пункт наблюдения - центр верхнего или нижнего пояса сооружения", образующих прямую угловую засечку.
Первые два способа используются для высокоточных систематических наблюдений за креном и его приращениями.
Следующие пять способов применяются для менее точных, преимущественно одноразовых контрольных определений крена или его приращений.
Стереофотограмметрический способ может быть применен для систематических высокоточных наблюдений сооружений определенной высоты при наличии фототеодолита и приборов для обработки стереоснимков.
Способ дает возможность определять смещения точек сооружения вдоль всех трех пространственных осей.
ДЛЯ НАБЛЮДЕНИЙ ЗА КРЕНАМИ СООРУЖЕНИЙ
2.1. Для наблюдений за креном высокого сооружения необходимо не менее трех определенным образом расположенных вокруг него точек - пунктов наблюдения. На этих пунктах в каждом цикле наблюдений (через определенные промежутки времени) устанавливаются теодолиты и измеряются направления на выбранные точки сооружения.
Для определения крена способом координат нужно знать координаты пунктов наблюдения в принятой системе координат. Последние определяются путем включения пунктов наблюдения в геодезическую сеть, создаваемую вокруг сооружения известными методами геодезии, пункты которой (в том числе и пункты наблюдения) связаны друг с другом подлежащими измерениям направлениями и линиями.
В случае применения способов направлений (горизонтальных углов), малых углов, вертикального проектирования геодезическая основа представляет собой совокупность трех-четырех геодезически не связанных между собой пунктов наблюдения, причем для способа направлений она должна включать в себя еще и по два для каждого пункта наблюдения ориентирных пункта. Но видимость между пунктами и в этом случае должна быть обеспечена.
Для стереофотограмметрического способа необходимо иметь два пункта наблюдения, являющихся концами базиса фотографирования.
Определение крена остальными способами выполняется с одного пункта или не требует ни одного пункта. Пункты геодезической основы вместе с пунктами наблюдения называют опорными пунктами, а совокупность их - опорной сетью.
2.2. Взаимное положение пунктов наблюдения и сооружения должно удовлетворять следующим требованиям: они должны располагаться в местах, обеспечивающих стабильность их положения и максимальную сохранность, видимость не менее 3/4 высоты сооружения, наиболее выгодную геометрическую форму засечки и на удалении порядка двух-трех высот от сооружения.
Наивыгоднейшей формой засечки является та, при которой угол засечки

.
При составлении проекта основы следует стремиться к тому, чтобы этот угол находился в пределах от 60 до 120°, а пункты наблюдения располагались примерно на одинаковом удалении от сооружения.
2.3. Перед проектированием геодезической основы необходимо собрать сведения о ранее выполненных на территории сооружения геодезических работах, картографические и топографические материалы, проанализировать их качество и пригодность к использованию в проектируемых работах, данные о подземных коммуникациях.
Проектируемая сеть должна располагаться с учетом удобства привязки ее к пунктам существующей геодезической сети (плановой и высотной) или возможности использования этих пунктов в качестве пунктов наблюдения. На промышленных предприятиях в качестве пунктов наблюдения за кренами дымовых труб можно использовать пункты геодезической сети, предназначенной для крупномасштабных съемок и разбивочных работ при расширении и реконструкции предприятия, или сохранившиеся пункты геодезической основы строительной площадки.
2.4. Привязку проектируемой основы к близлежащим пунктам государственной геодезической сети следует производить по согласованию с территориальными органами Госгеонадзора ГУГК.
2.5. При проектировании самостоятельной геодезической основы следует установить условную систему координат с началом в точке, расположенной в юго-западной части участка сети для получения положительных и минимальных по величине координат, и осью абсцисс, ориентированной по истинному меридиану.
2.6. Наиболее целесообразный метод построения геодезической основы устанавливается в зависимости от высоты сооружения и требуемой точности определения его крена.
Для высокоточных систематических наблюдений за креном сооружения большой высоты (250 - 400 м), выполняемых, как правило, способом координат, создают основу в виде кольцевой системы триангуляции, одной из разновидностей которой является центральная система различной степени сложности (рис. 1), или в виде геодезического четырехугольника.

Пункты триангуляции

Наблюдаемое сооружение

Базисная сторона

Направления засечки
Рис. 1. Геодезическая основа для способа координат в виде
а - центральная система; б - геодезический четырехугольник
Обычно такая сеть имеет и другое назначение - она должна служить главной геодезической основой для развития разбивочной сети, с помощью которой осуществляется вынос в натуру проекта самого сооружения и сопутствующих ему других инженерных сооружений.
Наиболее рационально применение метода триангуляции в случае построения геодезической основы для систематических высокоточных наблюдений за кренами совокупности высоких сооружений, в частности промышленных дымовых труб, которых на территории современных крупных предприятий может насчитываться до нескольких десятков, включая и трубы большой высоты.
В зависимости от этих факторов и от высоты сооружения длины сторон треугольников могут колебаться от 0,5 до 3 км. В сети триангуляции указанной конфигурации должно быть запроектировано не менее одной базисной стороны - связующей стороны, длина которой определяется из непосредственных измерений.
Для наблюдений одиночных сооружений большой высоты основа может быть создана и методом полигонометрии с длинами сторон 400 - 800 м в зависимости от высоты.
Для сооружений средней (150 - 250 м) и небольшой высоты (до 150 м), наблюдения за кренами которых требуют применения способа координат, строится замкнутый полигонометрический ход с длиной линии 100 - 500 м (рис. 2).

Пункты полигонометрии

Наблюдаемое сооружение

Исходная линия
Рис. 2. Геодезическая основа для способа
координат в виде полигонометрического хода
2.7. Проектируемая сеть опорных пунктов является исходной основой для определения положения наблюдаемых точек сооружения.
Точность определения положения опорных пунктов должна быть выше требуемой точности определения крена не менее чем в 1,5 раза. Для получения величины крена с точностью порядка 2 - 3 см ошибка взаимного положения исходных пунктов (в том числе и пунктов наблюдения) не должна превышать 1,5 - 2 см. Этим требованиям удовлетворяет триангуляция или полигонометрия 4-го класса.
Такие сети обычно и создают в качестве главной геодезической основы на территории промышленных предприятий.
При меньших требованиях к точности определения крена сооружений средней и небольшой высоты способом координат геодезическая основа проектируется в виде полигонометрии 1-го разряда повышенной точности и 1-го разряда.
2.8. Проект геодезической основы составляют на планах масштаба 1:1000 - 1:5000, на которых показано подлежащее наблюдениям сооружение.
Сначала на план наносят исходные пункты, т.е. пункты существующей геодезической сети, если таковые имеются. Если положение некоторых из них удовлетворяет вышеизложенным требованиям, то их следует наметить в качестве опорных пунктов.
После этого намечают пункты геодезической основы в соответствии с выбранным методом ее построения (триангуляции или полигонометрии), выбирая их положение под условием возможно более полного соблюдения указанных выше требований. При этом необходимо стремиться к наиболее рациональной привязке проектируемой сети к существующей, к максимальному использованию сторон последней (если она удовлетворяет по точности) в качестве исходных для новой сети.
Если основа предназначена для наблюдений способами горизонтальных углов, малых углов и вертикального проектирования, то на крупномасштабный план наносят ее пункты и ориентирные пункты, руководствуясь требованиями к их взаимному положению и положению относительно сооружения.
2.9. Для наблюдений за креном сооружения в процессе строительства проектировать специально предназначенную для этого геодезическую основу не нужно.
В качестве опорных пунктов на крупномасштабном плане строительной площадки намечают те пункты плановой и высотной геодезической разбивочной основы, положение которых удовлетворяет условиям
п. 2.2.
2.10. В процессе рекогносцировки для обеспечения надежной устойчивости опорных пунктов их следует располагать вне зон влияния неблагоприятных геологических процессов, отдавая предпочтение местам с близким выходом коренных пород и глубоким залеганием грунтовых вод, вдали от оползней, плывунов, а также в местах, не подвергающихся затоплению, деформациям, не ближе 300 - 400 м от котлованов и подземных выработок, в стороне от подземных коммуникаций.
2.11. Места расположения опорных пунктов должны обеспечивать безопасность и удобство выполнения работ по их постройке и наблюдениям. Кроме того, их следует располагать в стороне от обочин проездов, тротуаров, пешеходных дорожек и в особенности от подземных коммуникаций.
2.12. При выборе на местности окончательного положения опорных пунктов необходимо руководствоваться исходными положениями, изложенными в
п. 2.2.
2.13. Линию базиса или базисную сторону триангуляции следует выбирать на ровной открытой местности так, чтобы угол наклона линии не превышал 3°.
2.14. Стороны полигонометрии должны проходить в местах, благоприятных как для угловых, так и для линейных измерений. При этом не следует допускать углов наклона линий, превышающих 5°.
2.15. Визирные лучи по сторонам хода и по сторонам триангуляции должны проходить не ниже 0,5 м от поверхности земли и не ближе 3 м от препятствий и 10 м от нагреваемых поверхностей (открытых тепловых коммуникаций на промышленных предприятиях и т.п.).
2.16. Вершины треугольников необходимо намечать при рекогносцировке с таким расчетом, чтобы углы треугольников были не менее 30°.
Вершины полигонометрического хода следует стремиться размещать на равных расстояниях друг от друга.
2.17. В виде исключения разрешается размещать опорные пункты на устойчивых жестких частях зданий и промышленных сооружений.
2.18. В качестве ориентирных пунктов основы, предназначенной для наблюдений за кренами способом направлений, следует использовать устойчивые и удобные для визирования местные предметы. При отсутствии таковых необходимо выбрать места для установки пунктов основы на расстоянии 100 - 500 м, соблюдая требования
пп. 2.10 и
2.11.
2.19. После выбора в натуре окончательного положения опорных и ориентирных пунктов их закрепляют специальными центрами. Наиболее распространены конструкции двух типов: трубчатые или железобетонные центры, закладываемые ниже поверхности земли (скрытого типа), и центры, выступающие над землей.
Центр трубчатой конструкции (труба с приваренной к ней маркой и якорем в виде бетонного монолита) устанавливается бурением при уровне грунтовых вод менее 3 м.
Центр скрытого типа в виде железобетонного пилона, в верхний торец которого забетонирована марка, закладывается котлованным способом, если уровень грунтовых вод ниже 3 м от поверхности земли.
Центр второго типа представляет собой железобетонный столб (тур) с маркой в верхнем торце, выступающий над поверхностью земли на 1,3 - 1,5 м и укрепленный на фундаменте.
Примечание. При наблюдениях с опорных пунктов с центрами скрытого типа теодолит устанавливается на штативе и центрируется с помощью оптического отвеса, а для визирования на них над ними необходимо устанавливать визирные марки на штативах с помощью лот-аппарата. Во втором случае инструмент устанавливается непосредственно на туре и центрируется над маркой с помощью центрировочных устройств. Для визирования на туры на них устанавливаются при помощи трегера специальные визирные цели с цилиндрическим уровнем.
2.20. Ориентирные пункты закрепляются так же, как и опорные пункты с центрами второго типа, но с меньшим сечением столба.
2.21. Если опорный пункт совмещен с репером существующей или вновь создаваемой для измерения осадок нивелирной сети, то на головке нивелирной марки следует сделать насечку в виде креста или керна.
2.22. Параллельно с закреплением опорных пунктов на сооружении, подлежащем наблюдениям, в определенных местах бетонированием в специально оставленные штрабы устанавливаются визирные марки специальной конструкции, если это предусмотрено техническим заданием. Места установки визирных марок намечаются в соответствии с указаниями проектной организации, содержащимися в техническом задании, а также в соответствии с окончательным положением пунктов наблюдения. Обычно для наблюдений за сооружениями с круглым поперечным сечением (телевизионные башни, промышленные дымовые трубы и др.) визирные марки устанавливаются на верхнем и нижнем (по возможности наиболее низком) поясах (сечениях) на стороне, обращенной к пунктам наблюдения так, чтобы существовала одновременная видимость на них со всех пунктов наблюдения.
На сооружениях, имеющих квадратное или прямоугольное поперечное сечение, визирные марки устанавливают по углам или посередине сторон верхнего и нижнего сечений.
2.23. Закладку пунктов плановой основы обычно производят в тот же период, что и установку реперов для наблюдений за осадками сооружения. Высоты пунктов плановой основы и реперов определяют затем геометрическим нивелированием II класса.
2.24. Измерение горизонтальных углов в сети, создаваемой методом триангуляции и полигонометрии 4-го класса, должно выполняться со средней квадратической ошибкой, не превышающей 2" (невязка треугольника не должна быть более 8"). Углы измеряются высокоточными и точными теодолитами ОТ-02, Т-1, Т-2, ТБ-1 или равными им по точности инструментами способом круговых приемов. Базисные стороны триангуляции и стороны полигонометрии измеряются базисным прибором или точным светодальномером с относительной ошибкой не более 1:150000.
2.25. Если геодезическая основа создается в виде полигонометрии 1-го разряда повышенной точности или 1-го разряда, то измерение горизонтальных углов выполняется со средней квадратической ошибкой, не превышающей соответственно 3" и 5", а относительная невязка хода не должна быть более 1:25000 и 1:10000.
2.26. Уравнивание сети триангуляции и полигонометрического хода выполняют методом наименьших квадратов, обычно способом условий, после чего составляют каталог координат пунктов и дирекционных углов сторон сети, используемый в последующих наблюдениях за кренами способом координат.
3. ПЕРИОДИЧНОСТЬ ОПРЕДЕЛЕНИЯ КРЕНОВ СООРУЖЕНИЙ
3.1. Периодичность наблюдений за кренами сооружений устанавливается проектной организацией (в период эксплуатации по согласованию с организацией, эксплуатирующей сооружение) в зависимости от требуемой точности определения крена, скорости протекания осадок, определяемой главным образом инженерно-геологическими и гидрогеологическим факторами, воздействующими на грунты основания, и от состояния сооружения. Соответствующие указания формулируются в виде специального раздела технического задания. Конкретные сроки проведения циклов наблюдений должны быть определены в соответствии с техническим заданием на основании данных рекогносцировки и отражены в календарном плане, являющемся частью рабочей программы.
3.2. В период строительства срок выполнения каждого цикла наблюдений определяется графиком строительно-монтажных работ и назначается в зависимости от стадии строительства и степени нагрузки на основание. Первое определение крена проводится после возведения фундамента по результатам первого цикла измерения осадок. Крен фундамента определяется как отношение разности осадок крайних точек фундамента к его ширине или длине.
За последующий период достижения полной нагрузки на основание должно быть проведено не менее четырех циклов наблюдений за креном (при 25, 50, 75, 100% всего давления), выполняемых вслед за очередными циклами измерения осадок сооружения.
3.3. Отдельный цикл определения крена производится по завершении строительства при исполнительной съемке законченного сооружения. Все результаты наблюдений за кренами и осадками, выполненных в период строительства, заносятся в паспорт сооружения и в акт приемки для использования их в последующих наблюдениях.
3.4. В связи со значительной скоростью осадок по завершении строительства, а также с резким изменением температурного режима основания в периоды сушки и прогрева промышленных дымовых труб наблюдения за кренами выполняются ежедневно, если труба возведена способом замораживания, и не реже одного раза в двое суток для построенных в теплое время года или в тепляках зимой.
3.5. В период приемки сооружения в эксплуатацию выполняют отдельный цикл определения крена параллельно с измерением осадок.
3.6. В эксплуатационный период периодичность наблюдений за кренами и осадками назначается в зависимости от скорости стабилизации осадок грунтов основания, инженерно-геологических условий и состояния сооружения. В этот период проводится не менее трех циклов в год.
3.7. За промышленными дымовыми трубами после пуска их в эксплуатацию наблюдения в течение первого года ведутся обычно не реже одного раза в месяц. По мере стабилизации и затухания деформаций основания частота наблюдений уменьшается: на втором году эксплуатации - не реже одного цикла в квартал, в последующие годы - не менее трех циклов в год.
3.8. Определение крена сооружений, имеющих значительные наклоны, приближающиеся к предельным, производится не реже одного раза в месяц.
3.9. В период стабилизации осадок основания систематические наблюдения за кренами могут быть прекращены, если по результатам трех циклов приращения кренов отсутствуют или продолжают оставаться незначительными и колеблются в пределах заданной точности измерений, а общий крен сооружения невелик и не превышает 1/3 - 1/2 допустимого значения. Требуемая в этом случае цикличность последующих контрольных определений крена составляет в нормальных условиях эксплуатации 2 - 3 года.
3.10. Внеочередные определения кренов следует производить в случае резких изменений условий работы сооружения (изменение уровня грунтовых вод, замачивание основания производственными или атмосферными водами и т.п.), стихийных бедствий (ураганов, ливней, землетрясений) или аварий, а также в случае появления трещин в несущих конструкциях.
3.11. Результаты определений кренов в период эксплуатации записываются в карточку кренов, хранящуюся вместе с паспортом сооружения
(Прил. 2).
4. РАСЧЕТ НЕОБХОДИМОЙ ТОЧНОСТИ ИЗМЕРЕНИЙ ДЛЯ ОПРЕДЕЛЕНИЯ
КРЕНА СООРУЖЕНИЯ. ВЛИЯНИЕ ВНЕШНЕЙ СРЕДЫ И ДРУГИХ
ФАКТОРОВ НА ТОЧНОСТЬ ОПРЕДЕЛЕНИЯ КРЕНА
4.1. Расчет необходимой точности геодезических измерений, выполняемых в каждом цикле наблюдений за креном сооружений, следует производить исходя из требуемой точности определения крена. За предельные (допустимые) погрешности измерения крена рекомендуется принимать величины, не превышающие 0,2 строительных допусков, как этого требует
п. 4.9 главы СНиП III-2-75, т.е.

(4.1)
Примечание. При наблюдениях сооружений, имеющих заметные наклоны, допуски для погрешностей определения крена (4.1) могут быть увеличены вдвое, т.е.:

(4.2)
4.2. За требуемую точность определения крена при расчете обычно принимают величину, равную половине предельной погрешности.
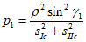
4.3. Расчет необходимой точности измерения горизонтальных углов при наблюдениях наиболее распространенными способами, основанными на прямой угловой засечке, можно выполнить по следующей приближенной формуле:

, (4.3)
где

- необходимая средняя квадратическая ошибка измерения горизонтальных углов;

- требуемая средняя квадратическая ошибка определения крена;

- угол засечки;

и

- расстояния от пунктов наблюдения до засекаемого центра верхнего сечения сооружения в координатной (горизонтальной) плоскости.
При


. (4.4)
Если принять

, т.е. половине предельной погрешности
(4.1), а s = 2H - 3H, то необходимая точность измерения горизонтальных углов, вычисленная по формуле (4.4) для различных значений угла засечки и высоты сооружения, будет определяться величинами, приведенными в табл. 1.
───────────┬───────────────────────────────────────────────────────────────
гамма, s │ Требуемая средняя квадратическая ошибка измерения
│ углов m " при высоте H, м
│ бета
├───────┬───────┬───────┬───────┬───────┬───────┬───────┬───────
│ 50 │ 100 │ 150 │ 200 │ 250 │ 300 │ 350 │ 400
───────────┼───────┼───────┼───────┼───────┼───────┼───────┼───────┼───────
2H │ 10 │ 5 │ 3 │ 2 │ 2 │ 2 │ 1 │ 1
30° 2,5H │ 8 │ 4 │ 3 │ 2 │ 2 │ 1 │ 1 │ 1
(150°) 3H │ 7 │ 3 │ 2 │ 2 │ 1 │ 1 │ 1 │ 1
2H │ 17 │ 9 │ 6 │ 4 │ 4 │ 3 │ 2 │ 2
60° 2,5H │ 14 │ 7 │ 5 │ 4 │ 3 │ 2 │ 2 │ 2
(120°) 3H │ 12 │ 6 │ 4 │ 3 │ 2 │ 2 │ 2 │ 2
2H │ 20 │ 10 │ 7 │ 5 │ 4 │ 3 │ 3 │ 2
90° 2,5H │ 16 │ 8 │ 5 │ 4 │ 3 │ 3 │ 2 │ 2
3H │ 13 │ 7 │ 4 │ 3 │ 3 │ 2 │ 2 │ 2
Примечание. При разных расстояниях от пунктов наблюдения до сооружения, т.е. при

, что обычно и имеет место на практике, для расчета по
формуле (4.4) следует использовать расстояние от наиболее удаленного пункта.
4.4. При меньших или больших требованиях к точности определения крена (при меньших или больших величинах

) требования к точности измерения горизонтальных углов могут быть также определены по
формуле (4.4).
4.5. Необходимо добиваться того, чтобы значение угла засечки находилось в пределах от 60 до 120°

, а значение расстояния было не более 3H (см.
табл. 1), путем соответствующего размещения пунктов наблюдения. В этом случае требования к точности измерений снижаются.
Примечание. Требование размещения пунктов наблюдения не ближе 2H диктуется главным образом соображениями удобства измерений.
4.6. При систематических определениях кренов сооружений башенного типа со средними квадратическими погрешностями, не превышающими предельных значений
(4.1), помимо обеспечения высокой точности собственно измерения горизонтальных углов необходимо в наибольшей мере ослабить или исключить неблагоприятное влияние внешних условий, искажающих результаты измерений.
К основным факторам внешней среды при наблюдениях за кренами относятся неравномерный нагрев сооружения в солнечные дни, воздействие на сооружение ветрового потока, влияние рефракции.
4.7. Для исключения влияния солнечной радиации на результаты определения крена наблюдения следует производить в утренние часы до восхода солнца и в пасмурные дни.
4.8. При необходимости выполнения наблюдений в солнечную погоду величину отклонения верха сооружения вследствие упругого изгиба его под влиянием одностороннего солнечного нагрева приближенно можно определить по формулам:
для сооружения с цилиндрической формой поверхности

; (4.5)
для сооружения с конической формой поверхности

, (4.6)
где

- длина освещаемой солнцем части сооружения;

- разность температур освещаемой и теневой сторон;

- коэффициент линейного расширения материала сооружения;
d - диаметр верхнего сечения сооружения;

- диаметр сечения на границе освещаемой и неосвещаемой частей конического сооружения;
D - диаметр сооружения цилиндрической формы;
K - коэффициент коничности сооружения

;
f - отклонение верха сооружения под влиянием солнечной радиации.
Температуру освещенной и теневой сторон сооружения можно измерить термопарами или термометрами, установленными на поверхности сооружения в двух его сечениях.
Азимут (магнитный) направления отклонения верха сооружения от его начального положения на время определения крена можно установить графически по результатам наблюдений за ходом верха сооружения в течение дня. Для промышленных дымовых труб азимуты направлений отклонения их верха под влиянием одностороннего солнечного нагрева в различные периоды дня принимают значения, приведенные в табл. 2.
Таблица 2
─────────────────┬─────────────────────────────┬───────────────────────────
Время, ч │ Азимуты отклонения верха │ Азимуты отклонения верха
│ металлической трубы, град │ кирпичной трубы, град
─────────────────┼─────────────────────────────┼───────────────────────────
6 - 9 │ 270 - 284 │ 270 - 273
10 │ 293 │ 275
11 │ 304 │ 279
12 │ 314 │ 283
12 - 30 │ 322 │ 284
13 │ 333 │ 285
13 - 30 │ 349 │ 286
14 │ 14 │ 287
14 - 30 │ 37 │ 289
15 │ 56 │ 290
15 - 30 │ 69 │ 290
16 │ 80 │ 290
17 - 20 │ 85 - 90 │ 290
Исправленное за влияние солнечной радиации значение крена

можно получить как сумму или разность вектора измеренного значения крена

и вектора отклонения

(рис. 3), т.е.

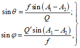
. (4.7)
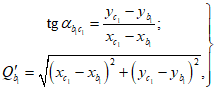
Рис. 3. Определение поправки за влияние солнечной радиации
Линейную величину исправленного значения крена Q и значения углов

и

определяют по формулам:

; (4.8)

(4.9)
с контролем вычисления последних по формуле

.
4.9. Колебания верхней части сооружения под влиянием ветра при средней скорости 5 - 10 м/с имеют амплитуду порядка нескольких сантиметров, а при скорости ветра до 5 м/с не оказывают заметного влияния на точность измерений.
Для исключения влияния ветрового потока на результаты угловых измерений наблюдения за креном сооружения следует производить в безветренную погоду или при скорости ветра до 5 м/с. В последнем случае визирование зрительной трубы необходимо выполнять так, чтобы отклонения изображения визирной марки (на сооружении) или края наблюдаемого пояса (см. ниже) сооружения были симметричны относительно биссектора.
4.10. Для ослабления влияния рефракции пункты наблюдения за креном нужно располагать так, чтобы визирные лучи проходили не ближе 10 м от нагреваемых поверхностей. Особенно внимательно необходимо подходить к решению этого вопроса для территорий промышленных предприятий, где немало открытых тепловых коммуникаций. Кроме того, необходимо использовать для наблюдений пасмурные дни, сочетая утренние и вечерние наблюдения.
4.11. Существенное влияние на точность определения крена могут оказать ошибки, вызываемые неровностями поверхности сооружения и несимметричностью поясов относительно оси (т.е. неправильностью фигуры поясов) в случае наблюдений без визирных марок. Случайную часть этого влияния можно значительно ослабить путем наблюдений нескольких близко расположенных по высоте (не менее двух) сечений в верхней и нижней частях сооружения, применяя прямую многократную засечку
(п. 5.14). Что касается систематических ошибок, вызываемых тем же фактором, то они скажутся только на величине абсолютного крена, определяемом в начальном цикле наблюдений, но не скажутся на величинах приращений кренов, если во всех циклах наблюдения производить с одних и тех же пунктов.
4.12. В районах со значительными скачкообразными изменениями уклонений отвеса (2 - 3" на 1 - 1,5 км, например в горных районах, береговой полосе морей, океанов, больших озер, для которых характерны резкие изменения форм рельефа) при наблюдениях сооружений большой высоты (порядка 350 - 400 м и более) следует учитывать уклонение отвесной линии пункта наблюдения от вертикали центра основания сооружения. Пренебрежение влиянием этого фактора может стать источником практически ощутимой систематической ошибки (порядка 1 - 1,5 см). Эта погрешность может исказить только величину абсолютного крена, на величине приращения крена она не скажется.
5. МЕТОДИКА ИЗМЕРЕНИЙ ПРИ ОПРЕДЕЛЕНИИ КРЕНОВ СООРУЖЕНИЙ
5.1. В процессе строительства геодезический контроль (выверка) вертикальности высотных сооружений выполняется преимущественно при помощи тяжелого отвеса, если высота возведенной части не более 50 м, и зенит-прибора, если высота превышает 50 м.
5.2. При выверке вертикальности с помощью тяжелого отвеса его опускают со средней точки опалубки возведенного пояса. Расстояние между острием отвеса (в его спокойном состоянии) и центральным знаком, закрепляющим внутренний центр верхней части фундамента сооружения, представляет собой отклонение центра возведенного пояса от вертикали, т.е. линейную величину крена построенной части сооружения. Точность этого способа составляет около 1/1000 от высоты.
5.3. Для контроля вертикальности зенит-прибором в перекрытиях должны быть оставлены небольшие сквозные отверстия. Прибор центрируют над центральным знаком или вынесенной и закрепленной на перекрытии точкой с помощью нитяного отвеса и приводят линию визирования в отвесное положение. На середине монтажного горизонта (пояса) укрепляют прозрачную палетку с сеткой прямоугольных координат так, чтобы нуль сетки совпадал с центром пояса. По палетке отсчитывают положение проекции перекрестья сетки нитей прибора, т.е. вынесенного на монтажный горизонт оптической вертикалью центрального знака сооружения. Средняя квадратическая ошибка построения оптической вертикали при высоте до 100 м составляет 1 мм.
5.4. Геодезический контроль вертикальности в период строительства может быть осуществлен и способами направлений (горизонтальных углов), малых углов и вертикального проектирования, применяемыми для определения крена в период эксплуатации сооружения. Детальное описание этих способов приведено в
разд. 6 настоящего Руководства.
5.5. Методику наблюдений за кренами способами, основанными на прямой угловой засечке, разрабатывается в соответствии с требуемой точностью измерений горизонтальных углов, определяемой требуемой точностью определения крена и рассчитываемой по
формуле (4.4).
5.6. Согласно
табл. 1, определение кренов сооружений в пределах допусков
(4.1) даже при благоприятной форме засечки требует применения высокоточных теодолитов типа ОТ-02, ОТ-02М, Т-1 при H <= 300 м; точных теодолитов типа ТБ-1, Т-2 при 150 <= H < 300 м. Для наблюдений сооружений высотой 100 м <= H < 150 м, а также 50 м <= H < 100 м достаточно теодолита средней точности типа Т-5, Т-5К и при H < 50 м, H = 50 м (для s = 2H) - технического теодолита типа Т-15.
5.7. Перед началом угловых измерений необходимо выполнить следующие поверки и исследования инструментов:
перпендикулярности оси цилиндрического уровня при алидаде горизонтального круга оси вращения инструмента;
правильности вращения алидады горизонтального круга;
перпендикулярности оси вращения трубы к оси вращения инструмента; неперпендикулярность в теодолитах типа ОТ-02 и ТБ-1 не должна превышать 5", Т-5 - 10";
правильности вращения трубы вокруг ее оси, осуществляемого наводящим винтом ее (одна из нитей сетки нитей должна быть перпендикулярна оси вращения трубы);
перпендикулярности визирной оси трубы к оси вращения ее и постоянства коллимационной ошибки; величина двойной коллимационной ошибки не должна быть более 20";
правильности работы оптического микрометра;
рена оптического микрометра (или шкалового микроскопа); рен не должен превышать 0,5" у теодолитов типа ОТ-02 и 1" у теодолитов типа ТБ-1;
правильности юстировки оптического отвеса;
эксцентриситета алидады горизонтального круга;
места зенита вертикального круга и постоянства его;
правильности работы подъемных винтов.
5.8. Для определения крена сооружения с требуемой точностью 2 см необходимо при измерениях горизонтальных углов центрирование инструмента выполнять с точностью 1 мм. Такая точность может быть достигнута с помощью центрировочных устройств (например, центрировочной плиты), устанавливаемых на железобетонных турах (столбах), которыми закреплены пункты наблюдения, или при помощи оптического отвеса, если наблюдения ведутся со штатива, устанавливаемого над центром скрытого типа, закрепляющим пункт наблюдения.
5.9. Измерения горизонтальных углов следует производить при благоприятных условиях видимости, в безветренные пасмурные дни, в периоды спокойных и четких изображений.
Если наблюдения выполняются в солнечную погоду, то теодолит должен быть защищен от непосредственного воздействия солнечных лучей.
5.10. Инструмент должен быть установлен на пункте наблюдения не менее чем за полчаса до начала измерения углов, чтобы его температура сравнялась с температурой воздуха.
5.11. Перед началом наблюдений на пункте необходимо:
убедиться в устойчивости инструмента на туре или штативе;
разыскать все визирные цели, подлежащие наблюдениям с данного пункта, т.е. визирные марки на сооружении или пояса (сечения) сооружения (если наблюдения за кренами ведутся без установки марок на сооружении), а также соседние пункты наблюдения или ориентирные пункты (в зависимости от принятого способа определения крена) и записать с точностью до 1' отсчеты по горизонтальному и вертикальному кругу на каждую визирную цель, приняв направление на соседний пункт наблюдения (или ориентирный пункт) за начальное. Эти отсчеты необходимы для быстрого отыскания марок и поясов при последующих измерениях;
составить таблицу рабочих установок лимба (для измерений углов способом круговых приемов).
5.12. При высокоточных определениях кренов сооружений средней и большой высоты для измерения горизонтальных углов следует применять способ круговых приемов. Число приемов определяется требуемой точностью измерения углов и точностью используемого инструмента, которые в свою очередь могут быть определены по
табл. 1. Для измерения углов с требуемой точностью 2 - 3" теодолитом типа ОТ-02, Т-1 необходимо выполнить не менее трех приемов. Такое же количество приемов потребуется для измерения углов с точностью 4 - 7" теодолитом типа ТБ-1, Т-2. При меньшей точности измерения, которая требуется при определении кренов сооружений небольшой высоты, число приемов уменьшается до двух (для теодолита типа ТБ-1, Т-2).
Если требуемая точность измерения горизонтальных углов определяется величинами порядка 10 - 20", то можно применить способ повторений, используя соответственно теодолиты средней точности типа Т-5 и технические типа Т-15, имеющие повторительную систему осей. Количество повторений должно быть не менее четырех. Однако и в этом случае способ круговых приемов предпочтительнее, так как число измеряемых направлений больше двух.
5.13. Визирование в процессе измерения углов может осуществляться на марки, специально установленные на сооружении в верхнем и нижнем (возможно ближе к основанию) сечениях, или непосредственно на выбранные сечения. Как показывает опыт, установка визирных марок, связанная со значительными затратами труда, в большинстве случаев не оправдывает себя, так как не приводит к ощутимому увеличению точности измерений. Она целесообразна для сооружений, имеющих квадратное или прямоугольное сечение.
Для определения кренов сооружений, имеющих круглое сечение, визирование рекомендуется выполнять по двум касательным к каждому выбранному сечению (верхнему или нижнему), а среднее значение из этих направлений принимать за направление на центр наблюдаемого пояса (рис. 4). За эти сечения на кирпичных сооружениях рекомендуется принимать скрепляющие кольца, а на железобетонных - стыки секций или границы их окраски. Правильность визирования на выбранные сечения можно контролировать по зенитным расстояниям.
Рис. 4. Визирование по касательным к наблюдаемым сечениям
5.14. С целью ослабления влияния ошибок, вызываемых неровностями поверхности сооружения и несимметричностью поясов относительно его оси следует наблюдать несколько (два-три) близко расположенных по высоте сечений - верхних и нижних. За направление на центр верхнего и соответственно нижнего сечения принимается среднее из направлений на центры наблюдавшихся (двух-трех) верхних и соответственно нижних поясов. Кроме того, наблюдения указанных сечений необходимо производить не менее чем с трех пунктов.
5.15. В условиях плотной застройки на территории промышленных предприятий видимость на один и тот же наиболее низкий пояс дымовой трубы со всех пунктов наблюдения нередко отсутствует. В этом случае приходится с каждого пункта наблюдать свой наиболее низкий видимый пояс. Однако при значительном наклоне сооружения из-за разности высот наблюдаемых поясов возникает погрешность в определении положения центра среднего (по результатам наблюдений со всех пунктов) пояса. Для исключения влияния наклона сооружения необходимо выбирать для наблюдений нижние пояса, разность высот которых в зависимости от угла засечки не превышает значений, приведенных в табл. 3
(рис. 5).
───────────────────────────┬───────────────────────────────────────────────
Наклон (крен) оси │ Допустимые значения Дельта H, м
сооружения, мм/м ├───────────────────────┬───────────────────────
│ гамма = 30° │ гамма = 90°
───────────────────────────┼───────────────────────┼───────────────────────
4 │ 2,5 │ 5
3 │ 3,5 │ 6,5
2 │ 5 │ 10
1 │ 10 │ 20
Рис. 5. Визирование на свое
для каждого пункта нижнее сечение
Разность высот наблюдаемых поясов определяется по результатам измерений зенитных расстояний (см.
разд. 6).
5.16. Перед наблюдениями промышленных дымовых труб необходимо выявить искривления их стволов, вызванные прогарами или нарушениями технологии их прогрева и просушки. Для этого подъемными винтами теодолита устанавливают вертикальную нить параллельно одной из (видимых с данного пункта) образующих ствола трубы и, подведя ее микрометренным винтом алидады к образующей, проверяют прямолинейность последней на участке трубы, видимом в поле зрения. Вращая зрительную трубу теодолита вокруг ее оси так, чтобы вертикальная нить скользила вдоль проверяемой образующей, можно обнаружить изгиб. Аналогично проверяют противоположную образующую ствола трубы. Такие операции выполняют не менее чем на двух пунктах.
В процессе угловых измерений пояса изгибов ствола трубы наблюдают наряду с верхним и нижним сечениями.
5.17. При измерении горизонтальных углов визирование зрительной трубы на цели должно выполняться с соблюдением следующих правил:
по окончании грубого (приближенного) наведения биссектор нитей (теодолитов ОТ-02, ТБ-1) должен оказаться немного левее изображения цели (марки или крайней точки наблюдаемого сечения), т.е. так, что окончательное, точное наведение биссектора на изображение цели будет производиться только ввинчиванием микрометренного винта алидады. Для соблюдения этого правила при вращении алидады теодолитов ОТ-02 и ТБ-1 по ходу часовой стрелки биссектор необходимо немного перевести через изображение цели (по ходу движения алидады), а при вращении против хода часовой стрелки - немного не довести до него;
для окончательного наведения зрительной трубы на цель пользоваться только средней частью (средними оборотами) микрометренных винтов алидады и трубы;
окончательное наведение на разные цели производить одной и той же частью биссектора, ближайшей к перекрестью, так, чтобы средняя горизонтальная нить всегда устанавливалась примерно на одном и том же расстоянии от изображений наблюдаемых целей.
5.18. Для ослабления влияния погрешностей делений лимба на результаты измерения горизонтальных углов между приемами лимб следует переставлять на угол

, (5.1)
где m - число приемов;
i - цена наименьшего деления лимба.
5.19. Для ослабления влияния ошибок отсчета следует применять электрическое освещение кругов и делать двукратное совмещение штрихов.
5.20. Один круговой прием измерения углов высокоточным или точным оптическим теодолитом состоит из следующих операций:
при неподвижном лимбе вращением алидады по часовой стрелке навести биссектор трубы при круге лево по начальному направлению и, совместив барабаном микрометра штрихи верхней и нижней шкал в большом окне, произвести отсчет градусов, минут и секунд. Затем, сместив поворотом барабана штрихи относительно друг друга, снова совместить их тем же барабаном и отсчитать только секунды (разность отсчетов по шкале микрометра при двукратном совмещении штрихов для теодолитов типа ОТ-02 не должна быть более 1", а для теодолитов типа ТБ-1 - 2");
продолжая вращать алидаду по часовой стрелке, последовательно наводить биссектор при том же круге по остальным направлениям, производя после каждого наведения двукратное совмещение штрихов барабаном микрометра и двукратное отсчитывание, как и после визирования по начальному направлению;
вращением алидады по часовой стрелке повторно навести трубу по начальному направлению и двукратным совмещением штрихов сделать отсчеты по лимбу, т.е. произвести "замыкание горизонта (круга)". Эти действия составляют первый полуприем;
перевести трубу через зенит;
при том же положении лимба вращением алидады против часовой стрелки навести трубу при круге право по начальному направлению и дважды сделать отсчет по микроскопу;
вращая алидаду в том же направлении, последовательно наводить трубу по последнему, предпоследнему и т.д., а затем по второму направлению, дважды производя отсчет после каждого наведения;
вращением алидады против часовой стрелки повторно навести по начальному направлению и дважды взять отсчет по микроскопу, т.е. вторично "замкнуть горизонт", но уже при круге право. Операции, выполненные после перевода через зенит, при круге право составляют второй полуприем.
Примечание. Если сооружение не оборудовано визирными марками, каждое направление на крайнюю видимую с данного пункта точку выбранного сечения (касательное направление) следует рассматривать как отдельное подлежащее измерению направление.
5.21. Для контроля неподвижности лимба и результатов измерений необходимо вычислить разность средних отсчетов (из двух совмещений) по начальному направлению, сделанных в конце и начале каждого полуприема, т.е. "незамыкание горизонта (круга)". Эта разность не должна превышать 6" для теодолитов типа ОТ-02 и 8" для теодолитов типа ТБ-1. Таким же допускам должны удовлетворять разности значений одних и тех же направлений в разных приемах, приведенных к общему начальному направлению.
Запись результатов измерений рекомендуется вести в таких же журналах, как и журналы измерения горизонтальных направлений круговыми приемами триангуляции 4-го класса.
5.22. В связи со значительными углами наклона направлений на наблюдаемые пояса сооружения (20 - 30°) в процессе измерений необходимо определять наклон оси вращения инструмента, а затем в измеренное значение каждого из указанных направлений вводить поправку за невертикальность оси вращения инструмента. Эта поправка вычисляется по формуле
| | ИС МЕГАНОРМ: примечание. Формула дана в соответствии с официальным текстом документа. | |

, (5.2)
где i - наклон оси вращения зрительной трубы, обусловленный наклоном оси вращения инструмента, в полуделениях уровня;

- цена деления уровня;
z - зенитное расстояние направления.
Величина i при наблюдениях теодолитами ОТ-02 (Т-1) и ТБ-1 (Т-2) определяется с помощью уровня при алидаде. Если шкала ампулы уровня не оцифрована (Т-2), отсчеты по концам пузырька берут в обе стороны от нуль-пункта (середины ампулы), начиная от ближайших к нуль-пункту штрихов, причем отсчету по левому концу пузырька приписывается знак плюс, отсчету по правому концу - знак минус. Левый и правый концы пузырька определяются относительно направления инструмент - визирная цель. Отсчеты уровня производят в обоих полуприемах. Наклон i вычисляют по формуле

, (5.3)
где

,

- отсчеты по левому и правому концам пузырька в первом полуприеме;

,

- то же, во втором.
Значение нуль-пункта для контроля его постоянства получают по формуле

. (5.4)
При пользовании уровнем, на котором имеется подпись шкалы, возрастающая от одного конца ампулы к другому (в ОТ-02, Т-1, ТБ-1), наклон i вычисляют по формуле

, (5.5)
если нуль шкалы слева от направления инструмент - визирная цель или

, (5.5а)
если нуль шкалы справа от того же направления.
Здесь M - место нуль-пункта в полуделениях уровня, определяемое формулой

. (5.6)
5.23. Значения направлений на центры наблюдавшихся поясов в каждом приеме получают по формулам:

(5.7)
где

,

,

,

- значения направлений (приведенных к общему начальному направлению и исправленных за наклон оси вращения инструмента) по касательным к левому и правому краям наблюдаемых поясов b и c.
5.24. Для измерения малого горизонтального угла между направлениями на центры верхнего и нижнего наблюдаемых поясов c и b, выполняемого при определении крена сооружения способом малых углов, можно использовать способ, предложенный Е.Н. Пешковым и применяемый им на Магнитогорском металлургическом комбинате. Способ требует применения повторительного теодолита и состоит в следующем:
установив алидаду на отсчет, близкий к 0°, вращением лимба (алидада скреплена с ним) наводят биссектор зрительной трубы на левый край (видимый с данного пункта) нижнего пояса b и делают отсчет по лимбу

;
открепив алидаду, вращением ее по ходу часовой стрелки наводят биссектор на левый край верхнего пояса c и делают контрольный отсчет до минут;
оставляя алидаду скрепленной с лимбом, отпускают зажимной винт лимба и вращением его вместе с алидадой по ходу часовой стрелки наводят биссектор на правый край нижнего пояса (контрольный отсчет остается);
оставляя лимб закрепленным в предыдущем положении, открепляют алидаду и вращением ее влево наводят биссектор на правый край верхнего пояса c и берут отсчет

.
Второй полуприем, выполняемый после перевода зрительной трубы через зенит, состоит из таких же операций.
Значение искомого угла

, измеренного одним полуприемом, получают как полуразность отсчетов, т.е.

. (5.8)
Положительная разность отсчетов означает наклон сооружения вправо, отрицательная - влево.
5.25. Измерение зенитных расстояний следует производить в периоды достаточно четких изображений визирных целей, избегая периодов, близких (в пределах 2 ч) к восходу и заходу солнца.
Зенитное расстояние каждого направления (на сооружение) измеряется тремя приемами по средней горизонтальной нити. При этом наведение средней нити необходимо делать на крайние точки выбранных сечений или на центры визирных марок.
Вычисления значений места зенита и зенитных расстояний при использовании теодолита Т-1 или ОТ-02 выполняются по формулам:

(5.9)
теодолита Т-2 или ТБ-1 - по формулам

(5.10)
где Л и П - средние (из двух совмещений барабаном микрометра) отсчеты по вертикальному кругу при круге лево и круге право;
МЗ - место зенита;
z - зенитное расстояние.
Колебания значений зенитного расстояния какого-либо направления и места зенита, полученных в разных приемах, не должны быть более 15". Перед и после измерения зенитных расстояний необходимо тщательно измерить металлической рулеткой высоту оси вращения трубы инструмента над центром пункта наблюдения.
6. СПОСОБЫ ОПРЕДЕЛЕНИЯ КРЕНОВ
ИНЖЕНЕРНЫХ СООРУЖЕНИЙ БАШЕННОГО ТИПА
Способ координат
Этот способ заключается в определении в каждом цикле наблюдений прямой угловой засечкой одновременно с трех-четырех пунктов наблюдения координат центра верхнего, а в начальном цикле и координат центра нижнего сечений сооружения в принятой системе координат.
Для этого в начальном (первом) цикле на каждом из трех-четырех пунктов наблюдения, являющихся пунктами геодезической основы - опорной геодезической сети, созданной методом триангуляции или полигонометрии (см.
разд. 2), измеряются способом круговых приемов (см.
разд. 5) горизонтальные углы между направлениями на соседние пункты (или один пункт) наблюдения и на центры верхнего c и нижнего b, выбранных на возможно большем удалении друг от друга по высоте, но хорошо видимых со всех пунктов наблюдения сечений
(рис. 6). За направления на центры указанных сечений принимаются средние из значений направлений на центры соответственно верхних и нижних, близких по высоте непосредственно наблюдавшихся сечений (
п. 5.14 для сооружений, имеющих круглое поперечное сечение). Если же по условиям видимости (из-за плотной застройки, например на территории промышленных предприятий) в процессе измерения горизонтальных углов приходилось визировать на свой наиболее низкий для каждого пункта наблюдения нижний пояс при условии, что разность высот этих поясов не превышает величин, указанных в
табл. 3, то за направление на центр нижнего среднего пояса принимается направление на центр своего наиболее низкого непосредственно наблюдавшегося пояса.

Кроме того, в первом цикле наблюдений измеряются зенитные расстояния направлений на центры верхних и нижних сечений: с одного из пунктов наблюдений, если существует видимость на эти сечения одновременно со всех пунктов наблюдения, и со всех пунктов наблюдения, если с каждого пункта наблюдается свой наиболее низкий пояс.
Таким образом, по результатам измерений первого цикла можно определить координаты центров среднего верхнего (из двух-трех верхних, непосредственно наблюдавшихся) и среднего нижнего (из двух-трех нижних, непосредственно наблюдавшихся) сечений
(п. 6.5) в первом цикле.
В каждом из последующих циклов на тех же пунктах наблюдений измеряются горизонтальные углы между направлениями на соседние пункты (или один пункт) наблюдения и на центр того же (что и в первом цикле) верхнего (среднего) пояса, что дает возможность определить координаты центра верхнего пояса в каждом цикле.
Для промышленных дымовых труб в каждом цикле наблюдений необходимо определять еще и координаты центров поясов изгибов ствола (если имеются искривления), что требует измерения направления и на центр пояса изгиба.
По координатам центра верхнего среднего пояса в каждом цикле, а в начальном цикле и центра нижнего среднего сечения можно найти величину и направление абсолютного крена сооружения в каждом цикле (
пп. 6.6 -
6.8,
6.13) и его приращения между циклами наблюдений.
В случае наблюдений на визирные марки по найденным прямой угловой засечкой координатам этих марок можно аналогичным образом получить величину и направление абсолютного крена в каждом цикле при условии, что наблюдаемое сооружение имеет постоянное поперечное сечение, а марки на верхнем и нижнем сечениях установлены согласно указаниям
п. 2.22. Если же сооружение имеет переменное, обычно уменьшающееся кверху, квадратное или прямоугольное сечение, то по результатам наблюдений на визирные марки способом координат определяют приращения крена между циклами наблюдений. В принципе в этом случае можно было бы предварительно привести (редуцировать) измеренные на марки направления к центрам сечений, на которых они установлены, путем введения поправки за редукцию, совершенно аналогичной одноименной поправке в триангуляции. Однако для этого потребовалось бы определить с точностью до 1 мм расстояние от оси марки до центра своего сечения (линейный элемент редукции), угловой элемент редукции (с вершиной при визирной марке) и расстояние от центра сечения до пункта наблюдения, с которого измерено направление, с точностью 1/5000 - 1/10000 (в отличие от триангуляции), что весьма затруднительно. Гораздо проще ввести в координаты визирной марки нижнего пояса, определенные в первом цикле, поправку, получаемую по указаниям
п. 6.14, и по исправленным координатам этой марки определить абсолютный крен сооружения в первом и последующих циклах.
Способ координат применяется для высокоточных систематических наблюдений за кренами сооружений большой высоты и особенно эффективно для определения кренов совокупности высоких сооружений, например большой группы труб на промышленных предприятиях.
Предварительные вычисления
Эти вычисления выполняют для проверки качества результатов измерений на пунктах наблюдений и подготовки полевых материалов к вычислению крена сооружений.
6.1. Прежде всего тщательно проверяют во вторую руку журналы измерения горизонтальных углов и зенитных расстояний. При обнаружении недопустимых расхождений (см.
разд. 5) приемы, не удовлетворяющие допускам, повторяют.
6.2. Выводят средние из m приемов значения горизонтальных направлений на каждом пункте наблюдения, оценивают точность измерения этих направлений и составляют сводку средних значений измеренных направлений по образцу сводки результатов наблюдений горизонтальных направлений на пункте триангуляции (способом круговых приемов).
Точность измерения горизонтальных направлений на пункте наблюдения характеризуется средней квадратической ошибкой измерения каждого направления одним приемом, вычисляемой по формуле Петерса:

, (6.1)
и средней квадратической ошибкой среднего значения каждого направления, определяемой формулой

, (6.2)
где m - число приемов;
n - число наблюдавшихся с данного пункта направлений;

- сумма модулей уклонений измеренных направлений (в каждом приеме) от их средних значений.
6.3. Вычисляют окончательные значения направлений с пункта наблюдения на центр верхнего (среднего) и нижнего (среднего) поясов по формулам:

(6.3)
если наблюдения производились на два верхних (1c, 2c) и два нижних (1b, 2b) пояса, видимых одновременно со всех пунктов наблюдения.
Здесь

,

,

,

- средние из непосредственно измеренных направлений на левый и правый края соответственно двух верхних 1c и 2c и двух нижних 1b и 2b сечений, вычисленные по
формуле (5.7), т.е., например,

,
где

и

- средние из m приемов значения направлений соответственно на левый и правый края второго верхнего сечения.
Если же наведение осуществлялось на левый и правый края своего для каждого пункта самого низкого пояса, то направление на центр нижнего (среднего) пояса определяется по
формуле (5.7), в которую нужно подставить средние из m приемов значения непосредственно измеренных направлений на левый и правый края своего для данного пункта наиболее низкого пояса.
В случае наблюдений на визирные марки предварительная обработка результатов измерений на каждом пункте состоит в выводе средних из m приемов значений горизонтальных направлений на марки верхнего и нижнего сечений.
6.4. Выводят средние из трех приемов значения зенитных расстояний направлений на центры верхних и нижних сечений и составляют сводку этих значений по образцу сводки результатов измерений зенитных расстояний на пункте триангуляции.
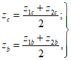
Затем вычисляют зенитные расстояния направлений на центры верхнего среднего и нижнего среднего поясов:

(6.4)
где

,

,

,

- средние значения измеренных зенитных расстояний направлений на 1-й и 2-й соответственно верхние и нижние пояса.
Вычисление величины крена сооружения и его направления
6.5. В первом цикле по результатам измерений горизонтальных направлений на центры верхних и нижних поясов
(п. 6.3) и по известным координатам (из каталога координат опорных пунктов) пунктов наблюдения вычисляют по формулам Юнга координаты центра c верхнего среднего пояса:

(6.5)

(6.6)
и по аналогичным формулам координаты

,

нижнего среднего пояса.
В этих формулах:

,

,

,

- координаты пунктов наблюдения I и II;

,

,

,

- горизонтальные углы при пунктах I и II между направлением на пункт II и на пункт I соответственно (см.
рис. 6) и направлением на центр верхнего среднего или нижнего среднего сечения.
Таким образом, по
формулам (6.5) и
(6.6) находят координаты центра верхнего (или нижнего) пояса, определенного с пунктов I и II прямой угловой однократной засечкой, которую можно назвать 1-й комбинацией однократной засечки. Полученные по этим формулам значения координат усредняют. Вычисления координат удобно вести в ведомости
(Прил. 1).
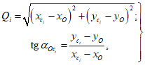
6.6. По средним значениям координат из 1-й комбинации по формулам обратной задачи находят дирекционный угол направления

и величину частного крена

сооружения в первом цикле (отрезка между проекциями на координатную, горизонтальную плоскость центров верхнего и нижнего поясов в первом цикле):

(6.7)
где

,

,

- координаты верхнего и нижнего поясов в первом цикле.
6.7. Линейную величину абсолютного (полного) крена в первом цикле из 1-й комбинации
(рис. 7) 
вычисляют по формуле

, (6.8)
где H - высота сооружения от подошвы фундамента, известная из паспорта;

- превышение центра c верхнего пояса над центром b нижнего пояса, определяемое по формуле

. (6.9)
Рис. 7. Определение величины и направления
крена способом координат
Здесь

,

- горизонтальные расстояния от пункта наблюдения I, на котором измерялись зенитные расстояния

и

, направлений на верхний и нижний пояса до центров этих поясов. Различием этих расстояний, вызванным наклоном сооружения, можно пренебречь. Значения же этих расстояний нетрудно найти из решения обратной задачи, например

. (6.10)
Если по условиям видимости с каждого пункта измерялось зенитное расстояние направления на свой наиболее низкий пояс, то сначала по
формуле (6.9) вычисляют превышения центра верхнего пояса над центром каждого нижнего пояса (при наблюдениях с трех пунктов таких превышений будет три), а затем находят среднее из них, определив таким образом превышение центра верхнего пояса над средним нижним. Это среднее превышение следует использовать для нахождения абсолютного крена по
формуле (6.8).
6.8. Значение абсолютного крена

определяют из 2-й комбинации однократной засечки, образованной направлениями, исходящими из пунктов II и III (см.
рис. 6), по формулам, полностью аналогичным
формулам (6.5) -
(6.8).
В качестве окончательного значения абсолютного крена в первом цикле принимается среднее весовое из двух значений крена, найденных по двум комбинациям:

, (6.11)
где

и

- веса значений абсолютного крена из 1-й и 2-й комбинации, которые можно получить по формулам:

, (6.12)

. (6.13)
В последних формулах:

(6.14)
углы засечки в 1-й и 2-й комбинациях;

- горизонтальные расстояния от пунктов наблюдения до центра верхнего пояса.
Вычисление величины и направления крена рекомендуется вести в специальной ведомости
(Прил. 1).
6.9. Оценку точности определения абсолютного крена можно выполнить по формуле

, (6.15)
в которой

(6.16)
где

- средняя квадратическая ошибка измерения угла.
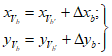
6.10. Для определения величины абсолютного крена сооружения в последующих циклах необходимо в первом цикле найти координаты центра O подошвы фундамента, что нетрудно выполнить, пользуясь формулами прямой задачи:

(6.17)
где

- дирекционный угол направления, противоположного направлению полного крена в первом цикле, равный

.
В последующих циклах координаты центра подошвы фундамента принимаются постоянными.
Последние можно определить и путем прокладки от двух пунктов наблюдения к центру цокольного сечения сооружения полигонометрических ходов, имеющих по возможности не более двух сторон. Определив таким образом полигонометрической засечкой координаты центра цокольного сечения, необходимо затем, зная направление и величину частного крена, а также высоту цокольного сечения над подошвой фундамента, вычислить координаты центра подошвы. При незначительной высоте цокольного сечения над подошвой фундамента можно принять найденные координаты центра цокольного сечения за координаты центра O.
6.11. Определение координат

,

центра пояса изгиба промышленной дымовой трубы выполняют по формулам, аналогичным
формулам (6.5),
(6.6), а величину смещения его относительно центра подошвы фундамента O и направление смещения - по формулам обратной задачи.
6.12. Более строгое вычисление координат центров сечений сооружения, определяемых многократной засечкой, осуществляется по методу наименьших квадратов. Для засечки, изображенной на
рис. 6, необходимо составить по четыре уравнения погрешностей на каждую определяемую точку (центр сечения) и по два нормальных уравнения, неизвестными в которых являются поправки к приближенным значениям координат центров верхнего и нижнего сечений (а также пояса изгиба для промышленных дымовых труб).
6.13. В каждом из последующих циклов с тех же пунктов из двух комбинаций определяют координаты

,

центра верхнего сечения сооружения, пользуясь
формулами (6.5),
(6.6), и по аналогичным формулам - координаты центров поясов изгиба. Величину абсолютного крена

и его направление

в i-м цикле получают непосредственно из решения обратной задачи:

(6.18)
где

,

- координаты центра подошвы фундамента, определенные в первом цикле.
Смещение центра пояса изгиба

(относительно центра подошвы) и его направление определяют так же.
Приращение крена между двумя циклами наблюдений можно получить, минуя определение координат центра подошвы фундамента, тоже из решения обратной задачи по известным координатам центра верхнего сечения в указанных циклах. Поэтому если требуется определять только приращения крена, то в наблюдениях нижнего пояса нет необходимости.
6.14. При наблюдениях способом координат высокого сооружения с переменным квадратным или прямоугольным сечением, осуществляемых с помощью визирных марок, непосредственно по координатам марок получается искаженное вследствие разности расстояний от осей марок до центров своих сечений (т.е. отличия в размерах верхнего и нижнего сечений) значение абсолютного крена и его направления. Для получения не искаженного этим влиянием значения абсолютного крена в координаты нижней марки в первом цикле следует ввести поправки, вычисляемые по формуле прямой задачи
(рис. 8):

(6.19)
где

- отрезок, представляющий собой разность расстояний от марок до центров своих сечений, который можно определить по паспортным данным;

- дирекционный угол этого отрезка, равный дирекционному углу одной из сторон цокольного сечения, который можно получить путем передачи с одного из базисов засечки, например так, как показано на рис. 8.
Рис. 8. Определение поправки за различие
размеров верхнего и нижнего сечений
Исправленные координаты нижней визирной марки

(6.20)
По ним и координатам

,

верхней марки можно теперь определить частный и абсолютный крен в первом цикле, пользуясь
формулами (6.7) и
(6.8).
6.15. Величина и направление крена в каждом цикле наблюдений, полученные способом координат, заносятся в карточку кренов
(Прил. 2), по данным которой затем составляется график изменения крена
(Прил. 3).
Способ направлений (горизонтальных углов)
Способ состоит в определении составляющих абсолютного крена и его величины в первом цикле и приращений крена в последующих циклах по результатам измерения горизонтальных направлений на центры верхнего среднего и нижнего среднего сечений в первом цикле и на центр только верхнего среднего сечения в последующих циклах (направления образуют прямую засечку).
За начальное направление при измерении этих направлений принимается направление на один из двух (для каждого пункта наблюдения) ориентирных пунктов (см.
разд. 2), если наблюдения осуществляются с пунктов основы, геодезически не связанных между собой. Если же пункты наблюдения являются частью опорной геодезической сети, созданной методами триангуляции и полигонометрии, то в качестве начального направления следует принять направление на соседний пункт наблюдения или другой пункт опорной сети.
В первом цикле на каждом из трех-четырех пунктов наблюдения одновременно измеряют способом круговых приемов горизонтальные углы между направлением, принятым за начальное, и направлениями на центры верхнего и нижнего (по возможности наиболее низкого) поясов
(рис. 9). При этом непосредственное визирование выполняется так, как указано в
п. 5.14 (для сооружений с круглым сечением). В наблюдения следует включать направления на оба ориентирных пункта (когда пункты наблюдения геодезически не связаны). Постоянство значения угла между направлениями на ориентирные пункты служит контролем измерения горизонтальных углов.

- ориентирные пункты
Рис. 9. Способ направлений
В условиях плотной застройки, ограничивающих видимость на нижний пояс сооружения, можно выполнять визирование на свой наиболее низкий для данного пункта наблюдения пояс, если превышения его относительно других нижних поясов, наблюдаемых с остальных пунктов, не превышают значений, указанных в
табл. 3. В этом же цикле для определения превышения верхнего среднего пояса над нижним средним необходимо измерить зенитные расстояния направлений на центры верхних и нижних сечений, которые наблюдались непосредственно при измерении горизонтальных углов. Эти измерения достаточно выполнить на одном пункте, если одни и те же пояса наблюдаются со всех пунктов. При наблюдениях на свой наиболее низкий пояс измерения зенитных расстояний следует выполнить на всех пунктах.
Аналогичные измерения выполняют и при наблюдениях этим же способом сооружений квадратного или прямоугольного сечения, требующих установки визирных марок, но результаты их позволяют определить только приращения крена. Таким образом, способ направлений предполагает выполнение на каждом пункте наблюдения такой же совокупности измерений, что и способ координат. Поэтому предварительная обработка результатов измерений производится точно так же (
пп. 6.1 -
6.4). Различие же способов заключается в процедуре определения крена.
Способ направлений удобен для систематических высокоточных наблюдений за приращениями крена.
Определение величины и направления
крена по способу направлений
6.16. По результатам наблюдений первого цикла сначала вычисляют значения частных поперечных кренов

и

, каждое из которых представляет собой смещение (в горизонтальной плоскости) центра верхнего сечения относительно центра нижнего в направлении, перпендикулярном соответственно направлению I - b и II - b (рис. 10):

;

. (6.21)
Рис. 10. Определение направлений
крена в способе направлений
В этих формулах:

и

- горизонтальные углы между направлениями на центры верхнего и нижнего средних сечений в пунктах I и II;

и

- горизонтальные расстояния от пунктов I и II до центра нижнего пояса, которые достаточно определять с точностью 1/2000 и поэтому можно рассматривать как расстояния до оси сооружения.
Последние можно измерить непосредственно, но это громоздко и не всегда возможно. Поэтому эти расстояния рациональнее получить решением треугольника засечки по известной длине базиса I - II. Если видимости между пунктами наблюдения нет, то в качестве второго пункта базиса засечки можно принять один из ориентирных пунктов или наметить новую точку и измерить на этом пункте (точке) угол между направлением базиса и направлением на центр нижнего пояса.
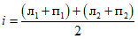
Затем определяют величины полных поперечных кренов (составляющих крена) по формулам:

;

, (6.22)
где H - высота сооружения от подошвы фундамента;

- превышение верхнего сечения над нижним, определяемое по зенитным расстояниям
(п. 6.7).
6.17. По составляющим крена вычисляют величину полного (абсолютного) крена в первом цикле из первой комбинации засечки (с первой пары пунктов наблюдения):

, (6.23)
где угол засечки

. (6.24)
Дирекционные углы направлений засечки

и

нетрудно определить, если известно направление базиса засечки. В противном случае они могут быть получены путем передачи со сторон ближайшей геодезической сети.
При угле засечки


. (6.25)
Направление полного крена, одинаковое с направлением частного крена q (см.
рис. 10), достаточно определить из одной комбинации засечки, пользуясь формулами:

;

, (6.26)
в которых

и

- углы между направлением частного крена в первом цикле и направлениями его составляющих

и

соответственно.
Значения их можно найти из следующих выражений:

(6.27)
Примечание. Индекс 1 при величинах частных кренов, означающий первый цикл наблюдений, здесь для краткости записи опущен.
6.18. Аналогично определяется значение полного крена

из 2-й комбинации засечки по данным наблюдений со второй пары станций (III и IV на
рис. 9).
Из двух значений

и

находят среднее, принимаемое за окончательное значение абсолютного крена в первом цикле:

. (6.28)
6.19. По результатам наблюдений в каждом из последующих циклов находят приращения полных поперечных кренов (составляющие приращения крена)

;

; (6.29)

(6.30)
или при


. (6.30а)
Здесь

и

- изменения горизонтальных углов между начальным направлением и направлением на центр верхнего среднего сечения за период между первым и i-м циклами соответственно в пунктах I и II. Направление приращения крена можно определить по
формулам (6.27), заменив в них q и

на

и

.
6.20. По аналогичным формулам, используя результаты наблюдений со второй пары станций (III и IV на
рис. 9), в i-м цикле вычисляют

,

и

(из 2-й комбинации), после чего определяют приращение полного крена в i-м цикле

как среднее из его значений в двух комбинациях. Зная полный крен сооружения в первом цикле и его приращение между первым и i-м циклами, можно вычислить полный крен для i-го цикла.
Приращения крена по результатам наблюдений на визирные марки определяются по совершенно аналогичной схеме.
6.21. Точность определения составляющих приращения крена из 1-й комбинации в каждом цикле оценивают по формулам:

;

, (6.31)
где

- средняя квадратическая ошибка измерения горизонтальных углов.
По таким же формулам определяют средние квадратические ошибки приращений полных поперечных кренов из 2-й комбинации. Точность определения приращения полного крена из каждой комбинации можно оценить по формулам:

;

. (6.32)
Затем определяют среднюю квадратическую ошибку среднего значения приращения полного крена в i-м цикле:

. (6.33)
Оценка точности определения составляющих и величины полного крена в первом цикле выполняется по аналогичным формулам.
Результаты определения крена способом направлений оформляются так же, как и при способе координат (см.
п. 6.15).
Способ малых углов
В основе способа лежат измерения на каждом из трех-четырех пунктов наблюдения малого горизонтального угла между направлениями на центр своего (для данного пункта) наиболее низкого пояса и центр верхнего пояса (рис. 11), а также зенитных расстояний этих направлений. Для измерения малого угла может быть применен способ, указанный в
п. 5.24.
Рис. 11. Способ малых углов
Пункты наблюдения могут быть геодезически не связаны друг с другом. Но для определения горизонтальных расстояний до оси сооружения прямой засечкой видимость между соседними пунктами целесообразно обеспечить
(п. 2.1). В отличие от предыдущего способа за начальное направление при измерении малого угла принимают направление на центр своего нижнего сечения, так что установки ориентирных пунктов в данном случае не требуется.
На сооружениях с постоянным квадратным или прямоугольным сечением для наблюдений этим способом должны быть установлены визирные марки по одному из ребер. Сооружения с переменным некруглым сечением наблюдать способом малых углов нецелесообразно. Этот способ рекомендуется применять для разовых определений полных кренов после первого года эксплуатации сооружения, имеющего заметный наклон.
6.22. По результатам измерений малого горизонтального угла между направлениями на центры верхнего и нижнего поясов и зенитных расстояний этих направлений вычисляют сначала величины частных и полных поперечных кренов, а затем и значения полного крена из двух комбинаций (с первой и второй пары станций) по
формулам (6.21) -
(6.25). Направление полного крена можно определить по
формуле (6.27). Однако, как правило, его определяют по магнитным азимутам указанных направлений, измеренным в процессе наблюдений, или графически на плане участка расположения сооружения (п. 6.23).
Оценку точности выполняют так же, как и при способе направлений.
6.23. Величину и направление полного крена по данным наблюдений способом малых углов можно определить и расчетно-графическим путем (в отличие от аналитического, изложенного в
п. 6.22) при наличии плана территории масштаба 1:500 - 1:1000. На план с показанным на нем сооружением наносят определенные линейной или угловой засечкой от ближайших предметов и контуров (также показанных на плане) пункты наблюдения. От них проводят направления на центр основания сооружения (или на нижнюю марку) O. От этой точки перпендикулярно направлениям I-O и II-O откладывают в масштабе 1:1 или 1:2 векторы полных поперечных кренов

и

соответственно полученных по
формулам (6.21) и
(6.22). Через концы отложенных векторов проводят линии, параллельные направлениям I-O и II-O (рис. 12). Точка пересечения этих линий c определяет положение конца вектора полного крена Q, т.е. проекцию центра верхнего пояса (марки) на горизонтальную плоскость. В случае наблюдений с трех-четырех пунктов величину и направление полного крена находят аналогичным путем по правилу перпендикуляров к направлениям "пункт наблюдения - центр основания" (рис. 12, б).

Рис. 12. Графическое определение величины
и направления крена в способе малых углов
а - с двух направлений; б - с трех направлений
Расчетно-графический способ является приближенным и дает меньшую точность по сравнению с аналитическим.
Способ вертикального проектирования
Этот способ применяется для наблюдений за наклоном сооружений небольшой высоты при условии обеспечения видимости и доступа к нижней их части. Способ удобен для выверки вертикальности оси сооружения и в процессе строительства.
6.24. С каждого из трех пунктов наблюдения проектируют коллимационной плоскостью теодолита при двух кругах на рейку, установленную горизонтально по касательной к выбранному цокольному сечению, перпендикулярно направлению "пункт наблюдения - центр цокольного сечения", центры верхнего c и нижнего, цокольного b сечений (рис. 13).
Рис. 13. Способ вертикального проектирования
а - для сооружения с круглым сечением; б - для сооружения
с прямоугольный или квадратным сечением
Для определения точки касания рейки к цокольному сечению визируют при одном круге на левый и правый края цокольного сечения, производя отсчеты по горизонтальному кругу. Установив на последнем среднее из обоих отсчетов (указывающее направление на центр цокольного сечения при этом круге), по биссектору на цокольном сечении фиксируют точку. То же самое делают и при другом круге. Средняя между двумя точками принимается за искомую. Рейка (длиной около 1,5 м) прикладывается к найденной точке своей серединой.
Чтобы установить ее в требуемое положение, можно воспользоваться угольником с катетами порядка 0,5 и 1,5 м. Коротким катетом угольник приставляется к передней плоскости рейки, а вершиной прямого угла - к ее середине; затем длинный катет поворотом угольника вместе с рейкой устанавливается в створе направления "пункт наблюдения - центр цокольного сечения" (с помощью теодолита).
Закрепив рейку в указанном положении, проектируют на ее переднюю плоскость (так же, как и при нахождении точки касания рейки) центр цокольного сечения и отмечают проекцию карандашной меткой.
Далее проектируют центр верхнего сечения: устанавливают на горизонтальном круге отсчет, равный среднему из значений направлений на оба края верхнего пояса, измеренных при двух кругах [это среднее предварительно необходимо исправить поправкой за наклон оси вращения инструмента
(п. 5.22), для чего должно быть измерено зенитное расстояние соответствующего направления], и, опустив трубу, делают на рейке по биссектору метку.
Проектирование центров обоих сечений выполняют с каждого пункта наблюдения дважды. За окончательную проекцию каждого центра принимают среднюю из двух соответствующих меток.
Для точных определений крена необходимо использовать точные теодолиты с ценой деления уровня при алидаде горизонтального круга не менее 15", обращая особое внимание на тщательность нивелирования инструмента. Желательно применять теодолиты, снабженные накладными уровнями.
6.25. Полученный на рейке отрезок между проекциями центров цокольного и верхнего сечений представляет собой частный поперечный крен

в центральной проекции (
рис. 13, а). Искомую величину

в ортогональной проекции можно найти по формуле

, (6.34)
где R - радиус наблюдаемого цокольного сечения, известный из паспорта или определяемый путем измерений;

- горизонтальное расстояние от пункта наблюдения I до точки касания рейки.
Полный поперечный крен

сооружения определяется по
формуле (6.22). Требуемое для этого превышение

находят по результатам измерений зенитных расстояний направлений на центры наблюдаемых поясов, пользуясь
формулой (6.9).
Аналогичным образом получают

и

по результатам проектирования центров тех же поясов с пунктов II и III.
Далее по
формуле (6.23) или
(6.25) вычисляют величину полного крена из 1-й и 2-й комбинаций засечки и принимают за окончательное его значение среднее из двух значений. Оценку точности определения крена выполняют по
формулам (6.31) и
(6.32). Направление крена определяют по магнитным азимутам направлений с пунктов наблюдения на центр цокольного сечения.
По результатам проектирования величину и направление крена можно определить и расчетно-графическим путем по аналогии со способом малых углов.
6.26. Наблюдения сооружений с постоянным квадратным или прямоугольным сечением можно осуществлять с двух пунктов наблюдения (I и II), находящихся в створах взаимно перпендикулярных соседних граней, образующих одно из ребер сооружения (
рис. 13, б). В цокольной части закрепляют одну под другой в горизонтальном положении две рейки, приставленные вплотную к цоколю так, чтобы каждая из них одним концом выступала за угол примерно на 0,5 м (см.
рис. 13, б). Непосредственно над верхней рейкой на указанном ребре намечают точку; в верхней части того же ребра выбирают заметную точку. При двух положениях вертикального круга проектируют на рейки нижнюю, а затем верхнюю точки, получая в результате на рейках величины частных поперечных кренов в центральной проекций

и

. Переход к искомым величинам

и

в ортогональной проекции, как видно из рисунка, можно выполнить но формулам:

(6.35)
Дальнейшая обработка результатов наблюдений производится по
формулам (6.22),
(6.25),
(6.31) и
(6.32). Направление полного крена можно определить по магнитным азимутам направлений засечки.
Для сооружений с переменным квадратным или прямоугольным сечением способ проектирования позволяет выявить только приращения крена между циклами наблюдений при условии обеспечения постоянства установки реек.
Способ зенитных расстояний
На продолжениях двух взаимно перпендикулярных диаметров выбранного цокольного сечения необходимо смонтировать четыре кронштейна с устройствами для принудительного центрирования с таким расчетом, чтобы оси вращения теодолитов, установленных на двух диаметрально противоположных кронштейнах, находились на одинаковом удалении от поверхности сооружения. Неравенство этих расстояний не должно превышать 5 мм. На верхнем сечении, в створах диаметрально противоположных кронштейнов или параллельно им, устанавливаются четыре визирные марки, причем на одинаковом расстоянии от краев сечения.
Для наблюдений этим способом сооружений с квадратным и прямоугольным сечением установку кронштейнов и марок целесообразно выполнять соответственно по диагоналям и посередине сторон цокольного и верхнего сечения.
С каждого кронштейна измеряют малое зенитное расстояние направления на свою марку (рис. 14). Для этого теодолит должен быть снабжен специальной насадкой на объектив или окуляр в виде прямоугольной преломляющей призмы.
Рис. 14. Способ зенитных расстояний
6.27. Для упрощения определения крена этим способом необходимо при установке диаметрально противоположных кронштейнов обеспечить равенство высот инструмента в пределах 1 см. В этом случае крен сооружения в угловой мере в створе диаметрально противоположных станций может быть определен по простым формулам:

;

. (6.36)
Здесь

и

- составляющие наклона сооружения в створах станций 1-2 и 3-4 соответственно;

,

,

,

- измеренные зенитные расстояния направлений со станций 1, 2, 3 и 4 на марки М1, М2, М3 и М4 соответственно.
В случае установки кронштейнов на разной высоте угловая величина крена определяется формулой

(6.37)
по результатам наблюдений с одной пары станций и аналогичной формулой с другой пары станций. В последнем выражении:
H - высота сооружения от подошвы фундамента;

и

- высота инструмента над уровнем подошвы фундамента соответственно на станциях 1 и 2, определяемая как сумма высот оси вращения трубы над соответствующей точкой поверхности земли и этой точки над подошвой фундамента.
6.28. Створный крен в линейной мере

;

. (6.38)
Полный крен сооружения Q может быть найден по формуле

. (6.39)
Для определения направления крена на одно из направлений, определяемое двумя диаметрально противоположными визирными марками, следует передать дирекционный угол с ближайшей стороны геодезической сети. При отсутствии таковой можно одну пару визирных марок и соответствующую пару кронштейнов ориентировать по магнитному меридиану.
6.29. Точность определения наклона сооружения в створе диаметрально противоположных станций можно оценить по формуле

, (6.40)
где

- средняя квадратическая ошибка измерения зенитного расстояния.
Оценку точности определения линейной величины составляющей и полного крена можно произвести по формулам:

; (6.41)

. (6.42)
6.30. Точность способа зависит от точности измерения зенитных расстояний и поэтому в значительной степени ограничивается влиянием вертикальной рефракции и колебаниями изображений наблюдаемых визирных целей, вызываемыми конвекционными токами воздуха в прилегающем к сооружению слое от солнечного нагрева его поверхности (а при наблюдениях промышленных дымовых труб - и от внутреннего нагрева).
В связи с этим способ зенитных расстояний может быть использован для систематических наблюдений невысокой точности сооружений небольшой высоты.
Возможность его практического применения ограничивается необходимостью специального оборудования сооружения кронштейнами и марками, а также необходимостью применения специальных насадок на инструмент.
Способ высокоточного нивелирования
Способ основан на высокоточном геометрическом или гидростатическом нивелировании осадочных марок.
Последние закладываются на концах двух взаимно перпендикулярных диаметров выбранного цокольного сечения (контрольного сечения) примерно на одном горизонте.
Примечание. На сооружениях с квадратным и прямоугольным сечением осадочные марки для определения крена рекомендуется закладывать соответственно по углам и посередине сторон цокольного сечения.
В каждом цикле наблюдений производят высокоточное нивелирование осадочных марок. Чтобы уменьшить влияние систематических ошибок на результаты измерений, геометрическое нивелирование каждый раз выполняют по одной и той же схеме хода, опирающегося не менее чем на три репера, заложенных вне осадочной зоны специально для измерения осадок.
Расстояние от нивелира до марок не должно превышать 30 м. Нивелирование выполняют высокоточным нивелиром типа Н1 и Н2 в комплекте с инварными штриховыми рейками по методике нивелирования II класса. Невязка хода в каждом цикле не должна превышать величины

, (6.43)
где n - число станций нивелирного хода.
6.31. По разностям осадок

и

(осадка точки сооружения представляет собой разность отметок этой точки в двух циклах наблюдений) диаметрально противоположных марок 1 и 3, 2 и 4
(рис. 15) между циклами наблюдений находят приращения частных кренов в створах каждого диаметра:

;

, (6.44)
где

- высота сооружения над контрольным сечением, определяемая тригонометрическим нивелированием;
d - диаметр этого сечения или непосредственно приращения полных поперечных кренов:

;

, (6.45)
где H - высота сооружения от подошвы фундамента.
Рис. 15. Способ высокоточного нивелирования
Приращение полного крена сооружения можно получить по формуле

. (6.46)
Направление крена определяется путем ориентирования одного из указанных диаметров при закладке осадочных марок по направлению "пункт опорной сети - центр контрольного сечения", а при отсутствии опорной сети - по магнитному меридиану.
6.32. Точность определения приращения крена способом нивелирования осадочных марок зависит от погрешности измерения превышения

на нивелирной станции, т.е.

. (6.47)
Как следует из этой формулы, для увеличения точности определения приращения крена необходимо использовать метод гидростатического нивелирования.
Способ не позволяет выявить ту часть крена, которая вызвана дополнительным моментом вследствие самого наклона сооружения, изгиба (например, от прогара промышленных дымовых труб) и других деформаций верхней части сооружения. Поэтому он может быть рекомендован как контрольно-вспомогательный, дополняющий основные способы.
Способ направления с одного пункта
Этим способом определяют смещения центра верхнего сечения, т.е. составляющие приращения крена, по осям условной системы координат, начало которой совпадает с центром нижнего цокольного сечения, а ось абсцисс совмещена с направлением "пункт наблюдения - центр цокольного сечения" (рис. 16).
Рис. 16. Способ направления с одного пункта
Пункт наблюдения закладывается на возможно меньшем удалении от сооружения, чтобы угол наклона направления на верхнюю точку сооружения был как можно больше (от этого зависит точность определения приращения крена). Вместе с тем место его установки должно обеспечивать стабильность его планового положения и удобство визирования на верхний пояс сооружения.
На цокольном и верхнем сечениях в створе направления с пункта наблюдения на центр каждого из них (это направление определяется как среднее из направлений на края соответствующего сечения) устанавливаются визирные марки.
Примечание. Для наблюдений этим способом сооружений с квадратным и прямоугольным сечением марки следует устанавливать посередине одной из сторон соответствующего сечения, а пункт наблюдения закладывать после установки марок в створе перпендикуляра к указанной стороне цокольного сечения в точке установки цокольной марки. Это требует выполнения ряда вспомогательных построений.
В каждом цикле на пункте наблюдения измеряются тремя приемами малый горизонтальный угол

между направлениями на цокольную (это направление принимается за начальное) и верхнюю марки и зенитное расстояние направления на верхнюю марку. Кроме того, необходимо в начальном цикле определить горизонтальное проложение между пунктом наблюдения и центром цокольного сечения, а также измерить зенитное расстояние направления на нижнюю марку.
6.33. По результатам измерений каждого цикла вычисляют координаты верхней марки в условной системе координат:
| | ИС МЕГАНОРМ: примечание. Формулы даны в соответствии с официальным текстом документа. | |

(6.48)
В этих формулах:

- горизонтальное проложение от пункта наблюдения до центра цокольного сечения;

- горизонтальное проложение расстояния от пункта наблюдения до верхней марки в k-м цикле, определяемое по формуле

, (6.49)
где

- превышение верхней марки над нижней, определяемое по
формуле (6.9);

- превышение нижней марки над пунктом наблюдения, определяемое геометрическим или тригонометрическим нивелированием;

- высота инструмента в k-м цикле;

- зенитное расстояние направления на верхнюю марку в k-м цикле;

- превышение верхней марки над осью вращения трубы инструмента в k-м цикле.
Если в
формулы (6.48) вместо

подставить значение расстояния

до центра верхнего сечения

, то по результатам измерений в первом цикле можно получить координаты центра верхнего сечения (в последующих циклах направление на верхнюю марку будет значительно отличаться от направления на центр верхнего сечения).
Эти координаты представляют собой составляющие частного крена по осям условной системы координат весьма приближенно из-за погрешностей в измерении горизонтальных расстояний до центров поясов и погрешностей в установке визирных марок. В случае наблюдений сооружений с круглым сечением без марок вычисленные по
формулам (6.48) в первом цикле значения составляющих в значительной степени окажутся искаженными влиянием неправильности фигуры поясов.
Поэтому наблюдениями с одного пункта целесообразно определять смещения центра верхнего сечения относительно центра цокольного сечения между циклами наблюдений.
Величины смещения верхней марки по осям координат между k-м и начальным циклами наблюдений могут быть найдены как разности координат верхней марки в указанных циклах:

(6.50)
Формулы (6.50) определяют и значения составляющих приращения частного крена, т.е.

. (6.50а)
Значение приращения частного крена между k-м и первым циклами можно найти по формуле

. (6.51)
Чтобы получить приращение полного крена

, следует воспользоваться
формулой (6.22).
Направление крена можно определить условным дирекционным углом, отсчитываемым по ходу часовой стрелки от положительного направления оси абсцисс (см.
рис. 16) и вычисляемым по формуле

. (6.52)
6.34. Оценку точности определения составляющих и самого приращения крена можно выполнить по формулам:

(6.53)

, (6.54)
где

- средняя квадратическая ошибка измерения зенитного расстояния;

- средняя квадратическая ошибка измерения малого горизонтального угла.
Согласно формулам (6.53), точность определения составляющей приращения крена по оси абсцисс находится в прямой зависимости от точности измерения зенитного расстояния направления на верхнюю марку и, следовательно, в существенной степени ограничена влиянием вертикальной рефракции. Из этих формул, кроме того, следует, что указанная точность тем выше, чем меньше измеряемое зенитное расстояние верхней марки. Поэтому пункт наблюдения необходимо стремиться расположить в плоскости, перпендикулярной направлению крена, на возможно меньшем расстоянии от сооружения, что далеко не всегда возможно.
К недостаткам способа следует отнести и необходимость определения высоты верхней марки относительно оси вращения трубы инструмента с высокой точностью.
В связи с указанными недостатками способ направления с одного пункта может быть использован лишь в качестве вспомогательного для приближенного определения приращений крена.
Стереофотограмметрический способ
Этот способ позволяет вести систематические наблюдения за креном и смещениями точек сооружения вдоль осей пространственной фотограмметрической системы координат, начало которой совпадает с левым концом базиса фотографирования, ось ординат - с направлением оптической оси камеры фототеодолита в этой точке, ось абсцисс - с проекцией базиса фотографирования на горизонтальную плоскость, проходящей через левый конец базиса, а ось аппликат - вертикальна.
6.35. Направление базиса должно быть примерно перпендикулярным направлению "средняя точка базиса - ось сооружения" (рис. 17). При этом для наблюдений сооружений с квадратным и прямоугольным сечением базис следует располагать примерно параллельно одной из граней (для сооружений с прямоугольным сечением параллельно более длинной грани). Расстояние от базиса до сооружения (отстояние) зависит от высоты сооружения и от требуемой точности определения приращений крена.
Рис. 17. Стереофотограмметрический способ
Необходимая длина базиса B может быть рассчитана по формуле

, (6.55)
где Y - отстояние сооружения от точки фотографирования (конца базиса);
f - фокусное расстояние камеры фототеодолита;

- средняя квадратическая ошибка измерения горизонтального параллакса p;

- требуемая средняя квадратическая ошибка определения составляющей приращения крена по оси ординат.
Концы базиса фотографирования необходимо закрепить бетонными монолитами со специальными центрами и устройствами для принудительного центрирования фототеодолита (см.
разд. 2). Длину базиса измеряют с точностью 1 мм. На исследуемом сооружении в верхнем и нижнем сечениях, а также на поясах изгиба устанавливаются специальные марки (в створе перпендикуляра к базису в средней точке последнего) в виде двух взаимно перпендикулярных полос на белом фоне. Такая марка изображается на негативе белым крестом. Ширина полосы

, (6.56)
где u - ширина полосы на негативе, которая должна быть в 2 - 3 раза больше толщины измерительной марки стереокомпаратора.
6.36. Необходимо также предусматривать определение контрольных точек для нахождения уклонений элементов внешнего ориентирования от заданных значений, что позволит ввести соответствующие поправки в результаты измерений снимков. В качестве контрольных точек выбирают характерные точки устойчивых местных предметов, отчетливо изображающиеся на снимках. Если таких предметов недостаточно, то их создают искусственно. Обычно требуется не менее трех контрольных точек: две из них должны быть расположены по нормали к базису в его левой точке, на ближнем и дальнем плане, третья - на дальнем плане, на возможно большем удалении от указанной нормали (см.
рис. 17).
Положение их относительно базиса определяют с концов базиса прямой угловой засечкой.
6.37. В каждом цикле наблюдений изучаемое сооружение фотографируют с двух концов базиса, применяя нормальный случай съемки (см.
рис. 17), предварительно тщательно отцентрировав фототеодолит и визирную марку, устанавливаемую на другом конце базиса. Точность центрирования должна быть не ниже 0,1 мм, а точность ориентирования оптической оси - не более 5", что обычно и обеспечивается установкой на бетонные монолиты с центрировочными устройствами. Кроме того, необходимо тщательно следить за прижимом фотопластинки к прикладной рамке.
Примечание. При съемке во всех циклах должно быть строго обеспечено постоянство ориентирования фототеодолита.
Полученные в результате фотографирования снимки стереопары обрабатывают на стереокомпараторе, измеряя координаты X и Z марок сооружения, контрольных точек и горизонтальные параллаксы p одноименных точек в системе координат снимка.
По результатам этих измерений, исправленными поправками за уклонения элементов внешнего ориентирования от заданных (для нормального случая съемки) значений, вычисляют пространственные фотограмметрические координаты X, Y и Z сфотографированных точек:

(6.57)
Полученные значения координат X и Y верхней и нижней марок дают возможность вычислить в каждом цикле по формулам, совершенно аналогичным
формулам (6.7), линейную величину частного крена

(т.е. отрезка между проекциями на плоскость XY верхней и нижней марок) и его направление относительно оси X (т.е. относительно направления базиса фотографирования). Далее по формуле, аналогичной
формуле (6.8), можно получить величину абсолютного крена сооружения в данном цикле. Необходимое для этого превышение верхней марки над нижней находят как разность аппликат этих точек:

. (6.58)
Примечание. Стереофотограмметрический способ не позволяет по результатам какого-либо цикла определить величину абсолютного крена в случае наблюдений сооружения с переменным сечением (см.
разд. 6).
Достоинством данного способа является то, что он дает возможность выявить пространственное смещение верхней точки относительно нижней, т.е. частный пространственный крен:

, (6.59)
и полный пространственный крен сооружения:

. (6.60)
Аналогичным образом можно определить и смещение марок, установленных на поясах изгиба.
6.38. Составляющие приращения крена по осям координат между i-м и начальным циклами наблюдений получают как разности координат верхней марки в этих циклах:

(6.61)
По этим же формулам находят смещения марок, закрепленных на поясах изгиба сооружения.
Величину приращения полного крена между указанными циклами нетрудно получить по формуле

. (6.62)
При необходимости можно найти и величину пространственного перемещения верхней марки, т.е. приращение модуля вектора крена:

. (6.63)
6.39. Оценку точности стереофотограмметрического способа определения крена выполняют по формулам:

(6.64)
где

,

,

- средние квадратические ошибки определения составляющих приращения крена по осям координат;

,

- средние квадратические ошибки измерения на стереокомпараторе координат изображения верхней марки в системе координат снимка.
Для определения крена и его приращений с точностью 2 - 3 см отстояние не должно превышать 200 м при длине базиса порядка 50 м. В зависимости от величины вертикального угла зрения фототеодолита стереофотограмметрический способ может быть использован для систематических высокоточных наблюдений за кренами сооружений небольшой и средней высоты.
ВЫЧИСЛЕНИЕ АБСОЛЮТНОГО КРЕНА И ЕГО НАПРАВЛЕНИЯ
N действий | 1-я комбинация | 2-я комбинация |
формулы | вычисления | формулы | вычисления |
1 | | | | |
2 | | | | |
3 | | | | |
4 | | | | |
5 | | | | |
6 | | | | |
7 | | | | |
8 | | | | |
9 | | | | |
10 | | | | |
11 | | | | |
12 | | | | |
13 | H | | H | |
14 | | | | |
15 | Q' | | Q" | |
16 | | | | |
17 | | | | |
18 | | | | |
19 | | | | |
20 | | | | |
21 | Q | | Q | |
КАРТОЧКА КРЕНОВ ДЫМОВОЙ ТРУБЫ КОЛЬЦЕВОЙ ПЕЧИ N 2
────────────┬─────────────────┬───────────────────┬───────────┬────────────
N циклов │ Дата наблюдений │ Дирекционный угол │ Величина │ Точность
наблюдений │ │ направления крена │ полного │определения
│ ├──────────┬────────┤ крена, мм │ крена, мм
│ │ град │ мин │ │
────────────┼─────────────────┼──────────┼────────┼───────────┼────────────
1 │23/I 1979 г. │ 78 │ 25 │ 182 │ 11
2 │22/III 1979 г. │ 78 │ 28 │ 219 │ 10
3 │18/IV 1979 г. │ 78 │ 35 │ 241 │ 10
4 │23/IX 1979 г. │ 78 │ 46 │ 283 │ 12
5 │25/XII 1979 г. │ 78 │ 58 │ 339 │ 13
6 │23/I 1980 г. │ 79 │ 06 │ 378 │ 9
7 │21/II 1980 г. │ 79 │ 23 │ 414 │ 13
8 │20/III 1980 г. │ 79 │ 26 │ 422 │ 8
9 │25/IV 1980 г. │ 79 │ 32 │ 440 │ 11
ИЗМЕРЕНИЯ КРЕНА ТРУБЫ КОЛЬЦЕВОЙ ПЕЧИ N 2
Масштаб: 1 мм - 2 см
Рис. 18