Главная // Актуальные документы // Государственная фармакопеяСПРАВКА
Источник публикации
Документ опубликован не был
Примечание к документу
Текст документа приведен в соответствии с публикацией на сайте https://minzdrav.gov.ru/ru по состоянию на 15.03.2024.
В соответствии с
Приказом Минздрава России от 13.03.2024 N 120 данный документ введен в действие с 13.03.2024.
Взамен ФС 42-2545-88.
Название документа
"ФС.2.1.0674. Фармакопейная статья. Доксициклина гиклат. Доксициклин"
(утв. и введена в действие Приказом Минздрава России от 13.03.2024 N 120)
("Государственная фармакопея Российской Федерации. XV издание")
"ФС.2.1.0674. Фармакопейная статья. Доксициклина гиклат. Доксициклин"
(утв. и введена в действие Приказом Минздрава России от 13.03.2024 N 120)
("Государственная фармакопея Российской Федерации. XV издание")
МИНИСТЕРСТВО ЗДРАВООХРАНЕНИЯ РОССИЙСКОЙ ФЕДЕРАЦИИ
ФАРМАКОПЕЙНАЯ СТАТЬЯ
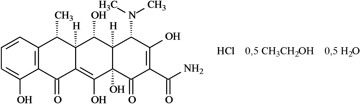
Доксициклина гиклат Доксициклин Doxycyclini hyclas | ФС.2.1.0674 |
Взамен ФС 42-2545-88 |
|
C22H24N2O8·HCl·0,5C2H6O·0,5H2O [24390-14-5] | М.м. 512,94 |
(4S,4aR,5S,5aR,6R,12aS)-3,5,10,12,12a-Пентагидрокси-4-(диметиламино)-6-метил-1,11-диоксо-1,4,4a,5,5a,6,11,12a-октагидротетрацен-2-карбоксамида гидрохлорид гемиэтанол гемигидрат.
Полусинтетический продукт из продукта ферментации.
Содержит не менее 95,0% и не более 102,0% доксициклина гидрохлорида C22H24N2O8·HCl в пересчете на безводное и свободное от этанола и органических растворителей вещество.
Описание. Желтый кристаллический порошок.
<*> Гигроскопичен.
--------------------------------
<*> Приводится для информации.
Растворимость. Легко растворим в метаноле, легко растворим или растворим в воде, умеренно или мало растворим в спирте 96%.
1. ИК-спектрометрия (
ОФС "Спектрометрия в средней инфракрасной области"). Инфракрасный спектр субстанции по положению полос поглощения должен соответствовать спектру стандартного образца доксициклина гиклата.
2. ВЭЖХ. Время удерживания основного пика на хроматограмме испытуемого раствора должно соответствовать времени удерживания пика доксициклина на хроматограмме раствора стандартного образца доксициклина гиклата (
раздел "Количественное определение").
3. Качественная реакция. К 2 мг субстанции прибавляют 5 мл серной кислоты концентрированной. Должно появиться желтое окрашивание.
4. Качественная реакция. Субстанция должна давать характерную реакцию А на хлорид-ион (
ОФС "Общие реакции на подлинность").
Удельное вращение. От -105 до -120 в пересчете на безводное и свободное от этанола и остаточных органических растворителей вещество (1% раствор субстанции в смеси хлористоводородной кислоты раствор 1 М - метанол 1:99;
ОФС "Оптическое вращение"). Раствор используют в течение 5 мин после приготовления.
Оптическая плотность. В мерную колбу вместимостью 10 мл помещают 0,1 г субстанции, в пересчете на безводное и свободное от этанола и остаточных органических растворителей вещество, растворяют в смеси хлористоводородной кислоты раствор 1 М - метанол 1:99 и доводят объем раствора тем же растворителем до метки. Оптическая плотность полученного раствора при длине волны 490 нм в кювете с толщиной слоя 1 см, измеренная по сравнению с указанной смесью, не должна превышать 0,07. Раствор используют в течение 1 ч после приготовления.
pH. От 2,0 до 3,0 (1% раствор, ОФС "Ионометрия",
метод 3).
Родственные примеси. Определение проводят методом ВЭЖХ (
ОФС "Высокоэффективная жидкостная хроматография").
Все растворы субстанции и стандартных образцов готовят непосредственно перед использованием.
Буферный раствор А. Растворяют 67,9 г тетрабутиламмония гидросульфата в 900 мл воды и доводят pH раствора аммиака раствором концентрированным 25% до 7,0. Переносят полученный раствор в мерную колбу вместимостью 1000 мл и доводят объем раствора водой до метки.
Буферный раствор Б. Растворяют 111,6 г натрия эдетата в 900 мл воды и доводят pH раствора аммиака раствором концентрированным 25% до 7,0. Переносят полученный раствор в мерную колбу вместимостью 1000 мл и доводят объем раствора водой до метки.
Подвижная фаза (ПФ). Ацетонитрил - вода - буферный раствор А - буферный раствор Б 130:170:350:350.
Испытуемый раствор. В мерную колбу вместимостью 25 мл помещают 20 мг (точная навеска) субстанции, растворяют в хлористоводородной кислоте разведенной 0,11% и доводят объем раствора тем же растворителем до метки.
Раствор сравнения. В мерную колбу вместимостью 200 мл помещают 1,0 мл испытуемого раствора и доводят объем раствора хлористоводородной кислотой разведенной 0,11% до метки.
Раствор для проверки разделительной способности хроматографической системы. В мерную колбу вместимостью 10 мл помещают 5 мг фармакопейного стандартного образца доксициклина для проверки пригодности хроматографической системы, содержащего примеси A, B, C и F, растворяют в хлористоводородной кислоте разведенной 0,11% и доводят объем раствора тем же растворителем до метки.
Примечание
Примесь A (6-эпидоксициклин): (4S,4aR,5S,5aR,6S,12aS)-3,5,10,12,12a-пентагидрокси-4-(диметиламино)-6-метил-1,11-диоксо-1,4,4a,5,5a,6,11,12a-октагидротетрацен-2-карбоксамид [3219-99-6].
Примесь B (метациклин): (4S,4aR,5S,5aR,12aS)-3,5,10,12,12a-пентагидрокси-4-(диметиламино)-6-метилиден-1,11-диоксо-1,4,4a,5,5a,6,11,12a-октагидротетрацен-2-карбоксамид [914-00-1].
Примесь C (4-эпидоксициклин): (4R,4aR,5S,5aR,6R,12aS)-3,5,10,12,12a-пентагидрокси-4-(диметиламино)-6-метил-1,11-диоксо-1,4,4a,5,5a,6,11,12a-октагидротетрацен-2-карбоксамид [6543-77-7].
Примесь F (2-ацетил-2-декарбамоилдоксициклин): (4S,4aR,5S,5aR,6R,12aS)-2-ацетил-3,5,10,12,12a-пентагидрокси-4-(диметиламино)-6-метил-4a,5a,6,12a-тетрагидротетрацен-1,11(4H,5H)-дион [122861-53-4].
Хроматографические условия
Колонка | 250 x 4,6 мм, кремнийорганический полимер, аморфный, октадецильный с полярными мостиками, эндкепированный, 5 мкм; |
Температура колонки | 35 °C; |
Скорость потока | 1,0 мл/мин; |
Детектор | спектрофотометрический, 280 нм; |
Объем пробы | 20 мкл; |
Время хроматографирования | 2-кратное от времени удерживания пика доксициклина. |
Хроматографируют раствор для проверки разделительной способности хроматографической системы, раствор сравнения и испытуемый раствор.
Относительное время удерживания соединений. Доксициклин - 1 (около 21 мин); примесь C - около 0,4; примесь A - около 0,7; примесь B - около 0,8; примесь F - около 1,3.
Идентификация примесей. Для идентификации пиков используются хроматограмма раствора для проверки разделительной способности хроматографической системы и хроматограмма, прилагаемая к фармакопейному стандартному образцу доксициклина для проверки пригодности хроматографической системы.
Пригодность хроматографической системы. На хроматограмме раствора для проверки разделительной способности хроматографической системы:
- разрешение (RS) между пиками примесей A и B должно быть не менее 2,0;
- разрешение (RS) между пиками примеси B и доксициклина должно быть не менее 2,0.
Допустимое содержание примесей. На хроматограмме испытуемого раствора:
- площадь пика примеси A не должна более чем в 4 раза превышать площадь основного пика на хроматограмме раствора сравнения (не более 2,0%);
- площадь пика примеси F не должна более чем в 2,4 раза превышать площадь основного пика на хроматограмме раствора сравнения (не более 1,2%);
- площадь пика примеси B не должна превышать площадь основного пика на хроматограмме раствора сравнения (не более 0,5%);
- площадь пика примеси C не должна превышать 0,4 площади основного пика на хроматограмме раствора сравнения (не более 0,2%);
- площадь пика любой другой примеси не должна превышать 0,2 площади основного пика на хроматограмме раствора сравнения (не более 0,1%);
- суммарная площадь пиков всех примесей не должна более чем в 6 раз превышать площадь основного пика на хроматограмме раствора сравнения (не более 3,0%).
Не учитывают пики, площадь которых менее 0,1 площади основного пика на хроматограмме раствора сравнения (менее 0,05%).
Вода. Не менее 1,4% и не более 2,8% (ОФС "Определение воды",
метод 1). Для определения используют 1,2 г (точная навеска) субстанции.
Этанол. Не менее 4,3% и не более 6,0% (
ОФС "Определение спирта этилового в лекарственных средствах", метод газовой хроматографии).
Сульфатная зола. Не более 0,4% (
ОФС "Сульфатная зола"). Для определения используют 1 г (точная навеска) субстанции.
Остаточные органические растворители. В соответствии с
ОФС "Остаточные органические растворители".
Микробиологическая чистота. В соответствии с
ОФС "Микробиологическая чистота".
<**> Аномальная токсичность. Субстанция должна быть нетоксичной (
ОФС "Аномальная токсичность"). Тест-доза - 2,5 мг доксициклина гиклата в 0,5 мл натрия хлорида раствора 0,9% для инъекций на мышь, внутривенно. Срок наблюдения 48 ч.
<**> Бактериальные эндотоксины. Не более 1,25 ЕЭ на 1 мг доксициклина хиклата (
ОФС "Бактериальные эндотоксины").
<**> Испытание на депрессорные вещества. Субстанция не должна обладать депрессорным действием (
ОФС "Испытание на депрессорные вещества"). Тест-доза - 5 мг доксициклина гиклата в 1 мл натрия хлорида раствора 0,9% на 1 кг массы животного.
--------------------------------
<**> Испытание проводят для субстанции, предназначенной для производства лекарственных препаратов для парентерального применения.
КОЛИЧЕСТВЕННОЕ ОПРЕДЕЛЕНИЕ
Определение проводят методом ВЭЖХ в условиях
испытания "Родственные примеси" со следующими изменениями.
Раствор стандартного образца доксициклина гиклата. В мерную колбу вместимостью 25 мл помещают 20 мг (точная навеска) стандартного образца доксициклина гиклата, растворяют в хлористоводородной кислоте разведенной 0,11% и доводят объем раствора тем же растворителем до метки.
Пригодность хроматографической системы. На хроматограмме раствора стандартного образца доксициклина гиклата:
- фактор асимметрии пика (AS) доксициклина должен быть не более 1,5;
- относительное стандартное отклонение площади пика доксициклина должно быть не более 0,85% (6 введений).
Содержание доксициклина гидрохлорида C22H24N2O8·HCl в субстанции в процентах (X) в пересчете на безводное и свободное от этанола и остаточных органических растворителей вещество вычисляют по формуле:

,
где S1 - площадь пика доксициклина на хроматограмме испытуемого раствора;
S0 - площадь пика доксициклина на хроматограмме раствора стандартного образца доксициклина гиклата;
a1 - навеска субстанции, мг;
a0 - навеска стандартного образца доксициклина гиклата, мг;
W - суммарное содержание воды, этанола и остаточных органических растворителей в субстанции, %;
P - содержание доксициклина гидрохлорида в стандартном образце доксициклина гиклата, %.
В сухом, защищенном от света месте.