Главная // Актуальные документы // Государственная фармакопеяСПРАВКА
Источник публикации
Документ опубликован не был
Примечание к документу
Текст документа приведен в соответствии с публикацией на сайте https://minzdrav.gov.ru/ по состоянию на 23.08.2023.
В соответствии с
Приказом Минздрава России от 20.07.2023 N 377 данный документ введен в действие с 01.09.2023.
Взамен ВФС 42-2326-94.
Название документа
"ФС.2.1.0575. Фармакопейная статья. Сульбактам натрия. Сульбактам"
(утв. и введена в действие Приказом Минздрава России от 20.07.2023 N 377)
("Государственная фармакопея Российской Федерации. XV издание")
"ФС.2.1.0575. Фармакопейная статья. Сульбактам натрия. Сульбактам"
(утв. и введена в действие Приказом Минздрава России от 20.07.2023 N 377)
("Государственная фармакопея Российской Федерации. XV издание")
МИНИСТЕРСТВО ЗДРАВООХРАНЕНИЯ РОССИЙСКОЙ ФЕДЕРАЦИИ
ФАРМАКОПЕЙНАЯ СТАТЬЯ
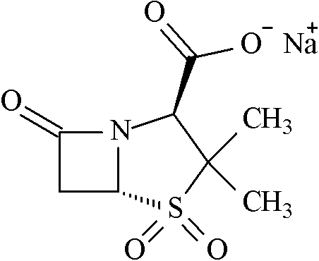
Сульбактам натрия Сульбактам Sulbactamum natricum | ФС.2.1.0575 |
Взамен ВФС 42-2326-94 |
|
C8H10NNaO5S [69388-84-7] | М.м. 255,22 |
(2S,5R)-3,3-Диметил-4,4,7-триоксо-4-тиа-1-азабицикло[3.2.0]гептан-2-карбоксилат натрия.
Содержит не менее 97,0% и не более 102% сульбактама натрия C8H10NNaO5S в пересчете на безводное и свободное от остаточных органических растворителей вещество.
Описание. Белый или почти белый кристаллический порошок.
<*> Гигроскопичен.
Растворимость. Легко растворим в воде, умеренно растворим в этилацетате, мало или очень мало растворим в спирте 96%.
<*> Легко растворим в разбавленных кислотах.
--------------------------------
<*> Приводится для информации.
1. ИК-спектрометрия (
ОФС "Спектрометрия в средней инфракрасной области"). Инфракрасный спектр субстанции в области от 4000 до 400 см
-1 по положению полос поглощения должен соответствовать спектру фармакопейного стандартного образца сульбактама натрия.
2. Качественная реакция. Субстанция должна давать характерную реакцию Б на натрий (
ОФС "Общие реакции на подлинность").
Удельное вращение. От +219 до +233 в пересчете на безводное вещество (1% раствор субстанции в воде,
ОФС "Оптическое вращение").
Прозрачность раствора. Раствор 2 г субстанции в 20 мл воды должен быть прозрачным (
ОФС "Прозрачность и степень опалесценции (мутности) жидкостей").
Оптическая плотность. Оптическая плотность 1% раствора субстанции в воде, измеренная при длине волны 430 нм в кювете с толщиной слоя 1 см, не должна превышать 0,10 (
ОФС "Спектрофотометрия в ультрафиолетовой и видимой областях").
pH раствора. От 4,5 до 7,2; для стерильной субстанции от 5,2 до 7,2 (5% раствор в воде, ОФС "Ионометрия",
метод 3).
Родственные примеси. Определение проводят методом ВЭЖХ (
ОФС "Высокоэффективная жидкостная хроматография").
Буферный раствор. Растворяют 2,72 г калия дигидрофосфата, в 800 мл воды и доводят значение pH фосфорной кислотой разведенной 10% до 4,0, количественно переносят полученный раствор в мерную колбу вместимостью 1000 мл и доводят объем раствора водой до метки.
Подвижная фаза А (ПФА). В химический стакан вместимостью 1000 мл помещают 5,44 г калия дигидрофосфата, растворяют в 800 мл воды и доводят значение pH полученного раствора фосфорной кислотой разведенной 10% до 4,0 +/- 0,1. Полученный раствор переносят в мерную колбу вместимостью 1 л и доводят объем раствора водой до метки.
Подвижная фаза Б (ПФБ). ПФА - ацетонитрил 400:600.
Растворитель. В мерную колбу вместимостью 100 мл помещают 2,0 мл ацетонитрила и доводят объем раствора буферным раствором до метки.
Испытуемый раствор. В мерной колбе вместимостью 100 мл суспендируют 77 мг (точная навеска) субстанции в 2 мл ацетонитрила, обрабатывают ультразвуковом в течение 5 мин и доводят объем раствора буферным раствором до метки.
Раствор стандартного образца сульбактама. В мерной колбе вместимостью 100 мл суспендируют 70 мг (точная навеска) фармакопейного стандартного образца сульбактама в 2 мл ацетонитрила, обрабатывают ультразвуковом в течение 5 мин и доводят объем раствора буферным раствором до метки.
Стандартный раствор. В мерную колбу вместимостью 100 мл помещают 1,0 мл раствора стандартного образца сульбактама и доводят объем раствора растворителем до метки. В мерную колбу вместимостью 10 мл помещают 1,0 мл полученного раствора и доводят объем раствора растворителем до метки.
Раствор примеси B сульбактама. В мерную колбу вместимостью 50 мл помещают 15 мг примеси B сульбактама, растворяют в буферном растворе и доводят объем раствора тем же растворителем до метки.
Раствор для проверки разделительной способности хроматографической системы. В мерную колбу вместимостью 25 мл помещают 1,0 мл раствора стандартного образца сульбактама, 1 мл раствора примеси B сульбактама и доводят объем раствора растворителем до метки.
Раствор для идентификации примесей. В мерную колбу вместимостью 10 мл помещают 8 мг (точная навеска) фармакопейного стандартного образца сульбактама для идентификации примесей (содержащего примеси A, C, D, E и F) растворяют в 1 мл ацетонитрила, обрабатывают ультразвуком в течение 5 мин и доводят объем раствора растворителем до метки.
Примечание
Примесь A: (2S)-2-амино-3-метил-3-сульфонобутановая кислота.
Примесь B (6-аминопенициллиновая кислота): (2S,5R,6R)-6-амино-3,3-диметил-7-оксо-4-тиа-1-азабицикло [3.2.0] гептан-2-карбоновая кислота.
Примесь C (6-бромопенициллсульфоновая кислота): (2S,5R,6R)-6-бромо-3,3-диметил-7-оксо-4-тиа-1-азабицикло [3.2.0] гептан-2-карбоновая кислота 4,4-диоксид.
Примесь D (6-бромопенициллиновая кислота): (2S,5R,6R)-6-бромо-3,3-диметил-7-оксо-4-тиа-1-азабицикло [3.2.0]гептан-карбоновая кислота.
Примесь E (6,6-дибромопенициллсульфоновая кислота): (2S,5R)-6,6-дибромо-3,3-диметил-7-оксо-4-тиа-1-азабицикло [3.2.0] гептан-2-карбоновая кислота 4,4-диоксид.
Примесь F (6,6-бромопенициллиновая кислота): (2S,5R)-6,6-дибромо-3,3-диметил-7-оксо-4-тиа-1-азабицикло [3.2.0] гептан-2-карбоновая кислота.
Хроматографические условия
Колонка | 100 x 4,0 мм, силикагель октадецилсилильный эндкепированный для хроматографии, 3 мкм; |
Температура колонки | 40 °C; |
Скорость потока | 1,0 мл/мин; |
Детектор | спектрофотометрический, 215 нм; |
Объем пробы | 20 мкл. |
Режим хроматографирования
Время, мин | ПФА, % | ПФБ, % |
0 - 2,0 | 98 | 2 |
2,0 - 9,5 | | |
9,5 - 12,0 | 50 | 50 |
Хроматографируют раствор для идентификации примесей, раствор для проверки разделительной способности хроматографической системы, стандартный раствор и испытуемый раствор.
Относительное время удерживания соединений. Сульбактам - 1 (около 3 мин); примесь A - около 0,4; примесь B - около 0,7; примесь C - около 2,3; примесь D - около 3,1; примесь E - около 3,3; примесь F - около 3,9.
Идентификация примесей. Для идентификации примесей A, C, D, E и F используют относительное время удерживания соединений и хроматограмму, прилагаемую к стандартному образцу сульбактама для идентификации примесей, и хроматограмму раствора для идентификации примесей. Для идентификации пика примеси B используют хроматограмму раствора для проверки разделительной способности хроматографической системы.
Пригодность хроматографической системы. На хроматограмме раствора для проверки разделительной способности хроматографической системы разрешение (RS) между пиками примеси B и сульбактама должно быть не менее 5,0.
Поправочные коэффициенты. Для расчета содержания примесей площади пиков следующих примесей умножаются на соответствующие поправочные коэффициенты: примесь A - 0,6; примесь B - 0,5; примесь D - 0,5; примесь F - около 0,6.
Содержание каждой из примесей в субстанции в процентах (X) вычисляют по формуле:

,
где S1 - площадь пика каждой из примесей на хроматограмме испытуемого раствора;
S0 - площадь пика каждой из примесей на хроматограмме стандартного раствора;
a1 - навеска субстанции, мг;
a0 - навеска фармакопейного стандартного образца сульбактама, мл;
P - содержание сульбактама в фармакопейном стандартном образце сульбактама, %;
255,22 - молекулярная масса сульбактама натрия;
233,24 - молекулярная масса сульбактама.
Допустимое содержание примесей:
- примесь A - не более 0,5%;
- примеси C и E (каждая) - не более 0,2%;
- примеси B, D, F (каждая) - не более 0,1%;
- любая другая примесь - не более 0,1%;
- сумма примесей - не более 1,0%.
Не учитывают пики, площадь которых менее 0,5 площади основного пика на хроматограмме стандартного раствора (менее 0,05%).
N,N-Диметиланилин. Не более 0,002%. (
ОФС "N,N-Диметиланилин").
2-Этилгексановая кислота. Не более 0,5% (
ОФС "2-Этилгексановая кислота").
Вода. Не более 1% (ОФС "Определение воды",
метод 1). Для определения используют 1,0 г (точная навеска) субстанции.
Тяжелые металлы. Не более 0,002% (ОФС "Тяжелые металлы",
метод 3 Б) в зольном остатке, полученном после сжигания 1 г субстанции, с использованием эталонного раствора 2.
Остаточные органические растворители. В соответствии с
ОФС "Остаточные органические растворители".
<**>
Аномальная токсичность. Субстанция должна быть нетоксичной (
ОФС "Аномальная токсичность"). Тест-доза - 40 мг сульбактама натрия в 0,5 мл воды для инъекций на мышь, внутривенно. Срок наблюдения - 48 ч.
<**>
Бактериальные эндотоксины. Не более 0,17 ЕЭ на 1 мг сульбактама натрия (
ОФС "Бактериальные эндотоксины").
--------------------------------
<**> Испытание проводят для субстанции, предназначенной для производства лекарственных препаратов для парентерального применения.
Стерильность. Субстанция должна быть стерильной (
ОФС "Стерильность").
КОЛИЧЕСТВЕННОЕ ОПРЕДЕЛЕНИЕ
Определение проводят методом ВЭЖХ в условиях
испытания "Родственные примеси" со следующими изменениями.
Хроматографируют раствор стандартного образца сульбактама и испытуемый раствор.
Содержание сульбактама натрия C8H10NNaO5S в субстанции в пересчете на безводное и свободное от остаточных органических растворителей вещество в процентах (X) вычисляют по формуле:

,
где S1 - площадь пика сульбактама на хроматограмме испытуемого раствора;
S0 - площадь пика сульбактама на хроматограмме раствора стандартного образца сульбактама;
a1 - навеска субстанции, мг;
a0 - навеска фармакопейного стандартного образца сульбактама, мг;
P - содержание сульбактама в фармакопейном стандартном образце сульбактама, %;
W - суммарное содержание воды и остаточных органических растворителей в субстанции, %;
255,22 - молекулярная масса сульбактама натрия;
233,24 - молекулярная масса сульбактама.
В герметично укупоренной упаковке, в защищенном от света месте.