Главная // Актуальные документы // Государственная фармакопеяСПРАВКА
Источник публикации
Документ опубликован не был
Примечание к документу
Текст документа приведен в соответствии с публикацией на сайте https://minzdrav.gov.ru/ по состоянию на 22.08.2023.
В соответствии с
Приказом Минздрава России от 20.07.2023 N 377 данный документ введен в действие с 01.09.2023.
Взамен ФС 42-2884-92.
Название документа
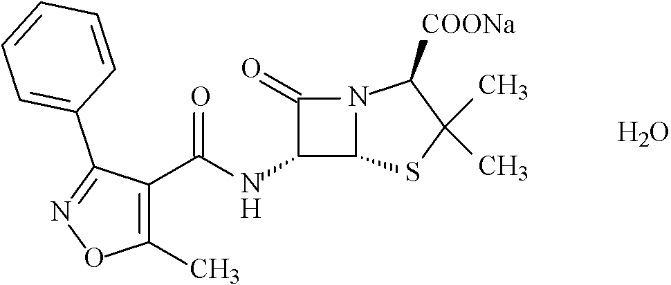
"ФС.2.1.0533. Фармакопейная статья. Оксациллина натрия моногидрат. Оксациллин"
(утв. и введена в действие Приказом Минздрава России от 20.07.2023 N 377)
("Государственная фармакопея Российской Федерации. XV издание")
"ФС.2.1.0533. Фармакопейная статья. Оксациллина натрия моногидрат. Оксациллин"
(утв. и введена в действие Приказом Минздрава России от 20.07.2023 N 377)
("Государственная фармакопея Российской Федерации. XV издание")
МИНИСТЕРСТВО ЗДРАВООХРАНЕНИЯ РОССИЙСКОЙ ФЕДЕРАЦИИ
ФАРМАКОПЕЙНАЯ СТАТЬЯ
Оксациллина натрия моногидрат Оксациллин Oxacillinum natricum monohydricum | ФС.2.1.0533 |
Взамен ФС 42-2884-92 |
C19H18N3NaO5S·H2O [7240-38-2] | М.м. 441,4 |
(2S,5R,6R)-3,3-Диметил-6-(5-метил-3-фенил-1,2-оксазол-4-карбоксамидо)-7-оксо-4-тиа-1-азабицикло[3.2.0]гептан-2-карбоксилат натрия, моногидрат.
Содержит не менее 95,0% и не более 102,0% оксациллина натрия C19H18N3NaO5S в пересчете на безводное и свободное от остаточных органических растворителей вещество.
Описание. Белый или почти белый кристаллический порошок.
<*> Гигроскопичен.
--------------------------------
<*> Приводится для информации.
Растворимость. Легко растворим в воде, мало растворим в спирте 96%, практически нерастворим в метиленхлориде.
1. ИК-спектрометрия (
ОФС "Спектрометрия в средней инфракрасной области"). Инфракрасный спектр субстанции в области от 4000 до 400 см
-1 по положению полос поглощения должен соответствовать спектру фармакопейного стандартного образца оксациллина натрия моногидрата.
2. ВЭЖХ. Время удерживания основного пика на хроматограмме испытуемого раствора Б должно соответствовать времени удерживания пика оксациллина на хроматограмме раствора стандартного образца оксациллина натрия моногидрата (
раздел "Количественное определение").
3. Качественная реакция. Субстанция должна давать характерную реакцию Б на натрий (
ОФС "Общие реакции на подлинность").
Удельное вращение. От +196 до +212 в пересчете на безводное вещество (1% раствор субстанции в воде,
ОФС "Оптическое вращение").
Прозрачность раствора. Раствор 2,5 г субстанции в 25 мл воды должен быть прозрачным (
ОФС "Прозрачность и степень опалесценции (мутности) жидкостей").
Оптическая плотность. Оптическая плотность 10% раствора субстанции в воде, измеренная при длине волны 430 нм в кювете с толщиной слоя 1 см, не должна превышать 0,1 (
ОФС "Спектрофотометрия в ультрафиолетовой и видимой областях").
pH раствора. От 4,5 до 7,5 (3% раствор в воде, свободной от углерода диоксида, ОФС "Ионометрия",
метод 3).
Светопоглощающие примеси. Оптическая плотность 1% раствора субстанции в воде, измеренная при длине волны 335 нм в кювете с толщиной слоя 1 см (по сравнению с водой), не должна превышать 0,1 (
ОФС "Спектрофотометрия в ультрафиолетовой и видимой областях").
Родственные примеси. Определение проводят методом ВЭЖХ (
ОФС "Высокоэффективная жидкостная хроматография").
Все растворы, содержащие оксациллин, защищают от света.
Буферный раствор. Растворяют 2,7 г калия дигидрофосфата в 900 мл воды и доводят значение pH натрия гидроксида раствором 8,5% до 5,0. Переносят полученный раствор в мерную колбу вместимостью 1000 мл и доводят объем раствора водой до метки.
Подвижная фаза (ПФ). Ацетонитрил - буферный раствор 250:750.
Испытуемый раствор А. В мерную колбу вместимостью 50 мл помещают 50 мг (точная навеска) субстанции, растворяют в ПФ и доводят объем раствора ПФ до метки.
Испытуемый раствор Б. В мерную колбу вместимостью 50 мл помещают 5,0 мл испытуемого раствора А и доводят объем раствора ПФ до метки.
Раствор сравнения. В мерную колбу вместимостью 50 мл помещают 5,0 мл испытуемого раствора Б и доводят объем раствора ПФ до метки.
Раствор для проверки пригодности хроматографической системы. В мерную колбу вместимостью 50 мл помещают 5 мг фармакопейного стандартного образца примеси E и 5 мг фармакопейного стандартного образца оксациллина натрия моногидрата, растворяют в ПФ и доводят объем раствора ПФ до метки.
Раствор для идентификации А. В мерную колбу вместимостью 100 мл помещают 25 мг субстанции, растворяют 1 мл натрия гидроксида раствора 0,05 М, выдерживают при комнатной температуре в течение 3 мин, прибавляют ПФ, перемешивают до полного растворения и доводят объем раствора ПФ до метки.
Раствор для идентификации Б. В мерную колбу вместимостью 10 мл помещают 10 мг фармакопейного стандартного образца оксациллина натрия для идентификации пиков, содержащего примеси E, F, G, I и J, растворяют в ПФ и доводят объем раствора ПФ до метки.
Раствор для проверки чувствительности хроматографической системы. В мерную колбу вместимостью 20 мл помещают 1,0 мл раствора сравнения и доводят объем раствора ПФ до метки.
Примечание
Примесь B: (4S)-2-[карбокси(5-метил-3-фенил-1,2-оксазол-4-карбоксамидо)метил]-5,5-диметил-1,3-тиазолидин-4-карбоновая кислота.
Примесь D: (4S)-2-[(5-метил-3-фенил-1,2-оксазол-4-карбоксамидо)метил]-5,5-диметил-1,3-тиазолидин-4-карбоновая кислота [1642559-63-4].
Примесь E: (2S,5R,6R)-3,3-диметил-6-[5-метил-3-(2-хлорфенил)-1,2--оксазол-4-карбоксамидо]-7-оксо-4-тиа-1-азабицикло[3.2.0]гептан-2-карбоновая кислота [61-72-3].
Примесь F: (2R,5R,6R)-3,3-диметил-6-(5-метил-3-фенил-1,2-оксазол-4-карбоксамидо)-7-оксо-4-тиа-1-азабицикло[3.2.0]гептан-2-карботионовая кислота [5053-35-0].
Примесь G: (2S,5R,6R)-3,3-диметил-6-[5-метил-3-(хлорфенил)-1,2-оксазол-4-карбоксамидо]-7-оксо-4-тиа-1-азабицикло[3.2.0]гептан-2-карбоновая кислота [724695-30-1] (3-хлорфенил изомер).
Примесь I: (2S,5R,6R)-6-[(2S,5R,6R)-3,3-диметил-6-(5-метил-3-фенил-1,2-оксазол-4-карбоксамидо)-7-оксо-4-тиа-1-азабицикло[3.2.0]гептан-2-карбоксамидо]-3,3-диметил-7-оксо-4-тиа-1-азабицикло[3.2.0]гептан-2-карбоновая кислота.
Примесь J: (2S,5R,6R)-6-[(2R)-2-[(2R,4S)-4-карбокси-5,5-диметил-1,3-тиазолидин-2-ил]-2-(5-метил-3-фенил-1,2-оксазол-4-карбоксамидо)ацетамидо]-3,3-диметил-7-оксо-4-тиа-1-азабицикло[3.2.0]гептан-2-карбоновая кислота.
Хроматографические условия
Колонка | 250 x 4,6 мм, силикагель октадецилсилильный для хроматографии, 5 мкм; |
Температура колонки | 25 °C; |
Скорость потока | 1,0 мл/мин; |
Детектор | спектрофотометрический, 225 нм; |
Объем пробы | 20 мкл; |
Время хроматографирования | 7-кратное от времени удерживания пика оксациллина. |
Хроматографируют раствор для проверки чувствительности хроматографической системы, раствор для идентификации А, раствор для идентификации Б, раствор для проверки пригодности хроматографической системы, раствор сравнения и испытуемый раствор А.
Относительное время удерживания соединений. Оксациллин - 1 (около 5 мин); примесь B (изомер 1) - около 0,4; примесь B (изомер 2) - около 0,5; примесь D (два изомера) - около 0,9; примесь E - около 1,5; примесь F - около 1,9; примесь G - около 2,1; примесь I - около 3,8; примесь J - около 5,8.
Идентификация примесей. Для идентификации пиков примесей B и D используют относительное время удерживания соединений и хроматограмму раствора для идентификации А.
Для идентификации пиков примесей E, F, G, I и J используют относительное время удерживания соединений, хроматограмму раствора для идентификации Б и хроматограмму, прилагаемую к фармакопейному стандартному образцу оксациллина натрия для идентификации пиков.
Пригодность хроматографической системы. На хроматограмме раствора для проверки чувствительности хроматографической системы отношение сигнал/шум (S/N) для пика оксациллина должно быть не менее 10.
На хроматограмме раствора для проверки пригодности хроматографической системы разрешение (RS) между пиками оксациллина и примеси E должно быть не менее 2,5.
Допустимое содержание примесей. На хроматограмме испытуемого раствора А:
- сумма площадей пиков изомеров примеси B не должна более чем в 1,5 раза превышать площадь пика оксациллина на хроматограмме раствора сравнения (не более 1,5%);
- площадь пика примеси E не должна превышать площадь пика оксациллина на хроматограмме раствора сравнения (не более 1,0%);
- площадь пика каждой из примесей D (сумма двух изомеров), F, G, I и J не должна превышать 0,5 площади пика оксациллина на хроматограмме раствора сравнения (не более 0,5%);
- площадь пика любой другой примеси не должна превышать 0,5 площади пика оксациллина на хроматограмме раствора сравнения (не более 0,5%);
- сумма площадей пиков всех примесей не должна превышать трехкратную площадь пика оксациллина на хроматограмме раствора сравнения (не более 3,0%).
Не учитывают пики, площадь которых менее площади основного пика на хроматограмме раствора для проверки чувствительности хроматографической системы (менее 0,05%).
Вода. От 3,5% до 5,0% (ОФС "Определение воды",
метод 1). Для определения используют 30 мг (точная навеска) субстанции.
N,N-Диметиланилин. Не более 0,002% (
ОФС "
N,
N-Диметиланилин").
2-Этилгексановая кислота. Не более 0,8% (ОФС "2-Этилгексановая кислота").
Остаточные органические растворители. В соответствии с
ОФС "Остаточные органические растворители".
<**>
Аномальная токсичность. Субстанция должна быть нетоксичной (
ОФС "Аномальная токсичность"). Тест-доза - 10 мг оксациллина в 0,5 мл воды для инъекций на мышь, внутривенно. Срок наблюдения - 48 ч.
<**>
Бактериальные эндотоксины. Не более 0,2 ЕЭ на 1 мг оксациллина (
ОФС "Бактериальные эндотоксины").
--------------------------------
<**> Испытания проводят для субстанции, предназначенной для производства лекарственных препаратов для парентерального применения.
Стерильность. Субстанция должна быть стерильной (
ОФС "Стерильность").
КОЛИЧЕСТВЕННОЕ ОПРЕДЕЛЕНИЕ
Определение проводят методом ВЭЖХ в условиях
испытания "Родственные примеси" со следующими изменениями.
Раствор стандартного образца оксациллина натрия моногидрата. В мерную колбу вместимостью 50 мл помещают 50 мг (точная навеска) фармакопейного стандартного образца оксациллина натрия моногидрата, растворяют в ПФ и доводят объем раствора ПФ до метки. В мерную колбу вместимостью 50 мл помещают 5,0 мл полученного раствора и доводят объем раствора ПФ до метки.
Хроматографируют раствор стандартного образца оксациллина натрия моногидрата и испытуемый раствор Б.
Пригодность хроматографической системы. На хроматограмме раствора стандартного образца оксациллина натрия моногидрата:
- фактор асимметрии пика (AS) оксациллина должен быть не более 2,0;
- относительное стандартное отклонение площади пика оксациллина должно быть не более 3,0% (6 введений).
Содержание оксациллина натрия C19H18N3NaO5S в субстанции в пересчете на безводное и свободное от остаточных органических растворителей вещество в процентах (X) вычисляют по формуле:

,
где S1 - площадь пика оксациллина на хроматограмме испытуемого раствора Б;
S0 - площадь пика оксациллина на хроматограмме раствора стандартного образца оксациллина натрия моногидрата;
a1 - навеска субстанции, мг;
a0 - навеска фармакопейного стандартного образца оксациллина натрия моногидрата, мг;
P - содержание оксациллина натрия моногидрата в фармакопейном стандартном образце оксациллина натрия моногидрата, %;
W - суммарное содержание воды и остаточных органических растворителей в субстанции, %.
В сухом месте.