Главная // Актуальные документы // Государственная фармакопеяСПРАВКА
Источник публикации
Документ опубликован не был
Примечание к документу
Текст документа приведен в соответствии с публикацией на сайте https://minzdrav.gov.ru/ по состоянию на 23.08.2023.
В соответствии с
Приказом Минздрава России от 20.07.2023 N 377 данный документ введен в действие с 01.09.2023.
Название документа
"ФС.2.1.0494. Фармакопейная статья. Тримебутина малеат. Тримебутин"
(утв. и введена в действие Приказом Минздрава России от 20.07.2023 N 377)
("Государственная фармакопея Российской Федерации. XV издание")
"ФС.2.1.0494. Фармакопейная статья. Тримебутина малеат. Тримебутин"
(утв. и введена в действие Приказом Минздрава России от 20.07.2023 N 377)
("Государственная фармакопея Российской Федерации. XV издание")
МИНИСТЕРСТВО ЗДРАВООХРАНЕНИЯ РОССИЙСКОЙ ФЕДЕРАЦИИ
ФАРМАКОПЕЙНАЯ СТАТЬЯ
Тримебутина малеат | ФС.2.1.0494 |
Тримебутин | |
Trimebutini maleas | Вводится впервые |
|
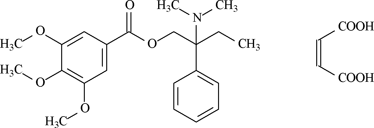
C22H29NO5·C4H4O4 [34140-59-5] | М.м. 503,54 |
ОПРЕДЕЛЕНИЕ
[(2RS)-2-(Диметиламино)-2-фенилбутил](3,4,5-триметоксибензоата)(2Z)-бут-2-ендиоат (1:1).
Содержит не менее 99,0% и не более 101,5% тримебутина малеата C22H29NO5·C4H4O4 в пересчете на сухое вещество.
СВОЙСТВА
Описание. Белый или почти белый кристаллический порошок.
Растворимость. Растворим в ацетонитриле, умеренно растворим в ацетоне, мало растворим в воде и спирте 96%.
ИДЕНТИФИКАЦИЯ
ИК-спектрометрия (
ОФС "Спектрометрия в средней инфракрасной области"). Инфракрасный спектр субстанции в области от 4000 до 400 см
-1 по положению полос поглощения должен соответствовать спектру фармакопейного стандартного образца тримебутина малеата.
ИСПЫТАНИЯ
Температура плавления. От 131 до 135 °C (ОФС "Температура плавления",
метод 1).
Прозрачность раствора. Раствор 0,5 г субстанции в 100 мл ацетона, обработанный ультразвуком, должен быть прозрачным (
ОФС "Прозрачность и степень опалесценции (мутности) жидкостей").
Цветность раствора. Раствор, полученный в
испытании "Прозрачность раствора", должен быть бесцветным (ОФС "Степень окраски жидкостей",
метод 2).
Родственные примеси. Определение проводят методом ВЭЖХ (
ОФС "Высокоэффективная жидкостная хроматография").
Растворы используют свежеприготовленными.
Подвижная фаза А (ПФА). Растворяют 3,6 г натрия дигидрофосфата безводного в 900 мл воды и доводят значение pH раствора фосфорной кислотой концентрированной до 3,0, переносят полученный раствор в мерную колбу вместимостью 1000 мл и доводят объем раствора водой до метки.
Подвижная фаза Б (ПФБ). Ацетонитрил.
Растворитель. Растворяют 0,24 г натрия дигидрофосфата безводного в 180 мл воды, доводят значение pH раствора фосфорной кислотой разведенной 10% до 2,5, доводят объем раствора водой до 200 мл и прибавляют 50 мл ацетонитрила.
Испытуемый раствор. В мерную колбу вместимостью 10 мл помещают 10 мг субстанции, растворяют в растворителе и доводят объем раствора тем же растворителем до метки.
Раствор сравнения. В мерную колбу вместимостью 100 мл помещают 1 мл испытуемого раствора и доводят объем раствора растворителем до метки. В мерную колбу вместимостью 10 мл помещают 1 мл полученного раствора и доводят объем раствора растворителем до метки.
Раствор примеси C. В мерную колбу вместимостью 10 мл помещают 5 мг примеси C, растворяют в растворителе и доводят объем раствора растворителем до метки. В мерную колбу вместимостью 20 мл помещают 1 мл полученного раствора и доводят объем раствора растворителем до метки.
Раствор для проверки пригодности хроматографической системы. Содержимое флакона фармакопейного стандартного образца тримебутина для проверки пригодности хроматографической системы, содержащего примеси D и E, растворяют в 1 мл раствора примеси C.
Примечание
Примесь C: метил(3,4,5-триметоксибензоат) [1916-07-0].
Примесь D: [(1RS)-1-[(диметиламино)метил]-1-фенилпропил](3,4,5-триметоксибензоат) [92414-09-0].
Примесь E: [(2RS)-2-(метиламино)-2-фенилбутил](3,4,5-триметоксибензоат) [84333-59-5].
Хроматографические условия
Колонка | 250 x 4,6 мм, силикагель октадецилсилильный, с полярными группами, эндкепированный для хроматографии, 5 мкм; |
Температура колонки | 25 °C; |
Скорость потока | 1,5 мл/мин; |
Детектор | спектрофотометрический, 215 нм; |
Объем пробы | 20 мкл. |
Режим хроматографирования
Время, мин | ПФА, % | ПФБ, % |
0 - 3 | 78 | 22 |
3 - 6,5 | | |
6,5 - 15 | | |
15 - 35 | 60 | 40 |
35 - 40 | | |
Хроматографируют раствор для проверки пригодности хроматографической системы, раствор сравнения и испытуемый раствор.
Относительное время удерживания соединений. Тримебутин - 1 (около 12 мин); малеиновая кислота - около 0,17; примесь E - около 0,9; примесь D - около 1,3; примесь C - около 1,4.
Идентификация примесей. Для идентификации пиков примесей C, D и E используют относительное время удерживания соединений, хроматограмму раствора для проверки пригодности хроматографической системы и хроматограмму, прилагаемую к стандартному образцу тримебутина для проверки пригодности системы.
Пригодность хроматографической системы. На хроматограмме раствора для проверки пригодности хроматографической системы:
- разрешение (RS) между пиками примесей D и C должно быть не менее 1,5;
- отношение максимум/минимум (p/v) между пиками примеси E и тримебутина должно быть не менее 10.
Допустимое содержание примесей. На хроматограмме испытуемого раствора:
- площадь пика примеси E не должна более чем в 6 раз превышать площадь основного пика на хроматограмме раствора сравнения (не более 0,6%);
- площадь пика любой другой примеси не должна превышать площадь основного пика на хроматограмме раствора сравнения (не более 0,1%);
- сумма площадей пиков всех примесей не должна превышать десятикратную площадь пика тримебутина на хроматограмме раствора сравнения (не более 1,0%).
Не учитывают пик малеиновой кислоты и пики, площадь которых менее 0,5 площади основного пика на хроматограмме раствора сравнения (менее 0,05%).
Потеря в массе при высушивании. Не более 0,5% (ОФС "Потеря в массе при высушивании",
способ 1). Для определения используют 1 г (точная навеска) субстанции.
Сульфатная зола. Не более 0,1% (
ОФС "Сульфатная зола"). Для определения используют 1 г (точная навеска) субстанции.
Тяжелые металлы. Не более 0,001%. Определение проводят в соответствии с ОФС "Тяжелые металлы"
(метод 3А), в зольном остатке, полученном в
испытании "Сульфатная зола", с использованием эталонного раствора 1.
Остаточные органические растворители. В соответствии с
ОФС "Остаточные органические растворители".
Микробиологическая чистота. В соответствии с
ОФС "Микробиологическая чистота".
КОЛИЧЕСТВЕННОЕ ОПРЕДЕЛЕНИЕ
Определение проводят методом титриметрии (
ОФС "Титриметрия (титриметрические методы анализа)").
Растворяют 0,3 г (точная навеска) субстанции в 50 мл уксусной кислоты безводной и титруют 0,1 М раствором хлорной кислоты. Конечную точку титрования определяют потенциометрически (
ОФС "Потенциометрическое титрование").
Параллельно проводят контрольный опыт.
1 мл 0,1 М раствора хлорной кислоты соответствует 50,35 мг тримебутина малеата C22H29NO5·C4H4O4.
ХРАНЕНИЕ
В герметично укупоренной упаковке.