Главная // Актуальные документы // Государственная фармакопеяСПРАВКА
Источник публикации
Документ опубликован не был
Примечание к документу
Текст документа приведен в соответствии с публикацией на сайте https://minzdrav.gov.ru/ по состоянию на 23.08.2023.
В соответствии с
Приказом Минздрава России от 20.07.2023 N 377 данный документ введен в действие с 01.09.2023.
Название документа
"ФС.2.1.0486. Фармакопейная статья. Тобрамицина сульфат. Тобрамицин"
(утв. и введена в действие Приказом Минздрава России от 20.07.2023 N 377)
("Государственная фармакопея Российской Федерации. XV издание")
"ФС.2.1.0486. Фармакопейная статья. Тобрамицина сульфат. Тобрамицин"
(утв. и введена в действие Приказом Минздрава России от 20.07.2023 N 377)
("Государственная фармакопея Российской Федерации. XV издание")
МИНИСТЕРСТВО ЗДРАВООХРАНЕНИЯ РОССИЙСКОЙ ФЕДЕРАЦИИ
ФАРМАКОПЕЙНАЯ СТАТЬЯ
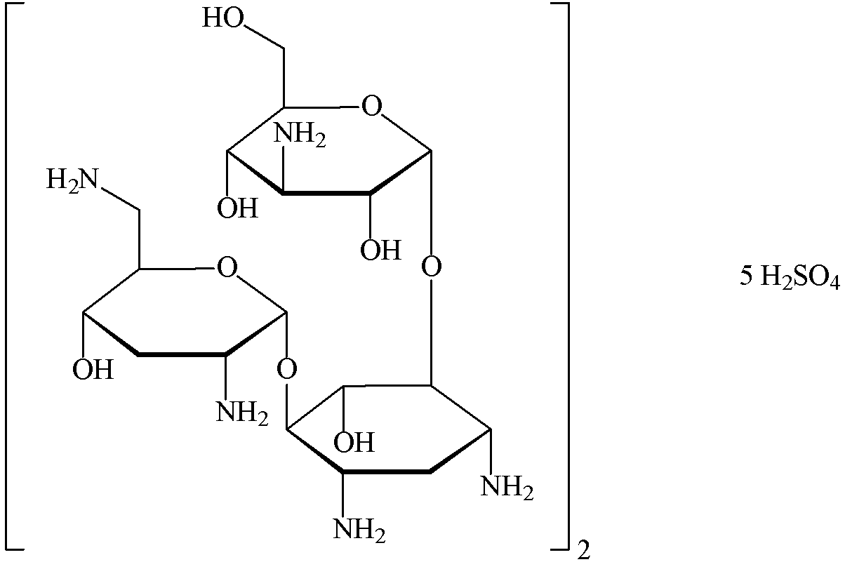
Тобрамицина сульфат | ФС.2.1.0486 |
Тобрамицин | |
Tobramycini sulfas | Вводится впервые |
|
(C18H37N5O9)2·5H2SO4 [79645-27-5] | М.м. 1425,4 |
ОПРЕДЕЛЕНИЕ
O-3-Амино-3-дезокси-

-D-глюкопиранозил-

-
O-[2,6-диамино-2,3,6-тридезокси-

-D-
рибо-гексопиранозил-

]-2-дезокси-D-стрептамина сульфат (2:5).
Содержит не менее 634 мкг и не более 739 мкг на 1 мг тобрамицина C18H37N5O9 в пересчете на безводное и свободное от остаточных органических растворителей вещество.
СВОЙСТВА
Описание. Белый или почти белый порошок.
--------------------------------
<*> Приводится для информации.
Растворимость. Легко растворим в воде, практически нерастворим в спирте 96%.
ИДЕНТИФИКАЦИЯ
1. ВЭЖХ. Время удерживания основного пика на хроматограмме испытуемого раствора должно соответствовать времени удерживания пика тобрамицина на хроматограмме раствора стандартного образца тобрамицина (
раздел "Количественное определение").
2. Тонкослойная хроматография (
ОФС "Тонкослойная хроматография").
Пластинка. ТСХ пластинка со слоем силикагеля.
Подвижная фаза (ПФ). Хлороформ - аммиака раствор концентрированный 25% - метанол 25:30:60.
Реактив для детектирования. В мерную колбу вместимостью 100 мл помещают 1,0 г нингидрина, растворяют в смеси пиридин - бутанол 1:100 и доводят объем раствора тем же растворителем до метки.
Испытуемый раствор. В мерную колбу вместимостью 5 мл помещают 92 мг субстанции, растворяют в воде и доводят объем раствора водой до метки.
Раствор стандартного образца тобрамицина. В мерную колбу вместимостью 5 мл помещают около 30 мг фармакопейного стандартного образца тобрамицина, растворяют в воде и доводят объем раствора водой до метки.
Стандартный раствор. Испытуемый раствор - раствор стандартного образца тобрамицина 1:1.
На линию старта пластинки наносят по 3 мкл испытуемого раствора (18 мкг), раствора стандартного образца тобрамицина (18 мкг) и стандартного раствора (18 мкг). Пластинку с нанесенными пробами высушивают на воздухе, помещают в камеру с ПФ и хроматографируют восходящим способом. Когда фронт ПФ пройдет около 80 - 90% длины пластинки от линии старта, ее вынимают из камеры, сушат до удаления следов растворителей, выдерживают в сушильном шкафу при температуре 110 °C в течение 15 мин, обрабатывают раствором для детектирования и просматривают при дневном свете.
Результат. Основные зоны адсорбции на хроматограмме испытуемого и стандартного раствора по положению, интенсивности окраски и величине должны соответствовать основным зонам адсорбции на хроматограмме раствора стандартного образца тобрамицина.
3. Качественная реакция. Субстанция должна давать характерную реакцию на сульфаты (
ОФС "Общие реакции на подлинность").
ИСПЫТАНИЯ
pH. От 6,0 до 8,0 (4% раствор, ОФС "Ионометрия",
метод 3).
Родственные примеси. Определение проводят методом ТСХ (
ОФС "Тонкослойная хроматография").
Пластинка. ТСХ пластинка со слоем силикагеля.
Раствор натрия хлорида. Растворяют 29,2 г натрия хлорида в 100 мл воды.
Подвижная фаза (ПФ). Вода - спирт 96% - раствор натрия хлорида 20:30:50.
Испытуемый раствор. В мерную колбу вместимостью 10 мл помещают 50 мг субстанции, растворяют в 7 мл воды, доводят значение pH до 5,5 серной кислоты раствором 0,5 М и доводят объем раствора водой до метки.
Раствор сравнения. В мерную колбу вместимостью 100 мл помещают 1,0 мл испытуемого раствора и доводят объем раствора водой до метки.
Реактив для детектирования (А). В мерную колбу вместимостью 100 мл помещают 20 мл натрия гипохлорита раствора концентрированного и доводят объем раствора водой до метки.
Реактив для детектирования (Б). Растворяют 1,1 г калия йодида в 60 мл воды, кипятят в течение 15 мин, медленно прибавляют суспензию 1,5 г крахмала растворимого в 10 мл воды, прибавляют 25 мл воды и кипятят в течение 10 мин. Полученный раствор охлаждают до комнатной температуры, переносят в мерную колбу вместимостью 100 мл и доводят объем раствора водой до метки.
На линию старта пластинки наносят по 1 мкл испытуемого раствора (5 мкг) и раствора сравнения (0,05 мкг). Пластинку с нанесенными пробами сушат на воздухе, помещают в камеру с ПФ и хроматографируют восходящим способом. Когда фронт ПФ пройдет около 80 - 90% длины пластинки от линии старта, ее вынимают из камеры, сушат в токе горячего воздуха до удаления следов растворителей, выдерживают в сушильном шкафу при температуре 110 °C в течение 10 мин. Горячую пластинку обрабатывают реактивом для детектирования (А), сушат в потоке холодного воздуха, пока при добавлении капли реактива для детектирования (Б) зона адсорбции, расположенная ниже основной зоны адсорбции, не приобретет бледно-голубое окрашивание. Затем обрабатывают пластинку реактивом для детектирования (Б) и просматривают в дневном свете. Зона адсорбции, расположенная ниже основной зоны адсорбции, из бледно-голубого окрашивания переходит в голубовато-фиолетовое.
Допустимое содержание примесей. На хроматограмме испытуемого раствора зона адсорбции любой примеси по совокупности величины и интенсивности окраски не должна превышать зону адсорбции тобрамицина на хроматограмме раствора сравнения (не более 1,0%).
Вода. Не более 7,0% (ОФС "Определение воды",
метод 1). Для определения используют 1 г (точная навеска) субстанции.
Сульфатная зола. Не более 1,0% (
ОФС "Сульфатная зола"). Для определения используют 1 г (точная навеска) субстанции.
Остаточные органические растворители. В соответствии с
ОФС "Остаточные органические растворители".
Аномальная токсичность. Субстанция должна быть нетоксичной (
ОФС "Аномальная токсичность"). Тест-доза - 0,5 мг тобрамицина в 0,5 мл воды для инъекций на мышь, внутривенно. Срок наблюдения - 48 ч.
Бактериальные эндотоксины. Не более 2,0 ЕЭ на 1 мг тобрамицина (
ОФС "Бактериальные эндотоксины").
Стерильность. Субстанция должна быть стерильной (
ОФС "Стерильность").
КОЛИЧЕСТВЕННОЕ ОПРЕДЕЛЕНИЕ
Определение проводят методом ВЭЖХ (
ОФС "Высокоэффективная жидкостная хроматография").
Подвижная фаза (ПФ). В мерную колбу вместимостью 2000 мл помещают 2,0 г трис(гидроксиметил)аминометана, растворяют в 800 мл воды, прибавляют 20 мл серной кислоты раствора 0,5 М, доводят объем раствора ацетонитрилом до метки, охлаждают до комнатной температуры и фильтруют через фильтр с размером пор 0,2 мкм.
Раствор фтординитробензола. В мерную колбу вместимостью 100 мл помещают 1,0 г фтординитробензола, растворяют в спирте 96% и доводят объем раствора спиртом 96% до метки.
Раствор трис(гидроксиметил)аминометана. В мерную колбу вместимостью 50 мл помещают 0,75 г трис(гидроксиметил)аминометана, растворяют в воде и доводят объем раствора водой до метки. В мерную колбу вместимостью 200 мл помещают 40,0 мл полученного раствора и доводят объем раствора диметилсульфоксидом до метки. Срок годности раствора - 4 ч.
Испытуемый раствор. В мерную колбу вместимостью 100 мл помещают 67 мг (точная навеска) субстанции, растворяют в воде и доводят объем раствора водой до метки.
Раствор стандартного образца тобрамицина. В мерную колбу вместимостью 10 мл помещают 11 мг (точная навеска) фармакопейного стандартного образца тобрамицина, прибавляют 0,2 мл серной кислоты раствора 0,5 М, растворяют в воде и доводят объем раствора водой до метки. В мерную колбу вместимостью 10 мл помещают 2,0 мл полученного раствора и доводят объем раствора водой до метки.
Дериватизация растворов. В отдельные мерные колбы вместимостью 50 мл помещают по 4,0 мл испытуемого раствора, раствора стандартного образца тобрамицина и воды, прибавляют по 10,0 мл раствора фтординитробензола, по 10,0 мл раствора трис(гидроксиметил)аминометана, перемешивают, герметично закрывают, нагревают на водяной бане при температуре 60 °C в течение 50 мин, вынимают из водяной бани, оставляют на 10 мин, прибавляют ацетонитрил, почти доводя объем растворов до метки, охлаждают до комнатной температуры и доводят объем растворов ацетонитрилом до метки.
Раствор для проверки разделительной способности хроматографической системы. В мерную колбу вместимостью 100 мл помещают 24 мг нафтолбензеина, растворяют в ацетонитриле и доводят объем раствора ацетонитрилом до метки. В мерную колбу вместимостью 10 мл помещают 2,0 мл полученного раствора и доводят объем раствора дериватизированным раствором стандартного образца тобрамицина до метки. Раствор используют сразу после приготовления.
Хроматографические условия
Колонка | 300 x 3,9 мм, силикагель октадецилсилильный для хроматографии, 5 км; |
Температура колонки | 25 °C; |
Скорость потока | 1,2 мл/мин; |
Детектор | спектрофотометрический, 365 нм; |
Объем пробы | 20 мкл; |
Время хроматографирования | 2-кратное от времени удерживания пика тобрамицина. |
Хроматографируют раствор для проверки разделительной способности хроматографической системы и дериватизированные растворы.
Относительное время удерживания соединений. Тобрамицин - 1 (около 9 мин); нафтолбензеин - около 0,6.
Пригодность хроматографической системы. На хроматограмме раствора для проверки разделительной способности хроматографической системы разрешение (RS) между пиками нафтолбензеина и тобрамицина должно быть не менее 4,0.
На хроматограмме раствора стандартного образца тобрамицина относительное стандартное отклонение площади пика тобрамицина должно быть не более 2,0% (6 определений).
Содержание тобрамицина C18H37N5O9 в субстанции в мкг/мг в пересчете на безводное и свободное от остаточных органических растворителей вещество (X) вычисляют по формуле:
где S1 - площадь пика тобрамицина на хроматограмме испытуемого раствора;
S0 - площадь пика тобрамицина на хроматограмме раствора стандартного образца тобрамицина;
a1 - навеска субстанции, мг;
a0 - навеска фармакопейного стандартного образца тобрамицина, мкг;
P - содержание тобрамицина в фармакопейном стандартном образце тобрамицина, мкг/мг;
W - содержание воды и остаточных органических растворителей в субстанции, %;
1425,4 - молекулярная масса тобрамицина сульфата;
467,5 - молекулярная масса тобрамицина.
ХРАНЕНИЕ
В герметично укупоренной упаковке.