Главная // Актуальные документы // Государственная фармакопеяСПРАВКА
Источник публикации
Документ опубликован не был
Примечание к документу
Текст документа приведен в соответствии с публикацией на сайте https://minzdrav.gov.ru/ по состоянию на 22.08.2023.
В соответствии с
Приказом Минздрава России от 20.07.2023 N 377 данный документ введен в действие с 01.09.2023.
Название документа
"ФС.2.1.0455. Фармакопейная статья. Меглюмина акридонацетат"
(утв. и введена в действие Приказом Минздрава России от 20.07.2023 N 377)
("Государственная фармакопея Российской Федерации. XV издание")
"ФС.2.1.0455. Фармакопейная статья. Меглюмина акридонацетат"
(утв. и введена в действие Приказом Минздрава России от 20.07.2023 N 377)
("Государственная фармакопея Российской Федерации. XV издание")
МИНИСТЕРСТВО ЗДРАВООХРАНЕНИЯ РОССИЙСКОЙ ФЕДЕРАЦИИ
ФАРМАКОПЕЙНАЯ СТАТЬЯ
Меглюмина акридонацетат | ФС.2.1.0455 |
Меглюмина акридонацетат | |
Meglumini acridonacetas | Вводится впервые |
|
C7H17NO5·C15H11NO3 | М.м. 448,47 |
ОПРЕДЕЛЕНИЕ
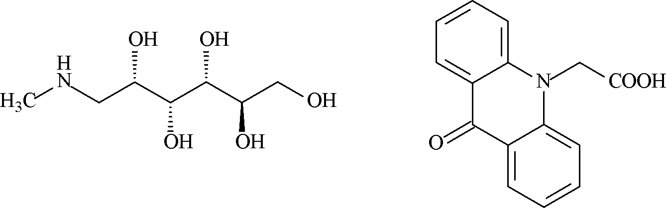
1-Дезокси-1-(метиламино)-D-глюцит-(9-оксоакридин-10(9H)-ил)уксусная кислота (1:1).
Содержит не менее 98,0% и не более 102,0% меглюмина акридонацетата C7H17NO5·C15H11NO3 в пересчете на сухое вещество.
СВОЙСТВА
Описание. От желтого до желто-зеленого цвета порошок.
<*> Светочувствителен. Гигроскопичен.
--------------------------------
<*> Приводится для информации.
Растворимость. Легко растворим в воде, мало растворим в спирте 96%, практически нерастворим в хлороформе.
ИДЕНТИФИКАЦИЯ
1. ВЭЖХ. Время удерживания пика акридонуксусной кислоты на хроматограмме испытуемого раствора должно соответствовать времени удерживания пика акридонуксусной кислоты на хроматограмме раствора стандартного образца акридонуксусной кислоты (
раздел "Количественное определение").
2. Спектрофотометрия (
ОФС "Спектрофотометрия в ультрафиолетовой и видимой областях"). Спектр поглощения испытуемого раствора, приготовленного для
испытания "Количественное определение. Акридонуксусная кислота", в области длин волн от 340 до 450 нм должен соответствовать спектру раствора стандартного образца акридонуксусной кислоты и иметь максимумы при 392 нм и 408 нм.
Отношение оптической плотности испытуемого раствора при длине волн 392 нм к оптической плотности при длине волн 408 нм должно быть не менее 0,9 и не более 1,1.
3. Визуальная колориметрия. Раствор субстанции (
раздел "Количественное определение") должен иметь характерную фиолетово-синюю люминесценцию при толщине слоя раствора не менее 1 см.
4. Качественная реакция. Растворяют 0,1 г субстанции в 2 мл воды, прибавляют 1 мл серебра нитрата аммиачного раствора 5% и нагревают на кипящей водяной бане. В течение 15 - 40 с должно выделиться металлическое серебро.
ИСПЫТАНИЯ
Удельный показатель поглощения. От 185,0 до 220,0 при длине волны 408 нм в пересчете на сухое вещество (0,002% раствор субстанции в воде,
ОФС "Спектрофотометрия в ультрафиолетовой и видимой областях").
Прозрачность раствора. Растворяют 5,5 г субстанции в 25 мл воды. 5 мл полученного раствора должны выдерживать сравнение с эталоном I (
ОФС "Прозрачность и степень опалесценции (мутности) жидкостей").
pH. От 6,0 до 8,0 (22% раствор, ОФС "Ионометрия",
метод 3).
Родственные примеси. Определение проводят методом ВЭЖХ (
ОФС "Высокоэффективная жидкостная хроматография").
Все растворы защищают от света и используют свежеприготовленными.
Буферный раствор. В химический стакан вместимостью 1000 мл помещают 6,8 г калия дигидрофосфата, растворяют в 900 мл воды, доводят значение pH фосфорной кислотой до 2,80, количественно переносят в мерную колбу вместимостью 1000 мл и доводят объем раствора водой до метки.
Подвижная фаза (ПФ). Метанол-ацетонитрил-буферный раствор 5:30:65.
Испытуемый раствор. В мерную колбу вместимостью 100 мл помещают 0,26 г (точная навеска) субстанции, растворяют в 10 мл натрия гидроксида раствора 5% и доводят объем раствора водой до метки. В мерную колбу вместимостью 100 мл помещают 1,0 мл полученного раствора и доводят объем раствора водой до метки.
Раствор сравнения. В мерную колбу вместимостью 25 мл помещают 1,0 мл испытуемого раствора и доводят объем раствора ПФ до метки. В мерную колбу вместимостью 20 мл помещают 1,0 мл полученного раствора и доводят объем раствора ПФ до метки.
Раствор стандартного образца акридонуксусной кислоты. В мерную колбу вместимостью 100 мл помещают 0,15 г (точная навеска) стандартного образца акридонуксусной кислоты, растворяют в 10 мл натрия гидроксида раствора 5% и доводят объем раствора водой до метки. В мерную колбу вместимостью 100 мл помещают 1,0 мл полученного раствора и доводят объем раствора водой до метки.
Раствор для проверки пригодности хроматографической системы. В хроматографический флакон из бесцветного стекла помещают раствор стандартного образца акридонуксусной кислоты, закрывают крышкой и подвергают воздействию солнечного света в течение 15 мин или воздействию УФ-облучения с длиной волны 365 нм в течение 7 ч.
Раствор для проверки чувствительности хроматографической системы. В мерную колбу вместимостью 100 мл помещают 1,0 мл раствора стандартного образца акридонуксусной кислоты и доводят объем раствора водой до метки. В мерную колбу вместимостью 100 мл помещают 10,0 мл полученного раствора и доводят объем раствора водой до метки.
Хроматографические условия
Колонка | 150 x 3,0 мм, силикагель октилсилильный для хроматографии, 5 мкм; |
Температура колонки | 25 °C; |
Скорость потока | 0,35 мл/мин; |
Детектор | спектрофотометрический, 254 нм; |
Объем пробы | 20 мкл; |
Время хроматографирования | 30 мин. |
Хроматографируют раствор для проверки чувствительности хроматографической системы, раствор для проверки пригодности хроматографической системы, раствор сравнения и испытуемый раствор.
Пригодность хроматографической системы
На хроматограмме раствора для проверки чувствительности хроматографической системы отношение сигнал/шум (S/N) для пика акридонуксусной кислоты должно быть не менее 10.
На хроматограмме раствора для проверки пригодности хроматографической системы разрешение (R) между пиком акридонуксусной кислоты и пиком с относительным временем удерживания 1,2 должно быть не менее 3,0.
Допустимое содержание примесей. На хроматограмме испытуемого раствора:
- площадь пика любой примеси не должна превышать площадь пика акридонуксусной кислоты на хроматограмме раствора сравнения (не более 0,2%);
- сумма площадей пиков всех примесей не должна превышать 10-кратную площадь пика акридонуксусной кислоты на хроматограмме раствора сравнения (не более 2,0%).
Потеря в массе при высушивании. Не более 1,0% (ОФС "Потеря в массе при высушивании",
способ 1). Для определения используют 1 г (точная навеска) субстанции.
Сульфатная зола. Не более 0,1% (
ОФС "Сульфатная зола"). Для определения используют 1 г (точная навеска) субстанции.
Тяжелые металлы. Не более 0,001%. Определение проводят в соответствии с ОФС "Тяжелые металлы" (
метод 3А или
3Б) в зольном остатке, полученном в
испытании "Сульфатная зола", с использованием эталонного раствора 1.
Остаточные органические растворители. В соответствии с
ОФС "Остаточные органические растворители".
<**> Бактериальные эндотоксины. Не более 0,5 ЕЭ на 1 мг субстанции (
ОФС "Бактериальные эндотоксины").
--------------------------------
<**> Испытание проводят для субстанции, предназначенной для производства лекарственных препаратов для парентерального применения.
Микробиологическая чистота. В соответствии с
ОФС "Микробиологическая чистота".
КОЛИЧЕСТВЕННОЕ ОПРЕДЕЛЕНИЕ
Определение проводят методом ВЭЖХ в условиях
испытания "Родственные примеси" со следующими изменениями.
Хроматографируют раствор стандартного образца акридонуксусной кислоты и испытуемый раствор.
Пригодность хроматографической системы. На хроматограмме раствора стандартного образца акридонуксусной кислоты:
- фактор асимметрии пика (As) акридонуксусной кислоты должен быть не более 1,5;
- относительное стандартное отклонение площади пика акридонуксусной кислоты должно быть не более 3,0% (6 введений).
Содержание меглюмина акридонацетата C7H17NO5·C15H11NO3 в субстанции в процентах в пересчете на сухое вещество (X) вычисляют по формуле:
где S1 - площадь пика акридонуксусной кислоты на хроматограмме испытуемого раствора;
S0 - площадь пика акридонуксусной кислоты на хроматограмме раствора стандартного образца акридонуксусной кислоты;
a1 - навеска субстанции, мг;
a0 - навеска стандартного образца акридонуксусной кислоты, мг;
P - содержание акридонуксусной кислоты в стандартном образце акридонуксусной кислоты, %;
W - потеря в массе при высушивании, %.
ХРАНЕНИЕ
В сухом, защищенном от света месте.