Главная // Актуальные документы // Государственная фармакопеяСПРАВКА
Источник публикации
Документ опубликован не был
Примечание к документу
Текст документа приведен в соответствии с публикацией на сайте https://minzdrav.gov.ru/ по состоянию на 21.08.2023.
В соответствии с
Приказом Минздрава России от 20.07.2023 N 377 данный документ введен в действие с 01.09.2023.
Взамен ФС 42-0062-01.
Название документа
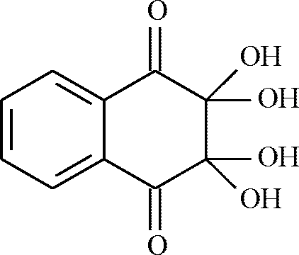
"ФС.2.1.0414. Фармакопейная статья. Диоксотетрагидрокситетрагидронафталин"
(утв. и введена в действие Приказом Минздрава России от 20.07.2023 N 377)
("Государственная фармакопея Российской Федерации. XV издание")
"ФС.2.1.0414. Фармакопейная статья. Диоксотетрагидрокситетрагидронафталин"
(утв. и введена в действие Приказом Минздрава России от 20.07.2023 N 377)
("Государственная фармакопея Российской Федерации. XV издание")
МИНИСТЕРСТВО ЗДРАВООХРАНЕНИЯ РОССИЙСКОЙ ФЕДЕРАЦИИ
ФАРМАКОПЕЙНАЯ СТАТЬЯ
Диоксотетрагидрокситетрагидронафталин | ФС.2.1.0414 |
Диоксотетрагидрокситетрагидронафталин | |
Dioxotetrahydroxytetrahydronaphthalinum | Взамен ФС 42-0062-01 |
|
C10H8O6 [100343-43-9] | М.м. 224,17 |
ОПРЕДЕЛЕНИЕ
2,2,3,3-Тетрагидрокси-2,3-дигидронафталин-1,4-дион.
| | ИС МЕГАНОРМ: примечание. Текст дан в соответствии с официальным текстом документа. | |
Содержит не менее 99,0% и не более 102,0% диоксотетрагидрокситетрагидронафталина C10H4O4 в пересчете на безводное и свободное от остаточных органических растворителей вещество.
СВОЙСТВА
Описание. Белый или белый с розоватым оттенком кристаллический порошок.
Растворимость. Легко растворим в воде и спирте 96%, практически нерастворим в хлороформе.
ИДЕНТИФИКАЦИЯ
1. ИК-спектрометрия (
ОФС "Спектрометрия в средней инфракрасной области"). Инфракрасный спектр субстанции в области от 4000 до 400 см
-1 по положению полос поглощения должен соответствовать спектру фармакопейного стандартного образца диоксотетрагидрокситетрагидронафталина.
2. Спектрофотометрия (
ОФС "Спектрофотометрия в ультрафиолетовой и видимой областях").
Испытуемый раствор. В мерную колбу вместимостью 50 мл помещают 50 мг субстанции, растворяют в хлористоводородной кислоты растворе 0,1 М и доводят объем раствора тем же растворителем до метки. В мерную колбу вместимостью 100 мл помещают 1,0 мл полученного раствора и доводят объем раствора хлористоводородной кислоты раствором 0,1 М до метки.
Спектр поглощения испытуемого раствора в области длин волн от 200 до 340 нм должен иметь максимумы при 228, 260 и 305 нм и минимумы при 246 и 287 нм.
3. Качественная реакция. Растворяют 10 мг субстанции в 5 мл воды и прибавляют 0,2 мл натрия гидроксида раствора 30%; должно появиться сине-фиолетовое окрашивание.
4. Качественная реакция. Растворяют 0,2 г субстанции в 5 мл воды, прибавляют 5 мл натрия гидросульфита раствора 5% и нагревают при перемешивании в течение 2 мин на водяной бане; должно появиться красное окрашивание, в течение 10 мин должен образоваться кирпично-красный осадок изонафтазарина. Осадок отфильтровывают на воронке Бюхнера, промывают 5 мл воды и сушат на воздухе в течение 1 ч. Определяют температуру разложения изонафтазарина, которая должна быть не ниже 276 °C.
ИСПЫТАНИЯ
pH раствора. От 4,0 до 5,0 (5% раствор, ОФС "Ионометрия",
метод 3).
Изонафтазарин. Определение проводят методом ТСХ (
ОФС "Тонкослойная хроматография").
Все растворы используют свежеприготовленными.
Пластинка. ТСХ пластинка со слоем силикагеля.
Предварительная подготовка пластинки. Пластинку погружают в щавелевой кислоты раствор 2% в этаноле, сушат на воздухе и высушивают при температуре 96 °C в течение 5 мин.
Подвижная фаза (ПФ). Муравьиная кислота безводная - бензол - этилацетат 10:50:50.
Испытуемый раствор. Растворяют 0,1 г субстанции в 2 мл смеси муравьиная кислота безводная - ацетон 5:95.
Раствор изонафтазарина. В мерную колбу вместимостью 100 мл помещают 10 мг изонафтазарина, полученного в
испытании "Подлинность. 4. Качественная реакция", растворяют в 85 мл ацетона и доводят объем раствора ацетоном до метки.
Раствор для проверки разделительной способности хроматографической системы. Испытуемый раствор - раствор изонафтазарина 1:1.
На линию старта пластинки полосами длиной 0,5 см наносят по 5 мкл испытуемого раствора (250 мкг), раствора изонафтазарина (0,5 мкг) и 10 мкл раствора для проверки разделительной способности хроматографической системы. Не допуская высушивания нанесенных проб, пластинку помещают в камеру с ПФ и хроматографируют восходящим способом. Когда фронт ПФ пройдет около 80 - 90% длины пластинки от линии старта, ее вынимают из камеры, сушат на воздухе в течение 5 мин, выдерживают в камере с парами аммиака, предварительно насыщенной с помощью 20 мл аммиака водного, в течение не менее 3 мин до четкого проявления зон адсорбции и просматривают в видимом свете.
Пригодность хроматографической системы. На хроматограмме раствора для проверки разделительной способности хроматографической системы должны обнаруживаться 2 разделенные зоны адсорбции.
Допустимое содержание примесей. На хроматограмме испытуемого раствора зона адсорбции, находящаяся на уровне зоны адсорбции изонафтазарина, по совокупности величины и интенсивности окраски не должна превышать зону адсорбции изонафтазарина на хроматограмме раствора изонафтазарина (не более 0,2%).
Зону адсорбции на линии старта при оценке не учитывают.
Вода. От 15,8% до 17,0% (ОФС "Определение воды",
метод 1). Для определения используют 0,2 г (точная навеска) субстанции.
Хлориды. Не более 0,02% (
ОФС "Хлориды"). Растворяют 0,1 г субстанции в 10 мл воды.
Сульфатная зола. Не более 0,1% (
ОФС "Сульфатная зола"). Для определения используют 1 г (точная навеска) субстанции.
Тяжелые металлы. Не более 0,001%. Определение проводят в соответствии с ОФС "Тяжелые металлы"
(метод 3А) в зольном остатке, полученном в
испытании "Сульфатная зола", с использованием эталонного раствора 1.
Остаточные органические растворители. В соответствии с
ОФС "Остаточные органические растворители".
Микробиологическая чистота. В соответствии с
ОФС "Микробиологическая чистота".
КОЛИЧЕСТВЕННОЕ ОПРЕДЕЛЕНИЕ
Определение проводят методом титриметрии (
ОФС "Титриметрия (титриметрические методы анализа)").
Растворяют 60 мг (точная навеска) субстанции в 200 мл воды, прибавляют 2 мл серной кислоты концентрированной и 25,0 мл 0,1 М раствора церия (IV) сульфата, перемешивают, нагревают на водяной бане при температуре 50 - 60 °C в течение 30 мин, охлаждают до комнатной температуры, прибавляют 25 мл калия йодида раствора 10%, выдерживают в темноте в течение 30 мин и титруют 0,1 М раствором натрия тиосульфата до исчезновения окраски (индикатор - 1 мл крахмала раствора 1%).
Параллельно проводят контрольный опыт.
Разность объемов 0,1 М раствора натрия тиосульфата соответствует объему 0,1 М раствора церия (IV) сульфата, прореагировавшего с диоксотетрагидрокситетрагидронафталином.
| | ИС МЕГАНОРМ: примечание. Текст дан в соответствии с официальным текстом документа. | |
Содержание диоксотетрагидрокситетрагидронафталина C10H4O4 в пересчете на безводное и свободное от остаточных органических растворителей вещество в процентах (X) вычисляют по формуле:
где V1 - объем 0,1 М раствора натрия тиосульфата, пошедший на титрование испытуемого раствора, мл;
V0 - объем 0,1 М раствора натрия тиосульфата, пошедший на титрование контрольного опыта, мл;
a1 - навеска субстанции, мг;
K - поправочный коэффициент 0,1 М раствора натрия тиосульфата;
3,136 - количество диоксотетрагидрокситетрагидронафталина безводного, соответствующее 1 мл 0,1 М раствора церия (IV) сульфата, мг;
W - суммарное содержание воды и остаточных органических растворителей в субстанции, %.
ХРАНЕНИЕ
При температуре не выше 7 °C.