Главная // Актуальные документы // Государственная фармакопеяСПРАВКА
Источник публикации
Документ опубликован не был
Примечание к документу
Текст документа приведен в соответствии с публикацией на сайте https://minzdrav.gov.ru/ по состоянию на 21.08.2023.
В соответствии с
Приказом Минздрава России от 20.07.2023 N 377 данный документ введен в действие с 01.09.2023.
Взамен ФС 42-2612-97.
Название документа
"ФС.2.1.0404. Фармакопейная статья. Даунорубицина гидрохлорид. Даунорубицин"
(утв. и введена в действие Приказом Минздрава России от 20.07.2023 N 377)
("Государственная фармакопея Российской Федерации. XV издание")
"ФС.2.1.0404. Фармакопейная статья. Даунорубицина гидрохлорид. Даунорубицин"
(утв. и введена в действие Приказом Минздрава России от 20.07.2023 N 377)
("Государственная фармакопея Российской Федерации. XV издание")
МИНИСТЕРСТВО ЗДРАВООХРАНЕНИЯ РОССИЙСКОЙ ФЕДЕРАЦИИ
ФАРМАКОПЕЙНАЯ СТАТЬЯ
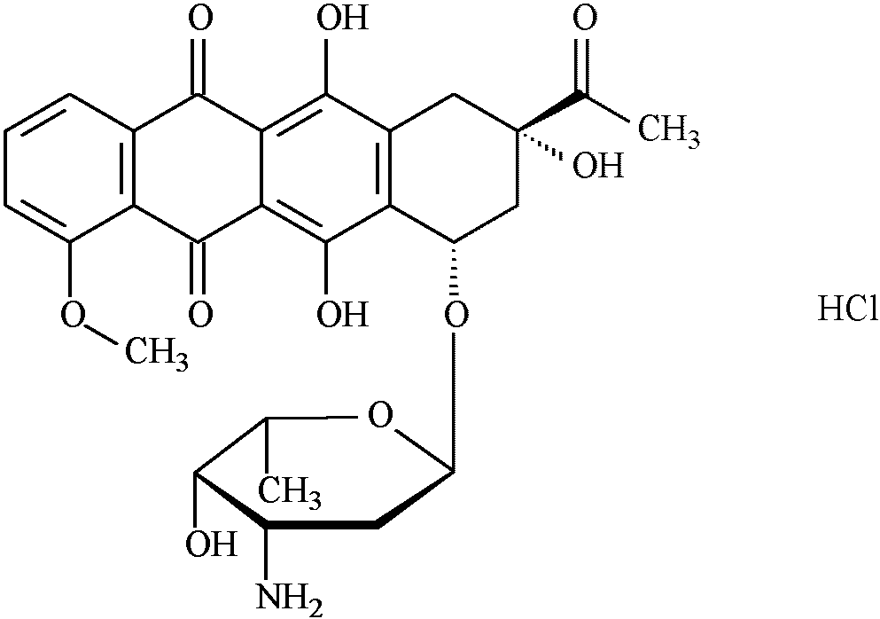
Даунорубицина гидрохлорид Даунорубицин Daunorubicini hydrochloridum | ФС.2.1.0404 |
Взамен ФС 42-2612-97 |
C27H29NO10·HCl [23541-50-6] | М.м. 563,98 |
(8
S,10
S)-10-[(3-амино-2,3,6-тридезокси-

-L-
ликсо-гексопиранозил)окси]-8-ацетил-6,8,11-тригидрокси-1-метокси-7,8,9,10-тетрагидротетрацен-5,12-диона гидрохлорид.
Субстанция представляет собой смесь компонентов, продуцируемых определенными штаммами Streptomyces coeruleorubidus или Streptomyces peucetius, или получаемых другим путем.
Содержит не менее 95,0% и не более 102,0% даунорубицина гидрохлорида C27H29NO10·HCl в пересчете на безводное и свободное от остаточных органических растворителей вещество.
Описание. Оранжево-красный кристаллический порошок.
<*> Гигроскопичен.
--------------------------------
<*> Приводится для информации.
Растворимость. Легко растворим в воде и метаноле, мало растворим в спирте 96%, практически нерастворим в ацетоне.
1. ИК-спектрометрия (
ОФС "Спектрометрия в средней инфракрасной области"). Инфракрасный спектр субстанции, снятый в диске с калия бромидом, в области от 4000 до 400 см
-1 по положению полос поглощения должен соответствовать спектру фармакопейного стандартного образца даунорубицина гидрохлорида.
2. ВЭЖХ. Время удерживания основного пика на хроматограмме испытуемого раствора должно соответствовать времени удерживания пика даунорубицина на хроматограмме раствора стандартного образца даунорубицина гидрохлорида (А) (
раздел "Количественное определение").
3. Качественная реакция. Субстанция должна давать характерную реакцию А на хлориды (
ОФС "Общие реакции на подлинность").
Прозрачность раствора. Раствор 20 мг субстанции в 10 мл воды должен быть прозрачным (
ОФС "Прозрачность и степень опалесценции (мутности) жидкостей").
pH раствора. От 4,5 до 6,5 (0,5% раствор в воде, свободной от углерода диоксида, ОФС "Ионометрия",
метод 3).
Родственные примеси. Определение проводят методом ВЭЖХ (
ОФС "Высокоэффективная жидкостная хроматография").
Все растворы готовят непосредственно перед использованием.
Раствор А. Растворяют 2,88 г натрия лаурилсульфата в воде, прибавляют 2,25 г фосфорной кислоты концентрированной и доводят объем раствора водой до 1000 мл.
Подвижная фаза (ПФ). Ацетонитрил - раствор А 500:500.
Испытуемый раствор. В мерную колбу вместимостью 50 мл помещают 50 мг (точная навеска) субстанции, растворяют в ПФ и доводят объем раствора ПФ до метки.
Раствор стандартного образца даунорубицина гидрохлорида (А). В мерную колбу вместимостью 25 мл помещают 25 мг (точная навеска) фармакопейного стандартного образца даунорубицина гидрохлорида, растворяют в ПФ и доводят объем раствора ПФ до метки.
Раствор стандартного образца даунорубицина гидрохлорида (Б). В мерную колбу вместимостью 200 мл помещают 1,0 мл раствора стандартного образца даунорубицина гидрохлорида (А) и доводят объем раствора ПФ до метки.
Стандартный раствор. В мерную колбу вместимостью 100 мл помещают 5 мг (точная навеска) фармакопейного стандартного образца даунорубицинона и 5 мг (точная навеска) фармакопейного стандартного образца доксорубицина гидрохлорида [25316-40-9], растворяют в ПФ и доводят объем раствора ПФ до метки. В мерную колбу вместимостью 10 мл помещают 1,0 мл полученного раствора и доводят объем раствора ПФ до метки.
Раствор для проверки разделительной способности хроматографической системы. В мерную колбу вместимостью 100 мл помещают 10 мг фармакопейного стандартного образца доксорубицина гидрохлорида и 10 мг фармакопейного стандартного образца эпирубицина гидрохлорида, растворяют в ПФ и доводят объем раствора ПФ до метки. В мерную колбу вместимостью 10 мл помещают 1,0 мл полученного раствора и доводят объем раствора ПФ до метки.
Раствор для проверки чувствительности хроматографической системы. В мерную колбу вместимостью 10 мл помещают 1,0 мл раствора стандартного образца даунорубицина гидрохлорида (Б) и доводят объем раствора ПФ до метки.
Примечание
Примесь A (даунорубицинон): (8S,10S)-8-ацетил-6,8,10,11-тетрагидрокси-1-метокси-7,8,9,10-тетрагидротетрацен-5,12-дион [21794-55-8].
Примесь B (даунорубицинол): (8
S,10
S)-10-[(3-амино-2,3,6-тридезокси-

-L-
ликсо-гексопиранозил)окси]-6,8,11-тригидрокси-8-[(1
RS)-1-гидроксиэтил]-1-метокси-7,8,9,10-тетрагидротетрацен-5,12-дион [28008-55-1].
Примесь D (доксорубицин): (8
S,10
S)-10-[(3-амино-2,3,6-тридезокси-

-L-
ликсо-гексопиранозил)окси]-6,8,11-тригидрокси-8-(гидроксиацетил)-1-метокси-7,8,9,10-тетрагидротетрацен-5,12-дион [23214-92-8].
Хроматографические условия
Колонка | 250 x 4,0 мм, силикагель октадецилсилильный, эндкепированный, для хроматографии, 5 мкм; |
Температура колонки | 25 °C; |
Скорость потока | 1,0 мл/мин; |
Детектор | спектрофотометрический, 254 нм; |
Объем пробы | 5 мкл; |
Время хроматографирования | 2-кратное от времени удерживания пика даунорубицина. |
Хроматографируют раствор для проверки чувствительности хроматографической системы, раствор для проверки разделительной способности хроматографической системы, раствор стандартного образца даунорубицина гидрохлорида (Б), стандартный раствор и испытуемый раствор.
Относительное время удерживания соединений. Даунорубицин - 1 (около 15 мин); примесь A - около 0,4; примесь D - около 0,5; эпирубицин - около 0,6; примесь B - около 0,7.
Пригодность хроматографической системы
На хроматограмме раствора для проверки чувствительности хроматографической системы отношение сигнал/шум (S/N) для пика даунорубицина должно быть не менее 10.
На хроматограмме раствора для проверки разделительной способности хроматографической системы разрешение (RS) между пиками доксорубицина и эпирубицина должно быть не менее 2,0.
Содержание примеси A в субстанции в процентах (X) вычисляют по формуле:

,
где S1 - площадь пика примеси A на хроматограмме испытуемого раствора;
S0 - площадь пика примеси A на хроматограмме стандартного раствора;
a1 - навеска субстанции, мг;
a0 - навеска фармакопейного стандартного образца даунорубицинона, мг;
P - содержание даунорубицинона в фармакопейном стандартном образце даунорубицинона, %.
Содержание примеси D в субстанции в процентах (X) вычисляют по формуле:

,
где S1 - площадь пика примеси D на хроматограмме испытуемого раствора;
S0 - площадь пика примеси D на хроматограмме стандартного раствора;
a1 - навеска субстанции, мг;
a0 - навеска фармакопейного стандартного образца доксорубицина гидрохлорида, мг;
P - содержание доксорубицина гидрохлорида в фармакопейном стандартном образце доксорубицина гидрохлорида, %.
580,0 - молекулярная масса доксорубицина гидрохлорида;
543,5 - молекулярная масса доксорубицина.
Содержание примеси B в субстанции в процентах (X) вычисляют по формуле:

,
где S1 - площадь пика примеси B на хроматограмме испытуемого раствора;
S0 - площадь пика даунорубицина на хроматограмме раствора стандартного образца даунорубицина гидрохлорида (Б);
a1 - навеска субстанции, мг;
a0 - навеска фармакопейного стандартного образца даунорубицина гидрохлорида, мг;
P - содержание даунорубицина в фармакопейном стандартном образце даунорубицина гидрохлорида, %.
Содержание любой другой примеси в субстанции в процентах (X) вычисляют по формуле:

,
где S1 - площадь пика любой другой примеси на хроматограмме испытуемого раствора;
S0 - площадь пика даунорубицина на хроматограмме раствора стандартного образца даунорубицина гидрохлорида (Б);
a1 - навеска субстанции, мг;
a0 - навеска фармакопейного стандартного образца даунорубицина гидрохлорида, мг;
P - содержание даунорубицина в фармакопейном стандартном образце даунорубицина гидрохлорида, %.
Допустимое содержание примесей:
- примесь A и D - не более 0,5% каждая;
- примесь B - не более 1,5%;
- любая другая примесь - не более 0,5%;
- сумма примесей - не более 2,5%.
Не учитывают пики, площадь которых менее площади основного пика на хроматограмме раствора для проверки чувствительности хроматографической системы (менее 0,05%).
Вода. Не более 3,0% (ОФС "Определение воды",
метод 1). Для определения используют 0,1 г (точная навеска) субстанции.
Остаточные органические растворители. В соответствии с
ОФС "Остаточные органические растворители".
Аномальная токсичность. Субстанция должна быть нетоксичной (
ОФС "Аномальная токсичность"). Тест-доза - 0,2 мг даунорубицина в 0,5 мл воды для инъекций на мышь, внутривенно. Срок наблюдения - 14 суток.
Бактериальные эндотоксины. Не более 0,55 ЕЭ на 1 мг даунорубицина (
ОФС "Бактериальные эндотоксины").
Депрессорные вещества. Субстанция не должна обладать депрессорным действием (
ОФС "Испытание на депрессорные вещества"). Тест-доза - 1,5 мг даунорубицина в 0,2 мл натрия хлорида раствора 0,9% на 1 кг массы животного.
Микробиологическая чистота. В соответствии с
ОФС "Микробиологическая чистота".
КОЛИЧЕСТВЕННОЕ ОПРЕДЕЛЕНИЕ
Определение проводят методом ВЭЖХ в условиях
испытания "Родственные примеси" со следующими изменениями.
Хроматографируют раствор стандартного образца даунорубицина гидрохлорида (А) и испытуемый раствор.
Содержание даунорубицина гидрохлорида C27H29NO10·HCl в субстанции в пересчете на безводное и свободное от остаточных органических растворителей вещество в процентах (X) рассчитывают по формуле:

,
где S1 - площадь пика даунорубицина на хроматограмме испытуемого раствора;
S0 - площадь пика даунорубицина на хроматограмме раствора стандартного образца даунорубицина гидрохлорида (А);
a1 - навеска субстанции, мг;
a0 - навеска фармакопейного стандартного образца даунорубицина гидрохлорида, мг;
P - содержание даунорубицина гидрохлорида в фармакопейном стандартном образце даунорубицина гидрохлорида, %;
W - суммарное содержание воды и остаточных органических растворителей в субстанции, %.
В герметично укупоренной упаковке, в защищенном от света месте.