Главная // Актуальные документы // Государственная фармакопеяСПРАВКА
Источник публикации
Документ опубликован не был
Примечание к документу
Текст документа приведен в соответствии с публикацией на сайте https://minzdrav.gov.ru/ по состоянию на 23.08.2023.
В соответствии с
Приказом Минздрава России от 20.07.2023 N 377 данный документ введен в действие с 01.09.2023.
Название документа
"ФС.2.1.0312. Фармакопейная статья. Цефоперазон натрия. Цефоперазон"
(утв. и введена в действие Приказом Минздрава России от 20.07.2023 N 377)
("Государственная фармакопея Российской Федерации. XV издание")
"ФС.2.1.0312. Фармакопейная статья. Цефоперазон натрия. Цефоперазон"
(утв. и введена в действие Приказом Минздрава России от 20.07.2023 N 377)
("Государственная фармакопея Российской Федерации. XV издание")
МИНИСТЕРСТВО ЗДРАВООХРАНЕНИЯ РОССИЙСКОЙ ФЕДЕРАЦИИ
ФАРМАКОПЕЙНАЯ СТАТЬЯ
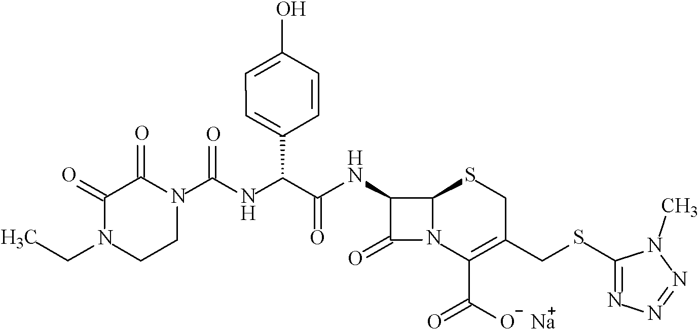
Цефоперазон натрия Цефоперазон Cefoperazonum natricum | ФС |
Вводится впервые |
|
C25H26N9NaO8S2 [62893-20-3] | М.м. 667,65 |
(6R,7R)-7-[(2R)-2-(4-Гидроксифенил)-2-(2,3-диоксо-4-этилпиперазин-1-карбоксамидо)ацетамидо]-3-{[(1-метил-1H-тетразол-5-ил)сульфанил]метил}-8-оксо-5-тиа-1-азабицикло[4.2.0]окт-2-ен-2-карбоксилат натрия.
Содержит не менее 95,0% и не более 102,0% цефоперазона натрия C25H26N9NaO8S2 в пересчете на безводное и свободное от остаточных органических растворителей вещество.
Описание. Белый или белый с желтым оттенком порошок.
<*> Гигроскопичен. Кристаллический порошок проявляет полиморфизм.
--------------------------------
<*> Приводится для информации.
Растворимость. Легко растворим в воде, растворим в метаноле, мало растворим в спирте 96%.
1. ИК-спектрометрия (
ОФС "Спектрометрия в средней инфракрасной области"). Инфракрасный спектр субстанции в области от 4000 до 400 см
-1 по положению полос поглощения должен соответствовать спектру фармакопейного стандартного образца цефоперазона натрия.
2. ВЭЖХ. Время удерживания основного пика на хроматограмме испытуемого раствора должно соответствовать времени удерживания пика цефоперазона натрия на хроматограмме раствора стандартного образца цефоперазона дигидрата А (
раздел "Количественное определение").
3. Качественная реакция. Субстанция должна давать характерную реакцию Б на натрий (
ОФС "Общие реакции на подлинность").
Прозрачность раствора. Раствор 2,5 г субстанции в 25 мл воды должен быть прозрачным (
ОФС "Прозрачность и степень опалесценции (мутности) жидкостей").
Оптическая плотность. Оптическая плотность раствора субстанции, полученного в
испытании "Прозрачность раствора", измеренная в максимуме поглощения при длине волны 430 нм в кювете с толщиной слоя 1 см не должна превышать 0,15 (
ОФС "Спектрофотометрия в ультрафиолетовой и видимой областях").
pH раствора. От 4,5 до 6,5 (25% раствор субстанции в воде, ОФС "Ионометрия",
метод 3).
Родственные примеси. Определение проводят методом ВЭЖХ (
ОФС "Высокоэффективная жидкостная хроматография").
Все растворы готовят непосредственно перед использованием.
Раствор А. В мерную колбу вместимостью 100 мл помещают 14 мл триэтиламина, 5,7 мл уксусной кислоты ледяной и доводят объем раствора водой до метки.
Подвижная фаза (ПФ). Раствор А - уксусной кислоты раствор 1 М - ацетонитрил - вода 2,5:3,5:110:884.
Испытуемый раствор. В мерную колбу вместимостью 50 мл помещают 25,0 мг субстанции, растворяют в ПФ и доводят объем раствора тем же растворителем до метки.
Раствор стандартного образца цефоперазона дигидрата А. В мерную колбу вместимостью 250 мл помещают 25 мг (точная навеска) фармакопейного стандартного образца цефоперазона дигидрата, растворяют в ПФ и доводят объем раствора тем же растворителем до метки.
Раствор стандартного образца цефоперазона дигидрата Б. В мерную колбу вместимостью 100 мл помещают 5,0 мл раствора стандартного образца цефоперазона дигидрата А и доводят объем раствора ПФ до метки.
Хроматографические условия
Колонка | 150 x 4,6 мм, силикагель октадецилсилильный, эндкепированный, для хроматографии, 5 мкм; |
Температура колонки | 25 °C; |
Скорость потока | 1,0 мл/мин; |
Детектор | спектрофотометрический, 254 нм; |
Объем пробы | 20 мкл; |
Время хроматографирования | 2,5-кратное от времени удерживания пика цефоперазона. |
Хроматографируют раствор стандартного образца цефоперазона дигидрата Б, раствор стандартного образца цефоперазона дигидрата А и испытуемый раствор.
Время удерживания соединения. Цефоперазон - около 15 мин.
Пригодность хроматографической системы. На хроматограмме раствора стандартного образца цефоперазона дигидрата А:
- фактор асимметрии пика (AS) цефоперазона должен быть не более 1,6.
Допустимое содержание примесей. На хроматограмме испытуемого раствора:
- площадь пика любой примеси не должна превышать 1,5 площади пика цефоперазона на хроматограмме раствора стандартного образца цефоперазона дигидрата Б (не более 1,5%);
- сумма площадей пиков всех примесей не должна превышать 4,5 площади пика цефоперазона на хроматограмме раствора стандартного образца цефоперазона дигидрата Б (не более 4,5%).
Не учитывают пики, площадь которых составляет менее 0,1 площади пика цефоперазона на хроматограмме раствора стандартного образца цефоперазона дигидрата Б (менее 0,1%).
Вода. Не более 5,0% (ОФС "Определение воды",
метод 1) Для определения используют 0,2 г (точная навеска) субстанции.
Тяжелые металлы. Не более 0,0005%. Определение проводят в соответствии с ОФС "Тяжелые металлы"
(метод 3А), в зольном остатке, полученном после сжигания 2,0 г субстанции.
Остаточные органические растворители. В соответствии с
ОФС "Остаточные органические растворители".
Ацетон. Не более 2%. Определение проводят методом ГХ (
ОФС "Газовая хроматография").
Все растворы используют свежеприготовленными и защищают от света.
Испытуемый раствор. В мерную колбу вместимостью 10 мл помещают 0,5 г (точная навеска) субстанции, растворяют в воде и доводят объем тем же растворителем до метки.
Стандартный раствор. В мерную колбу вместимостью 100 мл помещают 0,35 г ацетона и доводят объем водой до метки. В мерную колбу вместимостью 100 мл, помещают 10,0 мл полученного раствора и доводят объем тем же растворителем до метки.
По 1,0 мл испытуемого раствора помещают в 4 мерные колбы вместимостью 5 мл, в 1 колбе доводят объем водой до метки, во 2 колбу прибавляют 1 мл стандартного раствора и доводят объем раствора водой до метки, в 3 колбу прибавляют 2 мл стандартного раствора и доводят объем раствора водой до метки, в 4 колбу прибавляют 3 мл стандартного раствора и доводят объем раствора водой до метки.
Хроматографические условия
Колонка | кварцевая капиллярная 30 м x 0,53 мм, покрытая слоем поли(цианопропилфенил)(6)(метил)(94) силоксана, 3,0 мкм; |
Детектор | пламенно-ионизационный; |
Газ-носитель | азот для хроматографии; |
Температура колонки | 40 °C в течение 10 мин. |
Для проведения статического парафазного анализа камеру с испытуемым образцом предварительно термостатируют при температуре 110 °C в течение не менее 15 мин.
Пригодность хроматографической системы. На хроматограмме стандартного раствора:
- разрешение (RS) между пиками основным пиком и пиком ацетона должно быть не менее 1,0;
Строят калибровочный график зависимости площади пика ацетона от его концентрации. Определяют параметры линейной регрессии.
Коэффициент корреляции должен быть не менее 0,95.
С помощью уравнения линейной регрессии находят концентрацию ацетона в испытуемом растворе.
Содержание ацетона в субстанции в процентах от заявленного количества (X) вычисляют по формуле:

,
где C - концентрация ацетона в испытуемом растворе, определенная по калибровочному графику, мкг/мл;
a1 - навеска субстанции, мг;
P - чистота ацетона, %.
Аномальная токсичность. Субстанция должна быть нетоксичной (
ОФС "Аномальная токсичность"). Тест-доза - 50 мг цефоперазона натрия в 0,5 мл воды для инъекций на мышь, внутривенно. Срок наблюдения 48 ч.
<**>
Бактериальные эндотоксины. Не более 0,55 ЕЭ на 1 мг цефоперазона (
ОФС "Бактериальные эндотоксины").
--------------------------------
<**> Испытание проводят для субстанции, предназначенной для производства лекарственных препаратов для парентерального применения.
Микробиологическая чистота. В соответствии с
ОФС "Микробиологическая чистота".
<***>
Стерильность. Субстанция должна быть стерильной (
ОФС "Стерильность").
--------------------------------
<***> Проводят для субстанции, которая в процессе производства подвергается стерилизации.
КОЛИЧЕСТВЕННОЕ ОПРЕДЕЛЕНИЕ
Определение проводят методом ВЭЖХ в условиях
испытания "Родственные примеси" со следующими изменениями.
Испытуемый раствор. В мерную колбу вместимостью 250 мл помещают 25 мг (точная навеска) субстанции, растворяют в ПФ и доводят объем раствора тем же растворителем до метки.
Хроматографируют раствор стандартного образца цефоперазона дигидрата А и испытуемый раствор.
Пригодность хроматографической системы. На хроматограмме раствора стандартного образца цефоперазона дигидрата А:
- относительное стандартное отклонение площади пика цефоперазона должно быть не более 1,0% (6 введений).
Содержание цефоперазона натрия C25H26N9NaO8S2 в субстанции в пересчете на безводное и свободное от остаточных органических растворителей вещество в процентах (X) вычисляют по формуле:

,
где S1 - площадь пика цефоперазона на хроматограмме испытуемого раствора;
S0 - площадь пика цефоперазона на хроматограмме раствора стандартного образца цефоперазона дигидрата А;
a1 - навеска субстанции, мг;
a0 - навеска фармакопейного стандартного образца цефоперазона дигидрата, мг;
P - содержание цефоперазона в фармакопейном стандартном образце цефоперазона дигидрата, %;
W - суммарное содержание воды и остаточных органических растворителей в субстанции, %;
667,65 - молекулярная масса цефоперазона натрия;
645,67 - молекулярная масса цефоперазона.
В герметично укупоренной упаковке, в защищенном от света месте, при температуре от 2 до 8 °C.