Главная // Актуальные документы // ГОСТ (Государственный стандарт)СПРАВКА
Источник публикации
М.: Издательство стандартов, 1972
Примечание к документу
С 1 июля 2003 года до вступления в силу технических регламентов акты федеральных органов исполнительной власти в сфере технического регулирования носят рекомендательный характер и подлежат обязательному исполнению только в части, соответствующей целям, указанным в
пункте 1 статьи 46 Федерального закона от 27.12.2002 N 184-ФЗ.
Документ
введен в действие с 1 января 1972 года.
Название документа
"ГОСТ 16271-70. Государственный стандарт Союза ССР. Устройства виброзащитные ручных машин ударного действия. Технические требования"
(введен в действие Постановлением Госстандарта СССР от 04.08.1970 N 1204)
"ГОСТ 16271-70. Государственный стандарт Союза ССР. Устройства виброзащитные ручных машин ударного действия. Технические требования"
(введен в действие Постановлением Госстандарта СССР от 04.08.1970 N 1204)
Постановлением Комитета стандартов,
мер и измерительных приборов
при Совете Министров СССР
от 4 августа 1970 г. N 1204
ГОСУДАРСТВЕННЫЙ СТАНДАРТ СОЮЗА ССР
УСТРОЙСТВА ВИБРОЗАЩИТНЫЕ РУЧНЫХ МАШИН УДАРНОГО ДЕЙСТВИЯ
ТЕХНИЧЕСКИЕ ТРЕБОВАНИЯ
Damping devices of percussion hand machines.
Technical requirements
ГОСТ 16271-70
Постановлением Комитета стандартов, мер и измерительных приборов при Совете Министров СССР от 4/VIII 1970 г. N 1204 срок введения установлен
с 1 января 1972 года
Несоблюдение стандарта преследуется по закону
РАЗРАБОТАН Всесоюзным научно-исследовательским институтом по нормализации в машиностроении (ВНИИНМАШ)
Директор Верченко В.Р.
Начальник отдела Бунин Н.И.
Ст. научный сотрудник Вольперт Э.Г.
Руководитель темы Готлиб Я.Г.
Всесоюзным научно-исследовательским и проектно-конструкторским институтом механизированного и ручного строительно-монтажного инструмента, вибраторов и строительно-отделочных машин (ВНИИСМИ)
Директор Бармаш В.Н.
Начальник отдела Гоппен А.А.
Всесоюзным центральным научно-исследовательским институтом охраны труда ВЦСПС (ВЦНИИОТ ВЦСПС)
Директор Цуцков М.Е.
Руководитель лаборатории Васильев Ю.М.
Институтом горного дела им. А.А. Скочинского (ИГД)
Директор Докукин А.В.
Заведующий лабораторией Александров Е.В.
Ст. научный сотрудник Флавицкий Ю.В.
Институтом горного дела Сибирского отделения Академии наук СССР (ИГД СО АН СССР)
Директор Чинакал Н.А.
Ст. научный сотрудник Петреев А.М.
ВНЕСЕН И ПОДГОТОВЛЕН К УТВЕРЖДЕНИЮ Управлением машиностроения Комитета стандартов, мер и измерительных приборов при Совете Министров СССР
Зам. начальника управления Акинфиев Л.Л.
Ст. инженер Губырин В.К.
УТВЕРЖДЕН Комитетом стандартов, мер и измерительных приборов при Совете Министров СССР 5 июня 1970 г. (протокол N 103)
ВВЕДЕН В ДЕЙСТВИЕ Постановлением Комитета стандартов, мер и измерительных приборов при Совете Министров СССР от 4 августа 1970 г. N 1204
Переиздание. Январь 1972 г.
1. Настоящий стандарт распространяется на специальные устройства, применяемые в ручных машинах (ручном механизированном инструменте) ударного действия для уменьшения вибраций, передаваемых на руки работающих, до величин, допускаемых действующими санитарными нормами, если меры по снижению уровней вибраций в их источнике не обеспечивают соблюдения санитарных норм.
2. Сравнительная эффективность виброзащитных устройств характеризуется коэффициентами ослабления колебаний и (или) коэффициентами виброгашения в каждой из частотных полос, установленных санитарными нормами.
При оценке сравнительной эффективности устройства для гашения ударных импульсов, расположенного между корпусом машины и рабочим инструментом, должны использоваться только коэффициенты виброгашения.
Рекомендуемая методика экспериментального определения коэффициента ослабления колебаний виброзащитного устройства вне ручной машины приведена в
приложении 2.
3. Жесткость упругих элементов устройств для гашения ударных импульсов, расположенных между корпусом машины и рабочим инструментом, не должна превышать 3·105 н/м.
Жесткость упругих элементов виброзащитных устройств рекомендуется определять по формулам, приведенным в
приложении 3.
Для элементов, изготовленных из полимеров и резин, определение жесткости и демпфирования должно производиться при статических нагрузках и температуре, соответствующих условиям эксплуатации машины.
4. Собственные частоты упругих элементов определяют по формуле:
где:
l - длина упругого элемента в м;
c - скорость звука в материале упругого элемента в м/сек;
n - положительные целые числа, начиная с единицы.
Если уровни вибрации превышают допустимые значения, должна быть произведена проверка величин колебательной скорости на собственных частотах элементов. Снижение вибраций на собственных частотах должно быть обеспечено применением демпфирующих прокладок или рукояток из вибропоглощающих материалов.
5. Трение, возникающее при взаимном перемещении деталей виброзащитных устройств, должно быть минимальным.
Поверхности трения у виброзащитных устройств должны быть надежно защищены от попадания инородных частиц, пыли и грязи, а в машинах, предназначенных для работы при низких температурах, должны иметь повышенную износостойкость.
6. Конструкция виброзащитных устройств не должна затруднять осуществление движений машины, необходимых при ее эксплуатации.
Конструкция устройств для защиты руки, создающей усилие нажатия, должна обеспечивать передачу момента, поворачивающего машину вокруг ее продольной оси. Связанные с рукой детали виброзащитного устройства этого вида не должны жестко контактировать с корпусом машины или связанными с ним деталями при усилиях нажатия, меньших 1,2 усилия нажатия, предусмотренного технической характеристикой машины.
7. Снятие виброзащитных устройств с ручной машины должно быть невозможным без применения инструментов, а нормальная эксплуатация машины без виброзащитных устройств должна быть затруднена.
8. Наружные металлические поверхности виброзащитных устройств должны быть изготовлены из антикоррозионных материалов или защищены антикоррозионными покрытиями.
Упругие и демпфирующие элементы должны быть защищены от воздействия масел или выполняться из маслостойких материалов.
9. Виброзащитные устройства должны сохранять работоспособность в климатических условиях, в которых будет эксплуатироваться ручная машина. Виброзащитные устройства должны изготовляться в соответствии с требованиями
ГОСТ 15150-69.
10. Ресурс и (или) срок службы виброзащитных устройств должны быть не меньше ресурса и (или) срока службы всей машины. Если детали виброзащитных устройств имеют меньший ресурс и (или) срок службы, они должны входить в комплект запасных частей к машине в необходимых количествах.
Надежность виброзащитных устройств должна определяться при испытаниях ручных машин на надежность.
Предельным состоянием для виброзащитных устройств является превышение уровней вибрации, установленных в технической документации на машину.
11. Детали виброзащитных устройств, соприкасающиеся с руками, должны иметь форму, обеспечивающую минимальное напряжение мышц, принимающих участие в рабочей операции, и соответствующую современным требованиям технической эстетики. Наружные поверхности этих деталей не должны иметь заусенцев и острых кромок.
12. Поверхности виброзащитных устройств, соприкасающиеся с руками, должны иметь коэффициент теплопроводности не более 0,175 вт/м·град.
13. В электрических ручных машинах с виброзащитными устройствами работающий должен быть защищен от возможности поражения электрическим током.
14. В сопроводительной технической документации к машине должны быть приведены все необходимые сведения о конструкции и правилах эксплуатации виброзащитных устройств.
к ГОСТ 16271-70
1. Виброзащитное устройство ручных машин ударного действия - часть ручной машины, специально предназначенная для уменьшения вибрации, передаваемой на руки работающих.
В устройство могут входить детали и узлы, необходимые для сопряжения его с ручной машиной.
2. По принципу действия виброзащитные устройства ручных машин подразделяются на:
изолирующие устройства, основанные на использовании между изолируемым узлом и остальной машиной упругих связей, параметры которых обеспечивают более низкую собственную частоту изолируемой системы по сравнению с частотами возмущающих сил;
демпфирующие устройства, обеспечивающие уменьшение колебаний путем поглощения их энергии и превращения ее в другие виды энергии;
смешанные устройства, сочетающие в себе свойства изолирующих и демпфирующих устройств.
3. По назначению виброзащитные устройства подразделяются на следующие виды:
устройства для защиты руки (рук), создающей усилие нажатия;
устройства для защиты руки, поддерживающей машину или рабочий инструмент;
устройства для защиты одновременно нажимающей и поддерживающей рук.
4. Коэффициент ослабления колебаний - отношение амплитуды колебательной скорости точки детали или узла, как правило, корпуса машины, создающего колебания в виброзащитном устройстве, к амплитуде колебательной скорости в месте контакта виброзащитного устройства с рукой работающего.
5. Коэффициент виброгашения - отношение амплитуды колебательной скорости машины без виброзащитного устройства к амплитуде колебательной скорости с виброзащитным устройством.
к ГОСТ 16271-70
Рекомендуемое
ЭКСПЕРИМЕНТАЛЬНОГО ОПРЕДЕЛЕНИЯ КОЭФФИЦИЕНТА ОСЛАБЛЕНИЯ
КОЛЕБАНИЙ ВИБРОЗАЩИТНЫХ УСТРОЙСТВ ВНЕ РУЧНОЙ МАШИНЫ
1. Экспериментальное определение коэффициента ослабления колебаний виброзащитных устройств вне ручной машины производят на вибростендах.
2. Основным критерием эффективности виброзащитных устройств является коэффициент ослабления колебаний (Kос), равный:
где

- амплитуда виброскорости, измеренная на столе вибростенда, м/сек;

- амплитуда виброскорости, измеренная в месте контакта виброзащитного устройства с ладонью рабочего, м/сек.
Для определения Kос вместо виброскорости могут использоваться амплитуды виброускорения или вибросмещения:
где aст - амплитуда виброускорения, измеренная на столе вибростенда, м/сек2;
aу - амплитуда виброускорения, измеренная в месте контакта виброзащитного устройства с ладонью рабочего, м/сек2;
Sу - амплитуда вибросмещения, измеренная в месте контакта виброзащитного устройства с ладонью рабочего, м;
Sст - амплитуда вибросмещения, измеренная на столе вибростенда, м.
3. Определение коэффициента ослабления колебаний производят на вибрационных стендах, допускающих нагрузку не менее 400 н и обеспечивающих получение гармонических колебаний с коэффициентом нелинейных искажений не более 10% во всей полосе частот, за исключением областей резонансных частот подвижной части стенда.
Предпочтительно использовать стенды, имеющие непрерывное автоматическое изменение частоты при поддержании заданного уровня вибрационного параметра (виброскорости, виброускорения или вибросмещения).
4. Виброизмерительный тракт должен обеспечивать измерения не менее чем в двух точках, силоизмерительный тракт - в одной точке. Аппаратура для регистрации результатов измерений должна иметь не менее четырех записывающих каналов.
Вся аппаратура и измерительные преобразователи указанных трактов должны удовлетворять требованиям, предъявляемым к аппаратуре для измерения вибрационных параметров ручных машин.
5. Усилие нажатия должно создаваться приспособлением, имитирующим механические свойства руки человека.
Допускается нажатие на виброзащитные устройства непосредственно рукой человека при визуальном контроле постоянства усилия нажатия.
Усилие нажатия не должно превышать 200 н.
6. Перед установкой на вибростенд должна быть проверена правильность монтажа виброзащитного устройства, в частности легкость хода его виброизолированной части.
7. Виброзащитное устройство крепят к столу вибростенда через детали, которыми оно жестко соединяется с корпусом ручной машины. Если крепление этих деталей непосредственно к столу вибростенда невозможно, виброзащитное устройство необходимо крепить через переходный узел, жестко соединенный с этим устройством.
Допускается крепление виброзащитных устройств к столу вибростенда с помощью прижимов. Усилие нажатия должно не менее чем на 50% превышать максимальное значение силы инерции, действующей в процессе испытаний на виброзащитное устройство. Силу инерции определяют как произведение массы всего устройства на максимальное ускорение стола вибростенда при испытаниях.
8. Жесткость крепления виброзащитного устройства к столу вибростенда должна быть такой, чтобы амплитуды колебаний, одновременно измеренные на столе вибростенда и на жестко крепящихся к нему деталях устройства, не отличались более чем на 15%.
После проверки жесткости крепления вибропреобразователь, установленный на устройстве, должен быть переставлен на поверхность, предназначенную для контакта с ладонью рабочего.
При проведении всех измерений ориентация используемых одновременно вибропреобразователей должна быть одинаковой.
9. Частотные зависимости вибрационных параметров на виброзащитном устройстве и столе вибростенда, а также соответствующие значения усилия нажатия должны фиксироваться регистрирующим прибором.
При записи на светолучевом осциллографе на светочувствительную бумагу наносятся также отметки времени, позволяющие контролировать частоту записанных колебаний.
При измерениях на дискретных частотах параметры вибрации удобно наблюдать на экране электроннолучевого осциллографа с масштабной сеткой.
10. При проведении измерений устанавливают уровни вибрации, возникающие при работе ручной машины или близкие к ним. При большом различии между значениями вибрационного параметра на различных частотах весь диапазон частот может быть разбит на несколько поддиапазонов, в каждом из которых поддерживается свой уровень вибрационного параметра.
11. Стенд, имеющий автоматическое поддержание заданного уровня вибрационного параметра и автоматическое изменение частоты, переводят на автоматическое управление. Скорость автоматического изменения частоты выбирают из условий обеспечения необходимой точности измерений и удобства работы.
Колебания виброзащитных устройств на дискретных собственных частотах и рабочих частотах возбуждения контролируют при ручном управлении стендом.
12. Запись параметров вибрации должна производиться не менее двух раз. Результаты считают достоверными, если соответственные ординаты записей отличаются не более чем на 20%. При большей разнице оборудование и аппаратура должны быть вновь проверены и отлажены, а измерения повторены.
13. В журнал испытаний заносят:
данные о виброзащитном устройстве, в том числе жесткость упругих элементов, массу устройства в целом и массу его виброизолированной части;
сведения о применяемом оборудовании и аппаратуре, характеристики применяемых вибропреобразователей;
режимы измерений, в том числе уровни вибрационных параметров на столе вибростенда, частотный диапазон и его поддиапазоны, скорости автоматического изменения частоты.
14. Коэффициент ослабления колебаний на каждой частоте получают делением амплитуды вибрационного параметра, измеренного при данной частоте на столе вибростенда, на амплитуду этого параметра, измеренного одновременно на виброзащитном устройстве. Окончательный результат выражают в виде кривой частотной зависимости коэффициента ослабления колебаний.
15. Резонансы кривой частотной зависимости на собственных частотах подвижной системы вибростенда должны исключаться, а кривую на этих участках спрямляют.
к ГОСТ 16271-70
Рекомендуемое
ОСНОВНЫХ ПАРАМЕТРОВ УПРУГИХ ЭЛЕМЕНТОВ
Для упругих элементов определяют следующие параметры, характеризующие их виброизолирующие свойства:
осевую упругую силу Pу, н;
продольную жесткость

где x - смещение подвижного торца упругого элемента от положения равновесия, м.
Расчет параметров для различных упругих элементов производят по следующим формулам:
для цилиндрической винтовой пружины растяжения-сжатия:
где:
D - средний диаметр пружины, м;
d - диаметр пружинной проволоки, м;
i - число рабочих витков;
Gт - модуль упругости при сдвиге, н/м2;
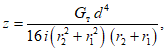
для конической винтовой пружины растяжения-сжатия с постоянным осевым шагом:
на линейном участке сжатия и при растяжении:
где:
r2 - наибольший радиус рабочих витков пружины, м;
r1 - наименьший радиус рабочих витков пружины, м;
на нелинейном участке при сжатии:
где

- смещение при сжатии, соответствующее началу посадки витков (конец линейного участка), м:
H0 - осевая длина пружины в несжатом состоянии, м;
для пневмопоршневых упругих элементов с постоянной площадью поршня:
где p0 - начальное давление в камере элемента, н/м2;
n - показатель политропы (для частот порядка 10 - 100 гц n = 1,2 - 1,3);
H0 - начальный размер от днища цилиндра до торца поршня, м;
S - площадь поперечного сечения поршня, м2.