Главная // Актуальные документы // ГОСТ (Государственный стандарт)СПРАВКА
Источник публикации
М.: Издательство стандартов, 1982
Примечание к документу
С 1 июля 2003 года до вступления в силу технических регламентов акты федеральных органов исполнительной власти в сфере технического регулирования носят рекомендательный характер и подлежат обязательному исполнению только в части, соответствующей целям, указанным в
пункте 1 статьи 46 Федерального закона от 27.12.2002 г. N 184-ФЗ.
Введен в действие с 1 января 1983 года
Постановлением Госстроя СССР от 01.12.1980 N 182.
Взамен ГОСТ 15825-70.
Название документа
"ГОСТ 15825-80. Портландцемент цветной. Технические условия"
(утв. Постановлением Госстроя СССР от 01.12.1980 N 182)
"ГОСТ 15825-80. Портландцемент цветной. Технические условия"
(утв. Постановлением Госстроя СССР от 01.12.1980 N 182)
Утвержден и введен в действие
от 1 декабря 1980 г. N 182
ГОСУДАРСТВЕННЫЙ СТАНДАРТ СОЮЗА ССР
ПОРТЛАНДЦЕМЕНТ ЦВЕТНОЙ
ТЕХНИЧЕСКИЕ УСЛОВИЯ
Coloured portland cement. Specifications
ГОСТ 15825-80
Взамен
ГОСТ 15825-70
Постановлением Государственного комитета СССР по делам строительства от 1 декабря 1980 г. N 182 срок введения установлен с 01.01.1983 г.
Переиздание. Сентябрь 1981 г.
Настоящий стандарт распространяется на цветной портландцемент, изготовляемый совместным тонким измельчением белого и цветного портландцементного клинкера, минеральных и органических красителей, гипса и активной минеральной добавки. Цветной портландцемент применяется для изготовления цветных бетонов, растворов, отделочных смесей и цементных красок.
В стандарте полностью учтены требования стандарта СТ СЭВ 22-73.
1. ТЕХНИЧЕСКИЕ ТРЕБОВАНИЯ
1.1. По цвету портландцемент подразделяют на красный, желтый, зеленый, голубой, розовый, коричневый и черный.
1.2. По механической прочности портландцемент подразделяют на марки: 300, 400 и 500.
1.3. Портландцемент должен изготовляться в соответствии с требованиями настоящего стандарта по технологическим регламентам, утвержденным в порядке, установленном министерством-изготовителем.
1.4. Портландцемент должен содержать не менее 80% клинкера, не более 6% активной минеральной добавки, не более 15% минерального, искусственного или природного пигмента или не более 0,5% органического пигмента от массы цемента.
1.4.1. Белый клинкер должен быть белизной не менее 68% абсолютной шкалы по
ГОСТ 965-78.
1.4.2. Допускается для портландцемента желто-красной гаммы и коричневого цвета применять отбеленный клинкер белизной не менее 40% абсолютной шкалы, а для черного - обыкновенный клинкер.
1.4.3. Активные минеральные добавки осадочного происхождения белизной не менее 68% абсолютной шкалы должны удовлетворять требованиям ГОСТ 21-9-74.
Допускается для портландцемента желто-красной гаммы и коричневого и черного цветов применять добавки белизной не менее 40% абсолютной шкалы.
1.4.4. Красящие пигменты должны обладать щелоче- и светостойкостью, не должны содержать примесей, оказывающих вредное влияние на морозостойкость и прочность цементного камня, и соответствовать нормативно-технической документации на пигменты и красители.
1.4.5. Гипсовый камень должен удовлетворять требованиям
ГОСТ 4013-74.
1.5. По согласованию с потребителем допускается введение в портландцемент при его помоле поверхностно-активных пластифицирующих и гидрофобизирующих добавок в количестве не более 0,3% его массы в пересчете на сухое вещество.
1.6. Допускается вводить в портландцемент специальные добавки, улучшающие его декоративные свойства, в количестве не более 2% массы цемента.
1.7. Содержание окиси магния (MgO) в клинкере не должно быть более 5%, содержание свободной окиси кальция (

) не должно быть более 1,5% по массе.
1.8. Содержание ангидрида серной кислоты (

) в цветном портландцементе не должно быть более 3,5% массы цемента.
1.9. Портландцемент должен быть однородным по цвету в пределах отгружаемой партии и сохранять свой цвет при тепловлажностной обработке и воздействии ультрафиолетовых лучей.
1.10. Цвет портландцемента должен соответствовать эталону, утвержденному Минстройматериалов СССР.
1.11. Эталоном служит образец портландцемента или цементная покраска. Образцы-эталоны утверждаются для каждого завода.
1.12. Предел прочности образцов из цемента, изготовляемых и испытанных по
ГОСТ 310.4-76 через 28 сут с момента изготовления, должен быть не менее значений, указанных в таблице.
────────────────────┬─────────────────────────────────────────────
Марка цемента │ Предел прочности, кгс/см2
├─────────────────────┬───────────────────────
│ при изгибе │ при сжатии
────────────────────┼─────────────────────┼───────────────────────
300 │45 │300
400 │55 │400
500 │60 │500
────────────────────┴─────────────────────┴───────────────────────
1.13. Начало схватывания цемента должно наступать не ранее 45 мин, а конец - не позднее 12 ч от начала затворения.
1.14. Портландцемент должен показывать равномерность изменения объема при испытании образцов кипячением в воде.
1.15. Тонкость помола цемента должна быть такой, чтобы при просеивании пробы сквозь сито с сеткой N 008 по
ГОСТ 6613-86 проходило не менее 90% массы просеиваемой пробы.
1.16. Цемент высшей категории качества должен удовлетворять следующим дополнительным требованиям: обладать стабильными показателями прочности при сжатии, коэффициент вариации прочности для цемента марок 300 и 400 должен быть не более 5%, а для цемента марок 500 - не более 3%.
Красящие пигменты должны удовлетворять следующим нормативно-техническим документам:
- для цементов красного и розового цвета - руда железная красковая гематитовая по ТУ 14-9-71;
- для цементов голубого цвета - голубой фталоцианиновый пигмент по
ГОСТ 6220-76;
- для цементов желтого цвета - желтый железоокисный пигмент по
ГОСТ 18172-80;
- для цементов зеленого цвета - зеленый фталоцианиновый пигмент по ТУ 6-14-488-76;
- для цементов коричневого цвета - смесь руды железной красковой гематитовой по ТУ 14-9-71-76 и пероксида по ТУ 14-9-50-73.
2.1. Приемку цветного цемента производят по ГОСТ 22236-76. При этом количество цемента в партии не должно превышать 500 т и быть не более вместимости силоса.
3.1. Определение физико-механических свойств цемента производят по
ГОСТ 310.1-76 - ГОСТ 310.4-76, ГОСТ 310.5-80.
3.2. Химический анализ клинкера и цемента производят по ГОСТ 5382-73.
3.2.1. Содержание в клинкере окиси магния (MgO) и содержание добавок в цементе устанавливают по данным текущего контроля производства.
3.3. Проверку цвета цемента на соответствие эталону производят визуально сравнением интенсивности цвета цементной покраски или цементного порошка и эталона, находящихся друг от друга на расстоянии не более 5 см.
3.3.1. Приготовление цементной покраски: 2 - 4 г казеина перемешивают с 50 см3 воды, выдерживают в течение 15 - 20 ч, затем добавляют 1 - 2 г углекислого натрия (

) и при непрерывном перемешивании нагревают до 70 °С, после чего смесь охлаждают; или одну объемную часть казеинового канцелярского клея перемешивают в двух объемных частях теплой воды температурой (40 - 45) °С в течение 5 мин и затем выдерживают при комнатной температуре в течение суток до образования прозрачного клеевого раствора. При наличии осадка полученный раствор освобождают от него путем декантации.
В фарфоровой ступке шпателем смешивают 10 г цемента и клеевого раствора до получения сметанообразной массы. Для цветных цементов с фталоцианиновыми пигментами количество клеевого раствора составляет 4 см3, для всех остальных - 5,5 см3.
Полученную цементную покраску наносят широкой мягкой кистью на плотную белую бумагу и подвергают естественной сушке.
3.3.2. При проверке цвета непосредственно порошка цемента на соответствие эталону пробу испытуемого цемента массой не менее 10 г помещают на ровную поверхность, сверху накладывают стеклянную пластинку и легким нажимом выравнивают верхнюю поверхность слоя цемента, после чего стеклянную пластину удаляют.
3.4. Определение белизны клинкера производят измерением его коэффициента отражения.
В качестве эталона белизны применяют молочное стекло типа МС-20 с коэффициентом отражения не менее 95%.
Пробу клинкера массой не менее 20 г измельчают в фарфоровой ступке до полного прохождения сквозь сито с сеткой N 008 по ГОСТ 3584-73 и затем измеряют коэффициент отражения на фотометре типа ФОУ или другом аналогичном приборе, оснащенном фотоэлектрической регистрацией коэффициента отражения. Коэффициент отражения клинкера измеряют без применения светофильтра.
3.5. Определение стойкости цвета цемента производят на 6 образцах-лепешках из цементного теста нормальной густоты по
ГОСТ 310.1-76. Две лепешки хранят на воздухе в качестве контрольных образцов, две лепешки подвергают тепловлажностной обработке, и две лепешки - ультрафиолетовому облучению.
3.5.1. Тепловлажностную обработку цементных лепешек производят в бачке с водой. Через (24 +/- 2) ч после изготовления лепешки помещают в бачок на решетку, воду в бачке доводят до кипения и кипятят в течение 4 ч. После охлаждения лепешки извлекают из бачка и вытирают. Образующуюся на лепешках пленку карбоната кальция (

) удаляют 0,01%-ным раствором соляной кислоты (HCl), затем лепешки промывают водой и сушат в сушильном шкафу в течение 2 ч при температуре не выше 60 °С.
3.5.2. Облучение лепешек ультрафиолетовыми лучами производят через (24 +/- 2) ч после изготовления с помощью ртутно-кварцевой лампы мощностью (240 +/- 20) Вт в течение 48 ч. Лепешки располагают на расстоянии 0,5 м от источника ультрафиолетового излучения и направляют на них световой поток под углом (45 +/- 2)°.
3.5.3. Стойкость цвета цемента определяют визуально сравнением цвета образцов-лепешек, подвергнутых тепловлажностной обработке и ультрафиолетовому облучению, с цветом контрольных образцов-лепешек.
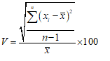
3.5.4. Коэффициент вариации V в процентах определяют по результатам испытаний цемента, произведенного за квартал, по следующей формуле

,
где n - количество партий цемента данной марки, произведенного за квартал;

- активность цемента отдельной (i-й) партии, кгс/см2;

- средняя активность цемента данной марки, произведенного за квартал.
4. УПАКОВКА, МАРКИРОВКА, ТРАНСПОРТИРОВАНИЕ И ХРАНЕНИЕ
4.1. Упаковку, маркировку, транспортирование и хранение цемента осуществляют по ГОСТ 22237-76. Цемент упаковывают в бумажные мешки.
В паспорте дополнительно указывают цвет цемента и номер эталона.
| | ИС МЕГАНОРМ: примечание. Взамен ГОСТ 2226-75 Постановлением Госстандарта СССР от 29.06.1988 N 2501 с 1 января 1990 года введен в действие ГОСТ 2226-88. | |
4.2. Цветной портландцемент, доставляемый потребителю средствами водного транспорта, должен быть упакован в битумированные бумажные мешки по ГОСТ 2226-75 или отгружаться в контейнерах.
4.3. При транспортировании и хранении цветной портландцемент должен быть защищен от влаги и загрязнения посторонними примесями.
4.4. Цветной портландцемент должен транспортироваться и храниться раздельно по цветам и маркам и не должен смешиваться с цементом других видов.
5.1. Изготовитель гарантирует соответствие цемента требованиям настоящего стандарта на момент получения его потребителем, но не более чем через месяц после изготовления, при соблюдении условий его транспортирования.