Главная // Актуальные документы // ГОСТ (Государственный стандарт)СПРАВКА
Источник публикации
М.: Стандартинформ, 2011
Примечание к документу
С 1 июля 2003 года до вступления в силу технических регламентов акты федеральных органов исполнительной власти в сфере технического регулирования носят рекомендательный характер и подлежат обязательному исполнению только в части, соответствующей целям, указанным в
пункте 1 статьи 46 Федерального закона от 27.12.2002 N 184-ФЗ.
Текст документа приведен с учетом
поправки, опубликованной в "ИУС", N 8, 1986.
Документ
введен в действие с 01.01.1986.
Название документа
"ГОСТ 26423-85. Межгосударственный стандарт. Почвы. Методы определения удельной электрической проводимости, pH и плотного остатка водной вытяжки"
(введен в действие Постановлением Госстандарта СССР от 08.02.1985 N 283)
"ГОСТ 26423-85. Межгосударственный стандарт. Почвы. Методы определения удельной электрической проводимости, pH и плотного остатка водной вытяжки"
(введен в действие Постановлением Госстандарта СССР от 08.02.1985 N 283)
Введен в действие
Постановлением Госстандарта СССР
от 8 февраля 1985 г. N 283
МЕЖГОСУДАРСТВЕННЫЙ СТАНДАРТ
ПОЧВЫ
МЕТОДЫ ОПРЕДЕЛЕНИЯ УДЕЛЬНОЙ ЭЛЕКТРИЧЕСКОЙ ПРОВОДИМОСТИ,
pH И ПЛОТНОГО ОСТАТКА ВОДНОЙ ВЫТЯЖКИ
Soils. Methods for determination of specific electric
conductivity, pH and solid residue of water extract
ГОСТ 26423-85
Постановлением Государственного комитета СССР по стандартам от 8 февраля 1985 г. N 283 дата введения установлена
1 января 1986 года
Ограничение срока действия снято по протоколу N 5-94 Межгосударственного совета по стандартизации, метрологии и сертификации (ИУС 11-94)
Издание (май 2011 г.) с Поправкой (ИУС 8-86).
Настоящий стандарт устанавливает методы определения удельной электрической проводимости, pH и плотного остатка водной вытяжки из засоленных почв с целью оценки общей концентрации солей при проведении почвенного, агрохимического и мелиоративного обследования угодий, контроля за состоянием солевого режима почв, а также при других исследовательских и изыскательских работах.
Суммарная относительная погрешность составляет:
7,5% - при определении удельной электрической проводимости до 0,3 мСм/см; 5% - св. 0,3 мСм/см;
20% - при массовой доле плотного остатка св. 0,1 до 0,3%; 7,5% - св. 0,3% до 1%; 5% - св. 1%.
При измерении pH суммарная погрешность метода составляет 0,1 единицы pH.
Сущность метода заключается в извлечении водорастворимых солей из почвы дистиллированной водой при отношении почвы к воде 1:5 и определении удельной электрической проводимости водной вытяжки с помощью кондуктометра и pH с помощью pH-метра. При отсутствии кондуктометра определяют плотный остаток вытяжки.
1.1. Пробы почвы доводят до воздушно-сухого состояния, измельчают, пропускают через сито с круглыми отверстиями диаметром 1 - 2 мм и хранят в коробках или пакетах.
Пробу на анализ из коробки отбирают шпателем или ложкой, предварительно перемешав почву на всю глубину коробки. Из пакетов почву высыпают на ровную поверхность, тщательно перемешивают и распределяют слоем толщиной не более 1 см. Пробу на анализ отбирают не менее чем из пяти мест. Масса пробы - 30 г.
2. АППАРАТУРА, МАТЕРИАЛЫ И РЕАКТИВЫ
2.1. Для проведения анализа применяют:
кондуктометр с диапазоном измерений 0,01 - 100 мСм/см и погрешностью измерений не более 5%;
весы лабораторные 2-го класса точности с наибольшим пределом взвешивания 200 г и 4-го класса точности с наибольшим пределом взвешивания 500 г по
ГОСТ 24104-2001 <*>;
--------------------------------
взбалтыватель с возвратно-поступательным движением с частотой колебаний 75 мин-1 или ротатор с оборотом на 360°, или пропеллерную мешалку с частотой вращения лопастей 700 мин-1 для перемешивания почвы с водой;
весы квадрантные с устройством пропорционального дозирования ВКПД-40г с погрешностью взвешивания не более 2%;
pH-метр или иономер с погрешностью измерений не более 0,05 pH;
электрод стеклянный для определения активности ионов водорода;
электрод сравнения хлорсеребряный насыщенный образцовый 2-го разряда по
ГОСТ 17792-72 или аналогичный;
дозаторы с погрешностью дозирования не более 2% или цилиндры 2-го класса точности по
ГОСТ 1770-74;
кассеты десятипозиционные с емкостями вместимостью 200 см
3 или колбы конические вместимостью 250 см
3 по
ГОСТ 25336-82;
установки фильтровальные десятипозиционные или воронки стеклянные по
ГОСТ 25336-82;
пипетки 2-го класса точности по НТД;
чашки фарфоровые диаметром 7 см;
термометр лабораторный с диапазоном измерений 15 - 30 °C и ценой делений 1°;
термостат с автоматической регулировкой, обеспечивающий температуру нагревания 105 °C;
баню водяную;
стандарт-титры для приготовления образцовых буферных растворов 2-го разряда по
ГОСТ 8.135-2004;
воду дистиллированную по
ГОСТ 6709-72 с удельной электрической проводимостью не более 5·10
-6 См/см.
(Поправка).
3.1. Приготовление раствора хлористого калия концентрации c (KCl) = 0,01 моль/дм3 (0,01 н.)
0,746 г хлористого калия, прокаленного до постоянной массы при температуре 500 °C, взвешивают с погрешностью не более 0,001 г, помещают в мерную колбу вместимостью 1000 см3 и растворяют в дистиллированной воде, доводя объем до метки. Приготовленный раствор тщательно перемешивают.
3.2. Определение константы кондуктометрической ячейки (датчика)
Датчик кондуктометра погружают в раствор хлористого калия концентрации 0,01 моль/дм3 и определяют электрическую проводимость.
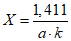
Константу датчика (X), см-1, вычисляют по формуле

,
где 1,411 - удельная электрическая проводимость раствора хлористого калия концентрации 0,01 моль/дм3 при 25 °C, мСм/см;
a - измеренная электрическая проводимость раствора хлористого калия концентрации 0,01 моль/дм3, мСм;
k - коэффициент поправки для приведения электрической проводимости, измеренной при данной температуре, к 25 °C.
Если прибор имеет температурный компенсатор, k = 1. При отсутствии температурного компенсатора определяют температуру раствора хлористого калия с помощью лабораторного термометра и находят значение коэффициента по таблице.
| k |
15 | 1,254 |
16 | 1,224 |
17 | 1,196 |
18 | 1,168 |
19 | 1,142 |
20 | 1,118 |
21 | 1,092 |
22 | 1,067 |
23 | 1,044 |
24 | 1,021 |
25 | 1,000 |
26 | 0,979 |
27 | 0,960 |
28 | 0,941 |
29 | 0,923 |
30 | 0,906 |
4.1. Приготовление водной вытяжки из почвы
Пробы почвы массой 30 г, взвешенные с погрешностью не более 0,1 г, помещают в емкости, установленные в десятипозиционные кассеты или в конические колбы. К пробам приливают дозатором или цилиндром по 150 см3 дистиллированной воды. Почву с водой перемешивают в течение 3 мин на взбалтывателе, ротаторе или с помощью пропеллерной мешалки и оставляют на 5 мин для отстаивания.
При использовании весов пропорционального дозирования экстрагента допускается отбор пробы массой 25 - 30 г.
Допускается пропорциональное изменение массы пробы почвы и объема дистиллированной воды при сохранении отношения между ними 1:5 и при погрешности дозирования не более 2%.
4.2. Определение электрической проводимости
После 5-минутного отстаивания в суспензию погружают датчик кондуктометра и определяют электрическую проводимость. После каждого определения датчик тщательно промывают дистиллированной водой.
Если прибор не имеет автоматического температурного компенсатора, определяют температуру анализируемых вытяжек или дистиллированной воды, находящейся в тех же условиях. При отсутствии кондуктометра определяют плотный остаток вытяжки.
4.3. Измерение pH
Часть почвенной суспензии, полученной по
п. 4.1, объемом 15 - 20 см
3 сливают в химический стакан вместимостью 50 см
3 и используют для измерения pH.
Настройку pH-метра проводят по трем буферным растворам с pH 4,01, 6,86 и 9,18, приготовленным из стандарт-титров. Показания прибора считывают не ранее чем через 1,5 мин после погружения электродов в измеряемую среду, после прекращения дрейфа измерительного прибора. Во время работы настройку прибора периодически проверяют по буферному раствору с pH 6,86.
4.4. Фильтрование суспензий
В воронки помещают двойные складчатые фильтры. Край фильтра должен быть расположен на 0,5 - 1 см ниже края воронки. В начале фильтрования необходимо перенести на фильтр возможно большее количество почвы. Струю суспензии направляют на боковую стенку воронки, чтобы не порвать фильтр. Первую порцию фильтрата объемом до 10 см3 отбрасывают и только затем начинают собирать фильтрат в чистый сухой приемник. Мутные фильтраты перефильтровывают.
Если почва имеет щелочную реакцию и содержит мало растворимых солей, для ускорения фильтрования и получения прозрачного фильтрата используют целлюлозную массу. Для ее приготовления фильтровальную бумагу измельчают, помещают в термостойкий стеклянный или фарфоровый стакан и наливают дистиллированную воду в таком объеме, чтобы бумагу можно было перемешивать стеклянной палочкой. Стакан с размокшей бумагой кипятят при постоянном помешивании до получения однородной массы. Горячей целлюлозной массой запаривают двойные фильтры, вложенные в воронки. После того как стечет вода, фильтры высушивают в термостате при температуре 50 °C или на воздухе и используют для фильтрования.
По окончании фильтрования фильтраты тщательно перемешивают круговыми движениями и используют для определения катионно-анионного состава водной вытяжки. Анализ начинают с определения ионов карбоната и бикарбоната.
4.5. Определение плотного остатка вытяжки
Отбирают дозатором или пипеткой 25 см3 фильтрата, помещают в высушенную и взвешенную с погрешностью не более 0,001 г фарфоровую чашку и ставят на водяную баню для выпаривания фильтрата. По окончании выпаривания чашку помещают в термостат, выдерживают в нем в течение 3 ч при температуре 105 °C, охлаждают в эксикаторе и взвешивают с погрешностью не более 0,001 г.
5.1. За результат анализа принимают значение единичного определения.
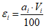
Удельную электрическую проводимость анализируемой вытяжки (X), мСм/см, вычисляют по формуле

,
где a - измеренная электрическая проводимость вытяжки, мСм;
C - константа кондуктометрической ячейки (датчика), см-1;
k - коэффициент температурной поправки для приведения электрической проводимости, измеренной при данной температуре, к 25 °C, найденный по
таблице.
| | ИС МЕГАНОРМ: примечание. Текст дан в соответствии с официальным текстом документа. | |
Массовую долю плотного остатка водной вытяжки в анализируемой почве (X10) в процентах вычисляют по формуле

,
где m - масса чашки с остатком, г;
m1 - масса пустой чашки, г;
500 - коэффициент пересчета в проценты;
25 - объем пробы вытяжки, см3.
5.2. Допускаемые относительные отклонения при доверительной вероятности P = 0,95 от среднеарифметического результатов повторных анализов при выборочном статистическом контроле составляют:
11% - при определении удельной электрической проводимости до 0,3 мСм/см; 7% - св. 0,3 мСм/см;
30% - при массовой доле плотного остатка св. 0,1 до 0,3%; 10% - св. 0,3 до 1,0%; 7% - св. 1,0%;
0,2 единицы pH - при измерении pH.
5.3. При полном анализе катионно-анионного состава водной вытяжки точность результатов оценивают по близости сумм количеств эквивалентов катионов и анионов, а также по воспроизводимости суммы катионов, суммы анионов и общей суммы ионов при повторных анализах.
Допускаемые отклонения (X), ммоль в 100 г почвы, при доверительной вероятности P = 0,95 от среднеарифметического суммы катионов, суммы анионов или общей суммы ионов в почве при повторных анализах, а также допускаемую разность сумм катионов и анионов вычисляют по формуле

,
где

- допускаемое отклонение от среднеарифметического при повторных анализах для
i-го иона, моль в 100 г почвы.
Если допускаемое отклонение нормировано в относительных процентах, его абсолютное значение (

) вычисляют по формуле

,
где

- количество вещества эквивалента
i-го иона в почве, ммоль в 100 г;

- допускаемое отклонение при определении
i-го иона в соответствии с методом его определения, %;
100 - коэффициент пересчета процентов в сотые доли.
5.4. Количественное соотношение между значением удельной электрической проводимости и содержанием водорастворимых солей в почве устанавливают для различных типов засоления по результатам анализа водной вытяжки не менее 20 почвенных проб данного типа засоления.