Главная // Актуальные документы // ГОСТ (Государственный стандарт)СПРАВКА
Источник публикации
М.: Издательство стандартов, 1985
Примечание к документу
С 1 июля 2003 года до вступления в силу технических регламентов акты федеральных органов исполнительной власти в сфере технического регулирования носят рекомендательный характер и подлежат обязательному исполнению только в части, соответствующей целям, указанным в
пункте 1 статьи 46 Федерального закона от 27.12.2002 г. N 184-ФЗ.
Ограничение срока действия снято Постановлением Госстандарта СССР от 26.06.1991 N 1022 ("ИУС", N 9, 1991).
Введен в действие с 1 января 1987 года.
Название документа
"ГОСТ 26415-85. Шнуры слаботочные. Общие технические условия"
(введен в действие Постановлением Госстандарта СССР от 24.01.1985 N 162)
"ГОСТ 26415-85. Шнуры слаботочные. Общие технические условия"
(введен в действие Постановлением Госстандарта СССР от 24.01.1985 N 162)
Введен в действие
Постановлением Госстандарта СССР
от 24 января 1985 г. N 162
ГОСУДАРСТВЕННЫЙ СТАНДАРТ СОЮЗА ССР
ШНУРЫ СЛАБОТОЧНЫЕ
ОБЩИЕ ТЕХНИЧЕСКИЕ УСЛОВИЯ
Weak-current cords. General specifications
ГОСТ 26415-85
Е
Постановлением Государственного комитета СССР по стандартам от 24 января 1985 г. N 162 срок действия установлен с 01.01.1987 до 01.01.1992.
Настоящий стандарт распространяется на слаботочные шнуры, предназначенные для соединения микротелефонов, телефонных гарнитур и стенных розеток с телефонными аппаратами и соединений в телефонных и телеграфных коммутаторах.
Настоящий стандарт устанавливает требования к шнурам, изготовляемым для нужд народного хозяйства и для экспорта.
Показатели технического уровня, установленные настоящим стандартом, предусмотрены для высшей категории качества.
1. ОСНОВНЫЕ ПАРАМЕТРЫ И РАЗМЕРЫ
1.1. Шнуры (III) подразделяют по следующим признакам:
по назначению:
телефонные (Т),
телефонные гарнитурные (Г),
телефонные коммутаторные (К),
для декадно-шаговых искателей (ТД),
концевые (ТК),
розеточные (ТР),
штепсельные (ТШ),
для номеронабирателей (ТН);
по виду токопроводящей жилы:
из медной проволоки (без обозначения),
из мишурных нитей (М);
по виду конструкции:
линейные (без обозначения),
спиральные (С),
без экрана (без обозначения),
с общим экраном (Э),
с индивидуальным экраном (ИЭ),
с оплеткой из волокнистых материалов поверх оболочки (ВО),
с оплеткой из волокнистых материалов поверх скрученных изолированных жил (О),
без оплетки из волокнистых материалов (без обозначения);
по цвету оболочки:
красные (К),
коричневые (Кр),
синие (С),
слоновой кости (Ск),
зеленые (З),
черные или фиолетовые (Ч),
желтые (Ж),
серые (Ср).
1.2. Обозначение марки шнура должно состоять из последовательно расположенных буквы "Ш" (шнур) и букв, обозначающих назначение, вид токопроводящей жилы, вид конструкции.
При наличии втулок в марку вводят их обозначение, которое указывают в стандартах или технических условиях на шнуры конкретных марок.
В обозначении марки шнура (через дефис) добавляют обозначение климатического исполнения, если шнур в данном исполнении имеет конструктивные отличия или применяют специальные материалы.
Система обозначения не распространяется на шнуры, разработанные до 01.01.1987.
1.3. Токопроводящая жила должна быть скручена из медных проволок или мишурных нитей. Размеры и число жил должны быть указаны в стандартах или технических условиях на шнуры конкретных марок.
1.4. Конструктивные размеры шнуров должны соответствовать указанным в стандартах или технических условиях на шнуры конкретных марок.
1.5. Строительная длина шнуров без втулок, минимальная длина его маломерных отрезков и определенная длина шнуров со втулками должны быть указаны в стандартах или технических условиях на шнуры конкретных марок.
1.6. Расчетная масса шнура должна соответствовать указанной в стандартах или технических условиях на шнуры конкретных марок в справочном приложении.
1.7. Условное обозначение шнура должно состоять из обозначения марки, через дефис цифры, указывающей число жил, через интервал в кавычках цвет оболочки и через интервал обозначение стандарта или технических условий на шнуры конкретных марок.
Пример условного обозначения шнура телефонного с мишурными жилами спирального климатического исполнения Т, с числом жил - 3, с оболочкой красного цвета:
ШТМС-Т-3 "К" ГОСТ <*>
То же, гарнитурного линейного с мишурными жилами с индивидуальным экраном, с числом жил - 4, с оболочкой серого цвета:
ШГМИЭ-4 "Ср" ТУ <*>
--------------------------------
<*> Номер НТД на шнур конкретной марки.
2. ТЕХНИЧЕСКИЕ ТРЕБОВАНИЯ
2.1. Шнуры изготовляют в соответствии с требованиями настоящего стандарта, стандарта или технических условий на шнуры конкретных марок по конструкторской и технологической документации, утвержденной в установленном порядке.
Климатическое исполнение и категория размещения шнуров должны быть указаны в стандартах или технических условиях на шнуры конкретных марок.
2.3. Объем требовании в зависимости от особенностей шнуров устанавливают в стандартах или технических условиях на шнуры конкретных марок.
2.4. Требования к конструкции
2.4.1. Конструктивные элементы должны соответствовать указанным в стандартах или технических условиях на шнуры конкретных марок.
2.4.2. Токопроводящие жилы должны быть изолированы поливинилхлоридным пластикатом. На поверхности изоляции не должно быть пузырей, трещин, посторонних включений и наплывов, выводящих толщину изоляции за предельные отклонения.
2.4.3. Изолированные жилы должны быть разных цветов. Цвета жил должны быть указаны в стандартах или технических условиях на шнуры конкретных марок.
2.4.4. Изолированные неэкранированные и экранированные жилы должны быть скручены или параллельно уложены. Вид скрутки должен быть указан в стандартах или технических условиях на шнуры конкретных марок.
2.4.5. Изолированные жилы коммутаторных шнуров должны быть скручены с сердечником из волокнистого материала.
2.4.6. Поверх скрученных жил или экрана должна быть наложена оболочка из поливинилхлоридного пластиката. На поверхности оболочки не должно быть трещин, раковин, вмятин, наплывов, отпечатков конструктивных элементов шнуров, выводящих толщину оболочки за предельные отклонения.
Цвет оболочки шнуров должен быть указан в стандартах или технических условиях на шнуры конкретных марок.
Цвет оболочки должен быть указан потребителем. При отсутствии указания о цвете оболочку допускается выполнять любого из цветов, указанных в стандарте или технических условиях на шнуры конкретных марок.
Оболочка холодостойких шнуров должна иметь наружную выпуклую риску. Поверх оболочки шнуров для телефонных и телеграфных коммутаторов должна быть оплетка из волокнистых материалов.
2.4.7. При изготовлении шнуров со втулками втулки должны быть надежно закреплены на шнурах. Размеры и расположение втулок должны быть указаны в стандартах или технических условиях на шнуры конкретных марок.
2.4.8. Требования к шнурам, предназначенным для эксплуатации в районах с холодным или тропическим климатом, должны соответствовать нормативно-технической документации, утвержденной в установленном порядке.
2.4.9. Материалы, применяемые для изготовления шнуров, должны быть указаны в стандартах или технических условиях на шнуры конкретных марок.
2.5. Требования к электрическим параметрам
2.5.1. Электрическое сопротивление токопроводящей жилы постоянному току, пересчитанное на 1 м длины и температуру 20 °C, должно быть не более:
для жилы из медных проволок - 0,165 Ом;
для жилы из мишурных нитей - 1,0 Ом.
2.5.2. Электрическое сопротивление изоляции, пересчитанное на 1 км длины и температуру 20 °C, должно соответствовать значениям, указанным в стандартах или технических условиях на шнуры конкретных марок, но не менее 100 МОм.
2.5.3. Испытательное переменное напряжение должно быть не менее 500 В. Значение напряжения и время его воздействия должны быть указаны в стандартах или технических условиях на шнуры конкретных марок.
2.5.4. Шнуры должны выдерживать испытание переменным напряжением 1500 В на проход на аппарате сухого испытания;
необходимость испытания должна быть указана в стандартах или технических условиях на шнуры конкретных марок.
2.5.5. В шнурах не должно быть электрического контакта между жилами и экраном.
2.6. Требования к механическим параметрам
2.6.1. Шнуры должны выдерживать испытание на разрывное усилие. Значение разрывного усилия должно быть указано в стандартах или технических условиях на шнуры конкретных марок.
2.6.2. Шнуры должны быть износостойкими.
2.6.3. Спиральные шнуры должны быть эластичными.
2.6.4. Линейные шнуры должны быть стойкими к перегибам.
2.7. Требования по стойкости к внешним воздействующим факторам
2.7.1. Шнуры должны быть стойкими к внешним воздействующим факторам (ВВФ), приведенным в табл. 1.
────────────────────────┬──────────────────────────┬───────────────────────
Вид │ Характеристика ВВФ │ Значение
────────────────────────┼──────────────────────────┼───────────────────────
1. Повышенная │ Повышенная рабочая │ Выбирают из ряда:
температура среды │температура, °C │30, 40, 50, 60, 70
2. Пониженная │ Пониженная рабочая │ Выбирают из ряда:
температура среды │температура, °C │минус 20, 30, 40, 50
3. Солнечная радиация │ │ +
4. Смена повышенной │ Смена рабочей пониженной │ Выбирают из ряда:
и пониженной температуры│и повышенной температуры, │от плюс 30, 40, 50,
│°C │60, 70 до минус 20,
│ │30, 40, 50
5. Повышенная влажность│ Относительная влажность │ 98
воздуха │воздуха при температуре │
│35 °C, % │
6. Пониженное │ Пониженное предельное │ 26,8 (200)
атмосферное давление │давление, Па (мм рт. ст.) │
8. Вибрационные │ Диапазон частот, Гц │ 10 - 200
нагрузки │ Амплитуда ускорения, │ 100 (10)
│ -2 │
│мс (q) │
9. Механический удар │ Пиковое ударное │ 40 (4)
многократного действия │ -2 │
│ускорение, мс (q) │
Знак "+" означает, что данное требование предъявляют.
Виды внешних воздействующих факторов должны быть указаны в стандартах или технических условиях на шнуры конкретных марок.
2.8. Требования по надежности
2.8.1. Минимальный срок службы при соблюдении требований по условиям эксплуатации должен соответствовать одному из значений следующего ряда: 5, 8, 10, 12, 15, 20, 22, 25 лет.
3.1. Правила приемки шнуров должны соответствовать настоящему стандарту, нормативно-технической документации, утвержденной в установленном порядке.
Для проверки соответствия шнуров требованиям настоящего стандарта и стандартов или технических условий на шнуры конкретных марок устанавливают приемосдаточные, периодические и типовые испытания.
3.2. Приемосдаточные испытания
3.2.1. Шнуры предъявляют к приемке партиями.
За партию принимают шнуры одной марки, одновременно предъявляемые к приемке. Максимальный объем партии 10 км (или 10 тыс. комплектов) шнура, минимальный - 0,1 км.
3.2.2. Состав испытаний и последовательность их проведения в пределах каждой группы должны соответствовать указанным в табл. 2.
Таблица 2
──────┬─────────────────────────────────────────┬──────────────────────────
Группа│ Вид испытания или проверки │ Пункт
испы- │ ├─────────────┬────────────
тания │ │ требований │ методов
│ │ │ контроля
──────┼─────────────────────────────────────────┼─────────────┼────────────
│между жилами и экраном │ │
С-3 │ Определение электрического сопротивления│
2.5.1 │
4.3.1
│токопроводящей жилы │ │
│ Определение электрического сопротивления│
2.5.2 │
4.3.2
│изоляции │ │
С-4 │ Проверка надежности крепления втулок │
2.4.7 │
4.2.3
3.2.3. Для проведения испытаний по группе С-1 применяют сплошной контроль.
Допускается проводить изготовителем испытания по группе С-1 в процессе производства.
Для проведения испытаний по группе С-2 применяют сплошной или выборочный одноступенчатый контроль; план контроля должен быть указан в стандартах или технических условиях на шнуры конкретных марок.
Для проведения испытания по группам С-3, С-4 применяют выборочный одноступенчатый контроль.
Объем выборки при выборочном одноступенчатом контроле должен быть указан в стандартах или технических условиях на шнуры конкретных марок, но составлять не менее трех бухт от партии с приемочным числом С = 0.
3.3. Периодические испытания
3.3.1. Периодические испытания должны быть проведены на шнурах, прошедших приемосдаточные испытания по плану выборочного двухступенчатого контроля при

= 3,

= 6 с приемочным числом С = 0.
Состав испытаний должен соответствовать указанным в табл. 3.
Таблица 3
──────┬─────────────────────────────────────────┬──────────────────────────
Группа│ Вид испытания или проверки │ Пункт
испы- │ ├─────────────┬────────────
тания │ │ требований │ методов
│ │ │ контроля
──────┼─────────────────────────────────────────┼─────────────┼────────────
П-1 │ Испытание на разрыв (для телефонных │
2.6.1 │
4.4.1
│и коммутаторных шнуров) │ │
П-2 │ Испытание на износостойкость (для │
2.6.2 │
4.4.2
│телефонных и коммутаторных шнуров) │ │
│(для спиральных телефонных шнуров) │ │
П-4 │ Испытание на стойкость к перегибам │
2.6.4 │
4.4.4
│(для линейных шнуров) │ │
│рабочей температуры среды │ │
│рабочей температуры среды (для │ │
│телефонных гарнитурных шнуров) │ │
│излучения (для телефонных, коммутаторных │ │
│и телефонных гарнитурных шнуров) │ │
--------------------------------
<*> Числа, разделенные тире, означают порядковый номер ВВФ, приведенный
табл. 1.
3.3.2. Испытания по группам П-1 - П-6 проводят с периодичностью 6 мес, по группе П-7 - 24 мес.
3.3.3. Отбор выборки для испытаний производят шнурами любого маркоразмера, в стандартах или технических условиях на которые предъявлены требования по проведению испытаний.
3.4. Типовые испытания на соответствие требованиям настоящего стандарта проводят по программе, утвержденной в установленном порядке.
3.5. Входной контроль шнуров на соответствие всем требованиям настоящего стандарта, стандартов или технических условий на шнуры конкретных марок потребитель проводит на 3% бухт от партии.
При получении неудовлетворительных результатов испытаний хотя бы по одному показателю по этому показателю проводят повторные испытания на удвоенной выборке.
Результаты повторного испытания распространяются на всю партию.
4.1. Испытания проводят в нормальных климатических условиях по
ГОСТ 20.57.406-81, если в данном стандарте, стандартах или технических условиях на шнуры конкретных марок не указаны другие условия проведения испытаний.
4.2. Контроль шнуров на соответствие требованиям к конструкции
4.2.2. Конструктивные элементы шнуров (
пп. 2.4.1 -
2.4.6) проверяют внешним осмотром без применения увеличительного прибора.
4.2.3. Проверка надежности закрепления втулки (
п. 2.4.7) должна производиться воздействием в течение 1 мин груза массой 3 кг +/- 2,5%, прикрепленного за кольцевое углубление втулки шнура. Проверка надежности закрепления втулок линейных шнуров на динамическое воздействие нагрузки должна производиться на закрепленном шнуре по следующей методике: груз массой 3 кг закрепляют за кольцевое углубление втулки и сбрасывают с высоты 0,5 м.
Шнур считают выдержавшим испытания, если при внешнем осмотре не обнаружено смещения втулки с места крепления.
4.3. Контроль шнуров на соответствие требованиям к электрическим параметрам
4.3.1. Определение электрического сопротивления токопроводящих жил постоянному току (
п. 2.5.1) проводят по
ГОСТ 7229-76 на образцах длиной не менее 1 м.
4.3.2. Определение электрического сопротивления изоляции токопроводящих жил (
п. 2.5.2) проводят по
ГОСТ 3345-76.
4.3.3. Испытание напряжением (
пп. 2.5.3,
2.5.4) проводят по
ГОСТ 2990-78. Условия испытания указывают в стандартах или технических условиях на шнуры конкретных марок.
4.3.4. Проверку отсутствия электрического контакта между жилами и экраном проводят индикаторным прибором или сигнальной лампой.
4.4. Контроль шнуров на соответствие требованиям к механическим параметрам
4.4.1. Испытание на разрыв (
п. 2.6.1) проводят на разрывной машине по ГОСТ 7855-74. Рабочий участок испытуемого образца должен быть (200 +/- 50) мм. Скорость растяжения не должна превышать 0,2 м/мин, если это не указано в стандартах или технических условиях на шнуры конкретных марок.
В случае разрыва в месте крепления испытание должно быть повторено.
4.4.2. Проверку износостойкости спирального шнура (
п. 2.6.2) проводят на стенде, принципиальная схема которого приведена на чертеже.
1 - диск: 2 - спиральный шнур; 3 - крепление
Диск стенда должен совершать вращательное движение с частотой вращения не более 60

.
| | ИС МЕГАНОРМ: примечание. В официальном тексте документа, видимо, допущена опечатка: имеется в виду ГОСТ 427-75, а не ГОСТ 427-76. | |
До начала и через 2 ч после окончания испытаний проводят внешний осмотр, измерение электрического сопротивления токопроводящей жилы постоянному току по
ГОСТ 7229-76 и определение длины спиральной части шнура линейкой по
ГОСТ 427-76.
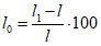
Остаточную деформацию спирального шнура (

) в процентах вычисляют по формуле

,
где l - длина спиральной части шнура до испытания, мм;

- длина спиральной части шнура после испытания, мм.
Шнур считают выдержавшим испытание, если оболочка не имеет повреждений, видимых внешним осмотром без применения увеличительного прибора, остаточная деформация не превышает 20%, а электрическое сопротивление токопроводящей жилы увеличится не более чем на 50% от указанного в
п. 2.5.1.
4.4.3. Проверку эластичности шнуров (
п. 2.6.3) проводят на стенде со шкалой, цена деления которой 1 мм, позволяющем закрепить шнур за первый виток спирали и расположить его на вертикально расположенной шкале.
Измерение спиральной части шнура должно производиться:
в исходном состоянии, когда шнур находится в горизонтальной плоскости и витки плотно прилегают друг к другу;
после закрепления в приспособлении, под действием собственной массы;
через 1 мин после приложения нагрузки, создаваемой грузом массой 0,1 кг +/- 2,5% при температуре (20 +/- 3) °C.
Шнур считают выдержавшим испытание, если длина спиральной части шнура по сравнению с исходной увеличивается:
при температуре (20 +/- 3) °C:
не более, чем в 2 раза под действием собственной массы;
не менее, чем в 3,5 раза под действием груза массой 200 г +/- 2,5%;
при температуре (45 +/- 3) °C:
не более, чем в 2,5 раза под действием собственной массы;
не менее, чем в 4 раза под действием груза массой 150 г +/- 2,5%.
До начала испытаний шнур должен находиться при температурах (20 +/- 3) °C или (45 +/- 3) °C не менее 30 мин.
4.4.4. Проверку устойчивости линейного шнура к перегибам (
п. 2.6.4) проводят на образцах длиной не менее 1 м. Образцы подвергают изгибам на угол +/- 90° при нагрузке 0,5 +/- 2,5%. Количество циклов, диаметр ролика и скорость изгиба устанавливают в стандартах или технических условиях на конкретные марки шнуров.
До начала и после окончания испытаний проводят внешний осмотр и измерение электрического сопротивления токопроводящей жилы постоянному току по
ГОСТ 7229-76.
Шнур считают выдержавшим испытание, если оболочка не имеет повреждений, видимых внешним осмотром без применения увеличительного прибора, а электрическое сопротивление токопроводящей жилы увеличится не более чем на 10% от указанного в
п. 2.5.1.
4.5. Контроль шнуров на соответствие требованиям по стойкости к внешним воздействующим факторам
4.5.1. Испытание на воздействие повышенной рабочей температуры среды (
п. 2.7.1 - 1) проводят по
ГОСТ 20.57.406-81 (метод 201-1.1) на образцах длиной не менее 1 м, свитых в бухту диаметром не более 10-кратного значения наружного диаметра.
Образцы помещают в камеру. Время выдержки в камере при максимальной температуре не менее 3 ч.
После извлечения образцов из камеры и выдержки в нормальных климатических условиях в течение 1 ч образцы осматривают.
Шнур считают выдержавшим испытание, если на поверхности образцов, прошедших испытание, не обнаружено трещин, видимых внешним осмотром без применения увеличительного прибора.
4.5.2. Испытание на воздействие пониженной рабочей температуры среды (
п. 2.7.1 - 2) проводят по
ГОСТ 20.57.406-81 (метод 203-1) без электрической нагрузки на образцах шнура, навитых не менее чем 5 витками на стержень диаметром, равным не менее 10-кратному значению наружного диаметра.
Образцы помещают в камеру холода. Время выдержки шнура в камере холода устанавливают в стандартах или технических условиях на шнуры конкретных марок.
После извлечения образцов из камеры и выдержки в нормальных климатических условиях в течение 1 ч образцы снимают со стержня, осматривают.
Оценку результатов проводят в соответствии с требованиями
п. 4.5.1.
4.5.3. Испытание на воздействие солнечной радиации (
п. 2.7.1 - 3) проводят по
ГОСТ 20.57.406-81 (метод 211-1) на строительной длине шнура. Шнуры помещают в камеру и включают источники инфракрасного и ультрафиолетового излучения, после чего температуру в камере устанавливают 55 °C. Шнуры подвергают непрерывному облучению в течение 5 сут. Шнуры вынимают из камеры и проводят внешний осмотр и сравнение с изделиями, не подвергавшимися облучению.
Оценку результатов испытаний проводят в соответствии с требованиями
п. 4.5.1.
4.5.4. Испытание на воздействие изменения температуры среды (
п. 2.7.1 - 4) проводят по
ГОСТ 20.57.406-81 (метод 205-1) на образцах длиной не менее 1 м с герметично заделанными концами.
Время выдержки образцов в камерах три каждой температуре должно быть не менее 2 ч.
Подготовку образцов и оценку результатов проводят в соответствии с требованиями
п. 4.5.1.
4.5.5. Испытание на воздействие повышенной влажности воздуха (
п. 2.7.1 - 5) проводят по
ГОСТ 20.57.406-81 (метод 208-2) без электрической нагрузки на образцах кабеля длиной не менее 1,5 м с герметично заделанными концами.
Подготовку образцов проводят в соответствии с требованиями
п. 4.5.1.
Время выдержки образцов в камере влаги 2 сут. После извлечения из камеры образцы выдерживают не менее 2 ч в нормальных климатических условиях и измеряют электрическое сопротивление изоляции.
Шнур считают выдержавшим испытание, если все образцы соответствуют требованиям
п. 2.5.2.
4.5.6. Испытание на воздействие пониженного атмосферного давления (
п. 2.7.1 - 6) проводят без электрической нагрузки по
ГОСТ 20.57.406-81 (метод 209-1).
Подготовку образцов проводят в соответствии с требованиями
п. 4.5.4, оценку результатов испытаний -
п. 4.5.1.
4.5.7. Испытание на воздействие соляного тумана (
п. 2.7.1 - 7) проводят по
ГОСТ 20.57.406-81 (метод 215-1) на образцах длиной не менее 1 м с герметично заделанными концами.
Время выдержки в камере 2 сут.
Шнур считают выдержавшим испытание, если на поверхности образцов, прошедших испытание, после промывки дистиллированной водой не обнаружено трещин, видимых без применения увеличительного прибора.
4.5.8. Проверку стойкости шнура к вибрационным нагрузкам (
п. 2.7.1 - 8) проводят без электрической нагрузки по
ГОСТ 20.57.406-81 (метод 103-1.1) на образцах длиной не менее 1,5 м, свитых в бухты внутренним диаметром не менее 10-кратного значения наружного диаметра.
Каждая бухта должна быть жестко прикреплена к платформе вибрационного стенда тремя металлическими хомутами с прокладками.
Шнур считают выдержавшим испытание, если после воздействия вибраций образцы соответствуют требованиям
пп. 2.5.1 и
2.5.2.
Подготовку образцов, крепление к платформе ударного стенда проводят в соответствии с требованиями
п. 4.5.4.
Оценку результатов испытаний проводят в соответствии с требованиями
п. 4.5.8.
4.6. Проверка шнуров на соответствие требованиям к маркировке и упаковке
4.6.1. Качество и правильность маркировки и упаковки (
пп. 5.1;
5.2) контролируют внешним осмотром.
5. МАРКИРОВКА, УПАКОВКА, ТРАНСПОРТИРОВАНИЕ И ХРАНЕНИЕ
5.1.1. Маркировка шнуров должна соответствовать требованиям
ГОСТ 18690-82.
5.1.2. На ярлыке, прикрепленном к бухте, пачке или коробке должны быть указаны:
товарный знак предприятия-изготовителя;
условное обозначение шнура;
цвет оболочки;
длина шнура в метрах или число комплектов или штук;
дата изготовления;
штамп ОТК.
5.2.1. Упаковка шнуров должна соответствовать требованиям
ГОСТ 18690-82 и стандартам или техническим условиям на шнуры конкретных марок.
5.2.2. Шнуры должны быть намотаны в бухты или уложены в пачки или коробки.
5.3. Транспортирование
5.3.1. Транспортирование шнуров должно соответствовать требованиям
ГОСТ 18690-82.
5.3.2. Условия транспортирования шнуров в части воздействия климатических факторов должны соответствовать
ГОСТ 15150-69 и указаны в стандартах или технических условиях на шнуры конкретных марок.
5.4. Хранение
5.4.1. Хранение шнуров должно соответствовать требованиям
ГОСТ 18690-82.
5.4.2. Условия хранения шнуров в части воздействия климатических факторов должны соответствовать
ГОСТ 15150-69 и указаны в стандартах или технических условиях на шнуры конкретных марок.
6.1. Изготовитель гарантирует соответствие шнуров требованиям настоящего стандарта, стандартов или технических условий на шнуры конкретных марок при соблюдении условий транспортирования, хранения.
Гарантийный срок эксплуатации должен быть установлен в стандартах или технических условиях на шнуры конкретных марок и исчисляться с момента ввода шнуров в эксплуатацию.