Главная // Актуальные документы // ГОСТ (Государственный стандарт)СПРАВКА
Источник публикации
М.: ИПК Издательство стандартов, 1999
Примечание к документу
С 1 июля 2003 года до вступления в силу технических регламентов акты федеральных органов исполнительной власти в сфере технического регулирования носят рекомендательный характер и подлежат обязательному исполнению только в части, соответствующей целям, указанным в
пункте 1 статьи 46 Федерального закона от 27.12.2002 N 184-ФЗ.
Документ
введен в действие с 1 января 1977 года.
Название документа
"ГОСТ 21119.5-75*. Межгосударственный стандарт. Красители органические и пигменты неорганические. Метод определения плотности"
(введен в действие Постановлением Госстандарта СССР от 28.08.1975 N 2275)
(ред. от 01.10.1984)
"ГОСТ 21119.5-75*. Межгосударственный стандарт. Красители органические и пигменты неорганические. Метод определения плотности"
(введен в действие Постановлением Госстандарта СССР от 28.08.1975 N 2275)
(ред. от 01.10.1984)
Постановлением Государственного
комитета стандартов
Совета Министров СССР
от 28 августа 1975 г. N 2275
МЕЖГОСУДАРСТВЕННЫЙ СТАНДАРТ
КРАСИТЕЛИ ОРГАНИЧЕСКИЕ И ПИГМЕНТЫ НЕОРГАНИЧЕСКИЕ
МЕТОД ОПРЕДЕЛЕНИЯ ПЛОТНОСТИ
Organic dyestuffs and inorganic pigments.
Method for determination of density
ГОСТ 21119.5-75*
| | Список изменяющих документов (в ред. Изменения N 1, утв. в октябре 1984 г.) | |
Постановлением Государственного комитета стандартов Совета Министров СССР от 28 августа 1975 г. N 2275 дата введения установлена
1 января 1977 года
Ограничение срока действия снято Постановлением Госстандарта от 28.09.1992 N 1284.
Переиздание (ноябрь 1998 г.) с Изменением N 1, утвержденным в октябре 1984 г. (ИУС 2-85).
Настоящий стандарт распространяется на органические красители (пигменты и лаки) и неорганические пигменты и устанавливает метод определения плотности.
Стандарт соответствует международному стандарту ИСО 787-10-81 в части определения плотности неорганических пигментов.
Сущность метода заключается в измерении отношения массы испытуемого продукта к массе вытесняющей жидкости, взятых в определенном объеме при одинаковой температуре.
(Введен дополнительно, Изм. N 1).
1. АППАРАТУРА И МАТЕРИАЛЫ
Пикнометры ПЖ3-1-25-0,7, ПЖ3-1-50-0,7, ПЖ3-1-100-0,7 исполнений КН и КШ по
ГОСТ 22524-77.
Термостат, поддерживающий температуру 25 - 30 °C с отклонением не более 0,5 °C.
Насос вакуумный, обеспечивающий остаточное давление 3,3 и 56 кПа.
Весы лабораторные с погрешностью взвешивания не более 0,001 г.
Электрошкаф сушильный лабораторный, обеспечивающий нагрев до 150 °C и выше с автоматическим регулированием температуры +/- 3%.
Термометр с пределом измерения до 30 °C и ценой деления шкалы 1 °C.
Жидкость вытесняющая, в которой продукт не растворим, но хорошо смачивается и скорость испарения которой в вакууме невысока (например, алифатические или ароматические углеводороды, вода дистиллированная по
ГОСТ 6709-72 или с добавкой смачивающих реагентов). Тип вытесняющей жидкости должен быть указан в стандарте на испытуемый продукт.
Разд. 1. (Измененная редакция, Изм. N 1).
2. ПОДГОТОВКА К ИСПЫТАНИЮ
Испытуемый продукт, предварительно просеянный через сито, сушат при температуре (105 +/- 3) °C в течение 2 ч и охлаждают в эксикаторе с хлористым кальцием до комнатной температуры.
Если продукт разрушается при указанных условиях, то температуру и продолжительность сушки снижают. Условия должны быть указаны в стандарте на испытуемый продукт.
Пикнометр, пробку и крышку тщательно промывают, сушат до постоянной массы и взвешивают.
Разд. 2. (Измененная редакция, Изм. N 1).
2а.1. В пикнометр во избежание попадания продукта на стенки через сухую воронку засыпают пигмент или краситель, заполняя им пикнометр не более чем до половины объема и взвешивают с погрешностью не более 0,001 г. Затем в пикнометр осторожно наливают вытесняющую жидкость. Высота слоя вытесняющей жидкости в зависимости от массы продукта, засыпаемого в пикнометр, и его вместимости указана в
Приложении.
2а.2. Пикнометр помещают в вакуум-эксикатор. Закрыв трехходовой кран, соединяющий вакуум-эксикатор с вакуумным насосом, включают насос и постепенно открывают кран. Бурное выделение пузырьков воздуха из испытуемого продукта свидетельствует о создании вакуума в эксикаторе.
Пикнометр с продуктом и вытесняющей жидкостью выдерживают в эксикаторе в течение 4 ч при остаточном давлении не более 3,3 кПа (для неорганических пигментов) или в течение 45 мин при остаточном давлении 56 кПа (для органических красителей). В течение указанного промежутка времени для более интенсивного удаления воздуха из продукта вакуум два-три раза спускают с помощью трехходового крана и содержимое пикнометра осторожно встряхивают.
2а.3. Пикнометр вынимают из эксикатора и полностью заполняют его вытесняющей жидкостью. Пробку с капилляром осторожно вставляют в пикнометр, следя за тем, чтобы излишки жидкости полностью заполнили капилляр, и фильтровальной бумагой удаляют излишки жидкости с пробки. Затем пикнометр термостатируют в течение 1 ч при температуре (20,0 +/- 0,5) °C, если в стандарте на испытуемый продукт не указана другая температура, после чего вынимают его из термостата, тщательно вытирают и закрывают крышкой. Пикнометр помещают в шкаф весов и через 15 мин взвешивают при температуре, которая ниже температуры термостатирования.
2а.4. В тот же пикнометр, предварительно тщательно вымытый и высушенный до постоянной массы, наливают вытесняющую жидкость и проводят операции в соответствии с
п. 2а.3.
Разд. 2а. (Введен дополнительно, Изм. N 1).
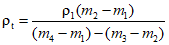
3.1. Плотность продукта при температуре испытания

в граммах на кубический сантиметр вычисляют по формуле

,
где

- плотность вытесняющей жидкости при температуре испытания, г/см3;

- масса пустого пикнометра (с пробкой и крышкой), г;

- масса пикнометра (с пробкой и крышкой), заполненного продуктом, г;

- масса пикнометра (с пробкой и крышкой), заполненного продуктом и вытесняющей жидкостью, г;

- масса пикнометра (с пробкой и крышкой), заполненного вытесняющей жидкостью, г.
Плотность вытесняющей жидкости при температуре испытания

в граммах на кубический сантиметр вычисляют по формуле

,
где

- масса пикнометра (с пробкой и крышкой), заполненного дистиллированной водой, г;

- плотность воды при температуре испытания, г/см3, выбранная по таблице.
───────────────────────────┬──────────────────────────────────────
Температура, °C │ Плотность воды, г/см3
───────────────────────────┼──────────────────────────────────────
15 │ 0,9991
20 │ 0,9982
25 │ 0,9970
30 │ 0,9956
3.2. За результат испытания принимают среднее арифметическое результатов двух параллельных определений, допускаемое расхождение между которыми не должно превышать 0,03 г/см3.
Результаты округляют до второго десятичного знака.
Разд. 3. (Измененная редакция, Изм. N 1).
Справочное
────────────────────────┬─────────────────┬───────────────────────
Вместимость пикнометра,│Масса насыпаемого│Высота слоя вытесняющей
см3 │ продукта, г │жидкости над продуктом,
│ │ мм
────────────────────────┼─────────────────┼───────────────────────
25 │ От 1 до 10 │ 7
50 │ " 2 " 20 │ 13
100 │ " 3 " 30 │ 20
Приложение. (Введено дополнительно, Изм. N 1).