Главная // Актуальные документы // ГОСТ (Государственный стандарт)СПРАВКА
Источник публикации
М.: Издательство стандартов, 1987
Примечание к документу
С 1 июля 2003 года до вступления в силу технических регламентов акты федеральных органов исполнительной власти в сфере технического регулирования носят рекомендательный характер и подлежат обязательному исполнению только в части, соответствующей целям, указанным в
пункте 1 статьи 46 Федерального закона от 27.12.2002 г. N 184-ФЗ.
Ограничение срока действия снято по Протоколу N 7-95 Межгосударственного Совета по стандартизации, метрологии и сертификации ("ИУС", N 11, 1995).
Утрачивает силу с 1 января 1998 года.
Введен в действие с 1 января 1988 года.
Взамен ГОСТ 17001.4-71.
Название документа
"ГОСТ 17001.4-86. Ферросиликоцирконий. Методы определения циркония"
(утв. Постановлением Госстандарта СССР от 24.11.1986 N 3512)
"ГОСТ 17001.4-86. Ферросиликоцирконий. Методы определения циркония"
(утв. Постановлением Госстандарта СССР от 24.11.1986 N 3512)
Утвержден и введен в действие
Постановлением Госстандарта СССР
от 24 ноября 1986 г. N 3512
ГОСУДАРСТВЕННЫЙ СТАНДАРТ СОЮЗА ССР
ФЕРРОСИЛИКОЦИРКОНИЙ
МЕТОДЫ ОПРЕДЕЛЕНИЯ ЦИРКОНИЯ
Ferrosilicozirconium.
Methods for determination of zirconium
ГОСТ 17001.4-86
Взамен ГОСТ 17001.4-71
Срок действия
с 1 января 1988 года
до 1 января 1998 года
Разработан Министерством черной металлургии СССР.
Исполнители: Н.П. Поздеев, Н.А. Чирков, В.Л. Зуева, Г.И. Гусева, В.П. Глухова.
Внесен Министерством черной металлургии СССР.
Член Коллегии В.Г. Антипин.
Настоящий стандарт устанавливает гравиметрический и комплексонометрический методы определения циркония в ферросиликоцирконии при массовой доле его от 15 до 70%.
1.1. Общие требования к методам анализа - по ГОСТ 13020.0-75.
| | ИС МЕГАНОРМ: примечание. Взамен ГОСТ 6613-73 Постановлением Госстандарта СССР от 21.09.1986 N 2466 с 1 января 1988 года введен в действие ГОСТ 6613-86. | |
1.2. Лабораторная проба должна быть приготовлена в виде тонкого порошка с размером частиц, проходящих через сито с сеткой N 016 по ГОСТ 6613-73.
2. ГРАВИМЕТРИЧЕСКИЙ МЕТОД С ПРИМЕНЕНИЕМ МИНДАЛЬНОЙ КИСЛОТЫ
2.1. Сущность метода
Метод основан на осаждении циркония миндальной кислотой в растворе соляной кислоты с молярной концентрацией 2,5 моль/дм3. Образующийся осадок миндальнокислого циркония - Zr

прокаливают по двуокиси циркония и взвешивают.
2.2. Реактивы и растворы
Кислота миндальная, раствор с массовой концентрацией 150 г/дм3.
Промывная жидкость: 50 г миндальной кислоты растворяют в 1 дм3 соляной кислоты (1:50).
2.3. Проведение анализа
Навеску ферросиликоциркония массой 0,5 г при массовой доле циркония до 30% или 0,2 г при массовой доле циркония свыше 30% помещают в платиновую чашку или чашку из стеклоуглерода, приливают 5 см3 воды, 5 см3 азотной кислоты, добавляют по каплям фтористо-водородную кислоту до растворения основной массы навески, прикрыв чашку крышкой из пластмассы, и еще 5 см3 фтористо-водородной кислоты.
Чашку помещают на плиту и нагревают до полного растворения навески. Затем приливают 10 см3 раствора серной кислоты и выпаривают содержимое чашки досуха. Стенки чашки обмывают водой и снова выпаривают досуха.
Содержимое чашки охлаждают, приливают 30 см3 соляной кислоты и растворяют соли при нагревании. Полученный раствор переносят в стакан вместимостью 400 см3, стенки чашки обмывают небольшим количеством воды, собирая промывные воды в тот же стакан и нагревают до 80°С. Если раствор мутный, то проводят нагревание до получения прозрачного раствора.
При наличии нерастворимого остатка его отфильтровывают на плотный фильтр, содержащий небольшое количество фильтробумажной массы, и промывают 10 - 12 раз горячей соляной кислотой (1:50), фильтр с остатком отбрасывают.
Затем при перемешивании тонкой струей прибавляют 75 см3 раствора миндальной кислоты. Общий объем раствора должен быть около 150 см3. Осадок миндальнокислого циркония выдерживают при 80 - 85 °С в течение 40 мин, периодически перемешивая. Для лучшего отстаивания раствор с осадком выдерживают до полного охлаждения при комнатной температуре (можно оставить до следующего дня).
Осадок отфильтровывают на плотный фильтр, содержащий небольшое количество беззольной фильтробумажной массы. Фильтр с осадком промывают 12 - 15 раз промывной жидкостью. Для проверки фильтрата на полноту осаждения циркония его оставляют на 12 ч.
При выпадении осадка его дополнительно отфильтровывают на плотный фильтр и промывают промывной жидкостью.
Фильтры с основным и дополнительным осадком объединяют, помещают во взвешенный платиновый тигель, высушивают, озоляют и прокаливают при 1000 - 1100 °С до постоянной массы. Тигель охлаждают и взвешивают.
2.4. Обработка результатов
2.4.1. Массовую долю циркония (X) в процентах вычисляют по формуле

,
где

- масса осадка двуокиси циркония, г;

- масса осадка в контрольном опыте, г;
0,7403 - коэффициент пересчета двуокиси циркония на цирконий;
m - масса навески, г.
2.4.2. Абсолютные расхождения результатов параллельных определений не должны превышать допускаемых значений, указанных в таблице
───────────────────────────┬──────────────────────────────────────
Массовая доля циркония, % │Абсолютные допускаемые расхождения, %
───────────────────────────┼──────────────────────────────────────
От 15,0 до 30,0 включ. │ 0,4
Св. 30,0 " 50,0 " │ 0,5
" 50,0 " 70,0 " │ 0,6
3. КОМПЛЕКСОНОМЕТРИЧЕСКИЙ МЕТОД
3.1.Сущность метода
Метод основан на прямом титровании цирконил-иона (

) раствором трилона Б в горячем растворе соляной кислоты с массовой концентрацией 2 моль/дм3 в присутствии индикатора ксиленолового оранжевого.
Влияние трехвалентного железа устраняют восстановлением его двухлористым оловом.
Алюминий и титан в количествах, содержащихся в ферросиликоцирконии, определению циркония не мешают.
3.2. Реактивы и растворы
Кислота соляная по
ГОСТ 3118-77 и разбавленная 1:5, 1:50 и раствор с молярной концентрацией 6 моль/дм3.
Кислота миндальная, раствор с массовой концентрацией 150 г/дм3.
Промывная жидкость: 50 г миндальной кислоты растворяют в 1 дм3 соляной кислоты (1:50).
Олово двухлористое 2-водное по ГОСТ 36-78, раствор с массовой концентрацией 50 г/дм3: 50 г двухлористого олова растворяют в 100 см3 соляной кислоты, разбавляют водой до 1 дм3 и перемешивают.
Индикатор ксиленоловый оранжевый.
Смесь индикаторная: 1 г ксиленолового оранжевого растирают с 50 г хлористого натрия.
Циркония хлорокись (цирконил хлористый).
Стандартный раствор циркония: 3,533 г хлористого цирконила растворяют в 100 см3 соляной кислоты с молярной концентрацией 6 моль/дм3. Раствор переливают в мерную колбу вместимостью 1 дм3, доливают до метки этой же кислотой и перемешивают.
Массовая концентрация циркония равна 0,001 г/см3.
Допускается стандартный раствор готовить из металлического циркония.
Массовую концентрацию циркония в стандартном растворе проверяют гравиметрическим методом. Для этого аликвотную часть стандартного раствора 50 см3 помещают в стакан вместимостью 400 см3, прибавляют 30 см3 соляной кислоты и нагревают до 80 °С. Затем при перемешивании тонкой струей прибавляют 75 см3 раствора миндальной кислоты. Общий объем раствора должен быть около 150 см3. Раствор с осадком миндальнокислого циркония выдерживают при 80 - 85 °С в течение 40 мин, периодически перемешивая. Для лучшего отстаивания раствор с осадком выдерживают до полного охлаждения при комнатной температуре (лучше оставить на 12 ч).
Осадок отфильтровывают на плотный фильтр, содержащий небольшое количество беззольной фильтробумажной массы, и промывают фильтр с осадком 12 - 15 раз промывной жидкостью.
Фильтр с осадком помещают во взвешенный тигель, высушивают, озоляют и прокаливают при 1000 - 1100 °С до постоянной массы, после чего тигель охлаждают и взвешивают.
Массовую концентрацию раствора циркония, (c), выраженную в г/см3, вычисляют по формуле

,
где m - масса двуокиси циркония, г;
V - объем стандартного раствора, взятый для определения, см3;
0,7403 - коэффициент пересчета двуокиси циркония на цирконий.
Соль динатриевая этилендиамин - N, N, N', N'-тетрауксусной кислоты 2-водная (трилон Б) по
ГОСТ 10652-73, раствор с молярной концентрацией 0,025 моль/дм3: 9,306 г трилона Б растворяют в 300 см3 воды в присутствии нескольких капель аммиака. Раствор фильтруют в мерную колбу вместимостью 1 дм3. Фильтр промывают 2 - 3 раза водой и отбрасывают. Раствор доливают до метки водой и перемешивают. Раствор хранят в полиэтиленовой посуде.
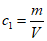
Устанавливают массовую концентрацию раствора трилона Б, выраженную в г/см3 циркония. Для этого аликвотную часть стандартного раствора циркония 50 см3 помещают в коническую колбу вместимостью 250 см3, прибавляют 10 см3 серной кислоты (1:4), выпаривают до выделения обильных паров серной кислоты и охлаждают. Прибавляют 70 см3 соляной кислоты (1:5), нагревают до кипения и кипятят в течение 1 - 2 мин. Затем прибавляют 0,02 г индикаторной смеси и горячий раствор титруют раствором трилона Б до перехода окраски из розовой в лимонно-желтую.
Массовую концентрацию раствора трилона Б (

), выраженную в г/см3 циркония, вычисляют по формуле

,
где m - масса циркония в аликвотной части стандартного раствора, г;
V - объем раствора трилона Б, израсходованный на титрование стандартного раствора циркония, см3.
3.3. Проведение анализа
3.3.1. Навеску ферросиликоциркония массой 0,2 г помещают в платиновую чашку или чашку из стеклоуглерода, приливают 5 см3 воды, 5 см3 азотной кислоты, а затем по каплям добавляют фтористо-водородную кислоту до растворения основной массы навески, прикрыв чашку крышкой из пластмассы, и еще 5 см3 фтористо-водородной кислоты в избыток. Чашку помещают на плиту и нагревают до полного растворения навески. Затем приливают 10 см3 серной кислоты (1:1) и выпаривают до обильных паров серной кислоты в течение 10 мин.
Чашку охлаждают, стенки чашки обмывают водой и вновь выпаривают раствор до выделения паров серной кислоты в течение 10 мин. Чашку охлаждают, приливают 30 - 40 см3 воды и нагревают до растворения солей. Затем раствор переносят в коническую колбу вместимостью 250 см3. Обмывают стенки чашки водой несколько раз, собирая промывные воды в ту же колбу. Раствор кипятят в течение 1 - 2 мин.
После этого раствор охлаждают, осаждают цирконий аммиаком, прибавляя его до прекращения выделения осадка, и еще 5 - 10 см3 в избыток. Раствор нагревают до кипения и кипятят в течение 3 - 5 мин. Осадку дают отстояться, а затем отфильтровывают на фильтр средней плотности и промывают 6 - 8 раз горячей водой с несколькими каплями аммиака. Осадок растворяют в горячей соляной кислоте (1:5), собирая раствор в колбу вместимостью 250 см3, в которой проводилось осаждение гидроксидов аммиаком. Общий объем раствора должен быть не более 70 см3.
Раствор нагревают до полного растворения осадка гидроксидов и кипятят в течение 1 - 2 мин. Для восстановления трехвалентного железа прибавляют по каплям раствор двухлористого олова до исчезновения желтой окраски. Затем прибавляют 0,015 - 0,020 г смеси индикатора и снова нагревают раствор до кипения.
Горячий раствор медленно по каплям титруют раствором трилона Б до перехода окраски раствора из розовой в лимонно-желтую. (Перед концом титрования раствор можно подогреть).
3.4. Обработка результатов
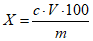
3.4.1. Массовую долю циркония (X) в процентах вычисляют по формуле

,
где c - массовая концентрация трилона Б, выраженная в г/см3 циркония;
V - объем раствора трилона Б, израсходованный на титрование, см3;
m - масса навески, г.
3.4.2. Абсолютные расхождения результатов параллельных определений не должны превышать допускаемых значений, указанных в
таблице.