Главная // Актуальные документы // ГОСТ (Государственный стандарт)СПРАВКА
Источник публикации
М.: Издательство стандартов, 1986
Примечание к документу
С 1 июля 2003 года до вступления в силу технических регламентов акты федеральных органов исполнительной власти в сфере технического регулирования носят рекомендательный характер и подлежат обязательному исполнению только в части, соответствующей целям, указанным в
пункте 1 статьи 46 Федерального закона от 27.12.2002 N 184-ФЗ.
Ограничение срока действия снято по Протоколу N 5-94 Межгосударственного Совета по стандартизации, метрологии и сертификации ("ИУС", N 11 - 12, 1994).
Документ
введен в действие с 1 июля 1972 года.
Взамен ОСТ 2987 в части определения серебра.
Название документа
"ГОСТ 16883.1-71*. Государственный стандарт Союза ССР. Серебряно-медно-цинковые припои. Метод определения содержания серебра"
(введен в действие Постановлением Госстандарта СССР от 09.04.1971 N 713)
(ред. от 01.02.1985)
"ГОСТ 16883.1-71*. Государственный стандарт Союза ССР. Серебряно-медно-цинковые припои. Метод определения содержания серебра"
(введен в действие Постановлением Госстандарта СССР от 09.04.1971 N 713)
(ред. от 01.02.1985)
Введен в действие
Постановлением Государственного
комитета стандартов
Совета Министров СССР
от 9 апреля 1971 г. N 713
ГОСУДАРСТВЕННЫЙ СТАНДАРТ СОЮЗА ССР
СЕРЕБРЯНО-МЕДНО-ЦИНКОВЫЕ ПРИПОИ
МЕТОД ОПРЕДЕЛЕНИЯ СОДЕРЖАНИЯ СЕРЕБРА
Silver-copper-zinc solders.
Method for determination of silver content
ГОСТ 16883.1-71*
| | Список изменяющих документов (в ред. Изменения N 1, утв. в январе 1981 г., Изменения N 2, утв. в феврале 1985 г.) | |
Взамен ОСТ 2937
в части определения
серебра
Постановлением Государственного комитета стандартов Совета Министров СССР от 9 апреля 1971 г. N 713 срок введения установлен
с 1 июля 1972 года
Проверен в 1985 г. Постановлением Госстандарта от 21.02.1985 N 346 срок действия продлен
до 1 января 1991 года
* Переиздание (июль 1986 г.) с Изменениями N 1, 2, утвержденными в январе 1981 г., феврале 1985 г. (ИУС 6-81, 5-85).
Настоящий стандарт распространяется на серебряно-медно-цинковые припои и устанавливает потенциометрический метод определения серебра (при массовой доле серебра от 8,0 до 71%).
Метод основан на потенциометрическом титровании иона серебра раствором хлористого натрия с применением блока автоматического титрования. В качестве электрода сравнения применяют хлорсеребряный электрод ЭВЛ-1МЗ, заполненный насыщенным раствором азотнокислого калия. Индикаторным электродом служит проволока из серебра.
(Измененная редакция, Изм. N 1).
2. АППАРАТУРА, РЕАКТИВЫ И РАСТВОРЫ
рН-метр-милливольтметр.
Мешалка магнитная.
Бюретки с автоматической установкой нуля вместимостью 50 см3.
Блок автоматического титрования лабораторный.
Натрий хлористый по
ГОСТ 4233-77, 0,1 н. раствор. Для приготовления 0,1 н. раствора хлористого натрия используют фиксанал 0,1 г/экв. В случае отсутствия фиксанала растворяют 5,85 г хлористого натрия в 1 дм3 воды.
Для установки титра 0,1 н. раствора хлористого натрия по серебру взвешивают три навески серебра марки 999,9 массой 0,45 - 0,47 г. Навески помещают в стаканы вместимостью по 250 см3 и растворяют при нагревании в 10 см3 разбавленной 1:1 азотной кислоты, затем нагревают до удаления окислов азота и разбавляют водой до 100 см3. Растворы титруют, как указано в
разд. 4.
Три навески сплава по 1,0 г (при массовой доле серебра до 50%) или по 0,5 г (при массовой доле серебра свыше 50%) помещают в стаканы вместимостью по 250 см3 и растворяют при нагревании в 10 см3 разбавленной 1:1 азотной кислоты, затем нагревают до удаления окислов азота и разбавляют водой до 100 см3.
(Измененная редакция, Изм. N 2).
Подготовленный для анализа раствор титруют потенциометрическим методом 0,1 н. раствором хлористого натрия до заданной разности потенциалов на блоке автоматического титрования.
(Измененная редакция, Изм. N 1).
5. ПОДСЧЕТ РЕЗУЛЬТАТОВ АНАЛИЗА
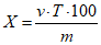
5.1. Массовую долю серебра (X) в процентах вычисляют по формуле

,
где v - количество раствора хлористого натрия, израсходованное на титрование, см3;
Т - титр раствора хлористого натрия, выраженный в г/см3 серебра;
m - навеска, г.
5.2. Абсолютные допускаемые расхождения результатов параллельных определений при доверительной вероятности Р = 0,95 не должны превышать 0,15%.
(Измененная редакция, Изм. N 2).