Главная // Актуальные документы // ГОСТ (Государственный стандарт)СПРАВКА
Источник публикации
М.: ИПК Издательство стандартов, 2002
Примечание к документу
С 01.07.2003 до вступления в силу технических регламентов акты федеральных органов исполнительной власти в сфере технического регулирования носят рекомендательный характер и подлежат обязательному исполнению только в части, соответствующей целям, указанным в
п. 1 ст. 46 Федерального закона от 27.12.2002 N 184-ФЗ.
Документ
введен в действие с 01.01.1984.
Название документа
"ГОСТ 2604.14-82. Межгосударственный стандарт. Чугун легированный. Методы определения кобальта"
(утв. и введен в действие Постановлением Госстандарта СССР от 13.12.1982 N 4718)
(ред. от 01.04.1988)
"ГОСТ 2604.14-82. Межгосударственный стандарт. Чугун легированный. Методы определения кобальта"
(утв. и введен в действие Постановлением Госстандарта СССР от 13.12.1982 N 4718)
(ред. от 01.04.1988)
Утвержден и введен в действие
Постановлением Госстандарта СССР
от 13 декабря 1982 г. N 4718
МЕЖГОСУДАРСТВЕННЫЙ СТАНДАРТ
ЧУГУН ЛЕГИРОВАННЫЙ
МЕТОДЫ ОПРЕДЕЛЕНИЯ КОБАЛЬТА
Alloy cast iron.
Method for determination of cobalt
ГОСТ 2604.14-82
| | Список изменяющих документов (в ред. Изменения N 1, утв. в марте 1986 г., Изменения N 2, утв. в апреле 1988 г.) | |
Введен впервые
Дата введения
1 января 1984 года
1. Разработан и внесен Министерством черной металлургии СССР.
2. Утвержден и введен в действие Постановлением Государственного комитета СССР по стандартам от 13.12.82 N 4718.
3. Введен впервые
4. Ссылочные нормативно-технические документы
Обозначение НТД, на который дана ссылка | Номер пункта |
| |
| |
| |
| |
| |
| |
5. Ограничение срока действия снято по Протоколу N 3-93 Межгосударственного Совета по стандартизации, метрологии и сертификации (ИУС 5-6-93).
6. Издание (ноябрь 2001 г.) с Изменениями N 1, 2, утвержденными в марте 1986 г., апреле 1988 г. (ИУС 6-86, 7-88).
Настоящий стандарт устанавливает фотометрические методы определения кобальта (при массовой доле от 0,02% до 3,0%) и атомно-абсорбционный метод определения кобальта (при массовой доле от 0,005% до 5,0%) в легированном чугуне.
(Измененная редакция, Изм. N 1, 2).
1.1. Общие требования к методам анализа - по
ГОСТ 28473.
1.2. Погрешность результата анализа (

) при доверительной вероятности 0,95 не превышает предела, приведенного в
табл. 2,
3,
5 при выполнении условий:
расхождение результатов двух (трех) параллельных измерений не должно превышать (при доверительной вероятности 0,95) значения

(

), приведенного в
табл. 2,
3,
5;
воспроизведенное в стандартном образце значение массовой доли элемента не должно отличаться от аттестованного более, чем на допускаемое (при доверительной вероятности 0,95) значение

, приведенное в
табл. 2,
3,
5.
Расхождение двух средних результатов анализа, выполненных в различных условиях (например при внутрилабораторном контроле воспроизводимости), не должно превышать (при доверительной вероятности 0,95) значения

, приведенного в
табл. 2,
3,
5.
(Введен дополнительно, Изм. N 2).
2. ФОТОМЕТРИЧЕСКИЙ МЕТОД ОПРЕДЕЛЕНИЯ КОБАЛЬТА
(от 0,02% до 0,5%)
2.1. Сущность метода - по ГОСТ 12353,
разд. 3.
2.2. Аппаратура, реактивы и растворы - по ГОСТ 12353,
разд. 3.
2.3. Проведение анализа - по ГОСТ 12353,
разд. 3 с дополнениями, изложенными ниже.
2.3.1. Навеску чугуна и объем соляной кислоты для растворения определяют в зависимости от массовой доли кобальта по табл. 1.
Таблица 1
Массовая доля кобальта, % | Масса навески, г | Объем раствора соляной кислоты для растворения, см3 |
От 0,02 до 0,05 включ. | 0,50 | 30 |
Св. 0,05 " 0,1 " | 0,25 | 20 |
" 0,1 " 0,5 " | 0,10 | 20 |
2.3.2. Построение градуировочного графика
В шесть стаканов или колб вместимостью по 250 - 300 см3 помещают по 0,5 г карбонильного железа. В пять стаканов приливают последовательно 1,0; 2,0; 3,0; 4,0; 5,0 см3 стандартного раствора А, что соответствует 0,1, 0,2, 0,3; 0,4; 0,5 мг кобальта.
Шестой стакан служит для проведения контрольного опыта. Далее с содержимым каждого стакана поступают, как указано в
п. 2.3.1.
Из значений оптической плотности анализируемых растворов вычитают значение оптической плотности раствора контрольного опыта. По найденным значениям оптической плотности и соответствующим им значениям концентраций кобальта в аликвотной части раствора строят градуировочный график.
2.4. Обработка результатов - по ГОСТ 12353,
разд. 3 с дополнением, изложенным ниже.
2.4.1. Нормы точности и нормативы контроля точности массовой доли кобальта приведены в табл. 2.
Массовая доля кобальта, % | Нормы точности и нормативы контроля точности, % |
| dк | d2 | d3 | |
От 0,02 до 0,05 включ. | 0,004 | 0,005 | 0,004 | 0,005 | 0,003 |
Св. 0,05 " 0,10 " | 0,006 | 0,007 | 0,006 | 0,007 | 0,004 |
" 0,10 " 0,2 " | 0,018 | 0,022 | 0,018 | 0,022 | 0,012 |
" 0,2 " 0,5 " | 0,026 | 0,033 | 0,028 | 0,034 | 0,017 |
(Измененная редакция, Изм. N 2).
3. ФОТОМЕТРИЧЕСКИЙ МЕТОД ОПРЕДЕЛЕНИЯ КОБАЛЬТА
(от 0,5% до 3,0%)
3.1. Сущность метода - по ГОСТ 12353,
разд. 4.
3.2. Аппаратура, реактивы и растворы - по ГОСТ 12353,
разд. 4.
3.3. Проведение анализа - по ГОСТ 12353,
разд. 4.
3.4. Обработка результатов - по ГОСТ 12353,
разд. 4 с дополнением, изложенным ниже.
3.4.1. Нормы точности и нормативы контроля точности массовой доли кобальта приведены в табл. 3.
Массовая доля кобальта, % | Нормы точности и нормативы контроля точности, % |
| dк | d2 | d3 | |
От 0,5 до 1,0 включ. | 0,04 | 0,05 | 0,04 | 0,05 | 0,02 |
Св. 1,0 " 2,0 " | 0,05 | 0,07 | 0,06 | 0,07 | 0,03 |
" 2,0 " 3,0 " | 0,09 | 0,11 | 0,09 | 0,11 | 0,06 |
(Измененная редакция, Изм. N 2).
4. АТОМНО-АБСОРБЦИОННЫЙ МЕТОД ОПРЕДЕЛЕНИЯ КОБАЛЬТА
4.1. Сущность метода
Метод основан на растворении пробы чугуна в смеси соляной и азотной кислот и измерении степени поглощения резонансного излучения свободными атомами кобальта, образующимися в результате распыления анализируемого раствора в пламени воздух-ацетилен при длине волны 240,7 нм или 252,1 нм.
(Измененная редакция, Изм. N 1).
4.2. Аппаратура, реактивы и растворы
Атомно-абсорбционный пламенный спектрофотометр.
Лампа с полым катодом для определения кобальта.
Баллон с ацетиленом.
Компрессор, обеспечивающий подачу сжатого воздуха.
Кислота соляная по
ГОСТ 3118 и разбавленная 1:1.
Железо карбонильное, ос.ч.
Кобальт металлический по
ГОСТ 123 марки К0.
Кислота аскорбиновая, раствор 0,1 г/см3.
Стандартные растворы кобальта.
Раствор А с массовой концентрацией 0,001 г/см3: 0,5 г металлического кобальта растворяют в стакане вместимостью 200 см3 при нагревании в 20 см3 соляной кислоты с добавлением 2 см3 азотной кислоты. Раствор выпаривают досуха, остаток растворяют при нагревании в 20 см3 соляной кислоты 1:1. Раствор переносят в мерную колбу вместимостью 500 см3, доливают водой до метки и перемешивают.
Раствор Б с массовой концентрацией 0,0002 г/см3: 20 см3 раствора А переносят в мерную колбу вместимостью 100 см3, приливают 3 - 5 см3 соляной кислоты, доливают водой до метки и перемешивают.
Раствор В с массовой концентрацией 0,0001 г/см3: 10 см3 раствора А переносят в мерную колбу вместимостью 100 см3, приливают 3 - 5 см3 соляной кислоты, доливают до метки водой и перемешивают.
(Измененная редакция, Изм. N 1, 2).
4.3. Проведение анализа
4.3.1. В соответствии с прилагаемой инструкцией настраивают спектрофотометр на резонансную линию 240,7 или 252,1 нм. После включения подачи газа и зажигания горелки распыляют воду и устанавливают нуль прибора.
4.3, 4.3.1. (Измененная редакция, Изм. N 1).
4.3.2. Определение кобальта (0,005% - 0,1%)
Навеску чугуна массой 1 г помещают в стакан вместимостью 200 - 300 см3 и растворяют при нагревании в 20 см3 соляной и 5 см3 азотной кислот. Раствор выпаривают досуха. К сухому остатку приливают 10 см3 соляной кислоты и вновь выпаривают досуха. Затем приливают 5 см3 соляной кислоты и выпаривают раствор до влажных солей, приливают 1,5 - 2 см3 соляной кислоты, 10 см3 воды и нагревают до растворения солей.
Раствор с осадком переносят в мерную колбу вместимостью 50 см3, доливают до метки водой и перемешивают. Раствор фильтруют через сухой фильтр в сухую коническую колбу вместимостью 50 см3, отбрасывая первые порции фильтрата.
Атомную абсорбцию кобальта измеряют при длине волны 240,7 нм.
Для внесения поправки на содержание кобальта в реактивах через все стадии анализа проводят контрольный опыт. Распыляют в пламя раствор контрольного опыта, а затем испытуемые растворы в порядке увеличения массовой доли кобальта до получения стабильных показаний для каждого раствора. Перед введением в пламя каждого анализируемого раствора распыляют воду для промывания системы и проверки нулевой точки.
Значение массы кобальта в анализируемом растворе находят по градуировочному графику с учетом поправки контрольного опыта. Интервал концентраций кобальта при построении градуировочного графика является рекомендуемым.
(Измененная редакция, Изм. N 1, 2).
4.3.2.1. Построение градуировочного графика
В восемь стаканов вместимостью 200 - 300 см3 помещают по 1,0 г карбонильного железа. В семь стаканов последовательно приливают по 0,5; 1,0; 2,0; 4,0; 6,0; 8,0 и 10 см3 стандартного раствора В, что соответствует 0,00005; 0,0001; 0,0002; 0,0004; 0,0006; 0,0008 и 0,001 г кобальта в 50 см3 анализируемого раствора. Восьмой стакан служит для проведения контрольного опыта.
Из среднего значения оптической плотности каждого раствора вычитают среднее значение оптической плотности контрольного опыта. По найденным значениям оптической плотности и соответствующим им значениям массы кобальта строят градуировочный график.
(Измененная редакция, Изм. N 1).
4.3.3. Определение кобальта (0,1% - 5,0%)
Массу навески чугуна в зависимости от массовой доли кобальта определяют по табл. 4.
Массовая доля кобальта, % | Масса навески, г | Аналитическая линия, нм |
От 0,10 до 1,0 включ. | 0,2 | 240,7 |
Св. 1,0 " 5,0 " | 0,1 | 252,1 |
Навеску чугуна помещают в стакан вместимостью 200 - 300 см3 и растворяют при нагревании в 10 см3 соляной и 3 см3 азотной кислот. Раствор выпаривают досуха. К сухому остатку приливают 10 см3 соляной кислоты и вновь выпаривают досуха. Затем приливают 3 см3 соляной кислоты, 15 см3 воды и нагревают до растворения солей.
Раствор отфильтровывают в мерную колбу вместимостью 100 см3, стакан и фильтр промывают водой, фильтр отбрасывают. К фильтрату приливают 5 см3 раствора аскорбиновой кислоты (при навеске чугуна массой 0,2 г) или 2,5 см3 (при навеске чугуна массой 0,1 г), доливают водой до метки и перемешивают.
Атомную абсорбцию кобальта измеряют в пламени воздух-ацетилен при длине волны в соответствии с
табл. 4 в зависимости от массовой доли кобальта.
Значение массы кобальта в анализируемом растворе находят по градуировочному графику.
(Измененная редакция, Изм. N 1, 2).
4.3.3.1. Построение градуировочного графика
При массовой доле кобальта от 0,1% до 0,5% в семь стаканов вместимостью 250 см3 помещают по 0,2 г карбонильного железа и в шесть из них отмеряют 1,0; 2,0; 4,0; 6,0, 8,0 и 10,0 см3 стандартного раствора В, что соответствует 0,0001, 0,0002; 0,0004; 0,0006; 0,0008 и 0,001 г кобальта в 100 см3 анализируемого раствора.
Седьмой стакан служит для проведения контрольного опыта.
При массовой доле кобальта от 0,5% до 1,0% в семь стаканов вместимостью 250 см3 помещают по 0,2 г карбонильного железа и в шесть из них отмеряют 5,0; 6,0; 7,0; 8,0, 9,0 и 10,0 см3 стандартного раствора Б, что соответствует 0,001, 0,0012; 0,0014; 0,0016; 0,0018 и 0,002 г кобальта в 100 см3 анализируемого раствора.
Седьмой стакан служит для проведения контрольного опыта.
При массовой доле кобальта от 1,0% до 5,0% в шесть стаканов вместимостью 250 см3 помещают по 0,1 г карбонильного железа и в пять из них отмеряют 1,0; 2,0; 3,0; 4,0; 5,0 см3 стандартного раствора А, что соответствует 0,001; 0,002; 0,003; 0,004 и 0,005 г кобальта в 100 см3 анализируемого раствора.
Шестой стакан служит для проведения контрольного опыта.
В каждый стакан приливают по 10 см
3 соляной и по 3 см
3 азотной кислот. Далее анализ ведут в соответствии с
п. 4.3.3.
(Измененная редакция, Изм. N 2).
4.4. Обработка результатов
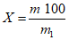
4.4.1. Массовую долю кобальта (X) в процентах вычисляют по формуле

,
где

- масса кобальта, найденная по градуировочному графику, г;

- масса навески чугуна, г.
4.4, 4.4.1. (Измененная редакция, Изм. N 1).
4.4.2. Нормы точности и нормативы контроля точности массовой доли кобальта приведены в табл. 5.
Массовая доля кобальта, % | Нормы точности и нормативы контроля точности, % |
| dк | d2 | d3 | |
От 0,005 до 0,01 включ. | 0,0018 | 0,0022 | 0,0018 | 0,0022 | 0,0012 |
Св. 0,01 до 0,02 " | 0,0024 | 0,0030 | 0,0025 | 0,0030 | 0,0016 |
" 0,02 " 0,05 " | 0,004 | 0,005 | 0,004 | 0,005 | 0,003 |
" 0,05 " 0,10 " | 0,006 | 0,007 | 0,006 | 0,007 | 0,004 |
" 0,10 " 0,2 " | 0,018 | 0,022 | 0,018 | 0,022 | 0,012 |
" 0,2 " 0,5 " | 0,026 | 0,033 | 0,028 | 0,034 | 0,017 |
" 0,5 " 1,0 " | 0,04 | 0,05 | 0,04 | 0,05 | 0,02 |
" 1,0 " 2,0 " | 0,05 | 0,07 | 0,06 | 0,07 | 0,03 |
" 2,0 " 5,0 " | 0,09 | 0,11 | 0,09 | 0,11 | 0,06 |
(Измененная редакция, Изм. N 2).