Главная // Актуальные документы // ГОСТ (Государственный стандарт)СПРАВКА
Источник публикации
М.: Издательство стандартов, 1990
Примечание к документу
Документ включен в
Перечень документов в области стандартизации, в результате применения которых на добровольной основе обеспечивается соблюдение требований Федерального
закона от 30.12.2009 N 384-ФЗ "Технический регламент о безопасности зданий и сооружений" (
Приказ Росстандарта от 02.04.2020 N 687).
Документ включен в
Перечень документов в области стандартизации, в результате применения которых на добровольной основе обеспечивается соблюдение требований Федерального
закона от 30.12.2009 N 384-ФЗ "Технический регламент о безопасности зданий и сооружений" (
Приказ Росстандарта от 17.04.2019 N 831).
Документ включен в
Перечень документов в области стандартизации, в результате применения которых на добровольной основе обеспечивается соблюдение требований Федерального
закона от 30.12.2009 N 384-ФЗ "Технический регламент о безопасности зданий и сооружений" (
Приказ Росстандарта от 30.03.2015 N 365).
Документ включен в
Перечень национальных стандартов, в результате применения которых на добровольной основе обеспечивается соблюдение требований Федерального
закона от 30.12.2009 N 384-ФЗ "Технический регламент о безопасности зданий и сооружений" (
Приказ Ростехрегулирования от 01.06.2010 N 2079).
С 1 июля 2003 года до вступления в силу технических регламентов акты федеральных органов исполнительной власти в сфере технического регулирования носят рекомендательный характер и подлежат обязательному исполнению только в части, соответствующей целям, указанным в
пункте 1 статьи 46 Федерального закона от 27.12.2002 г. N 184-ФЗ.
Введен в действие с 1 мая 1990 года.
Название документа
"ГОСТ 28514-90 (СТ СЭВ 6061-87). Строительная геотехника. Определение плотности грунтов методом замещения объема"
(утв. Постановлением Госстроя СССР от 02.04.1990 N 31)
"ГОСТ 28514-90 (СТ СЭВ 6061-87). Строительная геотехника. Определение плотности грунтов методом замещения объема"
(утв. Постановлением Госстроя СССР от 02.04.1990 N 31)
Утвержден и введен в действие
Постановлением Госстроя СССР
от 2 апреля 1990 г. N 31
ГОСУДАРСТВЕННЫЙ СТАНДАРТ СОЮЗА ССР
СТРОИТЕЛЬНАЯ ГЕОТЕХНИКА
ОПРЕДЕЛЕНИЕ ПЛОТНОСТИ ГРУНТОВ
МЕТОДОМ ЗАМЕЩЕНИЯ ОБЪЕМА
Construction geotechnics.
Determination of soil density
by volume displacement method
ГОСТ 28514-90
(СТ СЭВ 6016-87)
Дата введения
1 мая 1990 года
1. Разработан и внесен Министерством транспортного строительства СССР.
Разработчики: И.Е. Евгеньев, д-р техн. наук; И.П. Акишин, канд. техн. наук; А.К. Мирошкин, О.Н. Сильницкая.
2. Утвержден и введен в действие Постановлением Государственного строительного комитета СССР от 02.04.1990 N 31.
3. Стандарт полностью соответствует СТ СЭВ 6016-87.
4. Введен впервые.
5. Ссылочные нормативно-технические документы
──────────────────────────────────────────────┬───────────────────
Обозначение НТД, на который дана ссылка │ Номер пункта
──────────────────────────────────────────────┼───────────────────
Настоящий стандарт распространяется на пылеватые, глинистые, песчаные, крупнообломочные грунты и устанавливает метод определения плотности грунтов в полевых условиях.
Метод заключается в установлении отношения массы пробы грунта к его объему при условии, что из слоя испытываемого грунта отбирают пробу необходимого объема, которую замещают однородной средой с известной плотностью.
2.1. Применяемые в настоящем стандарте термины и определения - по
ГОСТ 5180.
2.2. Плотность грунтов определяют с применением аппаратуры, позволяющей измерить объем однородной среды известной плотности, замещающей взятую пробу грунта, и измерить массу пробы.
2.3. Массу пробы следует измерять с погрешностью не более 0,2%, а ее объем - с погрешностью не более 1%.
2.4. Максимальный объем пробы следует назначать в зависимости от максимальной крупности зерен испытуемого грунта по таблице.
────────────────────────────┬─────────────────────────────────────
Минимальный объем пробы, см3│Максимальная крупность зерен грунта,
│ мм
────────────────────────────┼─────────────────────────────────────
1000 │ 10
1500 │ 20
2000 │ 31,5
3000 │ 40
6000 │ 63
2.5. Плотность грунтов определяют на основе результатов двух параллельно проведенных испытаний. Замещение объема следует проводить в местах, расположенных на расстоянии не более 1 м друг от друга.
2.6. Аппараты, отличающиеся от описанных в разд. 3 и
4, могут также применяться для измерения объема и массы пробы при условии обеспечения точности, установленной в
п. 2.3.
3. ОПРЕДЕЛЕНИЕ ПЛОТНОСТИ ГРУНТОВ С ПОМОЩЬЮ
ПЕСКОЗАГРУЗОЧНОГО АППАРАТА
3.1. Аппаратура и материалы
3.1.1. Для испытания применяют следующее основное и дополнительное оборудование и инструменты:
пескозагрузочный аппарат с загрузочной камерой и задвижкой для перекрытия, при этом диаметр выпускного отверстия задвижки для перекрытия должен быть (15 +/- 5) мм. Нижняя часть пескобака и загрузочная камера должны иметь угол наклона к оси (30 +/- 5)°.
Схема аппарата приведена на
черт. 1. Неуказанные размеры аппарата назначают такими, чтобы заполнение лунки песком можно было осуществлять за один прием;
жесткий лист основания размером не менее 300 x 300 мм или диаметром 300 мм с отверстием посередине, соответствующим выпускному отверстию пескозагрузочного аппарата, но не менее 100 мм в диаметре;
калибровочный сосуд цилиндрической формы с известным объемом, внутренний диаметр которого соответствует диаметру отверстия в листе основания;
сита с размерами квадратных ячеек: 63; 40; 31,5; 20; 10; 2 и 0,2 мм;
технические весы с пределом взвешивания 5 и 20 кг, обеспечивающие погрешность не более 0,1%;
инструменты для выравнивания поверхности грунта и для углубления лунки (например, металлическая линейка, резец, молоток, ложка и кисть);
посуда для отбора пробы.
1 - пескобак; 2 - песок; 3 - задвижка;
4 - загрузочная камера; 5 - лист основания;
6 - лунка; 7 - калибровочный сосуд
3.1.2. В качестве однородной среды с известной плотностью, которая заменяет испытываемый грунт, применяют свободно сыпучий сухой песок (наполняющий песок), зерновой состав которого отвечает формулам:

; (1)
2 мм > d > 02 мм, (2)
где d - крупность зерен наполняющего песка, мм;

- крупность зерен, выраженная максимальным размером квадратной ячейки верхнего контрольного сита, не более 2 мм;

- крупность зерен, выраженная минимальным размером квадратной ячейки нижнего контрольного сита, не менее 0,2 мм.
При повторном использовании наполняющий песок должен быть пропущен через сита с размером отверстий, соответствующим максимальному и минимальному размеру частиц песка, используемого для проведения испытания.
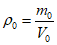
3.2. Определение плотности наполняющего песка
3.2.1. Лист основания помещают на горизонтальной плоской поверхности.
3.2.2. Пескобак аппарата с закрытой задвижкой полностью наполняют песком и определяют его массу (

). Загрузочную камеру устанавливают на отверстие в металлическом листе. Открывают задвижку, после чего песок высыпается на горизонтальную поверхность. Затем задвижку закрывают, аппарат снимают с листа основания и снова определяют его массу (

).
Массу песка, высыпанного из пескобака в загрузочную камеру конической формы

, вычисляют в граммах с округлением до 1 г по формуле

, (3)
где

- масса пескозагрузочного аппарата, наполненного песком, г;

- масса пескозагрузочного аппарата после наполнения загрузочной камеры, г.
3.2.3. Определяют массу пескозагрузочного аппарата, вновь полностью наполненного песком (

), и при закрытой задвижке помещают аппарат на лист основания, а лист основания - на отверстие калибровочного сосуда.
Открыв задвижку, дают высыпаться песку и, как только прекратится движение песка, вновь закрывают задвижку. После этого, сняв аппарат, измеряют его массу (

).
Значение массы песка (

), наполняющего калибровочный сосуд, определяют в граммах с округлением до 1 г по формуле

, (4)
где

- масса пескозагрузочного аппарата, наполненного песком, г;

- масса песка, высыпанного из пескобака в загрузочную камеру конической формы, г;

- масса пескозагрузочного аппарата после наполнения калибровочного сосуда, г.
3.2.4. Значение плотности наполняющего песка (

) граммах на кубический сантиметр определяют с округлением до 0,01 г/см3 по формуле

, (5)
где

- масса песка, необходимая для наполнения калибровочного сосуда, г;

- объем калибровочного сосуда, см3.
3.2.5. За результат определения плотности наполняющего песка (

) принимают среднее арифметическое значение результатов двух параллельных измерений, если их значения отличаются друг от друга не более чем на 0,01 г/см3. Если отличие больше, то следует повторить испытание.
3.3. Проведение испытания
3.3.1. На поверхности подлежащего испытанию слоя разравнивают площадку, соответствующую размерам листа основания, и на эту поверхность помещают лист основания и закрепляют его, исключая возможность смещения. Под круглым отверстием листа выкапывают лунку с примерно вертикальными стенками таким образом, чтобы избежать нарушения естественного сложения.
Глубина лунки должна обеспечивать минимальный объем пробы в соответствии с
п. 2.4.
Извлеченный из лунки грунт тщательно собирают и измеряют его массу (

).
3.3.2. Полностью наполненный песком пескозагрузочный аппарат массой

(при закрытой задвижке) помещают на лист основания, расположенный над лункой, затем, открыв задвижку, высыпают песок в лунку. Как только визуальное движение песка прекращается, закрывают задвижку и, сняв аппарат, измеряют его массу (

).
Значение массы песка, наполняющего лунку (

), в граммах, определяют с округлением до 1 г по формуле

, (6)
где

- масса пескозагрузочного аппарата, наполненного песком, г;

- масса песка, высыпанного из пескобака в загрузочную камеру конической формы, г;

- масса пескозагрузочного аппарата после наполнения лунки, г.
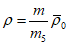
3.4. Обработка результатов
Значение плотности испытываемого грунта определяют в граммах на кубический сантиметр с округлением до 0,01 г/см3 по формуле

, (7)
где

- масса испытываемого грунта, удаленного из лунки, г;

- масса песка, наполняющего лунку, г;

- средняя плотность наполняющего песка, определенная по
п. 3.2.
За результат определения плотности испытываемого грунта (

) принимают среднее арифметическое значение результатов двух параллельных измерений, если значения отличаются друг от друга не более чем на 0,05 г/см3. Если отличие больше, то следует провести еще одно измерение.
4. ОПРЕДЕЛЕНИЕ ПЛОТНОСТИ ГРУНТОВ АППАРАТОМ С
РЕЗИНОВЫМ БАЛЛОНОМ
4.1. Аппаратура и материалы
Для проведения испытания применяют следующие основные и дополнительные оборудование и инструменты:
аппарат с резиновым баллоном, схема которого приведена на
черт. 2. Размеры аппарата назначают такими, чтобы обеспечить измерение минимального объема пробы в соответствии с требованиями
п. 2.4;
средства для разравнивания поверхности грунта и углубления лунки (например, металлическая линейка, резец, молоток, ложка и кисть);
сосуды для отбора пробы;
штыри для фиксации листа основания от смещения;
технические весы с пределом взвешивания 5 и 20 кг.
1 - изъятый грунт; 2 - шкала для считывания;
3 - калиброванный цилиндр; 4 - поршень;
5 - вода; 6 - застопоренный лист основания;
7 - резиновый баллон с толщиной стенки от 0,25 до 0,50 мм
4.2. Проведение испытания
4.2.1. На поверхности подлежащего испытанию слоя разравнивают требуемую площадь, после чего устанавливают лист основания и закрепляют его, чтобы он не смещался.
Аппарат через полый стержень поршня заливают водой, затем, слегка вдавив поршень, вытесняют из цилиндра воздух.
После этого перекрывают наполнительное отверстие.
4.2.2. Аппарат помещают на лист основания и, отжав цилиндр, поджимают баллон на выравненную грунтовую поверхность. По шкале определяют объем (

).
Оттягивают поршень и снимают аппарат с листа основания. Через круглое отверстие в листе основания выкапывают лунку с примерно вертикальными стенками.
Глубина лунки должна обеспечивать минимальный объем пробы в соответствии с
п. 2.4. В стенках и дне лунки следует удалить выступающие острые части крупных обломков таким образом, чтобы избежать нарушения естественного сложения грунта. Изъятый при этом грунт следует тщательно собрать в сосуд.
4.2.3. Аппарат вновь устанавливают на листе основания и закрепляют, после чего поршень вдавливают до тех пор, пока баллон не прижмется к стенке полости. После этого на шкале считывают значение объема (

). Без изменения положения прибора вытягиванием поршня воду из резинового баллона направляют в аппарат и повторно определяют объем

. Если два считанных значения отличаются друг от друга не более чем на 2%, то за основу следует брать их среднее значение. В противном случае следует повторить испытание.
4.3. Обработка результатов
Значение плотности грунта (

) определяют в граммах на кубический сантиметр с округлением до 0,01 г/см3 по формуле

, (8)
где

- масса грунта, извлеченного из лунки, г;

- объем воды перед извлечением грунта, см3;

- объем воды после извлечения грунта, см3.