Главная // Актуальные документы // ГОСТ (Государственный стандарт)СПРАВКА
Источник публикации
М.: ИПК Издательство стандартов, 2004
Примечание к документу
С 1 июля 2003 года до вступления в силу технических регламентов акты федеральных органов исполнительной власти в сфере технического регулирования носят рекомендательный характер и подлежат обязательному исполнению только в части, соответствующей целям, указанным в
пункте 1 статьи 46 Федерального закона от 27.12.2002 N 184-ФЗ.
Документ
введен в действие с 1 июля 1993 года.
Название документа
"ГОСТ 29290-92 (ИСО 7546-83). Межгосударственный стандарт. Машины землеройные. Ковши погрузчиков и погрузочные ковши экскаваторов. Расчет вместимости"
(утв. и введен в действие Постановлением Госстандарта СССР от 30.01.1992 N 88)
"ГОСТ 29290-92 (ИСО 7546-83). Межгосударственный стандарт. Машины землеройные. Ковши погрузчиков и погрузочные ковши экскаваторов. Расчет вместимости"
(утв. и введен в действие Постановлением Госстандарта СССР от 30.01.1992 N 88)
Утвержден и введен в действие
Постановлением Комитета
стандартизации и метрологии СССР
от 30 января 1992 г. N 88
МЕЖГОСУДАРСТВЕННЫЙ СТАНДАРТ
МАШИНЫ ЗЕМЛЕРОЙНЫЕ
КОВШИ ПОГРУЗЧИКОВ И ПОГРУЗОЧНЫЕ КОВШИ ЭКСКАВАТОРОВ
РАСЧЕТ ВМЕСТИМОСТИ
Earth-moving machinery. Loader and front loading excavator
buckets. Volumetric ratings
ГОСТ 29290-92
(ИСО 7546-83)
ОКП 48 1011
Дата введения
1 июля 1993 года
1. ВНЕСЕН Техническим комитетом по стандартизации ТК 295 "Машины землеройные"
2. УТВЕРЖДЕН И ВВЕДЕН В ДЕЙСТВИЕ Постановлением Комитета стандартизации и метрологии СССР от 30.01.92 N 88
3. Настоящий стандарт разработан методом прямого применения международного стандарта ИСО 7546-83 "Машины землеройные. Ковши погрузчиков и погрузочные ковши экскаваторов. Расчет вместимости" и полностью ему соответствует
4. ВВЕДЕН ВПЕРВЫЕ
5. ССЫЛОЧНЫЕ НОРМАТИВНО-ТЕХНИЧЕСКИЕ ДОКУМЕНТЫ
Пункт, в котором приведена ссылка | Обозначение соответствующего стандарта ИСО | Обозначение отечественного нормативно-технического документа, на который дана ссылка |
| ИСО 7131-84 | |
6. ПЕРЕИЗДАНИЕ. Май 2004 г.
1. НАЗНАЧЕНИЕ И ОБЛАСТЬ ПРИМЕНЕНИЯ
1.1. Настоящий стандарт устанавливает расчетный метод определения объема типовых материалов, вмещаемых ковшами фронтальных погрузчиков и ковшами экскаваторов с погрузочным оборудованием прямого копания. Метод основан на использовании данных о внутренних размерах ковша и условном объеме "шапки" ковша.
1.2. Метод заключается в делении сложного по форме объема материала в ковше на части, имеющие простую геометрическую форму, что позволяет рассчитывать вместимость ковшей различной конструкции.
1.3. Данный расчетный метод предназначен для сравнения вместимости ковшей и не предназначен для определения фактической вместимости, зависящей от конкретных условий работы.
Ссылочные документы приведены в информационных данных.
3. ОГРАНИЧЕНИЯ И ПРЕДЕЛЫ ПРИМЕНЕНИЯ
3.1. Влиянием местных выступов (зубьев, оснований зубьев) на вместимость следует пренебречь.
3.2. Решетчатые козырьки, прикрепляемые к ковшу для защиты машины или оператора от материала, пересыпающегося через заднюю стенку ковша, при расчетах вместимости учитывать не следует. Сплошные выступы задних стенок того же назначения допускается учитывать при расчетах только в том случае, если они являются неотъемлемой частью ковша (см. черт. 1).
1 - решетчатый козырек или сплошной выступ задней стенки;
2 - задняя стенка; 3 - боковая режущая кромка; 4 - боковая
стенка; 5 - основание зуба; 6 - режущая кромка
Черт. 1
3.3. Данный расчетный метод распространяется только на ковши с соотношением размеров X/Y более 12 (см. черт. 2).
Размеры X и Y для ковшей с непрямолинейной боковой кромкой
1 - задний угол боковой стенки; 2 - разделительная
плоскость; 3 - передний угол боковой стенки
Черт. 2
4. ОПРЕДЕЛЕНИЯ И УСЛОВНЫЕ ОБОЗНАЧЕНИЯ
4.2. Разделительная плоскость - плоскость, проходящая от режущей кромки до задней стенки по всей ширине ковша (положение разделительной плоскости для ковшей различной формы указано в
разд. 5).
4.3. Геометрический объем VS - объем, лежащий ниже разделительной плоскости.
4.4. Объем "шапки" VT - объем материала с уклоном 2:1, лежащего на разделительной плоскости.
4.5. Номинальная вместимость VR - номинальный объем ковша, вычисляемый как сумма геометрического объема и объема "шапки" VR = VS + VT.
5. РАСЧЕТ НОМИНАЛЬНОЙ ВМЕСТИМОСТИ
5.1. Основной ковш
Задняя стенка основного ковша не выступает за поперечную прямую, соединяющую задние углы боковых стенок, а режущая кромка не выступает за поперечную прямую, соединяющую передние углы боковых стенок.
5.1.1. Разделительная плоскость проходит в задней части ковша через прямую, идущую вдоль верхнего края задней стенки, а в передней части ковша - через прямую, идущую вдоль верхнего края режущей кромки (см. черт. 3).
Основной ковш
1 - разделительная плоскость. Геометрический объем VS = AW;
A - площадь поперечного сечения внутреннего объема ковша;
W - ширина внутреннего объема ковша;
объем "шапки"

;
d - поперечный размер в средней части ковша
Черт. 3
5.1.2. Вместимость ковша вычисляют, как указано на черт. 3.
5.2. Ковш с выступающей прямолинейной кромкой
Режущая кромка такого ковша прямолинейна в поперечном направлении и выступает за поперечную прямую, соединяющую передние углы боковых стенок, а задняя стенка не выступает за поперечную линию, соединяющую задние углы боковых стенок.
5.2.1. Разделительная плоскость проходит в передней части ковша через прямую, идущую вдоль режущей кромки, а в задней части - через прямую, идущую вдоль верхнего края задней стенки.
5.2.2. Вместимость ковша вычисляют, как указано на черт. 4.
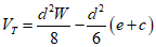
Ковш с выступающей прямолинейной кромкой
1 - разделительная плоскость.
Геометрический объем

;
объем "шапки"

;
номинальная вместимость VR = VS + VT
Черт. 4
5.3. Ковш с выступающей задней стенкой
Задняя стенка ковша выступает за поперечную линию, соединяющую задние углы боковых стенок, а режущая кромка не выступает за поперечную линию, соединяющую передние углы боковых стенок.
5.3.1. Разделительная плоскость проходит в задней части ковша через прямую, идущую вдоль верхнего края выступающей задней стенки, а в передней части - через прямую, идущую вдоль режущей кромки (см. черт. 5).
Ковш с выступающей задней стенкой
1 - разделительная плоскость.
Геометрический объем

;
объем "шапки"

;
номинальная вместимость VR = VS + VT
Черт. 5
5.3.2. Вместимость ковша вычисляют, как указано на черт. 5.
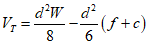
5.4. Ковш с непрямолинейной режущей кромкой
Режущая кромка такого ковша выступает за поперечную линию, соединяющую передние углы боковых стенок, и не является прямолинейной в поперечном направлении. Задняя стенка не выступает за поперечную прямую, соединяющую задние углы боковых стенок.
5.4.1. Разделительная плоскость проходит в передней части ковша через воображаемую поперечную прямую, проведенную на расстоянии 1/3 высоты выступа передней кромки, а в задней части - через прямую, идущую вдоль верхнего края задней стенки (черт. 6).
Ковш с непрямолинейной режущей кромкой
1 - разделительная плоскость.
Геометрический объем

;
объем "шапки"

;
номинальная вместимость VR = VS + VT
Черт. 6
5.4.2. Вместимость ковша вычисляют, как указано на черт. 6.
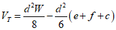
5.5. Ковш с выступающими режущей кромкой и задней стенкой
Режущая кромка такого ковша (прямолинейная или непрямолинейная) выступает за прямую, соединяющую передние углы боковых стенок, а задняя стенка выступает за прямую, соединяющую задние углы боковых стенок.
5.5.1. Разделительная плоскость проходит в задней части ковша через верхний край задней стенки, а в передней части - через верхний край прямолинейной режущей кромки или через точку, лежащую на высоте
h/3 (см.
п. 5.4.1), для случая непрямолинейной режущей кромки (см. черт. 7).
Ковш с выступающими режущей кромкой и задней стенкой
1 - разделительная плоскость.
Геометрический объем

;
объем "шапки"

;
номинальная вместимость VR = VS + VT
Черт. 7
5.5.2. Вместимость ковша вычисляют, как указано на черт. 7.
6.1. Номинальная вместимость представляет собой сумму геометрического объема и объема "шапки". Номинальную вместимость в кубических метрах при публикации в качестве данных о номинальной вместимости ковшей по ИСО следует указывать с точностью, приведенной в таблице.
В кубических метрах
Класс номинальной вместимости | Точность |
До 0,6 включ. | 0,02 |
Св. 0,6 до 1,5 включ. | 0,05 |
" 1,5 " 2,5 " | 0,10 |
" 2,5 " 5,0 включ. | 0,20 |
" 5,0 " 10,0 " | 0,50 |
" 10,0 | 1,00 |
6.2. Если расчетная вместимость оказалась меньше номинальной, входящей в данный ряд более чем на 2%, то следует указывать ближайшую меньшую номинальную вместимость из стандартного ряда.