Главная // Актуальные документы // ГОСТ (Государственный стандарт)СПРАВКА
Источник публикации
М.: Стандартинформ, 2008
Примечание к документу
Документ включен в
Перечень международных и региональных (межгосударственных) стандартов, а в случае их отсутствия - национальных (государственных) стандартов, содержащих правила и методы исследований (испытаний) и измерений, в том числе правила отбора образцов, необходимые для применения и исполнения требований технического
регламента Таможенного союза "О безопасности машин и оборудования" (ТР ТС 010/2011) и осуществления оценки соответствия объектов технического регулирования (
Решение Коллегии Евразийской экономической комиссии от 09.03.2021 N 28).
Документ включен в
Перечень документов в области стандартизации, в результате применения которых на добровольной основе обеспечивается соблюдение требований технического
регламента "О безопасности машин и оборудования", утв.
Постановлением Правительства РФ от 15.09.2009 N 753 (
Приказ Росстандарта от 20.08.2010 N 3108).
Документ включен в
Перечень документов в области стандартизации, содержащих правила и методы исследований (испытаний) и измерений, в том числе правила отбора образцов, необходимые для применения и исполнения технического
регламента о безопасности машин и оборудования, а также для осуществления оценки соответствия (
Распоряжение Правительства РФ от 05.08.2010 N 1328-р).
Документ
введен в действие с 1 октября 2008 года.
Название документа
"ГОСТ 31353.1-2007 (ИСО 13347-1:2004). Межгосударственный стандарт. Шум машин. Вентиляторы промышленные. Определение уровней звуковой мощности в лабораторных условиях. Часть 1. Общая характеристика методов"
(введен в действие Приказом Ростехрегулирования от 04.03.2008 N 29-ст)
"ГОСТ 31353.1-2007 (ИСО 13347-1:2004). Межгосударственный стандарт. Шум машин. Вентиляторы промышленные. Определение уровней звуковой мощности в лабораторных условиях. Часть 1. Общая характеристика методов"
(введен в действие Приказом Ростехрегулирования от 04.03.2008 N 29-ст)
агентства по техническому
регулированию и метрологии
от 4 марта 2008 г. N 29-ст
МЕЖГОСУДАРСТВЕННЫЙ СТАНДАРТ
ШУМ МАШИН
ВЕНТИЛЯТОРЫ ПРОМЫШЛЕННЫЕ
ОПРЕДЕЛЕНИЕ УРОВНЕЙ ЗВУКОВОЙ МОЩНОСТИ
В ЛАБОРАТОРНЫХ УСЛОВИЯХ
ЧАСТЬ 1
ОБЩАЯ ХАРАКТЕРИСТИКА МЕТОДОВ
Noise of machines. Industrial fans. Determination
of sound power levels under laboratory conditions.
Part 1. General characteristic of methods
(ISO 13347-1:2004, MOD)
ГОСТ 31353.1-2007
(ИСО 13347-1:2004)
Дата введения
1 октября 2008 года
Цели, основные принципы и основной порядок проведения работ по межгосударственной стандартизации установлены
ГОСТ 1.0-92 "Межгосударственная система стандартизации. Основные положения" и
ГОСТ 1.2-97 "Межгосударственная система стандартизации. Стандарты межгосударственные, правила и рекомендации по межгосударственной стандартизации. Порядок разработки, принятия, применения, обновления и отмены".
1 ПОДГОТОВЛЕН Открытым акционерным обществом "Научно-исследовательский центр контроля и диагностики технических систем" на основе собственного аутентичного перевода стандарта, указанного в
пункте 4
2 ВНЕСЕН Федеральным агентством по техническому регулированию и метрологии
3 ПРИНЯТ Межгосударственным советом по стандартизации, метрологии и сертификации (протокол N 32 от 24 октября 2007 г.)
За принятие проголосовали:
Краткое наименование страны по МК (ИСО 3166) 004-97 | Код страны по МК (ИСО 3166) 004-97 | Сокращенное наименование национального органа по стандартизации |
Азербайджан | AZ | Азстандарт |
Армения | AM | Министерство торговли и экономического развития Республики Армения |
Беларусь | BY | Госстандарт Республики Беларусь |
Казахстан | KZ | Госстандарт Республики Казахстан |
Кыргызстан | KG | Национальный институт стандартов и метрологии Кыргызской Республики |
Молдова | MD | Молдова-Стандарт |
Российская Федерация | RU | Федеральное агентство по техническому регулированию и метрологии |
Таджикистан | TJ | Таджикстандарт |
Узбекистан | UZ | Агентство "Узстандарт" |
Украина | UA | Госпотребстандарт Украины |
4 Настоящий стандарт модифицирован по отношению к международному стандарту ИСО 13347-1:2004 "Промышленные вентиляторы. Определение уровней звуковой мощности в стандартных лабораторных условиях. Часть 1. Общий обзор" (ISO 13347-1:2004 "Industrial fans - Determination of fan sound power levels under standardized laboratory conditions - Part 1: General overview") путем исключения положений международного стандарта, применение которых нецелесообразно в настоящем стандарте. Дополнительные слова и фразы, включенные в текст стандарта для учета потребностей национальной экономики указанных выше государств или особенностей межгосударственной стандартизации, выделены курсивом.
Наименование настоящего стандарта изменено относительно наименования указанного международного стандарта для приведения в соответствие с ГОСТ 1.5
(подраздел 3.5).
Международный стандарт разработан техническим комитетом ИСО ТК 117 "Промышленные вентиляторы".
Перевод с английского языка (en).
Содержание исключенных положений, полный перечень всех технических отклонений с разъяснением причин их внесения приведены в
приложении H.
Степень соответствия - модифицированная (MOD)
5
Приказом Федерального агентства по техническому регулированию и метрологии от 4 марта 2008 г. N 29-ст межгосударственный стандарт ГОСТ 31353.1-2007 (ИСО 13347-1:2004) введен в действие в качестве национального стандарта Российской Федерации с 1 октября 2008 г.
6 ВВЕДЕН ВПЕРВЫЕ
Информация о введении в действие (прекращении действия) настоящего стандарта публикуется в указателе "Национальные стандарты".
Информация об изменениях к настоящему стандарту публикуется в указателе "Национальные стандарты", а текст этих изменений - в информационных указателях "Национальные стандарты". В случае пересмотра или отмены настоящего стандарта соответствующая информация будет опубликована в информационном указателе "Национальные стандарты"
Настоящий стандарт устанавливает общие требования к методам определения уровней звуковой мощности промышленных вентиляторов.
Стандарт распространяется также на вентиляторы с дополнительными устройствами (крышным дефлектором, вентиляционной решеткой, глушителем).
В настоящем стандарте использованы нормативные ссылки на следующие межгосударственные стандарты:
ГОСТ 10921-90 Вентиляторы радиальные и осевые. Методы аэродинамических испытаний
ГОСТ 30457-97 (ИСО 9614-1-93) Акустика. Определение уровней звуковой мощности источников шума на основе интенсивности звука. Измерение в дискретных точках. Технический метод
ГОСТ 30691-2001 (ИСО 4871-96) Шум машин. Заявление и контроль значений шумовых характеристик
ГОСТ 31274-2004 (ИСО 3741:1999) Шум машин. Определение уровней звуковой мощности источников шума по звуковому давлению. Точные методы для реверберационных камер
ГОСТ 31275-2002 (ИСО 3744:1994) Шум машин. Определение уровней звуковой мощности источников шума по звуковому давлению. Технический метод в существенно свободном звуковом поле над звукоотражающей плоскостью <*>
--------------------------------
<*> В Российской Федерации действует
ГОСТ Р 51401-99 (ИСО 3744-94) Шум машин. Определение уровней звуковой мощности источников шума по звуковому давлению. Технический метод в существенно свободном поле над звукоотражающей плоскостью.
ГОСТ 31276-2002 (ИСО 3743-1:1994, ИСО 3743-2:1994) Шум машин. Определение уровней звуковой мощности источников шума по звуковому давлению. Технические методы для малых переносных источников шума в реверберационных полях в помещениях с жесткими стенами и в специальных реверберационных камерах <**>
--------------------------------
<**> В Российской Федерации действует
ГОСТ Р 51400-99 (ИСО 3743-1-99, ИСО 3743-2-94) Шум машин. Определение уровней звуковой мощности источников шума по звуковому давлению. Технические методы для малых переносных источников шума в реверберационных полях в помещениях с жесткими стенами и в специальных реверберационных камерах.
ГОСТ 31352-2007 (ИСО 5136:2003) Шум машин. Определение уровней звуковой мощности, излучаемой в воздуховод вентиляторами и другими устройствами перемещения воздуха, методом измерительного воздуховода
ГОСТ 31353.2-2007 (ИСО 13347-2:2004) Шум машин. Вентиляторы промышленные. Определение уровней звуковой мощности в лабораторных условиях. Часть 2. Реверберационный метод
ГОСТ 31353.3-2007 (ИСО 13347-3:2004) Шум машин. Вентиляторы промышленные. Определение уровней звуковой мощности в лабораторных условиях. Часть 3. Метод охватывающей поверхности
ГОСТ 31353.4-2007 (ИСО 13347-4:2004) Шум машин. Вентиляторы промышленные. Определение уровней звуковой мощности в лабораторных условиях. Часть 4. Метод звуковой интенсиметрии
Примечание - При пользовании настоящим стандартом целесообразно проверить действие ссылочных стандартов на территории государства по соответствующему указателю стандартов, составленному по состоянию на 1 января текущего года, и по соответствующим информационным указателям, опубликованным в текущем году. Если ссылочный стандарт заменен (изменен), то при пользовании настоящим стандартом следует руководствоваться заменяющим (измененным) стандартом. Если ссылочный стандарт отменен без замены, то положение, в котором дана ссылка на него, применяется в части, не затрагивающей эту ссылку.
3 Термины, определения, обозначения и единицы измерения
3.1 Термины и определения
В настоящем стандарте применены следующие термины с соответствующими определениями:
3.1.1 уровень звуковой мощности на входе (inlet sound power level): Уровень звуковой мощности, излучаемой входом вентилятора и определенный при компоновке вентилятора типа A, B, C или D.
3.1.2 уровень звуковой мощности на выходе (outlet sound power level): Уровень звуковой мощности, излучаемый выходом вентилятора и определенный при компоновке вентилятора типа A, B, C или D.
3.1.3 уровень звуковой мощности корпуса (casing sound power level): Уровень звуковой мощности, излучаемой корпусом вентилятора.
Примечания
1 Если вентилятор имеет привод, находящийся вне корпуса вентилятора, то звуковая мощность корпуса включает в себя звуковую мощность привода.
2 Если вентилятор комплектуется различными электродвигателями, то не всегда возможно отделить шум корпуса вентилятора от шума приводного электродвигателя, изменяющегося в зависимости от мощности и типа электродвигателя. Поэтому шум корпуса определяют совместно с шумом электродвигателя, указав это в протоколе испытаний.
3.1.4 диапазон частот измерений (frequency range of interest), Гц: Диапазон частот, включающий в себя октавные полосы со среднегеометрическими частотами от 63 до 8000 Гц и третьоктавные полосы со среднегеометрическими частотами от 50 до 10000 Гц.
Примечание - В особых случаях диапазон частот измерений может быть расширен в обе стороны, если испытательное пространство и точность измерительной аппаратуры соответствуют расширенному диапазону частот. Для вентиляторов, излучающих шум преимущественно на высоких (или низких) частотах, диапазон частот может быть ограничен в целях оптимизации испытательного стенда и метода испытаний.
3.1.5 лопаточная частота (blade passage frequency, BPF), Гц: Частота прохождения лопаток колеса вентилятора мимо некоторой контрольной точки.
Примечание - Лопаточную частоту рассчитывают по формуле

,
где x - число лопаток;
n - частота вращения вентилятора, об/мин.
3.1.6 камера (chamber): Часть испытательного стенда, используемая для управления параметрами потока и поглощения звука.
Примечание - Примером камеры является камера всасывания по ГОСТ 10921.
3.1.7 вентилятор с воздуховодами (ducted fan): Вентилятор, к входу или выходу которого или в обоих местах присоединен воздуховод.
3.1.8 площадь входа вентилятора (fan inlet area) A1: Площадь плоской поверхности, ограниченной краем входного отверстия вентилятора.
Примечание - Площадью входа вентилятора обычно является площадь поперечного сечения корпуса вентилятора на входе.
3.1.9 площадь выхода вентилятора (fan outlet area) A2: Площадь плоской поверхности, ограниченная краем выходного отверстия вентилятора.
Примечание - Площадью выхода вентилятора обычно является площадь поперечного сечения корпуса вентилятора на выходе.
3.1.10 концевое отражение (end reflection): Отражение звука от открытого конца воздуховода, выходящего в помещение (испытательную камеру) или открытое пространство.
Примечание - При концевом отражении некоторая часть звука возвращается в воздуховод, а не излучается наружу.
3.1.11
опорная точка вентилятора (reference point of fan equipment): Точка, относительно которой определяют положение измерительной поверхности для испытуемого вентилятора
или его части [см.
ГОСТ 31353.3 (см. рисунки 1 - 4)].
Примечания
1 В общем случае опорная точка является геометрическим центром тяжести центров всех входов и выходов, излучение звука которых влияет на подлежащий определению общий уровень звуковой мощности.
2 При испытаниях для определения общего уровня звуковой мощности вентилятора с одним входом и одним выходом опорной точкой является средняя точка на линии, соединяющей центры входа и выхода.
3 При испытаниях для определения уровня звуковой мощности на входе (на выходе) вентилятора с одним входом (выходом) опорной точкой является центр входа (выхода).
3.1.12 стандартный воздух (standard air): Воздух плотностью 1,2 кг/м3.
Примечания
1 Стандартный воздух имеет показатель адиабаты 1,4 и вязкость 1,815·10-5 Па·с.
2 Воздух с температурой сухого термометра 16 °C, с относительной влажностью 50% и барометрическим давлением 100 кПа имеет те же свойства, что и стандартный воздух, но эти параметры не являются частью определения настоящего термина.
3 Воздух с температурой сухого термометра 20 °C, относительной влажностью 50% и барометрическим давлением 101,325 кПа имеет те же свойства, что и стандартный воздух, но эти параметры не являются частью определения настоящего термина.
3.2 Уровни звуковой мощности вентилятора
| | ИС МЕГАНОРМ: примечание. В официальном тексте документа, видимо, допущена опечатка: имеется в виду ГОСТ 31353.4, а не ГОСТ 13353.4. | |
В таблице 1 представлены двенадцать уровней звуковой мощности и их обозначения,
применяемые в настоящем стандарте и ГОСТ 31353.2 - ГОСТ 13353.4, для различных типов компоновок вентиляторов в соответствии с
разделом 4.
Таблица 1
Обозначение | Наименование уровня звуковой мощности |
L (A, in) | Уровень звуковой мощности на свободном входе при компоновке типа A |
L (A, out) | Уровень звуковой мощности на свободном выходе при компоновке типа A |
L (A, tot) | Общий уровень звуковой мощности при компоновке типа A (включая шум входа, выхода, корпуса вентилятора и привода) |
L (B, in) | Уровень звуковой мощности на свободном входе при компоновке типа B |
L (B, in + cas) | Уровень звуковой мощности на свободном входе плюс уровень звуковой мощности корпуса при компоновке типа B |
| Уровень звуковой мощности, излучаемой из нагнетательного воздуховода при компоновке типа B |
| Уровень звуковой мощности, излучаемой из всасывающего воздуховода при компоновке типа C |
L (C, out) | Уровень звуковой мощности на свободном выходе при компоновке типа C |
L (C, out + cas) | Уровень звуковой мощности на свободном выходе плюс уровень звуковой мощности корпуса вентилятора при компоновке типа C |
| Уровень звуковой мощности, излучаемой из всасывающего воздуховода при компоновке типа D |
| Уровень звуковой мощности, излучаемой из нагнетательного воздуховода при компоновке типа D |
L (D, cas) | Уровень звуковой мощности корпуса вентилятора при компоновке типа D |
Примечание - Для обозначения уровней звуковой мощности третьоктавных или октавных полос, общего уровня звуковой мощности и корректированных по характеристике A уровней звуковой мощности используют соответствующие подстрочные индексы. |
Если определяют шум корпуса вентилятора совместно с шумом привода, то это указывают с помощью дополнительного обозначения "+dr", например LW(D, cas + dr).
Примечание - Не все вышеуказанные уровни необходимо измерять для конкретного вентилятора.
3.3 Другие обозначения
В настоящем стандарте и ГОСТ 31353.2 - ГОСТ 31353.4 применяют обозначения по таблице 2. Если не установлено по-иному, то подстрочным индексом указывают среднегеометрическую частоту октавной или третьоктавной полосы.
Таблица 2
Обозначения и единицы измерений величин
Обозначение | Наименование величины | Единица измерения |
A1 | Площадь входа вентилятора | м2 |
A2 | Площадь выхода вентилятора | м2 |
c | Скорость звука | м/с |
Dr | Расстояние между огибающим параллелепипедом и измерительной поверхностью в форме параллелепипеда | м |
D0 | Характеристический размер источника шума (вентилятора, отверстия воздуховода) | м |
DN | Номинальный диаметр входа вентилятора в звукоотражающей плоскости | м |
Dmin | Минимальное расстояние между испытуемым оборудованием и измерительной поверхностью в реверберационном помещении | м |
d | Диаметр воздуховода | м |
de | Эквивалентный диаметр прямоугольного воздуховода | м |
Eo | Поправка на концевое отражение нагнетательного воздуховода | дБ |
Ei | Поправка на концевое отражение всасывающего воздуховода | дБ |
EW | Поправка к уровню звуковой мощности, учитывающая концевое отражение | дБ |
f | Частота | Гц |
h | Высота центра отверстия воздуховода над полом или над другой звукоотражающей плоскостью | м |
I | Интенсивность звука | Вт/м2 |
| Средняя интенсивность звука на поверхности | Вт/м2 |
In | Интенсивность звука I в точке измерения n | Вт/м2 |
Iref | Опорная интенсивность, 1 пВт/м2 (10-12 Вт/м2) | Вт/м2 |
lc | Характеристический размер измерительной поверхности (длина) | м |
K1 | Коррекция на фоновый шум | дБ |
K2 | Показатель акустических условий | дБ |
l | Размеры огибающего параллелепипеда | м |
Li | Уровень интенсивности звука (относительно 1 пВт/м2) | дБ |
| Средний на поверхности уровень интенсивности звука | дБ |
Lif | Уровень интенсивности звука вентилятора | дБ |
| Средний на поверхности уровень интенсивности звука вентилятора | дБ |
Liq | Уровень интенсивности звука образцового источника шума | дБ |
| Средний на поверхности уровень интенсивности звука образцового источника шума | дБ |
Lp | Уровень звукового давления относительно 20 мкПа (2·10-5 Па) | дБ |
LpC | Корректированный по C уровень звукового давления вентилятора | дБ |
Lpb | Уровень звукового давления фонового шума в помещении, измеренный на траектории микрофона | дБ |
| Средний на поверхности уровень фонового шума | дБ |
Lpbn | Lpb, измеренный в точке n | дБ |
LWrq | Калибровочный уровень звуковой мощности образцового источника шума | дБ |
Lpm | Уровень звукового давления вентилятора и фонового шума в помещении, измеренный на траектории микрофона | дБ |
Lpqm | Уровень звукового давления образцового источника шума и фонового шума в помещении, измеренный на траектории микрофона | дБ |
LW | Уровень звуковой мощности относительно 1 пВТ (10-12 Вт) | дБ |
LWr | Уровень звуковой мощности образцового источника шума | дБ |
N | Число точек измерения на измерительной поверхности | |
nS | Число испытательных частот в заданной третьоктавной полосе | |
| Длина волны | м |
p | Звуковое давление | Па |
pref | Опорное звуковое давление, равное 20 мкПа (2·10-5 Па) | Па |
ps | Статическое давление вентилятора | Па |
pt | Полное давление вентилятора | Па |
r | Радиус сферической (полусферической) измерительной поверхности | м |
rd | Отношение площади воздуховода к площади отверстия диафрагмы (дросселирующего устройства) | Безразмерное |
s | Стандартное отклонение | дБ |
| Температура воздуха | К |
S | Площадь измерительной поверхности | м2 |
SH | Площадь поперечного сечения вентилятора в плоскости измерительной поверхности | м2 |
Ss | Площадь части измерительной поверхности, пересекаемой выходным потоком вентилятора | м2 |
W | Звуковая мощность | Вт |
z | Характеристический размер измерительной поверхности (высота над звукоотражающей плоскостью) | м |
| Показатель сходимости (при n точках измерений) | дБ |
4 Ограничения по применению
При испытаниях в измерительном воздуховоде по
ГОСТ 31352 его диаметр должен быть от 0,15 до 2 м.
Реверберационная камера должна соответствовать ГОСТ 31274 (подраздел 5.2) этого стандарта, для испытаний по ГОСТ 31276 - объем вентилятора должен быть не более 1% объема специальной реверберационной камеры. Для реверберационных помещений объемом менее 40 м3 объем огибающего параллелепипеда испытуемого источника шума должен быть меньше объема помещения в 40 и более раз; для помещений объемом от 40 до 100 м3 размер источника должен быть не более 1 м, а при больших размерах помещения - не более 2 м. Ограничения для размеров вентиляторов не используют, если уровни звуковой мощности определяют по уровням звукового давления на измерительной поверхности над звукоотражающей плоскостью
(далее - метод охватывающей поверхности) или методом звуковой интенсиметрии и испытательное пространство соответствует заданным акустическим требованиям.
Методы испытаний, установленные настоящим стандартом, предназначены для стандартных типов компоновки вентиляторов при заданных условиях окружающей среды и могут быть непригодны для испытаний на месте установки.
Устанавливают следующие типы компоновки вентиляторов, соответствующие
ГОСТ 10921:
- тип A: свободный вход и выход;
- тип B: свободный вход и выход в нагнетательный воздуховод;
- тип C: вход из всасывающего воздуховода и свободный выход;
- тип D: вход из всасывающего воздуховода и выход в нагнетательный воздуховод.
Примечание - В ГОСТ 10921 применяется эквивалентный термин "трубопровод".
5 Неопределенность измерений
Стандартные отклонения результатов измерений в соответствии с настоящим стандартом равны или менее указанных в
таблице 3. Они обусловлены всеми составляющими неопределенности измерений, например, зависящими от местоположения источника шума, концевого отражения, калибровки аппаратуры, точности формул для вычисления значений звуковой мощности по звуковому давлению и от числа точек измерений. Они не включают в себя изменения звуковой мощности вентилятора, обусловленные, например, изменением условий установки или влиянием производственных допусков. Анализ неопределенности измерений приведен в
приложении E.
Таблица 3
Стандартные отклонения при определении уровней
звуковой мощности в полосах частот
Среднегеометрическая частота третьоктавной полосы, Гц | Стандартное отклонение, дБ |
| Реверберационный метод (в специальной реверберационной камере) по ГОСТ 31276 | Метод охватывающей поверхности по ГОСТ 31275 | |
с концевым поглощающим устройством | без концевого поглощающего устройства |
50 | 3,5 | 5,0* | 6,0 | 5,0 | 3,0 |
63 | 3,0 | 5,0 | 3,0 |
80 | 2,5 | 5,0 | 3,0 |
100 | 2,5 | 5,0 | 3,0 | 3,0 | 3,0 |
125 | 2,0 | 3,0 | 3,0 |
160 | 2,0 | 3,0 | 3,0 |
200 | 2,0 | 3,0 | 3,0 | 2,0 | 2,0 |
250 | 2,0 | 2,0 | 2,0 |
315 | 2,0 | 2,0 | 2,0 |
400 | 2,0 | 2,0 | 3,0 | 1,5 | 2,0 |
500 | 2,0 | 1,5 | 2,0 |
630 | 2,0 | 1,5 | 2,0 |
800 | 2,0 | 2,0 | 3,0 | 1,5 | 1,5 |
1000 | 2,0 | 1,5 | 1,5 |
1250 | 2,0 | 1,5 | 1,5 |
1600 | 2,0 | 2,0 | 3,0 | 1,5 | 1,5 |
2000 | 2,0 | 1,5 | 1,5 |
2500 | 2,0 | 1,5 | 1,5 |
3150 | 2,0 | 2,0 | 3,0 | 1,5 | 1,5 |
4000 | 2,0 | 1,5 | 1,5 |
5000 | 2,5 | 1,5 | 1,5 |
6300 | 3,0 | 3,0 | 3,0 | 2,5 | 2,5 |
8000 | 3,5 | 2,5 | 2,5 |
10000 | 4,0 | 2,5 | 3,0* |
1 Знаком "*" помечены рекомендуемые значения, отсутствующие в ГОСТ 31275 и ГОСТ 31276. 2 Указанные в таблице значения для ГОСТ 31276 действительны только для октавных полос, среднегеометрические частоты которых выделены полужирным шрифтом. |
Настоящий стандарт допускает испытания в реверберационном звуковом поле с применением концевого поглощающего устройства со стороны вентилятора, где не проводят измерения, или без него, но следует иметь в виду, что результаты могут быть разные. Поэтому во всех документах (протоколах испытаний, каталогах и т.д.) необходимо указывать, использовалось или нет концевое поглощающее устройство.
Примечание - При испытаниях методом измерительного воздуховода по
ГОСТ 31352 неопределенность измерений может быть уменьшена за счет применения испытательного стенда без переходных элементов и применения концевых поглощающих устройств с большим звукопоглощением.
Стандартные отклонения, указанные в
таблице 3, не включают в себя изменения уровней звуковой мощности из-за влияния производственных допусков при изготовлении вентилятора. Для идентичных вентиляторов эти изменения являются результатом отличий в частоте вращения, в положении рабочей точки на его аэродинамической характеристике при испытаниях и т.д. В контрактных требованиях необходимо задавать допуски на значения шумовых характеристик. При распределении данных по нормальному закону неопределенность измерений при 95%-ном уровне доверия равна удвоенному стандартному отклонению.
Примечания
1 Расчетная неопределенность измерения уровня звуковой мощности в октавной полосе не может быть больше, чем наибольшая неопределенность в трех образующих ее третьоктавных полосах.
2 Измерения реверберационным методом по ГОСТ 31276 проводят только в октавных полосах частот.
3 В гулком помещении (испытательное помещение с акустически жесткими стенами) неопределенность может быть снижена (см. ГОСТ 31276).
4 В соответствии с импедансной теорией
(теорией четырехполюсников) звуковая мощность, излучаемая в нагнетательный воздуховод вентилятора, является не только функцией длины нагнетательного воздуховода и
акустической нагрузки его окончания
(концевое поглощающее устройство, реверберационное помещение, свободное пространство - см. [2] и ГОСТ 31352), но также и длины всасывающего воздуховода и
акустической нагрузки его окончания. Аналогично звуковая мощность, излучаемая во всасывающий воздуховод, зависит от его длины, акустической нагрузки окончания, длины и акустической нагрузки окончания нагнетательного воздуховода.
5 Если внутренний акустический импеданс вентилятора велик, то это снижает изменение звуковой мощности вдоль воздуховода. Поэтому в данном случае длины воздуховодов и нагрузки окончаний не имеют определяющего влияния.
6 При эксплуатации вентилятора уровни звуковой мощности, вероятно, отличаются от определенных при испытаниях без концевого поглощающего устройства. Различие может увеличиваться на низких частотах.
7 Уровни звуковой мощности, определенные указанными в
таблице 3 методами, получены при полном безвихревом потоке в вентиляторе и прямолинейном безвихревом потоке вне вентилятора. В реальных условиях применения вентилятора турбулентность вверх и вниз по потоку может увеличить уровни звуковой мощности.
8 Значения стандартного отклонения в четвертой графе
таблицы 3 могут очень сильно зависеть от длин и диаметров воздуховодов, особенно в первой и второй октавных полосах частот.
Стандартные отклонения по
таблице 3 равны значениям, обеспечиваемым техническими методами по основополагающим стандартам
ГОСТ 30457, ГОСТ 31274 - ГОСТ 31276 по измерению шума и
ГОСТ 31352. Они равны значениям, которые могут быть получены при измерениях шума одного и того же вентилятора в разных лабораториях, и суммируют все составляющие неопределенности.
Повторные измерения в одной и той же лаборатории могут существенно уменьшить значения по сравнению с указанными в
таблице 3.
6 Измерительная аппаратура
6.1 Общие положения
Аппаратура должна позволять определять среднеквадратичное значение звукового давления в октавных и третьоктавных полосах, усредненное по времени и пространству.
6.1.1 Микрофон
Применяют микрофон стандартного шумомера. Если используют антитурбулентный экран, то размеры микрофона должны быть согласованы с размерами экрана.
Поправка к частотной характеристике микрофона 
[см.
ГОСТ 31352 (подраздел 8.1)] должна быть указана его изготовителем.
6.1.2 Микрофонный кабель
Система микрофон-кабель не должна быть чувствительна к изменению температуры при испытаниях. Изгибы кабеля из-за перемещения микрофона или воздействия воздушного потока не должны создавать кабельный шум, являющийся помехой при измерениях.
6.1.3 Микрофонный усилитель
Встроенный в шумомер или внешний микрофонный усилитель применяют для согласования сигнала микрофона с шумомером. Микрофонный усилитель должен иметь плоскую амплитудно-частотную характеристику.
6.2 Частотный анализатор
Частотный анализатор должен обеспечить анализ в третьоктавных полосах.
6.3 Ветровой и антитурбулентный экраны
6.3.1 Ветровой экран
Микрофон при значительной скорости потока может иметь высокий ложный сигнал. Его можно снизить, поместив микрофон в антитурбулентный экран, коническую насадку или губчатый шар.
Если скорость воздуха превышает 1 м/с, то применение указанных средств обязательно.
6.3.2 Антитурбулентный экран
Антитурбулентный экран защищает микрофон от шума, возникающего при турбулентных колебаниях давления в потоке. Антитурбулентный экран должен соответствовать
ГОСТ 31352.
6.3.3 Влияние экрана на ложный шум, генерируемый ветром
Применение антитурбулентного экрана, конической насадки или губчатого шара может уменьшить ложное изменение уровня звукового давления у микрофона под воздействием воздушного потока по сравнению с неэкранированным микрофоном. Это изменение не связано с вентилятором, но зависит от конструкции экрана микрофона.
Поправки, учитывающие влияния различных устройств защиты микрофона, рассчитывают по ГОСТ 31352 (пункты 5.3.3 и 5.3.4).
6.4 Образцовый источник шума
Калиброванный образцовый источник шума должен соответствовать
приложению F.
7.1 Общие положения
Метод испытаний выбирают в соответствии с определяемым уровнем звуковой мощности и размерами вентилятора.
Если вентилятор имеет всасывающий или нагнетательный воздуховод, то уровень звуковой мощности, излучаемой в воздуховод, определяют методом измерительного воздуховода по
ГОСТ 31352. В качестве альтернативы, но с меньшей точностью, могут быть применены методы охватывающей поверхности, звуковой интенсиметрии или реверберационный метод с поправками на концевое отражение. Если измерения проведены альтернативным методом (например, при малых размерах воздуховода или по другим причинам), то его указывают
в протоколе испытаний.
Если вентилятор не имеет воздуховода на входе или выходе, то уровни звуковой мощности на его открытой стороне определяют методом охватывающей поверхности, звуковой интенсиметрии, реверберационным методом.
7.2 Особые случаи
Для определения

,

,

,

,

,

,

,

и

применяют метод охватывающей поверхности по
ГОСТ 31353.3 и/или реверберационный метод по
ГОСТ 31353.2, при условии, что соблюдается критерий однородности звукового поля.
Для определения

,

,

и

применяют также метод измерительного воздуховода по
ГОСТ 31352.
Метод звуковой интенсиметрии по ГОСТ 31353.4 применяют для определения 
,

,

,

,

,

,

,

,

.
8 Компоновка вентилятора и методы испытаний
Компоновка вентилятора должна соответствовать приведенной в
разделе 4.
В общем случае звуковые мощности, излучаемые входом вентилятора в свободное пространство и в воздуховод, различны и зависят от того, с чем соединен выход вентилятора, т.е. от импеданса его акустической нагрузки. Аналогично звуковые мощности на выходе вентилятора в свободное пространство и в воздуховод различны и зависят от условий установки (импеданса акустической нагрузки) на входе вентилятора.
Чтобы точно определить стандартный импеданс акустической нагрузки, все воздуховоды диаметром менее 1600 мм, присоединенные к испытуемому вентилятору, должны иметь концевое поглощающее устройство. Воздуховод, в котором измеряют звуковое давление по
ГОСТ 31352, называют измерительным воздуховодом. Воздуховод, который применяют только для того, чтобы обеспечить стандартный импеданс акустической нагрузки (в нем не измеряют звуковое давление), называют оконечным воздуховодом. Максимальный допустимый коэффициент отражения
звукового давления для измерительного и оконечного воздуховода установлен в
ГОСТ 31352 и указан в таблице 4.
Примечание - Требования к передающему элементу (акустическому рупору) приведены в
[2] и
ГОСТ 31353.2.
Таблица 4
Максимально допустимые коэффициенты отражения звукового
давления концевых поглощающих устройств
Среднегеометрическая частота третьоктавной полосы, Гц | Максимально допустимый коэффициент отражения звукового давления |
Измерительный воздуховод | Оконечный воздуховод |
50 | 0,4 | 0,8 |
63 | 0,35 | 0,7 |
80 | 0,3 | 0,6 |
100 | 0,25 | 0,5 |
125 | 0,15 | 0,3 |
160 | 0,15 | 0,3 |
Более 160 | 0,15 | 0,2 |
Примечание - Сведения о концевых поглощающих устройствах упрощенной конструкции приведены в
приложении D.
Нет необходимости измерять все
акустические величины для каждого вентилятора, так как требуется заявлять только уровни его звуковой мощности.
Заявление и контроль значений шумовой характеристики вентилятора выполняют по ГОСТ 30691.
Для определения уровней звуковой мощности, излучаемой в воздуховод входом или выходом вентилятора (см.
обозначения 6,
7,
10 и
11 в таблице 1), применяют метод измерительного воздуховода по
ГОСТ 31352.
Для определения других видов уровней звуковой мощности применяют реверберационный метод по
8.2, метод охватывающей поверхности по
8.3 или метод звуковой интенсиметрии по
8.4.
Если площадь входа или выхода вентилятора более 2 м2 (это соответствует площади круга диаметром 1,6 м), то альтернативно применяют метод измерительного воздуховода, реверберационный метод, метод охватывающей поверхности и звуковой интенсиметрии для определения уровня звуковой мощности, излучаемой как в воздуховод, так и в свободное пространство. Это основано на предположении, что при таких больших размерах сечения звуковые мощности, излучаемые в воздуховод и открытое пространство, равны.
8.2 Реверберационный метод
Примечание - Если
реверберационная камера соответствует требованиям
ГОСТ 31274, то может быть применен метод, установленный настоящим стандартом.
8.3 Метод охватывающей поверхности
Метод охватывающей поверхности по
ГОСТ 31353.3 применяют для определения уровня звуковой мощности, излучаемой свободным входом (выходом) или корпусом вентилятора,
а также уровней звуковой мощности, излучаемой отверстием всасывающего (нагнетательного) воздуховода.
8.4 Метод звуковой интенсиметрии
Испытания этим методом звуковой интенсиметрии проводят по
ГОСТ 31353.4.
8.5 Метод измерительного воздуховода
Испытательный стенд, включающий в себя всасывающий, измерительный и оконечный воздуховоды, должен соответствовать
ГОСТ 31352. Диаметр измерительного воздуховода должен быть от 0,15 до 2 м. Это подразумевает, что диаметр (или эквивалентный диаметр) входа вентилятора должен быть от 0,104 до 2,000 м, диаметр выхода - от 0,104 до 2,390 м.
Если измерительный воздуховод имеет диаметр 0,070 м <=
d < 0,15 м, то применяют метод по
ГОСТ 31352 (приложение H), который позволяет испытывать
малые вентиляторы диаметром входа и выхода до 0,0485 м.
Если измерительный воздуховод имеет диаметр 2 м <
d <= 7,1 м, то применяют метод по
ГОСТ 31352 (приложение J), который позволяет испытывать
большие вентиляторы диаметром входа до 7,1 м и выхода до 8,5 м.
Если привод вентилятора находится внутри корпуса (например приводной электродвигатель внутри воздуховода или приводной ремень со шкивом внутри воздуховода), то шум внутри воздуховода генерируется вентилятором, приводным электродвигателем и трансмиссией. Поскольку шум приводного электродвигателя или трансмиссии не может быть определен, измеренные уровни звукового давления внутри воздуховода рассматривают как шум вентилятора.
8.6 Ограничения
Настоящие методы не применяют для испытаний на месте установки, кроме случаев, когда это принято и согласовано всеми заинтересованными сторонами.
8.7 Маломощные и малые вентиляторы
Маломощные бытовые и подобные им вентиляторы (не более 3 кВт), которые работают при фазовом напряжении не более 250 В и токе не более 10 А, испытывают на шум по [1].
Методы измерительного воздуховода, охватывающей поверхности, реверберационный и звуковой интенсиметрии неудобны для определения уровня звуковой мощности малых и очень малых вентиляторов, какие обычно применяют в компьютерах и офисном оборудовании. Испытания этих вентиляторов проводят по
[3].
9 Режим работы вентилятора
9.1 Общие положения
Шум вентилятора зависит от режима работы, т.е. частоты вращения, полного давления и расхода (производительности). Важно, чтобы рабочая точка на аэродинамической характеристике была известна. Следует обеспечить, чтобы средства определения или регулирования режима работы вентилятора не влияли на его шум и не мешали акустическим измерениям.
Шумовые характеристики вентилятора определяют в установившемся режиме работы, близком к режиму максимального КПД, на частотах вращения, установленных предприятием-изготовителем.
Дополнительно измерения могут проводиться в режимах, соответствующих условиям предполагаемой эксплуатации вентилятора.
9.2 Окружающие условия
Температура, давление и влажность окружающего воздуха должны быть в пределах, установленных в
ГОСТ 30457, ГОСТ 31275, ГОСТ 31276 и ГОСТ 31352.
9.3 Частота вращения вентилятора
Частота вращения вентилятора должна измеряться и выдерживаться постоянной (с точностью 1%) в любой точке его аэродинамической характеристики, чтобы уменьшить до минимума изменения звуковой мощности из-за нестабильности условий испытаний.
Если невозможно испытывать вентилятор в указанных пределах изменения частоты вращения, то допускается проводить испытания на другой частоте вращения, отличающейся от заданной не более чем на 5%, и пересчитывать результаты на заданную частоту вращения по
приложению A.
Методика пересчета должна быть согласована заинтересованными сторонами до проведения испытаний.
9.4 Определение рабочей точки на аэродинамической характеристике вентилятора
Идентификацию рабочей точки на аэродинамической характеристике вентилятора проводят по
ГОСТ 10921.
Расход в рабочей точке может быть определен косвенным способом по измеренному статическому давлению. Неопределенность определения расхода не должна превышать 5%.
9.5 Управление режимом работы
Дросселирующее устройство (диафрагму) используют для вывода на рабочую точку характеристики вентилятора. При компоновке типа B дросселирующее устройство располагают преимущественно со стороны вентилятора вниз по потоку за концевым поглощающим устройством. При компоновке типа C дросселирующее устройство может быть объединено с концевым поглощающим устройством со стороны вентилятора вверх по потоку.
Уровень шума в испытательном пространстве, генерируемого дросселирующим устройством и средствами измерения расхода, по меньшей мере, должен быть на 10 дБ менее измеренного уровня шума испытуемого вентилятора. Концевое поглощающее устройство во всех третьоктавных полосах должно обеспечивать выполнение этого условия.
При компоновке типа A дросселирующее устройство устанавливают в испытательную камеру. Такие же устройства могут быть применены для компоновок типов B, C и D.
10 Регистрируемая информация
10.1 Общие положения
| | ИС МЕГАНОРМ: примечание. В официальном тексте документа, видимо, допущена опечатка: пункт 10.9 отсутствует. | |
При измерениях по настоящему стандарту должна быть собрана и зарегистрирована информация по 10.2 - 10.9, если используется.
10.2 Испытуемый вентилятор
10.2.1 Описание испытуемого вентилятора
a) Изготовитель.
b) Модель.
c) Номинальные размеры.
d) Диаметр колеса (крыльчатки).
e) Число лопаток.
f) Угол установки лопатки (только для регулируемых или с изменяемым шагом вентиляторов).
d) Число лопаток направляющего аппарата (если имеется).
h) Площадь входа вентилятора и размеры.
i) Площадь выхода вентилятора и размеры.
10.2.2 Режим работы
a) Частота вращения.
b) Расход.
c) Полное или статическое давление вентилятора.
d) Плотность воздуха.
10.2.3 Условия монтажа
a) Эскиз испытуемого вентилятора.
b) Тип компоновки, например A, B, C или D.
c) Эскиз испытательной установки, включая положения всего оборудования и точек акустических измерений.
10.3 Акустические условия окружающей среды
10.3.1 Описание испытательного пространства
Если испытания проводят в помещении, то указывают покрытие стен, потолка и пола и приводят эскиз расположения источника и оборудования в помещении. Если испытания проводят вне помещения, то приводят эскиз расположения источника относительно объектов на окружающей территории с описанием физических свойств испытательного пространства.
10.3.2 Результаты акустической проверки пригодности испытательного пространства.
10.3.3 Данные об условиях испытаний
a) Барометрическое давление.
b) Температура окружающего воздуха по сухому термометру.
c) Температура окружающего воздуха по влажному термометру.
d) Температура воздуха на входе вентилятора по сухому термометру.
e) Статическое давление на входе вентилятора.
f) Скорость ветра и направление относительно установки, если испытания проводят вне помещения.
10.3.4 Лаборатория и средства измерений
a) Наименование лаборатории.
b) Адрес лаборатории.
c) Фамилии специалистов.
d) Перечень средств измерений с указанием наименования, типа, серийного номера и изготовителя и даты калибровки.
e) Разрешающая способность анализатора.
f) Область применения аттестованной камеры. Должно быть указано, что камера аттестована для октавных или третьоктавных полос. В случае измерения тонального шума указывают третьоктавные полосы, для измерений в которых камера пригодна.
g) Частотная характеристика измерительной системы.
h) Примененный метод калибровки микрофонов и других элементов системы, дата и место калибровки.
i) Характеристика устройства защиты микрофона (если применяется).
j) Образцовый источник шума (тип и серийный номер).
10.3.5 Расположение вентилятора в испытательном пространстве или описание применяемых воздуховодов, включая указание длины, площади поперечных сечений (или диаметров) и описание концевых поглощающих устройств.
10.3.6 Если вентилятор имеет дополнительные источники шума, то описание их работы при измерениях (например тип привода, размеры электродвигателя и т.д.).
10.4 Акустические и другие данные
10.4.1 Форма измерительной поверхности, измерительное расстояние, положение и ориентация микрофонов или траектории сканирования микрофона.
10.4.2 Площадь измерительной поверхности.
10.4.3 Поправки (в децибелах), если имеются, для каждой третьоктавной полосы по частотной характеристике микрофона, частотная характеристика фильтра в полосе пропускания, фоновый шум и т.д.
10.4.5 Коррекция на фоновый шум

и показатель акустических условий

, рассчитанные в соответствии с
ГОСТ 31275.
10.4.6 Местоположения микрофона.
10.4.7 Средний уровень звукового давления

(в дБ относительно 20 мПа) для каждой третьоктавной полосы диапазона частот измерений.
10.4.8 Уровень звуковой мощности

(в дБ относительно 1 пВт) во всех полосах частот.
10.4.9 Уровень звуковой мощности

(в дБ относительно 1 пВт) во всех полосах частот, приведенный к заданной частоте вращения в соответствии с
приложением A.
10.4.10 Субъективная оценка шума (слышимые чистые тоны, импульсность, спектральный состав, временные характеристики и т.д.).
10.4.11 Сведения о влияния шума приводного электродвигателя и трансмиссии на общий шум.
10.4.12 Дата и время проведения измерений.
10.4.13 Фамилии испытателей.
10.4.14 Данные об окружающей среде
a) Уровень звукового давления фонового шума.
b) Уровень звукового давления образцового источника шума.
c) Коррекция на фоновый шум для образцового источника шума.
d) Уровень звукового давления вентилятора.
e) Коррекция на фоновый шум для вентилятора.
f) Некорректированный уровень звуковой мощности вентилятора.
g) Данные об условиях концевого отражения и о поправке на концевое отражение, если она применяется:
- поправка на концевое отражение;
- длина воздуховода;
- сведения о монтаже воздуховода (заподлицо с поверхностью камеры смонтирован воздуховод или нет);
- внутренний диаметр дросселирующего устройства.
h) Дата испытаний.
11.1 Расчет октавных уровней звуковой мощности по уровням звуковой мощности в третьоктавных полосах
Октавные уровни звуковой мощности, если их не определяют по результатам измерений в октавных полосах частот, рассчитывают суммированием третьоктавных уровней по формулам:

;
и т.д. до

.
11.2 Расчет общего уровня звуковой мощности
Общий уровень звуковой мощности рассчитывают по третьоктавным уровням по формуле

.
Примечание - Если измерения проведены в октавных полосах частот, то в указанную формулу подставляют уровни звукового давления октавных полос.
11.3 Расчет корректированного по характеристике A уровня звуковой мощности
Общий корректированный по характеристике A уровень звуковой мощности, дБА, рассчитывают по третьоктавным уровням. Для каждой третьоктавной полосы корректированный по характеристике A уровень звуковой мощности рассчитывают по формуле

,
где A - поправка по ГОСТ 31275 (таблица 2), которую нужно прибавить к измеренному третьоктавному уровню звукового давления, чтобы получить корректированный по характеристике A уровень звуковой мощности этой полосы частот. Общий корректированный по характеристике A уровень звуковой мощности рассчитывают по формуле

.
Примечание - Если измерения проведены в октавных полосах частот, то в указанную формулу подставляют уровни звукового давления октавных полос.
В зависимости от примененного метода рассчитывают:
- корректированный по характеристике A уровень звуковой мощности и, если требуется, в октавных или в третьоктавных полосах;
- уровень звуковой мощности в октавных или третьоктавных полосах и на их основе рассчитывают корректированный по характеристике A уровень звуковой мощности.
Протокол испытаний должен включать в себя информацию по 12.1 -
12.5.
12.1 Общие положения
Уровни звуковой мощности указывают в протоколе с внесением записи, что они получены в полном соответствии с настоящим стандартом.
Уровни звуковой мощности указывают в децибелах относительно 1 пВт с округлением до ближайшего целого числа.
Дополнительно в протокол может быть внесена следующая информация:
a) маркировка вентилятора;
b) размеры и частота вращения;
c) тип компоновки (A, B, C или D) с указанием о выполнении (или нет) измерений на входе или выходе вентилятора, включающих в себя (или нет) шум приводного электродвигателя и трансмиссии, например: "Компоновка типа B. Уровень звуковой мощности свободного входа плюс уровень звуковой мощности корпуса вентилятора

";
d) для методов охватывающей поверхности - форма измерительной поверхности (например, в форме параллелепипеда, полусферы, сферы);
e) расход на входе и уровень звуковой мощности в условиях испытаний;
f) расход на входе и уровень звуковой мощности при заданной частоте вращения.
В протоколе следует указывать наименование метода и результаты расчетов по
11.1 -
11.4 с указанием примененных формул.
12.2 Уровень звуковой мощности
Уровень звуковой мощности обозначают в соответствии с
таблицей 1.
12.3 Измерительная аппаратура
Протокол должен содержать детальные данные об измерительной аппаратуре.
12.4 Субъективная оценка характера шума
Следует указывать все дискретные тоны, которые различаются на слух.
12.5 Измеренные значения и результаты испытаний
Согласно примененному методу указывают некоторые (или все) из следующих величин:
a) уровень звукового давления (корректированный по характеристике A и/или в полосах частот) в каждой точке измерений;
b) уровень звукового давления фонового шума (корректированный по характеристике A и/или в полосах частот) в каждой точке измерений;
c) коррекцию на фоновый шум

(корректированную по характеристике
A и/или в полосах частот);
d) показатель акустических условий

(корректированный по характеристике A и/или в полосах частот) для метода охватывающей поверхности; для реверберационного метода - температуру воздуха, °C; относительную влажность, %; барометрическое давление, мбар;
e) уровень звукового давления на измерительной поверхности

(корректированный по характеристике
A и/или в полосах частот) и размер измерительной поверхности

при применении метода охватывающей поверхности;
f) корректированный по характеристике
A уровень звуковой мощности

и, если требуется, уровень звуковой мощности в каждой октавной или третьоктавной полосе диапазона частот измерений; неопределенность измерений уровня звуковой мощности

, если необходимо.
(обязательное)
ВЛИЯНИЕ ИЗМЕНЕНИЯ ЧАСТОТЫ ВРАЩЕНИЯ
Правило пересчета по настоящему приложению применяют для приведения уровня звуковой мощности, определенного при измерениях с частотой вращения при испытаниях, к заданной частоте, отличающейся от частоты вращения при испытаниях не более чем на 5%.
Пересчет проводят для каждой третьоктавной полосы.
Пересчет проводят по формуле

,
где индекс "0" означает заданную частоту, а индекс t - частоту вращения при испытаниях.
Формулу не применяют для приведения корректированного по характеристике A общего уровня звуковой мощности.
(рекомендуемое)
УЧЕТ ВЛИЯНИЯ ХАРАКТЕРИСТИК ГАЗА ИЛИ ВОЗДУХА
Уровень звуковой мощности с учетом характеристик газа или воздуха рассчитывают по формуле

,
где

- средний уровень звукового давления на измерительной поверхности при измерениях в данной полосе частот. Он зависит от примененного метода испытаний (например, от коррекции на фоновый шум

и показателя акустических условий

для метода охватывающей поверхности), дБ;
S - площадь измерительной поверхности, м2;

= 1 м
2;
c - скорость звука в газе или воздухе при испытаниях;

- плотность газа или воздуха при испытаниях.
Член

не превышает 1 дБ при барометрическом давлении от 90 до 110 кПа и температуре окружающего воздуха по сухому термометру от 10 °C до 30 °C. Формулу не применяют, если этот член более 3 дБ.
(обязательное)
ПОПРАВКИ НА КОНЦЕВОЕ ОТРАЖЕНИЕ
C.1. Общие положения
Если вентилятор с воздуховодами испытывают в камере, то акустические условия на конце воздуховода могут несколько уменьшить излучение звуковой энергии из воздуховода в камеру. Поэтому звуковая мощность, измеренная в камере, может быть меньше, чем действительная звуковая мощность вентилятора. Поправку на концевое отражение

используют для того, чтобы по данным измерений получить верные значения уровней звуковой мощности.
Следует подчеркнуть, что поправка основана только на теоретическом рассмотрении
явления. Возможности экспериментального ее подтверждения ограничены. Многие годы, однако, поправку применяют для преобразования полученных при испытаниях в реверберационном и свободном звуковом полях данных для определения уровней шума в воздуховоде, что необходимо для акустического проектирования систем воздуховодов. Следует подчеркнуть, что при современном уровне знаний поправка может быть определена только приблизительно. Не принимается во внимание акустическая нагрузка входа или выхода вентилятора по
8.1. Если возможно, то уровни звуковой мощности в воздуховоде следует определять прямыми измерениями при испытаниях по
ГОСТ 31352.
Поправку на концевое отражение

определяют по
рисунку C.1. По параметрам на входе вентилятора определяют поправку

, по параметрам на выходе -

. Поправки используют, как показано в примере
(см. C.4).
Примечание - Поправку на концевое отражение определяют также для передающих элементов (акустических рупоров) [см.
ГОСТ 31353.2].
Ось X - параметр 0,5 kd;
Ось Y - поправка на концевое отражение E, дБ
─────────── - Поправка на концевое отражение для открытых воздуховодов,
выведенных в открытое пространство (неплоское окончание)
─ ─ ─ - - - - Поправка на концевое отражение для открытых воздуховодов,
смонтированных заподлицо со стеной (плоское окончание)
Примечания
1 Для прямоугольных воздуховодов используют эквивалентный диаметр

, м, рассчитываемый по формуле

,
где a и b - размеры прямоугольного воздуховода, м.
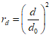
2 Отношение площади воздуховода к площади диафрагмы

рассчитывают по формуле

,
где

- диаметр диафрагмы;

= 1, если диафрагмы нет.
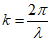
3. Волновое число
k рассчитывают по формуле

.
4. Нижнее значение параметра 0,5 kd равно 0,14. Если параметр 0,5 kd менее 0,14, то данные по звуковой мощности не указывают в протоколе.
5. Диаметр
d и длину звуковой волны

выражают в одних единицах.
Рисунок C.1 - Поправка на концевое отражение
C.2 Концевое отражение и поправка на концевое отражение
На рисунке C.1 представлены поправки на концевое отражение в зависимости от значения параметра 0,5
kd,
где k - волновое число (см. примечание 3 к рисунку C.1).
Примечание - Расход влияет на концевое отражение. Расход не является параметром на рисунке C.1, так как его влияние рассмотрено при оценке неопределенности измерений в
приложении E.
C.2.1 Виды окончаний воздуховода
Концевое отражение изменяется в зависимости от вида окончания воздуховода. По
рисунку C.1 определяют поправку на концевое отражение для двух видов окончания: неплоское и плоское.
Неплоское окончание имеет место, когда воздуховод значительно выступает в камеру. Выходное отверстие воздуховода при неплоском окончании не должно быть расположено вблизи ограждающих поверхностей камеры.
При плоском окончании воздуховод заканчивается заподлицо с ограждающей поверхностью камеры. Выходное отверстие воздуховода не должно быть расположено вблизи других ограждающих поверхностей камеры.
Примечание - Если эти условия не выполняются, то поправка на концевое отражение может иметь другие значения, чем приведенная на
рисунке C.1.
Акустический рупор или фланец на конце воздуховода, если имеются, способствуют уменьшению значения поправки на концевое отражение по сравнению с воздуховодом без этих устройств, поэтому их следует избегать. Конус или диффузор тем не менее могут потребоваться, чтобы обеспечить требуемые аэродинамические характеристики, или фланец может быть необходим для придания жесткости воздуховоду. Если применяют рупор на входе или выходе, то размер воздуховода на
рисунке C.1 должен быть таким же, как без этих устройств. Ширина фланца должна быть не более 10% диаметра круглого воздуховода или наименьшего размера прямоугольного воздуховода.
Примечания
1 Действительное концевое отражение у воздуховода с рупором имеет, вероятно, меньшее значение, чем определенное по
рисунку C.1.
2 Акустические условия для воздуховода с широким фланцем (ширина фланца больше длины звуковой волны) теоретически приближаются к условиям плоского окончания.
C.2.2 Дросселирование
Измерения звукового излучения при дросселированном воздуховоде в общем случае не рекомендуются. Если дросселирование неизбежно, то поправку на концевое отражение определяют по
рисунку C.1. В качестве дросселя используют диафрагму, определяющим параметром которой является отношение площади поперечного сечения воздуховода к площади отверстия диафрагмы. При ином отношении площадей, чем показано на
рисунке C.1, поправку на концевое отражение получают интерполированием между приведенными линиями.
Примечания
1 Для круглых воздуховодов и диафрагм отношение площадей равно квадрату отношения диаметров.
2 Механические свойства диафрагмы влияют на акустические характеристики
[4].
Рисунок C.1 основан на предположении, что диафрагма жесткая и тяжелая. Для испытаний по настоящему стандарту рекомендуется использовать стальную диафрагму, изготовленную из плиты толщиной не менее 10 мм и закрепленную на конце воздуховода как минимум восемью болтами соответствующего размера. Для воздуховодов диаметром более 1 м применяют более толстые плиты с конструктивными элементами, дополнительно повышающими жесткость диафрагмы.
C.3 Ограничения
Исследования показали, что поправки на концевое отражение становятся плохо прогнозируемыми по мере уменьшения диаметра воздуховода, частоты
звука и размера отверстия диафрагмы. Значения концевой поправки, определенной по
рисунку C.1, имеют приемлемую неопределенность, если испытания проводят при следующих ограничениях:
a) частота - не ниже октавной полосы 63 Гц;
b) диаметр воздуховода - не менее 0,3 м;
c) отношение площади воздуховода к площади отверстия диафрагмы (см. параметр

на
рисунке C.1) - не более 5.
Если эти ограничения не соблюдаются, то следует рассматривать возможность применения другого метода испытаний.
C.4 Пример определения поправки на концевое отражение
Имеется открытый (не диафрагмированный) круглый воздуховод на входе диаметром d = 1,016 м. Требуется определить поправку на концевое отражение для входа при неплоском окончании воздуховода в камере при температуре 20 °C.
Для первой октавной полосы значения параметров указаны в таблице C.1.
Таблица C.1
Поправка на концевое отражение для октавной полосы
Наименование параметра | Значение |
Скорость звука c (сухой воздух 20 °C), м/с | 343 |
Среднегеометрическая частота f, Гц | 63 |
Длина звуковой волны  , м | 343/63 = 5,44 |
Волновое число  , м -1 | 2/5,44 = 1,15 |
| 0,5·1,15·1,016 = 0,58 |
| 6,1 |
Значения для других октавных полос определяют аналогично. Результаты представлены в таблице C.2.
Таблица C.2
Поправки на концевое отражение
для октавных полос от 63 до 8000 Гц
Наименование параметра | Среднегеометрическая частота октавной полосы, Гц |
63 | 125 | 250 | 500 | 1000 | 2000 | 4000 | 8000 |
Параметр 0,5 kd | 0,59 | 1,2 | 2,3 | 4,7 | 9,3 | 19 | 37 | 74 |
Поправка Ei, дБ | 6,1 | 2,5 | 0,77 | 0 | 0 | 0 | 0 | 0 |
Примечание - Указанные значения действительны только для данного примера. |
(рекомендуемое)
КОНЦЕВОЕ ПОГЛОЩАЮЩЕЕ УСТРОЙСТВО УПРОЩЕННОЙ КОНСТРУКЦИИ
Согласно
8.1 необходимо иметь концевое поглощающее устройство на каждом воздуховоде, даже на тех, где измерения шума не проводят. В
таблице 4 установлены максимально допустимые значения коэффициента отражения звукового давления для концевых поглощающих устройств измерительного воздуховода и оконечного воздуховода.
Чтобы полностью соответствовать требованиям к максимально допустимому коэффициенту отражения звукового давления, окончание измерительного воздуховода должно иметь концевое поглощающее устройство. Руководство по проектированию таких устройств приведено в
ГОСТ 31352 (приложение E). Для оконечных воздуховодов требования менее жесткие. Испытания показывают, что следующие конфигурации окончаний воздуховодов в зависимости от их диаметра
d могут полностью обеспечить соответствия требованиям к коэффициенту отражения звукового давления по
таблице 4:
d >= 1600 мм - для воздуховода с открытым концом;
800 <=
d < 1600 мм - для цилиндрического канального глушителя длиной 2
d (см.
рисунок D.1);
400 <=
d < 800 мм - для двойного цилиндрического канального глушителя длиной 2
d (см.
рисунок D.2);
d < 400 мм - для концевого поглощающего устройства по
ГОСТ 31352 (приложение E).
Рисунок D.1 - Канальный глушитель (разрез)
Рисунок D.2 - Двойной канальный глушитель
(обязательное)
АНАЛИЗ НЕОПРЕДЕЛЕННОСТИ ИЗМЕРЕНИЙ
E.1 Общие положения
Анализ неопределенности измерений методами настоящего стандарта позволяет определить влияние некоторых факторов на результаты измерений и приблизительно оценить их точность.
E.2 Определения
Определения, относящиеся к неопределенности измерений, приведены в [5].
Определяемое значение какой-либо величины W рассчитывают по формуле

,
где m - измеренное значение;
w - доверительный интервал при уровне доверия P, %.
E.3 Основные составляющие неопределенности
Неопределенность измерений уровней звуковой мощности в соответствии с настоящим стандартом обусловлена характеристиками испытательного помещения (см. E.4), точностью вывода вентилятора на рабочую точку его аэродинамической характеристики (см.
E.5), инструментальной ошибкой (см.
E.6) и образцовым источником шума (см.
E.7). Неопределенность, связанная с поправками на концевое отражение, зависит от точности оценки потерь на дросселирующем устройстве (см.
E.8), а также от вида частотного анализа: октавного или третьоктавного (см.
E.9).
E.4 Характеристика испытательного помещения
Реверберационное испытательное помещение пригодно для определения звуковой мощности источника постоянного шума.
При работе источника шума в реверберационном помещении звуковые волны отражаются от стен и распространяются по всем направлениям. В помещении прямоугольной формы могут возникать собственные звуковые колебания в виде устойчивых волновых структур - нормальных мод. Чем больше число нормальных мод, тем лучше рассеяние звука в камере. В любой полосе измерений должно быть достаточно много мод, чтобы имелась возможность измерить среднее звуковое давление, перемещая микрофон по траектории. Число нормальных мод в пространстве заданной конфигурации возрастает с частотой. Следовательно,

точность измерений достигается при измерениях на высоких частотах. Если число мод невелико, то измеряют шум во многих местах и усредняют результат. Два основных источника ошибок могут отрицательно повлиять на измерения в реверберационном помещении:
a) измерения в ограниченном числе точек звукового поля;
b) изменение звуковой мощности при изменении местоположения источника шума.
Многие источники излучают не сплошной широкополосный шум, но включают существенные дискретные составляющие, называемые обыкновенно чистыми тонами. Некоторые вентиляторы генерируют чистый тон на лопаточной частоте, а иногда на ее гармониках.
В реверберационном помещении чистые тоны способствуют возбуждению определенных мод, которые могут преобладать над остальными. Это может заметно увеличить неоднородность звукового поля из-за уменьшения рассеяния звука. Следовательно, точность результата снизится из-за снижения точности усреднения звукового давления.
E.4.1 Измерения широкополосного шума в реверберационном помещении
Широкополосный шум относительно равномерно распределен по частотам, и в нем отсутствуют заметные дискретные составляющие или узкополосный шум. Измерения широкополосного шума можно проводить в помещении (камере), проверенном по
ГОСТ 31353.2 (приложение A).
E.4.2 Измерение чистого тона в реверберационной камере
Если в спектре шума имеются чистые тоны, то пространственная вариация уровня звукового давления обычно проявляется в чередовании максимального и минимального значений в среднем по пространству приблизительно на расстоянии

, где

- длина звуковой волны соответствующей частоты. Наличие существенных чистых тонов часто определяют на слух. Если тон прослушивается или обнаруживается узкополосным анализом, то рекомендуется применить проверку в соответствии с
ГОСТ 31353.2 (приложение B).
Если камера не проверена на пригодность измерений чистых тонов, то неопределенность измерений в полосах, содержащих лопаточные частоты и их гармоники, может быть более высокой, чем в признанной пригодной камере. Типичное значение неопределенности может быть +/- 8 дБ.
Чистые тоны могут существовать в спектре, но не прослушиваться. Заключение об их отсутствии может быть принято только после проведения испытаний по E.4.3.
E.4.3 Испытания для определения наличия чистых тонов
Можно провести следующее испытание для оценки (пространственного) стандартного отклонения уровней звукового давления вентилятора при испытаниях в реверберационной камере.
В фиксированных точках устанавливают шесть микрофонов (или один микрофон последовательно переносят в каждое из шести положений) на расстоянии по меньшей мере

, где

- длина звуковой волны среднегеометрической частоты низшей полосы частот, и обеспечивают соблюдение всех требований к положению микрофонов по
ГОСТ 31353.2 (приложение A). Источник шума располагают в одном положении в камере согласно
ГОСТ 31353.2 (приложение A).
Усредненный по времени уровень звукового давления

в каждом положении микрофона определяют в соответствии с
приложением A.
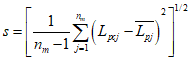
Для каждой третьоктавной полосы стандартное отклонение s рассчитывают по формуле

,
где

- уровень звукового давления, корректированный на фоновый шум в соответствии с
ГОСТ 31353.2 (подраздел 10.1) для
j-го положения микрофона, дБ;

- среднеарифметическое значение

по всем микрофонам, дБ;

- число положений микрофона (

= 6).
Значение s зависит от свойств звукового поля в камере (см. таблицу E.1). На эти свойства влияют как характеристики камеры, так и источника шума (т.е. направленность и спектр излучения). Теоретически, если стандартное отклонение равно 5,57 дБ, то это означает, что имеется чистый тон низкой частоты.
Таблица E.1
Критерии наличия чистых тонов
или узкополосного шума, основанные на величине
пространственной вариации звукового поля
Стандартное отклонение s, дБ | Характеристика звукового поля |
s < 3 | |
1,5 < s < 3 | |
s > 3 | Имеется чистый тон. Камеру классифицируют по ГОСТ 31353.2 ( приложение B) |
E.5 Рабочая точка на аэродинамической характеристике вентилятора
При каждом определении уровня звуковой мощности измерения выполняют в одной и той же рабочей точке на аэродинамической характеристике вентилятора. Неточность вывода на рабочую точку определяющим образом влияет на неопределенность измерений. Чувствительность уровня шума к изменению рабочей точки зависит от формы аэродинамической характеристики, и это может диктовать необходимую точность определения рабочей точки. Вентиляторы с большим изменением уровня звуковой мощности при изменении расхода на заданной частоте вращения требуют большей точности выведения на рабочую точку, чем вентиляторы с малым изменением уровня звуковой мощности при том же изменении расхода.
E.6 Инструментальная ошибка
Частотная характеристика измерительной системы должна быть плоской в диапазоне частот измерений и должна иметь допуски, указанные в таблице E.2.
Таблица E.2
Допуски частотной характеристики измерительной системы
Среднегеометрическая частота третьоктавной полосы, Гц | Допуск, дБ |
От 50 до 80 включ. | +/- 2,0 |
От 100 до 4000 включ. | +/- 1,0 |
От 5000 до 8000 включ. | +/- 1,5 |
10000 | +/- 2,0 |
E.7 Образцовый источник шума
Уровень звуковой мощности образцового источника шума должен быть определен в октавных и третьоктавных полосах и иметь допуски, указанные в таблице E.3.
Таблица E.3
Калибровка образцового источника шума
Среднегеометрическая частота третьоктавной полосы, Гц | Допуск, дБ |
От 50 до 80 включ. | +/- 2,0 |
От 100 до 160 включ. | +/- 1,0 |
От 200 до 4000 включ. | +/- 0,5 |
От 5000 до 10000 включ. | +/- 1,0 |
E.8 Поправки на концевое отражение
Графики на
рисунке C.1 получены на основе анализа результатов исследований
[6]. Такие же исследования проведены по предельным размерам воздуховодов и диафрагмы.
В
таблице E.4 указана неопределенность
определения поправки на концевое отражение
E для различных значений параметра 0,5
kd и

. Эта таблица составлена по результатам экспериментальных исследований
[6] и существующей теории. Полагают, что поправки на концевое отражение недостаточно изучены. Испытательная установка должна как можно точнее моделировать установленные компоновки вентилятора, чтобы уменьшить (если не исключить полностью) необходимость применения поправки на концевое отражение.
Таблица E.4
Неопределенность
определения концевой поправки
E
Окончание воздуховода | rd | Неопределенность поправки E, дБ |
Значение параметра 0,5 kd |
Менее 0,25 | От 0,25 до 1 | Более 1 |
Плоское | 1 | +/- 3,0 | +/- 2,0 | +/- 0,5 |
| 1 | +/- 3,0 | +/- 2,0 | +/- 0,5 |
От 1 до 2 включ. | +/- 3,0 | +/- 2,0 | +/- 0,5 |
От 2 до 5 включ. | +/- 4,0 | +/- 3,0 | +/- 1,0 |
E.9 Сравнительная характеристика октавного и третьоктавного анализа
В соответствии с настоящим стандартом частотный анализ может быть выполнен в октавных или третьоктавных полосах. Проверку реверберационной камеры на пригодность к измерению чистых тонов делают только в третьоктавных полосах. Октавный анализ требует меньшего времени, но он дает мало информации об изменении спектра, особенно при его крутых спадах. Кроме того, октавный анализ из-за малой чувствительности не обеспечивает выделение чистых тонов. Например, чистый тон может уменьшиться на от 1 до 2 дБ без видимых изменений в октавном спектре.
Для определенных условий в измерительном воздуховоде в настоящем стандарте используют поправку на концевое отражение, которая зависит от частоты. По этой причине анализ в октавных полосах вместо третьоктавных может привести к ошибке +/- 2 дБ.
Пример - Условия испытаний:
- вентилятор с выходным воздуховодом диаметром 508 мм;
- дросселирующее устройство отсутствует;
- малый расход.
Имеется существенное отличие двух методов оценки октавных значений, обусловленное следующими обстоятельствами:
a) формой третьоктавного спектра;
b) наклоном графика поправки на концевое отражение в точке, где оценивается поправка.
Ошибка при октавном анализе может завысить или занизить истинное значение. Поэтому рекомендуется применять третьоктавный анализ. Поправку на концевое отражение определяют по рисунку C.1.
Если выполняют октавный анализ, то частоту вращения вентилятора подбирают так, чтобы лопаточная частота попадала в середину октавных и третьоктавных полос, как указано в таблицах E.5 и E.6. Следует также избегать попадания лопаточной частоты на границы полос, что позволяет уменьшить влияние срезов амплитудно-частотных характеристик фильтров на результаты измерений.
Таблица E.5
Октавный анализ
Среднегеометрическая частота третьоктавной полосы, Гц | Lp измеренное, дБ | Lp суммарное, дБ | E, дБ | (Lp + E), дБ |
50 | 80 | 80,2 | 10,2 | 90,4 |
63 | 65 |
80 | 64 |
Таблица E.6
Среднегеометрическая частота третьоктавной полосы, Гц | Lp, дБ | E, дБ | (Lp + E) (в третьоктавной полосе), дБ | (Lp + E) суммарное (в октавной полосе), дБ |
50 | 80 | 12,1 | 92,1 | 92,2 |
63 | 65 | 10,2 | 75,2 |
80 | 64 | 8,3 | 72,3 |
(обязательное)
КАЛИБРОВКА ОБРАЗЦОВОГО ИСТОЧНИКА ШУМА
Калибровку образцового источника шума по
[7] выполняют в заглушенной камере со звукоотражающим полом, пригодной для измерений во всем диапазоне частот измерений. Лаборатории, которые способны другим способом обеспечить требования, необходимые для калибровки, но камеры в которых не проверены на пригодность для измерений в первой октавной полосе, могут применить альтернативную методику по настоящему приложению. Методика основана на измерениях интенсивности звука по
ГОСТ 30457.
F.2 Оборудование и аппаратура
Оборудование и аппаратура для калибровки образцового источника шума должны соответствовать
[7] за исключением того, что камеру нет необходимости проверять в октавной полосе ниже 125 Гц (в третьоктавной полосе 100 Гц). Аппаратура для измерения интенсивности звука должна соответствовать
ГОСТ 30457.
Образцовый источник шума может быть калиброван по уровню звуковой мощности методом сравнения с другим образцовым источником шума, который калиброван в соответствии с
F.1 -
F.5. Измерения выполняют по
ГОСТ 31274.
F.3 Особенности калибровки
Калибровку образцового источника шума по
[7] проводят в третьоктавных полосах от 50 до 10000 Гц и в октавных полосах от 63 до 8000 Гц. Если, калибруя по
[7], исключают третьоктавные полосы со среднегеометрическими частотами ниже 100 Гц, то можно применить альтернативную методику по F.4. Если калибровка
при указанном исключении не может быть выполнена в полном соответствии с
[7], то альтернативную методику не применяют.
F.4 Методика
Соблюдают требования
[7] при калибровке в трех нижних октавных полосах (девяти третьоктавных полосах), но вместо измерений уровней звуковых давлений измеряют уровни интенсивности звука по
ГОСТ 30457. Интенсивность звука измеряют,
ориентируя акустический зонд в радиальном направлении наружу измерительной поверхности. Уровни звуковой мощности, определенные при этих измерениях, следует сравнивать с определенными по измерениям уровней звукового давления. Если во всех полосах частот уровни звуковой мощности отличаются не более указанных значений по таблице F.1, то калибровочные уровни звуковой мощности образцового источника шума указывают в протоколе по
F.5. По измерениям интенсивности звука показатель направленности не рассчитывают.
Таблица F.1
Допуск на различие уровней звуковой мощности
Октавная полоса, Гц | Третьоктавная полоса, Гц | Допуск, дБ |
63 | От 50 до 80 включ. | +/- 4,0 |
От 125 до 250 включ. | От 100 до 315 включ. | +/- 1,0 |
F.5 Уровни звуковой мощности образцового источника шума
Калибровочные уровни звуковой мощности и показатель направленности образцового источника шума определяют по
[7] в третьоктавных полосах от 100 до 10000 Гц и октавных полосах от 125 до 8000 Гц. В третьоктавных полосах от 50 до 80 Гц и октавной полосе 63 Гц уровень звуковой мощности образцового источника шума определяют по измерениям интенсивности звука, а показатель направленности не определяют. В протоколе с данными калибровки указывают уровни, определенные по интенсивности звука, и делают запись о полном соответствии методики калибровки настоящему стандарту.
(рекомендуемое)
ИЗМЕРЕНИЯ С ВЗВЕШИВАЮЩИМИ ФИЛЬТРАМИ
Если при проведении испытаний имеется сильный звук на низкой частоте (ниже 45 Гц), то это может уменьшить эффективный динамический диапазон анализатора в диапазоне частот измерений по настоящему стандарту (от 45 до 11200 Гц). Несмотря на то, что применяют анализатор с большим динамическим диапазоном, для решения задачи иногда необходимо применить другой метод.
Измерение уровня звукового давления может быть проведено с помощью шумомера либо с помощью усилителя, обладающего свойством взвешивающего фильтра с определенными характеристиками, способствующими расширению динамического диапазона, улучшению качества измерений и компенсации всех неблагоприятных эффектов в диапазоне частот от 45 до 11200 Гц. Характеристика взвешивающего (корректирующего) фильтра должна обеспечивать снижение сигнала менее чем на 3 дБ на всех частотах от 45 до 11200 Гц. Применяют один и тот же взвешивающий фильтр для всех измерений (фонового шума, шума образцового источника и вентилятора). Значение снижения сигнала взвешивающим фильтром прибавляют к измеренному уровню звукового давления.
(справочное)
ТЕХНИЧЕСКИХ ОТКЛОНЕНИЙ НАСТОЯЩЕГО СТАНДАРТА
ОТ ПРИМЕНЕННОГО В НЕМ МЕЖДУНАРОДНОГО СТАНДАРТА
ИСО 13347-1:2004
Таблица H.1
Раздел, подраздел, пункт, таблица, приложение | Модификация |
Введение | Исключено. |
2 Нормативные ссылки | Ссылка на ИСО 5801:1997 "Промышленные вентиляторы. Испытания для определения характеристик с использованием стандартных воздуховодов" заменена ссылкой на ГОСТ 10921-90 <1> "Вентиляторы радиальные и осевые. Методы аэродинамических испытаний". Ссылка на ИСО 9614-1:1993 "Акустика. Определение уровней звуковой мощности источников шума по интенсивности звука. Измерение в дискретных точках" заменена ссылкой на ГОСТ 30457-97 <2> "Акустика. Определение уровней звуковой мощности источников шума на основе интенсивности звука. Измерение в дискретных точках. Технический метод". Ссылка на ИСО 4871:1996 "Акустика. Заявление и подтверждение значений звукового излучения машин и оборудования" заменена ссылкой на ГОСТ 30691-2001 <2> "Шум машин. Заявление и контроль значений шумовых характеристик". Ссылка на ИСО 3741:1999 "Акустика. Определение уровней звуковой мощности источников шума по звуковому давлению. Точные методы для реверберационных камер" заменена ссылкой на ГОСТ 31274-2004 <2> "Шум машин. Определение уровней звуковой мощности источников шума по звуковому давлению. Точные методы для реверберационных камер". Ссылка на ИСО 3744:1994 "Акустика. Определение уровней звуковой мощности источников шума по звуковому давлению. Технический метод в существенно свободном звуковом поле над звукоотражающей плоскостью" заменена ссылкой на ГОСТ 31275-2002 <2> "Шум машин. Определение уровней звуковой мощности источников шума по звуковому давлению. Технический метод в существенно свободном звуковом поле над звукоотражающей плоскостью". Ссылки на ИСО 3743-1:1994 "Акустика. Определение уровней звуковой мощности источников шума по звуковому давлению. Технические методы для малых переносных источников шума в реверберационных полях. Часть 1. Метод сравнения в помещениях с жесткими стенами" и ИСО 3743-2:1994 "Акустика. Определение уровней звуковой мощности источников шума по звуковому давлению. Технические методы для малых переносных источников шума в реверберационных полях. Часть 2. Методы для специальных реверберационных камер" заменены ссылкой на ГОСТ 31276-2002 <2> "Шум машин. Определение уровней звуковой мощности источников шума по звуковому давлению. Технические методы для малых переносных источников шума в реверберационных полях в помещениях с жесткими стенами и в специальных реверберационных камерах". |
| Ссылка на ИСО 13347-2:2004 "Промышленные вентиляторы. Определение уровней звуковой мощности вентилятора в стандартных лабораторных условиях. Часть 2. Метод реверберационной камеры" заменена ссылкой на ГОСТ 31353.2-2007 <2> "Шум машин. Вентиляторы промышленные. Определение уровней звуковой мощности в лабораторных условиях. Часть 2. Реверберационный метод". Ссылка на ИСО 13347-3:2004 "Промышленные вентиляторы. Определение уровней звуковой мощности в стандартных лабораторных условиях. Часть 3. Метод охватывающей поверхности" заменена ссылкой на ГОСТ 31353.3-2007 <2> "Шум машин. Вентиляторы промышленные. Определение уровней звуковой мощности в лабораторных условиях. Часть 3. Метод охватывающей поверхности". Ссылка на ИСО 13347-4:2004 "Шум машин. Вентиляторы промышленные. Определение уровней звуковой мощности в лабораторных условиях. Часть 4. Метод звуковой интенсиметрии" заменена ссылкой на ГОСТ 31353.4-2007 <2> "Шум машин. Вентиляторы промышленные. Определение уровней звуковой мощности в лабораторных условиях. Часть 4. Метод звуковой интенсиметрии". Ссылка на ИСО 5136:2003 "Акустика. Определение звуковой мощности, излучаемой в воздуховод вентиляторами и другими воздухоперемещающими устройствами. Метод испытательной трубы" заменена ссылкой на ГОСТ 31352-2007 <2> "Шум машин. Определение уровня звуковой мощности, излучаемой в воздуховод вентиляторами и другими устройствами перемещения воздуха, методом измерительного воздуховода". Исключены без замены ссылки на ИСО 266, ИСО 1000, ИСО 6926, ИСО 10302, ИСО 13349 и ИСО 13350, ИСО 6926 и ИСО 10302, не имеющие отечественных аналогов. Исключена без замены ссылка на ИСО 3745, так как этот стандарт не применяют при измерениях по ГОСТ 31353.3 |
3.1.10 | Изменено определение, имеющее редакцию: "3.1.10 концевое отражение (end reflection): Явление, происходящее всякий раз, когда звук передается в пространство через резкое изменение площади, как, например, в случае на выходе из воздуховода в помещение". Определение изменено, так как дано в слишком общем виде, охватывающем случай отражения звука в месте резкого сужения воздуховода, что не является концевым отражением |
3.1.11 | Исключен как не используемый в стандарте. Определение имеет редакцию: "3.1.11 неканальный вентилятор (non-ducted fan): Вентилятор, не имеющий присоединенных воздуховодов |
3.1.12 | Исключен в связи с отсутствием в определении термина существенных признаков понятия. Определение имеет редакцию: "3.1.12 реверберационное помещение: Помещение, отвечающее требованиям приложения A и/или приложения B ИСО 13347-2:2004" |
Таблица 2 | Исключены неиспользуемые обозначения: M - число Маха; Wref - опорная звуковая мощность. Таблица дополнена обозначением числа испытательных частот в заданной третьоктавной полосе nS, используемого в ГОСТ 31353.2-2007 ( приложение B), и обозначением числа точек измерений на измерительной поверхности N. Обозначения и наименования величин в таблице приведены в соответствие с используемыми в ГОСТ 31353.2-2007 - ГОСТ 31353.4-2007 |
Раздел 4 | Исключена и перенесена в 8.7 (выделена курсивом) первая фраза, поскольку она не имеет отношения к ограничениям по применению рассматриваемых в стандарте методов. В соответствии с этим изменено наименование подраздела 8.7. Исключена фраза "Метод испытаний струйных вентиляторов установлен в разделе 9 ИСО 13350" в связи с исключением нормативной ссылки на ИСО 13350. Исключена фраза "Для испытаний в реверберационном помещении объем вентилятора должен быть менее 2% объема помещения" в связи с тем, что ограничения на размеры испытуемого объекта и размеры испытательного помещения противоречат ГОСТ 31274 и ГОСТ 31276 |
Таблица 3 | Внесены примечания (выделены курсивом), которые перенесены из примечаний раздела 5 |
Раздел 5 | В абзаце перед примечаниями исключена последняя фраза "Дополнительное отклонение должно быть прибавлено, чтобы учесть влияние производственных отклонений, как описано в ИСО 13348" в связи с тем, что он в настоящее время находится в стадии разработки. Этот стандарт исключен также из библиографии. Из примечания 7 исключена фраза "Дополнительную информацию можно получить по соответствующим библиографическим источникам". Фраза исключена в связи с ее неконкретностью. Из примечания 9 исключена ссылка на стандарт AMCA 300-96, сведения о котором в библиографии отсутствуют |
7.2 | Исключены три первые фразы, имеющие редакцию: "Для малых неканальных вентиляторов, используемых для охлаждения электронной аппаратуры, для определения LW (A, tot) применяют метод по ИСО 10302. Для потолочных и настольных вентиляторов LW (A, tot) определяют методом по МЭК 60704-2-7. Для струйных вентиляторов LW (A, tot) определяют методом по разделу 9 ИСО 13350:1999". Текст исключен в связи с тем, что указанные вентиляторы не относятся к промышленным |
8.1 | Исключен первый абзац, дословно дублирующий информацию раздела 4 о типах компоновки вентиляторов |
11.3 | В формуле изменено обозначение поправки C на A для приведения в соответствие с ГОСТ 31275 |
12.4 | Исключена фраза "В протоколе испытаний указывают примененные формулы". Фраза исключена как не имеющая отношения к 12.4. Соответствующее указание сделано в 12.1 |
C.2.1 | Из первого примечания перенесены в текст стандарта положения, являющиеся требованиями. Примечание имеет следующую редакцию: "Примечание 1 - Окончание воздуховода вблизи ограждающих поверхностей камеры (но не плоское) может дать иной результат, чем представлен на рисунке C.1. Неплоское окончание воздуховода должно быть удалено от ограждающих поверхностей камеры; плоское окончание должно быть удалено от всех других ограждающих поверхностей камеры" |
E.2 | Исключены определения величин, связанных с неопределенностью измерений. Исключенный текст имеет редакцию: "Случайная ошибка является ошибкой, обусловленной выборкой случайных величин по обе стороны от среднего значения. Систематическая ошибка является неустранимой и не может считаться полностью случайной. Неопределенность измерений является оценкой ошибки, то есть это предполагаемая величина ошибки, если ее можно и следует измерить с помощью калибровки. Хотя неопределенность может быть результатом случайной и систематических ошибок, только случайная ошибка может быть выделена статистическими методами". |
E.4 | Исключена как избыточная вторая фраза первого абзаца "Однако камера должна достаточно рассеивать звук, чтобы в ней могло образоваться реверберационное поле" |
E.4.3 | Ошибочная ссылка на 6.2.1 в расшифровке формулы заменена ссылкой на 10.1 в ГОСТ 31353.2-2007 |
E.5 | В связи с исключением нормативной ссылки на ИСО 5801 исключена третья фраза, имеющая редакцию: "Поэтому рекомендуется для идентификации рабочей точки применять ИСО 5801 или другой стандарт по определению характеристик вентилятора" |
Библиография | Исключены источники, ссылки на которые отсутствуют в стандарте (15 источников). Библиография дополнена ссылками на ИСО 6926:1996, ИСО 10032:1996 и РМГ 43-2001 |
<1> Степень соответствия - NEQ. <2> Степень соответствия - MOD. |
| Бытовые и подобные им электрические приборы. Испытания на шум. Часть 2. Частные требования для вентиляторов |
(IEC 60704-2-7:1999) | (Household and similar electrical appliances. Test code for the determination of airborne acoustical noise. Part 2: Particular requirements for fans) |
| Акустика. Лабораторные измерения для заглушающих устройств, установленных в воздуховодах, и воздухораспределительного оборудования. Вносимые потери, шум потока и падение полного давления |
(ISO 7235:2003) | (Acoustics. Laboratory measurements procedures for ducted silencers and air-terminal units. Insertion loss, flow noise and total pressure loss) |
| Акустика. Метод измерения шума малых воздухоперемещающих устройств |
(ISO 10302:1996) | (Acoustics. Method for measurement of airborne noise emitted by small air-moving devices) |
[4] CROCKER, M.J., w/PANDE L. and SANDBAKKEN, M., Investigation of End, Reflection Coefficient Accuracy Problems with AMCA Standard 300-67, HL 81-16, Purdue University, IN, 1981 |
| Применение "Руководства по выражению неопределенности измерений" |
[6] BAADE, P. Effects of acoustic loading on axial flow fan noise generation. Noise Control Engineering, January - February 1977, 8 (1), pp. 5 - 15 |
| Акустика. Требования к характеристикам и калибровке образцового источника шума для определения уровней звуковой мощности |
(ISO 6926:1999) | (Acoustics. Requirements for the performance and calibration of reference sound sources for the determination of sound power levels) |